Plots of the potential energy vs interatomic spacing, r, are shown below for all diatom sets associated with the interatomic potential. This calculation provides insights into the functional form of the potential's two-body interactions. A system consisting of only two atoms is created, and the potential energy is evaluated for the atoms separated by 0.02 Å <= r <= 6.0> Å in intervals of 0.02 Å. Two plots are shown: one for the "standard" interaction distance range, and one for small values of r. The small r plot is useful for determining whether the potential is suitable for radiation studies.
The calculation method used is available as the iprPy diatom_scan calculation method.
Clicking on the image of a plot will open an interactive version of it in a new tab. The underlying data for the plots can be downloaded by clicking on the links above each plot.
Notes and Disclaimers:
Version Information:
Plots of potential energy vs interatomic spacing, r, are shown below for a number of crystal structures. The structures are generated based on the ideal atomic positions and b/a and c/a lattice parameter ratios for a given crystal prototype. The size of the system is then uniformly scaled, and the energy calculated without relaxing the system. To obtain these plots, values of r are evaluated every 0.02 Å up to 6 Å.
The calculation method used is available as the iprPy E_vs_r_scan calculation method.
Clicking on the image of a plot will open an interactive version of it in a new tab. The underlying data for the plots can be downloaded by clicking on the links above each plot.
Notes and Disclaimers:
Version Information:
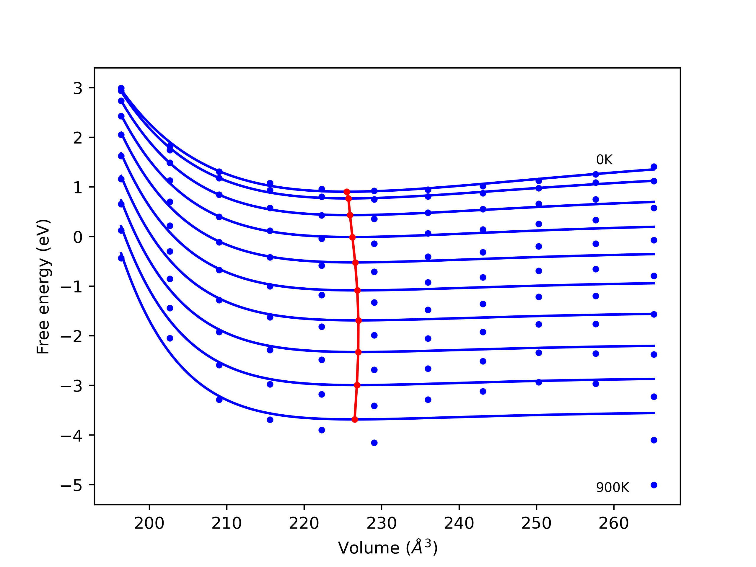
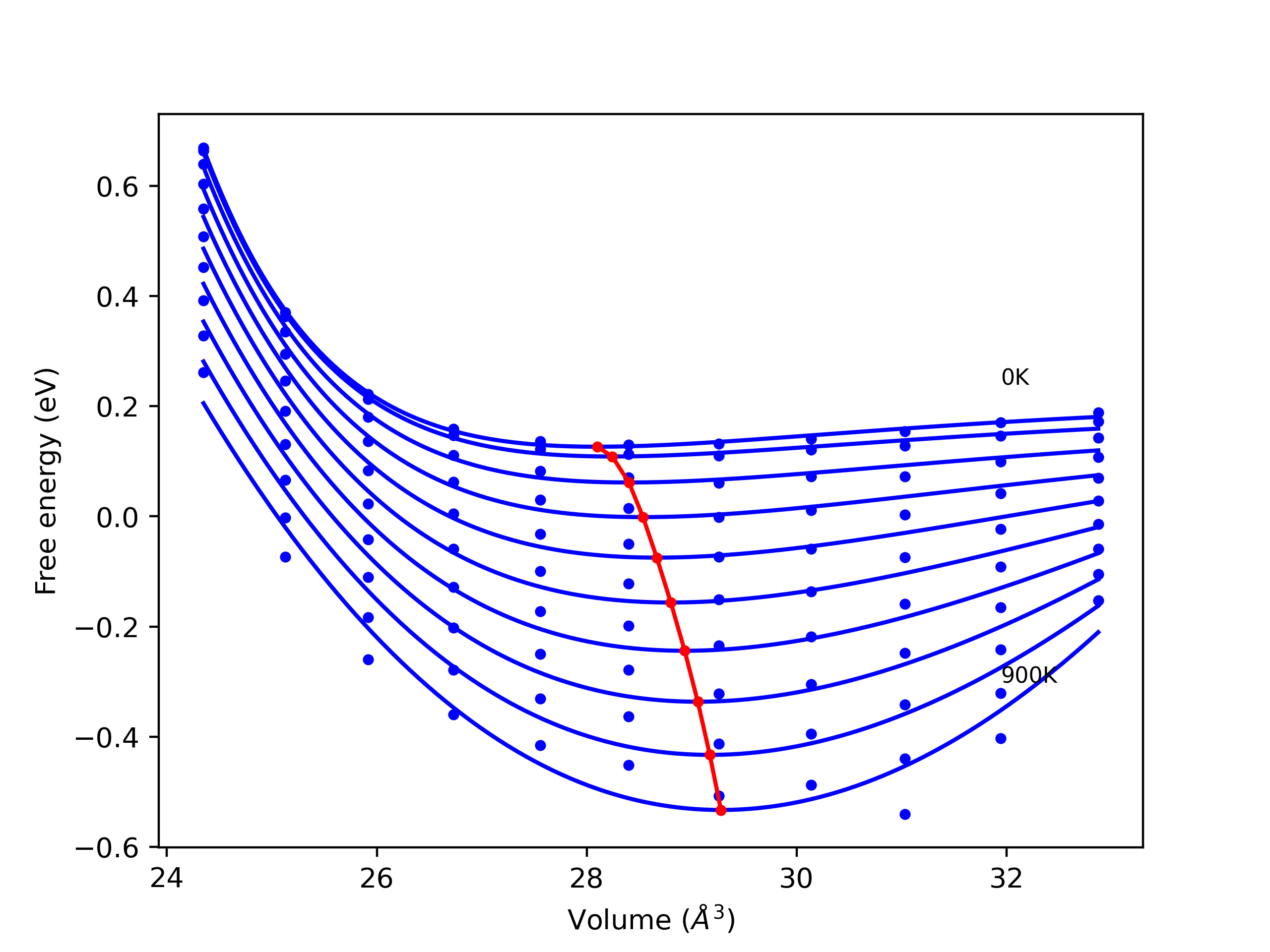
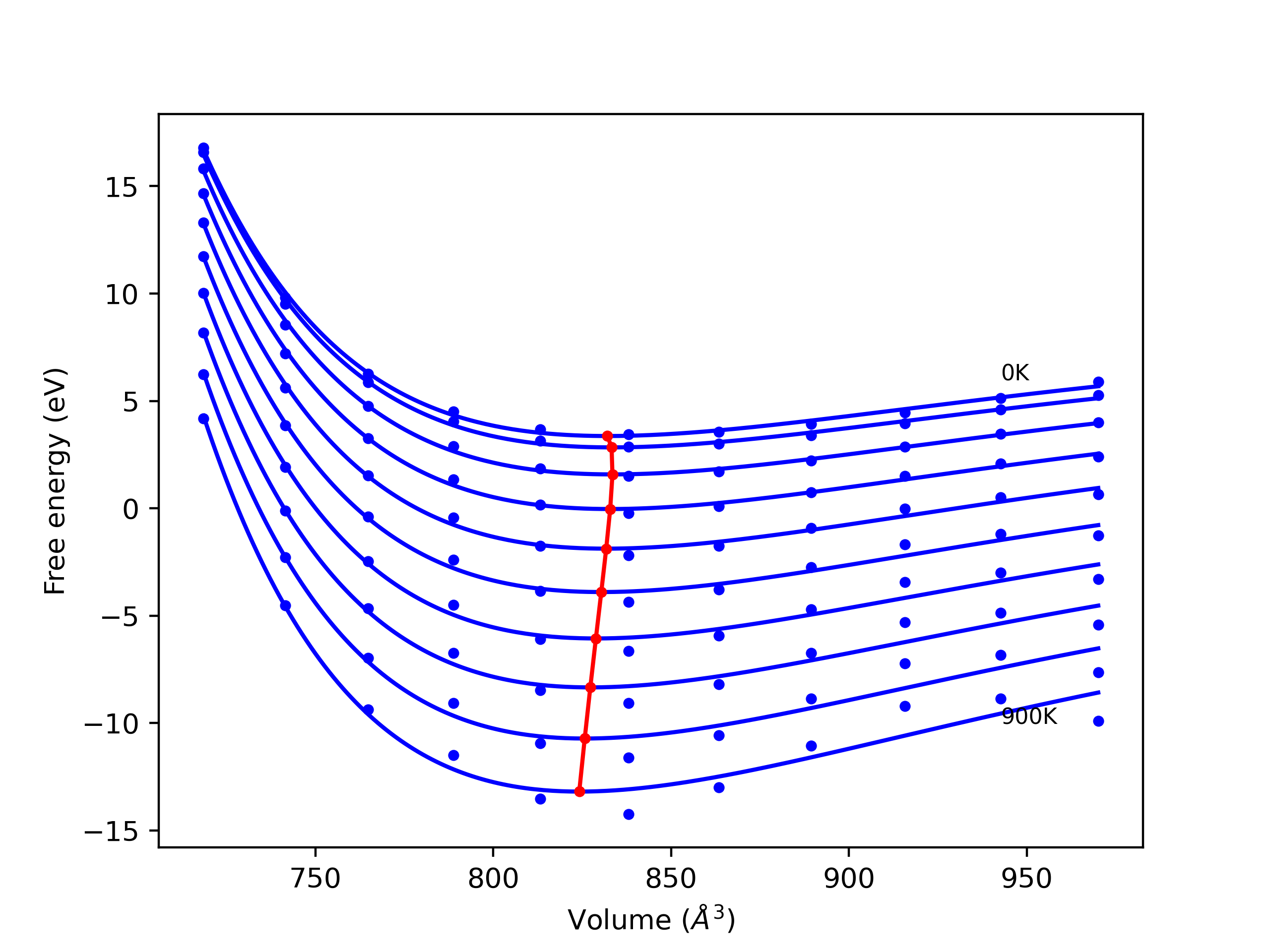
Computed lattice constants and cohesive/potential energies are displayed for a variety of crystal structures. The values displayed here are obtained using the following process.
The calculation methods used are implemented into iprPy as the following calculation styles
Notes and Disclaimers:
Version Information:
Download raw data (including filtered results)
Reference structure matches:
A1--Cu--fcc = mp-30, oqmd-592441, oqmd-593869, oqmd-594301, oqmd-594302, oqmd-594517, oqmd-594518, oqmd-594519, oqmd-594520, oqmd-598513, oqmd-635950, oqmd-1214520
A15--beta-W = oqmd-1214965
A2--W--bcc = oqmd-637373, oqmd-1215143
A3'--alpha-La--double-hcp = mp-989695, oqmd-1215411
A3--Mg--hcp = mp-989782, oqmd-1215321
A4--C--dc = oqmd-1215500
A5--beta-Sn = oqmd-1215589
A6--In--bct = mp-998890, mp-1010136, oqmd-1215678
| prototype | method | Ecoh (eV/atom) | Epot (eV/atom) | a0 (Å) | b0 (Å) | c0 (Å) | α (degrees) | β (degrees) | γ (degrees) |
|---|---|---|---|---|---|---|---|---|---|
| A1--Cu--fcc | dynamic | -3.5401 | -3.5401 | 3.615 | 3.615 | 3.615 | 90.0 | 90.0 | 90.0 |
| A3'--alpha-La--double-hcp | dynamic | -3.5385 | -3.5385 | 2.5566 | 2.5566 | 8.3353 | 90.0 | 90.0 | 120.0 |
| oqmd-1216034 | dynamic | -3.538 | -3.538 | 2.5567 | 2.5567 | 18.7442 | 90.0 | 90.0 | 120.0 |
| oqmd-1216034 | box | -3.538 | -3.538 | 2.5567 | 2.5567 | 18.7444 | 90.0 | 90.0 | 120.0 |
| A3--Mg--hcp | dynamic | -3.537 | -3.537 | 2.557 | 2.557 | 4.1608 | 90.0 | 90.0 | 120.0 |
| oqmd-1215232 | box | -3.5366 | -3.5366 | 2.5467 | 4.4466 | 4.1614 | 90.0 | 90.0 | 90.0 |
| A2--W--bcc | dynamic | -3.5117 | -3.5117 | 2.8702 | 2.8702 | 2.8702 | 90.0 | 90.0 | 90.0 |
| oqmd-1214876 | dynamic | -3.4791 | -3.4791 | 6.2306 | 6.2306 | 6.2306 | 90.0 | 90.0 | 90.0 |
| oqmd-1214876 | box | -3.4791 | -3.4791 | 6.2303 | 6.2303 | 6.2303 | 90.0 | 90.0 | 90.0 |
| oqmd-1214787 | dynamic | -3.476 | -3.476 | 8.8675 | 8.8675 | 8.8675 | 90.0 | 90.0 | 90.0 |
| oqmd-1214787 | box | -3.476 | -3.476 | 8.8677 | 8.8677 | 8.8677 | 90.0 | 90.0 | 90.0 |
| A15--beta-W | dynamic | -3.4617 | -3.4617 | 4.5851 | 4.5851 | 4.5851 | 90.0 | 90.0 | 90.0 |
| mp-1120774 | dynamic | -3.4015 | -3.4015 | 2.5436 | 2.5436 | 24.7834 | 90.0 | 90.0 | 120.0 |
| mp-1120774 | static | -3.4015 | -3.4015 | 2.5436 | 2.5436 | 24.7955 | 90.0 | 90.0 | 120.0 |
| mp-1120774 | box | -3.4012 | -3.4012 | 2.5435 | 2.5435 | 24.7557 | 90.0 | 90.0 | 120.0 |
| mp-1059259 | box | -3.4008 | -3.4008 | 2.4488 | 8.0428 | 2.5134 | 90.0 | 90.0 | 90.0 |
| oqmd-1215054 | box | -3.3891 | -3.3891 | 4.2515 | 9.0488 | 2.5831 | 90.0 | 90.0 | 90.0 |
| oqmd-1214698 | box | -3.3017 | -3.3017 | 3.4785 | 8.5939 | 3.479 | 90.0 | 90.0 | 90.0 |
| oqmd-1277912 | static | -3.2749 | -3.2749 | 11.4153 | 11.4153 | 11.4153 | 90.0 | 90.0 | 90.0 |
| oqmd-1277912 | box | -3.2747 | -3.2747 | 11.4164 | 11.4164 | 11.4164 | 90.0 | 90.0 | 90.0 |
| A5--beta-Sn | static | -3.2407 | -3.2407 | 4.6024 | 4.6024 | 2.4316 | 90.0 | 90.0 | 90.0 |
| Ah--alpha-Po--sc | static | -3.1058 | -3.1058 | 2.386 | 2.386 | 2.386 | 90.0 | 90.0 | 90.0 |
| A7--alpha-As | box | -2.8234 | -2.8234 | 3.2267 | 3.2267 | 10.0789 | 90.0 | 90.0 | 120.0 |
| oqmd-1215945 | box | -2.7906 | -2.7906 | 4.0255 | 4.0255 | 4.445 | 90.0 | 90.0 | 120.0 |
| A4--C--dc | static | -2.4635 | -2.4635 | 5.3432 | 5.3432 | 5.3432 | 90.0 | 90.0 | 90.0 |
| mp-1056079 | static | -1.6528 | -1.6528 | 11.5703 | 2.2619 | 22.2237 | 90.0 | 101.9 | 90.0 |
Download raw data (including filtered results)
Reference structure matches:
| prototype | method | Ecoh (eV/atom) | Epot (eV/atom) | a0 (Å) | b0 (Å) | c0 (Å) | α (degrees) | β (degrees) | γ (degrees) |
|---|---|---|---|---|---|---|---|---|---|
| C1--CaF2--fluorite | static | -2.4427 | -2.4427 | 6.39 | 6.39 | 6.39 | 90.0 | 90.0 | 90.0 |
| C1--CaF2--fluorite | static | -1.6195 | -1.6195 | 5.695 | 5.695 | 5.695 | 90.0 | 90.0 | 90.0 |
| C1--CaF2--fluorite | static | -0.0 | -0.0 | 13.244 | 13.244 | 13.244 | 90.0 | 90.0 | 90.0 |
| C1--CaF2--fluorite | dynamic | 0.0 | -0.0 | 14.8828 | 14.8828 | 14.8828 | 90.0 | 90.0 | 90.0 |
Download raw data (including filtered results)
Reference structure matches:
| prototype | method | Ecoh (eV/atom) | Epot (eV/atom) | a0 (Å) | b0 (Å) | c0 (Å) | α (degrees) | β (degrees) | γ (degrees) |
|---|---|---|---|---|---|---|---|---|---|
| oqmd-426738 | static | -2.543 | -2.543 | 8.5041 | 8.5041 | 10.0988 | 90.0 | 90.0 | 120.0 |
| oqmd-426738 | box | -2.2511 | -2.2511 | 6.5356 | 6.5356 | 20.8629 | 90.0 | 90.0 | 120.0 |
Download raw data (including filtered results)
Reference structure matches:
| prototype | method | Ecoh (eV/atom) | Epot (eV/atom) | a0 (Å) | b0 (Å) | c0 (Å) | α (degrees) | β (degrees) | γ (degrees) |
|---|---|---|---|---|---|---|---|---|---|
| oqmd-1007115 | static | -2.2744 | -2.2744 | 4.9543 | 4.9543 | 25.3035 | 90.0 | 90.0 | 120.0 |
Download raw data (including filtered results)
Reference structure matches:
D0_3--BiF3 = oqmd-312235
L1_2--AuCu3 = oqmd-347969
| prototype | method | Ecoh (eV/atom) | Epot (eV/atom) | a0 (Å) | b0 (Å) | c0 (Å) | α (degrees) | β (degrees) | γ (degrees) |
|---|---|---|---|---|---|---|---|---|---|
| oqmd-323483 | static | -3.0427 | -3.0427 | 5.8377 | 5.8377 | 4.3926 | 90.0 | 90.0 | 120.0 |
| oqmd-323483 | box | -3.0393 | -3.0393 | 5.8001 | 5.8001 | 4.4639 | 90.0 | 90.0 | 120.0 |
| L1_2--AuCu3 | static | -3.0211 | -3.0211 | 4.0047 | 4.0047 | 4.0047 | 90.0 | 90.0 | 90.0 |
| oqmd-301693 | static | -3.0142 | -3.0142 | 3.8593 | 3.8593 | 8.7032 | 90.0 | 90.0 | 90.0 |
| A15--Cr3Si | static | -2.9322 | -2.9322 | 5.1727 | 5.1727 | 5.1727 | 90.0 | 90.0 | 90.0 |
| D0_3--BiF3 | static | -2.9016 | -2.9016 | 6.5545 | 6.5545 | 6.5545 | 90.0 | 90.0 | 90.0 |
| L1_2--AuCu3 | static | -2.74 | -2.74 | 3.6787 | 3.6787 | 3.6787 | 90.0 | 90.0 | 90.0 |
| D0_3--BiF3 | static | -2.4423 | -2.4423 | 5.9694 | 5.9694 | 5.9694 | 90.0 | 90.0 | 90.0 |
| A15--Cr3Si | static | -2.4031 | -2.4031 | 4.758 | 4.758 | 4.758 | 90.0 | 90.0 | 90.0 |
| L1_2--AuCu3 | dynamic | -2.3896 | -2.3896 | 3.6687 | 3.6687 | 3.6687 | 90.0 | 90.0 | 90.0 |
| L1_2--AuCu3 | static | -0.0 | -0.0 | 8.1103 | 8.1103 | 8.1103 | 90.0 | 90.0 | 90.0 |
| D0_3--BiF3 | static | -0.0 | -0.0 | 13.244 | 13.244 | 13.244 | 90.0 | 90.0 | 90.0 |
| L1_2--AuCu3 | dynamic | 0.0 | -0.0 | 9.8892 | 9.8892 | 9.8892 | 90.0 | 90.0 | 90.0 |
| D0_3--BiF3 | dynamic | 0.0 | -0.0 | 14.6357 | 14.6357 | 14.6357 | 90.0 | 90.0 | 90.0 |
Download raw data (including filtered results)
Reference structure matches:
B1--NaCl--rock-salt = oqmd-1105724
B2--CsCl = oqmd-306539
B3--ZnS--cubic-zinc-blende = oqmd-1222203
L1_0--AuCu = oqmd-338081
| prototype | method | Ecoh (eV/atom) | Epot (eV/atom) | a0 (Å) | b0 (Å) | c0 (Å) | α (degrees) | β (degrees) | γ (degrees) |
|---|---|---|---|---|---|---|---|---|---|
| oqmd-327623 | static | -2.6064 | -2.6064 | 3.1561 | 3.1561 | 13.6022 | 90.0 | 90.0 | 120.0 |
| oqmd-1229174 | static | -2.6014 | -2.6014 | 3.139 | 3.139 | 4.4511 | 90.0 | 90.0 | 120.0 |
| L1_0--AuCu | static | -2.5898 | -2.5898 | 3.2831 | 3.2831 | 3.8698 | 90.0 | 90.0 | 90.0 |
| L1_0--AuCu | box | -2.584 | -2.584 | 3.5767 | 3.5767 | 3.3064 | 90.0 | 90.0 | 90.0 |
| B2--CsCl | static | -2.5821 | -2.5821 | 3.4866 | 3.4866 | 3.4866 | 90.0 | 90.0 | 90.0 |
| oqmd-1220009 | box | -2.5818 | -2.5818 | 5.1067 | 3.1542 | 5.1154 | 90.0 | 90.0 | 90.0 |
| B1--NaCl--rock-salt | static | -2.4118 | -2.4118 | 5.665 | 5.665 | 5.665 | 90.0 | 90.0 | 90.0 |
| B2--CsCl | static | -2.115 | -2.115 | 3.1451 | 3.1451 | 3.1451 | 90.0 | 90.0 | 90.0 |
| oqmd-1225688 | box | -2.1066 | -2.1066 | 4.2854 | 4.2854 | 7.1376 | 90.0 | 90.0 | 120.0 |
| B3--ZnS--cubic-zinc-blende | static | -2.1031 | -2.1031 | 6.0834 | 6.0834 | 6.0834 | 90.0 | 90.0 | 90.0 |
| B2--CsCl | dynamic | -1.423 | -1.423 | 3.1325 | 3.1325 | 3.1325 | 90.0 | 90.0 | 90.0 |
| B2--CsCl | box | -1.342 | -1.342 | 3.1374 | 3.1374 | 3.1374 | 90.0 | 90.0 | 90.0 |
| B1--NaCl--rock-salt | static | -1.077 | -1.077 | 4.9723 | 4.9723 | 4.9723 | 90.0 | 90.0 | 90.0 |
| B3--ZnS--cubic-zinc-blende | static | -0.2168 | -0.2168 | 5.1195 | 5.1195 | 5.1195 | 90.0 | 90.0 | 90.0 |
| B3--ZnS--cubic-zinc-blende | box | -0.1463 | -0.1463 | 5.1277 | 5.1277 | 5.1277 | 90.0 | 90.0 | 90.0 |
| B2--CsCl | static | -0.0 | -0.0 | 6.622 | 6.622 | 6.622 | 90.0 | 90.0 | 90.0 |
| L1_0--AuCu | static | -0.0 | -0.0 | 5.952 | 5.952 | 7.791 | 90.0 | 90.0 | 90.0 |
| B1--NaCl--rock-salt | static | -0.0 | -0.0 | 11.4697 | 11.4697 | 11.4697 | 90.0 | 90.0 | 90.0 |
| B3--ZnS--cubic-zinc-blende | static | -0.0 | -0.0 | 13.244 | 13.244 | 13.244 | 90.0 | 90.0 | 90.0 |
| B2--CsCl | dynamic | 0.0 | -0.0 | 8.765 | 8.765 | 8.765 | 90.0 | 90.0 | 90.0 |
| L1_0--AuCu | dynamic | 0.0 | -0.0 | 7.4102 | 7.4102 | 11.3268 | 90.0 | 90.0 | 90.0 |
| B1--NaCl--rock-salt | dynamic | 0.0 | -0.0 | 13.2225 | 13.2225 | 13.2225 | 90.0 | 90.0 | 90.0 |
| B3--ZnS--cubic-zinc-blende | dynamic | 0.0 | -0.0 | 15.2265 | 15.2265 | 15.2265 | 90.0 | 90.0 | 90.0 |
Download raw data (including filtered results)
Reference structure matches:
| prototype | method | Ecoh (eV/atom) | Epot (eV/atom) | a0 (Å) | b0 (Å) | c0 (Å) | α (degrees) | β (degrees) | γ (degrees) |
|---|---|---|---|---|---|---|---|---|---|
| C1--CaF2--fluorite | dynamic | -2.3007 | -2.3007 | 6.8012 | 6.8012 | 6.8012 | 90.0 | 90.0 | 90.0 |
| C1--CaF2--fluorite | static | -0.3756 | -0.3756 | 5.9554 | 5.9554 | 5.9554 | 90.0 | 90.0 | 90.0 |
| C1--CaF2--fluorite | static | -0.0 | -0.0 | 13.244 | 13.244 | 13.244 | 90.0 | 90.0 | 90.0 |
| C1--CaF2--fluorite | dynamic | -0.0 | -0.0 | 14.8828 | 14.8828 | 14.8828 | 90.0 | 90.0 | 90.0 |
Download raw data (including filtered results)
Reference structure matches:
D0_3--BiF3 = oqmd-312941
L1_2--AuCu3 = mp-1184128, oqmd-347263
| prototype | method | Ecoh (eV/atom) | Epot (eV/atom) | a0 (Å) | b0 (Å) | c0 (Å) | α (degrees) | β (degrees) | γ (degrees) |
|---|---|---|---|---|---|---|---|---|---|
| oqmd-322777 | dynamic | -2.2977 | -2.2977 | 6.5671 | 6.5671 | 5.2619 | 90.0 | 90.0 | 120.0 |
| oqmd-322777 | box | -2.2954 | -2.2954 | 6.6261 | 6.6261 | 5.197 | 90.0 | 90.0 | 120.0 |
| mp-1184185 | dynamic | -2.2934 | -2.2934 | 4.5645 | 4.5645 | 9.235 | 90.0 | 90.0 | 90.0 |
| L1_2--AuCu3 | dynamic | -2.2932 | -2.2932 | 4.6088 | 4.6088 | 4.6088 | 90.0 | 90.0 | 90.0 |
| D0_3--BiF3 | static | -2.2693 | -2.2693 | 7.244 | 7.244 | 7.244 | 90.0 | 90.0 | 90.0 |
| A15--Cr3Si | static | -2.1978 | -2.1978 | 5.6853 | 5.6853 | 5.6853 | 90.0 | 90.0 | 90.0 |
| D0_3--BiF3 | static | -0.3915 | -0.3915 | 6.429 | 6.429 | 6.429 | 90.0 | 90.0 | 90.0 |
| A15--Cr3Si | dynamic | -0.1409 | -0.1409 | 5.1717 | 5.1717 | 5.1717 | 90.0 | 90.0 | 90.0 |
| L1_2--AuCu3 | static | -0.1207 | -0.1207 | 4.0834 | 4.0834 | 4.0834 | 90.0 | 90.0 | 90.0 |
| L1_2--AuCu3 | static | -0.0 | -0.0 | 8.1103 | 8.1103 | 8.1103 | 90.0 | 90.0 | 90.0 |
| D0_3--BiF3 | static | -0.0 | -0.0 | 13.244 | 13.244 | 13.244 | 90.0 | 90.0 | 90.0 |
| D0_3--BiF3 | dynamic | -0.0 | -0.0 | 14.6357 | 14.6357 | 14.6357 | 90.0 | 90.0 | 90.0 |
| L1_2--AuCu3 | dynamic | -0.0 | -0.0 | 9.8892 | 9.8892 | 9.8892 | 90.0 | 90.0 | 90.0 |
| D0_3--BiF3 | box | 0.0076 | 0.0076 | 6.4182 | 6.4182 | 6.4182 | 90.0 | 90.0 | 90.0 |
| D0_3--BiF3 | static | 1.2509 | 1.2509 | 6.509 | 6.509 | 6.509 | 90.0 | 90.0 | 90.0 |
Download raw data (including filtered results)
Reference structure matches:
A1--Cu--fcc = mp-20483, oqmd-676465, oqmd-684982, oqmd-1214556
A15--beta-W = oqmd-1215001, oqmd-1280413
A2--W--bcc = mp-22692, oqmd-676681, oqmd-1054546, oqmd-1215179
A3'--alpha-La--double-hcp = mp-1186444, oqmd-1215447
A3--Mg--hcp = mp-20745, oqmd-682982, oqmd-690432, oqmd-1215357
A4--C--dc = mp-1247117, oqmd-1215536
A5--beta-Sn = oqmd-1215625
A6--In--bct = oqmd-1215714
A7--alpha-As = oqmd-1215803
| prototype | method | Ecoh (eV/atom) | Epot (eV/atom) | a0 (Å) | b0 (Å) | c0 (Å) | α (degrees) | β (degrees) | γ (degrees) |
|---|---|---|---|---|---|---|---|---|---|
| oqmd-1216073 | dynamic | -2.03 | -2.03 | 3.472 | 3.472 | 25.5138 | 90.0 | 90.0 | 120.0 |
| A3'--alpha-La--double-hcp | dynamic | -2.03 | -2.03 | 3.472 | 3.472 | 11.3395 | 90.0 | 90.0 | 120.0 |
| A1--Cu--fcc | dynamic | -2.03 | -2.03 | 4.9101 | 4.9101 | 4.9101 | 90.0 | 90.0 | 90.0 |
| A3--Mg--hcp | dynamic | -2.03 | -2.03 | 3.472 | 3.472 | 5.6697 | 90.0 | 90.0 | 120.0 |
| oqmd-1215268 | box | -2.0274 | -2.0274 | 3.4294 | 6.0116 | 5.7702 | 90.0 | 90.0 | 90.0 |
| A2--W--bcc | dynamic | -2.0126 | -2.0126 | 3.8439 | 3.8439 | 3.8439 | 90.0 | 90.0 | 90.0 |
| oqmd-1214912 | dynamic | -1.9977 | -1.9977 | 8.3076 | 8.3076 | 8.3076 | 90.0 | 90.0 | 90.0 |
| oqmd-1214912 | box | -1.9966 | -1.9966 | 8.3122 | 8.3122 | 8.3122 | 90.0 | 90.0 | 90.0 |
| oqmd-1214823 | dynamic | -1.9843 | -1.9843 | 11.8785 | 11.8785 | 11.8785 | 90.0 | 90.0 | 90.0 |
| oqmd-1214823 | box | -1.98 | -1.98 | 11.863 | 11.863 | 11.863 | 90.0 | 90.0 | 90.0 |
| oqmd-1215090 | box | -1.9797 | -1.9797 | 5.6295 | 12.2056 | 3.6281 | 90.0 | 90.0 | 90.0 |
| A15--beta-W | dynamic | -1.9693 | -1.9693 | 6.1183 | 6.1183 | 6.1183 | 90.0 | 90.0 | 90.0 |
| mp-1102666 | box | -1.9338 | -1.9338 | 6.9388 | 6.9388 | 8.0408 | 90.0 | 90.0 | 90.0 |
| A5--beta-Sn | static | -1.9257 | -1.9257 | 6.3608 | 6.3608 | 3.3037 | 90.0 | 90.0 | 90.0 |
| Ah--alpha-Po--sc | dynamic | -1.8951 | -1.8951 | 3.2681 | 3.2681 | 3.2681 | 90.0 | 90.0 | 90.0 |
| oqmd-1215892 | box | -1.8951 | -1.8951 | 4.6216 | 4.6216 | 5.6609 | 90.0 | 90.0 | 120.0 |
| oqmd-1214734 | box | -1.7707 | -1.7707 | 5.6905 | 12.4922 | 3.7515 | 90.0 | 90.0 | 90.0 |
| A4--C--dc | static | -1.3782 | -1.3782 | 6.6378 | 6.6378 | 6.6378 | 90.0 | 90.0 | 90.0 |
| A3--Mg--hcp | static | 0.9144 | 0.9144 | 2.9364 | 2.9364 | 5.0741 | 90.0 | 90.0 | 120.0 |
| A1--Cu--fcc | static | 0.928 | 0.928 | 4.2204 | 4.2204 | 4.2204 | 90.0 | 90.0 | 90.0 |
| A3'--alpha-La--double-hcp | dynamic | 0.9281 | 0.9281 | 2.9749 | 2.9749 | 9.8093 | 90.0 | 90.0 | 120.0 |
| A15--beta-W | dynamic | 0.9282 | 0.9282 | 5.3534 | 5.3534 | 5.3534 | 90.0 | 90.0 | 90.0 |
| A2--W--bcc | dynamic | 0.9593 | 0.9593 | 3.3435 | 3.3435 | 3.3435 | 90.0 | 90.0 | 90.0 |
| Ah--alpha-Po--sc | static | 1.2871 | 1.2871 | 2.7537 | 2.7537 | 2.7537 | 90.0 | 90.0 | 90.0 |
| A5--beta-Sn | box | 1.4414 | 1.4414 | 5.1682 | 5.1682 | 2.9545 | 90.0 | 90.0 | 90.0 |
| A4--C--dc | static | 2.0866 | 2.0866 | 5.7657 | 5.7657 | 5.7657 | 90.0 | 90.0 | 90.0 |
| A15--beta-W | static | 5.5759 | 5.5759 | 5.4524 | 5.4524 | 5.4524 | 90.0 | 90.0 | 90.0 |
Static elastic constants are displayed for the unique structures identified in Crystal Structure Predictions above. The values displayed here are obtained by measuring the change in virial stresses due to applying small strains to the relaxed crystals. The initial structure and the strained states are all relaxed using force minimization.
The calculation method used is available as the iprPy elastic_constants_static calculation method.
Notes and Disclaimers:
Version Information:
| 169.276 | 124.759 | 124.759 | 0.000 | -0.000 | -0.000 |
| 124.759 | 169.276 | 124.759 | 0.000 | 0.000 | -0.000 |
| 124.759 | 124.759 | 169.276 | -0.000 | -0.000 | 0.000 |
| -0.000 | -0.000 | 0.000 | 77.071 | -0.000 | 0.000 |
| -0.000 | -0.000 | 0.000 | -0.000 | 77.071 | -0.000 |
| -0.000 | 0.000 | -0.000 | -0.000 | -0.000 | 77.071 |
| 169.276 | 124.759 | 124.759 | -0.000 | -0.000 | 0.000 |
| 124.759 | 169.276 | 124.759 | -0.000 | -0.000 | 0.000 |
| 124.759 | 124.759 | 169.276 | -0.000 | 0.000 | -0.000 |
| 0.000 | 0.000 | -0.000 | 77.071 | 0.000 | 0.000 |
| 0.000 | 0.000 | -0.000 | -0.000 | 77.071 | -0.000 |
| -0.000 | -0.000 | 0.000 | -0.000 | 0.000 | 77.071 |
| 169.277 | 124.759 | 124.759 | 0.000 | -0.000 | -0.000 |
| 124.759 | 169.277 | 124.759 | 0.000 | 0.000 | -0.000 |
| 124.759 | 124.759 | 169.277 | 0.000 | -0.000 | 0.000 |
| -0.000 | 0.000 | 0.000 | 77.071 | -0.000 | 0.000 |
| 0.000 | -0.000 | 0.000 | -0.000 | 77.071 | -0.000 |
| 0.000 | 0.000 | -0.000 | -0.000 | -0.000 | 77.071 |
| 169.276 | 124.759 | 124.759 | -0.000 | 0.000 | 0.000 |
| 124.759 | 169.276 | 124.759 | 0.000 | 0.000 | 0.000 |
| 124.759 | 124.759 | 169.276 | -0.000 | -0.000 | 0.000 |
| 0.000 | -0.000 | -0.000 | 77.071 | 0.000 | -0.000 |
| -0.000 | 0.000 | -0.000 | 0.000 | 77.071 | -0.000 |
| -0.000 | -0.000 | 0.000 | -0.000 | -0.000 | 77.071 |
| 169.277 | 124.759 | 124.759 | 0.000 | 0.000 | -0.000 |
| 124.759 | 169.277 | 124.759 | 0.000 | -0.000 | -0.000 |
| 124.759 | 124.759 | 169.277 | 0.000 | -0.000 | -0.000 |
| -0.000 | 0.000 | 0.000 | 77.071 | -0.000 | -0.000 |
| 0.000 | -0.000 | 0.000 | -0.000 | 77.071 | 0.000 |
| 0.000 | 0.000 | -0.000 | 0.000 | 0.000 | 77.071 |
| 169.276 | 124.758 | 124.758 | -0.000 | 0.000 | 0.000 |
| 124.758 | 169.276 | 124.758 | -0.000 | -0.000 | 0.000 |
| 124.758 | 124.758 | 169.276 | 0.000 | 0.000 | -0.000 |
| 0.000 | -0.000 | -0.000 | 77.071 | 0.000 | -0.000 |
| -0.000 | 0.000 | -0.000 | 0.000 | 77.071 | 0.000 |
| -0.000 | -0.000 | 0.000 | -0.000 | -0.000 | 77.071 |
| 261.857 | 71.293 | 71.293 | -0.000 | 0.000 | 0.000 |
| 71.293 | 261.857 | 71.293 | -0.000 | 0.000 | -0.000 |
| 71.293 | 71.293 | 261.857 | -0.000 | -0.000 | 0.000 |
| -0.000 | 0.000 | 0.000 | 11.405 | -0.000 | -0.000 |
| 0.000 | -0.000 | 0.000 | -0.000 | 11.405 | -0.000 |
| 0.000 | 0.000 | 0.000 | 0.000 | 0.000 | 11.405 |
| 261.857 | 71.293 | 71.293 | 0.000 | -0.000 | 0.000 |
| 71.293 | 261.857 | 71.293 | 0.000 | -0.000 | -0.000 |
| 71.293 | 71.293 | 261.857 | 0.000 | 0.000 | -0.000 |
| -0.000 | -0.000 | -0.000 | 11.405 | -0.000 | -0.000 |
| -0.000 | 0.000 | -0.000 | -0.000 | 11.405 | 0.000 |
| -0.000 | 0.000 | -0.000 | -0.000 | -0.000 | 11.405 |
| 261.857 | 71.293 | 71.293 | 0.000 | -0.000 | -0.000 |
| 71.293 | 261.857 | 71.293 | -0.000 | -0.000 | 0.000 |
| 71.293 | 71.293 | 261.857 | -0.000 | 0.000 | -0.000 |
| 0.000 | 0.000 | 0.000 | 11.405 | 0.000 | -0.000 |
| 0.000 | 0.000 | 0.000 | -0.000 | 11.405 | -0.000 |
| 0.000 | 0.000 | 0.000 | 0.000 | -0.000 | 11.405 |
| 261.857 | 71.293 | 71.293 | 0.000 | -0.000 | 0.000 |
| 71.293 | 261.857 | 71.293 | 0.000 | 0.000 | 0.000 |
| 71.293 | 71.293 | 261.857 | -0.000 | 0.000 | -0.000 |
| -0.000 | -0.000 | -0.000 | 11.405 | -0.000 | -0.000 |
| -0.000 | -0.000 | -0.000 | -0.000 | 11.405 | 0.000 |
| -0.000 | -0.000 | -0.000 | -0.000 | -0.000 | 11.405 |
| 261.858 | 71.293 | 71.293 | -0.000 | -0.000 | 0.000 |
| 71.293 | 261.858 | 71.293 | -0.000 | 0.000 | 0.000 |
| 71.293 | 71.293 | 261.858 | 0.000 | 0.000 | -0.000 |
| 0.000 | 0.000 | 0.000 | 11.405 | 0.000 | -0.000 |
| 0.000 | 0.000 | 0.000 | 0.000 | 24.189 | 0.000 |
| 0.000 | 0.000 | 0.000 | -0.000 | -0.000 | 24.189 |
| 261.856 | 71.293 | 71.293 | 0.000 | 0.000 | -0.000 |
| 71.293 | 261.856 | 71.293 | 0.000 | -0.000 | 0.000 |
| 71.293 | 71.293 | 261.856 | -0.000 | -0.000 | -0.000 |
| -0.000 | -0.000 | -0.000 | 11.405 | -0.000 | -0.000 |
| -0.000 | -0.000 | -0.000 | -0.000 | 24.189 | -0.000 |
| -0.000 | -0.000 | -0.000 | 0.000 | 0.000 | 24.189 |
| 143.793 | 144.212 | 144.212 | -0.000 | -0.000 | 0.000 |
| 144.212 | 143.793 | 144.212 | 0.000 | -0.000 | 0.000 |
| 144.212 | 144.212 | 143.793 | 0.000 | -0.000 | -0.000 |
| 0.000 | 0.000 | 0.000 | 96.083 | -0.000 | -0.000 |
| 0.000 | 0.000 | 0.000 | -0.000 | 96.083 | 0.000 |
| 0.000 | 0.000 | 0.000 | 0.000 | 0.000 | 96.083 |
| 143.793 | 144.212 | 144.212 | 0.000 | -0.000 | 0.000 |
| 144.212 | 143.793 | 144.212 | 0.000 | 0.000 | 0.000 |
| 144.212 | 144.212 | 143.793 | 0.000 | 0.000 | 0.000 |
| -0.000 | -0.000 | -0.000 | 96.083 | 0.000 | 0.000 |
| -0.000 | -0.000 | -0.000 | 0.000 | 96.083 | -0.000 |
| -0.000 | -0.000 | -0.000 | 0.000 | 0.000 | 96.083 |
| 143.794 | 144.212 | 144.212 | -0.000 | 0.000 | 0.000 |
| 144.212 | 143.794 | 144.212 | -0.000 | 0.000 | 0.000 |
| 144.212 | 144.212 | 143.794 | -0.000 | -0.000 | -0.000 |
| 0.000 | 0.000 | 0.000 | 96.083 | 0.000 | 0.000 |
| 0.000 | 0.000 | 0.000 | -0.000 | 96.083 | -0.000 |
| 0.000 | 0.000 | 0.000 | 0.000 | -0.000 | 96.083 |
| 143.793 | 144.212 | 144.212 | 0.000 | -0.000 | 0.000 |
| 144.212 | 143.793 | 144.212 | -0.000 | 0.000 | 0.000 |
| 144.212 | 144.212 | 143.793 | -0.000 | 0.000 | 0.000 |
| -0.000 | -0.000 | -0.000 | 96.083 | 0.000 | 0.000 |
| -0.000 | -0.000 | -0.000 | 0.000 | 96.083 | -0.000 |
| -0.000 | -0.000 | -0.000 | -0.000 | 0.000 | 96.083 |
| 143.795 | 144.214 | 144.214 | 0.000 | -0.000 | 0.000 |
| 144.214 | 143.795 | 144.214 | -0.000 | 0.000 | 0.000 |
| 144.214 | 144.214 | 143.795 | -0.000 | -0.000 | -0.000 |
| 0.001 | 0.001 | 0.001 | 96.083 | -0.000 | 0.000 |
| 0.001 | 0.001 | 0.001 | -0.000 | 96.083 | 0.000 |
| 0.001 | 0.001 | 0.001 | -0.000 | 0.000 | 96.083 |
| 143.791 | 144.211 | 144.211 | 0.000 | 0.000 | 0.000 |
| 144.211 | 143.791 | 144.211 | 0.000 | 0.000 | -0.000 |
| 144.211 | 144.211 | 143.791 | 0.000 | 0.000 | 0.000 |
| -0.001 | -0.001 | -0.001 | 96.083 | 0.000 | -0.000 |
| -0.001 | -0.001 | -0.001 | 0.000 | 96.083 | -0.000 |
| -0.001 | -0.001 | -0.001 | 0.000 | 0.000 | 96.083 |
| 207.362 | 123.310 | 88.607 | -0.000 | 0.000 | -0.000 |
| 106.539 | 224.133 | 88.607 | 0.000 | -0.000 | 0.000 |
| 88.607 | 88.607 | 241.704 | 0.000 | 0.000 | 0.000 |
| 0.000 | -0.000 | 0.000 | 40.655 | 0.000 | 0.000 |
| 0.000 | -0.000 | 0.000 | 0.000 | 40.655 | -0.000 |
| -0.000 | 0.000 | 0.000 | 0.000 | 0.000 | 58.797 |
| 207.362 | 123.310 | 88.607 | 0.000 | -0.000 | 0.000 |
| 123.310 | 207.362 | 88.607 | 0.000 | -0.000 | 0.000 |
| 88.607 | 88.607 | 241.704 | -0.000 | -0.000 | -0.000 |
| -0.000 | 0.000 | -0.000 | 40.655 | -0.000 | -0.000 |
| -0.000 | 0.000 | -0.000 | -0.000 | 40.655 | -0.000 |
| -0.000 | -0.000 | -0.000 | -0.000 | 0.000 | 58.797 |
| 224.133 | 106.539 | 88.607 | 0.000 | -0.000 | 0.000 |
| 123.310 | 207.362 | 88.607 | -0.000 | 0.000 | -0.000 |
| 88.607 | 88.607 | 241.704 | 0.000 | 0.000 | 0.000 |
| 0.000 | -0.000 | 0.000 | 40.655 | -0.000 | 0.000 |
| -0.000 | 0.000 | 0.000 | -0.000 | 40.655 | 0.000 |
| -0.000 | 0.000 | -0.000 | -0.000 | 0.000 | 42.026 |
| 224.133 | 106.539 | 88.607 | -0.000 | 0.000 | -0.000 |
| 106.539 | 224.133 | 88.607 | 0.000 | 0.000 | -0.000 |
| 88.607 | 88.607 | 241.704 | 0.000 | 0.000 | 0.000 |
| -0.000 | 0.000 | -0.000 | 40.655 | -0.000 | -0.000 |
| 0.000 | -0.000 | -0.000 | 0.000 | 40.655 | -0.000 |
| 0.000 | -0.000 | 0.000 | 0.000 | -0.000 | 42.026 |
| 207.363 | 123.310 | 88.607 | -0.000 | -0.000 | 0.000 |
| 106.540 | 224.134 | 88.607 | -0.000 | -0.000 | 0.000 |
| 88.608 | 88.608 | 241.705 | -0.000 | 0.000 | 0.000 |
| 0.000 | -0.000 | 0.000 | 40.655 | 0.000 | -0.000 |
| -0.000 | 0.000 | 0.000 | 0.000 | 40.655 | -0.000 |
| -0.000 | 0.000 | 0.000 | 0.000 | -0.000 | 58.797 |
| 207.361 | 123.310 | 88.607 | 0.000 | 0.000 | 0.000 |
| 123.309 | 207.362 | 88.607 | 0.000 | -0.000 | 0.000 |
| 88.607 | 88.607 | 241.704 | -0.000 | -0.000 | -0.000 |
| -0.000 | 0.000 | -0.000 | 40.655 | -0.000 | 0.000 |
| 0.000 | -0.000 | -0.000 | 0.000 | 40.655 | -0.000 |
| 0.000 | -0.000 | -0.000 | 0.000 | 0.000 | 58.797 |
| 224.148 | 106.582 | 88.959 | -0.000 | 0.000 | -0.000 |
| 106.582 | 224.148 | 88.959 | -0.000 | -0.000 | -0.000 |
| 88.959 | 88.959 | 239.116 | 0.000 | -0.000 | 0.000 |
| 0.000 | -0.000 | 0.000 | 40.735 | 0.000 | 0.000 |
| -0.000 | -0.000 | 0.000 | -0.000 | 40.735 | -0.000 |
| 0.000 | 0.000 | -0.000 | 0.000 | -0.000 | 41.705 |
| 207.070 | 123.660 | 88.959 | 0.000 | 0.000 | -0.000 |
| 106.582 | 224.148 | 88.959 | -0.000 | -0.000 | 0.000 |
| 88.959 | 88.959 | 239.116 | -0.000 | 0.000 | -0.000 |
| -0.000 | 0.000 | -0.000 | 40.735 | -0.000 | -0.000 |
| 0.000 | 0.000 | -0.000 | 0.000 | 40.735 | -0.000 |
| 0.000 | -0.000 | 0.000 | -0.000 | -0.000 | 41.705 |
| 224.148 | 106.582 | 88.959 | 0.000 | 0.000 | 0.000 |
| 123.660 | 207.070 | 88.959 | 0.000 | -0.000 | 0.000 |
| 88.959 | 88.959 | 239.116 | -0.000 | 0.000 | 0.000 |
| 0.000 | -0.000 | 0.000 | 40.735 | 0.000 | 0.000 |
| -0.000 | 0.000 | 0.000 | -0.000 | 40.735 | -0.000 |
| -0.000 | 0.000 | 0.000 | 0.000 | 0.000 | 58.783 |
| 224.148 | 106.582 | 88.959 | -0.000 | -0.000 | 0.000 |
| 106.582 | 224.148 | 88.959 | -0.000 | -0.000 | 0.000 |
| 88.959 | 88.959 | 239.116 | 0.000 | 0.000 | -0.000 |
| -0.000 | 0.000 | -0.000 | 40.735 | 0.000 | -0.000 |
| 0.000 | -0.000 | -0.000 | 0.000 | 40.735 | -0.000 |
| 0.000 | -0.000 | -0.000 | -0.000 | -0.000 | 58.783 |
| 224.149 | 106.582 | 88.959 | 0.000 | 0.000 | -0.000 |
| 123.660 | 207.070 | 88.959 | 0.000 | -0.000 | 0.000 |
| 88.960 | 88.960 | 239.116 | 0.000 | -0.000 | 0.000 |
| 0.000 | -0.000 | 0.000 | 40.735 | -0.000 | -0.000 |
| -0.000 | 0.000 | 0.000 | 0.000 | 40.735 | 0.000 |
| -0.000 | 0.000 | -0.000 | 0.000 | -0.000 | 41.705 |
| 207.069 | 123.660 | 88.959 | -0.000 | 0.000 | -0.000 |
| 123.659 | 207.069 | 88.959 | 0.000 | 0.000 | -0.000 |
| 88.959 | 88.959 | 239.116 | -0.000 | -0.000 | -0.000 |
| -0.000 | 0.000 | -0.000 | 40.735 | 0.000 | 0.000 |
| 0.000 | -0.000 | -0.000 | -0.000 | 40.735 | -0.000 |
| 0.000 | -0.000 | 0.000 | 0.000 | 0.000 | 41.705 |
| 39.406 | 61.448 | 61.448 | -0.000 | -0.000 | -0.000 |
| 61.448 | 39.406 | 61.448 | -0.000 | -0.000 | -0.000 |
| 61.448 | 61.448 | 39.406 | -0.000 | -0.000 | -0.000 |
| -0.000 | -0.000 | -0.000 | -29.422 | -0.000 | -0.000 |
| -0.000 | -0.000 | -0.000 | -0.000 | -29.422 | -0.000 |
| -0.000 | -0.000 | -0.000 | -0.000 | -0.000 | -29.422 |
| 39.406 | 61.448 | 61.448 | 0.000 | 0.000 | 0.000 |
| 61.448 | 39.406 | 61.448 | 0.000 | 0.000 | 0.000 |
| 61.448 | 61.448 | 39.406 | 0.000 | 0.000 | 0.000 |
| 0.000 | 0.000 | 0.000 | -29.422 | 0.000 | 0.000 |
| 0.000 | 0.000 | 0.000 | 0.000 | -29.422 | 0.000 |
| 0.000 | 0.000 | 0.000 | 0.000 | 0.000 | -29.422 |
| 39.406 | 61.448 | 61.448 | -0.000 | -0.000 | -0.000 |
| 61.448 | 39.406 | 61.448 | -0.000 | -0.000 | -0.000 |
| 61.448 | 61.448 | 39.406 | -0.000 | -0.000 | -0.000 |
| -0.000 | -0.000 | -0.000 | -29.422 | -0.000 | -0.000 |
| -0.000 | -0.000 | -0.000 | -0.000 | -29.422 | -0.000 |
| -0.000 | -0.000 | -0.000 | -0.000 | -0.000 | -29.422 |
| 39.406 | 61.448 | 61.448 | 0.000 | 0.000 | 0.000 |
| 61.448 | 39.406 | 61.448 | 0.000 | 0.000 | 0.000 |
| 61.448 | 61.448 | 39.406 | 0.000 | 0.000 | 0.000 |
| 0.000 | 0.000 | 0.000 | -29.422 | 0.000 | 0.000 |
| 0.000 | 0.000 | 0.000 | 0.000 | -29.422 | 0.000 |
| 0.000 | 0.000 | 0.000 | 0.000 | 0.000 | -29.422 |
| 39.405 | 61.448 | 61.448 | -0.000 | -0.000 | -0.000 |
| 61.448 | 39.405 | 61.448 | -0.000 | -0.000 | -0.000 |
| 61.448 | 61.448 | 39.405 | -0.000 | -0.000 | -0.000 |
| -0.000 | -0.000 | -0.000 | -29.422 | -0.000 | -0.000 |
| -0.000 | -0.000 | -0.000 | -0.000 | -29.422 | -0.000 |
| -0.000 | -0.000 | -0.000 | -0.000 | -0.000 | -29.422 |
| 39.406 | 61.447 | 61.447 | 0.000 | 0.000 | 0.000 |
| 61.447 | 39.406 | 61.447 | 0.000 | 0.000 | 0.000 |
| 61.447 | 61.447 | 39.406 | 0.000 | 0.000 | 0.000 |
| 0.000 | 0.000 | 0.000 | -29.422 | 0.000 | 0.000 |
| 0.000 | 0.000 | 0.000 | 0.000 | -29.422 | 0.000 |
| 0.000 | 0.000 | 0.000 | 0.000 | 0.000 | -29.422 |
| 275.716 | 16.972 | 48.293 | -0.000 | 0.000 | -0.000 |
| 16.972 | 275.716 | 48.293 | -0.000 | -0.000 | -0.000 |
| 48.293 | 48.293 | 267.024 | -0.000 | -0.000 | -0.000 |
| 0.000 | -0.000 | -0.000 | -14.729 | 0.000 | -0.000 |
| 0.000 | -0.000 | -0.000 | -0.000 | -14.729 | -0.000 |
| 0.000 | -0.000 | -0.000 | -0.000 | 0.000 | -26.472 |
| 13.227 | 279.461 | 48.293 | 0.000 | 0.000 | 0.000 |
| 279.461 | 13.227 | 48.293 | 0.000 | -0.000 | 0.000 |
| 48.293 | 48.293 | 267.024 | 0.000 | 0.000 | 0.000 |
| -0.000 | 0.000 | 0.000 | -14.729 | -0.000 | 0.000 |
| -0.000 | 0.000 | 0.000 | 0.000 | -14.729 | 0.000 |
| -0.000 | 0.000 | 0.000 | 0.000 | 0.000 | -26.472 |
| 13.227 | 279.461 | 48.293 | -0.000 | 0.000 | -0.000 |
| 279.461 | 13.227 | 48.293 | 0.000 | 0.000 | -0.000 |
| 48.293 | 48.293 | 267.025 | -0.000 | -0.000 | -0.000 |
| -0.000 | 0.000 | -0.000 | -14.729 | -0.000 | -0.000 |
| 0.000 | -0.000 | -0.000 | -0.000 | -14.729 | -0.000 |
| -0.000 | -0.000 | -0.000 | -0.000 | 0.000 | -26.472 |
| 275.716 | 16.972 | 48.293 | 0.000 | 0.000 | 0.000 |
| 16.972 | 275.716 | 48.293 | 0.000 | 0.000 | 0.000 |
| 48.293 | 48.293 | 267.024 | 0.000 | 0.000 | 0.000 |
| 0.000 | -0.000 | 0.000 | -14.729 | 0.000 | 0.000 |
| -0.000 | 0.000 | 0.000 | 0.000 | -14.729 | 0.000 |
| 0.000 | 0.000 | 0.000 | 0.000 | 0.000 | -26.472 |
| -506.808 | 799.499 | 48.289 | 0.000 | -0.000 | -0.000 |
| 1372.936 | -1080.231 | 48.281 | -0.000 | 0.000 | -0.000 |
| 48.293 | 48.293 | 267.026 | -0.000 | 0.000 | -0.000 |
| -0.000 | 0.000 | -0.000 | -14.729 | 0.000 | -0.000 |
| 0.000 | -0.000 | -0.000 | -0.000 | -14.729 | -0.000 |
| -0.000 | -0.000 | -0.000 | -0.000 | -0.000 | -26.472 |
| -1080.276 | 1372.947 | 48.305 | -0.000 | 0.000 | 0.000 |
| 1372.947 | -1080.276 | 48.305 | 0.000 | 0.001 | 0.000 |
| 48.293 | 48.293 | 267.023 | 0.000 | 0.000 | 0.000 |
| 0.000 | -0.000 | 0.000 | -14.729 | -0.000 | 0.000 |
| -0.000 | 0.000 | 0.000 | 0.000 | -14.729 | 0.000 |
| 0.000 | 0.000 | 0.000 | 0.000 | -0.000 | -26.472 |
| 42.911 | 20.897 | 76.246 | -36.611 | -0.000 | 0.000 |
| 20.876 | 42.890 | 76.231 | 36.611 | 0.000 | 0.000 |
| 69.248 | 69.248 | 90.821 | -0.000 | -0.000 | 0.000 |
| -36.631 | 36.590 | -0.015 | 48.013 | 0.000 | 0.000 |
| 0.000 | 0.000 | 0.000 | -0.000 | 48.013 | -36.611 |
| -0.020 | -0.020 | -0.015 | -0.000 | -36.611 | 11.007 |
| 42.910 | 20.897 | 76.246 | -36.611 | 0.000 | -0.000 |
| 20.917 | 42.931 | 76.261 | 36.611 | -0.000 | -0.000 |
| 69.247 | 69.247 | 90.821 | 0.000 | -0.000 | -0.000 |
| -36.590 | 36.631 | 0.015 | 48.013 | 0.000 | -0.000 |
| -0.000 | -0.000 | -0.000 | 0.000 | 48.013 | -36.611 |
| 0.020 | 0.020 | 0.015 | 0.000 | -36.611 | 11.007 |
| 42.908 | 20.895 | 76.244 | -36.611 | 0.000 | 0.000 |
| 20.895 | 42.908 | 76.244 | 36.611 | 0.000 | 0.000 |
| 69.245 | 69.245 | 90.819 | -0.000 | -0.000 | 0.000 |
| -36.611 | 36.611 | 0.000 | 48.013 | -0.000 | 0.000 |
| 0.000 | 0.000 | 0.000 | -0.000 | 48.013 | -36.611 |
| -0.002 | -0.002 | -0.001 | -0.000 | -36.611 | 11.007 |
| 42.910 | 20.897 | 76.246 | -36.611 | 0.000 | -0.000 |
| 20.897 | 42.910 | 76.246 | 36.611 | 0.000 | 0.000 |
| 69.250 | 69.250 | 90.822 | -0.000 | -0.000 | -0.000 |
| -36.609 | 36.613 | 0.001 | 48.013 | -0.000 | 0.000 |
| -0.000 | -0.000 | -0.000 | 0.000 | 48.013 | -36.611 |
| 0.002 | 0.002 | 0.001 | 0.000 | -36.611 | 11.007 |
| 42.911 | 20.897 | 76.246 | -36.611 | 0.000 | 0.000 |
| 20.897 | 42.911 | 76.246 | 36.611 | 0.000 | 0.000 |
| 69.248 | 69.248 | 90.821 | 0.000 | 0.000 | 0.000 |
| -36.611 | 36.611 | 0.000 | 48.014 | -0.000 | 0.000 |
| 0.000 | 0.000 | 0.000 | -0.000 | 48.013 | -36.611 |
| 0.000 | 0.000 | 0.000 | -0.000 | -36.611 | 11.007 |
| 42.910 | 20.896 | 76.245 | -36.611 | 0.000 | -0.000 |
| 20.896 | 42.910 | 76.245 | 36.611 | 0.000 | -0.000 |
| 69.247 | 69.247 | 90.821 | -0.000 | 0.000 | -0.000 |
| -36.611 | 36.611 | -0.000 | 48.013 | -0.000 | -0.000 |
| -0.000 | -0.000 | -0.000 | 0.000 | 48.013 | -36.611 |
| -0.000 | -0.000 | -0.000 | 0.000 | -36.611 | 11.007 |
| 277.639 | 17.197 | 17.197 | -0.000 | 0.000 | -0.000 |
| 17.197 | 277.639 | 17.197 | -0.000 | 0.000 | -0.000 |
| 17.197 | 17.197 | 277.639 | -0.000 | 0.000 | -0.000 |
| 0.000 | 0.000 | -0.000 | -24.666 | -0.000 | -0.000 |
| -0.000 | 0.000 | -0.000 | -0.000 | -24.666 | -0.000 |
| -0.000 | -0.000 | 0.000 | -0.000 | 0.000 | -24.666 |
| 277.639 | 17.197 | 17.197 | 0.000 | 0.000 | 0.000 |
| 17.197 | 277.639 | 17.197 | 0.000 | 0.000 | 0.000 |
| 17.197 | 17.197 | 277.639 | 0.000 | -0.000 | 0.000 |
| -0.000 | -0.000 | 0.000 | -24.666 | -0.000 | -0.000 |
| 0.000 | -0.000 | 0.000 | -0.000 | -24.666 | -0.000 |
| 0.000 | 0.000 | -0.000 | 0.000 | -0.000 | -24.666 |
| 277.639 | 17.197 | 17.197 | -0.000 | 0.000 | -0.000 |
| 17.197 | 277.639 | 17.197 | 0.000 | 0.000 | -0.000 |
| 17.197 | 17.197 | 277.639 | 0.000 | 0.000 | -0.000 |
| -0.000 | 0.000 | -0.000 | -24.666 | 0.000 | -0.000 |
| 0.000 | -0.000 | -0.000 | -0.000 | -24.666 | -0.000 |
| 0.000 | -0.000 | -0.000 | -0.000 | 0.000 | -24.666 |
| 277.639 | 17.197 | 17.197 | 0.000 | -0.000 | 0.000 |
| 17.197 | 277.639 | 17.197 | 0.000 | -0.000 | 0.000 |
| 17.197 | 17.197 | 277.639 | -0.000 | -0.000 | 0.000 |
| 0.000 | -0.000 | 0.000 | -24.666 | -0.000 | -0.000 |
| -0.000 | 0.000 | 0.000 | 0.000 | -24.666 | 0.000 |
| -0.000 | 0.000 | 0.000 | -0.000 | -0.000 | -24.666 |
| 277.640 | 17.197 | 17.197 | -0.000 | 0.000 | -0.000 |
| 17.197 | 277.640 | 17.197 | -0.000 | 0.000 | -0.000 |
| 17.197 | 17.197 | 277.640 | 0.000 | 0.000 | -0.000 |
| -0.000 | 0.000 | -0.000 | -24.666 | 0.000 | -0.000 |
| 0.000 | -0.000 | -0.000 | 0.000 | -24.666 | -0.000 |
| 0.000 | -0.000 | -0.000 | -0.000 | 0.000 | -24.666 |
| 277.638 | 17.197 | 17.197 | 0.000 | -0.000 | 0.000 |
| 17.197 | 277.638 | 17.197 | -0.000 | -0.000 | 0.000 |
| 17.197 | 17.197 | 277.638 | -0.000 | -0.000 | 0.000 |
| 0.000 | -0.000 | 0.000 | -24.666 | -0.000 | 0.000 |
| -0.000 | 0.000 | 0.000 | -0.000 | -24.666 | 0.000 |
| -0.000 | 0.000 | 0.000 | 0.000 | -0.000 | -24.666 |
| 209.111 | 58.389 | 114.644 | 0.000 | 0.876 | -0.000 |
| 63.655 | 237.147 | 33.366 | 0.000 | 0.153 | 0.000 |
| 115.933 | 29.925 | 232.483 | 0.000 | -0.496 | -0.000 |
| 0.643 | -3.951 | -0.587 | -9.189 | 0.175 | -0.251 |
| 0.894 | -3.489 | -1.158 | -0.000 | 67.907 | 0.000 |
| 0.464 | -2.777 | -0.256 | -0.793 | 1.005 | -96.834 |
| 207.808 | 66.391 | 115.814 | -0.000 | 0.411 | 0.000 |
| 62.610 | 243.568 | 34.319 | 0.000 | -0.139 | -0.000 |
| 114.626 | 37.953 | 233.654 | -0.000 | -0.977 | -0.000 |
| -0.643 | 3.951 | 0.587 | -9.189 | -0.175 | -0.251 |
| -0.423 | 4.601 | 0.040 | -0.000 | 67.519 | 0.000 |
| -0.464 | 2.777 | 0.256 | -0.793 | -1.005 | -96.834 |
| 208.460 | 62.379 | 115.216 | 0.000 | 0.581 | -0.000 |
| 63.156 | 240.217 | 33.823 | 0.000 | 0.022 | 0.000 |
| 114.978 | 35.806 | 233.379 | -0.000 | -0.634 | 0.000 |
| 0.000 | 0.000 | 0.000 | -9.188 | 0.000 | -0.157 |
| 0.460 | -0.827 | -0.780 | 0.000 | 67.692 | 0.000 |
| 0.046 | -0.276 | -0.025 | -0.810 | 0.103 | -99.459 |
| 208.788 | 60.353 | 114.896 | 0.000 | 0.567 | 0.000 |
| 63.050 | 240.866 | 33.920 | -0.000 | -0.007 | 0.000 |
| 115.300 | 33.820 | 233.063 | -0.000 | -0.664 | 0.000 |
| -0.000 | -0.000 | -0.000 | -9.188 | -0.000 | -0.157 |
| 0.201 | 0.757 | -0.548 | 0.000 | 67.601 | 0.000 |
| -0.046 | 0.276 | 0.025 | -0.810 | -0.103 | -99.459 |
| 208.415 | 62.661 | 115.259 | 0.000 | 0.568 | 0.000 |
| 63.108 | 240.513 | 33.867 | 0.000 | 0.009 | 0.000 |
| 115.352 | 33.504 | 233.019 | -0.000 | -0.647 | -0.000 |
| 0.005 | -0.028 | -0.002 | -9.192 | 0.010 | -0.846 |
| 0.341 | -0.102 | -0.678 | 0.000 | 67.620 | -0.000 |
| 0.007 | -0.025 | -0.000 | -0.810 | 0.011 | -99.486 |
| 208.403 | 62.726 | 115.267 | -0.000 | 0.565 | -0.000 |
| 63.097 | 240.573 | 33.876 | -0.000 | 0.006 | 0.000 |
| 115.341 | 33.563 | 233.023 | 0.000 | -0.651 | 0.000 |
| -0.005 | 0.028 | 0.002 | -9.192 | -0.010 | -0.846 |
| 0.337 | -0.062 | -0.635 | -0.000 | 67.837 | 0.000 |
| -0.007 | 0.025 | 0.000 | -0.810 | -0.011 | -99.486 |
| 119.055 | 57.291 | 39.214 | 11.043 | -0.000 | 0.000 |
| 36.399 | 97.359 | -3.735 | -10.429 | 0.000 | -0.000 |
| 39.227 | 39.227 | 105.039 | 0.000 | 0.000 | -0.000 |
| -29.309 | -50.930 | -84.290 | 16.796 | 0.000 | -0.000 |
| 0.000 | 0.000 | 0.000 | -0.000 | 17.152 | 11.043 |
| 0.000 | 0.000 | 0.000 | -0.000 | 11.043 | 30.882 |
| 119.055 | 57.291 | 39.214 | 11.043 | -0.000 | -0.000 |
| 95.455 | 156.913 | 118.193 | -10.810 | -0.000 | 0.000 |
| 74.045 | 74.045 | 175.884 | 0.000 | 0.000 | -0.000 |
| 11.043 | -11.043 | -0.000 | 17.152 | 0.000 | 0.000 |
| -0.000 | -0.000 | -0.000 | -0.000 | 17.152 | 11.043 |
| -0.000 | -0.000 | -0.000 | 0.000 | 11.043 | 30.882 |
| 119.055 | 57.291 | 39.214 | 11.043 | 0.000 | -0.000 |
| 51.310 | 112.770 | 25.453 | -10.811 | 0.000 | -0.000 |
| 39.227 | 39.227 | 105.039 | -0.000 | -0.000 | -0.000 |
| 6.792 | -14.827 | -8.441 | 16.796 | -0.000 | 0.000 |
| -0.000 | 0.000 | 0.000 | 0.000 | 17.152 | 11.043 |
| 0.000 | 0.000 | 0.000 | 0.000 | 11.043 | 30.882 |
| 119.055 | 57.291 | 39.214 | 11.043 | -0.000 | 0.000 |
| 57.291 | 119.055 | 39.214 | -11.043 | -0.000 | -0.000 |
| 39.227 | 39.227 | 105.039 | 0.000 | -0.000 | 0.000 |
| 11.043 | -11.043 | -0.000 | 17.152 | 0.000 | 0.000 |
| 0.000 | -0.000 | -0.000 | -0.000 | 17.152 | 11.043 |
| -0.000 | -0.000 | -0.000 | -0.000 | 11.043 | 30.882 |
| 119.056 | 57.291 | 39.214 | 11.043 | -0.000 | -0.000 |
| 44.651 | 103.255 | 1.985 | -8.628 | 0.000 | -0.000 |
| 6.472 | 6.472 | 19.077 | -0.000 | -0.000 | -0.000 |
| 11.043 | -11.044 | 0.000 | 17.152 | -0.000 | -0.000 |
| -0.000 | -0.000 | 0.000 | 0.000 | 17.152 | 11.043 |
| 0.546 | 0.546 | 1.306 | 0.000 | 9.225 | 29.692 |
| 108.451 | 48.601 | 14.268 | 9.581 | 0.000 | 0.000 |
| 54.421 | 115.638 | 31.033 | -10.625 | 0.000 | 0.000 |
| 39.227 | 39.227 | 105.039 | -0.000 | 0.000 | 0.000 |
| 11.043 | -11.043 | -0.000 | 17.152 | 0.000 | 0.000 |
| 0.000 | 0.000 | -0.000 | -0.000 | 17.152 | 11.043 |
| -0.546 | -0.546 | -1.306 | -0.000 | 9.225 | 29.692 |
| 118.689 | 57.110 | 39.144 | -11.030 | -0.000 | -0.000 |
| 57.110 | 118.689 | 39.144 | 11.030 | 0.000 | -0.000 |
| 39.144 | 39.144 | 104.778 | 0.000 | -0.000 | -0.000 |
| -517.638 | -498.218 | -1333.013 | 15.115 | 0.000 | 0.000 |
| 0.000 | 0.000 | 0.000 | -0.000 | 17.131 | -11.030 |
| 0.000 | 0.000 | 0.000 | 0.000 | -11.030 | 30.790 |
| 1046.119 | 988.446 | 2545.965 | -8.047 | 0.000 | 0.000 |
| 972.432 | 1029.920 | 2510.713 | 7.899 | -0.000 | 0.000 |
| 39.144 | 39.144 | 104.778 | -0.000 | -0.000 | -0.000 |
| -11.030 | 11.030 | -0.000 | 17.131 | -0.000 | -0.000 |
| -0.000 | -0.000 | -0.000 | 0.000 | 17.131 | -11.030 |
| -0.000 | -0.000 | -0.000 | -0.000 | -11.030 | 30.790 |
| 118.689 | 57.110 | 39.144 | -11.030 | -0.000 | -0.000 |
| 1.408 | 61.435 | -107.813 | 9.846 | 0.000 | -0.000 |
| 39.144 | 39.144 | 104.778 | 0.000 | 0.000 | -0.000 |
| -60.716 | -41.308 | -133.877 | 15.107 | 0.000 | -0.000 |
| -0.000 | -0.000 | 0.000 | -0.000 | 17.131 | -11.030 |
| -0.000 | 0.000 | -0.000 | -0.000 | -11.030 | 30.790 |
| 118.689 | 57.110 | 39.144 | -11.030 | 0.000 | 0.000 |
| 137.590 | 195.052 | 251.789 | 7.878 | 0.000 | 0.000 |
| 57.013 | 57.013 | 154.359 | -0.000 | -0.000 | 0.000 |
| 41.308 | 60.716 | 133.877 | 15.107 | 0.000 | 0.000 |
| 0.000 | 0.000 | -0.000 | 0.000 | 17.131 | -11.030 |
| 0.000 | -0.000 | 0.000 | 0.000 | -11.030 | 30.790 |
| 90.758 | 37.038 | -25.256 | -4.955 | 0.000 | -0.000 |
| 47.404 | 107.959 | 13.161 | 10.249 | 0.000 | -0.000 |
| 39.144 | 39.144 | 104.778 | 0.000 | -0.000 | -0.000 |
| -11.030 | 11.030 | 0.000 | 17.131 | -0.000 | 0.000 |
| -6.935 | -6.935 | -18.201 | -0.000 | 14.379 | -9.227 |
| -0.000 | 0.000 | -0.000 | -0.000 | -11.030 | 30.790 |
| 118.689 | 57.110 | 39.144 | -11.030 | 0.000 | 0.000 |
| 54.909 | 115.878 | 33.066 | 10.565 | -0.000 | 0.000 |
| 39.144 | 39.144 | 104.777 | -0.000 | -0.000 | 0.000 |
| -2.292 | 16.163 | 18.201 | 14.379 | -0.000 | 0.000 |
| 6.935 | 6.935 | 18.201 | 0.000 | 14.379 | -9.227 |
| 0.000 | -0.000 | 0.000 | 0.000 | -11.030 | 30.790 |
| 118.741 | 57.134 | 39.161 | -11.035 | 0.000 | -0.000 |
| 51.883 | 112.661 | 24.926 | 10.404 | -0.000 | 0.000 |
| 39.161 | 39.161 | 104.823 | -0.000 | -0.000 | 0.000 |
| -11.035 | 11.035 | -0.000 | 17.138 | 0.000 | 0.000 |
| 0.830 | 0.830 | 1.968 | 0.000 | 12.192 | -7.795 |
| 0.676 | 0.676 | 1.603 | -0.000 | -8.396 | 29.073 |
| 112.556 | 51.749 | 24.670 | -10.425 | -0.000 | -0.000 |
| 57.134 | 118.741 | 39.161 | 11.035 | 0.000 | -0.000 |
| 23.549 | 23.549 | 65.429 | -0.000 | -0.000 | -0.000 |
| -11.035 | 11.035 | -0.000 | 17.138 | 0.000 | -0.000 |
| -0.830 | -0.830 | -1.968 | 0.000 | 12.192 | -7.795 |
| -0.676 | -0.676 | -1.603 | 0.000 | -8.396 | 29.073 |
| 118.741 | 57.134 | 39.161 | -11.035 | 0.000 | 0.000 |
| 57.134 | 118.741 | 39.161 | 11.035 | 0.000 | -0.000 |
| 23.559 | 23.559 | 65.427 | -0.000 | -0.000 | 0.000 |
| -7.712 | 7.878 | 0.197 | 12.192 | -0.000 | 0.000 |
| -0.357 | -0.357 | -0.795 | 0.000 | 7.272 | -4.670 |
| 0.083 | 0.083 | 0.197 | -0.000 | -7.795 | 28.679 |
| 112.591 | 51.799 | 24.758 | -10.415 | 0.000 | 0.000 |
| 51.799 | 112.591 | 24.758 | 10.415 | -0.000 | 0.000 |
| 23.557 | 23.557 | 65.425 | -0.000 | 0.000 | -0.000 |
| -11.035 | 11.035 | -0.000 | 17.138 | -0.000 | -0.000 |
| 0.357 | 0.357 | 0.795 | -0.000 | 7.272 | -4.670 |
| -0.083 | -0.083 | -0.197 | 0.000 | -7.795 | 28.679 |
| 112.598 | 51.806 | 24.771 | -10.413 | -0.000 | 0.000 |
| 57.135 | 118.741 | 39.161 | 11.035 | 0.000 | -0.000 |
| 23.558 | 23.558 | 65.426 | -0.000 | 0.000 | 0.000 |
| -11.035 | 11.035 | 0.000 | 17.138 | -0.000 | 0.000 |
| 0.004 | 0.004 | 0.010 | -0.000 | 14.665 | -9.415 |
| -0.000 | 0.000 | -0.000 | -0.000 | -11.035 | 30.803 |
| 112.595 | 51.804 | 24.769 | -10.414 | 0.000 | -0.000 |
| 57.134 | 118.740 | 39.161 | 11.035 | -0.000 | -0.000 |
| 8.083 | 8.083 | 22.630 | 0.000 | 0.000 | -0.000 |
| -7.803 | 7.786 | -0.020 | 12.192 | 0.000 | -0.000 |
| -0.004 | -0.004 | -0.010 | 0.000 | 14.665 | -9.415 |
| 0.000 | -0.000 | 0.000 | 0.000 | -11.035 | 30.803 |
| 131.836 | 61.626 | 144.934 | 0.000 | 0.000 | 0.000 |
| 181.042 | 205.094 | 180.948 | 0.000 | 0.000 | 0.000 |
| 248.831 | 40.883 | 235.332 | -0.000 | 0.000 | -0.000 |
| 119.477 | -23.812 | 119.418 | 8.930 | 0.000 | 0.000 |
| 0.000 | 0.000 | 0.000 | 0.000 | 103.821 | -0.000 |
| 0.000 | 0.000 | 0.000 | 0.000 | -0.000 | 17.750 |
| -0.680 | 88.036 | 12.485 | -0.000 | -0.000 | -0.000 |
| 60.210 | 229.175 | 60.176 | -0.000 | -0.000 | -0.000 |
| 144.932 | 61.590 | 131.485 | 0.000 | -0.000 | -0.000 |
| -119.477 | 23.812 | -119.418 | 8.930 | -0.000 | 0.000 |
| -0.000 | -0.000 | -0.000 | -0.000 | 103.821 | -0.000 |
| -0.000 | -0.000 | -0.000 | -0.000 | 0.000 | 17.750 |
| 131.836 | 61.626 | 144.934 | 0.000 | 0.000 | 0.000 |
| 60.210 | 229.176 | 60.176 | 0.000 | -0.000 | 0.000 |
| 144.932 | 61.590 | 131.485 | -0.000 | 0.000 | 0.000 |
| 21.148 | -4.215 | 21.138 | 1.080 | -0.000 | 0.000 |
| 11.842 | -2.360 | 11.836 | 0.000 | 103.821 | 0.000 |
| 0.000 | 0.000 | 0.000 | 0.000 | -0.000 | 17.750 |
| 131.836 | 61.625 | 144.934 | -0.000 | 0.000 | -0.000 |
| 60.210 | 229.175 | 60.176 | -0.000 | 0.000 | -0.000 |
| 118.534 | 66.851 | 105.100 | 0.000 | 0.000 | -0.000 |
| -21.148 | 4.215 | -21.138 | 1.080 | -0.000 | 0.000 |
| -11.842 | 2.360 | -11.836 | -0.000 | 103.821 | -0.000 |
| -0.000 | -0.000 | -0.000 | -0.000 | -0.000 | 17.750 |
| 131.837 | 61.626 | 144.934 | 0.000 | 0.000 | -0.000 |
| 64.297 | 228.362 | 64.262 | 0.000 | 0.000 | -0.000 |
| 131.528 | 64.261 | 118.088 | -0.000 | -0.000 | -0.000 |
| -0.000 | 0.000 | 0.000 | 19.125 | -0.000 | 0.000 |
| 0.000 | 0.000 | 0.000 | 0.000 | 103.821 | -0.000 |
| 1.180 | -0.235 | 1.179 | 0.000 | -0.000 | -55.924 |
| 116.064 | 64.768 | 129.171 | -0.000 | 0.000 | -0.000 |
| 61.938 | 228.830 | 61.903 | -0.000 | -0.000 | 0.000 |
| 129.169 | 64.731 | 115.728 | 0.000 | 0.000 | 0.000 |
| 0.000 | -0.000 | -0.000 | 19.125 | 0.000 | 0.000 |
| -0.000 | -0.000 | -0.000 | -0.000 | 103.821 | -0.000 |
| -1.180 | 0.235 | -1.179 | -0.000 | -0.000 | -55.924 |
| 215.116 | 103.604 | 103.604 | 0.000 | 0.000 | 0.000 |
| 103.604 | 215.116 | 103.604 | 0.000 | 0.000 | 0.000 |
| 103.604 | 103.604 | 215.116 | 0.000 | 0.000 | 0.000 |
| 0.244 | 0.244 | 0.244 | 28.083 | 0.000 | 0.000 |
| 0.244 | 0.244 | 0.244 | 0.000 | 28.083 | 0.000 |
| 0.244 | 0.244 | 0.244 | 0.000 | 0.000 | 28.083 |
| 233.039 | 85.922 | 85.922 | -0.000 | 0.000 | 0.000 |
| 85.922 | 233.039 | 85.922 | 0.000 | -0.000 | 0.000 |
| 85.922 | 85.922 | 233.039 | 0.000 | 0.000 | 0.000 |
| -0.244 | -0.244 | -0.244 | 28.083 | -0.000 | -0.000 |
| -0.244 | -0.244 | -0.244 | -0.000 | 28.083 | -0.000 |
| -0.244 | -0.244 | -0.244 | -0.000 | -0.000 | 28.083 |
| 233.039 | 85.922 | 85.922 | -0.000 | -0.000 | -0.000 |
| 85.922 | 233.039 | 85.922 | -0.000 | -0.000 | -0.000 |
| 85.922 | 85.922 | 233.039 | -0.000 | -0.000 | -0.000 |
| 0.000 | -0.000 | -0.000 | 38.695 | -0.000 | -0.000 |
| -0.000 | 0.000 | -0.000 | -0.000 | 38.695 | -0.000 |
| -0.000 | -0.000 | 0.000 | 0.000 | -0.000 | 38.695 |
| 233.039 | 85.922 | 85.922 | 0.000 | 0.000 | 0.000 |
| 85.922 | 233.039 | 85.922 | 0.000 | 0.000 | 0.000 |
| 85.922 | 85.922 | 233.039 | 0.000 | 0.000 | 0.000 |
| -0.000 | 0.000 | 0.000 | 38.695 | 0.000 | 0.000 |
| 0.000 | -0.000 | 0.000 | 0.000 | 38.695 | 0.000 |
| 0.000 | 0.000 | -0.000 | 0.000 | 0.000 | 38.695 |
| 220.815 | 92.014 | 92.014 | 0.000 | 0.000 | 0.000 |
| 92.014 | 220.815 | 92.014 | 0.000 | 0.000 | 0.000 |
| 92.014 | 92.014 | 220.815 | 0.000 | 0.000 | 0.000 |
| 0.000 | -0.000 | -0.000 | 38.695 | -0.000 | -0.000 |
| -0.000 | 0.000 | -0.000 | -0.000 | 38.695 | -0.000 |
| -0.000 | -0.000 | 0.000 | -0.000 | -0.000 | 38.695 |
| 220.781 | 92.023 | 92.023 | -0.000 | -0.000 | -0.000 |
| 92.023 | 220.781 | 92.023 | -0.000 | -0.000 | -0.000 |
| 92.023 | 92.023 | 220.781 | -0.000 | -0.000 | -0.000 |
| -0.000 | 0.000 | 0.000 | 38.695 | 0.000 | 0.000 |
| 0.000 | -0.000 | 0.000 | 0.000 | 38.695 | 0.000 |
| 0.000 | 0.000 | -0.000 | 0.000 | 0.000 | 38.695 |
| 233.014 | 85.915 | 85.915 | -0.000 | -0.000 | -0.000 |
| 85.915 | 233.014 | 85.915 | -0.000 | -0.000 | -0.000 |
| 85.915 | 85.915 | 233.014 | -0.000 | -0.000 | -0.000 |
| -0.000 | -0.000 | -0.000 | 38.707 | -0.000 | -0.000 |
| -0.000 | -0.000 | -0.000 | -0.000 | 38.707 | -0.000 |
| -0.000 | -0.000 | -0.000 | -0.000 | -0.000 | 38.707 |
| 106.893 | -18.123 | -18.123 | -0.000 | 0.000 | 0.000 |
| -18.123 | 106.893 | -18.123 | 0.000 | -0.000 | 0.000 |
| -18.123 | -18.123 | 106.893 | 0.000 | 0.000 | 0.000 |
| 0.000 | 0.000 | 0.000 | 38.707 | 0.000 | 0.000 |
| 0.000 | 0.000 | 0.000 | 0.000 | 38.707 | 0.000 |
| 0.000 | 0.000 | 0.000 | 0.000 | 0.000 | 38.707 |
| 233.014 | 85.915 | 85.915 | -0.000 | -0.000 | -0.000 |
| 85.915 | 233.014 | 85.915 | -0.000 | -0.000 | -0.000 |
| 85.915 | 85.915 | 233.014 | -0.000 | -0.000 | -0.000 |
| 0.000 | -0.000 | -0.000 | 38.707 | -0.000 | -0.000 |
| -0.000 | 0.000 | -0.000 | -0.000 | 38.707 | -0.000 |
| -0.000 | -0.000 | 0.000 | -0.000 | -0.000 | 38.707 |
| 199.212 | 79.464 | 79.464 | -0.000 | -0.000 | -0.000 |
| 79.464 | 199.212 | 79.464 | 0.000 | -0.000 | 0.000 |
| 79.464 | 79.464 | 199.212 | 0.000 | -0.000 | -0.000 |
| -0.000 | 0.000 | 0.000 | 38.707 | 0.000 | 0.000 |
| 0.000 | -0.000 | 0.000 | 0.000 | 38.707 | 0.000 |
| 0.000 | 0.000 | -0.000 | 0.000 | 0.000 | 38.707 |
| 218.245 | 94.710 | 94.710 | -0.000 | -0.000 | -0.000 |
| 94.710 | 218.245 | 94.710 | -0.000 | -0.000 | -0.000 |
| 94.710 | 94.710 | 218.245 | -0.000 | -0.000 | -0.000 |
| 0.000 | -0.000 | -0.000 | 38.707 | -0.000 | -0.000 |
| -0.000 | 0.000 | -0.000 | -0.000 | 38.707 | -0.000 |
| -0.000 | -0.000 | 0.000 | -0.000 | -0.000 | 38.707 |
| 214.839 | 94.598 | 94.598 | -0.000 | -0.000 | -0.000 |
| 94.598 | 214.839 | 94.598 | -0.000 | -0.000 | -0.000 |
| 94.598 | 94.598 | 214.839 | -0.000 | -0.000 | -0.000 |
| -0.000 | 0.000 | 0.000 | 38.707 | 0.000 | 0.000 |
| 0.000 | -0.000 | 0.000 | 0.000 | 38.707 | 0.000 |
| 0.000 | 0.000 | -0.000 | 0.000 | 0.000 | 38.707 |
| 178.397 | 110.385 | 110.385 | 0.000 | -0.000 | 0.000 |
| 110.385 | 178.397 | 110.385 | 0.000 | -0.000 | 0.000 |
| 110.385 | 110.385 | 178.397 | 0.000 | -0.000 | 0.000 |
| -0.555 | -0.555 | -0.555 | 45.667 | -0.000 | 0.000 |
| -0.555 | -0.555 | -0.555 | 0.000 | 45.667 | 0.000 |
| -0.555 | -0.555 | -0.555 | 0.000 | -0.000 | 45.667 |
| 184.448 | 107.392 | 107.392 | 0.000 | -0.000 | 0.000 |
| 107.392 | 184.448 | 107.392 | -0.000 | -0.000 | 0.000 |
| 107.392 | 107.392 | 184.448 | -0.000 | -0.000 | 0.000 |
| 0.555 | 0.555 | 0.555 | 45.667 | 0.000 | -0.000 |
| 0.165 | 0.165 | 0.165 | 0.000 | 45.741 | 0.000 |
| 0.165 | 0.165 | 0.165 | 0.000 | 0.000 | 45.741 |
| 179.371 | 109.509 | 109.509 | 0.000 | -0.000 | 0.000 |
| 109.509 | 179.371 | 109.509 | 0.000 | -0.000 | 0.000 |
| 109.509 | 109.509 | 179.371 | 0.000 | -0.000 | 0.000 |
| -0.001 | -0.000 | -0.000 | 46.959 | -0.000 | 0.000 |
| -0.000 | -0.001 | -0.000 | -0.000 | 46.959 | 0.000 |
| -0.000 | -0.000 | -0.001 | 0.000 | -0.000 | 46.959 |
| 179.366 | 109.429 | 109.429 | -0.000 | 0.000 | -0.000 |
| 109.429 | 179.366 | 109.429 | -0.000 | 0.000 | -0.000 |
| 109.429 | 109.429 | 179.366 | -0.000 | 0.000 | -0.000 |
| 0.001 | 0.000 | 0.000 | 46.959 | 0.000 | -0.000 |
| 0.000 | 0.001 | 0.000 | 0.000 | 46.959 | -0.000 |
| 0.000 | 0.000 | 0.001 | -0.000 | 0.000 | 46.959 |
| 176.487 | 110.351 | 110.351 | 0.000 | -0.000 | 0.000 |
| 110.351 | 176.487 | 110.351 | -0.000 | -0.000 | 0.000 |
| 110.351 | 110.351 | 176.487 | 0.000 | -0.000 | 0.000 |
| 0.004 | 0.004 | 0.004 | 48.512 | -0.000 | 0.000 |
| 0.004 | 0.004 | 0.004 | 0.000 | 48.512 | 0.000 |
| 0.004 | 0.004 | 0.004 | 0.000 | -0.000 | 48.512 |
| 184.446 | 107.391 | 107.391 | -0.000 | -0.000 | 0.000 |
| 107.391 | 184.446 | 107.391 | 0.000 | -0.000 | -0.000 |
| 107.391 | 107.391 | 184.446 | -0.000 | -0.000 | 0.000 |
| -0.004 | -0.004 | -0.004 | 48.512 | 0.000 | -0.000 |
| -0.004 | -0.004 | -0.004 | -0.000 | 48.512 | -0.000 |
| -0.004 | -0.004 | -0.004 | -0.000 | 0.000 | 48.512 |
| -123.084 | -166.430 | -166.430 | 0.000 | 0.000 | -0.000 |
| -166.430 | -123.084 | -166.430 | 0.000 | 0.000 | -0.000 |
| -166.430 | -166.430 | -123.084 | 0.000 | 0.000 | -0.000 |
| -236.783 | -236.783 | -236.783 | 43.995 | -0.000 | -0.000 |
| -236.783 | -236.783 | -236.783 | 0.000 | 43.995 | -0.000 |
| -236.783 | -236.783 | -236.783 | 0.000 | -0.000 | 43.995 |
| 418.423 | 344.779 | 344.779 | 0.000 | 0.000 | -0.000 |
| 344.779 | 418.423 | 344.779 | 0.000 | 0.000 | 0.000 |
| 344.779 | 344.779 | 418.423 | 0.000 | 0.000 | -0.000 |
| 284.387 | 284.387 | 284.387 | 13.126 | -0.000 | 0.000 |
| 284.385 | 284.385 | 284.385 | -0.000 | 13.127 | 0.000 |
| 284.385 | 284.385 | 284.385 | -0.000 | -0.000 | 13.127 |
| 152.207 | 86.994 | 86.994 | 0.000 | -0.000 | -0.000 |
| 86.994 | 152.207 | 86.994 | 0.000 | -0.000 | -0.000 |
| 86.994 | 86.994 | 152.207 | 0.000 | -0.000 | -0.000 |
| 0.000 | 0.000 | 0.000 | 60.690 | -0.000 | -0.000 |
| 0.000 | 0.000 | 0.000 | -0.000 | 60.690 | 0.000 |
| 0.000 | 0.000 | 0.000 | -0.000 | -0.000 | 60.690 |
| 203.606 | 133.549 | 133.549 | 0.000 | 0.000 | 0.000 |
| 133.549 | 203.606 | 133.549 | 0.000 | 0.000 | 0.000 |
| 133.549 | 133.549 | 203.606 | 0.000 | 0.000 | 0.000 |
| -0.000 | -0.000 | -0.000 | 60.690 | 0.000 | 0.000 |
| -0.000 | -0.000 | -0.000 | 0.000 | 60.690 | -0.000 |
| -0.000 | -0.000 | -0.000 | 0.000 | 0.000 | 60.690 |
| 175.229 | 109.599 | 109.599 | 0.000 | 0.000 | -0.000 |
| 109.599 | 175.229 | 109.599 | 0.000 | 0.000 | -0.000 |
| 109.599 | 109.599 | 175.229 | 0.000 | 0.000 | -0.000 |
| -0.929 | -0.929 | -0.929 | 45.150 | 0.000 | -0.000 |
| -0.929 | -0.929 | -0.929 | 0.000 | 45.150 | -0.000 |
| -0.929 | -0.929 | -0.929 | 0.000 | 0.000 | 45.150 |
| 177.762 | 113.118 | 113.118 | 0.000 | 0.000 | 0.000 |
| 113.118 | 177.762 | 113.118 | 0.000 | 0.000 | 0.000 |
| 113.118 | 113.118 | 177.762 | 0.000 | -0.000 | 0.000 |
| 0.929 | 0.929 | 0.929 | 45.150 | -0.000 | 0.000 |
| 0.929 | 0.929 | 0.929 | -0.000 | 45.150 | 0.000 |
| 0.929 | 0.929 | 0.929 | -0.000 | -0.000 | 45.150 |
| 246.901 | 25.514 | 120.818 | -0.000 | -0.000 | -0.000 |
| 25.482 | 272.573 | 66.225 | -0.000 | -0.000 | 0.000 |
| 121.103 | 66.620 | 203.265 | -0.000 | 0.000 | -0.000 |
| 3.677 | 0.033 | 17.148 | -40.552 | -0.000 | 0.000 |
| 0.000 | 0.000 | 0.000 | -0.000 | 74.563 | 0.000 |
| 0.742 | 0.007 | 3.462 | -0.000 | -0.000 | -19.800 |
| 245.694 | 25.503 | 115.188 | 0.000 | -0.000 | -0.000 |
| 25.482 | 272.573 | 66.225 | 0.000 | -0.000 | 0.000 |
| 121.103 | 66.620 | 203.265 | -0.000 | 0.000 | -0.000 |
| -3.677 | -0.033 | -17.148 | -40.552 | 0.000 | 0.000 |
| -0.000 | -0.000 | -0.000 | 0.000 | 74.563 | 0.000 |
| -0.742 | -0.007 | -3.462 | 0.000 | 0.000 | -19.800 |
| 246.885 | 25.514 | 120.741 | -0.000 | -0.000 | -0.000 |
| 25.482 | 272.573 | 66.225 | -0.000 | -0.000 | -0.000 |
| 121.103 | 66.620 | 203.266 | 0.000 | -0.000 | -0.000 |
| -0.000 | 0.000 | -0.000 | 21.717 | -0.000 | -0.000 |
| 0.060 | 0.001 | 0.279 | -0.000 | 74.563 | 0.000 |
| -0.000 | -0.000 | -0.000 | -0.000 | -0.000 | -19.637 |
| 246.233 | 25.509 | 117.698 | 0.000 | -0.000 | -0.000 |
| 25.482 | 272.573 | 66.225 | 0.000 | 0.000 | -0.000 |
| 121.103 | 66.620 | 203.265 | 0.000 | -0.000 | 0.000 |
| 0.000 | -0.000 | 0.000 | 21.717 | -0.000 | -0.000 |
| -0.060 | -0.001 | -0.279 | 0.000 | 74.563 | 0.000 |
| 0.000 | 0.000 | 0.000 | 0.000 | -0.000 | -19.637 |
| 246.883 | 25.512 | 120.743 | -0.000 | -0.000 | -0.000 |
| 25.481 | 272.574 | 66.226 | -0.000 | -0.000 | -0.000 |
| 121.104 | 66.621 | 203.266 | -0.000 | -0.000 | 0.000 |
| -0.000 | 0.000 | -0.000 | 21.717 | -0.000 | 0.000 |
| 0.008 | -0.000 | 0.029 | -0.000 | 74.563 | -0.000 |
| 0.087 | 0.000 | 0.409 | -0.000 | 0.000 | -21.559 |
| 246.288 | 25.511 | 117.947 | 0.000 | -0.000 | 0.000 |
| 25.482 | 272.572 | 66.225 | 0.000 | -0.000 | 0.000 |
| 118.332 | 66.595 | 190.347 | 0.000 | 0.000 | 0.000 |
| 0.000 | -0.000 | 0.000 | 21.717 | -0.000 | 0.000 |
| -0.008 | 0.000 | -0.029 | 0.000 | 74.563 | -0.000 |
| -0.087 | -0.000 | -0.409 | 0.000 | 0.000 | -21.559 |
| 216.586 | 117.965 | 87.787 | 0.000 | -0.000 | -0.000 |
| 124.252 | 203.836 | 89.994 | 0.000 | 0.000 | 0.000 |
| 90.993 | 86.914 | 239.069 | 0.000 | 0.000 | -0.000 |
| -0.000 | 0.000 | 0.000 | 41.945 | 0.000 | 0.000 |
| 0.000 | 0.000 | 0.000 | 0.000 | 39.540 | -0.000 |
| 2.987 | -2.941 | -0.009 | 0.000 | 0.000 | 39.691 |
| 230.390 | 104.374 | 87.746 | -0.000 | -0.000 | 0.000 |
| 105.064 | 222.729 | 90.052 | -0.000 | 0.000 | 0.000 |
| 85.353 | 92.467 | 239.085 | -0.000 | 0.000 | 0.000 |
| -0.000 | -0.000 | -0.000 | 41.945 | -0.000 | -0.000 |
| -0.000 | -0.000 | -0.000 | -0.000 | 39.540 | -0.000 |
| -2.987 | 2.941 | 0.009 | -0.000 | 0.000 | 39.691 |
| 214.048 | 120.464 | 87.795 | 0.000 | 0.000 | -0.000 |
| 121.714 | 206.335 | 90.002 | 0.000 | 0.000 | -0.000 |
| 88.455 | 89.413 | 239.076 | 0.000 | -0.000 | 0.000 |
| 0.000 | 0.000 | 0.000 | 41.945 | -0.000 | 0.000 |
| 0.282 | -0.278 | -0.001 | 0.000 | 39.540 | -0.000 |
| 0.299 | -0.295 | -0.001 | 0.000 | -0.000 | 39.661 |
| 213.484 | 121.020 | 87.796 | -0.000 | 0.000 | -0.000 |
| 121.150 | 206.890 | 90.004 | -0.000 | 0.000 | 0.000 |
| 87.891 | 89.968 | 239.078 | -0.000 | 0.000 | -0.000 |
| -0.000 | -0.000 | -0.000 | 41.945 | 0.000 | -0.000 |
| -0.282 | 0.278 | 0.001 | -0.000 | 39.540 | 0.000 |
| -0.299 | 0.295 | 0.001 | -0.000 | 0.000 | 39.661 |
| 213.795 | 120.714 | 87.796 | 0.000 | -0.000 | 0.000 |
| 121.460 | 206.587 | 90.003 | 0.000 | -0.000 | -0.000 |
| 88.202 | 89.663 | 239.077 | 0.000 | -0.000 | 0.000 |
| 0.006 | -0.006 | 0.000 | 41.945 | -0.000 | -0.000 |
| 0.028 | -0.028 | 0.000 | 0.000 | 39.540 | -0.000 |
| 0.030 | -0.029 | -0.000 | 0.000 | -0.000 | 39.661 |
| 230.388 | 104.374 | 87.746 | 0.000 | 0.000 | 0.000 |
| 105.063 | 222.727 | 90.051 | -0.000 | -0.000 | -0.000 |
| 88.145 | 89.718 | 239.077 | -0.000 | 0.000 | 0.000 |
| -0.006 | 0.006 | -0.000 | 41.945 | -0.000 | -0.000 |
| -0.028 | 0.028 | -0.000 | -0.000 | 39.540 | 0.000 |
| -0.030 | 0.029 | 0.000 | -0.000 | 0.000 | 39.661 |
| 61.766 | 171.130 | 13.280 | 0.000 | 0.000 | 0.000 |
| 76.595 | 156.301 | 13.280 | 0.000 | 0.000 | 0.000 |
| 13.280 | 13.280 | 206.058 | -0.000 | 0.000 | 0.000 |
| 0.000 | -0.000 | -0.000 | -19.440 | 0.000 | 0.000 |
| 0.000 | -0.000 | -0.000 | 0.000 | -19.440 | -0.000 |
| 0.000 | -0.000 | -0.000 | 0.000 | 0.000 | 39.853 |
| 79.068 | 153.828 | 13.280 | 0.000 | -0.000 | -0.000 |
| 153.828 | 79.068 | 13.280 | 0.000 | 0.000 | -0.000 |
| 13.280 | 13.280 | 206.058 | -0.000 | -0.000 | -0.000 |
| -0.000 | 0.000 | 0.000 | -19.440 | -0.000 | -0.000 |
| -0.000 | 0.000 | 0.000 | -0.000 | -19.440 | -0.000 |
| -0.000 | 0.000 | 0.000 | -0.000 | -0.000 | 39.853 |
| 79.069 | 153.827 | 13.280 | -0.000 | -0.000 | 0.000 |
| 153.828 | 79.068 | 13.280 | -0.000 | -0.000 | 0.000 |
| 13.280 | 13.280 | 206.058 | 0.000 | 0.000 | 0.000 |
| 0.000 | 0.000 | -0.000 | -19.440 | 0.000 | 0.000 |
| 0.000 | 0.000 | -0.000 | 0.000 | -19.440 | 0.000 |
| 0.000 | -0.000 | -0.000 | 0.000 | 0.000 | -54.682 |
| 156.301 | 76.595 | 13.280 | -0.000 | -0.000 | -0.000 |
| 76.595 | 156.301 | 13.280 | -0.000 | -0.000 | -0.000 |
| 13.280 | 13.280 | 206.058 | -0.000 | -0.000 | -0.000 |
| -0.000 | -0.000 | 0.000 | -19.440 | -0.000 | -0.000 |
| -0.000 | -0.000 | 0.000 | -0.000 | -19.440 | -0.000 |
| -0.000 | 0.000 | 0.000 | -0.000 | -0.000 | -54.682 |
| -4141231.797 | -4027734.289 | -3414704.121 | 959.750 | 5934.268 | -14520.493 |
| 153.830 | 79.066 | 13.280 | -0.000 | -0.000 | 0.000 |
| 13.280 | 13.280 | 206.059 | 0.000 | 0.000 | 0.000 |
| 0.000 | 0.000 | -0.000 | -19.440 | 0.000 | 0.000 |
| 0.000 | 0.000 | -0.000 | -0.000 | -19.440 | 0.000 |
| -0.000 | -0.000 | -0.000 | -0.000 | -0.000 | -37.380 |
| 156.301 | 76.594 | 13.279 | -0.000 | -0.000 | -0.000 |
| 153.825 | 79.071 | 13.279 | 0.000 | -0.000 | -0.000 |
| 13.279 | 13.279 | 206.057 | -0.000 | -0.000 | -0.000 |
| -0.000 | -0.000 | 0.000 | -19.440 | -0.000 | -0.000 |
| -0.000 | -0.000 | 0.000 | -0.000 | -19.440 | -0.000 |
| 0.000 | 0.000 | 0.000 | 0.000 | -0.000 | -37.380 |
| 224.141 | 106.554 | 88.728 | 8.641 | -0.000 | -0.000 |
| 121.579 | 209.115 | 88.731 | -8.659 | -0.000 | 0.000 |
| 88.730 | 88.730 | 240.912 | -0.000 | -0.000 | -0.000 |
| 8.659 | -8.659 | -0.000 | 40.690 | -0.000 | 0.000 |
| 0.000 | 0.000 | -0.000 | 0.000 | 40.690 | 8.659 |
| -0.000 | 0.000 | 0.000 | -0.000 | 8.641 | 58.793 |
| 209.115 | 121.579 | 88.731 | 8.659 | -0.000 | -0.000 |
| 106.554 | 224.141 | 88.728 | -8.641 | -0.000 | 0.000 |
| 88.731 | 88.731 | 240.911 | 0.000 | 0.000 | -0.000 |
| 8.659 | -8.659 | 0.000 | 40.690 | 0.000 | -0.000 |
| -0.000 | -0.000 | 0.000 | -0.000 | 40.690 | 8.659 |
| -0.000 | -0.000 | -0.000 | 0.000 | 8.641 | 58.793 |
| 209.115 | 121.579 | 88.731 | 8.659 | -0.000 | -0.000 |
| 106.554 | 224.141 | 88.728 | -8.641 | -0.000 | 0.000 |
| 88.730 | 88.730 | 240.912 | -0.000 | -0.000 | -0.000 |
| 8.641 | -8.641 | 0.000 | 40.690 | -0.000 | -0.000 |
| -0.000 | 0.000 | 0.000 | 0.000 | 40.690 | 8.641 |
| -0.000 | 0.000 | -0.000 | -0.000 | 8.659 | 43.765 |
| 224.141 | 106.554 | 88.728 | 8.641 | 0.000 | 0.000 |
| 106.554 | 224.141 | 88.728 | -8.641 | 0.000 | -0.000 |
| 88.731 | 88.731 | 240.911 | -0.000 | 0.000 | 0.000 |
| 8.641 | -8.641 | -0.000 | 40.690 | 0.000 | 0.000 |
| 0.000 | -0.000 | -0.000 | -0.000 | 40.690 | 8.641 |
| 0.000 | -0.000 | 0.000 | 0.000 | 8.659 | 43.765 |
| 224.142 | 106.554 | 88.728 | 8.641 | -0.000 | -0.000 |
| 121.579 | 209.116 | 88.731 | -8.659 | -0.000 | 0.000 |
| 88.731 | 88.731 | 240.911 | -0.000 | -0.000 | 0.000 |
| 8.641 | -8.641 | 0.000 | 40.690 | -0.000 | 0.000 |
| -0.000 | 0.000 | 0.000 | 0.000 | 40.690 | 8.659 |
| -0.000 | 0.000 | -0.000 | -0.000 | 8.659 | 43.765 |
| 209.114 | 121.578 | 88.731 | 8.659 | 0.000 | -0.000 |
| 106.554 | 224.140 | 88.728 | -8.641 | 0.000 | 0.000 |
| 88.730 | 88.730 | 240.912 | 0.000 | 0.000 | -0.000 |
| 8.659 | -8.659 | -0.000 | 40.691 | 0.000 | 0.000 |
| 0.000 | -0.000 | -0.000 | -0.000 | 40.690 | 8.659 |
| 0.000 | -0.000 | 0.000 | 0.000 | 8.659 | 43.765 |
| 224.144 | 106.556 | 88.737 | 8.642 | -0.000 | -0.000 |
| 143.138 | 230.666 | 11.152 | -8.660 | -0.000 | 0.000 |
| 88.737 | 88.737 | 240.919 | 0.000 | -0.000 | 0.000 |
| 30.195 | 12.906 | -77.581 | 40.694 | -0.000 | 0.000 |
| 0.000 | 0.000 | 0.000 | 0.000 | 40.694 | 8.642 |
| 0.000 | 0.000 | 0.000 | 0.000 | 8.642 | 58.794 |
| 224.144 | 106.556 | 88.737 | 8.642 | -0.000 | -0.000 |
| 106.556 | 224.144 | 88.737 | -8.642 | -0.000 | -0.000 |
| 88.737 | 88.737 | 240.919 | 0.000 | -0.000 | -0.000 |
| 8.642 | -8.642 | -0.000 | 40.694 | 0.000 | -0.000 |
| -0.000 | -0.000 | -0.000 | -0.000 | 40.694 | 8.642 |
| -0.000 | -0.000 | -0.000 | 0.000 | 8.642 | 58.794 |
| 223.641 | 111.370 | 80.976 | 8.645 | -0.000 | 0.000 |
| 111.370 | 223.641 | 80.978 | -8.645 | -0.000 | 0.000 |
| 90.892 | 90.892 | 233.160 | -0.000 | -0.000 | 0.000 |
| 10.800 | -6.490 | -7.758 | 40.694 | -0.000 | 0.000 |
| 2.155 | 2.155 | -7.758 | 0.000 | 40.694 | 8.645 |
| -0.000 | 0.000 | 0.000 | 0.000 | 8.642 | 58.794 |
| 224.144 | 106.556 | 88.737 | 8.642 | 0.000 | -0.000 |
| 106.556 | 224.144 | 88.737 | -8.642 | 0.000 | -0.000 |
| 86.582 | 86.582 | 248.676 | -0.000 | -0.000 | -0.000 |
| 6.490 | -10.800 | 7.758 | 40.694 | 0.000 | -0.000 |
| -2.155 | -2.155 | 7.758 | -0.000 | 40.694 | 8.645 |
| 0.000 | -0.000 | -0.000 | -0.000 | 8.642 | 58.794 |
| 221.688 | 109.446 | 87.957 | 8.645 | -0.000 | -0.000 |
| 121.802 | 209.330 | 87.961 | -8.660 | -0.000 | 0.000 |
| 88.737 | 88.737 | 240.920 | -0.000 | -0.000 | 0.000 |
| 8.642 | -8.642 | 0.000 | 40.694 | -0.000 | 0.000 |
| -0.000 | 0.000 | 0.000 | 0.000 | 40.694 | 8.642 |
| -0.000 | 0.000 | 0.000 | 0.000 | 8.642 | 58.794 |
| 208.898 | 121.370 | 89.513 | 8.660 | 0.000 | -0.000 |
| 121.370 | 208.898 | 89.513 | -8.660 | 0.000 | 0.000 |
| 88.521 | 88.521 | 241.693 | -0.000 | 0.000 | -0.000 |
| 8.642 | -8.642 | -0.000 | 40.694 | -0.000 | -0.000 |
| 0.000 | -0.000 | -0.000 | -0.000 | 40.694 | 8.642 |
| 0.000 | -0.000 | -0.000 | -0.000 | 8.642 | 58.794 |
| 119.494 | 49.202 | 49.202 | 0.000 | 0.000 | 0.000 |
| 49.202 | 119.494 | 49.202 | 0.000 | 0.000 | 0.000 |
| 49.202 | 49.202 | 119.494 | 0.000 | 0.000 | 0.000 |
| -29.486 | -29.486 | -29.486 | 24.859 | 0.000 | 0.000 |
| -29.486 | -29.486 | -29.486 | 0.000 | 24.859 | 0.000 |
| -29.486 | -29.486 | -29.486 | 0.000 | 0.000 | 24.859 |
| 176.993 | 106.849 | 106.849 | -0.000 | -0.000 | -0.000 |
| 106.849 | 176.993 | 106.849 | -0.000 | -0.000 | -0.000 |
| 106.849 | 106.849 | 176.993 | -0.000 | -0.000 | -0.000 |
| 29.486 | 29.486 | 29.486 | 24.859 | -0.000 | -0.000 |
| 29.486 | 29.486 | 29.486 | -0.000 | 24.859 | -0.000 |
| 29.486 | 29.486 | 29.486 | -0.000 | -0.000 | 24.859 |
| 139.601 | 78.083 | 78.083 | 0.000 | 0.000 | 0.000 |
| 78.083 | 139.601 | 78.083 | 0.000 | 0.000 | 0.000 |
| 78.083 | 78.083 | 139.601 | 0.000 | 0.000 | 0.000 |
| -6.475 | -6.475 | -6.475 | 11.637 | 0.000 | 0.000 |
| -6.475 | -6.475 | -6.475 | 0.000 | 11.637 | 0.000 |
| -6.475 | -6.475 | -6.475 | 0.000 | 0.000 | 11.637 |
| 147.795 | 81.576 | 81.576 | -0.000 | 0.000 | -0.000 |
| 81.576 | 147.795 | 81.576 | -0.000 | -0.000 | -0.000 |
| 81.576 | 81.576 | 147.795 | -0.000 | -0.000 | -0.000 |
| 6.475 | 6.475 | 6.475 | 11.637 | -0.000 | -0.000 |
| 6.475 | 6.475 | 6.475 | -0.000 | 11.637 | -0.000 |
| 6.475 | 6.475 | 6.475 | -0.000 | -0.000 | 11.637 |
| 145.237 | 77.597 | 77.597 | 0.000 | 0.000 | 0.000 |
| 77.597 | 145.237 | 77.597 | 0.000 | 0.000 | 0.000 |
| 77.597 | 77.597 | 145.237 | 0.000 | 0.000 | 0.000 |
| -0.831 | -0.832 | -0.832 | 4.699 | 0.000 | 0.000 |
| -0.832 | -0.831 | -0.832 | 0.000 | 4.699 | 0.000 |
| -0.832 | -0.832 | -0.831 | 0.000 | 0.000 | 4.699 |
| 142.987 | 81.130 | 81.130 | -0.000 | -0.000 | -0.000 |
| 81.130 | 142.987 | 81.130 | -0.000 | -0.000 | -0.000 |
| 81.130 | 81.130 | 142.987 | -0.000 | 0.000 | -0.000 |
| 0.831 | 0.832 | 0.832 | 4.699 | -0.000 | -0.000 |
| 0.832 | 0.831 | 0.832 | -0.000 | 4.699 | -0.000 |
| 0.832 | 0.832 | 0.831 | -0.000 | -0.000 | 4.699 |
| 162.873 | 77.076 | 77.076 | -0.000 | -0.000 | -0.000 |
| 77.076 | 162.873 | 77.076 | -0.000 | -0.000 | -0.000 |
| 77.076 | 77.076 | 162.873 | -0.000 | -0.000 | -0.000 |
| 0.000 | 0.000 | 0.000 | 35.325 | -0.000 | -0.000 |
| 0.000 | 0.000 | 0.000 | -0.000 | 35.325 | -0.000 |
| 0.000 | 0.000 | 0.000 | -0.000 | -0.000 | 35.325 |
| 162.873 | 77.076 | 77.076 | 0.000 | 0.000 | 0.000 |
| 318.706 | 384.816 | 318.706 | 0.000 | 0.000 | 0.000 |
| 318.706 | 318.706 | 384.816 | 0.000 | 0.000 | 0.000 |
| -0.000 | -0.000 | -0.000 | 35.325 | 0.000 | 0.000 |
| -0.000 | -0.000 | -0.000 | 0.000 | 35.325 | 0.000 |
| -0.000 | -0.000 | -0.000 | 0.000 | 0.000 | 35.325 |
| 162.873 | 77.076 | 77.076 | -0.000 | -0.000 | -0.000 |
| 77.076 | 162.873 | 77.076 | -0.000 | -0.000 | -0.000 |
| 77.076 | 77.076 | 162.873 | -0.000 | 0.000 | 0.000 |
| 0.000 | 0.000 | 0.000 | 35.325 | -0.000 | -0.000 |
| 0.000 | 0.000 | 0.000 | -0.000 | 35.325 | -0.000 |
| 0.000 | 0.000 | 0.000 | -0.000 | -0.000 | 35.325 |
| 162.873 | 77.076 | 77.076 | 0.000 | 0.000 | 0.000 |
| 77.076 | 162.873 | 77.076 | 0.000 | 0.000 | 0.000 |
| 77.076 | 77.076 | 162.873 | 0.000 | 0.000 | 0.000 |
| -0.000 | -0.000 | -0.000 | 35.325 | 0.000 | 0.000 |
| -0.000 | -0.000 | -0.000 | 0.000 | 35.325 | 0.000 |
| -0.000 | -0.000 | -0.000 | 0.000 | 0.000 | 35.325 |
| 162.874 | 77.077 | 77.077 | -0.000 | -0.000 | -0.000 |
| 77.077 | 162.874 | 77.077 | -0.000 | -0.000 | -0.000 |
| 77.077 | 77.077 | 162.874 | -0.000 | -0.000 | -0.000 |
| 0.001 | 0.001 | 0.001 | 35.325 | -0.000 | -0.000 |
| 0.001 | 0.001 | 0.001 | -0.000 | 35.325 | -0.000 |
| 0.001 | 0.001 | 0.001 | 0.000 | -0.000 | 35.325 |
| 162.872 | 77.075 | 77.075 | 0.000 | 0.000 | 0.000 |
| 77.075 | 162.872 | 77.075 | 0.000 | 0.000 | 0.000 |
| 77.075 | 77.075 | 162.872 | 0.000 | 0.000 | 0.000 |
| -0.001 | -0.001 | -0.001 | 35.325 | 0.000 | 0.000 |
| -0.001 | -0.001 | -0.001 | 0.000 | 35.325 | 0.000 |
| -0.001 | -0.001 | -0.001 | 0.000 | 0.000 | 35.325 |
| 114021.917 | 114034.402 | 114034.402 | -0.000 | 0.000 | 0.000 |
| 114034.402 | 114021.917 | 114034.402 | -0.000 | 0.000 | 0.000 |
| 114034.402 | 114034.402 | 114021.917 | 0.000 | 0.000 | 0.000 |
| 0.000 | 0.000 | 0.000 | 55.558 | 0.000 | 0.000 |
| 0.000 | 0.000 | 0.000 | 0.000 | 55.558 | 0.000 |
| 0.000 | 0.000 | 0.000 | 0.000 | 0.000 | 55.558 |
| 114021.480 | 114033.961 | 114033.961 | -0.000 | -0.000 | -0.000 |
| 114033.961 | 114021.480 | 114033.961 | 0.000 | -0.000 | 0.000 |
| 114033.961 | 114033.961 | 114021.480 | 0.000 | -0.000 | -0.000 |
| -0.000 | -0.000 | -0.000 | 55.558 | 0.000 | 0.000 |
| -0.000 | -0.000 | -0.000 | 0.000 | 55.558 | 0.000 |
| -0.000 | -0.000 | -0.000 | -0.000 | -0.000 | 55.558 |
| 114023.882 | 114036.385 | 114036.385 | -0.000 | 0.000 | -0.000 |
| 114036.385 | 114023.882 | 114036.385 | -0.000 | 0.000 | 0.000 |
| 114036.385 | 114036.385 | 114023.882 | -0.000 | 0.000 | 0.000 |
| -0.008 | -0.008 | -0.008 | -5.281 | -0.000 | 0.000 |
| -0.008 | -0.008 | -0.008 | -0.000 | -5.281 | 0.000 |
| -0.008 | -0.008 | -0.008 | 0.000 | 0.000 | -5.281 |
| 114019.517 | 114031.980 | 114031.980 | -0.000 | 0.000 | 0.000 |
| 114031.980 | 114019.517 | 114031.980 | -0.000 | -0.000 | -0.000 |
| 114031.980 | 114031.980 | 114019.517 | 0.000 | 0.000 | -0.000 |
| 0.008 | 0.008 | 0.008 | -5.281 | 0.000 | -0.000 |
| 0.008 | 0.008 | 0.008 | 0.000 | -5.281 | 0.000 |
| 0.008 | 0.008 | 0.008 | 0.000 | -0.000 | -5.281 |
| 114043.523 | 114056.207 | 114056.207 | 0.000 | 0.000 | 0.000 |
| 114056.207 | 114043.523 | 114056.207 | -0.000 | 0.000 | 0.000 |
| 114056.207 | 114056.207 | 114043.523 | 0.000 | 0.000 | -0.000 |
| -0.079 | -0.079 | -0.079 | -5.281 | 0.000 | -0.000 |
| -0.079 | -0.079 | -0.079 | 0.000 | -5.281 | 0.000 |
| -0.079 | -0.080 | -0.079 | 0.000 | 0.000 | -5.281 |
| 113999.875 | 114012.157 | 114012.157 | 0.000 | -0.000 | 0.000 |
| 114012.157 | 113999.875 | 114012.157 | -0.000 | -0.000 | -0.000 |
| 114012.157 | 114012.157 | 113999.875 | 0.000 | -0.000 | 0.000 |
| 0.079 | 0.079 | 0.080 | -5.281 | 0.000 | 0.000 |
| 0.079 | 0.079 | 0.079 | 0.000 | -5.281 | -0.000 |
| 0.079 | 0.080 | 0.079 | 0.000 | -0.000 | -5.281 |
| 174.035 | 244.146 | 244.146 | -0.000 | -0.000 | -0.000 |
| 244.146 | 174.035 | 244.146 | -0.000 | -0.000 | -0.000 |
| 244.146 | 244.146 | 174.035 | -0.000 | -0.000 | -0.000 |
| 0.000 | 0.000 | 0.000 | -134.178 | -0.000 | -0.000 |
| -0.000 | 0.000 | -0.000 | -0.000 | -134.178 | -0.000 |
| -0.000 | -0.000 | 0.000 | -0.000 | -0.000 | -134.178 |
| 174.035 | 244.146 | 244.146 | 0.000 | 0.000 | 0.000 |
| 244.146 | 174.035 | 244.146 | 0.000 | 0.000 | 0.000 |
| 244.146 | 244.146 | 174.035 | 0.000 | 0.000 | 0.000 |
| -0.000 | 0.000 | -0.000 | -134.178 | 0.000 | 0.000 |
| 0.000 | -0.000 | -0.000 | 0.000 | -134.178 | 0.000 |
| 0.000 | 0.000 | -0.000 | 0.000 | 0.000 | -134.178 |
| 174.036 | 244.147 | 244.147 | -0.000 | -0.000 | -0.000 |
| 244.147 | 174.036 | 244.147 | -0.000 | -0.000 | -0.000 |
| 244.147 | 244.147 | 174.036 | -0.000 | -0.000 | -0.000 |
| 0.000 | 0.000 | 0.000 | 13.956 | 0.000 | -0.000 |
| 0.000 | 0.000 | 0.000 | 0.000 | 13.956 | -0.000 |
| 0.000 | 0.000 | 0.000 | -0.000 | -0.000 | 13.956 |
| 174.034 | 244.145 | 244.145 | 0.000 | 0.000 | 0.000 |
| 244.145 | 174.034 | 244.145 | 0.000 | 0.000 | 0.000 |
| 244.145 | 244.145 | 174.034 | 0.000 | 0.000 | 0.000 |
| -0.000 | -0.000 | -0.000 | 13.956 | 0.000 | 0.000 |
| -0.000 | -0.000 | -0.000 | 0.000 | 13.956 | 0.000 |
| -0.000 | -0.000 | -0.000 | 0.000 | 0.000 | 13.956 |
| 174.045 | 244.156 | 244.156 | -0.000 | -0.000 | -0.000 |
| 244.156 | 174.045 | 244.156 | -0.000 | -0.000 | -0.000 |
| 244.156 | 244.156 | 174.045 | -0.000 | -0.000 | -0.000 |
| 0.004 | 0.001 | 0.000 | -116.390 | -0.000 | -0.000 |
| 0.001 | 0.004 | 0.000 | -0.000 | -116.390 | -0.000 |
| 0.001 | 0.000 | 0.004 | -0.000 | -0.000 | -116.390 |
| 174.025 | 244.136 | 244.136 | 0.000 | 0.000 | 0.000 |
| 244.136 | 174.025 | 244.136 | 0.000 | 0.000 | 0.000 |
| 244.136 | 244.136 | 174.025 | 0.000 | 0.000 | 0.000 |
| -0.004 | -0.001 | -0.000 | -116.390 | 0.000 | 0.000 |
| -0.001 | -0.004 | -0.000 | 0.000 | -116.390 | 0.000 |
| -0.001 | -0.000 | -0.004 | 0.000 | 0.000 | -116.390 |
| 0.336 | 0.336 | 0.336 | -0.000 | -0.000 | -0.000 |
| 0.336 | 0.336 | 0.336 | -0.000 | -0.000 | -0.000 |
| 0.336 | 0.336 | 0.336 | -0.000 | -0.000 | -0.000 |
| 0.000 | 0.000 | 0.000 | 0.317 | -0.000 | -0.000 |
| 0.000 | 0.000 | 0.000 | -0.000 | 0.317 | -0.000 |
| 0.000 | 0.000 | 0.000 | -0.000 | -0.000 | 0.317 |
| 0.336 | 0.336 | 0.336 | 0.000 | 0.000 | 0.000 |
| 0.336 | 0.336 | 0.336 | 0.000 | 0.000 | 0.000 |
| 0.336 | 0.336 | 0.336 | 0.000 | 0.000 | 0.000 |
| -0.000 | -0.000 | -0.000 | 0.317 | 0.000 | 0.000 |
| -0.000 | -0.000 | -0.000 | 0.000 | 0.317 | 0.000 |
| -0.000 | -0.000 | -0.000 | 0.000 | 0.000 | 0.317 |
| 0.336 | 0.336 | 0.336 | -0.000 | -0.000 | -0.000 |
| 0.336 | 0.336 | 0.336 | -0.000 | -0.000 | -0.000 |
| 0.336 | 0.336 | 0.336 | -0.000 | -0.000 | -0.000 |
| 0.000 | 0.000 | 0.000 | 0.201 | -0.000 | -0.000 |
| 0.000 | 0.000 | 0.000 | -0.000 | 0.201 | -0.000 |
| 0.000 | 0.000 | 0.000 | -0.000 | -0.000 | 0.201 |
| 0.336 | 0.336 | 0.336 | 0.000 | 0.000 | 0.000 |
| 0.336 | 0.336 | 0.336 | 0.000 | 0.000 | 0.000 |
| 0.336 | 0.336 | 0.336 | 0.000 | 0.000 | 0.000 |
| -0.000 | -0.000 | -0.000 | 0.201 | 0.000 | 0.000 |
| -0.000 | -0.000 | -0.000 | 0.000 | 0.201 | 0.000 |
| -0.000 | -0.000 | -0.000 | 0.000 | 0.000 | 0.201 |
| 0.336 | 0.336 | 0.336 | -0.000 | 0.000 | 0.000 |
| 0.336 | 0.336 | 0.336 | 0.000 | -0.000 | 0.000 |
| 0.336 | 0.336 | 0.336 | -0.000 | -0.000 | -0.000 |
| -0.000 | -0.000 | -0.000 | 0.019 | -0.000 | -0.000 |
| -0.000 | -0.000 | -0.000 | -0.000 | 0.019 | -0.000 |
| -0.000 | -0.000 | -0.000 | -0.000 | -0.000 | 0.019 |
| 0.336 | 0.336 | 0.336 | 0.000 | 0.000 | 0.000 |
| 0.336 | 0.336 | 0.336 | 0.000 | 0.000 | 0.000 |
| 0.336 | 0.336 | 0.336 | 0.000 | 0.000 | 0.000 |
| 0.000 | 0.000 | 0.000 | 0.019 | 0.000 | 0.000 |
| 0.000 | 0.000 | 0.000 | 0.000 | 0.019 | 0.000 |
| 0.000 | 0.000 | 0.000 | 0.000 | 0.000 | 0.019 |
| 28.859 | 23.073 | 21.726 | 1.418 | -0.000 | -0.000 |
| 53.451 | 69.279 | 54.340 | -1.410 | -0.000 | 0.000 |
| 55.724 | 55.724 | 70.860 | -0.000 | -0.000 | -0.000 |
| 1.410 | -1.410 | 0.000 | 6.153 | -0.000 | -0.000 |
| 0.000 | -0.000 | 0.000 | -0.000 | 6.153 | 1.410 |
| -0.000 | -0.000 | 0.000 | 0.000 | 1.410 | 7.914 |
| 28.863 | 23.077 | 21.728 | 1.418 | 0.000 | 0.000 |
| 20.037 | 25.472 | 21.403 | -1.328 | 0.000 | 0.000 |
| 55.724 | 55.724 | 70.860 | 0.000 | 0.000 | 0.000 |
| 1.410 | -1.410 | -0.000 | 6.153 | 0.000 | 0.000 |
| 0.000 | 0.000 | -0.000 | 0.000 | 6.153 | 1.410 |
| 0.000 | 0.000 | -0.000 | -0.000 | 1.410 | 7.914 |
| 69.279 | 53.451 | 54.340 | 1.410 | -0.000 | -0.000 |
| 23.076 | 28.863 | 21.728 | -1.418 | -0.000 | -0.000 |
| 55.724 | 55.724 | 70.860 | -0.000 | -0.000 | -0.000 |
| 1.410 | -1.410 | 0.000 | 6.153 | -0.000 | -0.000 |
| 0.000 | 0.000 | 0.000 | 0.000 | 6.153 | 1.410 |
| 0.000 | -0.000 | 0.000 | 0.000 | 1.106 | 1.644 |
| 69.279 | 53.451 | 54.340 | 1.410 | 0.000 | 0.000 |
| 19.012 | 24.692 | 20.315 | -1.148 | 0.000 | 0.000 |
| 55.724 | 55.724 | 70.860 | 0.000 | 0.000 | 0.000 |
| 1.410 | -1.410 | -0.000 | 6.153 | 0.000 | 0.000 |
| -0.000 | -0.000 | -0.000 | -0.000 | 6.153 | 1.410 |
| -0.000 | 0.000 | -0.000 | -0.000 | 1.106 | 1.644 |
| 28.864 | 23.077 | 21.729 | 1.418 | -0.000 | -0.000 |
| 53.451 | 69.279 | 54.340 | -1.410 | -0.000 | -0.000 |
| 22.693 | 22.693 | 40.454 | 0.000 | -0.000 | -0.000 |
| 1.070 | -1.070 | 0.000 | 0.717 | -0.000 | -0.000 |
| 0.000 | 0.000 | 0.000 | 0.000 | 6.153 | 1.410 |
| 0.000 | 0.000 | 0.000 | 0.000 | 1.410 | 7.914 |
| 69.279 | 53.451 | 54.340 | 1.410 | 0.000 | 0.000 |
| 53.451 | 69.279 | 54.340 | -1.410 | 0.000 | 0.000 |
| 55.724 | 55.724 | 70.859 | 0.000 | 0.000 | 0.000 |
| 1.410 | -1.410 | -0.000 | 6.153 | 0.000 | 0.000 |
| -0.000 | -0.000 | -0.000 | -0.000 | 6.153 | 1.410 |
| -0.000 | -0.000 | -0.000 | -0.000 | 1.410 | 7.914 |
| 265.360 | 241.364 | 138.899 | -3.625 | 0.000 | 0.000 |
| 241.364 | 265.360 | 138.899 | 3.625 | -0.000 | 0.000 |
| 539.711 | 539.711 | 306.624 | 0.000 | -0.000 | 0.000 |
| -3.625 | 3.625 | 0.000 | 13.524 | 0.000 | 0.000 |
| 0.000 | 0.000 | 0.000 | 0.000 | 13.524 | -3.625 |
| 0.000 | 0.000 | 0.000 | 0.000 | -3.625 | 11.998 |
| 265.360 | 241.364 | 138.899 | -3.625 | 0.000 | -0.000 |
| 241.364 | 265.360 | 138.899 | 3.625 | -0.000 | 0.000 |
| 139.295 | 139.295 | 101.551 | -0.000 | -0.000 | -0.000 |
| -3.625 | 3.625 | -0.000 | 13.524 | -0.000 | -0.000 |
| -0.000 | -0.000 | -0.000 | -0.000 | 13.524 | -3.625 |
| -0.000 | 0.000 | -0.000 | -0.000 | -3.625 | 11.998 |
| 265.161 | 270.149 | 141.807 | -2.630 | -0.000 | 0.000 |
| 270.148 | 265.161 | 141.807 | 2.630 | -0.000 | 0.000 |
| 147.922 | 147.922 | 102.475 | 0.000 | -0.000 | 0.000 |
| -3.625 | 3.625 | 0.000 | 13.524 | 0.000 | -0.000 |
| 0.000 | -0.000 | 0.000 | 0.000 | 13.524 | -3.625 |
| 0.000 | -0.000 | 0.000 | 0.000 | -3.625 | 11.998 |
| 265.360 | 241.363 | 138.899 | -3.625 | -0.000 | 0.000 |
| 241.363 | 265.360 | 138.899 | 3.625 | -0.000 | 0.000 |
| 105.130 | 105.130 | 75.821 | -0.000 | 0.000 | -0.000 |
| -44.530 | -38.482 | -22.234 | 13.451 | 0.000 | -0.000 |
| -0.000 | 0.000 | -0.000 | -0.000 | 13.524 | -3.625 |
| -0.000 | 0.000 | -0.000 | -0.000 | -3.625 | 11.998 |
| 265.362 | 241.367 | 138.900 | -3.625 | 0.000 | 0.000 |
| 241.366 | 265.363 | 138.900 | 3.625 | 0.000 | -0.000 |
| 139.296 | 139.296 | 101.551 | 0.000 | 0.000 | 0.000 |
| -1.334 | 5.408 | 1.221 | 13.485 | -0.000 | 0.000 |
| 0.000 | -0.000 | -0.000 | 0.000 | 13.524 | -3.625 |
| 0.000 | -0.001 | 0.000 | 0.000 | -3.625 | 11.998 |
| 265.358 | 241.361 | 138.897 | -3.625 | -0.000 | -0.000 |
| 241.361 | 265.358 | 138.897 | 3.626 | -0.000 | -0.000 |
| 120.733 | 120.733 | 84.478 | -0.000 | 0.000 | -0.000 |
| -3.625 | 3.625 | 0.000 | 13.524 | -0.000 | -0.000 |
| -0.000 | 0.000 | 0.000 | -0.000 | 13.524 | -3.625 |
| -0.000 | 0.001 | -0.000 | -0.000 | -3.625 | 11.998 |
| 174034.391 | 173868.767 | 173868.767 | 0.000 | -0.000 | -0.000 |
| 173868.767 | 174034.391 | 173868.767 | -0.000 | -0.000 | 0.000 |
| 173868.767 | 173868.767 | 174034.391 | 0.000 | -0.000 | -0.000 |
| 0.000 | 0.000 | 0.000 | -13.462 | -0.000 | -0.000 |
| 0.000 | 0.000 | 0.000 | -0.000 | -13.470 | 0.000 |
| 0.000 | 0.000 | 0.000 | 0.000 | 0.000 | -13.462 |
| 174033.533 | 173867.906 | 173867.906 | 0.000 | -0.000 | 0.000 |
| 173867.906 | 174033.533 | 173867.906 | -0.000 | 0.000 | 0.000 |
| 173867.906 | 173867.906 | 174033.533 | 0.000 | -0.000 | -0.000 |
| -0.000 | -0.000 | -0.000 | -13.470 | -0.000 | -0.000 |
| -0.000 | -0.000 | -0.000 | -0.000 | -13.462 | 0.000 |
| -0.000 | -0.000 | -0.000 | 0.000 | -0.000 | -13.462 |
| 174034.222 | 173874.630 | 173874.630 | 0.000 | -0.000 | 0.000 |
| 173874.630 | 174034.222 | 173874.630 | 0.000 | 0.000 | 0.000 |
| 173874.630 | 173874.630 | 174034.222 | 0.000 | -0.000 | 0.000 |
| -0.010 | -0.010 | -0.010 | -13.471 | -0.000 | -0.000 |
| -0.010 | -0.010 | -0.010 | -0.000 | -13.471 | 0.000 |
| -0.010 | -0.010 | -0.010 | -0.000 | 0.000 | -13.471 |
| 174029.685 | 173864.045 | 173864.045 | 0.000 | 0.000 | 0.000 |
| 173864.045 | 174029.685 | 173864.045 | 0.000 | 0.000 | 0.000 |
| 173864.045 | 173864.045 | 174029.685 | -0.000 | -0.000 | 0.000 |
| 0.010 | 0.010 | 0.010 | -13.471 | 0.000 | -0.000 |
| 0.010 | 0.010 | 0.010 | -0.000 | -13.471 | 0.000 |
| 0.010 | 0.010 | 0.010 | 0.000 | -0.000 | -13.471 |
| 174072.656 | 173913.239 | 173913.239 | -0.000 | -0.000 | 0.000 |
| 173913.239 | 174072.656 | 173913.239 | -0.000 | 0.000 | 0.000 |
| 173913.239 | 173913.239 | 174072.656 | -0.000 | 0.000 | 0.000 |
| -0.105 | -0.105 | -0.105 | -13.471 | -0.000 | -0.000 |
| -0.105 | -0.105 | -0.105 | -0.000 | -13.471 | 0.000 |
| -0.105 | -0.105 | -0.105 | 0.000 | -0.000 | -13.471 |
| 173987.245 | 173827.442 | 173827.442 | 0.000 | 0.000 | 0.000 |
| 173827.442 | 173987.245 | 173827.442 | 0.000 | 0.000 | -0.000 |
| 173827.442 | 173827.442 | 173987.245 | -0.000 | -0.000 | -0.000 |
| 0.105 | 0.105 | 0.105 | -13.471 | -0.000 | 0.000 |
| 0.105 | 0.105 | 0.105 | 0.000 | -13.471 | 0.000 |
| 0.105 | 0.105 | 0.105 | -0.000 | -0.000 | -13.471 |
| 461.275 | 379.094 | 379.094 | -0.000 | -0.000 | -0.000 |
| 379.094 | 461.275 | 379.094 | -0.000 | -0.000 | 0.000 |
| 379.094 | 379.094 | 461.275 | 0.000 | 0.000 | 0.000 |
| -0.000 | -0.000 | -0.000 | -34.407 | -0.000 | -0.000 |
| -0.000 | -0.000 | -0.000 | 0.000 | -34.407 | -0.000 |
| -0.000 | -0.000 | -0.000 | -0.000 | -0.000 | -34.407 |
| 461.275 | 379.094 | 379.094 | 0.000 | 0.000 | 0.000 |
| 379.094 | 461.275 | 379.094 | -0.000 | -0.000 | -0.000 |
| 379.094 | 379.094 | 461.275 | 0.000 | -0.000 | 0.000 |
| 0.000 | 0.000 | 0.000 | -34.407 | 0.000 | 0.000 |
| 0.000 | 0.000 | 0.000 | -0.000 | -34.407 | 0.000 |
| 0.000 | 0.000 | 0.000 | -0.000 | -0.000 | -34.407 |
| 453.760 | 382.852 | 382.852 | -0.000 | 0.000 | 0.000 |
| 382.852 | 453.760 | 382.852 | 0.000 | -0.000 | -0.000 |
| 382.852 | 382.852 | 453.760 | 0.000 | 0.000 | 0.000 |
| -0.000 | -0.000 | -0.000 | -34.407 | -0.000 | -0.000 |
| -0.000 | -0.000 | -0.000 | -0.000 | -34.407 | 0.000 |
| -0.000 | -0.000 | -0.000 | -0.000 | 0.000 | -34.407 |
| 461.274 | 379.094 | 379.094 | 0.000 | 0.000 | -0.000 |
| 379.094 | 461.274 | 379.094 | -0.000 | -0.000 | 0.000 |
| 379.094 | 379.094 | 461.274 | 0.000 | 0.000 | 0.000 |
| 0.000 | 0.000 | 0.000 | -34.407 | -0.000 | 0.000 |
| 0.000 | 0.000 | 0.000 | -0.000 | -34.407 | 0.000 |
| 0.000 | 0.000 | 0.000 | 0.000 | -0.000 | -34.407 |
| 461.281 | 379.100 | 379.100 | 0.000 | 0.000 | 0.000 |
| 379.100 | 461.281 | 379.100 | 0.000 | 0.000 | 0.000 |
| 379.100 | 379.100 | 461.281 | 0.000 | 0.000 | -0.000 |
| -0.000 | -0.000 | -0.000 | -34.407 | -0.000 | 0.000 |
| -0.000 | -0.000 | -0.000 | 0.000 | -34.407 | -0.000 |
| -0.000 | -0.000 | -0.000 | 0.000 | 0.000 | -34.407 |
| 453.753 | 382.846 | 382.846 | 0.000 | -0.000 | -0.000 |
| 382.846 | 453.753 | 382.846 | -0.000 | -0.000 | -0.000 |
| 382.846 | 382.846 | 453.753 | 0.000 | 0.000 | 0.000 |
| 0.000 | 0.000 | 0.000 | -34.407 | -0.000 | -0.000 |
| 0.000 | 0.000 | 0.000 | 0.000 | -34.407 | 0.000 |
| 0.000 | 0.000 | 0.000 | 0.000 | -0.000 | -34.407 |
| 137867.323 | 137985.271 | 137985.271 | -0.000 | 0.000 | -0.000 |
| 137985.271 | 137867.323 | 137985.271 | 0.000 | -0.000 | -0.000 |
| 137985.271 | 137985.271 | 137867.323 | 0.000 | 0.000 | -0.000 |
| -0.002 | -0.002 | -0.002 | 33.378 | 0.000 | -0.000 |
| -0.002 | -0.002 | -0.002 | -0.000 | 33.378 | -0.000 |
| -0.002 | -0.002 | -0.002 | 0.000 | 0.000 | 33.378 |
| 137866.700 | 137984.653 | 137984.653 | 0.000 | -0.000 | 0.000 |
| 137984.653 | 137866.700 | 137984.653 | 0.000 | -0.000 | 0.000 |
| 137984.653 | 137984.653 | 137866.700 | 0.000 | -0.000 | 0.000 |
| 0.003 | 0.003 | 0.003 | 33.378 | -0.000 | 0.000 |
| 0.003 | 0.003 | 0.003 | 0.000 | 33.378 | 0.000 |
| 0.002 | 0.002 | 0.002 | 0.000 | 0.000 | 33.378 |
| 137870.127 | 137988.051 | 137988.051 | -0.000 | 0.000 | -0.000 |
| 137988.051 | 137870.127 | 137988.051 | -0.000 | 0.000 | -0.000 |
| 137988.051 | 137988.051 | 137870.127 | 0.000 | 0.000 | -0.000 |
| 0.004 | 0.003 | 0.003 | 32.605 | -0.000 | -0.000 |
| 0.003 | 0.004 | 0.003 | -0.000 | 32.605 | -0.000 |
| 0.003 | 0.003 | 0.004 | -0.000 | 0.000 | 32.605 |
| 137863.895 | 137981.874 | 137981.874 | 0.000 | -0.000 | 0.000 |
| 137981.874 | 137863.895 | 137981.874 | 0.000 | -0.000 | -0.000 |
| 137981.874 | 137981.874 | 137863.895 | -0.000 | -0.000 | 0.000 |
| -0.004 | -0.003 | -0.003 | 32.605 | -0.000 | 0.000 |
| -0.003 | -0.004 | -0.003 | -0.000 | 32.605 | 0.000 |
| -0.003 | -0.003 | -0.004 | 0.000 | -0.000 | 32.605 |
| 137898.172 | 138015.850 | 138015.850 | -0.000 | 0.000 | -0.000 |
| 138015.850 | 137898.172 | 138015.850 | 0.000 | 0.000 | -0.000 |
| 138015.850 | 138015.850 | 137898.172 | 0.000 | 0.000 | -0.000 |
| 0.037 | 0.035 | 0.035 | 32.605 | 0.000 | -0.000 |
| 0.035 | 0.037 | 0.035 | -0.000 | 32.605 | -0.000 |
| 0.035 | 0.035 | 0.037 | -0.000 | -0.000 | 32.605 |
| 137835.851 | 137954.075 | 137954.075 | -0.000 | -0.000 | 0.000 |
| 137954.075 | 137835.851 | 137954.075 | 0.000 | -0.000 | 0.000 |
| 137954.075 | 137954.075 | 137835.851 | -0.000 | -0.000 | 0.000 |
| -0.037 | -0.035 | -0.035 | 32.605 | 0.000 | 0.000 |
| -0.035 | -0.037 | -0.035 | 0.000 | 32.605 | 0.000 |
| -0.035 | -0.035 | -0.037 | 0.000 | -0.000 | 32.605 |
| 354.200 | 394.091 | 394.092 | 0.000 | 0.000 | -0.000 |
| 394.091 | 354.200 | 394.092 | 0.000 | 0.000 | 0.000 |
| 394.091 | 394.092 | 354.200 | 0.000 | 0.000 | 0.000 |
| -0.000 | 0.000 | 0.000 | 11.524 | -0.000 | 0.000 |
| 0.000 | -0.000 | -0.000 | -0.000 | 11.524 | 0.000 |
| 0.000 | 0.000 | -0.000 | 0.000 | 0.000 | 11.524 |
| 354.200 | 394.091 | 394.091 | 0.000 | -0.000 | -0.000 |
| 394.091 | 354.200 | 394.091 | 0.000 | 0.000 | -0.000 |
| 394.091 | 394.091 | 354.200 | -0.000 | -0.000 | 0.000 |
| 0.000 | -0.000 | -0.000 | 11.524 | -0.000 | -0.000 |
| -0.000 | 0.000 | -0.000 | -0.000 | 11.524 | 0.000 |
| -0.000 | -0.000 | 0.000 | -0.000 | -0.000 | 11.524 |
| 354.201 | 394.092 | 394.092 | 0.000 | 0.000 | -0.000 |
| 394.092 | 354.201 | 394.092 | -0.000 | 0.000 | 0.000 |
| 394.092 | 394.092 | 354.201 | 0.000 | 0.000 | -0.000 |
| -0.000 | -0.000 | -0.000 | 11.524 | 0.000 | -0.000 |
| -0.000 | -0.000 | -0.000 | 0.000 | 11.524 | 0.000 |
| -0.000 | 0.000 | -0.000 | 0.000 | 0.000 | 11.524 |
| 354.200 | 394.091 | 394.091 | -0.000 | -0.000 | -0.000 |
| 394.091 | 354.200 | 394.091 | -0.000 | -0.000 | 0.000 |
| 394.091 | 394.091 | 354.200 | 0.000 | 0.000 | 0.000 |
| 0.000 | 0.000 | 0.000 | 11.524 | -0.000 | -0.000 |
| 0.000 | 0.000 | 0.000 | -0.000 | 11.524 | -0.000 |
| 0.000 | 0.000 | 0.000 | -0.000 | -0.000 | 11.524 |
| 354.204 | 394.096 | 394.096 | 0.000 | 0.000 | -0.000 |
| 394.096 | 354.204 | 394.096 | 0.000 | -0.000 | -0.000 |
| 394.096 | 394.096 | 354.204 | 0.000 | 0.000 | -0.000 |
| -0.005 | -0.000 | -0.000 | -51.579 | 0.000 | 0.000 |
| -0.000 | -0.005 | -0.000 | 0.000 | -51.579 | 0.000 |
| -0.000 | -0.000 | -0.005 | 0.000 | 0.000 | -51.579 |
| 354.197 | 394.087 | 394.087 | -0.000 | -0.000 | -0.000 |
| 394.087 | 354.197 | 394.087 | -0.000 | -0.000 | 0.000 |
| 394.087 | 394.087 | 354.197 | -0.000 | -0.000 | 0.000 |
| 0.005 | 0.000 | 0.000 | -51.579 | -0.000 | -0.000 |
| 0.000 | 0.005 | 0.000 | -0.000 | -51.579 | -0.000 |
| 0.000 | 0.000 | 0.005 | -0.000 | -0.000 | -51.579 |
| 0.336 | 0.336 | 0.336 | -0.000 | -0.000 | -0.000 |
| 0.336 | 0.336 | 0.336 | -0.000 | -0.000 | -0.000 |
| 0.336 | 0.336 | 0.336 | -0.000 | -0.000 | -0.000 |
| 0.000 | 0.000 | 0.000 | 0.317 | -0.000 | -0.000 |
| 0.000 | 0.000 | 0.000 | -0.000 | 0.317 | -0.000 |
| 0.000 | 0.000 | 0.000 | -0.000 | -0.000 | 0.317 |
| 0.336 | 0.336 | 0.336 | 0.000 | 0.000 | 0.000 |
| 0.336 | 0.336 | 0.336 | 0.000 | 0.000 | 0.000 |
| 0.336 | 0.336 | 0.336 | 0.000 | 0.000 | 0.000 |
| -0.000 | -0.000 | -0.000 | 0.317 | 0.000 | 0.000 |
| -0.000 | -0.000 | -0.000 | 0.000 | 0.317 | 0.000 |
| -0.000 | -0.000 | -0.000 | 0.000 | 0.000 | 0.317 |
| 0.336 | 0.336 | 0.336 | -0.000 | -0.000 | -0.000 |
| 0.336 | 0.336 | 0.336 | -0.000 | -0.000 | -0.000 |
| 0.336 | 0.336 | 0.336 | -0.000 | -0.000 | -0.000 |
| 0.000 | 0.000 | 0.000 | 0.201 | -0.000 | -0.000 |
| 0.000 | 0.000 | 0.000 | -0.000 | 0.201 | -0.000 |
| 0.000 | 0.000 | 0.000 | -0.000 | -0.000 | 0.201 |
| 0.336 | 0.336 | 0.336 | 0.000 | 0.000 | 0.000 |
| 0.336 | 0.336 | 0.336 | 0.000 | 0.000 | 0.000 |
| 0.336 | 0.336 | 0.336 | 0.000 | 0.000 | 0.000 |
| -0.000 | -0.000 | -0.000 | 0.201 | 0.000 | 0.000 |
| -0.000 | -0.000 | -0.000 | 0.000 | 0.201 | 0.000 |
| -0.000 | -0.000 | -0.000 | 0.000 | 0.000 | 0.201 |
| 0.336 | 0.336 | 0.336 | -0.000 | 0.000 | 0.000 |
| 0.336 | 0.336 | 0.336 | 0.000 | -0.000 | 0.000 |
| 0.336 | 0.336 | 0.336 | -0.000 | -0.000 | -0.000 |
| -0.000 | -0.000 | -0.000 | 0.019 | -0.000 | -0.000 |
| -0.000 | -0.000 | -0.000 | -0.000 | 0.019 | -0.000 |
| -0.000 | -0.000 | -0.000 | -0.000 | -0.000 | 0.019 |
| 0.336 | 0.336 | 0.336 | 0.000 | 0.000 | 0.000 |
| 0.336 | 0.336 | 0.336 | 0.000 | 0.000 | 0.000 |
| 0.336 | 0.336 | 0.336 | 0.000 | 0.000 | 0.000 |
| 0.000 | 0.000 | 0.000 | 0.019 | 0.000 | 0.000 |
| 0.000 | 0.000 | 0.000 | 0.000 | 0.019 | 0.000 |
| 0.000 | 0.000 | 0.000 | 0.000 | 0.000 | 0.019 |
| 1979429.941 | 1979389.438 | 1979389.438 | -0.000 | 0.000 | 0.000 |
| 1979389.445 | 1979429.948 | 1979389.445 | 0.000 | 0.000 | 0.000 |
| 1979389.454 | 1979389.454 | 1979429.957 | -0.000 | -0.000 | 0.000 |
| 0.027 | 0.027 | 0.027 | 55.362 | -0.000 | 0.000 |
| 0.027 | 0.027 | 0.027 | -0.000 | 55.362 | 0.000 |
| 0.027 | 0.027 | 0.027 | -0.000 | -0.000 | 55.362 |
| 1979440.359 | 1979399.864 | 1979399.864 | 0.000 | -0.000 | 0.000 |
| 1979399.864 | 1979440.360 | 1979399.864 | 0.000 | 0.000 | 0.000 |
| 1979399.872 | 1979399.872 | 1979440.367 | 0.000 | 0.000 | -0.000 |
| -0.014 | -0.014 | -0.014 | 55.362 | 0.000 | 0.000 |
| -0.009 | -0.009 | -0.009 | 0.000 | 55.362 | -0.000 |
| -0.009 | -0.009 | -0.009 | 0.000 | -0.000 | 55.362 |
| 1979383.011 | 1979342.472 | 1979342.472 | -0.000 | 0.000 | 0.000 |
| 1979342.472 | 1979383.012 | 1979342.472 | -0.000 | -0.000 | -0.000 |
| 1979342.472 | 1979342.472 | 1979383.012 | -0.000 | -0.000 | -0.000 |
| 0.096 | 0.096 | 0.096 | 55.362 | 0.000 | 0.000 |
| 0.096 | 0.096 | 0.096 | -0.000 | 55.362 | 0.000 |
| 0.096 | 0.096 | 0.096 | -0.000 | 0.000 | 55.362 |
| 1979487.331 | 1979446.872 | 1979446.872 | 0.000 | 0.000 | -0.000 |
| 1979446.872 | 1979487.331 | 1979446.872 | 0.000 | 0.000 | 0.000 |
| 1979446.871 | 1979446.871 | 1979487.330 | 0.000 | -0.000 | 0.000 |
| -0.097 | -0.097 | -0.097 | 55.362 | 0.000 | 0.000 |
| -0.097 | -0.097 | -0.097 | 0.000 | 55.362 | 0.000 |
| -0.097 | -0.097 | -0.097 | 0.000 | 0.000 | 55.362 |
| 1978913.558 | 1978872.655 | 1978872.655 | 0.000 | -0.000 | -0.000 |
| 1978872.655 | 1978913.558 | 1978872.655 | -0.000 | 0.000 | 0.000 |
| 1978872.655 | 1978872.655 | 1978913.558 | -0.000 | -0.000 | 0.000 |
| 0.948 | 0.948 | 0.948 | 55.362 | 0.000 | -0.000 |
| 0.948 | 0.948 | 0.948 | -0.000 | 55.362 | 0.000 |
| 0.948 | 0.948 | 0.948 | 0.000 | -0.000 | 55.362 |
| 1979956.774 | 1979916.679 | 1979916.679 | 0.000 | 0.000 | 0.000 |
| 1979916.679 | 1979956.774 | 1979916.679 | 0.000 | 0.000 | 0.000 |
| 1979916.679 | 1979916.679 | 1979956.774 | 0.000 | 0.000 | 0.000 |
| -0.948 | -0.948 | -0.948 | 55.362 | 0.000 | -0.000 |
| -0.948 | -0.948 | -0.948 | 0.000 | 55.362 | -0.000 |
| -0.948 | -0.948 | -0.948 | 0.000 | 0.000 | 55.362 |
| 299.879 | 285.476 | 285.476 | 0.000 | 0.000 | 0.000 |
| 285.476 | 299.879 | 285.476 | 0.000 | 0.000 | -0.000 |
| 285.476 | 285.476 | 299.879 | -0.000 | -0.000 | 0.000 |
| -0.000 | -0.000 | 0.000 | 34.010 | 0.000 | 0.000 |
| -0.000 | -0.000 | 0.000 | 0.000 | 34.010 | 0.000 |
| -0.000 | -0.000 | 0.000 | 0.000 | 0.000 | 34.010 |
| 299.879 | 285.476 | 285.476 | -0.000 | -0.000 | -0.000 |
| 285.476 | 299.879 | 285.476 | -0.000 | -0.000 | 0.000 |
| 285.476 | 285.476 | 299.879 | -0.000 | -0.000 | 0.000 |
| 0.000 | 0.000 | 0.000 | 34.010 | 0.000 | 0.000 |
| 0.000 | 0.000 | 0.000 | 0.000 | 34.010 | 0.000 |
| 0.000 | 0.000 | -0.000 | -0.000 | -0.000 | 34.010 |
| 299.879 | 285.476 | 285.476 | 0.000 | 0.000 | -0.000 |
| 285.476 | 299.879 | 285.476 | 0.000 | -0.000 | 0.000 |
| 285.476 | 285.476 | 299.879 | 0.000 | 0.000 | -0.000 |
| 0.000 | 0.000 | 0.000 | 34.010 | 0.000 | 0.000 |
| 0.000 | 0.000 | 0.000 | 0.000 | 34.010 | -0.000 |
| 0.000 | 0.000 | 0.000 | 0.000 | 0.000 | 34.010 |
| 299.879 | 285.475 | 285.475 | -0.000 | -0.000 | -0.000 |
| 285.475 | 299.879 | 285.475 | -0.000 | 0.000 | -0.000 |
| 285.475 | 285.475 | 299.879 | -0.000 | -0.000 | -0.000 |
| -0.000 | -0.000 | -0.000 | 34.010 | -0.000 | -0.000 |
| -0.000 | -0.000 | -0.000 | -0.000 | 34.010 | 0.000 |
| -0.000 | -0.000 | -0.000 | -0.000 | -0.000 | 34.010 |
| 299.882 | 285.479 | 285.479 | 0.000 | 0.000 | 0.000 |
| 285.479 | 299.882 | 285.479 | 0.000 | 0.000 | 0.000 |
| 285.479 | 285.479 | 299.882 | 0.000 | 0.000 | 0.000 |
| 0.000 | 0.000 | 0.000 | 34.010 | 0.000 | 0.000 |
| 0.000 | 0.000 | 0.000 | 0.000 | 34.010 | 0.000 |
| 0.000 | 0.000 | 0.000 | 0.000 | 0.000 | 34.010 |
| 299.876 | 285.473 | 285.473 | -0.000 | -0.000 | 0.000 |
| 285.473 | 299.876 | 285.473 | -0.000 | -0.000 | -0.000 |
| 285.473 | 285.473 | 299.876 | -0.000 | -0.000 | 0.000 |
| -0.000 | -0.000 | -0.000 | 34.010 | -0.000 | -0.000 |
| -0.000 | -0.000 | -0.000 | -0.000 | 34.010 | -0.000 |
| -0.000 | -0.000 | -0.000 | -0.000 | -0.000 | 34.010 |
| 0.823 | 0.411 | 0.411 | -0.000 | -0.000 | -0.000 |
| 0.411 | 0.823 | 0.411 | -0.000 | -0.000 | -0.000 |
| 0.411 | 0.411 | 0.823 | -0.000 | -0.000 | -0.000 |
| -0.000 | 0.000 | 0.000 | 0.411 | -0.000 | -0.000 |
| 0.000 | -0.000 | 0.000 | -0.000 | 0.411 | -0.000 |
| 0.000 | 0.000 | -0.000 | -0.000 | -0.000 | 0.411 |
| 0.823 | 0.411 | 0.411 | -0.000 | 0.000 | 0.000 |
| 0.411 | 0.823 | 0.411 | 0.000 | -0.000 | 0.000 |
| 0.411 | 0.411 | 0.823 | 0.000 | 0.000 | -0.000 |
| -0.000 | -0.000 | -0.000 | 0.411 | 0.000 | 0.000 |
| -0.000 | -0.000 | -0.000 | 0.000 | 0.411 | 0.000 |
| -0.000 | -0.000 | -0.000 | 0.000 | 0.000 | 0.411 |
| 0.823 | 0.411 | 0.411 | -0.000 | -0.000 | -0.000 |
| 0.411 | 0.823 | 0.411 | -0.000 | -0.000 | -0.000 |
| 0.411 | 0.411 | 0.823 | -0.000 | -0.000 | 0.000 |
| -0.000 | 0.000 | 0.000 | 0.411 | -0.000 | -0.000 |
| 0.000 | -0.000 | 0.000 | -0.000 | 0.411 | -0.000 |
| 0.000 | 0.000 | -0.000 | -0.000 | -0.000 | 0.411 |
| 0.823 | 0.411 | 0.411 | 0.000 | 0.000 | 0.000 |
| 0.411 | 0.823 | 0.411 | 0.000 | 0.000 | 0.000 |
| 0.411 | 0.411 | 0.823 | 0.000 | 0.000 | 0.000 |
| 0.000 | -0.000 | -0.000 | 0.411 | 0.000 | 0.000 |
| -0.000 | 0.000 | -0.000 | 0.000 | 0.411 | 0.000 |
| -0.000 | -0.000 | 0.000 | 0.000 | 0.000 | 0.411 |
| 0.823 | 0.412 | 0.412 | -0.000 | -0.000 | -0.000 |
| 0.412 | 0.823 | 0.412 | -0.000 | -0.000 | -0.000 |
| 0.412 | 0.412 | 0.823 | -0.000 | -0.000 | -0.000 |
| -0.000 | 0.000 | 0.000 | 0.411 | -0.000 | -0.000 |
| 0.000 | -0.000 | 0.000 | -0.000 | 0.411 | -0.000 |
| 0.000 | 0.000 | -0.000 | -0.000 | -0.000 | 0.411 |
| 0.823 | 0.411 | 0.411 | 0.000 | 0.000 | 0.000 |
| 0.411 | 0.823 | 0.411 | 0.000 | -0.000 | 0.000 |
| 0.411 | 0.411 | 0.823 | 0.000 | 0.000 | 0.000 |
| 0.000 | -0.000 | -0.000 | 0.411 | 0.000 | 0.000 |
| -0.000 | 0.000 | -0.000 | 0.000 | 0.411 | 0.000 |
| -0.000 | -0.000 | 0.000 | 0.000 | 0.000 | 0.411 |
| 356.793 | 350.472 | 445.596 | 0.000 | -0.000 | -0.000 |
| 350.472 | 356.793 | 445.596 | -0.000 | 0.000 | -0.000 |
| 445.596 | 445.596 | 699.713 | -0.000 | -0.000 | -0.000 |
| 0.000 | 0.000 | 0.000 | 25.766 | -0.000 | -0.000 |
| 0.000 | 0.000 | -0.000 | -0.000 | 25.766 | -0.000 |
| 0.000 | 0.000 | 0.000 | -0.000 | -0.000 | 63.363 |
| 356.793 | 350.472 | 445.596 | -0.000 | -0.000 | 0.000 |
| 350.472 | 356.793 | 445.596 | -0.000 | -0.000 | 0.000 |
| 445.596 | 445.596 | 699.713 | -0.000 | -0.000 | -0.000 |
| -0.000 | -0.000 | 0.000 | 25.766 | 0.000 | 0.000 |
| -0.000 | -0.000 | 0.000 | 0.000 | 25.766 | 0.000 |
| -0.000 | -0.000 | -0.000 | 0.000 | 0.000 | 63.363 |
| 356.793 | 350.473 | 445.596 | -0.000 | 0.000 | -0.000 |
| 350.473 | 356.793 | 445.596 | 0.000 | -0.000 | -0.000 |
| 445.597 | 445.597 | 699.714 | -0.000 | -0.000 | 0.000 |
| 0.000 | -0.000 | -0.000 | 20.483 | 0.000 | -0.000 |
| -0.000 | 0.000 | -0.000 | 0.000 | 20.483 | -0.000 |
| 0.000 | 0.000 | 0.000 | -0.000 | -0.000 | 63.363 |
| 349.211 | 358.053 | 445.595 | -0.000 | 0.000 | -0.000 |
| 358.053 | 349.211 | 445.595 | 0.000 | 0.000 | 0.000 |
| 445.595 | 445.595 | 699.711 | -0.000 | -0.000 | 0.000 |
| -0.000 | 0.000 | 0.000 | 20.483 | -0.000 | 0.000 |
| 0.000 | -0.000 | 0.000 | -0.000 | 20.483 | 0.000 |
| -0.000 | -0.000 | -0.000 | 0.000 | 0.000 | 63.363 |
| 356.798 | 350.478 | 445.603 | -0.000 | -0.000 | -0.000 |
| 350.478 | 356.798 | 445.603 | -0.000 | -0.000 | -0.000 |
| 445.605 | 445.605 | 699.728 | -0.000 | 0.000 | -0.000 |
| 0.000 | -0.000 | -0.000 | 20.483 | -0.000 | -0.000 |
| -0.000 | 0.000 | -0.000 | -0.000 | 20.483 | -0.000 |
| 0.000 | 0.000 | 0.001 | 0.000 | 0.000 | 63.363 |
| 349.207 | 358.048 | 445.589 | -0.000 | 0.000 | 0.000 |
| 358.048 | 349.207 | 445.589 | 0.000 | -0.000 | 0.000 |
| 445.586 | 445.586 | 699.698 | 0.000 | 0.000 | 0.000 |
| -0.000 | 0.000 | 0.000 | 20.483 | -0.000 | 0.000 |
| 0.000 | -0.000 | 0.000 | -0.000 | 20.483 | 0.000 |
| -0.000 | -0.000 | -0.001 | -0.000 | 0.000 | 63.363 |
| 257.854 | 207.796 | 201.609 | -0.000 | -0.000 | -0.000 |
| 207.796 | 257.854 | 201.609 | -0.000 | 0.000 | -0.000 |
| 202.621 | 202.621 | 256.546 | -0.000 | 0.000 | 0.000 |
| -1.903 | -1.903 | -52.118 | 16.644 | 0.000 | 0.000 |
| -1.903 | -1.903 | -52.118 | -0.000 | 16.644 | 0.000 |
| -1.997 | -1.997 | -54.698 | 0.000 | 0.000 | 17.405 |
| 252.188 | 217.401 | 255.550 | 0.000 | -0.000 | -0.000 |
| 207.796 | 257.854 | 201.609 | -0.000 | -0.000 | 0.000 |
| 203.724 | 203.724 | 286.756 | -0.000 | -0.000 | 0.000 |
| 1.903 | 1.903 | 52.118 | 16.644 | -0.000 | -0.000 |
| 1.903 | 1.903 | 52.118 | 0.000 | 16.644 | -0.000 |
| 1.997 | 1.997 | 54.698 | -0.000 | -0.000 | 17.405 |
| 231.522 | 232.585 | 180.463 | -0.000 | 0.000 | 0.000 |
| 297.591 | 167.762 | 197.527 | -0.000 | 0.000 | 0.000 |
| 202.621 | 202.621 | 256.546 | -0.000 | -0.000 | 0.000 |
| -0.190 | -0.190 | -5.204 | 15.929 | 0.000 | 0.000 |
| -0.190 | -0.190 | -5.204 | -0.000 | 15.929 | -0.000 |
| 0.000 | 0.000 | 0.000 | 0.000 | -0.000 | 25.029 |
| 167.905 | 297.894 | 203.651 | -0.000 | -0.000 | 0.000 |
| 207.796 | 257.854 | 201.608 | -0.000 | -0.000 | 0.000 |
| 202.621 | 202.621 | 256.546 | 0.000 | 0.000 | -0.000 |
| 0.190 | 0.190 | 5.204 | 15.929 | -0.000 | -0.000 |
| 0.190 | 0.190 | 5.204 | 0.000 | 15.929 | -0.000 |
| -0.000 | -0.000 | -0.000 | -0.000 | -0.000 | 25.029 |
| 201.888 | 263.030 | 191.511 | 0.000 | -0.000 | -0.000 |
| 298.375 | 167.370 | 202.832 | -0.000 | -0.000 | 0.000 |
| 201.807 | 201.807 | 234.196 | -0.000 | 0.000 | -0.000 |
| -0.019 | -0.019 | -0.520 | 15.929 | 0.000 | 0.000 |
| -0.019 | -0.019 | -0.520 | 0.000 | 15.929 | 0.000 |
| -0.155 | -0.156 | -4.250 | -0.000 | 0.000 | -34.218 |
| 165.082 | 300.391 | 199.242 | -0.000 | -0.000 | 0.000 |
| 267.485 | 197.995 | 199.329 | 0.000 | -0.000 | 0.000 |
| 201.841 | 201.841 | 235.233 | 0.000 | -0.000 | 0.000 |
| 0.019 | 0.019 | 0.520 | 15.929 | -0.000 | -0.000 |
| 0.019 | 0.019 | 0.520 | -0.000 | 15.929 | 0.000 |
| 0.155 | 0.156 | 4.250 | 0.000 | -0.000 | -34.218 |
| 258.889 | 209.615 | 206.823 | 0.000 | 0.000 | -0.000 |
| 209.615 | 258.889 | 206.823 | 0.000 | 0.000 | -0.000 |
| 206.823 | 206.823 | 266.467 | 0.000 | 0.000 | -0.000 |
| -0.000 | 0.000 | 0.000 | 20.180 | -0.000 | 0.000 |
| -0.464 | -0.464 | -4.616 | -0.000 | 20.090 | -0.000 |
| -0.139 | -0.139 | -1.387 | 0.000 | 0.000 | -59.114 |
| 258.889 | 209.615 | 206.823 | -0.000 | -0.000 | 0.000 |
| 209.615 | 258.889 | 206.823 | -0.000 | -0.000 | 0.000 |
| 206.823 | 206.823 | 266.467 | -0.000 | 0.000 | 0.000 |
| -0.000 | 0.000 | 0.000 | 20.180 | 0.000 | -0.000 |
| 0.464 | 0.464 | 4.616 | 0.000 | 20.090 | -0.000 |
| 0.139 | 0.139 | 1.387 | 0.000 | -0.000 | -59.114 |
| 169.205 | 298.382 | 202.252 | 0.000 | 0.000 | 0.000 |
| 252.871 | 212.801 | 192.720 | 0.000 | 0.000 | 0.000 |
| 206.823 | 206.823 | 266.467 | 0.000 | 0.000 | -0.000 |
| -0.121 | -0.121 | -1.209 | 19.944 | 0.000 | -0.000 |
| -0.121 | -0.121 | -1.209 | -0.000 | 19.944 | 0.000 |
| 0.000 | 0.000 | 0.000 | 0.000 | 0.000 | 24.637 |
| 207.208 | 259.286 | 196.819 | -0.000 | 0.000 | 0.000 |
| 209.615 | 258.889 | 206.823 | -0.000 | 0.000 | 0.000 |
| 206.823 | 206.823 | 266.466 | -0.000 | -0.000 | -0.000 |
| 0.121 | 0.121 | 1.209 | 19.944 | 0.000 | 0.000 |
| 0.121 | 0.121 | 1.209 | -0.000 | 19.944 | 0.000 |
| -0.000 | -0.000 | -0.000 | -0.000 | -0.000 | 24.637 |
| 210.148 | 255.856 | 194.358 | -0.000 | 0.000 | -0.000 |
| 294.389 | 174.516 | 208.791 | 0.000 | -0.000 | -0.000 |
| 206.825 | 206.825 | 266.469 | 0.000 | 0.000 | 0.000 |
| -0.004 | -0.004 | -0.043 | 19.881 | -0.000 | -0.000 |
| -0.015 | -0.015 | -0.153 | -0.000 | 19.882 | 0.000 |
| 0.000 | 0.000 | 0.000 | 0.000 | 0.000 | 24.637 |
| 209.574 | 256.504 | 194.767 | 0.000 | 0.000 | 0.000 |
| 294.454 | 174.455 | 208.863 | -0.000 | -0.000 | -0.000 |
| 204.935 | 204.935 | 247.684 | 0.000 | 0.000 | -0.000 |
| 0.004 | 0.004 | 0.043 | 19.881 | -0.000 | -0.000 |
| 0.015 | 0.015 | 0.153 | 0.000 | 19.882 | 0.000 |
| -0.000 | -0.000 | -0.000 | -0.000 | -0.000 | 24.637 |
| 217389.165 | 217167.113 | 217167.113 | 0.000 | 0.000 | 0.000 |
| 217167.113 | 217389.165 | 217167.113 | 0.000 | 0.000 | -0.000 |
| 217167.113 | 217167.113 | 217389.165 | 0.000 | 0.000 | -0.000 |
| 0.001 | 0.001 | 0.001 | -18.611 | -0.000 | -0.000 |
| 0.001 | 0.001 | 0.001 | 0.000 | -18.611 | -0.000 |
| 0.001 | 0.001 | 0.001 | 0.000 | 0.000 | -18.611 |
| 217388.227 | 217166.182 | 217166.182 | -0.000 | -0.000 | 0.000 |
| 217166.182 | 217388.227 | 217166.182 | -0.000 | -0.000 | -0.000 |
| 217166.183 | 217166.183 | 217388.227 | -0.000 | -0.000 | -0.000 |
| -0.001 | -0.001 | -0.001 | -18.611 | -0.000 | -0.000 |
| -0.001 | -0.001 | -0.001 | -0.000 | -18.611 | 0.000 |
| -0.001 | -0.001 | -0.001 | -0.000 | -0.000 | -18.611 |
| 217393.360 | 217171.278 | 217171.278 | 0.000 | 0.000 | 0.000 |
| 217171.278 | 217393.360 | 217171.278 | 0.000 | 0.000 | 0.000 |
| 217171.278 | 217171.278 | 217393.360 | 0.000 | 0.000 | 0.000 |
| -0.007 | -0.007 | -0.007 | -18.611 | -0.000 | -0.000 |
| -0.007 | -0.007 | -0.007 | 0.000 | -18.611 | 0.000 |
| -0.007 | -0.007 | -0.007 | 0.000 | 0.000 | -18.611 |
| 217384.035 | 217162.020 | 217162.020 | -0.000 | -0.000 | 0.000 |
| 217162.020 | 217384.035 | 217162.020 | -0.000 | -0.000 | -0.000 |
| 217162.020 | 217162.020 | 217384.035 | -0.000 | -0.000 | 0.000 |
| 0.007 | 0.007 | 0.007 | -18.611 | -0.000 | -0.000 |
| 0.007 | 0.007 | 0.007 | -0.000 | -18.611 | 0.000 |
| 0.007 | 0.007 | 0.007 | -0.000 | -0.000 | -18.611 |
| 217435.320 | 217212.936 | 217212.936 | 0.000 | 0.000 | 0.000 |
| 217212.936 | 217435.320 | 217212.936 | 0.000 | 0.000 | -0.000 |
| 217212.936 | 217212.936 | 217435.320 | 0.000 | -0.000 | -0.000 |
| -0.069 | -0.069 | -0.069 | -18.611 | 0.000 | -0.000 |
| -0.069 | -0.069 | -0.069 | 0.000 | -18.611 | 0.000 |
| -0.069 | -0.069 | -0.069 | 0.000 | -0.000 | -18.611 |
| 217342.075 | 217120.363 | 217120.363 | -0.000 | -0.000 | 0.000 |
| 217120.363 | 217342.075 | 217120.363 | -0.000 | -0.000 | -0.000 |
| 217120.363 | 217120.363 | 217342.075 | -0.000 | -0.000 | -0.000 |
| 0.069 | 0.069 | 0.069 | -18.611 | -0.000 | -0.000 |
| 0.069 | 0.069 | 0.069 | -0.000 | -18.611 | 0.000 |
| 0.069 | 0.069 | 0.069 | -0.000 | 0.000 | -18.611 |
| 170.816 | 100.410 | 100.410 | -0.000 | -0.000 | 0.000 |
| 100.410 | 170.816 | 100.410 | -0.000 | -0.000 | 0.000 |
| 100.410 | 100.410 | 170.816 | -0.000 | -0.000 | 0.000 |
| 0.000 | 0.000 | 0.000 | -10.861 | -0.000 | 0.000 |
| 0.000 | 0.000 | 0.000 | -0.000 | -10.861 | 0.000 |
| 0.000 | 0.000 | 0.000 | -0.000 | -0.000 | -10.861 |
| 170.816 | 100.410 | 100.410 | 0.000 | 0.000 | -0.000 |
| 100.410 | 170.816 | 100.410 | -0.000 | 0.000 | -0.000 |
| 100.410 | 100.410 | 170.816 | 0.000 | 0.000 | -0.000 |
| -0.000 | -0.000 | -0.000 | -10.861 | 0.000 | -0.000 |
| -0.000 | -0.000 | -0.000 | 0.000 | -10.861 | -0.000 |
| -0.000 | -0.000 | -0.000 | 0.000 | 0.000 | -10.861 |
| 170.817 | 100.410 | 100.410 | -0.000 | -0.000 | 0.000 |
| 100.410 | 170.817 | 100.410 | 0.000 | -0.000 | 0.000 |
| 100.410 | 100.410 | 170.817 | -0.000 | -0.000 | 0.000 |
| 0.000 | 0.000 | 0.000 | -10.861 | -0.000 | 0.000 |
| 0.000 | 0.000 | 0.000 | -0.000 | -10.861 | 0.000 |
| 0.000 | 0.000 | 0.000 | -0.000 | -0.000 | -10.861 |
| 170.816 | 100.409 | 100.409 | 0.000 | 0.000 | 0.000 |
| 100.409 | 170.816 | 100.409 | -0.000 | 0.000 | -0.000 |
| 100.409 | 100.409 | 170.816 | 0.000 | 0.000 | -0.000 |
| -0.000 | -0.000 | -0.000 | -10.861 | 0.000 | -0.000 |
| -0.000 | -0.000 | -0.000 | 0.000 | -10.861 | -0.000 |
| -0.000 | -0.000 | -0.000 | 0.000 | 0.000 | -10.861 |
| 170.818 | 100.411 | 100.411 | -0.000 | -0.000 | 0.000 |
| 100.411 | 170.818 | 100.411 | -0.000 | -0.000 | 0.000 |
| 100.411 | 100.411 | 170.818 | -0.000 | 0.000 | 0.000 |
| 0.000 | 0.000 | 0.000 | -10.861 | -0.000 | 0.000 |
| 0.000 | 0.000 | 0.000 | -0.000 | -10.861 | 0.000 |
| 0.000 | 0.000 | 0.000 | -0.000 | -0.000 | -10.861 |
| 170.814 | 100.408 | 100.408 | -0.000 | 0.000 | -0.000 |
| 100.408 | 170.814 | 100.408 | 0.000 | 0.000 | 0.000 |
| 100.408 | 100.408 | 170.814 | 0.000 | 0.000 | -0.000 |
| -0.000 | -0.000 | -0.000 | -10.861 | 0.000 | 0.000 |
| -0.000 | -0.000 | -0.000 | -0.000 | -10.861 | -0.000 |
| -0.000 | -0.000 | -0.000 | 0.000 | 0.000 | -10.861 |
| 1.164 | -0.000 | -0.000 | -0.000 | -0.000 | 0.000 |
| -0.000 | 1.164 | -0.000 | -0.000 | -0.000 | -0.000 |
| -0.000 | -0.000 | 1.164 | -0.000 | -0.000 | -0.000 |
| -0.000 | -0.000 | -0.000 | -0.000 | -0.000 | 0.000 |
| -0.000 | -0.000 | -0.000 | -0.000 | -0.000 | 0.000 |
| -0.000 | -0.000 | -0.000 | -0.000 | -0.000 | -0.000 |
| 1.164 | 0.000 | 0.000 | 0.000 | -0.000 | -0.000 |
| 0.000 | 1.164 | 0.000 | 0.000 | 0.000 | -0.000 |
| 0.000 | 0.000 | 1.164 | -0.000 | -0.000 | 0.000 |
| 0.000 | 0.000 | 0.000 | -0.000 | 0.000 | -0.000 |
| 0.000 | 0.000 | 0.000 | 0.000 | -0.000 | -0.000 |
| 0.000 | 0.000 | 0.000 | 0.000 | -0.000 | -0.000 |
| 1.164 | -0.000 | -0.000 | -0.000 | -0.000 | 0.000 |
| -0.000 | 1.164 | -0.000 | -0.000 | -0.000 | 0.000 |
| -0.000 | -0.000 | 1.164 | -0.000 | -0.000 | -0.000 |
| -0.000 | -0.000 | -0.000 | 0.000 | 0.000 | 0.000 |
| -0.000 | -0.000 | -0.000 | -0.000 | 0.000 | 0.000 |
| -0.000 | -0.000 | -0.000 | -0.000 | -0.000 | 0.000 |
| 1.164 | 0.000 | 0.000 | 0.000 | -0.000 | -0.000 |
| 0.000 | 1.164 | 0.000 | 0.000 | 0.000 | -0.000 |
| 0.000 | 0.000 | 1.164 | -0.000 | -0.000 | 0.000 |
| 0.000 | 0.000 | 0.000 | 0.000 | -0.000 | -0.000 |
| 0.000 | 0.000 | 0.000 | 0.000 | 0.000 | -0.000 |
| 0.000 | 0.000 | 0.000 | 0.000 | -0.000 | 0.000 |
| 1.165 | -0.000 | -0.000 | -0.000 | -0.000 | -0.000 |
| -0.000 | 1.165 | -0.000 | -0.000 | -0.000 | -0.000 |
| -0.000 | -0.000 | 1.165 | -0.000 | -0.000 | -0.000 |
| -0.000 | -0.000 | -0.000 | 0.000 | 0.000 | 0.000 |
| -0.000 | -0.000 | -0.000 | 0.000 | 0.000 | 0.000 |
| -0.000 | -0.000 | -0.000 | -0.000 | -0.000 | 0.000 |
| 1.163 | 0.000 | 0.000 | 0.000 | -0.000 | -0.000 |
| 0.000 | 1.163 | 0.000 | 0.000 | 0.000 | 0.000 |
| 0.000 | 0.000 | 1.163 | 0.000 | 0.000 | 0.000 |
| 0.000 | 0.000 | 0.000 | 0.000 | -0.000 | -0.000 |
| 0.000 | 0.000 | 0.000 | -0.000 | 0.000 | -0.000 |
| 0.000 | 0.000 | 0.000 | 0.000 | 0.000 | 0.000 |
| -222187.514 | -222257.753 | -222257.753 | 0.000 | -0.000 | -0.000 |
| -222257.753 | -222187.514 | -222257.753 | 0.000 | -0.000 | -0.000 |
| -222257.752 | -222257.752 | -222187.514 | 0.000 | -0.000 | 0.000 |
| 0.001 | 0.001 | 0.001 | 24.386 | 0.000 | -0.000 |
| 0.001 | 0.001 | 0.001 | 0.000 | 24.386 | -0.000 |
| 0.001 | 0.001 | 0.001 | -0.000 | -0.000 | 24.386 |
| -222188.433 | -222258.667 | -222258.667 | -0.000 | 0.000 | 0.000 |
| -222258.667 | -222188.433 | -222258.667 | 0.000 | -0.000 | 0.000 |
| -222258.667 | -222258.667 | -222188.433 | -0.000 | 0.000 | -0.000 |
| -0.001 | -0.001 | -0.001 | 24.386 | 0.000 | 0.000 |
| -0.001 | -0.001 | -0.001 | 0.000 | 24.386 | 0.000 |
| -0.001 | -0.001 | -0.001 | -0.000 | 0.000 | 24.386 |
| -222183.405 | -222253.664 | -222253.664 | 0.000 | 0.000 | -0.000 |
| -222253.664 | -222183.405 | -222253.664 | 0.000 | -0.000 | -0.000 |
| -222253.664 | -222253.664 | -222183.405 | -0.000 | -0.000 | -0.000 |
| -0.021 | -0.021 | -0.021 | 24.386 | -0.000 | -0.000 |
| -0.021 | -0.021 | -0.021 | -0.000 | 24.386 | -0.000 |
| -0.021 | -0.021 | -0.021 | -0.000 | -0.000 | 24.386 |
| -222192.543 | -222262.756 | -222262.756 | 0.000 | 0.000 | 0.000 |
| -222262.756 | -222192.543 | -222262.756 | 0.000 | 0.000 | 0.000 |
| -222262.756 | -222262.756 | -222192.543 | -0.000 | -0.000 | 0.000 |
| 0.021 | 0.021 | 0.021 | 24.386 | -0.000 | 0.000 |
| 0.021 | 0.021 | 0.021 | -0.000 | 24.386 | 0.000 |
| 0.021 | 0.021 | 0.021 | -0.000 | 0.000 | 24.386 |
| 17434252.128 | 17434199.495 | 17434199.495 | -0.000 | -0.000 | -0.000 |
| 17434199.610 | 17434252.244 | 17434199.610 | -0.000 | 0.000 | 0.000 |
| 17434199.563 | 17434199.562 | 17434252.197 | -0.000 | -0.000 | -0.000 |
| -0.211 | -0.211 | -0.211 | 24.386 | 0.000 | 0.000 |
| -0.211 | -0.211 | -0.211 | 0.000 | 24.386 | -0.000 |
| -0.211 | -0.211 | -0.211 | 0.000 | -0.000 | 24.386 |
| -222233.658 | -222303.668 | -222303.668 | -0.000 | -0.000 | 0.000 |
| -222303.668 | -222233.658 | -222303.668 | -0.000 | 0.000 | -0.000 |
| -222303.668 | -222303.668 | -222233.658 | -0.000 | 0.000 | 0.000 |
| 0.211 | 0.211 | 0.211 | 24.386 | 0.000 | -0.000 |
| 0.211 | 0.211 | 0.211 | -0.000 | 24.386 | 0.000 |
| 0.211 | 0.211 | 0.211 | 0.000 | 0.000 | 24.386 |
| 328.646 | 331.493 | 331.493 | -0.000 | 0.000 | 0.000 |
| 331.493 | 328.646 | 331.493 | 0.000 | 0.000 | -0.000 |
| 331.493 | 331.493 | 328.646 | -0.000 | 0.000 | 0.000 |
| 0.000 | -0.000 | -0.000 | 20.116 | 0.000 | -0.000 |
| -0.000 | 0.000 | -0.000 | -0.000 | 20.116 | -0.000 |
| -0.000 | -0.000 | 0.000 | -0.000 | 0.000 | 20.116 |
| 328.646 | 331.493 | 331.493 | 0.000 | 0.000 | -0.000 |
| 331.493 | 328.646 | 331.493 | 0.000 | -0.000 | 0.000 |
| 331.493 | 331.493 | 328.646 | 0.000 | 0.000 | 0.000 |
| 0.000 | 0.000 | 0.000 | 20.116 | -0.000 | 0.000 |
| 0.000 | -0.000 | 0.000 | 0.000 | 20.116 | 0.000 |
| 0.000 | 0.000 | -0.000 | 0.000 | -0.000 | 20.116 |
| 328.646 | 331.494 | 331.494 | 0.000 | 0.000 | -0.000 |
| 331.494 | 328.646 | 331.494 | 0.000 | 0.000 | -0.000 |
| 331.494 | 331.494 | 328.646 | -0.000 | -0.000 | 0.000 |
| 0.000 | -0.000 | -0.000 | 20.116 | 0.000 | -0.000 |
| -0.000 | 0.000 | -0.000 | -0.000 | 20.116 | -0.000 |
| -0.000 | -0.000 | 0.000 | 0.000 | 0.000 | 20.116 |
| 328.645 | 331.493 | 331.493 | 0.000 | 0.000 | 0.000 |
| 331.493 | 328.645 | 331.493 | 0.000 | 0.000 | -0.000 |
| 331.493 | 331.493 | 328.645 | 0.000 | -0.000 | -0.000 |
| -0.000 | 0.000 | 0.000 | 20.116 | 0.000 | 0.000 |
| 0.000 | -0.000 | 0.000 | 0.000 | 20.116 | 0.000 |
| 0.000 | 0.000 | -0.000 | 0.000 | -0.000 | 20.116 |
| 328.651 | 331.500 | 331.500 | 0.000 | 0.000 | 0.000 |
| 331.500 | 328.651 | 331.500 | 0.000 | 0.000 | -0.000 |
| 331.500 | 331.500 | 328.651 | -0.000 | -0.000 | 0.000 |
| 0.000 | -0.001 | -0.001 | 20.116 | -0.000 | -0.000 |
| -0.001 | 0.000 | -0.001 | 0.000 | 20.116 | -0.000 |
| -0.001 | -0.001 | 0.000 | -0.000 | -0.000 | 20.116 |
| 328.640 | 331.487 | 331.487 | 0.000 | -0.000 | 0.000 |
| 331.487 | 328.640 | 331.487 | -0.000 | -0.000 | 0.000 |
| 331.487 | 331.487 | 328.640 | 0.000 | -0.000 | -0.000 |
| -0.000 | 0.001 | 0.001 | 20.116 | -0.000 | 0.000 |
| 0.001 | -0.000 | 0.001 | -0.000 | 20.116 | 0.000 |
| 0.001 | 0.001 | -0.000 | -0.000 | -0.000 | 20.116 |
| 0.672 | 0.672 | 0.672 | 0.000 | 0.000 | 0.000 |
| 0.672 | 0.672 | 0.672 | 0.000 | 0.000 | 0.000 |
| 0.672 | 0.672 | 0.672 | 0.000 | 0.000 | 0.000 |
| 0.000 | 0.000 | 0.000 | 0.672 | 0.000 | 0.000 |
| 0.000 | 0.000 | 0.000 | 0.000 | 0.672 | 0.000 |
| 0.000 | 0.000 | 0.000 | 0.000 | -0.000 | 0.672 |
| 0.672 | 0.672 | 0.672 | -0.000 | -0.000 | -0.000 |
| 0.672 | 0.672 | 0.672 | -0.000 | -0.000 | -0.000 |
| 0.672 | 0.672 | 0.672 | -0.000 | -0.000 | -0.000 |
| -0.000 | -0.000 | -0.000 | 0.672 | -0.000 | -0.000 |
| -0.000 | -0.000 | -0.000 | -0.000 | 0.672 | -0.000 |
| -0.000 | -0.000 | -0.000 | -0.000 | -0.000 | 0.672 |
| 0.672 | 0.672 | 0.672 | 0.000 | 0.000 | 0.000 |
| 0.672 | 0.672 | 0.672 | 0.000 | 0.000 | 0.000 |
| 0.672 | 0.672 | 0.672 | 0.000 | 0.000 | 0.000 |
| 0.000 | 0.000 | 0.000 | 0.672 | -0.000 | 0.000 |
| 0.000 | 0.000 | 0.000 | -0.000 | 0.672 | 0.000 |
| 0.000 | 0.000 | 0.000 | -0.000 | 0.000 | 0.672 |
| 0.672 | 0.672 | 0.672 | -0.000 | -0.000 | -0.000 |
| 0.672 | 0.672 | 0.672 | -0.000 | -0.000 | -0.000 |
| 0.672 | 0.672 | 0.672 | -0.000 | -0.000 | -0.000 |
| -0.000 | -0.000 | -0.000 | 0.672 | -0.000 | -0.000 |
| -0.000 | -0.000 | -0.000 | -0.000 | 0.672 | -0.000 |
| -0.000 | -0.000 | -0.000 | -0.000 | -0.000 | 0.672 |
| 0.672 | 0.672 | 0.672 | -0.000 | 0.000 | 0.000 |
| 0.672 | 0.672 | 0.672 | 0.000 | -0.000 | 0.000 |
| 0.672 | 0.672 | 0.672 | 0.000 | 0.000 | 0.000 |
| 0.000 | 0.000 | 0.000 | 0.672 | -0.000 | -0.000 |
| 0.000 | 0.000 | 0.000 | -0.000 | 0.672 | -0.000 |
| 0.000 | 0.000 | 0.000 | 0.000 | -0.000 | 0.672 |
| 0.672 | 0.672 | 0.672 | -0.000 | -0.000 | -0.000 |
| 0.672 | 0.672 | 0.672 | -0.000 | -0.000 | -0.000 |
| 0.672 | 0.672 | 0.672 | -0.000 | -0.000 | -0.000 |
| -0.000 | -0.000 | -0.000 | 0.672 | -0.000 | -0.000 |
| -0.000 | -0.000 | -0.000 | -0.000 | 0.672 | -0.000 |
| -0.000 | -0.000 | -0.000 | -0.000 | -0.000 | 0.672 |
| 175817.665 | 175916.293 | 175916.293 | 0.000 | -0.000 | -0.000 |
| 175916.293 | 175817.665 | 175916.293 | 0.000 | 0.000 | -0.000 |
| 175916.293 | 175916.293 | 175817.665 | 0.000 | -0.000 | 0.000 |
| 0.000 | 0.000 | 0.000 | 71.101 | 0.000 | -0.000 |
| 0.000 | 0.000 | 0.000 | 0.000 | 71.101 | 0.000 |
| 0.000 | 0.000 | 0.000 | 0.000 | -0.000 | 71.101 |
| 175816.916 | 175915.546 | 175915.546 | -0.000 | 0.000 | 0.000 |
| 175915.546 | 175816.916 | 175915.546 | -0.000 | -0.000 | 0.000 |
| 175915.546 | 175915.546 | 175816.916 | -0.000 | 0.000 | -0.000 |
| -0.000 | -0.000 | -0.000 | 71.101 | -0.000 | 0.000 |
| -0.000 | -0.000 | -0.000 | -0.000 | 71.101 | -0.000 |
| -0.000 | -0.000 | -0.000 | -0.000 | -0.000 | 71.101 |
| 175821.028 | 175919.648 | 175919.648 | 0.000 | -0.000 | -0.000 |
| 175919.648 | 175821.028 | 175919.648 | -0.000 | 0.000 | -0.000 |
| 175919.648 | 175919.648 | 175821.029 | 0.000 | -0.000 | -0.000 |
| -0.012 | -0.012 | -0.012 | -63.749 | 0.000 | 0.000 |
| -0.012 | -0.012 | -0.012 | 0.000 | -63.749 | 0.000 |
| -0.012 | -0.012 | -0.012 | 0.000 | 0.000 | -63.749 |
| 175813.552 | 175912.189 | 175912.189 | 0.000 | 0.000 | 0.000 |
| 175912.189 | 175813.552 | 175912.189 | 0.000 | 0.000 | 0.000 |
| 175912.189 | 175912.189 | 175813.552 | 0.000 | 0.000 | 0.000 |
| 0.012 | 0.012 | 0.012 | -63.749 | -0.000 | -0.000 |
| 0.012 | 0.012 | 0.012 | -0.000 | -63.749 | -0.000 |
| 0.012 | 0.012 | 0.012 | -0.000 | -0.000 | -63.749 |
| 175854.672 | 175953.213 | 175953.213 | -0.000 | -0.000 | -0.000 |
| 175953.213 | 175854.672 | 175953.213 | 0.000 | -0.000 | 0.000 |
| 175953.213 | 175953.213 | 175854.672 | 0.000 | 0.000 | -0.000 |
| -0.124 | -0.124 | -0.124 | -63.749 | 0.000 | 0.000 |
| -0.124 | -0.124 | -0.124 | 0.000 | -63.749 | 0.000 |
| -0.124 | -0.124 | -0.124 | 0.000 | 0.000 | -63.749 |
| 175779.909 | 175878.625 | 175878.625 | -0.000 | 0.000 | 0.000 |
| 175878.625 | 175779.909 | 175878.625 | -0.000 | -0.000 | -0.000 |
| 175878.625 | 175878.625 | 175779.909 | 0.000 | 0.000 | 0.000 |
| 0.124 | 0.124 | 0.124 | -63.749 | -0.000 | -0.000 |
| 0.124 | 0.124 | 0.124 | -0.000 | -63.749 | -0.000 |
| 0.124 | 0.124 | 0.124 | -0.000 | -0.000 | -63.749 |
| -172985.190 | -172887.001 | -172887.001 | 0.000 | -0.000 | 0.000 |
| -172887.001 | -172985.190 | -172887.001 | 0.000 | -0.000 | -0.000 |
| -172887.001 | -172887.001 | -172985.190 | 0.000 | 0.000 | 0.000 |
| -0.000 | -0.000 | -0.000 | 71.378 | 0.000 | -0.000 |
| -0.000 | -0.000 | -0.000 | 0.000 | 71.378 | 0.000 |
| -0.000 | -0.000 | -0.000 | 0.000 | 0.000 | 71.378 |
| -172985.892 | -172887.705 | -172887.705 | -0.000 | 0.000 | -0.000 |
| -172887.705 | -172985.892 | -172887.705 | -0.000 | 0.000 | 0.000 |
| -172887.705 | -172887.705 | -172985.892 | -0.000 | 0.000 | 0.000 |
| 0.001 | 0.001 | 0.001 | 71.378 | 0.000 | -0.000 |
| 0.001 | 0.001 | 0.001 | -0.000 | 71.378 | 0.000 |
| 0.001 | 0.001 | 0.001 | 0.000 | 0.000 | 71.378 |
| -172982.024 | -172883.826 | -172883.826 | 0.000 | -0.000 | -0.000 |
| -172883.826 | -172982.024 | -172883.826 | 0.000 | -0.000 | -0.000 |
| -172883.827 | -172883.827 | -172982.024 | 0.000 | -0.000 | -0.000 |
| -410441774.693 | -410261192.852 | -406475178.876 | 720270.692 | 347079.653 | 811841.037 |
| -423263355.229 | -422211054.217 | -420613238.415 | 299411.897 | 1148163.546 | 130699.972 |
| -447497284.184 | -446486730.040 | -448089647.352 | -258217.788 | 553244.188 | 1032338.946 |
| 434103560.869 | 437180996.163 | 437809932.696 | 2159420.996 | -374696.702 | 139147.469 |
| 471535092.567 | 469840146.932 | 468947721.411 | 1201078.029 | 2203328.859 | -340391.138 |
| 460421800.487 | 460783335.200 | 458426220.637 | -1227258.444 | 1583238.786 | -1264856.856 |
| 449173130.961 | 450152231.203 | 451725821.489 | 524298.469 | 153586.849 | -1005342.963 |
| 457069767.632 | 457364292.702 | 458695917.354 | -261764.967 | 197371.645 | 658632.877 |
| 447333330.040 | 448215856.164 | 449680418.821 | 87610.859 | -576795.678 | 1147796.441 |
| -45091762.697 | -44908996.100 | -45231877.406 | 10517.886 | -113128.338 | 24587.467 |
| -44834827.112 | -45371589.435 | -45127094.253 | -91745.601 | -3661.025 | -40116.897 |
| -47901818.147 | -47693028.249 | -47895712.955 | -79280.322 | -28270.217 | -41357.028 |
| -44515205.269 | -44449678.348 | -44567126.232 | 214188.718 | 84459.128 | -177653.963 |
| -45548205.902 | -45905861.262 | -46030506.367 | 100561.147 | 222176.715 | -17780.952 |
| -45720387.598 | -46176875.802 | -45846727.120 | 229535.140 | -183105.777 | 201669.176 |
| -173020.709 | -172922.618 | -172922.618 | 0.000 | 0.000 | 0.000 |
| -172922.618 | -173020.709 | -172922.618 | -0.000 | 0.000 | 0.000 |
| -172922.618 | -172922.618 | -173020.709 | -0.000 | 0.000 | 0.000 |
| 46841984.604 | 46658749.077 | 45878964.084 | 108049.553 | 160962.433 | 23327.648 |
| 44091012.925 | 43851954.205 | 43894563.291 | 225430.562 | 16862.267 | 28861.287 |
| 46529366.964 | 46239162.045 | 46197534.045 | 35327.358 | -31716.563 | 278264.177 |
| 55.050 | 65.864 | 65.864 | -0.000 | -0.000 | -0.000 |
| 65.864 | 55.050 | 65.864 | -0.000 | -0.000 | -0.000 |
| 65.864 | 65.864 | 55.050 | -0.000 | -0.000 | -0.000 |
| -0.000 | 0.000 | 0.000 | 16.873 | 0.000 | 0.000 |
| 0.000 | -0.000 | 0.000 | 0.000 | 16.873 | 0.000 |
| 0.000 | 0.000 | -0.000 | 0.000 | 0.000 | 16.873 |
| 55.050 | 65.864 | 65.864 | 0.000 | 0.000 | 0.000 |
| 65.864 | 55.050 | 65.864 | 0.000 | 0.000 | 0.000 |
| 65.864 | 65.864 | 55.050 | 0.000 | 0.000 | 0.000 |
| -0.000 | -0.000 | -0.000 | 16.873 | -0.000 | -0.000 |
| -0.000 | -0.000 | -0.000 | -0.000 | 16.873 | -0.000 |
| -0.000 | -0.000 | -0.000 | 0.000 | -0.000 | 16.873 |
| 55.050 | 65.864 | 65.864 | -0.000 | -0.000 | -0.000 |
| 65.864 | 55.050 | 65.864 | -0.000 | -0.000 | -0.000 |
| 65.864 | 65.864 | 55.050 | -0.000 | -0.000 | -0.000 |
| 0.000 | 0.000 | 0.000 | 16.873 | 0.000 | 0.000 |
| 0.000 | 0.000 | 0.000 | 0.000 | 16.873 | 0.000 |
| 0.000 | 0.000 | 0.000 | 0.000 | 0.000 | 16.873 |
| 55.050 | 65.864 | 65.864 | 0.000 | 0.000 | 0.000 |
| 65.864 | 55.050 | 65.864 | 0.000 | 0.000 | 0.000 |
| 65.864 | 65.864 | 55.050 | 0.000 | 0.000 | 0.000 |
| -0.000 | -0.000 | -0.000 | 16.873 | -0.000 | -0.000 |
| -0.000 | -0.000 | -0.000 | -0.000 | 16.873 | -0.000 |
| -0.000 | -0.000 | -0.000 | -0.000 | -0.000 | 16.873 |
| 55.049 | 65.864 | 65.864 | -0.000 | -0.000 | -0.000 |
| 65.864 | 55.049 | 65.864 | -0.000 | -0.000 | -0.000 |
| 65.864 | 65.864 | 55.049 | -0.000 | -0.000 | -0.000 |
| 0.000 | 0.000 | 0.000 | 16.873 | 0.000 | 0.000 |
| 0.000 | 0.000 | 0.000 | 0.000 | 16.873 | 0.000 |
| 0.000 | 0.000 | 0.000 | 0.000 | 0.000 | 16.873 |
| 55.050 | 65.864 | 65.864 | 0.000 | 0.000 | 0.000 |
| 65.864 | 55.050 | 65.864 | 0.000 | 0.000 | 0.000 |
| 65.864 | 65.864 | 55.050 | 0.000 | 0.000 | 0.000 |
| -0.000 | -0.000 | -0.000 | 16.873 | -0.000 | -0.000 |
| -0.000 | -0.000 | -0.000 | -0.000 | 16.873 | -0.000 |
| -0.000 | -0.000 | -0.000 | -0.000 | -0.000 | 16.873 |
| 0.168 | 0.168 | 0.168 | -0.000 | -0.000 | -0.000 |
| 0.168 | 0.168 | 0.168 | -0.000 | -0.000 | -0.000 |
| 0.168 | 0.168 | 0.168 | -0.000 | -0.000 | -0.000 |
| 0.000 | 0.000 | 0.000 | 0.149 | -0.000 | -0.000 |
| 0.000 | 0.000 | 0.000 | -0.000 | 0.149 | -0.000 |
| 0.000 | 0.000 | 0.000 | -0.000 | -0.000 | 0.149 |
| 0.168 | 0.168 | 0.168 | 0.000 | 0.000 | 0.000 |
| 0.168 | 0.168 | 0.168 | 0.000 | 0.000 | 0.000 |
| 0.168 | 0.168 | 0.168 | 0.000 | 0.000 | 0.000 |
| -0.000 | -0.000 | -0.000 | 0.149 | 0.000 | 0.000 |
| -0.000 | -0.000 | -0.000 | 0.000 | 0.149 | 0.000 |
| -0.000 | -0.000 | -0.000 | 0.000 | 0.000 | 0.149 |
| 0.168 | 0.168 | 0.168 | -0.000 | -0.000 | -0.000 |
| 0.168 | 0.168 | 0.168 | -0.000 | -0.000 | -0.000 |
| 0.168 | 0.168 | 0.168 | -0.000 | -0.000 | -0.000 |
| 0.000 | 0.000 | 0.000 | 0.093 | -0.000 | -0.000 |
| 0.000 | 0.000 | 0.000 | -0.000 | 0.093 | -0.000 |
| 0.000 | 0.000 | 0.000 | -0.000 | -0.000 | 0.093 |
| 0.168 | 0.168 | 0.168 | 0.000 | 0.000 | 0.000 |
| 0.168 | 0.168 | 0.168 | 0.000 | 0.000 | 0.000 |
| 0.168 | 0.168 | 0.168 | 0.000 | 0.000 | 0.000 |
| -0.000 | -0.000 | -0.000 | 0.093 | 0.000 | 0.000 |
| -0.000 | -0.000 | -0.000 | 0.000 | 0.093 | 0.000 |
| -0.000 | -0.000 | -0.000 | 0.000 | 0.000 | 0.093 |
| 0.168 | 0.168 | 0.168 | -0.000 | -0.000 | -0.000 |
| 0.168 | 0.168 | 0.168 | -0.000 | -0.000 | -0.000 |
| 0.168 | 0.168 | 0.168 | -0.000 | -0.000 | -0.000 |
| 0.000 | -0.000 | -0.000 | 0.010 | -0.000 | -0.000 |
| -0.000 | 0.000 | -0.000 | -0.000 | 0.010 | -0.000 |
| -0.000 | -0.000 | 0.000 | -0.000 | -0.000 | 0.010 |
| 0.168 | 0.168 | 0.168 | -0.000 | 0.000 | 0.000 |
| 0.168 | 0.168 | 0.168 | 0.000 | -0.000 | 0.000 |
| 0.168 | 0.168 | 0.168 | 0.000 | 0.000 | -0.000 |
| -0.000 | 0.000 | 0.000 | 0.010 | 0.000 | 0.000 |
| 0.000 | -0.000 | 0.000 | 0.000 | 0.010 | 0.000 |
| 0.000 | 0.000 | -0.000 | 0.000 | 0.000 | 0.010 |
| 267.970 | 230.171 | 314.301 | 0.000 | 0.000 | 0.000 |
| 230.171 | 267.970 | 314.301 | 0.000 | 0.000 | 0.000 |
| 314.301 | 314.301 | 425.614 | 0.000 | 0.000 | -0.000 |
| -0.000 | -0.000 | 0.000 | 20.634 | 0.000 | 0.000 |
| -0.000 | -0.000 | 0.000 | 0.000 | 20.634 | 0.000 |
| -0.000 | -0.000 | 0.000 | 0.000 | 0.000 | 9.249 |
| 267.970 | 230.171 | 314.301 | -0.000 | 0.000 | 0.000 |
| 230.171 | 267.970 | 314.301 | -0.000 | -0.000 | -0.000 |
| 314.301 | 314.301 | 425.614 | -0.000 | -0.000 | -0.000 |
| 0.000 | 0.000 | -0.000 | 20.634 | -0.000 | 0.000 |
| 0.000 | 0.000 | 0.000 | -0.000 | 20.634 | -0.000 |
| 0.000 | 0.000 | -0.000 | -0.000 | -0.000 | 9.249 |
| 267.970 | 230.171 | 314.302 | 0.000 | 0.000 | 0.000 |
| 230.171 | 267.970 | 314.302 | 0.000 | 0.000 | 0.000 |
| 314.302 | 314.302 | 425.615 | 0.000 | 0.000 | -0.000 |
| 0.000 | 0.000 | 0.000 | 20.634 | 0.000 | 0.000 |
| 0.000 | 0.000 | 0.000 | 0.000 | 20.634 | 0.000 |
| -0.000 | -0.000 | -0.000 | 0.000 | 0.000 | 9.249 |
| 267.970 | 230.171 | 314.300 | -0.000 | 0.000 | -0.000 |
| 230.171 | 267.970 | 314.300 | -0.000 | -0.000 | 0.000 |
| 314.300 | 314.300 | 425.613 | -0.000 | -0.000 | -0.000 |
| -0.000 | -0.000 | -0.000 | 20.634 | 0.000 | 0.000 |
| -0.000 | -0.000 | -0.000 | -0.000 | 20.634 | 0.000 |
| 0.000 | 0.000 | 0.000 | -0.000 | 0.000 | 9.249 |
| 267.975 | 230.175 | 314.307 | 0.000 | 0.000 | 0.000 |
| 230.175 | 267.975 | 314.307 | 0.000 | 0.000 | 0.000 |
| 314.309 | 314.309 | 425.624 | 0.000 | -0.000 | -0.000 |
| 0.000 | 0.000 | 0.000 | 20.634 | 0.000 | 0.000 |
| 0.000 | 0.000 | 0.000 | 0.000 | 20.634 | -0.000 |
| -0.000 | -0.000 | -0.000 | 0.000 | 0.000 | 9.249 |
| 267.965 | 230.167 | 314.295 | -0.000 | -0.000 | -0.000 |
| 230.167 | 267.965 | 314.295 | -0.000 | 0.000 | -0.000 |
| 314.293 | 314.293 | 425.603 | -0.000 | -0.000 | -0.000 |
| -0.000 | -0.000 | -0.000 | 20.634 | 0.000 | 0.000 |
| -0.000 | -0.000 | -0.000 | -0.000 | 20.634 | -0.000 |
| 0.000 | 0.000 | 0.000 | -0.000 | 0.000 | 9.249 |
| 317.071 | 330.339 | 294.468 | 0.000 | -0.000 | -0.000 |
| 330.339 | 317.071 | 294.468 | 0.000 | -0.000 | 0.000 |
| 294.468 | 294.468 | 295.109 | -0.000 | -0.000 | 0.000 |
| 0.000 | 0.000 | -0.000 | 12.043 | 0.000 | -0.000 |
| 0.000 | 0.000 | -0.000 | 0.000 | 12.043 | 0.000 |
| 0.000 | 0.000 | 0.000 | 0.000 | -0.000 | 21.211 |
| 317.071 | 330.339 | 294.468 | 0.000 | 0.000 | -0.000 |
| 330.339 | 317.071 | 294.468 | 0.000 | 0.000 | -0.000 |
| 294.468 | 294.468 | 295.109 | -0.000 | 0.000 | -0.000 |
| -0.000 | -0.000 | 0.000 | 12.043 | 0.000 | 0.000 |
| -0.000 | -0.000 | 0.000 | 0.000 | 12.043 | 0.000 |
| -0.000 | -0.000 | -0.000 | -0.000 | 0.000 | 21.211 |
| 317.072 | 330.340 | 294.469 | -0.000 | -0.000 | 0.000 |
| 330.340 | 317.072 | 294.469 | 0.000 | 0.000 | -0.000 |
| 294.469 | 294.469 | 295.109 | -0.000 | -0.000 | 0.000 |
| -0.000 | -0.000 | -0.000 | 12.043 | -0.000 | -0.000 |
| -0.000 | -0.000 | -0.000 | 0.000 | 12.043 | -0.000 |
| 0.000 | 0.000 | 0.000 | -0.000 | -0.000 | 21.211 |
| 317.070 | 330.338 | 294.468 | -0.000 | 0.000 | -0.000 |
| 330.338 | 317.070 | 294.468 | -0.000 | -0.000 | 0.000 |
| 294.468 | 294.468 | 295.108 | 0.000 | 0.000 | 0.000 |
| 0.000 | 0.000 | 0.000 | 12.043 | 0.000 | 0.000 |
| 0.000 | 0.000 | 0.000 | 0.000 | 12.043 | 0.000 |
| -0.000 | -0.000 | -0.000 | 0.000 | 0.000 | 21.211 |
| 317.077 | 330.346 | 294.474 | -0.000 | 0.000 | 0.000 |
| 330.346 | 317.077 | 294.474 | -0.000 | -0.000 | 0.000 |
| 294.474 | 294.474 | 295.114 | 0.000 | -0.000 | 0.000 |
| -0.000 | -0.000 | -0.000 | 12.043 | -0.000 | -0.000 |
| -0.000 | -0.000 | -0.000 | -0.000 | 12.043 | -0.000 |
| 0.000 | 0.000 | 0.000 | 0.000 | -0.000 | 21.211 |
| 317.065 | 330.332 | 294.462 | 0.000 | -0.000 | -0.000 |
| 330.332 | 317.065 | 294.462 | -0.000 | -0.000 | -0.000 |
| 294.463 | 294.463 | 295.104 | 0.000 | 0.000 | 0.000 |
| 0.000 | 0.000 | 0.000 | 12.043 | 0.000 | 0.000 |
| 0.000 | 0.000 | 0.000 | -0.000 | 12.043 | 0.000 |
| -0.000 | -0.000 | -0.000 | 0.000 | -0.000 | 21.211 |
| 0.461 | 0.461 | 0.791 | -0.000 | -0.000 | 0.000 |
| 0.461 | 0.461 | 0.791 | -0.000 | -0.000 | 0.000 |
| 0.791 | 0.791 | 1.355 | -0.000 | -0.000 | -0.000 |
| 0.000 | 0.000 | 0.000 | 0.791 | -0.000 | -0.000 |
| 0.000 | 0.000 | 0.000 | -0.000 | 0.791 | -0.000 |
| 0.000 | 0.000 | 0.000 | -0.000 | -0.000 | 0.461 |
| 0.461 | 0.461 | 0.791 | 0.000 | 0.000 | 0.000 |
| 0.461 | 0.461 | 0.791 | 0.000 | 0.000 | 0.000 |
| 0.791 | 0.791 | 1.355 | 0.000 | 0.000 | 0.000 |
| -0.000 | -0.000 | -0.000 | 0.791 | -0.000 | 0.000 |
| -0.000 | -0.000 | -0.000 | -0.000 | 0.791 | 0.000 |
| -0.000 | -0.000 | -0.000 | 0.000 | 0.000 | 0.461 |
| 0.461 | 0.461 | 0.791 | -0.000 | -0.000 | -0.000 |
| 0.461 | 0.461 | 0.791 | -0.000 | -0.000 | -0.000 |
| 0.791 | 0.791 | 1.355 | 0.000 | 0.000 | -0.000 |
| 0.000 | 0.000 | 0.000 | 0.791 | 0.000 | 0.000 |
| 0.000 | 0.000 | 0.000 | 0.000 | 0.791 | 0.000 |
| 0.000 | 0.000 | 0.000 | -0.000 | -0.000 | 0.461 |
| 0.461 | 0.461 | 0.791 | 0.000 | 0.000 | 0.000 |
| 0.461 | 0.461 | 0.791 | 0.000 | 0.000 | 0.000 |
| 0.791 | 0.791 | 1.354 | 0.000 | 0.000 | -0.000 |
| -0.000 | -0.000 | -0.000 | 0.791 | 0.000 | -0.000 |
| -0.000 | -0.000 | -0.000 | 0.000 | 0.791 | -0.000 |
| -0.000 | -0.000 | -0.000 | 0.000 | 0.000 | 0.461 |
| 0.461 | 0.461 | 0.791 | -0.000 | -0.000 | 0.000 |
| 0.461 | 0.461 | 0.791 | -0.000 | -0.000 | 0.000 |
| 0.791 | 0.791 | 1.355 | 0.000 | 0.000 | -0.000 |
| 0.000 | 0.000 | 0.000 | 0.791 | -0.000 | -0.000 |
| 0.000 | 0.000 | 0.000 | -0.000 | 0.791 | -0.000 |
| 0.000 | 0.000 | 0.000 | -0.000 | -0.000 | 0.461 |
| 0.461 | 0.461 | 0.790 | 0.000 | 0.000 | 0.000 |
| 0.461 | 0.461 | 0.790 | 0.000 | 0.000 | 0.000 |
| 0.790 | 0.790 | 1.354 | 0.000 | 0.000 | 0.000 |
| -0.000 | -0.000 | -0.000 | 0.791 | -0.000 | 0.000 |
| -0.000 | -0.000 | -0.000 | -0.000 | 0.791 | 0.000 |
| -0.000 | -0.000 | -0.000 | 0.000 | 0.000 | 0.461 |
| 241.867 | 145.647 | 226.509 | 0.000 | 0.000 | -0.000 |
| 184.459 | 148.037 | 183.354 | 0.000 | -0.000 | -0.000 |
| 256.693 | 187.082 | 282.316 | -0.000 | 0.000 | -0.000 |
| -9.882 | -11.404 | -9.356 | -6.788 | -0.000 | -0.000 |
| -14.855 | -15.566 | -12.076 | 0.000 | -48.279 | -0.000 |
| -8.525 | -9.838 | -8.072 | 0.000 | -0.000 | 1.036 |
| 284.847 | 187.162 | 257.010 | -0.000 | 0.000 | 0.000 |
| 191.440 | 159.306 | 194.015 | -0.000 | 0.000 | -0.000 |
| 262.601 | 196.275 | 290.904 | 0.000 | -0.000 | 0.000 |
| 9.882 | 11.404 | 9.356 | -6.788 | 0.000 | -0.000 |
| 14.855 | 15.566 | 12.076 | -0.000 | -48.279 | 0.000 |
| 8.525 | 9.838 | 8.072 | -0.000 | 0.000 | 1.036 |
| 252.323 | 157.080 | 235.610 | -0.000 | -0.000 | -0.000 |
| 155.491 | 123.546 | 167.197 | -0.000 | -0.000 | -0.000 |
| 234.429 | 168.211 | 269.838 | -0.000 | -0.000 | -0.000 |
| -1.424 | -1.378 | -1.013 | -29.169 | -0.000 | -0.000 |
| -1.337 | -1.443 | -1.139 | -0.000 | -45.114 | -0.000 |
| -0.852 | -0.984 | -0.807 | 0.000 | -0.000 | 1.036 |
| 254.718 | 159.596 | 237.565 | -0.000 | 0.000 | 0.000 |
| 157.885 | 126.062 | 169.153 | 0.000 | -0.000 | 0.000 |
| 236.762 | 170.620 | 271.689 | 0.000 | 0.000 | 0.000 |
| 1.424 | 1.378 | 1.013 | -29.169 | -0.000 | 0.000 |
| 1.337 | 1.443 | 1.139 | 0.000 | -45.114 | 0.000 |
| 0.852 | 0.984 | 0.807 | -0.000 | 0.000 | 1.036 |
| 253.399 | 158.213 | 236.495 | 0.000 | 0.000 | -0.000 |
| 156.569 | 124.677 | 168.076 | 0.000 | 0.000 | -0.000 |
| 234.918 | 168.143 | 269.507 | -0.000 | -0.000 | -0.000 |
| -0.128 | -0.136 | -0.108 | -29.974 | 0.000 | -0.000 |
| -0.148 | -0.155 | -0.120 | -0.000 | -98.405 | -0.000 |
| -0.085 | -0.098 | -0.081 | -0.000 | -0.000 | 1.036 |
| 253.632 | 158.461 | 236.684 | 0.000 | 0.000 | -0.000 |
| 156.805 | 124.926 | 168.269 | 0.000 | 0.000 | 0.000 |
| 259.906 | 192.192 | 287.122 | -0.000 | 0.000 | 0.000 |
| 0.128 | 0.136 | 0.108 | -29.974 | 0.000 | 0.000 |
| 0.148 | 0.155 | 0.120 | -0.000 | -98.405 | 0.000 |
| 0.085 | 0.098 | 0.081 | -0.000 | 0.000 | 1.036 |
| 73.491 | 56.220 | 54.351 | 0.000 | -0.000 | 0.000 |
| 56.220 | 73.491 | 54.351 | -0.000 | -0.000 | 0.000 |
| 52.736 | 52.736 | 95.286 | 0.000 | -0.000 | 0.000 |
| -0.000 | -0.000 | 0.000 | -8.268 | -0.000 | 0.000 |
| 0.000 | -0.000 | 0.000 | -0.000 | 3.005 | 0.000 |
| 0.000 | -0.000 | 0.000 | 0.000 | -0.000 | 8.635 |
| 50.877 | 63.674 | 72.043 | -0.000 | 0.000 | 0.000 |
| 63.674 | 50.877 | 72.043 | -0.000 | 0.000 | -0.000 |
| 52.736 | 52.736 | 95.286 | -0.000 | -0.000 | -0.000 |
| 0.000 | 0.000 | -0.000 | -8.268 | 0.000 | -0.000 |
| 0.000 | 0.000 | -0.000 | 0.000 | 3.005 | -0.000 |
| -0.000 | 0.000 | -0.000 | 0.000 | 0.000 | 8.635 |
| 50.877 | 63.674 | 72.043 | 0.000 | 0.000 | 0.000 |
| 56.220 | 73.491 | 54.351 | 0.000 | 0.000 | 0.000 |
| 68.426 | 68.426 | 58.664 | 0.000 | 0.000 | 0.000 |
| -0.000 | 0.000 | -0.000 | 3.005 | -0.000 | 0.000 |
| -0.000 | -0.000 | -0.000 | -0.000 | -8.268 | 0.000 |
| 0.000 | -0.000 | 0.000 | -0.000 | -0.000 | 8.635 |
| 50.877 | 63.674 | 72.043 | -0.000 | 0.000 | -0.000 |
| 63.674 | 50.877 | 72.043 | -0.000 | 0.000 | -0.000 |
| 68.426 | 68.426 | 58.664 | -0.000 | -0.000 | -0.000 |
| 0.000 | -0.000 | 0.000 | 3.005 | 0.000 | -0.000 |
| 0.000 | 0.000 | 0.000 | 0.000 | -8.268 | -0.000 |
| -0.000 | 0.000 | -0.000 | -0.000 | 0.000 | 8.635 |
| 73.491 | 56.220 | 54.351 | 0.000 | 0.000 | 0.000 |
| 63.674 | 50.878 | 72.043 | -0.000 | 0.000 | -0.000 |
| 68.426 | 68.426 | 58.663 | -0.000 | -0.000 | 0.000 |
| -0.000 | -0.000 | -0.000 | -8.268 | -0.000 | 0.000 |
| 0.000 | -0.000 | -0.000 | 0.000 | 3.005 | 0.000 |
| -0.000 | -0.000 | -0.000 | 0.000 | 0.000 | -7.432 |
| 50.877 | 63.674 | 72.043 | 0.000 | -0.000 | 0.000 |
| 56.220 | 73.490 | 54.351 | -0.000 | 0.000 | -0.000 |
| 52.736 | 52.736 | 95.286 | -0.000 | 0.000 | -0.000 |
| 0.000 | 0.000 | 0.000 | -8.268 | 0.000 | 0.000 |
| -0.000 | 0.000 | 0.000 | -0.000 | 3.005 | 0.000 |
| 0.000 | 0.000 | 0.000 | -0.000 | -0.000 | -7.432 |
| 153.277 | 115.184 | 141.183 | -0.000 | -0.000 | -0.000 |
| 115.184 | 153.277 | 141.183 | -0.000 | -0.000 | 0.000 |
| 141.183 | 141.183 | 222.088 | -0.000 | -0.000 | -0.000 |
| 0.000 | 0.000 | 0.000 | 9.207 | -0.000 | 0.000 |
| 0.000 | 0.000 | 0.000 | -0.000 | 9.207 | -0.000 |
| 0.000 | -0.000 | 0.000 | 0.000 | 0.000 | 11.668 |
| 153.277 | 115.184 | 141.183 | 0.000 | -0.000 | -0.000 |
| 115.184 | 153.277 | 141.183 | 0.000 | -0.000 | 0.000 |
| 141.183 | 141.183 | 222.088 | 0.000 | 0.000 | 0.000 |
| -0.000 | -0.000 | -0.000 | 9.207 | 0.000 | -0.000 |
| -0.000 | -0.000 | -0.000 | 0.000 | 9.207 | -0.000 |
| -0.000 | -0.000 | -0.000 | -0.000 | -0.000 | 11.668 |
| 145.899 | 122.563 | 141.183 | -0.000 | 0.000 | -0.000 |
| 115.184 | 153.277 | 141.183 | -0.000 | 0.000 | 0.000 |
| 141.183 | 141.183 | 222.088 | -0.000 | -0.000 | -0.000 |
| 0.000 | 0.000 | 0.000 | 9.207 | -0.000 | -0.000 |
| 0.000 | 0.000 | 0.000 | -0.000 | 9.207 | -0.000 |
| 0.000 | 0.000 | 0.000 | -0.000 | 0.000 | 11.668 |
| 153.277 | 115.184 | 141.182 | 0.000 | 0.000 | 0.000 |
| 122.563 | 145.898 | 141.182 | 0.000 | -0.000 | 0.000 |
| 141.182 | 141.182 | 222.087 | 0.000 | 0.000 | -0.000 |
| -0.000 | -0.000 | -0.000 | 9.207 | 0.000 | 0.000 |
| -0.000 | -0.000 | -0.000 | 0.000 | 9.207 | 0.000 |
| -0.000 | -0.000 | -0.000 | 0.000 | -0.000 | 11.668 |
| 153.279 | 115.185 | 141.183 | -0.000 | 0.000 | 0.000 |
| 122.564 | 145.900 | 141.183 | -0.000 | 0.000 | -0.000 |
| 141.183 | 141.183 | 222.091 | -0.000 | -0.000 | -0.000 |
| 0.000 | 0.000 | 0.000 | 9.207 | -0.000 | 0.000 |
| 0.000 | 0.000 | 0.000 | -0.000 | 9.207 | -0.000 |
| 0.000 | 0.000 | 0.000 | -0.000 | 0.000 | 11.668 |
| 145.897 | 122.562 | 141.182 | 0.000 | -0.000 | -0.000 |
| 122.562 | 145.897 | 141.182 | 0.000 | -0.000 | 0.000 |
| 141.182 | 141.182 | 222.085 | 0.000 | 0.000 | 0.000 |
| -0.000 | -0.000 | -0.000 | 9.207 | -0.000 | -0.000 |
| -0.000 | -0.000 | -0.000 | 0.000 | 9.207 | -0.000 |
| -0.000 | -0.000 | -0.000 | 0.000 | -0.000 | 11.668 |
| 118.800 | 75.731 | 113.049 | -9.013 | -0.000 | -0.000 |
| 75.731 | 118.800 | 113.049 | 9.013 | -0.000 | 0.000 |
| 113.049 | 113.049 | 263.989 | -0.000 | -0.000 | -0.000 |
| -9.013 | 9.013 | 0.000 | 14.442 | -0.000 | -0.000 |
| -0.000 | -0.000 | -0.000 | -0.000 | 14.442 | -9.013 |
| 0.000 | 0.000 | -0.000 | -0.000 | -9.013 | 21.534 |
| 118.800 | 75.731 | 113.049 | -9.013 | 0.000 | 0.000 |
| 75.731 | 118.800 | 113.049 | 9.013 | 0.000 | -0.000 |
| 113.049 | 113.049 | 263.989 | -0.000 | 0.000 | -0.000 |
| -9.013 | 9.013 | 0.000 | 14.442 | 0.000 | 0.000 |
| -0.000 | 0.000 | 0.000 | 0.000 | 14.442 | -9.013 |
| -0.000 | -0.000 | 0.000 | 0.000 | -9.013 | 21.534 |
| 118.800 | 75.731 | 113.049 | -9.013 | -0.000 | -0.000 |
| 75.731 | 118.800 | 113.049 | 9.013 | -0.000 | 0.000 |
| 113.049 | 113.049 | 263.988 | -0.000 | -0.000 | -0.000 |
| -9.013 | 9.013 | -0.000 | 14.442 | -0.000 | -0.000 |
| -0.000 | -0.000 | -0.000 | -0.000 | 14.442 | -9.013 |
| 0.000 | 0.000 | 0.000 | -0.000 | -9.013 | 21.534 |
| 118.800 | 75.731 | 113.049 | -9.013 | 0.000 | 0.000 |
| 75.731 | 118.800 | 113.049 | 9.013 | 0.000 | 0.000 |
| 113.049 | 113.049 | 263.990 | 0.000 | 0.000 | -0.000 |
| -9.013 | 9.013 | 0.000 | 14.442 | 0.000 | -0.000 |
| 0.000 | 0.000 | 0.000 | 0.000 | 14.442 | -9.013 |
| -0.000 | -0.000 | -0.000 | 0.000 | -9.013 | 21.534 |
| 118.800 | 75.731 | 113.048 | -9.013 | -0.000 | -0.000 |
| 75.731 | 118.800 | 113.048 | 9.013 | -0.000 | -0.000 |
| 113.046 | 113.046 | 263.982 | 0.000 | -0.000 | -0.000 |
| -9.013 | 9.013 | -0.000 | 14.442 | -0.000 | 0.000 |
| -0.000 | -0.000 | -0.000 | -0.000 | 14.442 | -9.013 |
| 0.000 | 0.000 | 0.000 | -0.000 | -9.013 | 21.534 |
| 118.799 | 75.731 | 113.050 | -9.013 | 0.000 | -0.000 |
| 75.731 | 118.799 | 113.050 | 9.013 | 0.000 | -0.000 |
| 113.052 | 113.052 | 263.996 | 0.000 | -0.000 | -0.000 |
| -9.013 | 9.013 | 0.000 | 14.442 | 0.000 | -0.000 |
| 0.000 | 0.000 | 0.000 | 0.000 | 14.442 | -9.013 |
| -0.000 | -0.000 | -0.000 | 0.000 | -9.013 | 21.534 |
| 271743.800 | 271646.660 | 271646.660 | -0.000 | -0.000 | 0.000 |
| 271646.661 | 271743.800 | 271646.661 | -0.000 | -0.000 | 0.000 |
| 271646.661 | 271646.661 | 271743.800 | -0.000 | -0.000 | 0.000 |
| 0.005 | 0.005 | 0.005 | 8.164 | -0.000 | 0.000 |
| 0.005 | 0.005 | 0.005 | -0.000 | 8.164 | 0.000 |
| 0.005 | 0.005 | 0.005 | -0.000 | -0.000 | 8.164 |
| 271742.584 | 271645.444 | 271645.444 | 0.000 | 0.000 | -0.000 |
| 271645.443 | 271742.584 | 271645.443 | 0.000 | 0.000 | -0.000 |
| 271645.443 | 271645.443 | 271742.584 | 0.000 | 0.000 | -0.000 |
| -0.005 | -0.005 | -0.005 | 8.164 | 0.000 | -0.000 |
| -0.005 | -0.005 | -0.005 | 0.000 | 8.164 | -0.000 |
| -0.005 | -0.005 | -0.005 | 0.000 | 0.000 | 8.164 |
| 271749.256 | 271652.123 | 271652.123 | -0.000 | -0.000 | 0.000 |
| 271652.123 | 271749.256 | 271652.123 | -0.000 | 0.000 | 0.000 |
| 271652.123 | 271652.123 | 271749.256 | -0.000 | -0.000 | 0.000 |
| 0.007 | 0.007 | 0.007 | 8.164 | -0.000 | 0.000 |
| 0.007 | 0.007 | 0.007 | -0.000 | 8.164 | 0.000 |
| 0.007 | 0.007 | 0.007 | -0.000 | -0.000 | 8.164 |
| 271737.127 | 271639.980 | 271639.980 | 0.000 | 0.000 | -0.000 |
| 271639.980 | 271737.127 | 271639.980 | 0.000 | 0.000 | -0.000 |
| 271639.980 | 271639.980 | 271737.127 | 0.000 | 0.000 | -0.000 |
| -0.007 | -0.007 | -0.007 | 8.164 | 0.000 | -0.000 |
| -0.007 | -0.007 | -0.007 | -0.000 | 8.164 | -0.000 |
| -0.007 | -0.007 | -0.007 | 0.000 | 0.000 | 8.164 |
| 271803.832 | 271706.761 | 271706.761 | 0.000 | -0.000 | 0.000 |
| 271706.761 | 271803.832 | 271706.761 | -0.000 | -0.000 | 0.000 |
| 271706.761 | 271706.761 | 271803.832 | 0.000 | -0.000 | 0.000 |
| 0.064 | 0.065 | 0.065 | 8.164 | 0.000 | 0.000 |
| 0.065 | 0.064 | 0.065 | 0.000 | 8.164 | 0.000 |
| 0.065 | 0.065 | 0.064 | -0.000 | 0.000 | 8.164 |
| 271682.551 | 271585.343 | 271585.343 | 0.000 | 0.000 | -0.000 |
| 271585.343 | 271682.551 | 271585.343 | 0.000 | -0.000 | -0.000 |
| 271585.343 | 271585.343 | 271682.551 | 0.000 | 0.000 | -0.000 |
| -0.064 | -0.065 | -0.065 | 8.164 | 0.000 | -0.000 |
| -0.065 | -0.064 | -0.065 | 0.000 | 8.164 | -0.000 |
| -0.065 | -0.065 | -0.064 | 0.000 | -0.000 | 8.164 |
| 92.249 | 67.567 | 67.567 | 0.000 | 0.000 | 0.000 |
| 67.567 | 92.249 | 67.567 | -0.000 | 0.000 | 0.000 |
| 67.567 | 67.567 | 92.249 | -0.000 | -0.000 | 0.000 |
| 0.000 | 0.000 | -0.000 | 9.543 | 0.000 | 0.000 |
| 0.000 | 0.000 | -0.000 | 0.000 | 9.543 | -0.000 |
| 0.000 | 0.000 | -0.000 | -0.000 | -0.000 | 9.543 |
| 92.249 | 67.567 | 67.567 | -0.000 | 0.000 | -0.000 |
| 67.567 | 92.249 | 67.567 | 0.000 | -0.000 | -0.000 |
| 67.567 | 67.567 | 92.249 | -0.000 | -0.000 | -0.000 |
| -0.000 | -0.000 | 0.000 | 9.543 | 0.000 | -0.000 |
| -0.000 | -0.000 | 0.000 | -0.000 | 9.543 | 0.000 |
| -0.000 | -0.000 | 0.000 | 0.000 | 0.000 | 9.543 |
| 92.249 | 67.567 | 67.567 | -0.000 | 0.000 | 0.000 |
| 67.567 | 92.249 | 67.567 | 0.000 | 0.000 | 0.000 |
| 67.567 | 67.567 | 92.249 | 0.000 | -0.000 | 0.000 |
| -0.000 | -0.000 | -0.000 | 9.543 | 0.000 | 0.000 |
| -0.000 | -0.000 | -0.000 | 0.000 | 9.543 | -0.000 |
| -0.000 | -0.000 | -0.000 | 0.000 | -0.000 | 9.543 |
| 92.248 | 67.567 | 67.567 | 0.000 | 0.000 | -0.000 |
| 67.567 | 92.248 | 67.567 | -0.000 | 0.000 | 0.000 |
| 67.567 | 67.567 | 92.248 | 0.000 | 0.000 | -0.000 |
| 0.000 | 0.000 | 0.000 | 9.543 | -0.000 | -0.000 |
| 0.000 | 0.000 | 0.000 | -0.000 | 9.543 | 0.000 |
| 0.000 | 0.000 | 0.000 | -0.000 | 0.000 | 9.543 |
| 92.253 | 67.571 | 67.571 | -0.000 | 0.000 | 0.000 |
| 67.571 | 92.253 | 67.571 | -0.000 | 0.000 | 0.000 |
| 67.571 | 67.571 | 92.253 | 0.000 | 0.000 | 0.000 |
| -0.000 | -0.000 | -0.000 | 9.543 | 0.000 | 0.000 |
| -0.000 | -0.000 | -0.000 | -0.000 | 9.543 | -0.000 |
| -0.000 | -0.000 | -0.000 | -0.000 | -0.000 | 9.543 |
| 92.244 | 67.563 | 67.563 | -0.000 | -0.000 | -0.000 |
| 67.563 | 92.244 | 67.563 | -0.000 | -0.000 | -0.000 |
| 67.563 | 67.563 | 92.244 | -0.000 | -0.000 | -0.000 |
| 0.000 | 0.000 | 0.000 | 9.543 | -0.000 | -0.000 |
| 0.000 | 0.000 | 0.000 | -0.000 | 9.543 | 0.000 |
| 0.000 | 0.000 | 0.000 | 0.000 | 0.000 | 9.543 |
| 0.336 | 0.336 | 0.336 | -0.000 | -0.000 | -0.000 |
| 0.336 | 0.336 | 0.336 | -0.000 | -0.000 | -0.000 |
| 0.336 | 0.336 | 0.336 | -0.000 | -0.000 | -0.000 |
| 0.000 | 0.000 | 0.000 | 0.317 | -0.000 | -0.000 |
| 0.000 | 0.000 | 0.000 | -0.000 | 0.317 | -0.000 |
| 0.000 | 0.000 | 0.000 | -0.000 | -0.000 | 0.317 |
| 0.336 | 0.336 | 0.336 | 0.000 | 0.000 | 0.000 |
| 0.336 | 0.336 | 0.336 | 0.000 | 0.000 | 0.000 |
| 0.336 | 0.336 | 0.336 | 0.000 | 0.000 | 0.000 |
| -0.000 | -0.000 | -0.000 | 0.317 | 0.000 | 0.000 |
| -0.000 | -0.000 | -0.000 | 0.000 | 0.317 | 0.000 |
| -0.000 | -0.000 | -0.000 | 0.000 | 0.000 | 0.317 |
| 0.336 | 0.336 | 0.336 | -0.000 | -0.000 | -0.000 |
| 0.336 | 0.336 | 0.336 | -0.000 | -0.000 | -0.000 |
| 0.336 | 0.336 | 0.336 | -0.000 | -0.000 | -0.000 |
| 0.000 | 0.000 | 0.000 | 0.201 | -0.000 | -0.000 |
| 0.000 | 0.000 | 0.000 | -0.000 | 0.201 | -0.000 |
| 0.000 | 0.000 | 0.000 | -0.000 | -0.000 | 0.201 |
| 0.336 | 0.336 | 0.336 | 0.000 | 0.000 | 0.000 |
| 0.336 | 0.336 | 0.336 | 0.000 | 0.000 | 0.000 |
| 0.336 | 0.336 | 0.336 | 0.000 | 0.000 | 0.000 |
| -0.000 | -0.000 | -0.000 | 0.201 | 0.000 | 0.000 |
| -0.000 | -0.000 | -0.000 | 0.000 | 0.201 | 0.000 |
| -0.000 | -0.000 | -0.000 | 0.000 | 0.000 | 0.201 |
| 0.336 | 0.336 | 0.336 | -0.000 | 0.000 | 0.000 |
| 0.336 | 0.336 | 0.336 | 0.000 | -0.000 | 0.000 |
| 0.336 | 0.336 | 0.336 | -0.000 | -0.000 | -0.000 |
| -0.000 | -0.000 | -0.000 | 0.019 | -0.000 | -0.000 |
| -0.000 | -0.000 | -0.000 | -0.000 | 0.019 | -0.000 |
| -0.000 | -0.000 | -0.000 | -0.000 | -0.000 | 0.019 |
| 0.336 | 0.336 | 0.336 | 0.000 | 0.000 | 0.000 |
| 0.336 | 0.336 | 0.336 | 0.000 | 0.000 | 0.000 |
| 0.336 | 0.336 | 0.336 | 0.000 | 0.000 | 0.000 |
| 0.000 | 0.000 | 0.000 | 0.019 | 0.000 | 0.000 |
| 0.000 | 0.000 | 0.000 | 0.000 | 0.019 | 0.000 |
| 0.000 | 0.000 | 0.000 | 0.000 | 0.000 | 0.019 |
| 587938.674 | 585943.949 | 585943.949 | -0.000 | -0.000 | -0.000 |
| 585943.949 | 587938.674 | 585943.949 | -0.000 | 0.000 | -0.000 |
| 585943.949 | 585943.949 | 587938.674 | -0.000 | -0.000 | 0.000 |
| -0.005 | -0.005 | -0.005 | 56.440 | -0.000 | 0.000 |
| -0.005 | -0.005 | -0.005 | -0.000 | 56.440 | 0.000 |
| -0.004 | -0.004 | -0.004 | -0.000 | -0.000 | 58.449 |
| 587935.133 | 585940.509 | 585940.509 | 0.000 | 0.000 | 0.000 |
| 585940.509 | 587935.133 | 585940.509 | 0.000 | 0.000 | -0.000 |
| 585940.509 | 585940.509 | 587935.133 | 0.000 | 0.000 | 0.000 |
| 0.005 | 0.005 | 0.005 | 56.440 | 0.000 | 0.000 |
| 0.005 | 0.005 | 0.006 | 0.000 | 56.440 | -0.000 |
| 0.004 | 0.004 | 0.004 | 0.000 | -0.000 | 58.449 |
| 587954.391 | 585959.564 | 585959.564 | -0.000 | -0.000 | -0.000 |
| 585959.564 | 587954.392 | 585959.564 | -0.000 | -0.000 | -0.000 |
| 585959.564 | 585959.564 | 587954.391 | -0.000 | 0.000 | -0.000 |
| -0.039 | -0.040 | -0.040 | 56.439 | -0.000 | -0.000 |
| -0.040 | -0.039 | -0.040 | -0.000 | 56.439 | -0.000 |
| -0.040 | -0.040 | -0.039 | -0.000 | -0.000 | 56.439 |
| 587919.188 | 585925.016 | 585925.016 | 0.000 | -0.000 | 0.000 |
| 585925.016 | 587919.188 | 585925.016 | 0.000 | 0.000 | 0.000 |
| 585925.016 | 585925.016 | 587919.188 | 0.000 | 0.000 | 0.000 |
| 0.039 | 0.040 | 0.040 | 56.439 | 0.000 | 0.000 |
| 0.040 | 0.039 | 0.040 | 0.000 | 56.439 | 0.000 |
| 0.040 | 0.040 | 0.039 | 0.000 | 0.000 | 56.439 |
| 588111.802 | 586115.535 | 586115.535 | -0.000 | -0.000 | -0.000 |
| 586115.535 | 588111.802 | 586115.535 | -0.000 | -0.000 | 0.000 |
| 586115.535 | 586115.535 | 588111.802 | -0.000 | 0.000 | 0.000 |
| -0.391 | -0.401 | -0.396 | 56.439 | -0.000 | -0.000 |
| -0.401 | -0.391 | -0.396 | -0.000 | 56.439 | 0.000 |
| -0.401 | -0.396 | -0.391 | -0.000 | -0.000 | 56.439 |
| 587759.722 | 585770.072 | 585770.072 | 0.000 | -0.000 | 0.000 |
| 585770.072 | 587759.722 | 585770.072 | 0.000 | 0.000 | -0.000 |
| 585770.072 | 585770.072 | 587759.722 | 0.000 | 0.000 | 0.000 |
| 0.391 | 0.401 | 0.396 | 56.439 | -0.000 | -0.000 |
| 0.401 | 0.391 | 0.396 | 0.000 | 56.439 | -0.000 |
| 0.401 | 0.396 | 0.391 | 0.000 | 0.000 | 56.439 |
| 218.741 | 168.450 | 168.450 | 0.000 | 0.000 | 0.000 |
| 168.450 | 218.741 | 168.450 | 0.000 | -0.000 | 0.000 |
| 168.450 | 168.450 | 218.741 | -0.000 | -0.000 | 0.000 |
| 0.000 | 0.000 | 0.000 | -8.403 | -0.000 | 0.000 |
| 0.000 | 0.000 | 0.000 | 0.000 | -8.403 | -0.000 |
| 0.000 | 0.000 | 0.000 | -0.000 | 0.000 | -8.403 |
| 218.741 | 168.450 | 168.450 | -0.000 | 0.000 | -0.000 |
| 168.450 | 218.741 | 168.450 | 0.000 | 0.000 | -0.000 |
| 168.450 | 168.450 | 218.741 | -0.000 | 0.000 | -0.000 |
| -0.000 | -0.000 | -0.000 | -8.403 | 0.000 | -0.000 |
| -0.000 | -0.000 | -0.000 | -0.000 | -8.403 | 0.000 |
| -0.000 | -0.000 | -0.000 | -0.000 | -0.000 | -8.403 |
| 218.843 | 168.399 | 168.399 | 0.000 | 0.000 | -0.000 |
| 168.399 | 218.843 | 168.399 | 0.000 | 0.000 | 0.000 |
| 168.399 | 168.399 | 218.843 | 0.000 | 0.000 | 0.000 |
| 0.000 | 0.000 | 0.000 | -9.462 | 0.000 | 0.000 |
| 0.000 | 0.000 | 0.000 | 0.000 | -9.462 | 0.000 |
| 0.000 | 0.000 | 0.000 | 0.000 | 0.000 | -9.462 |
| 218.843 | 168.399 | 168.399 | -0.000 | -0.000 | 0.000 |
| 168.399 | 218.843 | 168.399 | 0.000 | -0.000 | -0.000 |
| 168.399 | 168.399 | 218.843 | -0.000 | -0.000 | -0.000 |
| -0.000 | -0.000 | -0.000 | -9.462 | -0.000 | -0.000 |
| -0.000 | -0.000 | -0.000 | -0.000 | -9.462 | -0.000 |
| -0.000 | -0.000 | -0.000 | -0.000 | -0.000 | -9.462 |
| 218.844 | 168.399 | 168.399 | -0.000 | -0.000 | 0.000 |
| 168.399 | 218.844 | 168.399 | 0.000 | 0.000 | 0.000 |
| 168.399 | 168.399 | 218.844 | 0.000 | 0.000 | -0.000 |
| 0.000 | 0.000 | 0.000 | -8.403 | 0.000 | 0.000 |
| 0.000 | 0.000 | 0.000 | 0.000 | -8.403 | 0.000 |
| 0.000 | 0.000 | 0.000 | -0.000 | -0.000 | -8.403 |
| 218.740 | 168.450 | 168.450 | -0.000 | 0.000 | 0.000 |
| 168.450 | 218.740 | 168.450 | 0.000 | -0.000 | -0.000 |
| 168.450 | 168.450 | 218.740 | -0.000 | -0.000 | -0.000 |
| -0.000 | -0.000 | -0.000 | -8.403 | -0.000 | -0.000 |
| -0.000 | -0.000 | -0.000 | 0.000 | -8.403 | 0.000 |
| -0.000 | -0.000 | -0.000 | 0.000 | 0.000 | -8.403 |
| 4284.739 | 4233.902 | 4233.396 | -0.050 | -0.162 | -0.184 |
| 4236.418 | 4283.287 | 4233.915 | -0.072 | -0.141 | -0.185 |
| 4240.523 | 4238.535 | 4286.888 | -0.072 | -0.158 | -0.163 |
| 222.844 | 220.804 | 220.165 | 57.990 | -0.180 | -0.216 |
| 218.270 | 216.281 | 215.611 | -0.080 | 57.887 | -0.216 |
| 229.731 | 227.750 | 227.136 | -0.088 | -0.187 | 58.442 |
| 3848.954 | 3802.131 | 3802.900 | 0.115 | 0.201 | 0.251 |
| 3802.418 | 3853.307 | 3805.214 | 0.093 | 0.222 | 0.251 |
| 3801.908 | 3803.934 | 3853.566 | 0.092 | 0.202 | 0.270 |
| -229.327 | -227.328 | -226.679 | 58.573 | 0.173 | 0.207 |
| -215.656 | -213.643 | -212.999 | 0.073 | 58.281 | 0.206 |
| -222.240 | -220.233 | -219.591 | 0.073 | 0.172 | 58.694 |
| 4087.501 | 4038.463 | 4038.530 | 0.023 | 0.000 | 0.010 |
| 4038.770 | 4087.446 | 4038.650 | 0.001 | 0.022 | 0.010 |
| 4038.848 | 4038.662 | 4087.592 | 0.001 | 0.002 | 0.030 |
| 22.032 | 21.810 | 21.748 | 58.342 | -0.020 | -0.025 |
| 22.068 | 21.891 | 21.809 | -0.010 | 58.305 | -0.025 |
| 22.491 | 22.293 | 22.247 | -0.011 | -0.022 | 58.328 |
| 4043.815 | 3995.181 | 3995.376 | 0.039 | 0.036 | 0.053 |
| 3994.163 | 4043.237 | 3994.571 | 0.017 | 0.058 | 0.053 |
| 3995.418 | 3995.632 | 4044.686 | 0.017 | 0.037 | 0.073 |
| -21.901 | -21.724 | -21.657 | 58.359 | 0.015 | 0.017 |
| -21.658 | -21.435 | -21.390 | 0.005 | 58.364 | 0.017 |
| -22.122 | -21.920 | -21.837 | 0.005 | 0.014 | 58.360 |
| 4066.166 | 4017.304 | 4017.426 | 0.031 | 0.017 | 0.031 |
| 4017.417 | 4066.298 | 4017.542 | 0.009 | 0.038 | 0.031 |
| 4017.587 | 4017.590 | 4066.589 | 0.008 | 0.018 | 0.051 |
| 2.166 | 2.122 | 2.118 | 58.339 | -0.004 | -0.006 |
| 2.213 | 2.216 | 2.190 | -0.003 | 58.337 | -0.005 |
| 2.289 | 2.272 | 2.284 | -0.003 | -0.005 | 58.341 |
| 4064.283 | 4015.481 | 4015.626 | 0.031 | 0.020 | 0.034 |
| 4015.446 | 4064.323 | 4015.622 | 0.009 | 0.041 | 0.035 |
| 4015.542 | 4015.573 | 4064.563 | 0.008 | 0.021 | 0.054 |
| -2.096 | -2.099 | -2.091 | 58.340 | -0.001 | -0.002 |
| -2.273 | -2.231 | -2.244 | -0.002 | 58.343 | -0.001 |
| -2.145 | -2.123 | -2.098 | -0.002 | -0.002 | 58.344 |
| 1530806.536 | 1530921.550 | 1530921.550 | -0.000 | -0.000 | 0.000 |
| 1530921.549 | 1530806.536 | 1530921.549 | 0.000 | 0.000 | 0.000 |
| 1530921.549 | 1530921.549 | 1530806.535 | 0.000 | 0.000 | 0.000 |
| 0.004 | 0.004 | 0.004 | 33.084 | 0.000 | 0.000 |
| 0.004 | 0.004 | 0.004 | 0.000 | 33.084 | 0.000 |
| 0.004 | 0.004 | 0.004 | 0.000 | -0.000 | 33.084 |
| 1530814.449 | 1530929.600 | 1530929.600 | 0.000 | 0.000 | -0.000 |
| 1530929.600 | 1530814.449 | 1530929.600 | -0.000 | 0.000 | -0.000 |
| 1530929.600 | 1530929.600 | 1530814.449 | -0.000 | 0.000 | -0.000 |
| -0.005 | -0.005 | -0.005 | 33.084 | 0.000 | -0.000 |
| -0.005 | -0.005 | -0.005 | -0.000 | 33.084 | -0.000 |
| -0.005 | -0.005 | -0.005 | -0.000 | -0.000 | 33.084 |
| 1530770.910 | 1530885.307 | 1530885.307 | -0.000 | 0.000 | 0.000 |
| 1530885.307 | 1530770.910 | 1530885.307 | 0.000 | -0.000 | 0.000 |
| 1530885.306 | 1530885.306 | 1530770.910 | 0.000 | -0.000 | 0.000 |
| 0.079 | 0.079 | 0.079 | 33.084 | -0.000 | -0.000 |
| 0.079 | 0.079 | 0.079 | 0.000 | 33.084 | 0.000 |
| 0.079 | 0.079 | 0.079 | -0.000 | -0.000 | 33.084 |
| 1530850.064 | 1530965.832 | 1530965.832 | -0.000 | -0.000 | -0.000 |
| 1530965.832 | 1530850.064 | 1530965.832 | -0.000 | -0.000 | -0.000 |
| 1530965.832 | 1530965.832 | 1530850.064 | -0.000 | 0.000 | -0.000 |
| -0.079 | -0.079 | -0.079 | 33.084 | 0.000 | -0.000 |
| -0.079 | -0.079 | -0.079 | -0.000 | 33.084 | -0.000 |
| -0.079 | -0.079 | -0.079 | -0.000 | 0.000 | 33.084 |
| 1530414.707 | 1530522.935 | 1530522.935 | 0.000 | 0.000 | 0.000 |
| 1530522.935 | 1530414.707 | 1530522.935 | 0.000 | 0.000 | 0.000 |
| 1530522.935 | 1530522.935 | 1530414.707 | 0.000 | -0.000 | 0.000 |
| 1.261 | 1.260 | 1.260 | 5.372 | 0.000 | 0.000 |
| 1.260 | 1.261 | 1.260 | 0.000 | 5.372 | 0.000 |
| 1.260 | 1.260 | 1.261 | 0.000 | -0.000 | 5.372 |
| 1531206.253 | 1531328.193 | 1531328.193 | -0.000 | -0.000 | -0.000 |
| 1531328.193 | 1531206.253 | 1531328.193 | -0.000 | 0.000 | -0.000 |
| 1531328.193 | 1531328.193 | 1531206.253 | -0.000 | -0.000 | -0.000 |
| -1.261 | -1.260 | -1.260 | 5.372 | 0.000 | -0.000 |
| -1.260 | -1.261 | -1.260 | -0.000 | 5.372 | -0.000 |
| -1.260 | -1.260 | -1.261 | 0.000 | -0.000 | 5.372 |
| 1687284.923 | 1686175.511 | 1686175.511 | -0.000 | -0.000 | 0.000 |
| 1686175.511 | 1687284.922 | 1686175.511 | -0.000 | -0.000 | 0.000 |
| 1686175.512 | 1686175.512 | 1687284.923 | -0.000 | 0.000 | 0.000 |
| 0.018 | 0.017 | 0.017 | 345.084 | -0.000 | 0.000 |
| 0.018 | 0.017 | 0.017 | -0.000 | 345.084 | 0.000 |
| 0.018 | 0.018 | 0.017 | -0.000 | -0.000 | 345.085 |
| 1687290.689 | 1686181.386 | 1686181.386 | 0.000 | -0.000 | -0.000 |
| 1686181.385 | 1687290.689 | 1686181.386 | 0.000 | 0.000 | -0.000 |
| 1686181.387 | 1686181.387 | 1687290.691 | 0.000 | -0.000 | -0.000 |
| -0.018 | -0.017 | -0.017 | 345.085 | 0.000 | -0.000 |
| -0.018 | -0.017 | -0.017 | 0.000 | 345.085 | -0.000 |
| -9.124 | -9.124 | -9.113 | 0.000 | 0.000 | -3333.309 |
| 1687258.938 | 1686149.045 | 1686149.045 | -0.000 | 0.000 | 0.000 |
| 1686149.045 | 1687258.938 | 1686149.045 | -0.000 | -0.000 | 0.000 |
| 1686149.045 | 1686149.045 | 1687258.937 | -0.000 | -0.000 | 0.000 |
| 0.064 | 0.064 | 0.064 | 345.085 | -0.000 | 0.000 |
| 0.064 | 0.064 | 0.064 | -0.000 | 345.085 | 0.000 |
| 0.064 | 0.064 | 0.064 | -0.000 | -0.000 | 345.085 |
| 1687316.665 | 1686207.843 | 1686207.843 | 0.000 | 0.000 | -0.000 |
| 1686207.843 | 1687316.665 | 1686207.843 | 0.000 | -0.000 | -0.000 |
| 1686207.843 | 1686207.843 | 1687316.665 | 0.000 | 0.000 | -0.000 |
| -0.064 | -0.064 | -0.064 | 345.085 | 0.000 | -0.000 |
| -0.064 | -0.064 | -0.064 | 0.000 | 345.085 | -0.000 |
| -0.064 | -0.064 | -0.064 | 0.000 | 0.000 | 345.085 |
| 1686999.164 | 1685884.454 | 1685884.454 | -0.000 | -0.000 | 0.000 |
| 1685884.454 | 1686999.164 | 1685884.454 | -0.000 | -0.000 | 0.000 |
| 1685884.454 | 1685884.454 | 1686999.164 | -0.000 | -0.000 | 0.000 |
| 598743947.061 | 598507195.892 | 598209725.713 | 490314.010 | -2515875.392 | -2908755.922 |
| 577831228.665 | 576373438.875 | 576316565.399 | 837251.441 | 345127.537 | -1213620.578 |
| 610916888.953 | 611100348.662 | 611381166.626 | 1004630.056 | 910.628 | 443557.611 |
| 1687576.433 | 1686472.430 | 1686472.430 | 0.000 | 0.000 | 0.000 |
| 1686472.430 | 1687576.433 | 1686472.430 | 0.000 | 0.000 | -0.000 |
| 1686472.430 | 1686472.430 | 1687576.433 | 0.000 | -0.000 | -0.000 |
| -610158135.072 | -609732006.018 | -609059785.301 | -389067.321 | -236968.206 | 589250.031 |
| -614819901.406 | -615663106.053 | -615303432.884 | -1139701.727 | 608566.906 | -441282.506 |
| -590846929.790 | -590204372.781 | -591211981.461 | 572672.777 | 3002307.783 | 359076.842 |
| 226.741 | 232.108 | 232.108 | 0.000 | -0.000 | -0.000 |
| 232.108 | 226.741 | 232.108 | 0.000 | -0.000 | 0.000 |
| 232.108 | 232.108 | 226.741 | 0.000 | 0.000 | -0.000 |
| 0.000 | 0.000 | 0.000 | 12.802 | -0.000 | 0.000 |
| 0.000 | 0.000 | 0.000 | -0.000 | 12.802 | -0.000 |
| 0.000 | 0.000 | -0.000 | -0.000 | 0.000 | 12.802 |
| 226.741 | 232.108 | 232.108 | 0.000 | -0.000 | -0.000 |
| 232.108 | 226.741 | 232.108 | -0.000 | 0.000 | 0.000 |
| 232.108 | 232.108 | 226.741 | -0.000 | -0.000 | 0.000 |
| -0.000 | -0.000 | -0.000 | 12.802 | -0.000 | 0.000 |
| -0.000 | -0.000 | -0.000 | -0.000 | 12.802 | 0.000 |
| -0.000 | -0.000 | 0.000 | 0.000 | 0.000 | 12.802 |
| 226.741 | 232.109 | 232.109 | 0.000 | -0.000 | -0.000 |
| 232.109 | 226.741 | 232.109 | 0.000 | -0.000 | -0.000 |
| 232.109 | 232.109 | 226.741 | 0.000 | -0.000 | -0.000 |
| -0.000 | 0.000 | 0.000 | 12.802 | -0.000 | -0.000 |
| 0.000 | -0.000 | 0.000 | 0.000 | 12.802 | -0.000 |
| 0.000 | 0.000 | -0.000 | -0.000 | -0.000 | 12.802 |
| 226.740 | 232.108 | 232.108 | -0.000 | 0.000 | 0.000 |
| 232.108 | 226.740 | 232.108 | 0.000 | -0.000 | -0.000 |
| 232.108 | 232.108 | 226.740 | -0.000 | -0.000 | -0.000 |
| 0.000 | -0.000 | -0.000 | 12.802 | 0.000 | 0.000 |
| -0.000 | 0.000 | -0.000 | 0.000 | 12.802 | 0.000 |
| -0.000 | -0.000 | 0.000 | 0.000 | 0.000 | 12.802 |
| 226.746 | 232.114 | 232.114 | 0.000 | -0.000 | -0.000 |
| 232.114 | 226.746 | 232.114 | -0.000 | 0.000 | -0.000 |
| 232.114 | 232.114 | 226.746 | 0.000 | 0.000 | -0.000 |
| 0.000 | 0.000 | 0.000 | 28.863 | -0.000 | -0.000 |
| 0.000 | 0.000 | 0.000 | -0.000 | 28.863 | 0.000 |
| 0.000 | 0.000 | 0.000 | -0.000 | -0.000 | 28.863 |
| 226.736 | 232.103 | 232.103 | -0.000 | -0.000 | 0.000 |
| 232.103 | 226.736 | 232.103 | -0.000 | -0.000 | -0.000 |
| 232.103 | 232.103 | 226.736 | -0.000 | -0.000 | 0.000 |
| -0.000 | -0.000 | -0.000 | 28.863 | 0.000 | 0.000 |
| -0.000 | -0.000 | -0.000 | 0.000 | 28.863 | -0.000 |
| -0.000 | -0.000 | -0.000 | 0.000 | 0.000 | 28.863 |
| 0.336 | 0.336 | 0.336 | -0.000 | -0.000 | -0.000 |
| 0.336 | 0.336 | 0.336 | -0.000 | -0.000 | -0.000 |
| 0.336 | 0.336 | 0.336 | -0.000 | -0.000 | -0.000 |
| 0.000 | 0.000 | 0.000 | 0.317 | -0.000 | -0.000 |
| 0.000 | 0.000 | 0.000 | -0.000 | 0.317 | -0.000 |
| 0.000 | 0.000 | 0.000 | -0.000 | -0.000 | 0.317 |
| 0.336 | 0.336 | 0.336 | 0.000 | 0.000 | 0.000 |
| 0.336 | 0.336 | 0.336 | 0.000 | 0.000 | 0.000 |
| 0.336 | 0.336 | 0.336 | 0.000 | 0.000 | 0.000 |
| -0.000 | -0.000 | -0.000 | 0.317 | 0.000 | 0.000 |
| -0.000 | -0.000 | -0.000 | 0.000 | 0.317 | 0.000 |
| -0.000 | -0.000 | -0.000 | 0.000 | 0.000 | 0.317 |
| 0.336 | 0.336 | 0.336 | -0.000 | -0.000 | -0.000 |
| 0.336 | 0.336 | 0.336 | -0.000 | -0.000 | -0.000 |
| 0.336 | 0.336 | 0.336 | -0.000 | -0.000 | -0.000 |
| 0.000 | 0.000 | 0.000 | 0.201 | -0.000 | -0.000 |
| 0.000 | 0.000 | 0.000 | -0.000 | 0.201 | -0.000 |
| 0.000 | 0.000 | 0.000 | -0.000 | -0.000 | 0.201 |
| 0.336 | 0.336 | 0.336 | 0.000 | 0.000 | 0.000 |
| 0.336 | 0.336 | 0.336 | 0.000 | 0.000 | 0.000 |
| 0.336 | 0.336 | 0.336 | 0.000 | 0.000 | 0.000 |
| -0.000 | -0.000 | -0.000 | 0.201 | 0.000 | 0.000 |
| -0.000 | -0.000 | -0.000 | 0.000 | 0.201 | 0.000 |
| -0.000 | -0.000 | -0.000 | 0.000 | 0.000 | 0.201 |
| 0.336 | 0.336 | 0.336 | -0.000 | 0.000 | 0.000 |
| 0.336 | 0.336 | 0.336 | 0.000 | -0.000 | 0.000 |
| 0.336 | 0.336 | 0.336 | -0.000 | -0.000 | -0.000 |
| -0.000 | -0.000 | -0.000 | 0.019 | -0.000 | -0.000 |
| -0.000 | -0.000 | -0.000 | -0.000 | 0.019 | -0.000 |
| -0.000 | -0.000 | -0.000 | -0.000 | -0.000 | 0.019 |
| 0.336 | 0.336 | 0.336 | 0.000 | 0.000 | 0.000 |
| 0.336 | 0.336 | 0.336 | 0.000 | 0.000 | 0.000 |
| 0.336 | 0.336 | 0.336 | 0.000 | 0.000 | 0.000 |
| 0.000 | 0.000 | 0.000 | 0.019 | 0.000 | 0.000 |
| 0.000 | 0.000 | 0.000 | 0.000 | 0.019 | 0.000 |
| 0.000 | 0.000 | 0.000 | 0.000 | 0.000 | 0.019 |
| 93.581 | 70.138 | 70.138 | 0.000 | 0.000 | 0.000 |
| 70.138 | 93.581 | 70.138 | 0.000 | 0.000 | 0.000 |
| 70.138 | 70.138 | 93.581 | 0.000 | 0.000 | 0.000 |
| -0.000 | 0.000 | 0.000 | 22.931 | 0.000 | 0.000 |
| 0.000 | -0.000 | 0.000 | -0.000 | 22.931 | 0.000 |
| 0.000 | 0.000 | 0.000 | -0.000 | 0.000 | 22.931 |
| 93.581 | 70.138 | 70.138 | -0.000 | -0.000 | -0.000 |
| 70.138 | 93.581 | 70.138 | -0.000 | -0.000 | -0.000 |
| 70.138 | 70.138 | 93.581 | -0.000 | -0.000 | -0.000 |
| 0.000 | -0.000 | -0.000 | 22.931 | -0.000 | -0.000 |
| 0.000 | 0.000 | -0.000 | -0.000 | 22.931 | -0.000 |
| -0.000 | 0.000 | -0.000 | -0.000 | -0.000 | 22.931 |
| 93.581 | 70.138 | 70.138 | 0.000 | 0.000 | 0.000 |
| 70.138 | 93.581 | 70.138 | 0.000 | 0.000 | 0.000 |
| 70.138 | 70.138 | 93.581 | 0.000 | 0.000 | 0.000 |
| -0.000 | 0.000 | 0.000 | 22.931 | 0.000 | 0.000 |
| 0.000 | -0.000 | 0.000 | 0.000 | 22.931 | 0.000 |
| 0.000 | 0.000 | -0.000 | 0.000 | 0.000 | 22.931 |
| 93.581 | 70.138 | 70.138 | -0.000 | -0.000 | -0.000 |
| 70.138 | 93.581 | 70.138 | -0.000 | -0.000 | -0.000 |
| 70.138 | 70.138 | 93.581 | -0.000 | -0.000 | -0.000 |
| 0.000 | -0.000 | -0.000 | 22.931 | -0.000 | -0.000 |
| -0.000 | 0.000 | -0.000 | -0.000 | 22.931 | -0.000 |
| -0.000 | -0.000 | 0.000 | -0.000 | -0.000 | 22.931 |
| 93.581 | 70.137 | 70.137 | 0.000 | 0.000 | 0.000 |
| 70.137 | 93.581 | 70.137 | 0.000 | 0.000 | 0.000 |
| 70.137 | 70.137 | 93.581 | 0.000 | 0.000 | 0.000 |
| -0.000 | 0.000 | 0.000 | 22.931 | 0.000 | 0.000 |
| 0.000 | -0.000 | 0.000 | 0.000 | 22.931 | 0.000 |
| 0.000 | 0.000 | -0.000 | 0.000 | 0.000 | 22.931 |
| 93.582 | 70.138 | 70.138 | -0.000 | -0.000 | -0.000 |
| 70.138 | 93.582 | 70.138 | -0.000 | -0.000 | -0.000 |
| 70.138 | 70.138 | 93.582 | -0.000 | -0.000 | -0.000 |
| 0.000 | -0.000 | -0.000 | 22.931 | -0.000 | -0.000 |
| -0.000 | 0.000 | -0.000 | -0.000 | 22.931 | -0.000 |
| -0.000 | -0.000 | 0.000 | -0.000 | -0.000 | 22.931 |
| 0.823 | 0.411 | 0.411 | -0.000 | -0.000 | -0.000 |
| 0.411 | 0.823 | 0.411 | -0.000 | -0.000 | -0.000 |
| 0.411 | 0.411 | 0.823 | -0.000 | -0.000 | -0.000 |
| -0.000 | 0.000 | 0.000 | 0.411 | -0.000 | -0.000 |
| 0.000 | -0.000 | 0.000 | -0.000 | 0.411 | -0.000 |
| 0.000 | 0.000 | -0.000 | -0.000 | -0.000 | 0.411 |
| 0.823 | 0.411 | 0.411 | -0.000 | 0.000 | 0.000 |
| 0.411 | 0.823 | 0.411 | 0.000 | -0.000 | 0.000 |
| 0.411 | 0.411 | 0.823 | 0.000 | 0.000 | -0.000 |
| -0.000 | -0.000 | -0.000 | 0.411 | 0.000 | 0.000 |
| -0.000 | -0.000 | -0.000 | 0.000 | 0.411 | 0.000 |
| -0.000 | -0.000 | -0.000 | 0.000 | 0.000 | 0.411 |
| 0.823 | 0.411 | 0.411 | -0.000 | -0.000 | -0.000 |
| 0.411 | 0.823 | 0.411 | -0.000 | -0.000 | -0.000 |
| 0.411 | 0.411 | 0.823 | -0.000 | -0.000 | 0.000 |
| -0.000 | 0.000 | 0.000 | 0.411 | -0.000 | -0.000 |
| 0.000 | -0.000 | 0.000 | -0.000 | 0.411 | -0.000 |
| 0.000 | 0.000 | -0.000 | -0.000 | -0.000 | 0.411 |
| 0.823 | 0.411 | 0.411 | 0.000 | 0.000 | 0.000 |
| 0.411 | 0.823 | 0.411 | 0.000 | 0.000 | 0.000 |
| 0.411 | 0.411 | 0.823 | 0.000 | 0.000 | 0.000 |
| 0.000 | -0.000 | -0.000 | 0.411 | 0.000 | 0.000 |
| -0.000 | 0.000 | -0.000 | 0.000 | 0.411 | 0.000 |
| -0.000 | -0.000 | 0.000 | 0.000 | 0.000 | 0.411 |
| 0.823 | 0.412 | 0.412 | -0.000 | -0.000 | -0.000 |
| 0.412 | 0.823 | 0.412 | -0.000 | -0.000 | -0.000 |
| 0.412 | 0.412 | 0.823 | -0.000 | -0.000 | -0.000 |
| -0.000 | 0.000 | 0.000 | 0.411 | -0.000 | -0.000 |
| 0.000 | -0.000 | 0.000 | -0.000 | 0.411 | -0.000 |
| 0.000 | 0.000 | -0.000 | -0.000 | -0.000 | 0.411 |
| 0.823 | 0.411 | 0.411 | 0.000 | 0.000 | 0.000 |
| 0.411 | 0.823 | 0.411 | 0.000 | -0.000 | 0.000 |
| 0.411 | 0.411 | 0.823 | 0.000 | 0.000 | 0.000 |
| 0.000 | -0.000 | -0.000 | 0.411 | 0.000 | 0.000 |
| -0.000 | 0.000 | -0.000 | 0.000 | 0.411 | 0.000 |
| -0.000 | -0.000 | 0.000 | 0.000 | 0.000 | 0.411 |
| 88.137 | 83.131 | 64.332 | 0.000 | 0.000 | -0.000 |
| 83.131 | 88.137 | 64.332 | 0.000 | 0.000 | 0.000 |
| 64.332 | 64.332 | 84.229 | 0.000 | 0.000 | 0.000 |
| 0.000 | 0.000 | -0.000 | 20.702 | 0.000 | 0.000 |
| 0.000 | 0.000 | 0.000 | 0.000 | 20.702 | 0.000 |
| 0.000 | 0.000 | 0.000 | 0.000 | 0.000 | 25.480 |
| 88.137 | 83.131 | 64.332 | 0.000 | -0.000 | -0.000 |
| 83.131 | 88.137 | 64.332 | 0.000 | 0.000 | 0.000 |
| 64.332 | 64.332 | 84.229 | 0.000 | -0.000 | 0.000 |
| -0.000 | -0.000 | -0.000 | 20.702 | -0.000 | -0.000 |
| -0.000 | -0.000 | -0.000 | -0.000 | 20.702 | -0.000 |
| -0.000 | -0.000 | -0.000 | -0.000 | -0.000 | 25.480 |
| 88.137 | 83.131 | 64.332 | -0.000 | -0.000 | 0.000 |
| 83.131 | 88.137 | 64.332 | 0.000 | 0.000 | 0.000 |
| 64.332 | 64.332 | 84.229 | 0.000 | 0.000 | 0.000 |
| 0.000 | 0.000 | 0.000 | 20.702 | 0.000 | 0.000 |
| 0.000 | 0.000 | 0.000 | 0.000 | 20.702 | 0.000 |
| 0.000 | 0.000 | -0.000 | 0.000 | 0.000 | 25.480 |
| 88.137 | 83.131 | 64.332 | 0.000 | -0.000 | 0.000 |
| 83.131 | 88.137 | 64.332 | 0.000 | -0.000 | -0.000 |
| 64.332 | 64.332 | 84.229 | -0.000 | -0.000 | -0.000 |
| -0.000 | -0.000 | -0.000 | 20.702 | -0.000 | -0.000 |
| -0.000 | -0.000 | -0.000 | -0.000 | 20.702 | 0.000 |
| -0.000 | -0.000 | 0.000 | -0.000 | -0.000 | 25.480 |
| 88.137 | 83.131 | 64.332 | 0.000 | -0.000 | 0.000 |
| 83.131 | 88.137 | 64.332 | -0.000 | 0.000 | -0.000 |
| 64.332 | 64.332 | 84.229 | 0.000 | 0.000 | -0.000 |
| 0.000 | 0.000 | 0.000 | 20.702 | 0.000 | -0.000 |
| 0.000 | 0.000 | 0.000 | 0.000 | 20.702 | 0.000 |
| 0.000 | 0.000 | -0.000 | 0.000 | 0.000 | 25.480 |
| 88.137 | 83.131 | 64.332 | 0.000 | -0.000 | -0.000 |
| 83.131 | 88.137 | 64.332 | -0.000 | 0.000 | 0.000 |
| 64.332 | 64.332 | 84.230 | -0.000 | -0.000 | -0.000 |
| -0.000 | -0.000 | -0.000 | 20.702 | -0.000 | -0.000 |
| -0.000 | -0.000 | -0.000 | -0.000 | 20.702 | -0.000 |
| -0.000 | -0.000 | 0.000 | -0.000 | -0.000 | 25.480 |
| 86.092 | 59.695 | 76.427 | 0.000 | 0.000 | -0.000 |
| 57.387 | 90.203 | 74.151 | -0.000 | -0.000 | 0.000 |
| 77.182 | 77.182 | 130.510 | 0.000 | 0.000 | 0.000 |
| -0.000 | 0.000 | 0.000 | 16.042 | -0.000 | -0.000 |
| 1.994 | 1.994 | -5.029 | 0.000 | 8.757 | -0.000 |
| 1.354 | 1.354 | -3.414 | 0.000 | 0.000 | 14.828 |
| 84.184 | 60.195 | 78.202 | -0.000 | -0.000 | -0.000 |
| 56.404 | 87.243 | 79.125 | -0.000 | 0.000 | -0.000 |
| 75.789 | 75.789 | 134.024 | -0.000 | -0.000 | 0.000 |
| -0.000 | 0.000 | -0.000 | 16.042 | 0.000 | 0.000 |
| -1.994 | -1.994 | 5.029 | -0.000 | 8.757 | 0.000 |
| -1.354 | -1.354 | 3.414 | -0.000 | -0.000 | 14.828 |
| 90.202 | 57.387 | 74.151 | 0.000 | -0.000 | 0.000 |
| 57.387 | 90.202 | 74.151 | -0.000 | -0.000 | -0.000 |
| 76.555 | 76.555 | 132.091 | 0.000 | 0.000 | 0.000 |
| 0.321 | 0.321 | -0.810 | 4.308 | 0.000 | -0.000 |
| -0.000 | -0.000 | 0.000 | -0.000 | 16.042 | 0.000 |
| 0.337 | 0.337 | -0.850 | 0.000 | 0.000 | 12.473 |
| 84.699 | 60.901 | 76.664 | -0.000 | -0.000 | -0.000 |
| 57.387 | 90.204 | 74.151 | -0.000 | -0.000 | 0.000 |
| 76.416 | 76.416 | 132.443 | -0.000 | -0.000 | -0.000 |
| -0.070 | -0.070 | 0.176 | 4.220 | -0.000 | -0.000 |
| 0.000 | 0.000 | -0.000 | 0.000 | 16.042 | -0.000 |
| -0.337 | -0.337 | 0.850 | -0.000 | -0.000 | 12.473 |
| 84.888 | 60.908 | 76.397 | 0.000 | 0.000 | -0.000 |
| 57.218 | 87.415 | 77.867 | 0.000 | 0.000 | -0.000 |
| 74.151 | 74.151 | 138.153 | -0.000 | -0.000 | 0.000 |
| 0.007 | 0.007 | -0.018 | 4.220 | 0.000 | 0.000 |
| 0.007 | 0.007 | -0.018 | 0.000 | 4.220 | -0.000 |
| -0.002 | -0.001 | -0.000 | -0.000 | -0.000 | 16.408 |
| 87.440 | 57.202 | 77.886 | -0.000 | 0.000 | -0.000 |
| 57.199 | 87.442 | 77.886 | -0.000 | 0.000 | 0.000 |
| 76.479 | 76.479 | 132.285 | -0.000 | 0.000 | 0.000 |
| -0.007 | -0.007 | 0.018 | 4.220 | -0.000 | -0.000 |
| -0.007 | -0.007 | 0.018 | -0.000 | 4.220 | -0.000 |
| 0.002 | 0.001 | 0.000 | 0.000 | 0.000 | 16.408 |
| 38.222 | 39.574 | 60.679 | 0.000 | -0.000 | 0.000 |
| 39.574 | 38.222 | 60.679 | 0.000 | 0.000 | 0.000 |
| 60.105 | 60.105 | 138.219 | 0.000 | -0.000 | 0.000 |
| -0.000 | -0.000 | -0.000 | -0.601 | 0.000 | 0.000 |
| 0.005 | 0.005 | -0.003 | 0.000 | -6.168 | 0.000 |
| -0.000 | -0.000 | -0.000 | 0.000 | -0.000 | -0.676 |
| 38.223 | 39.574 | 60.679 | -0.000 | 0.000 | 0.000 |
| 32.656 | 23.056 | 67.417 | 0.000 | 0.000 | -0.000 |
| 60.105 | 60.105 | 138.219 | -0.000 | 0.000 | -0.000 |
| 0.000 | 0.000 | 0.000 | -0.601 | -0.000 | -0.000 |
| -0.005 | -0.005 | 0.003 | -0.000 | -6.168 | -0.000 |
| 0.000 | 0.000 | 0.000 | -0.000 | 0.000 | -0.676 |
| 38.221 | 39.574 | 60.678 | 0.000 | -0.000 | -0.000 |
| 53.831 | 8.210 | 65.484 | 0.000 | 0.000 | -0.000 |
| 60.105 | 60.105 | 138.219 | 0.000 | -0.000 | -0.000 |
| 0.000 | -0.000 | -0.000 | -6.168 | 0.000 | 0.000 |
| -0.000 | 0.000 | -0.000 | 0.000 | -6.168 | -0.000 |
| -0.000 | -0.000 | -0.000 | 0.000 | -0.000 | -0.676 |
| 38.224 | 39.575 | 60.679 | -0.000 | 0.000 | 0.000 |
| 39.575 | 38.224 | 60.679 | -0.000 | -0.000 | -0.000 |
| 60.105 | 60.105 | 138.219 | -0.000 | 0.000 | 0.000 |
| -0.000 | 0.000 | 0.000 | -6.168 | -0.000 | 0.000 |
| 0.000 | -0.000 | 0.000 | -0.000 | -6.168 | -0.000 |
| 0.000 | 0.000 | 0.000 | -0.000 | -0.000 | -0.676 |
| 19.140 | 40.400 | 66.231 | 0.000 | 0.000 | 0.000 |
| 32.650 | 23.031 | 67.411 | -0.000 | -0.000 | -0.000 |
| 65.531 | 65.531 | 134.905 | -0.000 | 0.000 | 0.000 |
| -0.002 | -0.005 | -0.002 | -0.601 | 0.000 | -0.000 |
| -0.005 | -0.002 | -0.002 | 0.000 | -0.601 | -0.000 |
| -232766.996 | -232768.531 | -322236.347 | 0.000 | -0.000 | 12.538 |
| 23.083 | 32.663 | 67.422 | -0.000 | -0.000 | -0.000 |
| 54105.164 | 52354.488 | 19010.760 | -0.000 | -0.000 | 0.000 |
| 65.536 | 65.536 | 134.908 | -0.000 | -0.000 | -0.000 |
| 0.002 | 0.005 | 0.002 | -0.601 | 0.000 | -0.000 |
| 0.005 | 0.002 | 0.002 | -0.000 | -0.601 | -0.000 |
| 232767.624 | 232767.678 | 322238.274 | 0.000 | 0.000 | 11.332 |
| 43.048 | 35.919 | 35.919 | -0.000 | -0.000 | -0.000 |
| 35.919 | 43.048 | 35.919 | -0.000 | -0.000 | -0.000 |
| 35.919 | 35.919 | 43.048 | -0.000 | -0.000 | 0.000 |
| -0.000 | 0.000 | 0.000 | 7.117 | 0.000 | -0.000 |
| 0.000 | -0.000 | 0.000 | -0.000 | 7.117 | -0.000 |
| 0.000 | 0.000 | -0.000 | -0.000 | -0.000 | 7.117 |
| 43.048 | 35.919 | 35.919 | 0.000 | 0.000 | 0.000 |
| 35.919 | 43.048 | 35.919 | 0.000 | -0.000 | -0.000 |
| 35.919 | 35.919 | 43.048 | -0.000 | -0.000 | -0.000 |
| 0.000 | -0.000 | -0.000 | 7.117 | -0.000 | -0.000 |
| -0.000 | 0.000 | -0.000 | -0.000 | 7.117 | -0.000 |
| -0.000 | -0.000 | 0.000 | -0.000 | -0.000 | 7.117 |
| 43.048 | 35.919 | 35.919 | -0.000 | -0.000 | -0.000 |
| 35.919 | 43.048 | 35.919 | 0.000 | 0.000 | -0.000 |
| 35.919 | 35.919 | 43.048 | -0.000 | -0.000 | 0.000 |
| -0.000 | 0.000 | 0.000 | 7.117 | -0.000 | 0.000 |
| 0.000 | -0.000 | 0.000 | -0.000 | 7.117 | 0.000 |
| 0.000 | 0.000 | -0.000 | -0.000 | 0.000 | 7.117 |
| 43.048 | 35.919 | 35.919 | 0.000 | -0.000 | 0.000 |
| 35.919 | 43.048 | 35.919 | 0.000 | 0.000 | 0.000 |
| 35.919 | 35.919 | 43.048 | -0.000 | -0.000 | 0.000 |
| 0.000 | -0.000 | -0.000 | 7.117 | -0.000 | 0.000 |
| -0.000 | 0.000 | -0.000 | 0.000 | 7.117 | 0.000 |
| -0.000 | -0.000 | 0.000 | 0.000 | -0.000 | 7.117 |
| 43.047 | 35.919 | 35.919 | -0.000 | 0.000 | -0.000 |
| 35.919 | 43.047 | 35.919 | 0.000 | 0.000 | 0.000 |
| 35.919 | 35.919 | 43.047 | -0.000 | -0.000 | 0.000 |
| -0.000 | 0.000 | 0.000 | 7.117 | 0.000 | 0.000 |
| 0.000 | -0.000 | 0.000 | -0.000 | 7.117 | 0.000 |
| 0.000 | 0.000 | -0.000 | -0.000 | 0.000 | 7.117 |
| 43.048 | 35.919 | 35.919 | 0.000 | 0.000 | -0.000 |
| 35.919 | 43.048 | 35.919 | 0.000 | -0.000 | 0.000 |
| 35.919 | 35.919 | 43.048 | 0.000 | 0.000 | -0.000 |
| 0.000 | -0.000 | -0.000 | 7.117 | 0.000 | 0.000 |
| -0.000 | 0.000 | -0.000 | 0.000 | 7.117 | 0.000 |
| -0.000 | -0.000 | 0.000 | 0.000 | 0.000 | 7.117 |
| 1244766.868 | 1243714.921 | 1243714.921 | 0.000 | 0.000 | 0.000 |
| 1243714.921 | 1244766.868 | 1243714.921 | -0.000 | -0.000 | 0.000 |
| 1243714.920 | 1243714.920 | 1244766.867 | 0.000 | 0.000 | 0.000 |
| 0.056 | 0.054 | 0.054 | 478.263 | -0.000 | 0.000 |
| 0.055 | 0.057 | 0.055 | 0.000 | 478.261 | 0.000 |
| 0.055 | 0.055 | 0.057 | 0.000 | 0.000 | 478.264 |
| 1244813.473 | 1243697.588 | 1243697.588 | -0.000 | 0.000 | -0.000 |
| 1243697.587 | 1244813.472 | 1243697.587 | 0.000 | -0.000 | -0.000 |
| 1243697.585 | 1243697.585 | 1244813.471 | 0.000 | -0.000 | -0.000 |
| -0.056 | -0.054 | -0.054 | 478.271 | 0.000 | -0.000 |
| -0.054 | -0.056 | -0.054 | -0.000 | 478.273 | -0.000 |
| -0.055 | -0.054 | -0.057 | -0.000 | -0.000 | 478.271 |
| 1244749.141 | 1243696.801 | 1243696.801 | 0.000 | 0.000 | 0.000 |
| 1243696.801 | 1244749.141 | 1243696.801 | 0.000 | 0.000 | 0.000 |
| 1243696.801 | 1243696.801 | 1244749.141 | 0.000 | 0.000 | 0.000 |
| 0.435 | 0.417 | 0.417 | 478.160 | -0.000 | 0.000 |
| 0.417 | 0.435 | 0.417 | 0.000 | 478.160 | 0.000 |
| 0.417 | 0.417 | 0.435 | 0.000 | -0.000 | 478.160 |
| 1244831.214 | 1243715.695 | 1243715.695 | 0.000 | 0.000 | -0.000 |
| 1243715.694 | 1244831.214 | 1243715.694 | -0.000 | 0.000 | -0.000 |
| 1243715.694 | 1243715.694 | 1244831.214 | -0.000 | -0.000 | -0.000 |
| -0.435 | -0.417 | -0.417 | 478.160 | 0.000 | -0.000 |
| -0.417 | -0.435 | -0.417 | -0.000 | 478.160 | -0.000 |
| -0.417 | -0.417 | -0.435 | -0.000 | 0.000 | 478.160 |
| 1244572.001 | 1243515.735 | 1243515.735 | 0.000 | 0.000 | 0.000 |
| 1243515.735 | 1244572.001 | 1243515.735 | 0.000 | 0.000 | 0.000 |
| 1243515.735 | 1243515.735 | 1244572.001 | 0.000 | 0.000 | 0.000 |
| 4.322 | 4.161 | 4.162 | 478.159 | -0.000 | 0.000 |
| 4.161 | 4.321 | 4.163 | -0.000 | 478.159 | 0.000 |
| 4.161 | 4.162 | 4.322 | 0.000 | -0.000 | 478.159 |
| 1244965.674 | 1243918.081 | 1243918.081 | -0.000 | -0.000 | -0.000 |
| 1243918.081 | 1244965.674 | 1243918.081 | -0.000 | -0.000 | -0.000 |
| 1243918.081 | 1243918.081 | 1244965.674 | -0.000 | -0.000 | -0.000 |
| -4.321 | -4.161 | -4.163 | 478.159 | -0.000 | -0.000 |
| -4.162 | -4.320 | -4.163 | -0.000 | 478.159 | -0.000 |
| -4.162 | -4.163 | -4.321 | -0.000 | -0.000 | 478.159 |
| 82.500 | 32.135 | 32.135 | 0.000 | 0.000 | 0.000 |
| 32.135 | 82.500 | 32.135 | 0.000 | 0.000 | 0.000 |
| 32.135 | 32.135 | 82.500 | 0.000 | 0.000 | 0.000 |
| 0.000 | -0.000 | -0.000 | 3.619 | -0.000 | 0.000 |
| -0.000 | 0.000 | -0.000 | 0.000 | 3.619 | 0.000 |
| -0.000 | -0.000 | 0.000 | 0.000 | 0.000 | 3.619 |
| 82.500 | 32.135 | 32.135 | -0.000 | -0.000 | 0.000 |
| 32.135 | 82.500 | 32.135 | -0.000 | 0.000 | -0.000 |
| 32.135 | 32.135 | 82.500 | -0.000 | -0.000 | -0.000 |
| -0.000 | 0.000 | 0.000 | 3.619 | -0.000 | -0.000 |
| 0.000 | -0.000 | 0.000 | -0.000 | 3.619 | -0.000 |
| 0.000 | 0.000 | -0.000 | -0.000 | -0.000 | 3.619 |
| 82.500 | 32.135 | 32.135 | 0.000 | 0.000 | -0.000 |
| 32.135 | 82.500 | 32.135 | 0.000 | 0.000 | -0.000 |
| 32.135 | 32.135 | 82.500 | 0.000 | -0.000 | 0.000 |
| 0.000 | -0.000 | -0.000 | 3.704 | 0.000 | 0.000 |
| -0.000 | 0.000 | -0.000 | -0.000 | 3.704 | -0.000 |
| -0.000 | -0.000 | 0.000 | 0.000 | 0.000 | 3.704 |
| 82.500 | 32.135 | 32.135 | -0.000 | -0.000 | 0.000 |
| 32.135 | 82.500 | 32.135 | -0.000 | -0.000 | -0.000 |
| 32.135 | 32.135 | 82.500 | -0.000 | -0.000 | 0.000 |
| -0.000 | 0.000 | 0.000 | 3.704 | -0.000 | 0.000 |
| 0.000 | -0.000 | 0.000 | 0.000 | 3.704 | 0.000 |
| 0.000 | 0.000 | -0.000 | 0.000 | -0.000 | 3.704 |
| 82.500 | 32.135 | 32.135 | 0.000 | -0.000 | -0.000 |
| 32.135 | 82.500 | 32.135 | 0.000 | 0.000 | 0.000 |
| 32.135 | 32.135 | 82.500 | 0.000 | 0.000 | -0.000 |
| 0.000 | -0.000 | -0.000 | 3.619 | 0.000 | 0.000 |
| -0.000 | 0.000 | -0.000 | 0.000 | 3.619 | 0.000 |
| -0.000 | -0.000 | 0.000 | 0.000 | 0.000 | 3.619 |
| 82.500 | 32.135 | 32.135 | 0.000 | -0.000 | 0.000 |
| 32.135 | 82.500 | 32.135 | -0.000 | -0.000 | -0.000 |
| 32.135 | 32.135 | 82.500 | -0.000 | -0.000 | 0.000 |
| -0.000 | 0.000 | 0.000 | 3.619 | -0.000 | 0.000 |
| 0.000 | -0.000 | 0.000 | -0.000 | 3.619 | -0.000 |
| 0.000 | 0.000 | -0.000 | -0.000 | -0.000 | 3.619 |
| 66.527 | 50.753 | 50.753 | 0.000 | -0.000 | -0.000 |
| 50.753 | 66.527 | 50.753 | -0.000 | 0.000 | -0.000 |
| 50.753 | 50.753 | 66.527 | -0.000 | -0.000 | -0.000 |
| 0.000 | 0.000 | 0.000 | 21.769 | -0.000 | -0.000 |
| 0.000 | 0.000 | 0.000 | -0.000 | 21.769 | -0.000 |
| 0.000 | 0.000 | 0.000 | 0.000 | -0.000 | 21.769 |
| 66.527 | 50.753 | 50.753 | 0.000 | 0.000 | 0.000 |
| 50.753 | 66.527 | 50.753 | 0.000 | 0.000 | 0.000 |
| 50.753 | 50.753 | 66.527 | 0.000 | 0.000 | 0.000 |
| -0.000 | -0.000 | -0.000 | 21.769 | -0.000 | 0.000 |
| -0.000 | -0.000 | -0.000 | -0.000 | 21.769 | 0.000 |
| -0.000 | -0.000 | -0.000 | 0.000 | 0.000 | 21.769 |
| 66.527 | 50.753 | 50.753 | -0.000 | -0.000 | -0.000 |
| 50.753 | 66.527 | 50.753 | -0.000 | -0.000 | -0.000 |
| 50.753 | 50.753 | 66.527 | -0.000 | -0.000 | -0.000 |
| 0.000 | 0.000 | 0.000 | 21.769 | -0.000 | -0.000 |
| 0.000 | 0.000 | 0.000 | 0.000 | 21.769 | -0.000 |
| 0.000 | 0.000 | 0.000 | -0.000 | -0.000 | 21.769 |
| 66.527 | 50.753 | 50.753 | 0.000 | 0.000 | 0.000 |
| 50.753 | 66.527 | 50.753 | -0.000 | 0.000 | 0.000 |
| 50.753 | 50.753 | 66.527 | 0.000 | -0.000 | 0.000 |
| -0.000 | -0.000 | -0.000 | 21.769 | 0.000 | 0.000 |
| -0.000 | -0.000 | -0.000 | 0.000 | 21.769 | 0.000 |
| -0.000 | -0.000 | -0.000 | 0.000 | 0.000 | 21.769 |
| 66.528 | 50.754 | 50.754 | -0.000 | -0.000 | -0.000 |
| 50.754 | 66.528 | 50.754 | 0.000 | -0.000 | -0.000 |
| 50.754 | 50.754 | 66.528 | -0.000 | -0.000 | -0.000 |
| 0.000 | 0.000 | 0.000 | 21.769 | -0.000 | -0.000 |
| 0.000 | 0.000 | 0.000 | -0.000 | 21.769 | -0.000 |
| 0.000 | 0.000 | 0.000 | 0.000 | -0.000 | 21.769 |
| 66.526 | 50.753 | 50.753 | 0.000 | 0.000 | 0.000 |
| 50.753 | 66.526 | 50.753 | 0.000 | 0.000 | 0.000 |
| 50.753 | 50.753 | 66.526 | -0.000 | 0.000 | 0.000 |
| -0.000 | -0.000 | -0.000 | 21.769 | 0.000 | 0.000 |
| -0.000 | -0.000 | -0.000 | 0.000 | 21.769 | 0.000 |
| -0.000 | -0.000 | -0.000 | -0.000 | 0.000 | 21.769 |
| 46.600 | 34.735 | 33.551 | 0.000 | 0.000 | 0.000 |
| 34.735 | 46.600 | 33.551 | -0.000 | 0.000 | 0.000 |
| 33.551 | 33.551 | 47.784 | 0.000 | -0.000 | 0.000 |
| 0.000 | 0.000 | 0.000 | 4.748 | -0.000 | 0.000 |
| 0.000 | 0.000 | 0.000 | -0.000 | 4.748 | -0.000 |
| 0.000 | 0.000 | 0.000 | 0.000 | -0.000 | 5.933 |
| 46.600 | 34.735 | 33.551 | -0.000 | 0.000 | -0.000 |
| 34.864 | 46.471 | 33.551 | 0.000 | 0.000 | -0.000 |
| 33.551 | 33.551 | 47.784 | 0.000 | -0.000 | -0.000 |
| -0.000 | -0.000 | -0.000 | 4.748 | -0.000 | -0.000 |
| -0.000 | -0.000 | -0.000 | 0.000 | 4.748 | 0.000 |
| -0.000 | -0.000 | -0.000 | -0.000 | 0.000 | 5.933 |
| 46.600 | 34.735 | 33.551 | 0.000 | -0.000 | 0.000 |
| 35.043 | 46.291 | 33.551 | -0.000 | -0.000 | -0.000 |
| 33.551 | 33.551 | 47.784 | 0.000 | -0.000 | 0.000 |
| -0.000 | 0.000 | 0.000 | 4.748 | -0.000 | 0.000 |
| 0.000 | -0.000 | 0.000 | 0.000 | 4.748 | 0.000 |
| 0.000 | 0.000 | 0.000 | 0.000 | -0.000 | 5.933 |
| 46.600 | 34.735 | 33.551 | -0.000 | 0.000 | -0.000 |
| 34.864 | 46.471 | 33.551 | 0.000 | -0.000 | -0.000 |
| 33.551 | 33.551 | 47.784 | 0.000 | 0.000 | -0.000 |
| 0.000 | -0.000 | -0.000 | 4.748 | 0.000 | -0.000 |
| -0.000 | 0.000 | -0.000 | -0.000 | 4.748 | 0.000 |
| -0.000 | -0.000 | -0.000 | -0.000 | 0.000 | 5.933 |
| 46.471 | 34.863 | 33.550 | -0.000 | -0.000 | 0.000 |
| 34.863 | 46.471 | 33.550 | -0.000 | -0.000 | 0.000 |
| 33.550 | 33.550 | 47.784 | -0.000 | -0.000 | 0.000 |
| -0.000 | 0.000 | 0.000 | 4.748 | 0.000 | 0.000 |
| 0.000 | -0.000 | 0.000 | -0.000 | 4.748 | 0.000 |
| 0.000 | 0.000 | 0.000 | 0.000 | -0.000 | 5.933 |
| 46.600 | 34.735 | 33.551 | -0.000 | 0.000 | -0.000 |
| 34.965 | 46.370 | 33.551 | -0.000 | -0.000 | -0.000 |
| 33.551 | 33.551 | 47.784 | 0.000 | 0.000 | -0.000 |
| 0.000 | -0.000 | -0.000 | 4.748 | 0.000 | -0.000 |
| -0.000 | 0.000 | -0.000 | 0.000 | 4.748 | -0.000 |
| -0.000 | -0.000 | -0.000 | -0.000 | 0.000 | 5.933 |
| 46.342 | 34.993 | 33.551 | -0.000 | 0.000 | -0.000 |
| 34.735 | 46.600 | 33.551 | -0.000 | 0.000 | -0.000 |
| 33.551 | 33.551 | 47.784 | 0.000 | 0.000 | -0.000 |
| 0.000 | 0.000 | 0.000 | 4.748 | 0.000 | -0.000 |
| 0.000 | 0.000 | 0.000 | 0.000 | 4.748 | -0.000 |
| 0.000 | 0.000 | 0.000 | 0.000 | 0.000 | 5.933 |
| 46.600 | 34.735 | 33.551 | -0.000 | -0.000 | -0.000 |
| 34.993 | 46.342 | 33.551 | -0.000 | -0.000 | 0.000 |
| 33.551 | 33.551 | 47.784 | 0.000 | -0.000 | 0.000 |
| -0.000 | -0.000 | -0.000 | 4.748 | -0.000 | 0.000 |
| -0.000 | -0.000 | -0.000 | 0.000 | 4.748 | -0.000 |
| -0.000 | -0.000 | -0.000 | -0.000 | -0.000 | 5.933 |
| 46.600 | 34.735 | 33.551 | 0.000 | 0.000 | -0.000 |
| 34.735 | 46.600 | 33.551 | -0.000 | 0.000 | -0.000 |
| 33.551 | 33.551 | 47.784 | 0.000 | 0.000 | -0.000 |
| -0.000 | 0.000 | 0.000 | 4.748 | 0.000 | -0.000 |
| 0.000 | -0.000 | 0.000 | -0.000 | 4.748 | -0.000 |
| 0.000 | 0.000 | -0.000 | -0.000 | -0.000 | 5.675 |
| 46.600 | 34.735 | 33.551 | -0.000 | -0.000 | 0.000 |
| 34.993 | 46.342 | 33.551 | 0.000 | -0.000 | 0.000 |
| 33.551 | 33.551 | 47.784 | -0.000 | -0.000 | 0.000 |
| 0.000 | -0.000 | -0.000 | 4.748 | -0.000 | 0.000 |
| -0.000 | 0.000 | -0.000 | 0.000 | 4.748 | -0.000 |
| -0.000 | -0.000 | 0.000 | 0.000 | -0.000 | 5.675 |
| 46.600 | 34.734 | 33.550 | 0.000 | 0.000 | 0.000 |
| 34.734 | 46.600 | 33.550 | 0.000 | -0.000 | -0.000 |
| 33.550 | 33.550 | 47.784 | 0.000 | 0.000 | -0.000 |
| 0.000 | 0.000 | 0.000 | 4.748 | -0.000 | -0.000 |
| 0.000 | -0.000 | 0.000 | 0.000 | 4.748 | 0.000 |
| 0.000 | 0.000 | -0.000 | 0.000 | -0.000 | 5.675 |
| 46.600 | 34.735 | 33.551 | -0.000 | -0.000 | 0.000 |
| 34.735 | 46.600 | 33.551 | 0.000 | -0.000 | 0.000 |
| 33.551 | 33.551 | 47.784 | 0.000 | -0.000 | 0.000 |
| -0.000 | -0.000 | -0.000 | 4.748 | -0.000 | 0.000 |
| -0.000 | 0.000 | -0.000 | -0.000 | 4.748 | 0.000 |
| -0.000 | -0.000 | 0.000 | -0.000 | -0.000 | 5.675 |
| 219391.400 | 219374.110 | 219374.110 | 0.000 | -0.000 | -0.000 |
| 219374.109 | 219391.400 | 219374.109 | -0.000 | 0.000 | -0.000 |
| 219374.109 | 219374.109 | 219391.400 | -0.000 | -0.000 | 0.000 |
| -0.003 | -0.003 | -0.003 | -10.979 | -0.000 | -0.000 |
| -0.003 | -0.003 | -0.003 | -0.000 | -10.979 | -0.000 |
| -0.003 | -0.003 | -0.003 | -0.000 | -0.000 | -10.979 |
| 219390.586 | 219373.279 | 219373.279 | 0.000 | 0.000 | 0.000 |
| 219373.280 | 219390.586 | 219373.280 | 0.000 | 0.000 | 0.000 |
| 219373.280 | 219373.280 | 219390.586 | 0.000 | 0.000 | 0.000 |
| 0.003 | 0.003 | 0.003 | -10.979 | 0.000 | 0.000 |
| 0.003 | 0.003 | 0.003 | 0.000 | -10.979 | 0.000 |
| 0.003 | 0.003 | 0.003 | 0.000 | 0.000 | -10.979 |
| 219395.062 | 219377.840 | 219377.840 | -0.000 | -0.000 | -0.000 |
| 219377.840 | 219395.062 | 219377.840 | -0.000 | -0.000 | -0.000 |
| 219377.840 | 219377.840 | 219395.062 | -0.000 | -0.000 | -0.000 |
| -0.031 | -0.031 | -0.031 | -10.980 | -0.000 | -0.000 |
| -0.031 | -0.031 | -0.031 | -0.000 | -10.980 | -0.000 |
| -0.031 | -0.031 | -0.031 | -0.000 | -0.000 | -10.980 |
| 219386.925 | 219369.550 | 219369.550 | -0.000 | 0.000 | 0.000 |
| 219369.550 | 219386.925 | 219369.550 | 0.000 | -0.000 | 0.000 |
| 219369.550 | 219369.550 | 219386.925 | 0.000 | 0.000 | -0.000 |
| 0.031 | 0.031 | 0.031 | -10.980 | 0.000 | 0.000 |
| 0.031 | 0.031 | 0.031 | 0.000 | -10.980 | 0.000 |
| 0.031 | 0.031 | 0.031 | 0.000 | 0.000 | -10.980 |
| 219431.675 | 219415.146 | 219415.146 | -0.000 | -0.000 | -0.000 |
| 219415.146 | 219431.675 | 219415.146 | -0.000 | -0.000 | -0.000 |
| 219415.146 | 219415.146 | 219431.675 | -0.000 | -0.000 | -0.000 |
| -0.315 | -0.315 | -0.315 | -10.980 | -0.000 | -0.000 |
| -0.315 | -0.315 | -0.315 | -0.000 | -10.980 | -0.000 |
| -0.315 | -0.315 | -0.315 | -0.000 | -0.000 | -10.980 |
| 219350.311 | 219332.244 | 219332.244 | 0.000 | 0.000 | 0.000 |
| 219332.244 | 219350.311 | 219332.244 | 0.000 | 0.000 | 0.000 |
| 219332.244 | 219332.244 | 219350.311 | 0.000 | 0.000 | 0.000 |
| 0.315 | 0.315 | 0.315 | -10.980 | 0.000 | 0.000 |
| 0.315 | 0.315 | 0.315 | 0.000 | -10.980 | 0.000 |
| 0.315 | 0.315 | 0.315 | 0.000 | 0.000 | -10.980 |
| 69.145 | 108.012 | 108.012 | 0.000 | 0.000 | 0.000 |
| 108.012 | 69.145 | 108.012 | 0.000 | 0.000 | 0.000 |
| 108.012 | 108.012 | 69.145 | 0.000 | 0.000 | 0.000 |
| -0.000 | -0.000 | -0.000 | -77.573 | -0.000 | 0.000 |
| -0.000 | -0.000 | -0.000 | 0.000 | -77.573 | 0.000 |
| -0.000 | -0.000 | -0.000 | 0.000 | 0.000 | -77.573 |
| 69.145 | 108.012 | 108.012 | -0.000 | -0.000 | -0.000 |
| 108.012 | 69.145 | 108.012 | -0.000 | -0.000 | -0.000 |
| 108.012 | 108.012 | 69.145 | -0.000 | -0.000 | -0.000 |
| 0.000 | 0.000 | 0.000 | -77.573 | 0.000 | -0.000 |
| 0.000 | 0.000 | 0.000 | 0.000 | -77.573 | -0.000 |
| 0.000 | 0.000 | 0.000 | 0.000 | -0.000 | -77.573 |
| 69.144 | 108.012 | 108.012 | 0.000 | 0.000 | 0.000 |
| 108.012 | 69.144 | 108.012 | 0.000 | 0.000 | 0.000 |
| 108.012 | 108.012 | 69.144 | 0.000 | 0.000 | 0.000 |
| -0.002 | -0.001 | -0.001 | -77.573 | -0.000 | 0.000 |
| -0.001 | -0.002 | -0.001 | -0.000 | -77.573 | 0.000 |
| -0.001 | -0.001 | -0.002 | -0.000 | 0.000 | -77.573 |
| 69.147 | 108.012 | 108.012 | -0.000 | -0.000 | -0.000 |
| 108.012 | 69.147 | 108.012 | -0.000 | -0.000 | -0.000 |
| 108.012 | 108.012 | 69.147 | -0.000 | -0.000 | -0.000 |
| 0.002 | 0.001 | 0.001 | -77.573 | -0.000 | -0.000 |
| 0.001 | 0.002 | 0.001 | -0.000 | -77.573 | -0.000 |
| 0.001 | 0.001 | 0.002 | -0.000 | -0.000 | -77.573 |
| 69.129 | 108.010 | 108.010 | -0.000 | 0.000 | 0.000 |
| 108.010 | 69.129 | 108.010 | 0.000 | -0.000 | 0.000 |
| 108.010 | 108.010 | 69.129 | 0.000 | 0.000 | -0.000 |
| -0.025 | -0.011 | -0.011 | -77.573 | 0.000 | 0.000 |
| -0.011 | -0.025 | -0.011 | 0.000 | -77.573 | 0.000 |
| -0.011 | -0.011 | -0.025 | 0.000 | 0.000 | -77.573 |
| 69.162 | 108.013 | 108.013 | 0.000 | -0.000 | -0.000 |
| 108.013 | 69.162 | 108.013 | -0.000 | 0.000 | -0.000 |
| 108.013 | 108.013 | 69.162 | -0.000 | -0.000 | -0.000 |
| 0.025 | 0.011 | 0.011 | -77.573 | -0.000 | -0.000 |
| 0.011 | 0.025 | 0.011 | -0.000 | -77.573 | -0.000 |
| 0.011 | 0.011 | 0.025 | 0.000 | -0.000 | -77.573 |
| -0.150 | -0.150 | -0.150 | -0.000 | -0.000 | -0.000 |
| -0.150 | -0.150 | -0.150 | -0.000 | -0.000 | -0.000 |
| -0.150 | -0.150 | -0.150 | -0.000 | -0.000 | -0.000 |
| -0.000 | -0.000 | -0.000 | -0.150 | -0.000 | -0.000 |
| -0.000 | -0.000 | -0.000 | -0.000 | -0.150 | -0.000 |
| -0.000 | -0.000 | -0.000 | -0.000 | -0.000 | -0.150 |
| -0.150 | -0.150 | -0.150 | 0.000 | 0.000 | 0.000 |
| -0.150 | -0.150 | -0.150 | 0.000 | 0.000 | 0.000 |
| -0.150 | -0.150 | -0.150 | 0.000 | 0.000 | 0.000 |
| 0.000 | 0.000 | 0.000 | -0.150 | 0.000 | 0.000 |
| 0.000 | 0.000 | 0.000 | 0.000 | -0.150 | 0.000 |
| 0.000 | 0.000 | 0.000 | 0.000 | 0.000 | -0.150 |
| -0.150 | -0.150 | -0.150 | -0.000 | -0.000 | -0.000 |
| -0.150 | -0.150 | -0.150 | -0.000 | -0.000 | -0.000 |
| -0.150 | -0.150 | -0.150 | -0.000 | -0.000 | -0.000 |
| -0.000 | -0.000 | -0.000 | -0.150 | -0.000 | -0.000 |
| -0.000 | -0.000 | -0.000 | -0.000 | -0.150 | -0.000 |
| -0.000 | -0.000 | -0.000 | -0.000 | -0.000 | -0.150 |
| -0.150 | -0.150 | -0.150 | 0.000 | 0.000 | 0.000 |
| -0.150 | -0.150 | -0.150 | 0.000 | 0.000 | 0.000 |
| -0.150 | -0.150 | -0.150 | 0.000 | 0.000 | 0.000 |
| 0.000 | 0.000 | 0.000 | -0.150 | 0.000 | 0.000 |
| 0.000 | 0.000 | 0.000 | 0.000 | -0.150 | 0.000 |
| 0.000 | 0.000 | 0.000 | 0.000 | 0.000 | -0.150 |
| 24977326.609 | 31878981.159 | -2755275.463 | 7672935.122 | -8471504.882 | -2402044.512 |
| 92013720.368 | 87549436.374 | 65380370.679 | 6588156.800 | -7100587.694 | 240360.432 |
| 29214458.671 | 37660753.842 | -907554.288 | 7840485.547 | -8518788.603 | -224199.754 |
| 59846416.544 | 59630203.922 | 30727371.488 | 6773056.671 | -5042201.417 | -182713.543 |
| 53461731.174 | 58866179.867 | 30039444.471 | 5990825.773 | -7821756.360 | 634973.079 |
| 75131784.195 | 74064982.657 | 47578152.032 | 5874976.145 | -5884592.554 | -2406432.929 |
| -43872521.198 | -51422276.057 | -14735732.663 | -5491277.391 | 2375653.821 | -2138228.874 |
| -62610712.169 | -61666842.014 | -26780272.667 | -6473351.223 | 2261566.581 | -3578470.180 |
| -60621839.879 | -53101201.351 | -21806246.643 | -7030532.787 | 5149513.734 | -2000211.689 |
| -31504511.457 | -34752525.954 | 2507552.580 | -7949890.189 | 7405222.078 | -907697.014 |
| -40119868.056 | -43952517.984 | -10262612.261 | -7187433.289 | 7066320.855 | -448864.903 |
| -49894038.037 | -48307777.319 | -17068961.977 | -5237180.682 | 3291397.986 | -471276.798 |
| 493864.121 | 1827242.421 | -2520291.434 | 630000.293 | -819349.401 | 129324.359 |
| 1864671.679 | 2183147.159 | -2350222.155 | 943181.591 | -651675.881 | 44305.318 |
| 4491881.137 | 4911519.171 | 771557.245 | 680120.218 | -540484.025 | 228919.808 |
| 2157756.261 | 2477409.698 | -1662601.231 | 569979.550 | -277302.446 | 258468.107 |
| 5234126.222 | 5649845.662 | 2544195.100 | 859167.388 | -780180.370 | 40225.455 |
| 8085958.391 | 7379599.888 | 3934126.266 | 513267.010 | 81494.408 | 262446.481 |
| -4851647.323 | -4539821.690 | -723960.826 | -505830.361 | -139807.747 | -501083.978 |
| -7539240.584 | -7223341.167 | -4186389.125 | -683903.497 | 290282.371 | -366144.927 |
| -6742293.083 | -6193909.605 | -2669404.740 | -830861.895 | 77359.814 | -570483.931 |
| -7641312.665 | -7925160.938 | -5018875.031 | -836037.659 | 539666.109 | 192750.810 |
| -585684.960 | -1529445.784 | 2731531.232 | -729621.117 | 607005.269 | 35571.656 |
| -3263223.663 | -3143303.469 | 423034.822 | -744662.050 | 692453.441 | -87232.026 |
| 520116.532 | 563674.175 | 234586.828 | 70194.320 | -36590.154 | 7563.964 |
| 643564.766 | 655545.542 | 318554.910 | 74215.781 | -28024.592 | 3839.409 |
| 336075.475 | 406465.428 | 45164.675 | 79764.092 | -61503.795 | 27611.118 |
| 483717.033 | 523858.661 | 81762.595 | 69599.152 | -57583.274 | -13638.683 |
| 655874.626 | 681147.887 | 276466.710 | 89784.175 | -54504.887 | -1244.242 |
| 725941.951 | 661095.171 | 302529.344 | 57692.811 | -12086.777 | 33024.157 |
| -277384.642 | -323386.163 | 92883.988 | -79155.270 | 27376.052 | -33960.830 |
| -578673.700 | -548614.267 | -201960.703 | -81246.002 | -8554.372 | -43026.365 |
| -760640.926 | -725982.557 | -416843.635 | -75978.750 | 18221.473 | -26694.724 |
| -27940.956 | -109521.991 | 320650.854 | -106958.555 | 45526.157 | 7357.935 |
| -394636.590 | -404768.883 | -31284.954 | -62218.833 | 53769.577 | -7063.359 |
| -527825.275 | -535750.111 | -157287.626 | -72820.805 | 51212.415 | -5393.615 |
| 125.623 | 82.968 | 70.685 | 0.000 | -0.000 | -0.000 |
| 82.968 | 125.623 | 70.685 | 0.000 | -0.000 | -0.000 |
| 70.685 | 70.685 | 111.886 | -0.000 | 0.000 | -0.000 |
| -0.000 | 0.000 | 0.000 | -12.320 | -0.000 | 0.000 |
| 0.000 | -0.000 | 0.000 | 0.000 | -12.320 | -0.000 |
| -0.000 | -0.000 | -0.000 | -0.000 | -0.000 | 1.550 |
| 7.021 | 201.570 | 70.685 | 0.000 | -0.000 | -0.000 |
| 201.570 | 7.021 | 70.685 | -0.000 | -0.000 | -0.000 |
| 70.685 | 70.685 | 111.886 | 0.000 | -0.000 | -0.000 |
| 0.000 | -0.000 | -0.000 | -12.320 | 0.000 | 0.000 |
| -0.000 | 0.000 | -0.000 | -0.000 | -12.320 | -0.000 |
| 0.000 | 0.000 | 0.000 | 0.000 | -0.000 | 1.550 |
| -4371102.222 | 36480273.694 | 15093409.322 | 0.000 | 0.000 | -0.000 |
| 36480273.539 | -4371102.271 | 15093409.263 | 0.000 | -0.001 | -0.000 |
| 70.685 | 70.685 | 111.886 | -0.000 | 0.000 | -0.000 |
| -0.000 | 0.000 | 0.000 | -12.320 | -0.000 | -0.000 |
| 0.000 | -0.000 | 0.000 | 0.000 | -12.320 | 0.000 |
| -0.000 | -0.000 | -0.000 | -0.000 | 0.000 | 1.550 |
| 125.623 | 82.969 | 70.686 | -0.000 | 0.000 | -0.000 |
| 82.969 | 125.623 | 70.686 | -0.000 | 0.000 | 0.000 |
| 70.686 | 70.686 | 111.886 | 0.000 | -0.000 | 0.000 |
| 0.000 | -0.000 | -0.000 | -12.320 | 0.000 | -0.000 |
| -0.000 | 0.000 | -0.000 | -0.000 | -12.320 | 0.000 |
| 0.000 | 0.000 | 0.000 | 0.000 | -0.000 | 1.550 |
| -437058.051 | 3648059.608 | 1509370.754 | 0.000 | 0.000 | -0.000 |
| 3648059.410 | -437058.115 | 1509370.678 | -0.000 | -0.000 | 0.000 |
| 70.685 | 70.685 | 111.886 | -0.000 | 0.000 | 0.000 |
| -0.000 | 0.000 | 0.000 | -12.320 | -0.000 | -0.000 |
| 0.000 | -0.000 | 0.000 | 0.000 | -12.320 | -0.000 |
| -0.000 | -0.000 | -0.000 | 0.000 | 0.000 | 1.550 |
| -3647934.148 | 437147.580 | -1509313.375 | 0.000 | -0.000 | -0.000 |
| 437147.602 | -3647934.080 | -1509313.349 | 0.000 | 0.000 | 0.000 |
| 70.686 | 70.686 | 111.886 | 0.000 | -0.000 | 0.000 |
| 0.000 | -0.000 | -0.000 | -12.320 | 0.000 | -0.000 |
| -0.000 | 0.000 | -0.000 | -0.000 | -12.320 | 0.000 |
| 0.000 | 0.000 | 0.000 | -0.000 | 0.000 | 1.550 |
| 82.374 | 54.391 | 54.370 | 0.596 | -0.000 | -0.000 |
| 51.437 | 79.384 | 49.063 | -0.537 | -0.000 | 0.000 |
| 50.213 | 50.213 | 81.485 | 0.000 | -0.000 | -0.000 |
| 0.596 | -0.596 | -0.000 | 2.878 | 0.000 | -0.000 |
| 0.000 | 0.000 | -0.000 | 0.000 | 2.878 | 0.596 |
| -0.000 | 0.000 | -0.000 | 0.000 | 0.596 | 13.991 |
| 79.786 | 51.840 | 49.783 | 0.537 | 0.000 | 0.000 |
| 54.391 | 82.374 | 54.370 | -0.596 | 0.000 | 0.000 |
| 55.335 | 55.335 | 90.631 | -0.000 | 0.000 | 0.000 |
| 0.866 | -0.107 | 0.677 | 2.522 | 0.000 | 0.000 |
| -0.000 | -0.000 | 0.000 | -0.000 | 2.878 | 0.596 |
| 0.000 | -0.000 | 0.000 | -0.000 | 0.596 | 13.991 |
| 79.565 | 51.618 | 49.387 | 0.537 | 0.000 | -0.000 |
| 54.391 | 82.374 | 54.370 | -0.596 | -0.000 | -0.000 |
| 55.335 | 55.335 | 90.631 | 0.000 | -0.000 | -0.000 |
| 0.596 | -0.596 | -0.000 | 2.878 | -0.000 | -0.000 |
| -0.000 | -0.000 | -0.000 | 0.000 | 2.878 | 0.596 |
| 0.000 | 0.000 | -0.000 | 0.000 | 0.596 | 13.991 |
| 79.580 | 51.692 | 49.466 | 0.442 | -0.000 | 0.000 |
| 51.692 | 79.580 | 49.466 | -0.442 | 0.000 | 0.000 |
| 50.436 | 50.436 | 81.882 | -0.000 | 0.000 | 0.000 |
| 0.596 | -0.596 | 0.000 | 2.878 | 0.000 | 0.000 |
| 0.000 | 0.000 | 0.000 | -0.000 | 2.878 | 0.596 |
| -0.000 | -0.000 | 0.000 | -0.000 | 0.596 | 13.991 |
| 79.583 | 51.636 | 49.419 | 0.537 | -0.000 | 0.000 |
| 51.636 | 79.583 | 49.419 | -0.537 | -0.000 | -0.000 |
| 50.413 | 50.413 | 81.843 | 0.000 | -0.000 | -0.000 |
| 0.596 | -0.596 | -0.000 | 2.878 | -0.000 | -0.000 |
| -0.000 | -0.000 | -0.000 | 0.000 | 2.878 | 0.596 |
| 0.000 | 0.000 | -0.000 | 0.000 | 0.596 | 13.991 |
| 79.562 | 51.674 | 49.434 | 0.442 | 0.000 | 0.000 |
| 54.391 | 82.374 | 54.371 | -0.596 | 0.000 | 0.000 |
| 55.336 | 55.336 | 90.632 | -0.000 | -0.000 | 0.000 |
| 0.596 | -0.596 | 0.000 | 2.878 | 0.000 | 0.000 |
| 0.000 | 0.000 | 0.000 | -0.000 | 2.878 | 0.596 |
| -0.000 | -0.000 | 0.000 | -0.000 | 0.596 | 13.991 |
| 213.016 | 193.272 | 393.939 | 1.065 | -0.000 | 0.000 |
| 193.272 | 213.016 | 393.939 | -1.065 | -0.000 | 0.000 |
| 198.884 | 198.884 | 438.048 | -0.000 | -0.000 | 0.000 |
| 1.207 | -1.207 | -0.000 | 4.369 | -0.000 | 0.000 |
| 143.324 | 143.324 | 338.382 | 0.000 | 3.939 | 1.065 |
| -0.000 | 0.000 | -0.000 | 0.000 | 1.207 | 9.919 |
| 70.685 | 50.848 | 57.794 | 1.207 | 0.000 | 0.000 |
| 50.848 | 70.685 | 57.794 | -1.207 | 0.000 | -0.000 |
| -87.760 | -87.760 | -238.704 | -0.000 | 0.000 | -0.000 |
| 1.207 | -1.207 | 0.000 | 4.369 | 0.000 | 0.000 |
| -143.324 | -143.324 | -338.382 | -0.000 | 3.939 | 1.065 |
| 0.000 | -0.000 | 0.000 | -0.000 | 1.207 | 9.919 |
| 84.028 | 64.285 | 89.407 | 1.065 | -0.000 | 0.000 |
| 50.848 | 70.685 | 57.794 | -1.207 | -0.000 | 0.000 |
| 57.793 | 57.793 | 104.940 | 0.000 | -0.000 | -0.000 |
| 1.207 | -1.207 | -0.000 | 4.369 | -0.000 | -0.000 |
| -0.000 | -0.000 | -0.000 | 0.000 | 4.369 | 1.207 |
| 0.000 | 0.000 | -0.000 | 0.000 | 1.207 | 9.919 |
| 70.685 | 50.848 | 57.794 | 1.207 | 0.000 | -0.000 |
| 35.615 | 55.359 | 21.719 | -1.065 | 0.000 | -0.000 |
| 41.230 | 41.230 | 65.834 | -0.000 | 0.000 | -0.000 |
| -13.292 | -15.421 | -33.895 | 3.938 | 0.000 | -0.000 |
| 0.000 | 0.000 | 0.000 | -0.000 | 4.369 | 1.207 |
| -0.000 | -0.000 | 0.000 | -0.000 | 1.207 | 9.919 |
| 70.685 | 50.848 | 57.793 | 1.207 | -0.000 | 0.000 |
| 50.848 | 70.685 | 57.793 | -1.207 | -0.000 | 0.000 |
| 57.793 | 57.793 | 104.939 | 0.000 | -0.000 | 0.000 |
| 2.713 | 0.630 | 3.946 | 3.868 | -0.000 | -0.000 |
| -0.000 | -0.000 | -0.000 | 0.000 | 4.369 | 1.207 |
| 0.000 | 0.000 | -0.000 | 0.000 | 1.207 | 9.919 |
| 68.244 | 48.501 | 52.141 | 1.064 | -0.000 | -0.000 |
| 50.849 | 70.686 | 57.794 | -1.207 | 0.000 | -0.000 |
| 54.130 | 54.130 | 96.289 | 0.000 | 0.000 | -0.000 |
| -0.630 | -2.713 | -3.946 | 3.868 | 0.000 | 0.000 |
| 0.000 | 0.000 | 0.000 | -0.000 | 4.369 | 1.207 |
| -0.000 | -0.000 | 0.000 | -0.000 | 1.207 | 9.919 |
| 123.656 | 63.389 | 63.389 | -0.000 | 0.000 | 0.000 |
| 63.389 | 123.656 | 63.389 | -0.000 | -0.000 | 0.000 |
| 63.389 | 63.389 | 123.656 | -0.000 | -0.000 | 0.000 |
| -0.000 | -0.000 | -0.000 | 2.171 | -0.000 | -0.000 |
| -0.000 | -0.000 | -0.000 | -0.000 | 2.171 | -0.000 |
| -0.000 | -0.000 | -0.000 | -0.000 | -0.000 | 2.171 |
| 123.656 | 63.389 | 63.389 | 0.000 | 0.000 | 0.000 |
| 63.389 | 123.656 | 63.389 | 0.000 | 0.000 | -0.000 |
| 63.389 | 63.389 | 123.656 | 0.000 | -0.000 | 0.000 |
| 0.000 | 0.000 | 0.000 | 2.171 | 0.000 | -0.000 |
| 0.000 | 0.000 | 0.000 | 0.000 | 2.171 | -0.000 |
| 0.000 | 0.000 | 0.000 | 0.000 | 0.000 | 2.171 |
| 123.656 | 63.389 | 63.389 | -0.000 | -0.000 | 0.000 |
| 63.389 | 123.656 | 63.389 | -0.000 | 0.000 | 0.000 |
| 63.389 | 63.389 | 123.656 | -0.000 | -0.000 | -0.000 |
| -0.000 | -0.000 | -0.000 | 2.171 | -0.000 | -0.000 |
| -0.000 | -0.000 | -0.000 | -0.000 | 2.171 | 0.000 |
| -0.000 | -0.000 | -0.000 | -0.000 | 0.000 | 2.171 |
| 123.656 | 63.389 | 63.389 | 0.000 | -0.000 | 0.000 |
| 63.389 | 123.656 | 63.389 | 0.000 | -0.000 | -0.000 |
| 63.389 | 63.389 | 123.656 | 0.000 | 0.000 | 0.000 |
| 0.000 | 0.000 | 0.000 | 2.171 | -0.000 | -0.000 |
| 0.000 | 0.000 | 0.000 | 0.000 | 2.171 | 0.000 |
| 0.000 | 0.000 | 0.000 | 0.000 | 0.000 | 2.171 |
| 123.656 | 63.388 | 63.388 | -0.000 | -0.000 | 0.000 |
| 63.388 | 123.656 | 63.388 | -0.000 | 0.000 | 0.000 |
| 63.388 | 63.388 | 123.656 | -0.000 | -0.000 | -0.000 |
| -0.000 | -0.000 | -0.000 | 2.171 | -0.000 | 0.000 |
| -0.000 | -0.000 | -0.000 | -0.000 | 2.171 | 0.000 |
| -0.000 | -0.000 | -0.000 | -0.000 | 0.000 | 2.171 |
| 123.656 | 63.389 | 63.389 | -0.000 | 0.000 | -0.000 |
| 63.389 | 123.656 | 63.389 | 0.000 | -0.000 | 0.000 |
| 63.389 | 63.389 | 123.656 | 0.000 | 0.000 | 0.000 |
| 0.000 | 0.000 | 0.000 | 2.171 | 0.000 | 0.000 |
| 0.000 | 0.000 | 0.000 | 0.000 | 2.171 | -0.000 |
| 0.000 | 0.000 | 0.000 | 0.000 | 0.000 | 2.171 |
| 154.957 | 145.380 | 101.999 | 0.000 | -0.000 | -0.000 |
| 145.380 | 154.957 | 101.999 | -0.000 | 0.000 | -0.000 |
| 101.310 | 101.310 | 78.649 | -0.000 | 0.000 | -0.000 |
| 54.537 | 54.537 | 18.474 | 16.035 | -0.000 | -0.000 |
| 54.537 | 54.537 | 18.474 | -0.000 | 16.035 | -0.000 |
| 0.000 | -0.000 | 0.000 | -0.000 | -0.000 | 18.297 |
| 154.957 | 145.380 | 101.999 | 0.000 | -0.000 | -0.000 |
| 65.544 | 68.197 | 73.782 | 0.000 | -0.000 | 0.000 |
| 101.310 | 101.310 | 78.649 | 0.000 | -0.000 | 0.000 |
| -54.537 | -54.537 | -18.474 | 16.035 | 0.000 | 0.000 |
| -54.537 | -54.537 | -18.474 | 0.000 | 16.035 | -0.000 |
| -0.000 | -0.000 | -0.000 | -0.000 | -0.000 | 18.297 |
| 126.374 | 124.184 | 93.568 | -0.000 | -0.000 | 0.000 |
| 124.184 | 126.374 | 93.568 | -0.000 | 0.000 | 0.000 |
| 101.310 | 101.310 | 78.649 | 0.000 | 0.000 | -0.000 |
| 0.000 | 0.000 | 0.000 | 17.058 | -0.000 | 0.000 |
| 0.000 | 0.000 | 0.000 | -0.000 | 17.058 | -0.000 |
| 0.000 | 0.000 | 0.000 | -0.000 | 0.000 | 18.297 |
| 114.754 | 117.586 | 90.482 | 0.000 | 0.000 | -0.000 |
| 117.586 | 114.754 | 90.482 | 0.000 | -0.000 | -0.000 |
| 101.310 | 101.310 | 78.649 | 0.000 | 0.000 | -0.000 |
| -0.000 | -0.000 | -0.000 | 17.058 | 0.000 | 0.000 |
| -0.000 | -0.000 | -0.000 | -0.000 | 17.058 | 0.000 |
| -0.000 | -0.000 | -0.000 | 0.000 | 0.000 | 18.297 |
| 120.708 | 123.540 | 92.499 | 0.000 | 0.000 | -0.000 |
| 123.540 | 120.708 | 92.499 | -0.000 | -0.000 | 0.000 |
| 101.309 | 101.309 | 78.648 | -0.000 | -0.000 | -0.000 |
| 0.000 | 0.000 | 0.000 | 17.058 | -0.000 | 0.000 |
| 0.000 | 0.000 | 0.000 | 0.000 | 17.058 | -0.000 |
| 0.548 | 0.548 | 0.186 | -0.000 | 0.000 | 12.610 |
| 119.627 | 122.459 | 92.133 | 0.000 | 0.000 | -0.000 |
| 122.458 | 119.626 | 92.133 | -0.000 | 0.000 | -0.000 |
| 91.086 | 91.086 | 75.185 | 0.000 | -0.000 | -0.000 |
| -0.000 | -0.000 | -0.000 | 17.058 | 0.000 | 0.000 |
| -0.000 | -0.000 | -0.000 | 0.000 | 17.058 | 0.000 |
| -0.548 | -0.548 | -0.186 | 0.000 | 0.000 | 12.610 |
| 78.288 | 91.676 | 67.308 | 0.000 | 0.000 | 0.000 |
| 26.036 | 65.602 | 43.211 | -0.000 | 0.000 | 0.000 |
| 80.016 | 121.531 | 95.397 | -0.000 | 0.000 | 0.000 |
| 57.166 | 123.097 | 45.627 | 3.435 | -0.000 | 0.000 |
| 0.000 | -0.000 | -0.000 | 0.000 | 14.786 | 0.000 |
| 59.551 | 128.234 | 47.531 | 0.000 | -0.000 | -7.755 |
| -36.056 | -154.545 | -23.955 | -0.000 | -0.000 | -0.000 |
| -88.216 | -180.420 | -47.979 | -0.000 | -0.000 | -0.000 |
| -34.320 | -124.674 | 4.140 | 0.000 | 0.000 | -0.000 |
| -57.166 | -123.097 | -45.627 | 3.435 | -0.000 | -0.000 |
| -0.000 | 0.000 | 0.000 | -0.000 | 14.786 | -0.000 |
| -59.551 | -128.234 | -47.531 | 0.000 | -0.000 | -7.755 |
| 26.817 | -19.158 | 26.227 | 0.000 | -0.000 | 0.000 |
| -25.346 | -45.039 | 2.201 | 0.000 | 0.000 | 0.000 |
| 28.553 | 10.715 | 54.322 | -0.000 | 0.000 | 0.000 |
| 5.734 | 12.348 | 4.577 | 3.435 | 0.000 | 0.000 |
| 0.000 | -0.000 | 0.000 | 0.000 | 14.786 | 0.000 |
| 20.018 | 43.106 | 15.978 | 0.000 | 0.000 | -16.532 |
| 15.388 | -43.770 | 17.104 | -0.000 | -0.000 | -0.000 |
| -36.775 | -69.651 | -6.922 | -0.000 | 0.000 | 0.000 |
| 49.913 | 56.709 | 71.370 | -0.000 | -0.000 | -0.000 |
| -5.734 | -12.348 | -4.577 | 3.435 | -0.000 | -0.000 |
| -0.000 | 0.000 | -0.000 | -0.000 | 14.786 | 0.000 |
| -20.018 | -43.106 | -15.978 | -0.000 | -0.000 | -16.532 |
| 21.674 | -30.234 | 22.122 | 0.000 | -0.000 | 0.000 |
| -30.490 | -56.116 | -1.905 | 0.000 | 0.000 | 0.000 |
| 23.410 | -0.360 | 50.217 | -0.000 | 0.000 | 0.000 |
| 0.748 | 1.612 | 0.597 | 3.434 | 0.000 | 0.000 |
| 0.572 | 1.231 | 0.456 | 0.000 | 14.786 | -0.000 |
| -178607.227 | -726806.867 | -526560.317 | 5743.388 | -13582.581 | -95028.708 |
| 20.531 | -32.694 | 21.210 | -0.000 | -0.000 | 0.000 |
| -31.631 | -58.574 | -2.816 | 0.000 | -0.000 | -0.000 |
| 22.267 | -2.821 | 49.305 | 0.000 | -0.000 | -0.000 |
| -0.748 | -1.612 | -0.597 | 3.434 | -0.000 | -0.000 |
| -0.572 | -1.231 | -0.456 | -0.000 | 14.786 | -0.000 |
| 580146.197 | 853018.304 | 587914.812 | -0.000 | 0.000 | -797735.636 |
| 674.379 | 639.121 | 639.121 | 0.000 | 0.000 | 0.000 |
| 639.121 | 674.379 | 639.121 | 0.000 | 0.000 | 0.000 |
| 639.121 | 639.121 | 674.379 | 0.000 | 0.000 | 0.000 |
| 0.000 | -0.000 | -0.000 | 5.822 | 0.000 | 0.000 |
| 0.000 | 0.000 | -0.000 | 0.000 | 5.822 | 0.000 |
| 0.000 | -0.000 | 0.000 | 0.000 | 0.000 | 5.822 |
| -487.398 | -522.651 | -522.651 | -0.000 | -0.000 | -0.000 |
| -522.651 | -487.398 | -522.651 | -0.000 | -0.000 | -0.000 |
| -522.651 | -522.651 | -487.398 | -0.000 | -0.000 | -0.000 |
| -0.000 | 0.000 | 0.000 | 5.822 | 0.000 | -0.000 |
| -0.000 | 0.000 | 0.000 | 0.000 | 5.822 | -0.000 |
| -0.000 | 0.000 | 0.000 | 0.000 | -0.000 | 5.822 |
| 101.041 | 61.160 | 61.160 | 0.000 | 0.000 | 0.000 |
| 61.160 | 101.041 | 61.160 | 0.000 | 0.000 | 0.000 |
| 61.160 | 61.160 | 101.041 | 0.000 | 0.000 | 0.000 |
| 58.096 | 58.096 | 58.096 | 3.519 | 0.000 | 0.000 |
| 58.096 | 58.096 | 58.096 | 0.000 | 3.519 | 0.000 |
| 58.096 | 58.096 | 58.096 | 0.000 | 0.000 | 3.519 |
| 101.041 | 61.160 | 61.160 | 0.000 | -0.000 | -0.000 |
| 61.160 | 101.041 | 61.160 | -0.000 | -0.000 | -0.000 |
| 61.160 | 61.160 | 101.041 | -0.000 | -0.000 | -0.000 |
| -58.096 | -58.096 | -58.096 | 3.519 | -0.000 | -0.000 |
| -58.096 | -58.096 | -58.096 | -0.000 | 3.519 | -0.000 |
| -58.096 | -58.096 | -58.096 | -0.000 | -0.000 | 3.519 |
| 99.464 | 64.533 | 64.533 | 0.000 | 0.000 | 0.000 |
| 64.533 | 99.464 | 64.533 | 0.000 | 0.000 | 0.000 |
| 64.533 | 64.533 | 99.464 | 0.000 | 0.000 | 0.000 |
| 5.881 | 5.881 | 5.881 | 3.491 | 0.000 | 0.000 |
| 5.881 | 5.881 | 5.881 | 0.000 | 3.491 | 0.000 |
| 5.881 | 5.881 | 5.881 | 0.000 | 0.000 | 3.491 |
| 86.541 | 51.782 | 51.782 | -0.000 | -0.000 | -0.000 |
| 51.782 | 86.541 | 51.782 | -0.000 | -0.000 | -0.000 |
| 51.782 | 51.782 | 86.541 | -0.000 | -0.000 | -0.000 |
| -5.881 | -5.881 | -5.881 | 3.491 | -0.000 | -0.000 |
| -5.881 | -5.881 | -5.881 | -0.000 | 3.491 | -0.000 |
| -5.881 | -5.881 | -5.881 | -0.000 | -0.000 | 3.491 |
| 96.252 | 56.512 | 56.512 | 0.000 | -0.000 | 0.000 |
| 56.512 | 96.252 | 56.512 | 0.000 | 0.000 | 0.000 |
| 56.512 | 56.512 | 96.252 | -0.000 | 0.000 | 0.000 |
| -73.641 | -73.641 | -73.641 | 2.883 | -0.000 | -0.000 |
| -73.641 | -73.641 | -73.641 | -0.000 | 2.883 | -0.000 |
| -73.641 | -73.641 | -73.641 | -0.000 | -0.000 | 2.883 |
| 160.063 | 126.918 | 126.918 | 0.000 | 0.000 | 0.000 |
| 126.918 | 160.063 | 126.918 | 0.000 | 0.000 | 0.000 |
| 126.918 | 126.918 | 160.063 | 0.000 | 0.000 | 0.000 |
| 73.641 | 73.641 | 73.641 | 2.883 | 0.000 | 0.000 |
| 73.641 | 73.641 | 73.641 | 0.000 | 2.883 | 0.000 |
| 73.641 | 73.641 | 73.641 | 0.000 | 0.000 | 2.883 |
| 96.252 | 56.512 | 56.512 | 0.000 | 0.000 | -0.000 |
| 56.512 | 96.252 | 56.512 | -0.000 | 0.000 | 0.000 |
| 56.512 | 56.512 | 96.252 | 0.000 | -0.000 | 0.000 |
| -0.000 | -0.000 | -0.000 | 6.025 | 0.000 | 0.000 |
| -0.000 | -0.000 | -0.000 | 0.000 | 6.025 | 0.000 |
| -0.000 | -0.000 | -0.000 | 0.000 | 0.000 | 6.025 |
| 94.150 | 60.779 | 60.779 | -0.000 | 0.000 | 0.000 |
| 60.779 | 94.150 | 60.779 | 0.000 | -0.000 | 0.000 |
| 60.779 | 60.779 | 94.150 | 0.000 | 0.000 | -0.000 |
| 0.000 | 0.000 | 0.000 | 6.025 | 0.000 | 0.000 |
| 0.000 | 0.000 | 0.000 | 0.000 | 6.025 | 0.000 |
| 0.000 | 0.000 | 0.000 | 0.000 | 0.000 | 6.025 |
| 78.226 | 51.349 | 51.349 | -0.000 | -0.000 | -0.000 |
| 51.349 | 78.226 | 51.349 | -0.000 | -0.000 | -0.000 |
| 51.349 | 51.349 | 78.226 | -0.000 | -0.000 | -0.000 |
| -0.000 | -0.000 | -0.000 | 6.025 | -0.000 | 0.000 |
| -0.000 | -0.000 | -0.000 | -0.000 | 6.025 | 0.000 |
| -0.000 | -0.000 | -0.000 | -0.000 | 0.000 | 6.025 |
| 87.272 | 54.281 | 54.281 | -0.000 | 0.000 | 0.000 |
| 54.281 | 87.272 | 54.281 | 0.000 | -0.000 | 0.000 |
| 54.281 | 54.281 | 87.272 | 0.000 | 0.000 | -0.000 |
| 0.000 | 0.000 | 0.000 | 6.025 | 0.000 | -0.000 |
| 0.000 | 0.000 | 0.000 | 0.000 | 6.025 | -0.000 |
| 0.000 | 0.000 | 0.000 | 0.000 | 0.000 | 6.025 |
| 77.926 | 64.539 | 64.539 | 0.000 | -0.000 | 0.000 |
| 64.539 | 77.926 | 64.539 | 0.000 | -0.000 | -0.000 |
| 64.539 | 64.539 | 77.926 | 0.000 | -0.000 | -0.000 |
| -1064.432 | -1064.432 | -1064.432 | 6.012 | 0.000 | -0.000 |
| -1064.432 | -1064.432 | -1064.432 | 0.000 | 6.012 | -0.000 |
| -1064.432 | -1064.432 | -1064.432 | 0.000 | 0.000 | 6.012 |
| 1131.631 | 1125.276 | 1125.276 | -0.000 | -0.000 | 0.000 |
| 1125.276 | 1131.631 | 1125.276 | -0.000 | -0.000 | 0.000 |
| 1125.276 | 1125.276 | 1131.631 | -0.000 | -0.000 | 0.000 |
| 1064.432 | 1064.432 | 1064.432 | 6.012 | -0.000 | 0.000 |
| 1064.432 | 1064.432 | 1064.432 | -0.000 | 6.012 | 0.000 |
| 1064.432 | 1064.432 | 1064.432 | -0.000 | -0.000 | 6.012 |
| 77.926 | 64.539 | 64.539 | 0.000 | -0.000 | 0.000 |
| -45.648 | -39.219 | -45.648 | 0.000 | 0.000 | -0.000 |
| -45.648 | -45.648 | -39.219 | 0.000 | 0.000 | -0.000 |
| -102.746 | -102.746 | -102.746 | 6.495 | 0.000 | -0.000 |
| -102.746 | -102.746 | -102.746 | 0.000 | 6.495 | -0.000 |
| -102.746 | -102.746 | -102.746 | 0.000 | 0.000 | 6.495 |
| 77.926 | 64.539 | 64.539 | -0.000 | -0.000 | 0.000 |
| 64.539 | 77.926 | 64.539 | -0.000 | -0.000 | -0.000 |
| 64.539 | 64.539 | 77.926 | -0.000 | 0.000 | 0.000 |
| 106.408 | 106.408 | 106.408 | 6.014 | -0.000 | 0.000 |
| 106.408 | 106.408 | 106.408 | -0.000 | 6.014 | 0.000 |
| 106.408 | 106.408 | 106.408 | -0.000 | -0.000 | 6.014 |
| 56.595 | 49.879 | 49.879 | 0.000 | 0.000 | -0.000 |
| 49.879 | 56.595 | 49.879 | 0.000 | 0.000 | -0.000 |
| 49.879 | 49.879 | 56.595 | 0.000 | 0.000 | -0.000 |
| -10.383 | -10.383 | -10.383 | 6.159 | 0.000 | -0.000 |
| -10.383 | -10.383 | -10.383 | 0.000 | 6.159 | -0.000 |
| -10.383 | -10.383 | -10.383 | 0.000 | 0.000 | 6.159 |
| 77.926 | 64.539 | 64.539 | -0.000 | 0.000 | 0.000 |
| 64.539 | 77.926 | 64.539 | -0.000 | -0.000 | 0.000 |
| 64.539 | 64.539 | 77.926 | -0.000 | 0.000 | 0.000 |
| 10.383 | 10.383 | 10.383 | 6.159 | -0.000 | 0.000 |
| 10.383 | 10.383 | 10.383 | -0.000 | 6.159 | 0.000 |
| 10.383 | 10.383 | 10.383 | -0.000 | -0.000 | 6.159 |
| 77.314 | 64.331 | 64.331 | 0.000 | 0.000 | -0.000 |
| 64.331 | 77.314 | 64.331 | 0.000 | -0.000 | -0.000 |
| 64.331 | 64.331 | 77.314 | -0.000 | 0.000 | -0.000 |
| 0.000 | 0.000 | 0.000 | 11.645 | 0.000 | 0.000 |
| 0.000 | 0.000 | 0.000 | 0.000 | 11.645 | 0.000 |
| 0.000 | 0.000 | 0.000 | 0.000 | -0.000 | 11.645 |
| 52.151 | 50.597 | 50.596 | -0.000 | 0.001 | -0.001 |
| 50.596 | 52.151 | 50.595 | -0.000 | 0.001 | -0.001 |
| 50.597 | 50.597 | 52.151 | -0.000 | 0.001 | -0.001 |
| -0.000 | -0.000 | -0.000 | 11.645 | 0.000 | 0.000 |
| -0.000 | -0.000 | -0.000 | 0.000 | 11.645 | -0.000 |
| -0.000 | -0.000 | -0.000 | 0.000 | 0.000 | 11.645 |
| 77.314 | 64.331 | 64.331 | 0.000 | -0.000 | -0.000 |
| 64.331 | 77.314 | 64.331 | 0.000 | -0.000 | -0.000 |
| 64.331 | 64.331 | 77.314 | 0.000 | 0.000 | -0.000 |
| 0.000 | 0.000 | 0.000 | 11.645 | 0.000 | 0.000 |
| 0.000 | 0.000 | 0.000 | 0.000 | 11.645 | 0.000 |
| 0.000 | 0.000 | 0.000 | 0.000 | 0.000 | 11.645 |
| 77.314 | 64.331 | 64.331 | -0.000 | -0.000 | 0.000 |
| 64.331 | 77.314 | 64.331 | -0.000 | 0.000 | -0.000 |
| 64.331 | 64.331 | 77.314 | -0.000 | 0.000 | 0.000 |
| -0.000 | -0.000 | -0.000 | 11.645 | 0.000 | 0.000 |
| -0.000 | -0.000 | -0.000 | 0.000 | 11.645 | 0.000 |
| -0.000 | -0.000 | -0.000 | -0.000 | 0.000 | 11.645 |
| 65.814 | 59.370 | 59.370 | 0.000 | -0.000 | 0.000 |
| 59.370 | 65.814 | 59.370 | 0.000 | -0.000 | 0.000 |
| 59.370 | 59.370 | 65.814 | 0.000 | -0.000 | 0.000 |
| 0.013 | 0.013 | 0.013 | 5.490 | -0.000 | 0.000 |
| 0.013 | 0.013 | 0.013 | 0.000 | 5.490 | 0.000 |
| 0.013 | 0.013 | 0.013 | 0.000 | -0.000 | 5.490 |
| 61.448 | 62.338 | 62.338 | -0.000 | 0.000 | -0.000 |
| 62.338 | 61.448 | 62.338 | -0.000 | 0.000 | -0.000 |
| 62.338 | 62.338 | 61.448 | -0.000 | 0.000 | -0.000 |
| -0.013 | -0.013 | -0.013 | 5.490 | 0.000 | -0.000 |
| -0.013 | -0.013 | -0.013 | -0.000 | 5.490 | -0.000 |
| -0.013 | -0.013 | -0.013 | -0.000 | 0.000 | 5.490 |
| 78.978 | 46.559 | 62.297 | 0.000 | 0.000 | 0.000 |
| 46.535 | 120.966 | 72.285 | -0.000 | 0.000 | -0.000 |
| 62.265 | 72.278 | 73.693 | -0.000 | -0.000 | 0.000 |
| -0.166 | -0.144 | -0.048 | 0.558 | 0.000 | -0.000 |
| -0.035 | -0.031 | -0.010 | 0.000 | 17.951 | -0.000 |
| -0.171 | -0.149 | -0.050 | -0.000 | 0.000 | -1.695 |
| 79.048 | 46.620 | 62.317 | -0.000 | -0.000 | 0.000 |
| 46.604 | 121.027 | 72.306 | 0.000 | -0.000 | 0.000 |
| 62.335 | 72.338 | 73.713 | -0.000 | -0.000 | -0.000 |
| 0.166 | 0.144 | 0.048 | 0.558 | 0.000 | 0.000 |
| 0.035 | 0.031 | 0.010 | -0.000 | 17.951 | 0.000 |
| 0.171 | 0.149 | 0.050 | -0.000 | 0.000 | -1.695 |
| 79.010 | 46.586 | 62.306 | -0.000 | -0.000 | -0.000 |
| 46.566 | 120.993 | 72.294 | -0.000 | 0.000 | -0.000 |
| 63.437 | 73.296 | 74.035 | -0.000 | 0.000 | -0.000 |
| -0.017 | -0.014 | -0.005 | 0.553 | 0.000 | -0.000 |
| -0.004 | -0.003 | -0.001 | -0.000 | 17.951 | -0.000 |
| -0.017 | -0.015 | -0.005 | -0.000 | -0.000 | -1.695 |
| 82.906 | 49.971 | 63.444 | -0.000 | 0.000 | 0.000 |
| 46.573 | 121.000 | 72.297 | -0.000 | 0.000 | -0.000 |
| 63.437 | 73.296 | 74.036 | -0.000 | 0.000 | -0.000 |
| 0.017 | 0.014 | 0.005 | 0.553 | -0.000 | 0.000 |
| 0.004 | 0.003 | 0.001 | -0.000 | 17.951 | 0.000 |
| 0.017 | 0.015 | 0.005 | 0.000 | -0.000 | -1.695 |
| 79.013 | 46.589 | 62.307 | 0.000 | 0.000 | -0.000 |
| 46.569 | 120.996 | 72.295 | 0.000 | -0.000 | 0.000 |
| 62.299 | 72.307 | 73.702 | -0.000 | -0.000 | 0.000 |
| -0.002 | -0.001 | -0.001 | 0.553 | -0.000 | 0.000 |
| -0.000 | -0.000 | 0.000 | 0.000 | 17.951 | 0.000 |
| -0.001 | -0.001 | -0.000 | 0.000 | 0.000 | -1.695 |
| 79.013 | 46.590 | 62.307 | -0.000 | 0.000 | -0.000 |
| 46.570 | 120.997 | 72.296 | -0.000 | 0.000 | -0.000 |
| 62.300 | 72.309 | 73.704 | 0.000 | 0.000 | 0.000 |
| 0.002 | 0.001 | 0.001 | 0.553 | -0.000 | 0.000 |
| 0.000 | 0.000 | -0.000 | -0.000 | 17.951 | -0.000 |
| 0.001 | 0.001 | 0.000 | -0.000 | -0.000 | -1.695 |
| 125.261 | -9.043 | 49.057 | 0.000 | -0.000 | 0.000 |
| 220.332 | -87.592 | 74.727 | 0.000 | -0.000 | 0.000 |
| 98.366 | -12.960 | 57.082 | -0.000 | 0.000 | -0.000 |
| 62.273 | -49.169 | 13.399 | 2.399 | 0.000 | 0.000 |
| 62.273 | -49.169 | 13.399 | 0.000 | 2.509 | 0.000 |
| 179.926 | -142.064 | 38.731 | 0.000 | 0.000 | 6.817 |
| -86.772 | 158.372 | 3.425 | -0.000 | -0.000 | -0.000 |
| -70.857 | 142.321 | 12.052 | 0.000 | -0.000 | -0.000 |
| -113.611 | 154.411 | 11.462 | -0.000 | -0.000 | -0.000 |
| -62.273 | 49.169 | -13.399 | 2.399 | 0.000 | -0.000 |
| -62.273 | 49.169 | -13.399 | -0.000 | 2.509 | 0.000 |
| -179.926 | 142.064 | -38.731 | -0.000 | -0.000 | 6.817 |
| 69.215 | 35.209 | 36.998 | -0.000 | 0.000 | 0.000 |
| 40.290 | 54.563 | 35.971 | -0.000 | 0.000 | 0.000 |
| 36.103 | 36.201 | 43.686 | 0.000 | -0.000 | 0.000 |
| 6.227 | -4.917 | 1.340 | 2.399 | 0.000 | 0.000 |
| 14.969 | -11.819 | 3.222 | 0.000 | 2.509 | -0.000 |
| 0.000 | 0.000 | -0.000 | 0.000 | 0.000 | 6.917 |
| 47.948 | 52.002 | 32.421 | -0.000 | -0.000 | -0.000 |
| 29.240 | 63.288 | 33.593 | -0.000 | 0.000 | -0.000 |
| 24.962 | 44.998 | 41.288 | -0.000 | 0.000 | -0.000 |
| 0.000 | -0.000 | -0.000 | 2.399 | 0.000 | -0.000 |
| -14.969 | 11.819 | -3.222 | 0.000 | 2.509 | -0.000 |
| -0.000 | -0.000 | 0.000 | -0.000 | -0.000 | 6.917 |
| 64.060 | 39.279 | 35.889 | 0.000 | 0.000 | 0.000 |
| 42.458 | 52.851 | 36.437 | 0.000 | 0.000 | 0.000 |
| 37.196 | 35.338 | 43.921 | 0.000 | 0.000 | 0.000 |
| 1.799 | -1.421 | 0.387 | 2.399 | -0.000 | 0.000 |
| 2.224 | -1.756 | 0.479 | 0.000 | 2.509 | 0.000 |
| 1.497 | -1.182 | 0.322 | 0.000 | 0.000 | 6.833 |
| 61.420 | 41.365 | 35.321 | -0.000 | -0.000 | 0.000 |
| 38.890 | 55.668 | 35.670 | -0.000 | -0.000 | -0.000 |
| 34.972 | 37.095 | 43.443 | -0.000 | 0.000 | 0.000 |
| -1.112 | 0.878 | -0.239 | 2.399 | 0.000 | -0.000 |
| -2.224 | 1.756 | -0.479 | 0.000 | 2.509 | -0.000 |
| -1.497 | 1.182 | -0.322 | -0.000 | -0.000 | 6.833 |
| 95.699 | 72.703 | 82.044 | -13.180 | -0.000 | -0.000 |
| 72.703 | 95.699 | 82.044 | 13.180 | -0.000 | 0.000 |
| 82.044 | 82.044 | 86.419 | -0.000 | 0.000 | 0.000 |
| -13.180 | 13.180 | 0.000 | 20.815 | 0.000 | -0.000 |
| 0.000 | -0.000 | 0.000 | -0.000 | 20.815 | -13.180 |
| -0.000 | -0.000 | -0.000 | -0.000 | -13.180 | 11.498 |
| 95.699 | 72.703 | 82.044 | -13.180 | 0.000 | -0.000 |
| 72.703 | 95.699 | 82.044 | 13.180 | -0.000 | -0.000 |
| 82.044 | 82.044 | 86.419 | 0.000 | -0.000 | -0.000 |
| -13.180 | 13.180 | -0.000 | 20.815 | 0.000 | -0.000 |
| -0.000 | 0.000 | -0.000 | 0.000 | 20.815 | -13.180 |
| 0.000 | 0.000 | 0.000 | 0.000 | -13.180 | 11.498 |
| 95.699 | 72.703 | 82.044 | -13.180 | 0.000 | 0.000 |
| 72.703 | 95.699 | 82.044 | 13.180 | 0.000 | -0.000 |
| 82.044 | 82.044 | 86.419 | -0.000 | 0.000 | -0.000 |
| -13.180 | 13.180 | 0.000 | 20.815 | -0.000 | 0.000 |
| -0.000 | -0.000 | 0.000 | -0.000 | 20.815 | -13.180 |
| -0.000 | -0.000 | -0.000 | -0.000 | -13.180 | 11.498 |
| 95.699 | 72.703 | 82.044 | -13.180 | 0.000 | -0.000 |
| 72.703 | 95.699 | 82.044 | 13.180 | -0.000 | 0.000 |
| 82.044 | 82.044 | 86.420 | 0.000 | -0.000 | 0.000 |
| -13.180 | 13.180 | -0.000 | 20.815 | -0.000 | -0.000 |
| 0.000 | 0.000 | -0.000 | 0.000 | 20.815 | -13.180 |
| 0.000 | 0.000 | 0.000 | 0.000 | -13.180 | 11.498 |
| 95.698 | 72.703 | 82.044 | -13.180 | -0.000 | -0.000 |
| 72.703 | 95.698 | 82.044 | 13.180 | 0.000 | 0.000 |
| 82.044 | 82.044 | 86.419 | -0.000 | -0.000 | -0.000 |
| -13.180 | 13.180 | 0.000 | 20.815 | 0.000 | 0.000 |
| -0.000 | -0.000 | 0.000 | -0.000 | 20.815 | -13.180 |
| -0.000 | -0.000 | -0.000 | -0.000 | -13.180 | 11.498 |
| 95.699 | 72.704 | 82.044 | -13.180 | 0.000 | -0.000 |
| 72.704 | 95.699 | 82.044 | 13.180 | 0.000 | -0.000 |
| 82.045 | 82.045 | 86.420 | 0.000 | -0.000 | -0.000 |
| -13.180 | 13.180 | -0.000 | 20.815 | -0.000 | 0.000 |
| 0.000 | 0.000 | -0.000 | 0.000 | 20.815 | -13.180 |
| 0.000 | 0.000 | 0.000 | 0.000 | -13.180 | 11.498 |
Phonon band structures and crystal properties estimated from quasi-harmonic approximation (QHA) calculations are displayed for select crystals. The calculations were performed using phonopy and LAMMPS. For the phonon calculations, 3x3 supercells of the potential-specific relaxed crystals were used. The QHA calculations were based on 11 strain states ranging from -0.05 to 0.05.
The calculation method used is available as the iprPy phonon calculation method.
Notes and Disclaimers:
Version Information:


























































































Static free surface formation energies are displayed for select crystals. The values displayed here are obtained by taking a perfect periodic bulk crystal, slicing along a crystallographic plane, and using force minimization to statically relax the surfaces. The free surface formation energy is computed by comparing the energy of the defect system to the bulk system and dividing by the total surface area created by the cut.
The calculation method used is available as the iprPy surface_energy_static calculation method.
Notes and Disclaimers:
Version Information:
| Surface | γfs (mJ/m2) |
|---|---|
| (111) | 1180.80 |
| (100) | 1287.90 |
| (332) | 1296.85 |
| (322) | 1308.63 |
| (221) | 1346.41 |
| (211) | 1368.37 |
| (331) | 1385.45 |
| (311) | 1406.44 |
| (110) | 1412.32 |
| (321) | 1433.18 |
| (310) | 1451.57 |
| (320) | 1470.12 |
| (210) | 1479.56 |
| Surface | γfs (mJ/m2) |
|---|---|
| (322) | 994.30 |
| (211) 2 | 1096.66 |
| (211) 1 | 1138.60 |
| (332) 2 | 1144.11 |
| (210) | 1154.81 |
| (332) 1 | 1158.16 |
| (221) | 1159.08 |
| (321) 2 | 1161.40 |
| (331) | 1165.36 |
| (321) 1 | 1170.56 |
| (111) | 1175.78 |
| (311) | 1176.97 |
| (310) | 1181.76 |
| (320) | 1197.17 |
| (100) | 1223.34 |
| (110) | 1263.48 |
| Surface | γfs (mJ/m2) |
|---|---|
| (321) | 718.84 |
| (211) | 729.16 |
| (110) | 1195.04 |
| (332) | 1206.25 |
| (320) | 1275.48 |
| (210) | 1307.02 |
| (310) | 1307.40 |
| (331) | 1347.53 |
| (100) | 1361.02 |
| (221) | 1398.51 |
| (311) | 1403.04 |
| (322) | 1420.18 |
| (111) | 1457.82 |
| Surface | γfs (mJ/m2) |
|---|---|
| (0001) | 1175.95 |
| (1012) 2 | 1247.11 |
| (2021) 1 | 1282.59 |
| (1011) 1 | 1290.85 |
| (2021) 2 | 1370.19 |
| (1120) | 1408.25 |
| (2131) 1 | 1422.28 |
| (1010) | 1429.61 |
| (2132) 2 | 1434.20 |
| (2241) | 1435.33 |
| (2132) 1 | 1442.04 |
| (1012) 1 | 1448.60 |
| (1011) 2 | 1452.14 |
| (1121) | 1454.02 |
| (2130) | 1465.23 |
| (2112) | 1467.90 |
| (2131) 2 | 1490.36 |
| Surface | γfs (mJ/m2) |
|---|---|
| (111) | 601.80 |
| (100) | 608.88 |
| (322) | 626.69 |
| (332) | 631.46 |
| (211) | 641.18 |
| (311) | 645.52 |
| (221) | 646.78 |
| (310) | 652.15 |
| (331) | 662.22 |
| (110) | 669.90 |
| (321) | 670.85 |
| (210) | 677.24 |
| (320) | 679.86 |
| Surface | γfs (mJ/m2) |
|---|---|
| (332) 1 | -968.58 |
| (332) 2 | -875.26 |
| (221) | -814.38 |
| (331) | -800.98 |
| (322) | -697.22 |
| (321) 1 | -485.63 |
| (311) | -478.94 |
| (320) | -457.82 |
| (321) 2 | -449.52 |
| (310) | -353.90 |
| (211) 1 | -77.36 |
| (211) 2 | -73.40 |
| (210) | -67.40 |
| (111) | 75.82 |
| (110) | 203.72 |
| (100) | 309.36 |
| Surface | γfs (mJ/m2) |
|---|---|
| (332) | 140.46 |
| (331) | 334.43 |
| (221) | 491.90 |
| (111) | 581.45 |
| (110) | 606.77 |
| (320) | 610.97 |
| (211) | 615.00 |
| (321) | 626.68 |
| (310) | 653.48 |
| (210) | 656.05 |
| (311) | 658.78 |
| (322) | 665.42 |
| (100) | 700.93 |
| Surface | γfs (mJ/m2) |
|---|---|
| (1012) 2 | 586.92 |
| (0001) | 601.80 |
| (1011) 1 | 616.56 |
| (2021) 2 | 640.42 |
| (1011) 2 | 640.53 |
| (1120) | 653.04 |
| (1010) | 658.53 |
| (2132) 2 | 659.62 |
| (1012) 1 | 660.19 |
| (2241) | 662.36 |
| (2131) 1 | 663.47 |
| (1121) | 668.78 |
| (2132) 1 | 670.40 |
| (2130) | 673.09 |
| (2112) | 673.84 |
| (2131) 2 | 673.97 |
| Surface | γfs (mJ/m2) |
|---|---|
| (1011) 2 | 581.09 |
| (0001) | 601.80 |
| (2021) 1 | 612.44 |
| (1010) 1 | 628.56 |
| (1012) 1 | 634.76 |
| (1120) | 646.66 |
| (2021) 2 | 650.06 |
| (2112) | 650.16 |
| (2132) 1 | 655.12 |
| (2131) 2 | 656.01 |
| (2132) 2 | 657.26 |
| (2130) 1 | 659.21 |
| (2241) | 663.78 |
| (1012) 2 | 663.83 |
| (1121) | 670.53 |
| (2131) 1 | 678.93 |
| (2130) 2 | 681.81 |
| (1010) 2 | 699.38 |
| (1011) 1 | 735.94 |
| Surface | γfs (mJ/m2) |
|---|---|
| (332) | -3024.52 |
| (322) | -2257.58 |
| (311) | -1875.57 |
| (331) | -1872.42 |
| (321) | -1856.05 |
| (320) | -1549.33 |
| (221) | -1343.93 |
| (211) | -956.48 |
| (310) | -716.97 |
| (210) | -143.23 |
| (100) | 588.77 |
| (111) | 641.54 |
| (110) | 683.66 |
Static point defect formation energies, Ef, and elastic dipole tensors, pij, are displayed for select crystals. Relaxed defect configurations are obtained by taking a 12x12x12 supercell of a perfect periodic bulk crystal, inserting the point defect, and using force minimization to statically relax the atomic positions while keeping the system dimensions constant. Ef is computed by comparing the energy of the defect system to the same number of atoms in a perfect bulk crystal. pij is estimated as the difference in the system's global pressure with and without the defect multiplied by the system's volume.
Simple structural comparisons of the unrelaxed and relaxed defect configurations are used to help determine if the defect structure has relaxed to a different configuration. Relaxed structures that are identified as no longer consistent with the ideal defect definition are excluded from the table below. The only exception to this is if the lowest energy interstitial configuration does not coincide with a known ideal defect, its energies and pressure tensor are included under the listing "relaxed interstitial". The full list of calculation results including the transformed structures and the structural comparison values is included in the csv file available from the "Download raw data" link.
The calculation method used is available as the iprPy point_defect_static calculation method.
Notes and Disclaimers:
| Point Defect | Ef (eV) | p11 (eV) | p22 (eV) | p33 (eV) | p12 (eV) | p13 (eV) | p23 (eV) |
|---|---|---|---|---|---|---|---|
| vacancy | 1.284 | -2.712 | -2.712 | -2.712 | -0.000 | -0.000 | 0.000 |
| 1nn divacancy | 2.410 | -6.190 | -5.140 | -5.140 | 0.000 | -0.000 | -0.006 |
| 2nn divacancy | 2.549 | -5.649 | -5.649 | -5.615 | 0.000 | 0.000 | 0.000 |
| 100 dumbbell | 2.861 | 17.904 | 17.904 | 17.479 | -0.000 | 0.000 | 0.000 |
| octahedral interstitial | 3.039 | 18.176 | 18.176 | 18.176 | 0.000 | 0.000 | 0.000 |
| 110 dumbbell | 3.050 | 20.469 | 16.811 | 16.811 | 0.000 | 0.000 | 9.235 |
| tetrahedral interstitial | 3.241 | 18.210 | 18.210 | 18.210 | 0.000 | -0.000 | -0.000 |
| Point Defect | Ef (eV) | p11 (eV) | p22 (eV) | p33 (eV) | p12 (eV) | p13 (eV) | p23 (eV) |
|---|---|---|---|---|---|---|---|
| relaxed interstitial | -31.674 | 77.735 | 77.735 | 113.288 | 296.530 | 261.061 | 261.061 |
| vacancy | 0.916 | -5.998 | -5.998 | -5.998 | 0.000 | 0.000 | 0.000 |
| crowdion interstitial | 1.862 | 15.769 | 15.769 | 15.769 | 5.985 | 5.985 | 5.985 |
| 111 dumbbell | 1.863 | 15.631 | 15.631 | 15.631 | 5.912 | 5.912 | 5.912 |
| 1nn divacancy | 1.943 | -9.453 | -9.453 | -9.453 | 1.413 | 1.413 | 1.413 |
| Point Defect | Ef (eV) | p11 (eV) | p22 (eV) | p33 (eV) | p12 (eV) | p13 (eV) | p23 (eV) |
|---|---|---|---|---|---|---|---|
| vacancy | 0.310 | -6.031 | -6.031 | -6.031 | 0.000 | 0.000 | 0.000 |
| 2nn divacancy | 0.726 | -11.642 | -11.642 | -11.875 | -0.000 | -0.000 | -0.000 |
| 1nn divacancy | 0.730 | -11.320 | -11.154 | -11.154 | -0.000 | -0.000 | -0.216 |
| relaxed interstitial | 1.190 | 14.275 | 14.275 | 14.061 | -1.365 | -0.171 | -0.171 |
| octahedral interstitial | 1.321 | 16.194 | 16.194 | 16.194 | -0.000 | -0.000 | -0.000 |
| Point Defect | Ef (eV) | p11 (eV) | p22 (eV) | p33 (eV) | p12 (eV) | p13 (eV) | p23 (eV) |
|---|---|---|---|---|---|---|---|
| vacancy | 0.416 | -6.306 | -6.306 | -6.306 | -0.000 | -0.000 | -0.000 |
| 2nn divacancy | 0.736 | -8.077 | -8.077 | -10.758 | -0.000 | 0.000 | -0.000 |
| 1nn divacancy | 0.927 | -9.843 | -9.843 | -9.843 | 0.934 | 0.934 | 0.934 |
| 111 dumbbell | 1.575 | 35.150 | 35.150 | 35.150 | 3.675 | 3.675 | 3.675 |
| 110 dumbbell | 1.745 | 31.351 | 32.915 | 32.915 | -0.000 | -0.000 | 2.568 |
| octahedral interstitial | 8.381 | 12.242 | 13.415 | 13.415 | -0.000 | 0.000 | -0.000 |
| tetrahedral interstitial | 9.168 | 15.504 | 10.331 | 15.504 | 0.000 | -0.000 | 0.000 |
| Point Defect | Ef (eV) | p11 (eV) | p22 (eV) | p33 (eV) | p12 (eV) | p13 (eV) | p23 (eV) |
|---|---|---|---|---|---|---|---|
| vacancy | 0.309 | -6.033 | -6.033 | -6.042 | -0.000 | 0.000 | -0.000 |
| relaxed interstitial | 1.220 | 14.467 | 16.007 | 16.240 | -0.000 | 0.000 | 0.029 |
Plots of the atomic structure of dislocation cores are shown here. The dislocations were constructed using dislocation monopole configurations in which a straight dislocation is created in the center of the system using anisotropic elasticity and the elastic constants computed above. A cylindrical region centered around the dislocation is allowed to relax while the remaining atoms are held fixed. The relaxation consists of 1 million NVT steps at 10 K followed by an energy/force minimization. The final plots show the atomic configuration near the center of the monopole system, and display differential displacement arrows and Nye tensor color maps that are both taken with respect to the Burgers vector direction.
These plots show a wide range of final structures, some corresponding to expected dislocation structures and others not. While the characterizations are dislocation-type dependent, some general classification guidelines are listed here.
The calculation method used is available as the iprPy dislocation_monopole calculation method.
Links are provided above the images allowing for users to download the final defect configuration and a corresponding defect-free configuration if they wish to further analyze the structures or use them for subsequent simulations.
Notes and Disclaimers:
Version Information:
Plots of lattice and elastic constants are shown as a function of temperature. The 0K points were taken from the Crystal Structure Predictions and the Elastic Constants Predictions sections above for the unique crystal structures relaxed with the "dynamic" method. Starting from the 0 K relaxed crystal unit cells, supercell systems are created by replicating all three dimensions by the same multiplier to achieve at least 4000 atoms. The systems are then relaxed at 50 K and zero pressure using 1 million NPT steps. Lattice constants are estimated by averaging the measured box dimensions. Temperatures are iteratively increased by 50 K, with each subsequent relaxation calculation starting from the final atomic configuration at the previous temperature and relaxing for another 1 million steps.
The elastic constants are calculated using the deformation–fluctuation hybrid method. Starting from the final atomic configurations of the dynamic relaxations, the system is allowed to evolve at constant volume with a Langevin thermostat. The Born matrix is computed during this run by evaluating how the atomic forces would vary due to applied linear strain fields. The elastic constants can then be estimated using the averaged Born matrix values and the averaged stresses on the system.
The calculation methods used are available as the iprPy relax_dynamic and elastic_constants_dynamic calculation methods.
Clicking on the image of a plot will open an interactive version of it in a new tab. The underlying data for the plots can be downloaded by clicking on the links above each plot.
Notes and Disclaimers:
Version Information:
Plots of radial distribution functions at different temperatures and the temperature-dependent diffusion and viscosity are shown here for elemental liquids. Melt phases are constructed by starting with a 10x10x10 fcc super cell and relaxing with 50,000 NPT steps at zero pressure and a high melting temperature (3000 K for most potentials and elements). Following the melt, liquid structures are relaxed by running NPT for 10,000 steps over which the temperature is dropped by 50 K, then 50,000 NPT at the target temperature to estimate the equilibrium volume, followed by 20,000 NVT steps at the averaged equilibrium volume and target temperature. Structures from the NVT run are sampled to compute the radial distribution function of the liquid at the corresponding temperature.
The final relaxed configurations at each temperature explored are used as the initial configurations for the diffusion and viscosity calculations. For diffusion, the system is integrated for 100 runs of 2,000 NVT steps during which both the mean squared displacement (MSD) and the velocity auto correlation function (VACF) are computed. From these simulations, three estimates of diffusion are computed: one from the MSD of the full 200,000 step run, one in which the MSD is reset for each short run and then averaged, and one from the VACF computed for each short run and averaged. For viscosity, the Green-Kubo method is used which is evaluated during a 1 million step NVT run.
The calculation methods used are available as the iprPy relax_liquid_redo, diffusion_liquid, and viscosity_green_kubo calculation methods.
Clicking on the image of a plot will open an interactive version of it in a new tab. The underlying data for the plots can be downloaded by clicking on the links above each plot.
Notes and Disclaimers:
Version Information:
Plots of internal energy, Gibbs free energy, entropy, heat capacity and volume are shown here as a function of temperature for various crystal structures and liquid phases. The included crystal structures correspond to those in the Solid Structures vs. Temperature section, and the liquid phases to those in the Liquid Properties section. Internal energy and volume are taken from the associated structure relaxations mentioned in those previous sections. Constant pressure heat capacity is estimated using 3-point numerical derivatives of enthalpy versus temperature. Note that since all simulations done here are at 0 pressure, internal energy and enthalpy are equivalent.
The Gibbs energies of the phases are estimated using thermodynamic integration between the interatomic potential in question and a simpler model with known Gibbs free energy values. For solids, the reference model is an Einstein solid, while for liquids it is the Uhlenbeck-Ford potential. Besides a short run at the start of the solid calculations to estimate Einstein model spring constants, the two calculations proceed similarly. Starting with the final relaxation configurations, the systems are stabilized for 25,000 steps. Then, over the next 50,000 steps the potential is swapped out for the reference potential. The system is then stabilized for another 25,000 steps with the reference model before a reverse swap of 50,000 steps is performed. The simulation ends with one final 25,000 step stabilization period. From the simulation, the irreversible work of transformation is estimated and used to compute the absolute Gibbs free energy of the target phase and potential relative to the reference potential. Entropy is estimated as the difference in enthalpy and Gibbs free energy and divided by temperature.
The calculation methods used are available as the iprPy relax_dynamic, relax_liquid_redo, free_energy, and free_energy_liquid calculation methods.
Clicking on the image of a plot will open an interactive version of it in a new tab. The underlying data for the plots can be downloaded by clicking on the links above each plot.
Notes and Disclaimers:
Version Information:






