Plots of the potential energy vs interatomic spacing, r, are shown below for all diatom sets associated with the interatomic potential. This calculation provides insights into the functional form of the potential's two-body interactions. A system consisting of only two atoms is created, and the potential energy is evaluated for the atoms separated by 0.02 Å <= r <= 6.0> Å in intervals of 0.02 Å. Two plots are shown: one for the "standard" interaction distance range, and one for small values of r. The small r plot is useful for determining whether the potential is suitable for radiation studies.
The calculation method used is available as the iprPy diatom_scan calculation method.
Clicking on the image of a plot will open an interactive version of it in a new tab. The underlying data for the plots can be downloaded by clicking on the links above each plot.
Notes and Disclaimers:
Version Information:
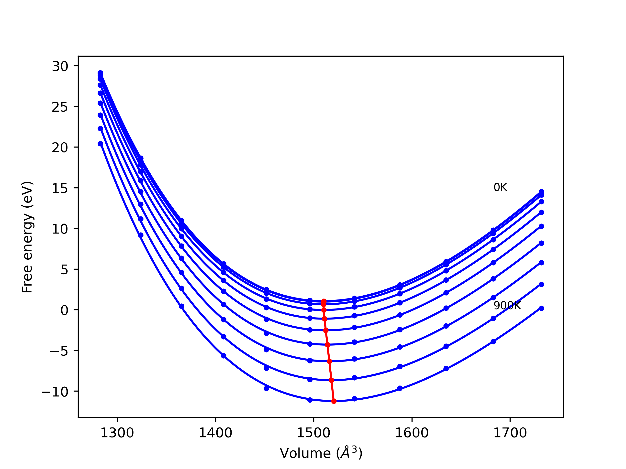
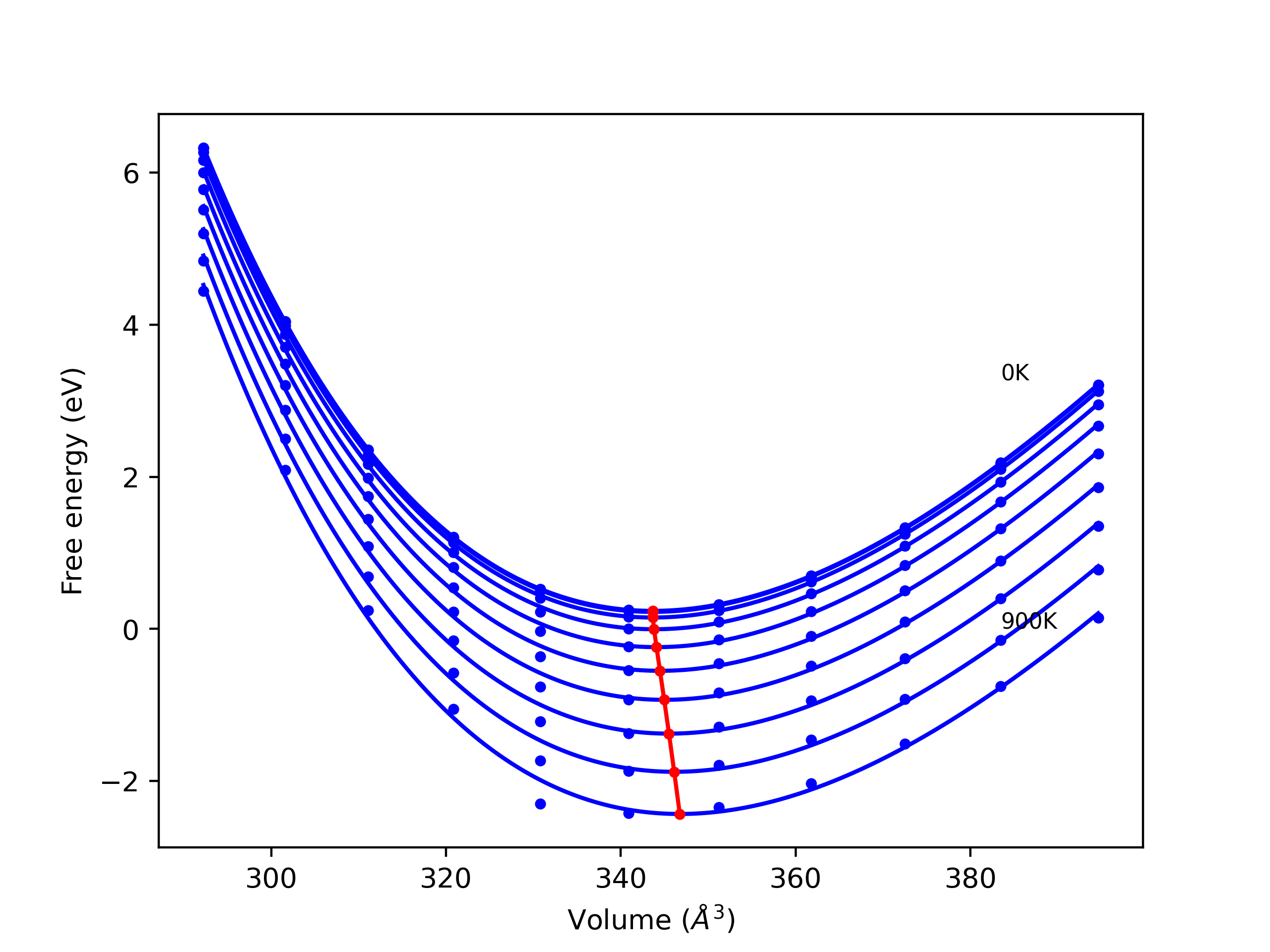
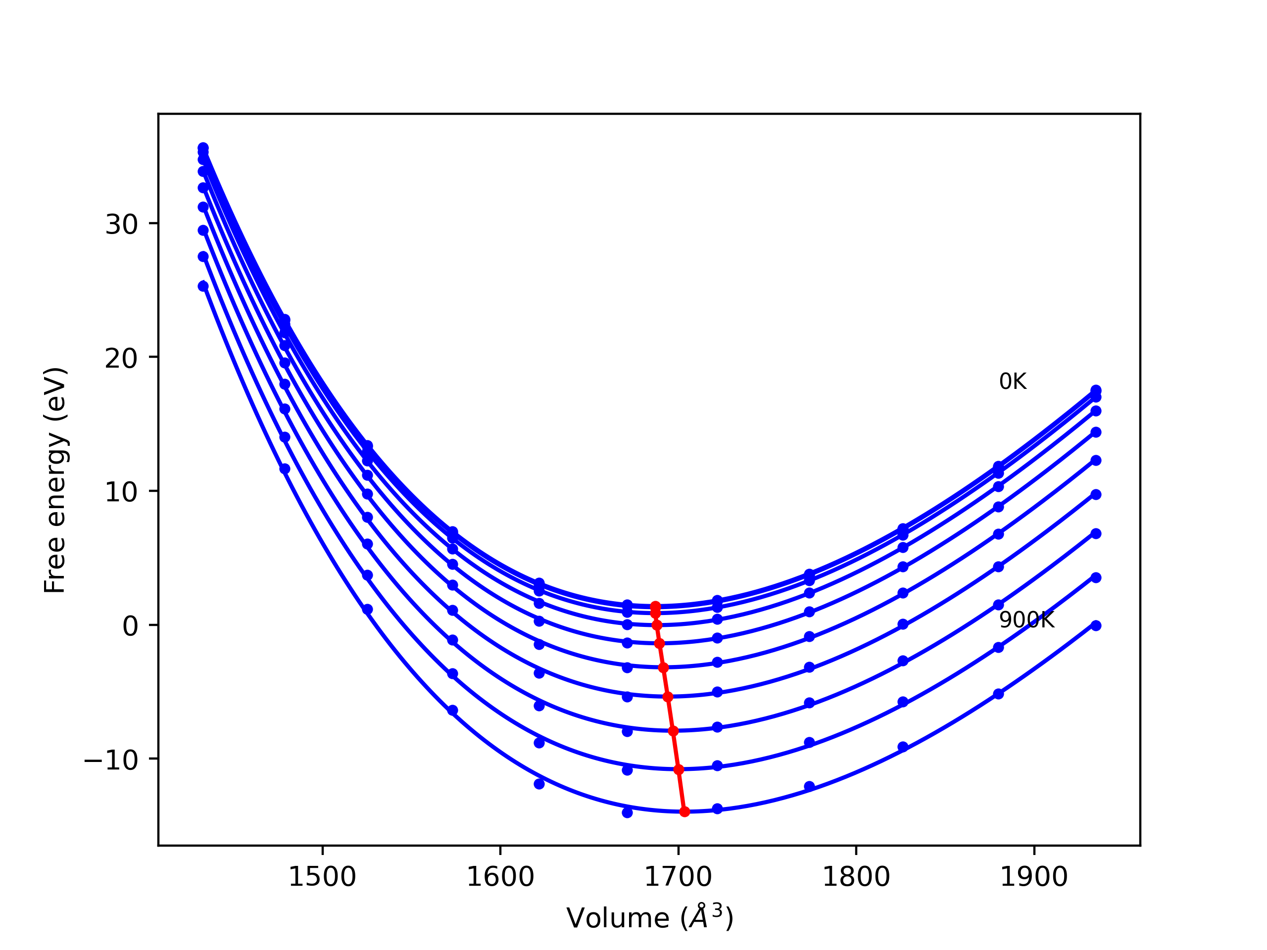
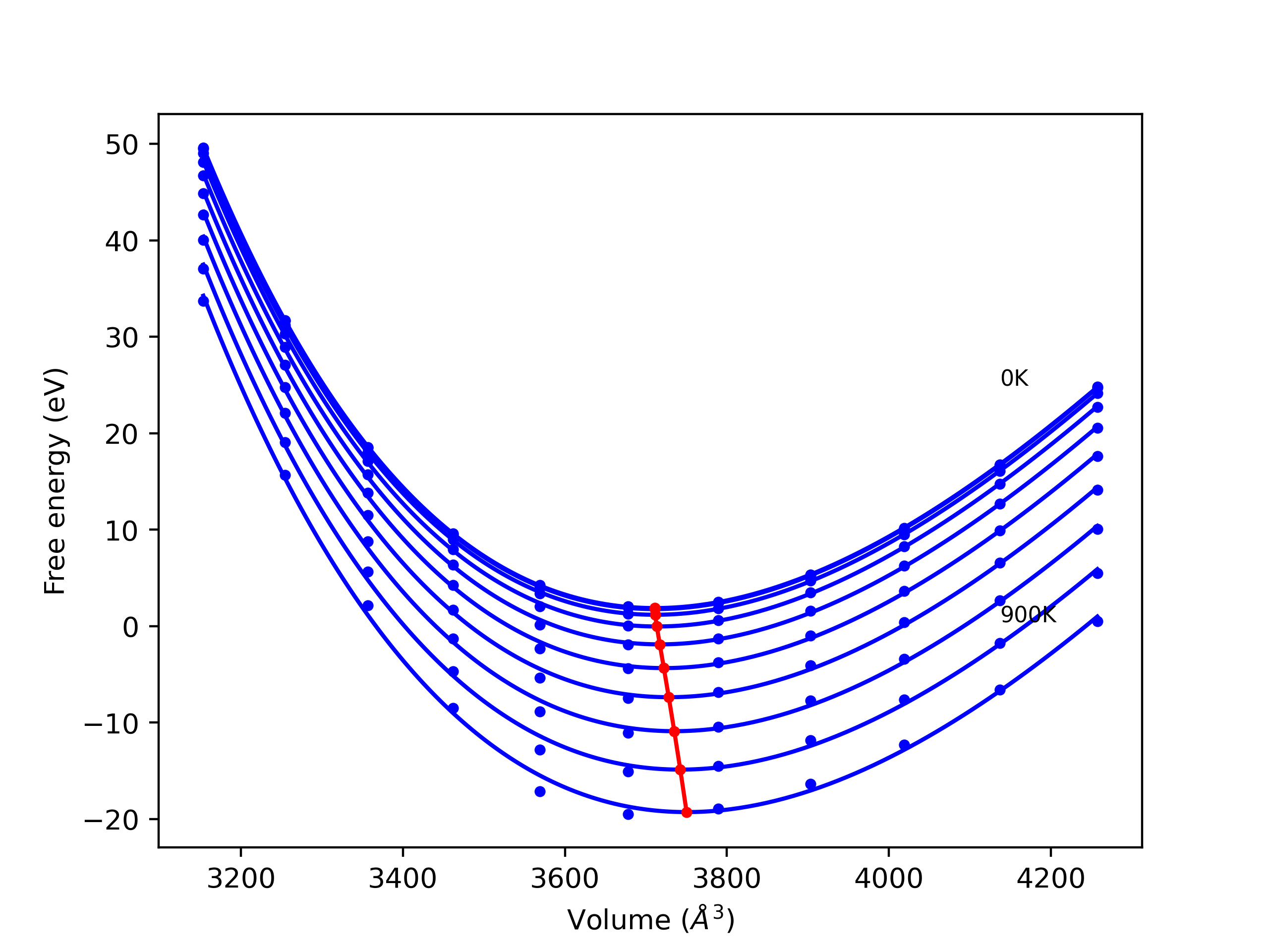
Plots of potential energy vs interatomic spacing, r, are shown below for a number of crystal structures. The structures are generated based on the ideal atomic positions and b/a and c/a lattice parameter ratios for a given crystal prototype. The size of the system is then uniformly scaled, and the energy calculated without relaxing the system. To obtain these plots, values of r are evaluated every 0.02 Å up to 6 Å.
The calculation method used is available as the iprPy E_vs_r_scan calculation method.
Clicking on the image of a plot will open an interactive version of it in a new tab. The underlying data for the plots can be downloaded by clicking on the links above each plot.
Notes and Disclaimers:
Version Information:
Computed lattice constants and cohesive/potential energies are displayed for a variety of crystal structures. The values displayed here are obtained using the following process.
The calculation methods used are implemented into iprPy as the following calculation styles
Notes and Disclaimers:
Version Information:
Download raw data (including filtered results)
Reference structure matches:
A1--Cu--fcc = oqmd-1214552
A15--beta-W = oqmd-1214997
A2--W--bcc = oqmd-1215175
A3'--alpha-La--double-hcp = oqmd-1215443
A3--Mg--hcp = oqmd-1215353
A4--C--dc = mp-1057818, oqmd-1215532
A5--beta-Sn = oqmd-1215621
A6--In--bct = oqmd-1215710
A7--alpha-As = mp-610917, oqmd-8088, oqmd-36776, oqmd-114513, oqmd-1215799
| prototype | method | Ecoh (eV/atom) | Epot (eV/atom) | a0 (Å) | b0 (Å) | c0 (Å) | α (degrees) | β (degrees) | γ (degrees) | 
|---|---|---|---|---|---|---|---|---|---|
| A2--W--bcc | dynamic | 0.0 | 0.0 | 6.3509 | 6.3509 | 6.3509 | 90.0 | 90.0 | 90.0 | 
| oqmd-1214641 | dynamic | 0.0 | 0.0 | 7.5365 | 7.5365 | 10.0924 | 90.0 | 90.0 | 120.0 | 
| mp-1023923 | dynamic | 0.0 | 0.0 | 33.1987 | 33.1987 | 15.672 | 90.0 | 90.0 | 120.0 | 
| Ah--alpha-Po--sc | dynamic | 0.0 | 0.0 | 5.5 | 5.5 | 5.5 | 90.0 | 90.0 | 90.0 | 
| mp-1087546 | dynamic | 0.0 | 0.0 | 16.8927 | 26.7254 | 136.4625 | 90.0 | 90.4 | 90.0 | 
| A1--Cu--fcc | dynamic | 0.0 | 0.0 | 7.7782 | 7.7782 | 7.7782 | 90.0 | 90.0 | 90.0 | 
| mp-1180050 | dynamic | 0.0 | 0.0 | 31.5525 | 13.7288 | 26.2534 | 90.0 | 120.5 | 90.0 | 
| A7--alpha-As | dynamic | 0.0 | 0.0 | 5.5009 | 5.5009 | 29.9711 | 90.0 | 90.0 | 120.0 | 
| mp-1058623 | dynamic | 0.0 | 0.0 | 8.5342 | 7.0807 | 8.9451 | 90.0 | 90.0 | 90.0 | 
| mp-560602 | dynamic | 0.0 | 0.0 | 43.5045 | 55.9374 | 60.2776 | 90.0 | 90.0 | 90.0 | 
| A6--In--bct | dynamic | 0.0 | 0.0 | 5.5 | 5.5 | 8.25 | 90.0 | 90.0 | 90.0 | 
| mp-1180008 | dynamic | 0.0 | 0.0 | 9.4618 | 54.1655 | 62.5743 | 84.1 | 86.2 | 86.4 | 
| mp-1102442 | dynamic | 0.0 | 0.0 | 58.5154 | 58.5154 | 6.0336 | 90.0 | 90.0 | 90.0 | 
| A15--beta-W | dynamic | 0.0 | 0.0 | 11.0 | 11.0 | 11.0 | 90.0 | 90.0 | 90.0 | 
| mp-12957 | dynamic | 0.0 | 0.0 | 11.0018 | 11.0784 | 237.5075 | 90.0 | 90.2 | 90.0 | 
| mp-1180064 | dynamic | 0.0 | 0.0 | 6.8495 | 59.1289 | 61.2199 | 87.6 | 87.4 | 87.1 | 
| mp-1180036 | dynamic | 0.0 | 0.0 | 105.0115 | 5.5003 | 13.307 | 90.0 | 91.2 | 90.0 | 
| A6--In--bct | dynamic | 0.0 | 0.0 | 5.5 | 5.5 | 8.5476 | 90.0 | 90.0 | 90.0 | 
| oqmd-6836 | static | 0.0 | 0.0 | 5.8108 | 9.34 | 31.4353 | 90.0 | 90.0 | 90.0 | 
| mp-1066100 | dynamic | 0.0 | 0.0 | 5.5 | 5.5 | 564.5217 | 90.0 | 90.0 | 120.0 | 
| mp-1056831 | dynamic | 0.0 | 0.0 | 5.5 | 7.4001 | 5.5104 | 90.0 | 111.1 | 90.0 | 
| mp-1065697 | dynamic | 0.0 | 0.0 | 5.5 | 5.5 | 6.8586 | 90.0 | 90.0 | 90.0 | 
| oqmd-20846 | static | 0.0 | 0.0 | 5.5 | 5.5 | 31.2205 | 90.0 | 90.0 | 120.0 | 
| A7--alpha-As | dynamic | 0.0 | 0.0 | 5.5 | 5.5 | 738.3669 | 90.0 | 90.0 | 120.0 | 
| oqmd-1215264 | dynamic | 0.0 | 0.0 | 5.5844 | 13.1902 | 7.7791 | 90.0 | 90.0 | 90.0 | 
| A4--C--dc | dynamic | 0.0 | 0.0 | 12.7017 | 12.7017 | 12.7017 | 90.0 | 90.0 | 90.0 | 
| mp-607540 | dynamic | 0.0 | 0.0 | 5.9719 | 9.2377 | 462.5813 | 90.0 | 90.0 | 90.0 | 
| A3'--alpha-La--double-hcp | dynamic | 0.0 | 0.0 | 6.2755 | 6.2755 | 16.5519 | 90.0 | 90.0 | 120.0 | 
| oqmd-114511 | dynamic | 0.0 | 0.0 | 9.4748 | 5.5882 | 9.7408 | 90.0 | 110.2 | 90.0 | 
| oqmd-1214908 | dynamic | 0.0 | 0.0 | 13.9052 | 13.9052 | 13.9052 | 90.0 | 90.0 | 90.0 | 
| oqmd-20846 | dynamic | 0.0 | 0.0 | 5.5006 | 5.5006 | 19.9809 | 90.0 | 90.0 | 120.0 | 
| oqmd-9092 | static | 0.0 | 0.0 | 25.1047 | 35.1721 | 26.227 | 90.0 | 90.0 | 90.0 | 
| mp-611836 | static | 0.0 | 0.0 | 14.93 | 5.5 | 13.5813 | 90.0 | 94.8 | 90.0 | 
| mp-1180064 | static | 0.0 | 0.0 | 10.19 | 22.861 | 23.2118 | 90.3 | 90.7 | 90.7 | 
| mp-1058623 | static | 0.0 | 0.0 | 5.5 | 9.7233 | 9.3613 | 90.0 | 90.0 | 90.0 | 
| mp-1180008 | static | 0.0 | 0.0 | 10.6873 | 21.1276 | 21.9586 | 90.0 | 88.9 | 88.3 | 
| mp-1066100 | static | 0.0 | 0.0 | 5.5 | 5.5 | 35.1993 | 90.0 | 90.0 | 120.0 | 
| oqmd-1214730 | static | 0.0 | 0.0 | 7.6667 | 7.8919 | 29.2686 | 90.0 | 90.0 | 90.0 | 
| mp-607540 | static | 0.0 | 0.0 | 6.1667 | 9.1089 | 34.8431 | 90.0 | 90.0 | 90.0 | 
| A15--beta-W | dynamic | 0.0 | 0.0 | 10.9998 | 10.9998 | 10.9998 | 90.0 | 90.0 | 90.0 | 
| oqmd-1215264 | static | 0.0 | 0.0 | 5.5 | 10.8349 | 10.5181 | 90.0 | 90.0 | 90.0 | 
| oqmd-1214641 | static | 0.0 | 0.0 | 7.6944 | 7.6944 | 9.728 | 90.0 | 90.0 | 120.0 | 
| mp-1009490 | static | 0.0 | 0.0 | 7.8845 | 7.6707 | 16.0176 | 90.0 | 99.0 | 90.0 | 
| mp-1087546 | static | 0.0 | 0.0 | 21.9608 | 17.9717 | 11.1797 | 90.0 | 118.4 | 90.0 | 
| oqmd-16142 | static | 0.0 | 0.0 | 5.4999 | 9.7674 | 5.7191 | 90.0 | 114.1 | 90.0 | 
| mp-1180036 | static | 0.0 | 0.0 | 13.8783 | 9.0059 | 8.5092 | 90.0 | 101.4 | 90.0 | 
| A4--C--dc | static | 0.0 | 0.0 | 12.7015 | 12.7015 | 12.7015 | 90.0 | 90.0 | 90.0 | 
| oqmd-1214908 | static | 0.0 | 0.0 | 21.1442 | 21.1442 | 21.1442 | 90.0 | 90.0 | 90.0 | 
| oqmd-20034 | static | 0.0 | 0.0 | 21.3195 | 13.7376 | 14.0372 | 90.0 | 101.2 | 90.0 | 
| A1--Cu--fcc | static | 0.0 | 0.0 | 7.7781 | 7.7781 | 7.7781 | 90.0 | 90.0 | 90.0 | 
| oqmd-114511 | static | 0.0 | 0.0 | 17.0869 | 5.5177 | 11.5668 | 90.0 | 132.4 | 90.0 | 
| mp-1102442 | static | 0.0 | 0.0 | 20.104 | 20.104 | 10.4603 | 90.0 | 90.0 | 90.0 | 
| mp-560602 | static | 0.0 | 0.0 | 27.5352 | 34.8447 | 29.3641 | 90.0 | 90.0 | 90.0 | 
| mp-12957 | static | 0.0 | 0.0 | 22.8766 | 15.7073 | 18.6667 | 90.0 | 109.5 | 90.0 | 
| oqmd-47818 | static | 0.0 | 0.0 | 9.5371 | 5.537 | 16.5175 | 90.0 | 91.8 | 90.0 | 
| A3'--alpha-La--double-hcp | static | 0.0 | 0.0 | 6.6649 | 6.6649 | 15.7183 | 90.0 | 90.0 | 120.0 | 
| mp-1180050 | static | 0.0 | 0.0 | 22.4262 | 19.9687 | 10.8274 | 90.0 | 95.3 | 90.0 | 
| A4--C--dc | static | 0.0 | 0.0 | 12.7012 | 12.7012 | 12.7012 | 90.0 | 90.0 | 90.0 | 
| A6--In--bct | static | 0.0 | 0.0 | 5.4998 | 5.4998 | 8.8278 | 90.0 | 90.0 | 90.0 | 
| oqmd-1215888 | static | 0.0 | 0.0 | 6.3989 | 6.3989 | 15.364 | 90.0 | 90.0 | 120.0 | 
| A2--W--bcc | static | 0.0 | 0.0 | 6.3505 | 6.3505 | 6.3505 | 90.0 | 90.0 | 90.0 | 
Download raw data (including filtered results)
Reference structure matches:
| prototype | method | Ecoh (eV/atom) | Epot (eV/atom) | a0 (Å) | b0 (Å) | c0 (Å) | α (degrees) | β (degrees) | γ (degrees) | 
|---|---|---|---|---|---|---|---|---|---|
| mp-1221354 | static | -7.0075 | -7.0075 | 17.3727 | 17.3906 | 24.5884 | 90.0 | 90.0 | 90.0 | 
| mp-1221354 | box | -6.9815 | -6.9815 | 17.1706 | 17.1716 | 24.3336 | 90.0 | 90.0 | 90.0 | 
Download raw data (including filtered results)
Reference structure matches:
| prototype | method | Ecoh (eV/atom) | Epot (eV/atom) | a0 (Å) | b0 (Å) | c0 (Å) | α (degrees) | β (degrees) | γ (degrees) | 
|---|---|---|---|---|---|---|---|---|---|
| mp-530027 | box | -5.7935 | -5.7935 | 13.321 | 13.321 | 11.7929 | 90.0 | 90.0 | 120.0 | 
| mp-1173536 | box | -3.1929 | -3.1929 | 13.9582 | 11.3939 | 16.8907 | 90.0 | 99.9 | 90.0 | 
Download raw data (including filtered results)
Reference structure matches:
| prototype | method | Ecoh (eV/atom) | Epot (eV/atom) | a0 (Å) | b0 (Å) | c0 (Å) | α (degrees) | β (degrees) | γ (degrees) | 
|---|---|---|---|---|---|---|---|---|---|
| mp-1199711 | static | -7.3621 | -7.3621 | 14.0541 | 14.2967 | 19.8664 | 90.0 | 105.6 | 90.0 | 
| mp-1199711 | box | -6.9118 | -6.9118 | 13.9746 | 14.026 | 18.9518 | 90.0 | 103.7 | 90.0 | 
Download raw data (including filtered results)
Reference structure matches:
C1--CaF2--fluorite = mp-10064
| prototype | method | Ecoh (eV/atom) | Epot (eV/atom) | a0 (Å) | b0 (Å) | c0 (Å) | α (degrees) | β (degrees) | γ (degrees) | 
|---|---|---|---|---|---|---|---|---|---|
| mp-6930 | dynamic | -7.6513 | -7.6513 | 5.0461 | 5.0461 | 5.3652 | 90.0 | 90.0 | 120.0 | 
| mp-7000 | static | -7.6513 | -7.6513 | 5.046 | 5.046 | 5.3651 | 90.0 | 90.0 | 120.0 | 
| mp-1258196 | static | -7.6425 | -7.6425 | 11.2762 | 13.8628 | 13.8655 | 120.0 | 90.0 | 90.0 | 
| mp-1258196 | box | -7.6402 | -7.6402 | 11.241 | 13.8397 | 13.8432 | 120.0 | 90.0 | 90.0 | 
| mp-7029 | dynamic | -7.6395 | -7.6395 | 4.9746 | 4.9746 | 6.7101 | 90.0 | 90.0 | 90.0 | 
| mp-558115 | static | -7.6364 | -7.6364 | 13.8429 | 13.8429 | 41.828 | 90.0 | 90.0 | 120.0 | 
| mp-1250639 | static | -7.6361 | -7.6361 | 13.9069 | 13.9069 | 41.138 | 90.0 | 90.0 | 60.0 | 
| mp-12787 | dynamic | -7.6359 | -7.6359 | 13.9313 | 5.0233 | 8.9906 | 90.0 | 129.8 | 90.0 | 
| mp-10851 | static | -7.6359 | -7.6359 | 5.1164 | 5.1164 | 5.4593 | 90.0 | 90.0 | 120.0 | 
| mp-7029 | box | -7.6349 | -7.6349 | 4.9849 | 4.9849 | 6.7962 | 90.0 | 90.0 | 90.0 | 
| mp-12787 | static | -7.6348 | -7.6348 | 13.856 | 4.9975 | 8.9109 | 90.0 | 129.7 | 90.0 | 
| mp-556961 | box | -7.634 | -7.634 | 6.7708 | 7.0236 | 7.0289 | 90.0 | 90.0 | 90.0 | 
| mp-6945 | box | -7.6337 | -7.6337 | 5.0006 | 5.0006 | 6.8356 | 90.0 | 90.0 | 90.0 | 
| mp-558115 | box | -7.6321 | -7.6321 | 13.8201 | 13.8201 | 41.6998 | 90.0 | 90.0 | 120.0 | 
| mp-1200292 | dynamic | -7.6319 | -7.6319 | 13.4649 | 20.1784 | 23.9363 | 90.0 | 123.3 | 90.0 | 
| mp-6930 | box | -7.6318 | -7.6318 | 4.9452 | 4.9452 | 5.3511 | 90.0 | 90.0 | 120.0 | 
| mp-1200292 | static | -7.6317 | -7.6317 | 13.4546 | 20.2107 | 23.9133 | 90.0 | 123.2 | 90.0 | 
| mp-7000 | box | -7.6316 | -7.6316 | 4.944 | 4.944 | 5.3488 | 90.0 | 90.0 | 120.0 | 
| mp-559872 | static | -7.6313 | -7.6313 | 7.5558 | 7.5558 | 8.792 | 90.0 | 90.0 | 90.0 | 
| mp-1250639 | box | -7.6311 | -7.6311 | 13.8699 | 13.8699 | 40.9666 | 90.0 | 90.0 | 120.0 | 
| mp-1195265 | static | -7.6311 | -7.6311 | 13.4714 | 20.0007 | 20.2633 | 90.0 | 90.2 | 90.0 | 
| mp-667448 | dynamic | -7.6282 | -7.6282 | 20.2249 | 20.2249 | 13.5153 | 90.0 | 90.0 | 90.0 | 
| mp-6922 | box | -7.6282 | -7.6282 | 5.0862 | 5.0862 | 5.4635 | 90.0 | 90.0 | 120.0 | 
| mp-10851 | box | -7.6281 | -7.6281 | 5.0859 | 5.0859 | 5.4636 | 90.0 | 90.0 | 120.0 | 
| mp-555521 | static | -7.628 | -7.628 | 10.3369 | 10.3369 | 34.7194 | 90.0 | 90.0 | 90.0 | 
| mp-554682 | static | -7.628 | -7.628 | 20.2224 | 20.2224 | 13.4878 | 90.0 | 90.0 | 90.0 | 
| mp-640556 | dynamic | -7.6278 | -7.6278 | 18.5561 | 5.0169 | 23.7053 | 90.0 | 106.1 | 90.0 | 
| mp-640556 | static | -7.6276 | -7.6276 | 18.5614 | 5.019 | 23.7114 | 90.0 | 106.1 | 90.0 | 
| mp-639512 | static | -7.6275 | -7.6275 | 13.6509 | 13.6509 | 13.6509 | 90.0 | 90.0 | 90.0 | 
| mp-554946 | static | -7.6273 | -7.6273 | 20.1227 | 20.3288 | 13.5114 | 90.0 | 90.0 | 90.0 | 
| mp-555556 | dynamic | -7.6271 | -7.6271 | 9.7414 | 10.1444 | 8.3419 | 90.0 | 90.0 | 90.0 | 
| mp-555556 | static | -7.6271 | -7.6271 | 9.7416 | 10.1441 | 8.3419 | 90.0 | 90.0 | 90.0 | 
| mp-16964 | dynamic | -7.627 | -7.627 | 13.9642 | 17.3544 | 5.0182 | 90.0 | 90.0 | 90.0 | 
| mp-16964 | static | -7.627 | -7.627 | 13.9585 | 17.3557 | 5.0187 | 90.0 | 90.0 | 90.0 | 
| mp-669426 | dynamic | -7.626 | -7.626 | 8.5363 | 4.9968 | 9.8511 | 90.0 | 125.1 | 90.0 | 
| mp-1250551 | static | -7.626 | -7.626 | 13.7804 | 24.1578 | 18.4014 | 90.0 | 90.0 | 90.0 | 
| mp-1200292 | box | -7.6259 | -7.6259 | 13.4855 | 20.3086 | 24.0615 | 90.0 | 123.4 | 90.0 | 
| mp-669426 | static | -7.6258 | -7.6258 | 8.4958 | 4.9867 | 9.8236 | 90.0 | 124.7 | 90.0 | 
| mp-644923 | static | -7.6256 | -7.6256 | 20.2826 | 20.2826 | 13.6106 | 90.0 | 90.0 | 90.0 | 
| mp-639512 | box | -7.6252 | -7.6252 | 13.6943 | 13.6943 | 13.6943 | 90.0 | 90.0 | 90.0 | 
| mp-985570 | dynamic | -7.6252 | -7.6252 | 5.1155 | 8.245 | 9.4598 | 90.0 | 120.4 | 90.0 | 
| mp-985570 | static | -7.6252 | -7.6252 | 5.1158 | 8.2443 | 9.4596 | 90.0 | 120.4 | 90.0 | 
| mp-556218 | static | -7.6252 | -7.6252 | 14.0595 | 17.2653 | 5.0096 | 90.0 | 90.0 | 90.0 | 
| mp-556469 | dynamic | -7.625 | -7.625 | 5.0447 | 12.5653 | 14.9594 | 103.2 | 91.1 | 100.9 | 
| mp-556469 | static | -7.625 | -7.625 | 5.0446 | 12.567 | 14.9595 | 103.2 | 91.1 | 100.9 | 
| mp-600052 | static | -7.625 | -7.625 | 9.7989 | 25.682 | 8.3753 | 90.0 | 90.0 | 90.0 | 
| mp-555235 | dynamic | -7.625 | -7.625 | 5.0798 | 8.6832 | 8.2023 | 90.0 | 91.4 | 90.0 | 
| mp-556454 | dynamic | -7.6248 | -7.6248 | 16.3765 | 20.2954 | 5.0774 | 90.0 | 90.0 | 90.0 | 
| mp-556454 | static | -7.6248 | -7.6248 | 16.3779 | 20.2934 | 5.0772 | 90.0 | 90.0 | 90.0 | 
| mp-558025 | static | -7.6243 | -7.6243 | 7.5127 | 14.2489 | 18.7442 | 90.0 | 90.0 | 90.0 | 
| mp-640556 | box | -7.6242 | -7.6242 | 18.5364 | 5.007 | 23.7588 | 90.0 | 106.1 | 90.0 | 
| mp-556654 | static | -7.6238 | -7.6238 | 13.872 | 5.0133 | 17.5211 | 90.0 | 105.8 | 90.0 | 
| mp-972808 | dynamic | -7.6234 | -7.6234 | 4.9697 | 8.2094 | 5.0386 | 90.0 | 118.1 | 90.0 | 
| mp-733790 | dynamic | -7.6233 | -7.6233 | 8.6675 | 8.7198 | 16.4851 | 91.2 | 90.1 | 119.4 | 
| mp-972808 | static | -7.6233 | -7.6233 | 4.9605 | 8.2022 | 5.0426 | 90.0 | 118.2 | 90.0 | 
| mp-560708 | dynamic | -7.6232 | -7.6232 | 12.2562 | 8.5106 | 15.165 | 90.0 | 106.1 | 90.0 | 
| mp-560708 | static | -7.6232 | -7.6232 | 12.2562 | 8.5107 | 15.1652 | 90.0 | 106.1 | 90.0 | 
| mp-553945 | static | -7.6232 | -7.6232 | 13.8899 | 5.0552 | 25.3216 | 90.0 | 90.0 | 90.0 | 
| mp-662706 | static | -7.6231 | -7.6231 | 30.4432 | 8.3988 | 12.4566 | 90.0 | 106.8 | 90.0 | 
| mp-646895 | dynamic | -7.6231 | -7.6231 | 5.0444 | 33.9864 | 21.3257 | 90.0 | 90.9 | 90.0 | 
| mp-646895 | static | -7.6231 | -7.6231 | 5.0444 | 33.9878 | 21.3243 | 90.0 | 90.9 | 90.0 | 
| mp-600063 | static | -7.6228 | -7.6228 | 18.1921 | 20.6413 | 7.568 | 90.0 | 90.0 | 90.0 | 
| mp-985590 | dynamic | -7.6227 | -7.6227 | 5.0051 | 8.808 | 8.7639 | 90.0 | 90.0 | 90.0 | 
| mp-985590 | static | -7.6227 | -7.6227 | 5.0051 | 8.8082 | 8.7637 | 90.0 | 90.0 | 90.0 | 
| mp-555521 | box | -7.6225 | -7.6225 | 10.3193 | 10.3193 | 34.5512 | 90.0 | 90.0 | 90.0 | 
| mp-554573 | static | -7.6225 | -7.6225 | 8.3007 | 8.8902 | 4.9856 | 90.0 | 90.0 | 90.0 | 
| mp-600059 | dynamic | -7.6223 | -7.6223 | 13.131 | 13.131 | 5.0499 | 90.0 | 90.0 | 90.0 | 
| mp-554151 | dynamic | -7.6219 | -7.6219 | 8.7658 | 8.7658 | 4.9813 | 90.0 | 90.0 | 90.0 | 
| mp-651707 | box | -7.6216 | -7.6216 | 5.0108 | 12.6335 | 23.8758 | 100.8 | 96.0 | 101.4 | 
| mp-667376 | dynamic | -7.6214 | -7.6214 | 8.5263 | 24.7862 | 29.0344 | 90.0 | 90.0 | 90.0 | 
| mp-667376 | static | -7.6214 | -7.6214 | 8.5262 | 24.7874 | 29.036 | 90.0 | 90.0 | 90.0 | 
| mp-15078 | static | -7.6214 | -7.6214 | 7.5699 | 14.3154 | 18.9813 | 90.0 | 90.0 | 90.0 | 
| mp-555235 | box | -7.6213 | -7.6213 | 5.0491 | 8.6564 | 8.3136 | 90.0 | 91.9 | 90.0 | 
| mp-542814 | static | -7.6212 | -7.6212 | 4.9737 | 8.2929 | 26.5534 | 90.0 | 90.0 | 90.0 | 
| mp-8059 | dynamic | -7.621 | -7.621 | 7.0607 | 7.0607 | 7.0607 | 90.0 | 90.0 | 90.0 | 
| mp-16964 | box | -7.6209 | -7.6209 | 13.9155 | 17.3911 | 5.0397 | 90.0 | 90.0 | 90.0 | 
| mp-559872 | box | -7.6208 | -7.6208 | 7.526 | 7.526 | 8.6992 | 90.0 | 90.0 | 90.0 | 
| mp-556454 | box | -7.6207 | -7.6207 | 16.4117 | 20.2245 | 5.0636 | 90.0 | 90.0 | 90.0 | 
| mp-733790 | static | -7.6207 | -7.6207 | 8.6327 | 8.6957 | 16.5255 | 91.3 | 90.0 | 119.7 | 
| mp-554946 | box | -7.6206 | -7.6206 | 20.0751 | 20.2342 | 13.4586 | 90.0 | 90.0 | 90.0 | 
| mp-555740 | dynamic | -7.6206 | -7.6206 | 8.59 | 8.59 | 8.59 | 90.0 | 90.0 | 90.0 | 
| mp-554573 | box | -7.6204 | -7.6204 | 8.2706 | 8.8216 | 4.9557 | 90.0 | 90.0 | 90.0 | 
| mp-600052 | box | -7.6204 | -7.6204 | 9.7511 | 25.6353 | 8.3786 | 90.0 | 90.0 | 90.0 | 
| mp-554089 | dynamic | -7.6202 | -7.6202 | 5.0328 | 6.884 | 5.0362 | 90.0 | 90.0 | 90.0 | 
| mp-554089 | static | -7.6202 | -7.6202 | 5.0329 | 6.8841 | 5.0362 | 90.0 | 90.0 | 90.0 | 
| mp-555891 | static | -7.6199 | -7.6199 | 5.0597 | 8.1497 | 5.0767 | 90.0 | 117.1 | 90.0 | 
| mp-556262 | dynamic | -7.6197 | -7.6197 | 7.4633 | 11.5225 | 11.6228 | 104.9 | 94.7 | 96.7 | 
| mp-555556 | box | -7.6197 | -7.6197 | 9.7524 | 9.778 | 8.3436 | 90.0 | 90.0 | 90.0 | 
| mp-1204057 | static | -7.6196 | -7.6196 | 14.4416 | 14.4416 | 25.1882 | 90.0 | 90.0 | 120.0 | 
| mp-667373 | dynamic | -7.6195 | -7.6195 | 8.4955 | 12.5447 | 29.0736 | 90.0 | 90.0 | 90.0 | 
| mp-667373 | static | -7.6195 | -7.6195 | 8.4943 | 12.5434 | 29.078 | 90.0 | 90.0 | 90.0 | 
| mp-556262 | static | -7.6195 | -7.6195 | 7.4639 | 11.5173 | 11.6192 | 104.8 | 94.5 | 96.5 | 
| mp-560064 | dynamic | -7.6193 | -7.6193 | 17.7934 | 17.7986 | 14.6216 | 90.0 | 114.4 | 90.0 | 
| mp-600054 | dynamic | -7.6193 | -7.6193 | 12.6078 | 12.6078 | 26.6126 | 90.0 | 90.0 | 90.0 | 
| mp-600054 | static | -7.6193 | -7.6193 | 12.6079 | 12.6079 | 26.6131 | 90.0 | 90.0 | 90.0 | 
| mp-1195265 | box | -7.6192 | -7.6192 | 13.4096 | 19.816 | 20.1969 | 90.0 | 90.0 | 90.0 | 
| mp-556218 | box | -7.6192 | -7.6192 | 14.0253 | 17.2909 | 5.0596 | 90.0 | 90.0 | 90.0 | 
| mp-554682 | box | -7.6191 | -7.6191 | 20.2301 | 20.2301 | 13.4955 | 90.0 | 90.0 | 90.0 | 
| mp-972808 | box | -7.619 | -7.619 | 4.924 | 8.1712 | 5.0078 | 90.0 | 118.3 | 90.0 | 
| mp-560064 | static | -7.6187 | -7.6187 | 17.8157 | 17.8865 | 14.5262 | 90.0 | 113.9 | 90.0 | 
| mp-554243 | static | -7.6183 | -7.6183 | 7.3202 | 7.3202 | 7.0578 | 90.0 | 90.0 | 120.0 | 
| mp-1250551 | box | -7.6183 | -7.6183 | 13.7405 | 24.0691 | 18.2439 | 90.0 | 90.0 | 90.0 | 
| mp-669426 | box | -7.6183 | -7.6183 | 8.4317 | 4.9254 | 9.7884 | 90.0 | 124.0 | 90.0 | 
| mp-558025 | box | -7.6182 | -7.6182 | 7.4665 | 14.1737 | 18.6667 | 90.0 | 90.0 | 90.0 | 
| mp-1249637 | dynamic | -7.6182 | -7.6182 | 22.6113 | 13.5404 | 12.5234 | 90.0 | 110.4 | 90.0 | 
| mp-1249637 | static | -7.6182 | -7.6182 | 22.6192 | 13.539 | 12.5259 | 90.0 | 110.4 | 90.0 | 
| mp-560941 | dynamic | -7.6181 | -7.6181 | 20.9458 | 9.8178 | 19.7455 | 90.0 | 90.0 | 90.0 | 
| mp-560941 | static | -7.6181 | -7.6181 | 20.9465 | 9.8182 | 19.7456 | 90.0 | 90.0 | 90.0 | 
| mp-662706 | box | -7.618 | -7.618 | 30.2331 | 8.3685 | 12.4675 | 90.0 | 106.4 | 90.0 | 
| mp-644923 | box | -7.6179 | -7.6179 | 20.1564 | 20.1564 | 13.556 | 90.0 | 90.0 | 90.0 | 
| mp-557894 | dynamic | -7.6176 | -7.6176 | 7.4676 | 22.0974 | 11.6119 | 90.0 | 94.7 | 90.0 | 
| mp-557894 | static | -7.6176 | -7.6176 | 7.4676 | 22.0979 | 11.6119 | 90.0 | 94.7 | 90.0 | 
| mp-554089 | box | -7.6176 | -7.6176 | 5.0442 | 6.9201 | 5.0261 | 90.0 | 90.0 | 90.0 | 
| mp-554243 | box | -7.6176 | -7.6176 | 7.3188 | 7.3188 | 7.0434 | 90.0 | 90.0 | 120.0 | 
| mp-667371 | static | -7.6173 | -7.6173 | 12.3592 | 29.1433 | 8.4497 | 90.0 | 90.0 | 90.0 | 
| mp-667377 | static | -7.6172 | -7.6172 | 8.5387 | 24.6132 | 29.2053 | 90.0 | 90.0 | 90.0 | 
| mp-556882 | dynamic | -7.6171 | -7.6171 | 8.8434 | 8.2533 | 8.8209 | 90.0 | 90.2 | 90.0 | 
| mp-556882 | static | -7.6171 | -7.6171 | 8.8437 | 8.2531 | 8.8214 | 90.0 | 90.2 | 90.0 | 
| mp-556654 | box | -7.617 | -7.617 | 13.8687 | 4.9741 | 17.3202 | 90.0 | 106.0 | 90.0 | 
| mp-600091 | static | -7.617 | -7.617 | 7.5765 | 14.4153 | 19.017 | 90.0 | 90.0 | 90.0 | 
| mp-733790 | box | -7.617 | -7.617 | 8.5799 | 8.6494 | 16.4417 | 91.5 | 90.0 | 119.7 | 
| mp-1248957 | static | -7.6168 | -7.6168 | 14.1309 | 18.4856 | 7.5249 | 90.0 | 99.3 | 90.0 | 
| mp-8059 | box | -7.6168 | -7.6168 | 7.0737 | 7.0737 | 7.0737 | 90.0 | 90.0 | 90.0 | 
| mp-600063 | box | -7.6167 | -7.6167 | 18.0811 | 20.5602 | 7.5397 | 90.0 | 90.0 | 90.0 | 
| mp-558326 | dynamic | -7.6166 | -7.6166 | 14.9673 | 18.9421 | 14.3715 | 90.0 | 90.0 | 90.0 | 
| mp-600084 | static | -7.6166 | -7.6166 | 14.8655 | 27.5278 | 8.3738 | 90.0 | 90.0 | 90.0 | 
| mp-985590 | box | -7.6165 | -7.6165 | 4.9607 | 8.7399 | 8.6788 | 90.0 | 90.0 | 90.0 | 
| mp-560998 | static | -7.6164 | -7.6164 | 14.4409 | 18.9449 | 7.4961 | 90.0 | 90.0 | 90.0 | 
| mp-667383 | static | -7.6161 | -7.6161 | 25.0406 | 8.5435 | 16.7921 | 90.0 | 119.9 | 90.0 | 
| mp-556469 | box | -7.6161 | -7.6161 | 5.0274 | 12.5775 | 14.8453 | 103.1 | 91.0 | 100.7 | 
| mp-15078 | box | -7.6161 | -7.6161 | 7.5328 | 14.2589 | 18.9589 | 90.0 | 90.0 | 90.0 | 
| mp-1179447 | static | -7.6161 | -7.6161 | 7.1512 | 7.1512 | 17.8465 | 90.0 | 90.0 | 90.0 | 
| mp-600014 | dynamic | -7.616 | -7.616 | 7.6371 | 13.0259 | 13.5223 | 90.0 | 90.0 | 90.0 | 
| mp-600014 | static | -7.616 | -7.616 | 7.6368 | 13.0263 | 13.5252 | 90.0 | 90.0 | 90.0 | 
| mp-1199998 | dynamic | -7.6159 | -7.6159 | 29.4278 | 14.0752 | 12.5169 | 90.0 | 105.3 | 90.0 | 
| mp-600059 | box | -7.6157 | -7.6157 | 13.0534 | 13.0534 | 4.9943 | 90.0 | 90.0 | 90.0 | 
| mp-559360 | dynamic | -7.6157 | -7.6157 | 7.3815 | 19.3042 | 9.8401 | 90.0 | 98.7 | 90.0 | 
| mp-559360 | static | -7.6157 | -7.6157 | 7.3816 | 19.3046 | 9.8404 | 90.0 | 98.7 | 90.0 | 
| mp-558326 | static | -7.6157 | -7.6157 | 15.0378 | 18.8475 | 14.3185 | 90.0 | 90.0 | 90.0 | 
| mp-600055 | static | -7.6156 | -7.6156 | 12.609 | 11.6414 | 22.3108 | 90.0 | 90.0 | 90.0 | 
| mp-560336 | static | -7.6155 | -7.6155 | 8.5059 | 19.1906 | 23.4646 | 90.0 | 90.0 | 90.0 | 
| mp-17279 | dynamic | -7.6155 | -7.6155 | 18.807 | 13.5909 | 7.6731 | 90.0 | 101.1 | 90.0 | 
| mp-17279 | static | -7.6155 | -7.6155 | 18.8094 | 13.589 | 7.6742 | 90.0 | 101.1 | 90.0 | 
| mp-985570 | box | -7.6152 | -7.6152 | 5.122 | 8.1406 | 9.3897 | 90.0 | 120.2 | 90.0 | 
| mp-600002 | static | -7.6151 | -7.6151 | 7.1424 | 7.1424 | 8.9428 | 90.0 | 90.0 | 90.0 | 
| mp-556591 | static | -7.615 | -7.615 | 13.6362 | 17.7559 | 17.9864 | 90.0 | 90.0 | 90.0 | 
| mp-1199998 | static | -7.615 | -7.615 | 29.3282 | 14.0476 | 12.5146 | 90.0 | 105.0 | 90.0 | 
| mp-560708 | box | -7.6149 | -7.6149 | 12.4359 | 8.496 | 15.1238 | 90.0 | 105.8 | 90.0 | 
| mp-8602 | static | -7.6149 | -7.6149 | 14.2201 | 14.2201 | 11.4117 | 90.0 | 90.0 | 120.0 | 
| mp-639506 | static | -7.6148 | -7.6148 | 8.1551 | 9.2146 | 17.3255 | 90.0 | 90.0 | 90.0 | 
| mp-639558 | static | -7.6145 | -7.6145 | 13.5251 | 21.37 | 12.6081 | 90.0 | 90.0 | 90.0 | 
| mp-600060 | dynamic | -7.614 | -7.614 | 9.8581 | 12.2957 | 22.9858 | 90.0 | 90.0 | 90.0 | 
| mp-600060 | static | -7.614 | -7.614 | 9.8584 | 12.2936 | 22.9823 | 90.0 | 90.0 | 90.0 | 
| mp-18280 | static | -7.6138 | -7.6138 | 14.1231 | 13.6798 | 7.5493 | 90.0 | 101.8 | 90.0 | 
| mp-542814 | box | -7.6138 | -7.6138 | 4.9092 | 8.2577 | 26.402 | 90.0 | 90.0 | 90.0 | 
| mp-559550 | dynamic | -7.6136 | -7.6136 | 12.5871 | 12.5871 | 7.2197 | 90.0 | 90.0 | 120.0 | 
| mp-559550 | static | -7.6136 | -7.6136 | 12.5875 | 12.5875 | 7.2183 | 90.0 | 90.0 | 120.0 | 
| mp-8602 | box | -7.6135 | -7.6135 | 14.2018 | 14.2018 | 11.4205 | 90.0 | 90.0 | 120.0 | 
| mp-530546 | static | -7.6134 | -7.6134 | 17.0885 | 17.0885 | 12.8131 | 90.0 | 90.0 | 120.0 | 
| mp-600083 | static | -7.6133 | -7.6133 | 7.5885 | 18.2125 | 26.0817 | 90.0 | 90.0 | 90.0 | 
| mp-1268079 | dynamic | -7.613 | -7.613 | 13.2609 | 22.0048 | 16.9702 | 90.0 | 127.2 | 90.0 | 
| mp-554151 | box | -7.6128 | -7.6128 | 8.7534 | 8.7534 | 4.9911 | 90.0 | 90.0 | 90.0 | 
| mp-546794 | static | -7.6127 | -7.6127 | 4.9668 | 4.9668 | 7.4321 | 90.0 | 90.0 | 90.0 | 
| mp-600061 | static | -7.6127 | -7.6127 | 19.8454 | 7.5882 | 9.19 | 90.0 | 90.0 | 90.0 | 
| mp-553945 | box | -7.6127 | -7.6127 | 13.913 | 5.1155 | 25.574 | 90.0 | 90.0 | 90.0 | 
| mp-1268079 | static | -7.6125 | -7.6125 | 13.25 | 21.9727 | 16.9871 | 90.0 | 127.1 | 90.0 | 
| mp-600031 | static | -7.6124 | -7.6124 | 8.4107 | 18.8083 | 13.5733 | 90.0 | 90.0 | 90.0 | 
| mp-558891 | dynamic | -7.6123 | -7.6123 | 10.1518 | 10.1518 | 10.1518 | 90.0 | 90.0 | 90.0 | 
| mp-557933 | static | -7.6122 | -7.6122 | 8.4004 | 14.5825 | 20.5158 | 90.0 | 90.0 | 90.0 | 
| mp-1201887 | static | -7.6119 | -7.6119 | 13.8795 | 13.8795 | 8.5595 | 90.0 | 90.0 | 120.0 | 
| mp-667373 | box | -7.6119 | -7.6119 | 8.494 | 12.4447 | 29.1061 | 90.0 | 90.0 | 90.0 | 
| mp-557881 | dynamic | -7.6118 | -7.6118 | 10.3413 | 15.1408 | 8.9862 | 90.0 | 105.1 | 90.0 | 
| mp-557881 | static | -7.6118 | -7.6118 | 10.3415 | 15.1407 | 8.9862 | 90.0 | 105.1 | 90.0 | 
| mp-558947 | static | -7.6117 | -7.6117 | 19.538 | 19.538 | 7.4821 | 90.0 | 90.0 | 90.0 | 
| mp-653763 | static | -7.6113 | -7.6113 | 13.9397 | 22.8484 | 20.4669 | 90.0 | 90.0 | 90.0 | 
| mp-600041 | static | -7.6112 | -7.6112 | 8.7186 | 20.1741 | 10.1619 | 90.0 | 90.0 | 90.0 | 
| mp-546794 | box | -7.6112 | -7.6112 | 4.9129 | 4.9129 | 7.4297 | 90.0 | 90.0 | 90.0 | 
| mp-558351 | static | -7.6109 | -7.6109 | 10.4627 | 15.0933 | 9.0138 | 90.0 | 105.2 | 90.0 | 
| mp-557004 | static | -7.6109 | -7.6109 | 8.9615 | 9.1711 | 9.2121 | 111.5 | 98.2 | 98.8 | 
| mp-1188220 | dynamic | -7.6108 | -7.6108 | 8.8012 | 8.8012 | 8.8012 | 90.0 | 90.0 | 90.0 | 
| mp-1188220 | static | -7.6108 | -7.6108 | 8.8014 | 8.8014 | 8.8014 | 90.0 | 90.0 | 90.0 | 
| mp-12787 | box | -7.6106 | -7.6106 | 13.7076 | 4.8775 | 8.7881 | 90.0 | 129.6 | 90.0 | 
| mp-560064 | box | -7.6106 | -7.6106 | 17.7256 | 17.8 | 14.4521 | 90.0 | 113.9 | 90.0 | 
| mp-1249969 | dynamic | -7.6106 | -7.6106 | 9.4284 | 11.2448 | 13.0269 | 103.5 | 106.5 | 93.3 | 
| mp-554755 | static | -7.6105 | -7.6105 | 12.7023 | 12.7023 | 13.3115 | 90.0 | 90.0 | 90.0 | 
| mp-7648 | static | -7.6105 | -7.6105 | 5.0378 | 9.0731 | 8.2247 | 90.0 | 90.0 | 90.0 | 
| mp-1179447 | box | -7.6103 | -7.6103 | 7.1192 | 7.1192 | 17.8407 | 90.0 | 90.0 | 90.0 | 
| mp-1249969 | static | -7.6103 | -7.6103 | 9.4111 | 11.2269 | 13.0736 | 103.6 | 107.0 | 92.7 | 
| mp-556262 | box | -7.6102 | -7.6102 | 7.4031 | 11.3896 | 11.5612 | 104.6 | 94.2 | 96.3 | 
| mp-600022 | dynamic | -7.61 | -7.61 | 13.595 | 22.3185 | 7.0178 | 90.0 | 90.0 | 90.0 | 
| mp-600022 | static | -7.61 | -7.61 | 13.5944 | 22.3188 | 7.018 | 90.0 | 90.0 | 90.0 | 
| mp-555251 | dynamic | -7.6097 | -7.6097 | 9.943 | 8.4928 | 5.1063 | 90.0 | 90.0 | 90.0 | 
| mp-600003 | static | -7.6097 | -7.6097 | 13.0397 | 13.0397 | 5.3241 | 90.0 | 90.0 | 90.0 | 
| mp-558891 | box | -7.6097 | -7.6097 | 10.1111 | 10.1111 | 10.1111 | 90.0 | 90.0 | 90.0 | 
| mp-600091 | box | -7.6095 | -7.6095 | 7.537 | 14.3452 | 18.9565 | 90.0 | 90.0 | 90.0 | 
| mp-532105 | static | -7.6094 | -7.6094 | 17.2676 | 17.2676 | 12.7266 | 90.0 | 90.0 | 120.0 | 
| mp-600070 | dynamic | -7.6091 | -7.6091 | 7.0094 | 15.0152 | 17.4652 | 90.0 | 90.0 | 90.0 | 
| mp-600070 | static | -7.6091 | -7.6091 | 7.0095 | 15.0149 | 17.4654 | 90.0 | 90.0 | 90.0 | 
| mp-1249090 | dynamic | -7.609 | -7.609 | 13.1855 | 13.1855 | 15.7859 | 90.0 | 90.0 | 120.0 | 
| mp-1249090 | static | -7.609 | -7.609 | 13.1877 | 13.1877 | 15.7954 | 90.0 | 90.0 | 120.0 | 
| mp-667371 | box | -7.609 | -7.609 | 12.3884 | 28.8203 | 8.3575 | 90.0 | 90.0 | 90.0 | 
| mp-615993 | static | -7.6089 | -7.6089 | 25.6687 | 5.309 | 12.1255 | 90.0 | 109.0 | 90.0 | 
| mp-600055 | box | -7.6086 | -7.6086 | 12.544 | 11.642 | 21.9898 | 90.0 | 90.0 | 90.0 | 
| mp-560998 | box | -7.6085 | -7.6085 | 14.3373 | 18.8237 | 7.5358 | 90.0 | 90.0 | 90.0 | 
| mp-1248957 | box | -7.6085 | -7.6085 | 14.0421 | 18.4622 | 7.4854 | 90.0 | 99.6 | 90.0 | 
| mp-557894 | box | -7.6085 | -7.6085 | 7.4556 | 22.101 | 11.5423 | 90.0 | 94.7 | 90.0 | 
| mp-667383 | box | -7.6082 | -7.6082 | 25.0921 | 8.5672 | 16.7913 | 90.0 | 120.1 | 90.0 | 
| mp-557933 | box | -7.6082 | -7.6082 | 8.3785 | 14.5565 | 20.4314 | 90.0 | 90.0 | 90.0 | 
| mp-560336 | box | -7.6081 | -7.6081 | 8.5234 | 19.1463 | 23.2758 | 90.0 | 90.0 | 90.0 | 
| mp-600002 | box | -7.608 | -7.608 | 7.1394 | 7.1394 | 8.8473 | 90.0 | 90.0 | 90.0 | 
| mp-561090 | static | -7.6078 | -7.6078 | 19.926 | 19.926 | 19.926 | 90.0 | 90.0 | 90.0 | 
| mp-667368 | static | -7.6078 | -7.6078 | 8.7357 | 19.0445 | 23.4445 | 90.0 | 90.0 | 90.0 | 
| mp-600084 | box | -7.6077 | -7.6077 | 14.7162 | 27.4324 | 8.3214 | 90.0 | 90.0 | 90.0 | 
| mp-7648 | box | -7.6077 | -7.6077 | 5.0181 | 9.1018 | 8.1836 | 90.0 | 90.0 | 90.0 | 
| mp-1249637 | box | -7.6075 | -7.6075 | 22.5996 | 13.471 | 12.4573 | 90.0 | 110.7 | 90.0 | 
| mp-561090 | box | -7.6073 | -7.6073 | 19.9196 | 19.9196 | 19.9196 | 90.0 | 90.0 | 90.0 | 
| mp-17279 | box | -7.6072 | -7.6072 | 18.6687 | 13.5094 | 7.6599 | 90.0 | 101.3 | 90.0 | 
| mp-1201887 | box | -7.6071 | -7.6071 | 13.819 | 13.819 | 8.5792 | 90.0 | 90.0 | 120.0 | 
| mp-557264 | box | -7.6071 | -7.6071 | 8.8273 | 8.4704 | 10.3669 | 90.0 | 90.0 | 90.0 | 
| mp-556591 | box | -7.607 | -7.607 | 13.5698 | 17.6595 | 17.8856 | 90.0 | 90.0 | 90.0 | 
| mp-600014 | box | -7.607 | -7.607 | 7.5449 | 12.9495 | 13.4962 | 90.0 | 90.0 | 90.0 | 
| mp-560941 | box | -7.607 | -7.607 | 20.5708 | 9.8233 | 19.7796 | 90.0 | 90.0 | 90.0 | 
| mp-557465 | dynamic | -7.6068 | -7.6068 | 4.7804 | 8.0376 | 8.6079 | 90.0 | 90.0 | 90.0 | 
| mp-559360 | box | -7.6067 | -7.6067 | 7.4241 | 19.5344 | 9.7395 | 90.0 | 98.9 | 90.0 | 
| mp-639506 | box | -7.6066 | -7.6066 | 8.1175 | 9.1624 | 17.3285 | 90.0 | 90.0 | 90.0 | 
| mp-554543 | static | -7.6066 | -7.6066 | 10.169 | 10.169 | 8.5686 | 90.0 | 90.0 | 90.0 | 
| mp-562490 | static | -7.6066 | -7.6066 | 11.0507 | 8.3723 | 5.058 | 90.0 | 114.0 | 90.0 | 
| mp-639558 | box | -7.6065 | -7.6065 | 13.5046 | 21.1409 | 12.5568 | 90.0 | 90.0 | 90.0 | 
| mp-646895 | box | -7.6063 | -7.6063 | 5.0795 | 34.0562 | 21.3379 | 90.0 | 90.9 | 90.0 | 
| mp-667376 | box | -7.6062 | -7.6062 | 8.4363 | 24.8319 | 28.9432 | 90.0 | 90.0 | 90.0 | 
| mp-18280 | box | -7.6062 | -7.6062 | 14.0698 | 13.6493 | 7.4756 | 90.0 | 102.3 | 90.0 | 
| mp-600031 | box | -7.6062 | -7.6062 | 8.3678 | 18.7001 | 13.489 | 90.0 | 90.0 | 90.0 | 
| mp-530546 | box | -7.6061 | -7.6061 | 17.0358 | 17.0358 | 12.7553 | 90.0 | 90.0 | 120.0 | 
| mp-1256614 | dynamic | -7.6061 | -7.6061 | 18.2345 | 18.2345 | 7.6081 | 90.0 | 90.0 | 120.0 | 
| mp-1256614 | static | -7.606 | -7.606 | 18.2392 | 18.2392 | 7.6007 | 90.0 | 90.0 | 120.0 | 
| mp-600041 | box | -7.6059 | -7.6059 | 8.705 | 20.0503 | 10.1589 | 90.0 | 90.0 | 90.0 | 
| mp-560920 | static | -7.6059 | -7.6059 | 19.0257 | 23.6797 | 8.6691 | 90.0 | 90.0 | 90.0 | 
| mp-1204057 | box | -7.6058 | -7.6058 | 14.3532 | 14.3532 | 25.1227 | 90.0 | 90.0 | 120.0 | 
| mp-639478 | dynamic | -7.6058 | -7.6058 | 11.9404 | 11.9404 | 11.9404 | 90.0 | 90.0 | 90.0 | 
| mp-639478 | static | -7.6058 | -7.6058 | 11.9403 | 11.9403 | 11.9403 | 90.0 | 90.0 | 90.0 | 
| mp-600007 | static | -7.6058 | -7.6058 | 9.9312 | 7.5348 | 9.4568 | 90.0 | 90.0 | 90.0 | 
| mp-600060 | box | -7.6056 | -7.6056 | 9.6971 | 12.2036 | 22.7906 | 90.0 | 90.0 | 90.0 | 
| mp-600015 | static | -7.6056 | -7.6056 | 13.6607 | 13.6607 | 7.7236 | 90.0 | 90.0 | 90.0 | 
| mp-558326 | box | -7.6055 | -7.6055 | 14.997 | 18.7416 | 14.2476 | 90.0 | 90.0 | 90.0 | 
| mp-600085 | static | -7.6052 | -7.6052 | 12.2267 | 12.2267 | 28.6341 | 90.0 | 90.0 | 90.0 | 
| mp-600016 | dynamic | -7.6052 | -7.6052 | 9.7815 | 9.7815 | 10.2297 | 90.0 | 90.0 | 90.0 | 
| mp-600016 | static | -7.6052 | -7.6052 | 9.7819 | 9.7819 | 10.2293 | 90.0 | 90.0 | 90.0 | 
| mp-600080 | static | -7.6052 | -7.6052 | 13.0434 | 13.0434 | 25.4672 | 90.0 | 90.0 | 90.0 | 
| mp-639695 | static | -7.605 | -7.605 | 14.5283 | 7.1815 | 9.0461 | 90.0 | 90.0 | 90.0 | 
| mp-600018 | static | -7.6049 | -7.6049 | 8.564 | 15.1549 | 9.7604 | 90.0 | 90.0 | 90.0 | 
| mp-680204 | box | -7.6046 | -7.6046 | 7.3842 | 9.6196 | 16.109 | 72.7 | 89.5 | 88.4 | 
| mp-600098 | dynamic | -7.6045 | -7.6045 | 9.8068 | 14.162 | 28.3068 | 90.0 | 90.0 | 90.0 | 
| mp-600098 | static | -7.6045 | -7.6045 | 9.8153 | 14.1612 | 28.3055 | 90.0 | 90.0 | 90.0 | 
| mp-600054 | box | -7.6044 | -7.6044 | 12.6123 | 12.6123 | 26.2549 | 90.0 | 90.0 | 90.0 | 
| mp-559091 | static | -7.6043 | -7.6043 | 5.0636 | 5.0636 | 8.5601 | 90.0 | 90.0 | 120.0 | 
| mp-560155 | dynamic | -7.6041 | -7.6041 | 7.4137 | 8.8239 | 17.3923 | 90.0 | 114.2 | 90.0 | 
| mp-560155 | static | -7.6041 | -7.6041 | 7.4138 | 8.8239 | 17.3928 | 90.0 | 114.2 | 90.0 | 
| mp-639724 | dynamic | -7.604 | -7.604 | 9.8293 | 14.1667 | 14.1579 | 90.0 | 90.0 | 90.0 | 
| mp-639724 | static | -7.604 | -7.604 | 9.8312 | 14.1659 | 14.1572 | 90.0 | 90.0 | 90.0 | 
| mp-557211 | static | -7.604 | -7.604 | 13.6127 | 13.6127 | 9.1203 | 90.0 | 90.0 | 120.0 | 
| mp-1250261 | dynamic | -7.6039 | -7.6039 | 13.1413 | 13.1413 | 7.5539 | 90.0 | 90.0 | 120.0 | 
| mp-558947 | box | -7.6039 | -7.6039 | 19.4364 | 19.4364 | 7.4367 | 90.0 | 90.0 | 90.0 | 
| mp-561181 | box | -7.6037 | -7.6037 | 12.573 | 21.1529 | 13.5123 | 90.0 | 90.0 | 90.0 | 
| mp-600083 | box | -7.6037 | -7.6037 | 7.5675 | 18.1061 | 25.8831 | 90.0 | 90.0 | 90.0 | 
| mp-1250261 | static | -7.6036 | -7.6036 | 13.1338 | 13.1338 | 7.5751 | 90.0 | 90.0 | 120.0 | 
| mp-1249332 | dynamic | -7.6036 | -7.6036 | 13.1314 | 13.1314 | 15.1355 | 90.0 | 90.0 | 120.0 | 
| mp-1249332 | static | -7.6036 | -7.6036 | 13.1317 | 13.1317 | 15.1355 | 90.0 | 90.0 | 120.0 | 
| mp-615993 | box | -7.6035 | -7.6035 | 25.5424 | 5.2898 | 12.1747 | 90.0 | 109.0 | 90.0 | 
| mp-559091 | box | -7.6034 | -7.6034 | 5.0753 | 5.0753 | 8.583 | 90.0 | 90.0 | 120.0 | 
| mp-600061 | box | -7.6034 | -7.6034 | 19.8047 | 7.587 | 9.0783 | 90.0 | 90.0 | 90.0 | 
| mp-559550 | box | -7.6033 | -7.6033 | 12.5191 | 12.5191 | 7.0997 | 90.0 | 90.0 | 120.0 | 
| mp-17909 | dynamic | -7.6033 | -7.6033 | 13.7199 | 13.7199 | 14.7903 | 90.0 | 90.0 | 120.0 | 
| mp-639511 | dynamic | -7.6032 | -7.6032 | 14.1603 | 14.1603 | 9.8667 | 90.0 | 90.0 | 90.0 | 
| mp-639511 | static | -7.6032 | -7.6032 | 14.1594 | 14.1594 | 9.8687 | 90.0 | 90.0 | 90.0 | 
| mp-17909 | static | -7.6031 | -7.6031 | 13.6889 | 13.6889 | 14.8737 | 90.0 | 90.0 | 120.0 | 
| mp-555483 | static | -7.6031 | -7.6031 | 4.8022 | 9.434 | 14.6374 | 90.0 | 90.0 | 90.0 | 
| mp-555700 | dynamic | -7.603 | -7.603 | 9.2765 | 9.2765 | 20.5538 | 90.0 | 90.0 | 90.0 | 
| mp-555700 | static | -7.603 | -7.603 | 9.2762 | 9.2762 | 20.5544 | 90.0 | 90.0 | 90.0 | 
| mp-1268079 | box | -7.6029 | -7.6029 | 13.1818 | 21.8074 | 16.9211 | 90.0 | 127.0 | 90.0 | 
| mp-600032 | dynamic | -7.6029 | -7.6029 | 13.7222 | 12.657 | 18.5216 | 90.0 | 90.0 | 90.0 | 
| mp-600032 | static | -7.6029 | -7.6029 | 13.7221 | 12.6573 | 18.5216 | 90.0 | 90.0 | 90.0 | 
| mp-600003 | box | -7.6029 | -7.6029 | 13.0267 | 13.0267 | 5.285 | 90.0 | 90.0 | 90.0 | 
| mp-600067 | dynamic | -7.6029 | -7.6029 | 13.6938 | 13.6938 | 21.7904 | 90.0 | 90.0 | 90.0 | 
| mp-554543 | box | -7.6027 | -7.6027 | 10.1297 | 10.1297 | 8.5819 | 90.0 | 90.0 | 90.0 | 
| mp-639463 | static | -7.6023 | -7.6023 | 5.2983 | 7.4366 | 8.185 | 90.0 | 90.0 | 90.0 | 
| mp-555251 | box | -7.6023 | -7.6023 | 9.8717 | 8.5059 | 5.1029 | 90.0 | 90.0 | 90.0 | 
| mp-532105 | box | -7.6022 | -7.6022 | 17.1605 | 17.1605 | 12.7794 | 90.0 | 90.0 | 120.0 | 
| mp-653763 | box | -7.6022 | -7.6022 | 13.917 | 22.663 | 20.711 | 90.0 | 90.0 | 90.0 | 
| mp-558351 | box | -7.6021 | -7.6021 | 10.4269 | 15.1649 | 8.9273 | 90.0 | 105.5 | 90.0 | 
| mp-555211 | static | -7.6019 | -7.6019 | 14.1985 | 14.1985 | 10.3506 | 90.0 | 90.0 | 90.0 | 
| mp-600037 | static | -7.6018 | -7.6018 | 5.3151 | 14.0191 | 26.0559 | 90.0 | 90.0 | 90.0 | 
| mp-557881 | box | -7.6017 | -7.6017 | 10.4244 | 15.1222 | 8.9297 | 90.0 | 105.4 | 90.0 | 
| mp-600027 | static | -7.6015 | -7.6015 | 13.1618 | 21.647 | 5.3021 | 90.0 | 90.0 | 90.0 | 
| mp-1199998 | box | -7.6012 | -7.6012 | 29.0498 | 13.9843 | 12.4282 | 90.0 | 105.1 | 90.0 | 
| mp-554755 | box | -7.601 | -7.601 | 12.6454 | 12.6454 | 13.2449 | 90.0 | 90.0 | 90.0 | 
| mp-1257168 | dynamic | -7.601 | -7.601 | 12.0675 | 12.0675 | 30.0578 | 90.0 | 90.0 | 120.0 | 
| mp-600029 | static | -7.601 | -7.601 | 5.3095 | 14.1269 | 17.1555 | 90.0 | 90.0 | 90.0 | 
| mp-557004 | box | -7.601 | -7.601 | 8.9026 | 9.128 | 9.1746 | 111.6 | 98.1 | 98.9 | 
| mp-600072 | dynamic | -7.601 | -7.601 | 18.5507 | 18.5507 | 9.3594 | 90.0 | 90.0 | 90.0 | 
| mp-600072 | static | -7.601 | -7.601 | 18.5504 | 18.5504 | 9.3595 | 90.0 | 90.0 | 90.0 | 
| mp-557837 | static | -7.6008 | -7.6008 | 8.9452 | 4.9018 | 8.7145 | 90.0 | 113.1 | 90.0 | 
| mp-600018 | box | -7.6008 | -7.6008 | 8.58 | 15.2738 | 9.6635 | 90.0 | 90.0 | 90.0 | 
| mp-1257168 | static | -7.6007 | -7.6007 | 12.0778 | 12.0778 | 29.9535 | 90.0 | 90.0 | 120.0 | 
| mp-554267 | static | -7.6006 | -7.6006 | 7.8455 | 7.8455 | 27.5238 | 90.0 | 90.0 | 90.0 | 
| mp-600005 | static | -7.6005 | -7.6005 | 9.9302 | 9.9302 | 9.9302 | 90.0 | 90.0 | 90.0 | 
| mp-560809 | static | -7.6002 | -7.6002 | 14.6569 | 20.7123 | 8.6724 | 90.0 | 90.0 | 90.0 | 
| mp-639733 | dynamic | -7.5998 | -7.5998 | 9.0605 | 9.2792 | 16.1631 | 90.0 | 90.0 | 90.0 | 
| mp-639733 | static | -7.5998 | -7.5998 | 9.0606 | 9.2793 | 16.163 | 90.0 | 90.0 | 90.0 | 
| mp-560527 | static | -7.5998 | -7.5998 | 9.6504 | 10.3805 | 9.0814 | 90.0 | 90.0 | 90.0 | 
| mp-600033 | static | -7.599 | -7.599 | 8.9881 | 8.9881 | 8.9881 | 90.0 | 90.0 | 90.0 | 
| mp-560826 | static | -7.5989 | -7.5989 | 14.1212 | 17.833 | 5.298 | 90.0 | 90.0 | 90.0 | 
| mp-1249969 | box | -7.5988 | -7.5988 | 9.304 | 11.126 | 12.9984 | 103.3 | 107.8 | 92.2 | 
| mp-561351 | static | -7.5987 | -7.5987 | 5.3002 | 22.0584 | 11.3743 | 90.0 | 90.0 | 90.0 | 
| mp-1188220 | box | -7.5987 | -7.5987 | 8.9409 | 8.9409 | 8.9409 | 90.0 | 90.0 | 90.0 | 
| mp-554258 | static | -7.5986 | -7.5986 | 14.136 | 14.136 | 9.0429 | 90.0 | 90.0 | 90.0 | 
| mp-600015 | box | -7.5985 | -7.5985 | 13.6254 | 13.6254 | 7.6345 | 90.0 | 90.0 | 90.0 | 
| mp-600000 | static | -7.5983 | -7.5983 | 5.3036 | 9.6009 | 8.9255 | 90.0 | 90.0 | 90.0 | 
| mp-600029 | box | -7.5982 | -7.5982 | 5.2896 | 14.1072 | 17.1817 | 90.0 | 90.0 | 90.0 | 
| mp-639741 | dynamic | -7.5981 | -7.5981 | 15.0085 | 15.0085 | 15.0085 | 90.0 | 90.0 | 90.0 | 
| mp-600016 | box | -7.5981 | -7.5981 | 9.7812 | 9.7812 | 10.1376 | 90.0 | 90.0 | 90.0 | 
| mp-600037 | box | -7.5981 | -7.5981 | 5.2997 | 13.9994 | 26.0046 | 90.0 | 90.0 | 90.0 | 
| mp-600067 | static | -7.5979 | -7.5979 | 13.5716 | 13.5716 | 22.0048 | 90.0 | 90.0 | 90.0 | 
| mp-639463 | box | -7.5976 | -7.5976 | 5.2808 | 7.4334 | 8.1638 | 90.0 | 90.0 | 90.0 | 
| mp-560973 | static | -7.5974 | -7.5974 | 7.5708 | 18.9376 | 14.1297 | 90.0 | 90.0 | 90.0 | 
| mp-555740 | box | -7.5971 | -7.5971 | 8.4611 | 8.4611 | 8.4611 | 90.0 | 90.0 | 90.0 | 
| mp-557837 | box | -7.597 | -7.597 | 8.9257 | 4.8768 | 8.7078 | 90.0 | 113.1 | 90.0 | 
| mp-600057 | dynamic | -7.5968 | -7.5968 | 10.3053 | 12.6352 | 21.8504 | 90.0 | 90.0 | 90.0 | 
| mp-600057 | static | -7.5967 | -7.5967 | 10.2732 | 12.6379 | 21.8639 | 90.0 | 90.0 | 90.0 | 
| mp-600007 | box | -7.5966 | -7.5966 | 9.771 | 7.5313 | 9.4531 | 90.0 | 90.0 | 90.0 | 
| mp-600033 | box | -7.5966 | -7.5966 | 8.9718 | 8.9718 | 8.9718 | 90.0 | 90.0 | 90.0 | 
| mp-600098 | box | -7.5962 | -7.5962 | 9.8622 | 14.0501 | 28.0925 | 90.0 | 90.0 | 90.0 | 
| mp-560809 | box | -7.5961 | -7.5961 | 14.6209 | 20.7035 | 8.6214 | 90.0 | 90.0 | 90.0 | 
| mp-600065 | static | -7.5961 | -7.5961 | 18.232 | 13.9124 | 9.7349 | 90.0 | 90.0 | 90.0 | 
| mp-600071 | dynamic | -7.5961 | -7.5961 | 9.377 | 19.2 | 15.1237 | 90.0 | 90.0 | 90.0 | 
| mp-600071 | static | -7.5961 | -7.5961 | 9.3579 | 19.2121 | 15.132 | 90.0 | 90.0 | 90.0 | 
| mp-600051 | static | -7.5961 | -7.5961 | 9.3734 | 15.1243 | 19.203 | 90.0 | 90.0 | 90.0 | 
| mp-600004 | static | -7.5961 | -7.5961 | 7.5428 | 16.2314 | 5.2991 | 90.0 | 90.0 | 90.0 | 
| mp-600111 | static | -7.5961 | -7.5961 | 5.304 | 34.5117 | 21.6187 | 90.0 | 90.0 | 90.0 | 
| mp-600078 | static | -7.5959 | -7.5959 | 7.1749 | 7.1749 | 42.047 | 90.0 | 90.0 | 90.0 | 
| mp-557465 | box | -7.5959 | -7.5959 | 4.7501 | 8.0528 | 8.4816 | 90.0 | 90.0 | 90.0 | 
| mp-32895 | dynamic | -7.5959 | -7.5959 | 24.5032 | 24.5032 | 24.5032 | 90.0 | 90.0 | 90.0 | 
| mp-600024 | dynamic | -7.5958 | -7.5958 | 8.5324 | 14.2646 | 16.0608 | 90.0 | 90.0 | 90.0 | 
| mp-600024 | static | -7.5958 | -7.5958 | 8.5323 | 14.2641 | 16.0608 | 90.0 | 90.0 | 90.0 | 
| mp-555211 | box | -7.5957 | -7.5957 | 14.1761 | 14.1761 | 10.276 | 90.0 | 90.0 | 90.0 | 
| mp-560920 | box | -7.5956 | -7.5956 | 19.1755 | 23.3142 | 8.5412 | 90.0 | 90.0 | 90.0 | 
| mp-639724 | box | -7.5955 | -7.5955 | 9.8335 | 14.0517 | 14.0133 | 90.0 | 90.0 | 90.0 | 
| mp-555891 | box | -7.5954 | -7.5954 | 5.1618 | 8.3926 | 5.2105 | 90.0 | 118.9 | 90.0 | 
| mp-32895 | static | -7.5954 | -7.5954 | 24.4962 | 24.4962 | 24.4962 | 90.0 | 90.0 | 90.0 | 
| mp-639480 | static | -7.5953 | -7.5953 | 7.1833 | 7.1833 | 20.9707 | 90.0 | 90.0 | 90.0 | 
| mp-600109 | static | -7.5953 | -7.5953 | 10.0337 | 10.0337 | 34.5392 | 90.0 | 90.0 | 90.0 | 
| mp-667368 | box | -7.5953 | -7.5953 | 8.5994 | 19.1442 | 23.32 | 90.0 | 90.0 | 90.0 | 
| mp-667377 | box | -7.5953 | -7.5953 | 8.4194 | 24.8404 | 28.9995 | 90.0 | 90.0 | 90.0 | 
| mp-600032 | box | -7.5953 | -7.5953 | 13.6478 | 12.5927 | 18.4306 | 90.0 | 90.0 | 90.0 | 
| mp-560826 | box | -7.5952 | -7.5952 | 14.0406 | 17.8024 | 5.2881 | 90.0 | 90.0 | 90.0 | 
| mp-562490 | box | -7.5951 | -7.5951 | 10.9386 | 8.4277 | 5.0883 | 90.0 | 114.0 | 90.0 | 
| mp-557211 | box | -7.5951 | -7.5951 | 13.6589 | 13.6589 | 8.9798 | 90.0 | 90.0 | 120.0 | 
| mp-639478 | box | -7.5951 | -7.5951 | 11.8893 | 11.8893 | 11.8893 | 90.0 | 90.0 | 90.0 | 
| mp-600022 | box | -7.5947 | -7.5947 | 13.518 | 22.1979 | 6.9572 | 90.0 | 90.0 | 90.0 | 
| mp-17909 | box | -7.5947 | -7.5947 | 13.6021 | 13.6021 | 14.8246 | 90.0 | 90.0 | 120.0 | 
| mp-561351 | box | -7.5946 | -7.5946 | 5.2874 | 21.9592 | 11.3361 | 90.0 | 90.0 | 90.0 | 
| mp-600027 | box | -7.5944 | -7.5944 | 13.0791 | 21.5659 | 5.2818 | 90.0 | 90.0 | 90.0 | 
| mp-1203655 | dynamic | -7.5944 | -7.5944 | 15.4554 | 15.4554 | 11.9159 | 90.0 | 90.0 | 90.0 | 
| mp-1203655 | static | -7.5944 | -7.5944 | 15.4552 | 15.4552 | 11.9161 | 90.0 | 90.0 | 90.0 | 
| mp-555700 | box | -7.5941 | -7.5941 | 9.173 | 9.173 | 20.6414 | 90.0 | 90.0 | 90.0 | 
| mp-600045 | dynamic | -7.5941 | -7.5941 | 9.2257 | 19.4953 | 10.3651 | 90.0 | 90.0 | 90.0 | 
| mp-600045 | static | -7.5941 | -7.5941 | 9.226 | 19.5003 | 10.3636 | 90.0 | 90.0 | 90.0 | 
| mp-560527 | box | -7.594 | -7.594 | 9.5658 | 10.4128 | 9.0247 | 90.0 | 90.0 | 90.0 | 
| mp-555483 | box | -7.594 | -7.594 | 4.7703 | 9.389 | 14.5914 | 90.0 | 90.0 | 90.0 | 
| mp-600000 | box | -7.5937 | -7.5937 | 5.2808 | 9.546 | 8.9393 | 90.0 | 90.0 | 90.0 | 
| mp-1249090 | box | -7.5936 | -7.5936 | 13.0748 | 13.0748 | 15.7128 | 90.0 | 90.0 | 120.0 | 
| mp-639695 | box | -7.5935 | -7.5935 | 14.2942 | 7.1497 | 9.0528 | 90.0 | 90.0 | 90.0 | 
| mp-600004 | box | -7.5935 | -7.5935 | 7.5274 | 16.2053 | 5.2899 | 90.0 | 90.0 | 90.0 | 
| mp-1250261 | box | -7.5933 | -7.5933 | 13.035 | 13.035 | 7.5837 | 90.0 | 90.0 | 120.0 | 
| mp-639511 | box | -7.5928 | -7.5928 | 13.9882 | 13.9882 | 9.9291 | 90.0 | 90.0 | 90.0 | 
| mp-559347 | dynamic | -7.5927 | -7.5927 | 9.1146 | 9.1146 | 8.0433 | 90.0 | 90.0 | 90.0 | 
| mp-559347 | static | -7.5927 | -7.5927 | 9.1144 | 9.1144 | 8.0435 | 90.0 | 90.0 | 90.0 | 
| mp-600028 | static | -7.5927 | -7.5927 | 13.6078 | 13.6078 | 13.6078 | 90.0 | 90.0 | 90.0 | 
| mp-639705 | static | -7.5926 | -7.5926 | 13.8579 | 13.8579 | 6.4673 | 90.0 | 90.0 | 90.0 | 
| mp-554258 | box | -7.5923 | -7.5923 | 14.072 | 14.072 | 9.0155 | 90.0 | 90.0 | 90.0 | 
| mp-560155 | box | -7.5919 | -7.5919 | 7.4251 | 8.7206 | 17.3352 | 90.0 | 114.0 | 90.0 | 
| mp-600070 | box | -7.5917 | -7.5917 | 6.9331 | 15.0263 | 17.2448 | 90.0 | 90.0 | 90.0 | 
| mp-600038 | static | -7.5917 | -7.5917 | 13.8673 | 6.9386 | 6.4533 | 90.0 | 90.0 | 90.0 | 
| mp-600085 | box | -7.5913 | -7.5913 | 12.1237 | 12.1237 | 28.5924 | 90.0 | 90.0 | 90.0 | 
| mp-554267 | box | -7.5911 | -7.5911 | 7.8057 | 7.8057 | 27.2503 | 90.0 | 90.0 | 90.0 | 
| mp-1179454 | static | -7.5908 | -7.5908 | 8.9573 | 8.9573 | 5.3066 | 90.0 | 90.0 | 90.0 | 
| mp-600005 | box | -7.5903 | -7.5903 | 9.886 | 9.886 | 9.886 | 90.0 | 90.0 | 90.0 | 
| mp-560973 | box | -7.5902 | -7.5902 | 7.5308 | 18.8678 | 14.065 | 90.0 | 90.0 | 90.0 | 
| mp-600001 | static | -7.5901 | -7.5901 | 6.9378 | 6.9378 | 6.4522 | 90.0 | 90.0 | 90.0 | 
| mp-1249332 | box | -7.5898 | -7.5898 | 13.0086 | 13.0086 | 15.177 | 90.0 | 90.0 | 120.0 | 
| mp-559313 | static | -7.5893 | -7.5893 | 8.9979 | 10.3749 | 9.1011 | 90.0 | 90.0 | 90.0 | 
| mp-600065 | box | -7.5891 | -7.5891 | 18.1854 | 13.8082 | 9.7021 | 90.0 | 90.0 | 90.0 | 
| mp-600053 | static | -7.5891 | -7.5891 | 5.3045 | 22.5081 | 14.0549 | 90.0 | 90.0 | 90.0 | 
| mp-1179454 | box | -7.589 | -7.589 | 8.9636 | 8.9636 | 5.2931 | 90.0 | 90.0 | 90.0 | 
| mp-600080 | box | -7.5889 | -7.5889 | 12.9386 | 12.9386 | 25.4741 | 90.0 | 90.0 | 90.0 | 
| mp-600072 | box | -7.5885 | -7.5885 | 18.4141 | 18.4141 | 9.3044 | 90.0 | 90.0 | 90.0 | 
| mp-555165 | dynamic | -7.5885 | -7.5885 | 8.9873 | 8.9873 | 16.0321 | 90.0 | 90.0 | 90.0 | 
| mp-555165 | static | -7.5884 | -7.5884 | 8.9796 | 8.9796 | 16.0335 | 90.0 | 90.0 | 90.0 | 
| mp-600111 | box | -7.5884 | -7.5884 | 5.2888 | 34.2813 | 21.4884 | 90.0 | 90.0 | 90.0 | 
| mp-639734 | static | -7.5883 | -7.5883 | 18.5738 | 18.5738 | 5.3169 | 90.0 | 90.0 | 90.0 | 
| mp-600023 | static | -7.5881 | -7.5881 | 13.6408 | 13.6408 | 13.6408 | 90.0 | 90.0 | 90.0 | 
| mp-600076 | dynamic | -7.5878 | -7.5878 | 8.6981 | 8.6981 | 28.1023 | 90.0 | 90.0 | 90.0 | 
| mp-600076 | static | -7.5878 | -7.5878 | 8.6982 | 8.6982 | 28.1027 | 90.0 | 90.0 | 90.0 | 
| mp-639741 | box | -7.5872 | -7.5872 | 14.9011 | 14.9011 | 14.9011 | 90.0 | 90.0 | 90.0 | 
| mp-559313 | box | -7.5868 | -7.5868 | 9.0432 | 10.3045 | 9.0606 | 90.0 | 90.0 | 90.0 | 
| mp-639682 | dynamic | -7.5864 | -7.5864 | 7.2031 | 7.2031 | 12.0768 | 90.0 | 90.0 | 90.0 | 
| mp-560203 | dynamic | -7.5863 | -7.5863 | 8.7785 | 10.6509 | 4.9535 | 90.0 | 90.0 | 90.0 | 
| mp-556882 | box | -7.5862 | -7.5862 | 8.8416 | 7.9077 | 8.8265 | 90.0 | 90.3 | 90.0 | 
| mp-600071 | box | -7.5861 | -7.5861 | 9.2585 | 19.1868 | 14.9704 | 90.0 | 90.0 | 90.0 | 
| mp-639480 | box | -7.586 | -7.586 | 7.159 | 7.159 | 20.7761 | 90.0 | 90.0 | 90.0 | 
| mp-600049 | static | -7.5856 | -7.5856 | 8.8411 | 11.6722 | 17.3561 | 90.0 | 90.0 | 90.0 | 
| mp-639733 | box | -7.5851 | -7.5851 | 8.907 | 9.2134 | 16.0889 | 90.0 | 90.0 | 90.0 | 
| mp-600078 | box | -7.5847 | -7.5847 | 7.1296 | 7.1296 | 41.8159 | 90.0 | 90.0 | 90.0 | 
| mp-600051 | box | -7.5843 | -7.5843 | 9.1725 | 15.0389 | 19.2237 | 90.0 | 90.0 | 90.0 | 
| mp-600057 | box | -7.5841 | -7.5841 | 10.1923 | 12.5738 | 21.7297 | 90.0 | 90.0 | 90.0 | 
| mp-557118 | dynamic | -7.5835 | -7.5835 | 8.3738 | 8.7235 | 4.7802 | 90.0 | 90.0 | 90.0 | 
| mp-600028 | box | -7.5835 | -7.5835 | 13.5169 | 13.5169 | 13.5169 | 90.0 | 90.0 | 90.0 | 
| mp-639734 | box | -7.5835 | -7.5835 | 18.4856 | 18.4856 | 5.3045 | 90.0 | 90.0 | 90.0 | 
| mp-557930 | dynamic | -7.583 | -7.583 | 9.2955 | 9.2955 | 8.294 | 90.0 | 90.0 | 90.0 | 
| mp-557930 | static | -7.5828 | -7.5828 | 9.2878 | 9.2878 | 8.2717 | 90.0 | 90.0 | 90.0 | 
| mp-600053 | box | -7.5823 | -7.5823 | 5.2872 | 22.4462 | 13.9902 | 90.0 | 90.0 | 90.0 | 
| mp-600068 | dynamic | -7.581 | -7.581 | 10.2465 | 12.0955 | 10.1843 | 90.0 | 90.0 | 90.0 | 
| mp-600109 | box | -7.5808 | -7.5808 | 9.9707 | 9.9707 | 34.1087 | 90.0 | 90.0 | 90.0 | 
| mp-1257168 | box | -7.58 | -7.58 | 11.9777 | 11.9777 | 29.6745 | 90.0 | 90.0 | 120.0 | 
| mp-600023 | box | -7.5799 | -7.5799 | 13.5904 | 13.5904 | 13.5904 | 90.0 | 90.0 | 90.0 | 
| mp-639682 | box | -7.5795 | -7.5795 | 7.1694 | 7.1694 | 12.0007 | 90.0 | 90.0 | 90.0 | 
| mp-559962 | static | -7.5794 | -7.5794 | 19.1599 | 19.1599 | 19.1599 | 90.0 | 90.0 | 90.0 | 
| mp-639705 | box | -7.5788 | -7.5788 | 13.7725 | 13.7725 | 6.4239 | 90.0 | 90.0 | 90.0 | 
| mp-32895 | box | -7.5787 | -7.5787 | 24.3059 | 24.3059 | 24.3059 | 90.0 | 90.0 | 90.0 | 
| mp-600045 | box | -7.5784 | -7.5784 | 8.9178 | 19.3868 | 10.4213 | 90.0 | 90.0 | 90.0 | 
| mp-546546 | dynamic | -7.5781 | -7.5781 | 7.901 | 7.901 | 7.9771 | 90.0 | 90.0 | 120.0 | 
| mp-7087 | static | -7.5778 | -7.5778 | 5.3021 | 5.3021 | 8.5338 | 90.0 | 90.0 | 120.0 | 
| mp-1256614 | box | -7.5775 | -7.5775 | 18.0035 | 18.0035 | 7.5483 | 90.0 | 90.0 | 120.0 | 
| mp-600006 | dynamic | -7.577 | -7.577 | 8.576 | 8.576 | 14.1131 | 90.0 | 90.0 | 90.0 | 
| mp-600006 | static | -7.577 | -7.577 | 8.5759 | 8.5759 | 14.1132 | 90.0 | 90.0 | 90.0 | 
| mp-600038 | box | -7.5766 | -7.5766 | 13.7803 | 6.8946 | 6.4072 | 90.0 | 90.0 | 90.0 | 
| mp-7087 | box | -7.5765 | -7.5765 | 5.2919 | 5.2919 | 8.571 | 90.0 | 90.0 | 120.0 | 
| mp-600024 | box | -7.5765 | -7.5765 | 8.4243 | 13.9913 | 15.8911 | 90.0 | 90.0 | 90.0 | 
| mp-1203655 | box | -7.5764 | -7.5764 | 15.3193 | 15.3193 | 11.8954 | 90.0 | 90.0 | 90.0 | 
| mp-559928 | dynamic | -7.5761 | -7.5761 | 9.147 | 9.147 | 5.296 | 90.0 | 90.0 | 120.0 | 
| mp-600001 | box | -7.5753 | -7.5753 | 6.8938 | 6.8938 | 6.4073 | 90.0 | 90.0 | 90.0 | 
| mp-639748 | dynamic | -7.5753 | -7.5753 | 14.804 | 8.698 | 19.0994 | 90.0 | 90.0 | 90.0 | 
| mp-639748 | static | -7.5753 | -7.5753 | 14.8031 | 8.6978 | 19.0997 | 90.0 | 90.0 | 90.0 | 
| mp-680222 | dynamic | -7.575 | -7.575 | 22.6463 | 22.6463 | 10.0839 | 90.0 | 90.0 | 120.0 | 
| mp-680222 | static | -7.5748 | -7.5748 | 22.7259 | 22.7259 | 10.03 | 90.0 | 90.0 | 120.0 | 
| mp-600067 | box | -7.5748 | -7.5748 | 13.4309 | 13.4309 | 21.8544 | 90.0 | 90.0 | 90.0 | 
| mp-555165 | box | -7.5742 | -7.5742 | 8.8869 | 8.8869 | 15.9033 | 90.0 | 90.0 | 90.0 | 
| mp-559347 | box | -7.5733 | -7.5733 | 8.9826 | 8.9826 | 8.0585 | 90.0 | 90.0 | 90.0 | 
| mp-600068 | box | -7.5699 | -7.5699 | 10.2586 | 11.845 | 10.0418 | 90.0 | 90.0 | 90.0 | 
| mp-11684 | dynamic | -7.5696 | -7.5696 | 7.3497 | 12.6106 | 7.2448 | 90.0 | 119.6 | 90.0 | 
| mp-11684 | static | -7.5694 | -7.5694 | 7.3505 | 12.6011 | 7.2491 | 90.0 | 119.8 | 90.0 | 
| mp-559962 | box | -7.5689 | -7.5689 | 19.046 | 19.046 | 19.046 | 90.0 | 90.0 | 90.0 | 
| mp-558374 | dynamic | -7.5688 | -7.5688 | 10.2679 | 10.2679 | 10.2679 | 90.0 | 90.0 | 90.0 | 
| mp-600076 | box | -7.5688 | -7.5688 | 8.6139 | 8.6139 | 27.7568 | 90.0 | 90.0 | 90.0 | 
| mp-600049 | box | -7.5688 | -7.5688 | 8.712 | 11.4866 | 17.31 | 90.0 | 90.0 | 90.0 | 
| mp-8352 | static | -7.5678 | -7.5678 | 7.4768 | 7.4768 | 7.4768 | 90.0 | 90.0 | 90.0 | 
| mp-600039 | static | -7.5667 | -7.5667 | 15.9727 | 9.776 | 8.5674 | 90.0 | 90.0 | 90.0 | 
| mp-557118 | box | -7.5661 | -7.5661 | 7.9592 | 8.5947 | 4.7751 | 90.0 | 90.0 | 90.0 | 
| mp-559928 | box | -7.566 | -7.566 | 9.0935 | 9.0935 | 5.2908 | 90.0 | 90.0 | 120.0 | 
| mp-1201738 | static | -7.5631 | -7.5631 | 7.2489 | 25.1657 | 7.3113 | 90.0 | 119.4 | 90.0 | 
| mp-558374 | static | -7.5596 | -7.5596 | 10.4282 | 10.4282 | 10.4282 | 90.0 | 90.0 | 90.0 | 
| mp-600006 | box | -7.5594 | -7.5594 | 8.4576 | 8.4576 | 14.0053 | 90.0 | 90.0 | 90.0 | 
| mp-557873 | dynamic | -7.559 | -7.559 | 4.9479 | 7.1107 | 7.1861 | 114.7 | 104.0 | 102.4 | 
| mp-546546 | box | -7.5588 | -7.5588 | 7.8681 | 7.8681 | 7.9144 | 90.0 | 90.0 | 120.0 | 
| mp-557930 | box | -7.5583 | -7.5583 | 9.161 | 9.161 | 8.2092 | 90.0 | 90.0 | 90.0 | 
| mp-557873 | static | -7.5579 | -7.5579 | 4.9511 | 7.14 | 7.1617 | 115.2 | 104.1 | 101.6 | 
| mp-553993 | dynamic | -7.5553 | -7.5553 | 10.1106 | 10.1106 | 20.8909 | 90.0 | 90.0 | 90.0 | 
| mp-600039 | box | -7.555 | -7.555 | 15.9561 | 9.5171 | 8.5864 | 90.0 | 90.0 | 90.0 | 
| mp-555791 | dynamic | -7.5549 | -7.5549 | 20.5612 | 20.5612 | 20.5612 | 90.0 | 90.0 | 90.0 | 
| mp-555791 | static | -7.5547 | -7.5547 | 20.5251 | 20.5251 | 20.5251 | 90.0 | 90.0 | 90.0 | 
| mp-639748 | box | -7.5535 | -7.5535 | 14.682 | 8.6094 | 18.8442 | 90.0 | 90.0 | 90.0 | 
| mp-559740 | static | -7.5535 | -7.5535 | 10.048 | 10.048 | 10.3172 | 90.0 | 90.0 | 120.0 | 
| mp-560203 | box | -7.5519 | -7.5519 | 8.7109 | 10.4581 | 4.8348 | 90.0 | 90.0 | 90.0 | 
| mp-680222 | box | -7.55 | -7.55 | 22.7363 | 22.7363 | 9.7429 | 90.0 | 90.0 | 120.0 | 
| mp-558374 | box | -7.5453 | -7.5453 | 10.3656 | 10.3656 | 10.3656 | 90.0 | 90.0 | 90.0 | 
| mp-557024 | dynamic | -7.5379 | -7.5379 | 14.4765 | 14.4765 | 14.4765 | 90.0 | 90.0 | 90.0 | 
| mp-553993 | box | -7.5366 | -7.5366 | 9.9116 | 9.9116 | 20.882 | 90.0 | 90.0 | 90.0 | 
| mp-558564 | static | -7.5365 | -7.5365 | 13.1231 | 22.661 | 5.0177 | 90.0 | 105.0 | 90.0 | 
| mp-556985 | box | -7.534 | -7.534 | 4.9336 | 7.0379 | 7.0822 | 115.5 | 102.4 | 103.1 | 
| mp-555791 | box | -7.5318 | -7.5318 | 20.3363 | 20.3363 | 20.3363 | 90.0 | 90.0 | 90.0 | 
| mp-600026 | box | -7.5266 | -7.5266 | 4.9929 | 8.2354 | 14.045 | 90.0 | 90.0 | 90.0 | 
| mp-559740 | box | -7.5255 | -7.5255 | 9.9214 | 9.9214 | 10.27 | 90.0 | 90.0 | 120.0 | 
| mp-1205213 | static | -7.5219 | -7.5219 | 14.4965 | 14.5529 | 19.2285 | 90.0 | 90.0 | 90.0 | 
| mp-11684 | box | -7.5207 | -7.5207 | 7.1809 | 12.4745 | 7.1744 | 90.0 | 119.5 | 90.0 | 
| mp-1256499 | dynamic | -7.5191 | -7.5191 | 17.5225 | 17.5225 | 17.5225 | 90.0 | 90.0 | 90.0 | 
| mp-1201738 | box | -7.5149 | -7.5149 | 7.213 | 24.9456 | 7.1977 | 90.0 | 119.6 | 90.0 | 
| mp-600050 | dynamic | -7.5108 | -7.5108 | 20.3795 | 7.3283 | 9.8342 | 90.0 | 90.0 | 90.0 | 
| mp-600050 | static | -7.5108 | -7.5108 | 20.3822 | 7.328 | 9.8304 | 90.0 | 90.0 | 90.0 | 
| mp-558564 | box | -7.5105 | -7.5105 | 12.8202 | 22.3637 | 4.9459 | 90.0 | 104.1 | 90.0 | 
| mp-558200 | dynamic | -7.5007 | -7.5007 | 6.9406 | 6.9406 | 7.1779 | 90.0 | 90.0 | 90.0 | 
| mp-558569 | dynamic | -7.5003 | -7.5003 | 13.7364 | 13.7364 | 20.2814 | 90.0 | 90.0 | 120.0 | 
| mp-558569 | static | -7.498 | -7.498 | 13.8325 | 13.8325 | 19.8819 | 90.0 | 90.0 | 120.0 | 
| mp-557024 | box | -7.4973 | -7.4973 | 14.2114 | 14.2114 | 14.2114 | 90.0 | 90.0 | 90.0 | 
| mp-1205213 | box | -7.496 | -7.496 | 14.3144 | 14.4012 | 18.9885 | 90.0 | 90.0 | 90.0 | 
| mp-556662 | dynamic | -7.4939 | -7.4939 | 6.9762 | 7.6879 | 6.8022 | 90.0 | 102.8 | 90.0 | 
| mp-556994 | dynamic | -7.4907 | -7.4907 | 5.1832 | 5.2936 | 7.025 | 70.8 | 73.9 | 85.8 | 
| mp-556994 | static | -7.4907 | -7.4907 | 5.1833 | 5.2936 | 7.0251 | 70.8 | 73.9 | 85.8 | 
| mp-557591 | dynamic | -7.4904 | -7.4904 | 10.8639 | 10.8639 | 10.8639 | 90.0 | 90.0 | 90.0 | 
| mp-557873 | box | -7.4872 | -7.4872 | 4.9098 | 6.6954 | 6.9195 | 117.5 | 96.1 | 104.1 | 
| mp-557134 | dynamic | -7.4823 | -7.4823 | 6.9454 | 8.3125 | 7.0027 | 90.0 | 117.2 | 90.0 | 
| mp-557134 | static | -7.4823 | -7.4823 | 6.944 | 8.3135 | 7.0023 | 90.0 | 117.2 | 90.0 | 
| mp-1256499 | box | -7.4813 | -7.4813 | 17.1956 | 17.1956 | 17.1956 | 90.0 | 90.0 | 90.0 | 
| mp-1244945 | static | -7.4754 | -7.4754 | 11.2204 | 11.2872 | 11.5791 | 91.6 | 91.3 | 90.7 | 
| mp-558203 | dynamic | -7.4746 | -7.4746 | 15.8136 | 15.8136 | 9.8629 | 90.0 | 90.0 | 90.0 | 
| mp-558203 | static | -7.4746 | -7.4746 | 15.8134 | 15.8134 | 9.8632 | 90.0 | 90.0 | 90.0 | 
| mp-600050 | box | -7.4663 | -7.4663 | 20.232 | 7.1651 | 9.6565 | 90.0 | 90.0 | 90.0 | 
| mp-667448 | static | -7.4644 | -7.4644 | 20.5031 | 20.5031 | 13.458 | 90.0 | 90.0 | 90.0 | 
| mp-558569 | box | -7.4636 | -7.4636 | 13.6558 | 13.6558 | 19.4692 | 90.0 | 90.0 | 120.0 | 
| mp-556662 | box | -7.4596 | -7.4596 | 6.8634 | 7.5975 | 6.7661 | 90.0 | 103.6 | 90.0 | 
| mp-558200 | box | -7.455 | -7.455 | 6.8604 | 6.8604 | 7.0186 | 90.0 | 90.0 | 90.0 | 
| mp-555147 | dynamic | -7.4543 | -7.4543 | 7.0271 | 8.156 | 5.5195 | 90.0 | 97.8 | 90.0 | 
| mp-555147 | static | -7.4543 | -7.4543 | 7.0271 | 8.156 | 5.5195 | 90.0 | 97.8 | 90.0 | 
| mp-685184 | dynamic | -7.4527 | -7.4527 | 5.0685 | 5.0728 | 69.8388 | 88.1 | 89.0 | 60.1 | 
| mp-557591 | box | -7.4494 | -7.4494 | 10.6277 | 10.6277 | 10.6277 | 90.0 | 90.0 | 90.0 | 
| mp-1244945 | dynamic | -7.4489 | -7.4489 | 11.2254 | 11.505 | 11.5085 | 89.0 | 88.8 | 87.4 | 
| mp-1244965 | dynamic | -7.4447 | -7.4447 | 10.931 | 12.4111 | 12.6577 | 90.9 | 93.7 | 92.6 | 
| mp-1244965 | static | -7.4447 | -7.4447 | 10.9311 | 12.411 | 12.6578 | 90.9 | 93.7 | 92.6 | 
| mp-556553 | dynamic | -7.4428 | -7.4428 | 7.0554 | 8.1604 | 5.5739 | 90.0 | 98.0 | 90.0 | 
| mp-556553 | static | -7.4428 | -7.4428 | 7.0554 | 8.1605 | 5.5739 | 90.0 | 98.0 | 90.0 | 
| mp-556994 | box | -7.4423 | -7.4423 | 5.1255 | 5.189 | 6.9615 | 72.8 | 74.1 | 85.6 | 
| mp-560131 | dynamic | -7.4386 | -7.4386 | 12.8991 | 12.8991 | 5.0314 | 90.0 | 90.0 | 90.0 | 
| mp-560131 | static | -7.4386 | -7.4386 | 12.8992 | 12.8992 | 5.0315 | 90.0 | 90.0 | 90.0 | 
| mp-558203 | box | -7.4352 | -7.4352 | 15.5551 | 15.5551 | 9.8125 | 90.0 | 90.0 | 90.0 | 
| mp-1245026 | dynamic | -7.4333 | -7.4333 | 11.5346 | 11.6527 | 12.5205 | 94.7 | 90.8 | 94.7 | 
| mp-557134 | box | -7.4265 | -7.4265 | 6.7472 | 8.2201 | 6.8812 | 90.0 | 116.2 | 90.0 | 
| mp-556088 | dynamic | -7.4239 | -7.4239 | 10.2597 | 12.8455 | 14.0945 | 90.0 | 90.0 | 90.0 | 
| mp-556088 | static | -7.4239 | -7.4239 | 10.2597 | 12.845 | 14.0951 | 90.0 | 90.0 | 90.0 | 
| mp-554175 | dynamic | -7.4214 | -7.4214 | 13.8006 | 13.8006 | 10.4397 | 90.0 | 90.0 | 90.0 | 
| mp-554175 | static | -7.4213 | -7.4213 | 13.7817 | 13.7817 | 10.4495 | 90.0 | 90.0 | 90.0 | 
| mp-560152 | dynamic | -7.4154 | -7.4154 | 11.4197 | 11.4197 | 5.1094 | 90.0 | 90.0 | 90.0 | 
| mp-555147 | box | -7.4078 | -7.4078 | 6.8708 | 8.2015 | 5.4569 | 90.0 | 100.3 | 90.0 | 
| mp-1244968 | dynamic | -7.4077 | -7.4077 | 11.806 | 12.3862 | 12.5553 | 93.7 | 95.3 | 90.2 | 
| mp-556319 | dynamic | -7.4013 | -7.4013 | 5.0559 | 5.4479 | 6.3351 | 88.6 | 89.5 | 89.3 | 
| mp-560131 | box | -7.3931 | -7.3931 | 12.7948 | 12.7948 | 5.0012 | 90.0 | 90.0 | 90.0 | 
| mp-556553 | box | -7.3918 | -7.3918 | 6.9685 | 8.3482 | 5.487 | 90.0 | 101.3 | 90.0 | 
| mp-683970 | static | -7.3917 | -7.3917 | 9.7666 | 20.6831 | 20.6975 | 90.0 | 90.0 | 90.0 | 
| mp-556088 | box | -7.3776 | -7.3776 | 10.0481 | 12.552 | 14.0517 | 90.0 | 90.0 | 90.0 | 
| mp-1200685 | box | -7.3753 | -7.3753 | 10.0524 | 12.5549 | 14.0395 | 90.0 | 90.0 | 90.0 | 
| mp-556588 | dynamic | -7.3753 | -7.3753 | 5.255 | 6.9436 | 7.1487 | 67.4 | 74.9 | 80.1 | 
| mp-554175 | box | -7.3718 | -7.3718 | 13.515 | 13.515 | 10.2109 | 90.0 | 90.0 | 90.0 | 
| mp-555960 | dynamic | -7.3655 | -7.3655 | 9.8577 | 12.7478 | 14.0766 | 90.8 | 94.6 | 90.0 | 
| mp-556319 | box | -7.3648 | -7.3648 | 5.0399 | 5.3834 | 6.2175 | 90.7 | 90.2 | 90.3 | 
| mp-559829 | dynamic | -7.3629 | -7.3629 | 20.9204 | 20.9204 | 20.9204 | 90.0 | 90.0 | 90.0 | 
| mp-559829 | static | -7.3629 | -7.3629 | 20.921 | 20.921 | 20.921 | 90.0 | 90.0 | 90.0 | 
| mp-600096 | dynamic | -7.3619 | -7.3619 | 18.1527 | 18.1527 | 18.1527 | 90.0 | 90.0 | 90.0 | 
| mp-600096 | static | -7.3607 | -7.3607 | 17.9814 | 17.9814 | 17.9814 | 90.0 | 90.0 | 90.0 | 
| mp-1244965 | box | -7.3602 | -7.3602 | 10.6625 | 12.1055 | 12.348 | 91.3 | 92.4 | 91.0 | 
| mp-556068 | static | -7.3591 | -7.3591 | 18.4489 | 18.4489 | 18.4489 | 90.0 | 90.0 | 90.0 | 
| mp-556588 | static | -7.3566 | -7.3566 | 5.2237 | 5.2987 | 6.8889 | 80.1 | 79.8 | 82.3 | 
| mp-560152 | box | -7.3561 | -7.3561 | 11.4031 | 11.4031 | 5.0592 | 90.0 | 90.0 | 90.0 | 
| mp-556963 | dynamic | -7.3557 | -7.3557 | 11.7977 | 11.7977 | 4.476 | 90.0 | 90.0 | 120.0 | 
| mp-556963 | static | -7.3557 | -7.3557 | 11.7979 | 11.7979 | 4.4763 | 90.0 | 90.0 | 120.0 | 
| mp-12350 | static | -7.3547 | -7.3547 | 15.2995 | 15.2995 | 15.2995 | 90.0 | 90.0 | 90.0 | 
| mp-34150 | static | -7.351 | -7.351 | 9.6824 | 21.3813 | 10.0064 | 90.0 | 96.7 | 90.0 | 
| mp-685184 | static | -7.3478 | -7.3478 | 5.1564 | 5.1624 | 58.3737 | 89.4 | 88.3 | 60.0 | 
| mp-556880 | static | -7.3478 | -7.3478 | 5.1519 | 5.5733 | 6.8968 | 67.6 | 88.8 | 84.3 | 
| mp-561291 | static | -7.3406 | -7.3406 | 6.5253 | 6.5253 | 8.4143 | 90.0 | 90.0 | 90.0 | 
| mp-1244945 | box | -7.3389 | -7.3389 | 10.9337 | 11.1712 | 11.4085 | 90.3 | 90.0 | 90.7 | 
| mp-555544 | static | -7.3323 | -7.3323 | 5.0102 | 16.8543 | 20.3853 | 90.0 | 90.0 | 90.0 | 
| mp-683970 | box | -7.3291 | -7.3291 | 9.5987 | 20.199 | 20.3252 | 90.0 | 90.0 | 90.0 | 
| mp-559860 | static | -7.3218 | -7.3218 | 7.995 | 8.3899 | 11.4056 | 90.0 | 90.0 | 90.0 | 
| mp-1179529 | box | -7.3193 | -7.3193 | 9.6989 | 9.6989 | 9.7577 | 90.0 | 90.0 | 90.0 | 
| mp-545719 | static | -7.3183 | -7.3183 | 5.6493 | 5.6493 | 11.5236 | 90.0 | 90.0 | 90.0 | 
| mp-556963 | box | -7.3171 | -7.3171 | 11.6041 | 11.6041 | 4.443 | 90.0 | 90.0 | 120.0 | 
| mp-667448 | box | -7.3165 | -7.3165 | 19.927 | 19.927 | 13.4018 | 90.0 | 90.0 | 90.0 | 
| mp-560954 | static | -7.3139 | -7.3139 | 5.8577 | 5.8577 | 22.7807 | 90.0 | 90.0 | 90.0 | 
| mp-556880 | box | -7.3136 | -7.3136 | 5.1717 | 5.4765 | 6.5276 | 109.8 | 90.9 | 96.5 | 
| mp-1245026 | box | -7.313 | -7.313 | 11.3048 | 11.5046 | 12.2242 | 95.1 | 91.4 | 95.5 | 
| mp-1244968 | static | -7.3088 | -7.3088 | 11.8816 | 12.1 | 12.3873 | 85.7 | 88.0 | 87.9 | 
| mp-556132 | dynamic | -7.3071 | -7.3071 | 7.7648 | 4.3518 | 8.67 | 90.0 | 90.0 | 90.0 | 
| mp-559860 | box | -7.3065 | -7.3065 | 7.7803 | 8.4071 | 11.3487 | 90.0 | 90.0 | 90.0 | 
| mp-1265115 | box | -7.3044 | -7.3044 | 2.8357 | 11.4966 | 11.5938 | 89.2 | 83.0 | 83.1 | 
| mp-560954 | box | -7.2985 | -7.2985 | 5.795 | 5.795 | 22.7287 | 90.0 | 90.0 | 90.0 | 
| mp-561291 | box | -7.2953 | -7.2953 | 6.5422 | 6.5422 | 8.0672 | 90.0 | 90.0 | 90.0 | 
| mp-545719 | box | -7.2949 | -7.2949 | 5.5994 | 5.5994 | 11.3882 | 90.0 | 90.0 | 90.0 | 
| mp-555544 | box | -7.2917 | -7.2917 | 4.9587 | 15.02 | 20.9405 | 90.0 | 90.0 | 90.0 | 
| mp-559605 | static | -7.2916 | -7.2916 | 14.5289 | 14.5289 | 5.0607 | 90.0 | 90.0 | 120.0 | 
| mp-559605 | box | -7.2894 | -7.2894 | 14.5078 | 14.5078 | 5.0668 | 90.0 | 90.0 | 120.0 | 
| mp-557244 | dynamic | -7.2867 | -7.2867 | 4.3267 | 4.5677 | 15.8377 | 90.0 | 90.0 | 90.0 | 
| mp-604717 | box | -7.2843 | -7.2843 | 9.4852 | 9.4852 | 9.7542 | 90.0 | 90.0 | 90.0 | 
| mp-559829 | box | -7.2826 | -7.2826 | 20.5309 | 20.5309 | 20.5309 | 90.0 | 90.0 | 90.0 | 
| mp-556068 | box | -7.278 | -7.278 | 18.113 | 18.113 | 18.113 | 90.0 | 90.0 | 90.0 | 
| mp-12350 | box | -7.2771 | -7.2771 | 15.0128 | 15.0128 | 15.0128 | 90.0 | 90.0 | 90.0 | 
| mp-683947 | box | -7.2756 | -7.2756 | 2.8355 | 11.3146 | 11.3827 | 88.7 | 83.4 | 83.5 | 
| mp-600096 | box | -7.2743 | -7.2743 | 17.5917 | 17.5917 | 17.5917 | 90.0 | 90.0 | 90.0 | 
| mp-572283 | box | -7.2694 | -7.2694 | 11.619 | 11.619 | 4.3951 | 90.0 | 90.0 | 90.0 | 
| mp-557244 | box | -7.2596 | -7.2596 | 4.2383 | 4.3706 | 15.7944 | 90.0 | 90.0 | 90.0 | 
| mp-554665 | static | -7.2427 | -7.2427 | 8.3981 | 8.3981 | 5.6299 | 90.0 | 90.0 | 90.0 | 
| mp-556132 | box | -7.2403 | -7.2403 | 7.815 | 4.1841 | 8.2626 | 90.0 | 90.0 | 90.0 | 
| mp-560836 | dynamic | -7.2267 | -7.2267 | 8.8423 | 8.8423 | 8.8423 | 90.0 | 90.0 | 90.0 | 
| mp-557723 | static | -7.2113 | -7.2113 | 7.0632 | 7.0632 | 13.4207 | 90.0 | 90.0 | 120.0 | 
| mp-673168 | dynamic | -7.1961 | -7.1961 | 8.8113 | 4.9559 | 10.8217 | 90.0 | 96.2 | 90.0 | 
| mp-673168 | static | -7.1961 | -7.1961 | 8.8113 | 4.9559 | 10.587 | 90.0 | 90.3 | 90.0 | 
| mp-554665 | box | -7.1912 | -7.1912 | 8.2276 | 8.2276 | 5.5195 | 90.0 | 90.0 | 90.0 | 
| mp-555497 | dynamic | -7.1854 | -7.1854 | 12.3647 | 12.3647 | 12.3647 | 90.0 | 90.0 | 90.0 | 
| mp-560836 | box | -7.1783 | -7.1783 | 8.6802 | 8.6802 | 8.6802 | 90.0 | 90.0 | 90.0 | 
| mp-557723 | box | -7.1777 | -7.1777 | 6.9538 | 6.9538 | 13.4248 | 90.0 | 90.0 | 120.0 | 
| mp-558931 | static | -7.1745 | -7.1745 | 21.8459 | 21.8459 | 21.8459 | 90.0 | 90.0 | 90.0 | 
| mp-556788 | dynamic | -7.1714 | -7.1714 | 5.3369 | 5.482 | 6.3837 | 95.9 | 101.0 | 117.5 | 
| mp-556788 | static | -7.1714 | -7.1714 | 5.3368 | 5.4821 | 6.3836 | 95.9 | 101.0 | 117.5 | 
| mp-556537 | dynamic | -7.1713 | -7.1713 | 10.2852 | 10.2852 | 10.2852 | 90.0 | 90.0 | 90.0 | 
| mp-556464 | static | -7.1708 | -7.1708 | 8.4129 | 8.4129 | 7.7242 | 90.0 | 90.0 | 120.0 | 
| mp-555676 | static | -7.1697 | -7.1697 | 4.6178 | 8.451 | 9.3519 | 90.0 | 90.0 | 90.0 | 
| mp-34150 | box | -7.1683 | -7.1683 | 9.3159 | 20.5775 | 9.9209 | 90.0 | 96.7 | 90.0 | 
| mp-555394 | static | -7.1604 | -7.1604 | 17.6961 | 17.8292 | 18.1331 | 90.0 | 90.0 | 90.0 | 
| mp-559273 | dynamic | -7.1364 | -7.1364 | 17.215 | 17.215 | 13.7925 | 90.0 | 90.0 | 120.0 | 
| mp-559273 | static | -7.1364 | -7.1364 | 17.2355 | 17.2355 | 13.749 | 90.0 | 90.0 | 120.0 | 
| mp-1204026 | dynamic | -7.1349 | -7.1349 | 15.7259 | 15.7259 | 15.7259 | 90.0 | 90.0 | 90.0 | 
| mp-1204026 | static | -7.1348 | -7.1348 | 15.7276 | 15.7276 | 15.7276 | 90.0 | 90.0 | 90.0 | 
| mp-559389 | dynamic | -7.1343 | -7.1343 | 8.492 | 8.492 | 11.2318 | 90.0 | 90.0 | 120.0 | 
| mp-559389 | static | -7.1343 | -7.1343 | 8.492 | 8.492 | 11.2313 | 90.0 | 90.0 | 120.0 | 
| mp-555960 | static | -7.1313 | -7.1313 | 10.0828 | 13.4866 | 14.3453 | 80.3 | 83.4 | 89.2 | 
| mp-558931 | box | -7.129 | -7.129 | 21.6176 | 21.6176 | 21.6176 | 90.0 | 90.0 | 90.0 | 
| mp-555676 | box | -7.1279 | -7.1279 | 4.5728 | 8.1172 | 9.3599 | 90.0 | 90.0 | 90.0 | 
| mp-558301 | dynamic | -7.1205 | -7.1205 | 19.5083 | 18.998 | 5.4352 | 90.0 | 95.5 | 90.0 | 
| mp-685184 | box | -7.1095 | -7.1095 | 5.0703 | 5.1092 | 56.8237 | 89.0 | 88.3 | 60.7 | 
| mp-556464 | box | -7.0997 | -7.0997 | 8.2521 | 8.2521 | 7.6225 | 90.0 | 90.0 | 120.0 | 
| mp-557076 | static | -7.0993 | -7.0993 | 8.2667 | 8.2667 | 29.2301 | 90.0 | 90.0 | 120.0 | 
| mp-556537 | box | -7.096 | -7.096 | 10.1033 | 10.1033 | 10.1033 | 90.0 | 90.0 | 90.0 | 
| mp-1244968 | box | -7.0927 | -7.0927 | 11.487 | 11.8299 | 12.2061 | 88.8 | 86.5 | 87.1 | 
| mp-555497 | box | -7.0871 | -7.0871 | 12.0805 | 12.0805 | 12.0805 | 90.0 | 90.0 | 90.0 | 
| mp-555394 | box | -7.087 | -7.087 | 17.4742 | 17.6228 | 17.1324 | 90.0 | 90.0 | 90.0 | 
| mp-673168 | box | -7.0784 | -7.0784 | 8.5231 | 5.1822 | 9.0713 | 90.0 | 96.3 | 90.0 | 
| mp-1204026 | box | -7.0723 | -7.0723 | 15.4825 | 15.4825 | 15.4825 | 90.0 | 90.0 | 90.0 | 
| mp-556788 | box | -7.0684 | -7.0684 | 5.168 | 5.4124 | 5.951 | 95.8 | 99.3 | 117.1 | 
| mp-559273 | box | -7.0644 | -7.0644 | 17.1956 | 17.1956 | 12.5784 | 90.0 | 90.0 | 120.0 | 
| mp-559389 | box | -7.0639 | -7.0639 | 8.4276 | 8.4276 | 10.7361 | 90.0 | 90.0 | 120.0 | 
| mp-557653 | box | -7.0504 | -7.0504 | 4.8396 | 5.6955 | 5.2333 | 90.0 | 104.6 | 90.0 | 
| mp-556588 | box | -7.0426 | -7.0426 | 4.8296 | 4.8717 | 5.8979 | 91.1 | 93.1 | 104.0 | 
| mp-557076 | box | -7.041 | -7.041 | 7.9645 | 7.9645 | 30.2666 | 90.0 | 90.0 | 120.0 | 
| mp-556812 | dynamic | -7.0407 | -7.0407 | 8.4326 | 8.4326 | 10.6142 | 90.0 | 90.0 | 120.0 | 
| mp-553881 | static | -7.0386 | -7.0386 | 4.4869 | 4.4696 | 8.5817 | 90.0 | 119.1 | 90.0 | 
| mp-558301 | box | -7.0226 | -7.0226 | 19.3043 | 18.6804 | 5.141 | 90.0 | 97.6 | 90.0 | 
| mp-556812 | box | -7.0046 | -7.0046 | 8.3755 | 8.3755 | 10.438 | 90.0 | 90.0 | 120.0 | 
| mp-1204070 | box | -6.9797 | -6.9797 | 8.354 | 8.3749 | 10.4061 | 89.8 | 89.8 | 60.2 | 
| mp-555960 | box | -6.943 | -6.943 | 9.7208 | 12.6356 | 13.1502 | 93.9 | 91.7 | 95.5 | 
| mp-553881 | box | -6.9309 | -6.9309 | 4.338 | 4.3364 | 8.1484 | 90.0 | 121.3 | 90.0 | 
| mp-1179488 | static | -6.9249 | -6.9249 | 16.2779 | 9.5683 | 19.9274 | 90.0 | 99.1 | 90.0 | 
| mp-556376 | box | -6.9017 | -6.9017 | 4.445 | 4.3271 | 7.8252 | 90.0 | 94.8 | 90.0 | 
| mp-561301 | static | -6.9014 | -6.9014 | 13.1256 | 13.1256 | 13.1256 | 90.0 | 90.0 | 90.0 | 
| mp-560754 | static | -6.8576 | -6.8576 | 12.6844 | 12.6844 | 4.5882 | 90.0 | 90.0 | 90.0 | 
| mp-556027 | static | -6.8568 | -6.8568 | 16.5971 | 16.5971 | 4.8036 | 90.0 | 90.0 | 120.0 | 
| mp-556027 | box | -6.8555 | -6.8555 | 16.5798 | 16.5798 | 4.7962 | 90.0 | 90.0 | 120.0 | 
| mp-557771 | static | -6.8415 | -6.8415 | 18.5012 | 18.5012 | 9.6095 | 90.0 | 90.0 | 120.0 | 
| mp-1021503 | dynamic | -6.8194 | -6.8194 | 3.8581 | 3.8581 | 3.8581 | 90.0 | 90.0 | 90.0 | 
| mp-556257 | box | -6.812 | -6.812 | 21.7917 | 21.7917 | 21.7917 | 90.0 | 90.0 | 90.0 | 
| mp-561488 | static | -6.8068 | -6.8068 | 19.4113 | 19.4113 | 7.4625 | 90.0 | 90.0 | 120.0 | 
| mp-560754 | box | -6.7749 | -6.7749 | 12.5547 | 12.5547 | 4.3692 | 90.0 | 90.0 | 90.0 | 
| mp-561301 | box | -6.7643 | -6.7643 | 12.7295 | 12.7295 | 12.7295 | 90.0 | 90.0 | 90.0 | 
| mp-638033 | box | -6.7345 | -6.7345 | 4.8374 | 4.8374 | 15.3272 | 90.0 | 90.0 | 90.0 | 
| mp-555355 | static | -6.7288 | -6.7288 | 13.6466 | 13.6466 | 5.0639 | 90.0 | 90.0 | 120.0 | 
| mp-545488 | box | -6.7195 | -6.7195 | 4.8782 | 4.8181 | 8.5478 | 90.0 | 117.5 | 90.0 | 
| mp-555823 | static | -6.7021 | -6.7021 | 13.6486 | 13.6486 | 5.0028 | 90.0 | 90.0 | 120.0 | 
| mp-561488 | box | -6.7019 | -6.7019 | 18.4309 | 18.4309 | 7.2062 | 90.0 | 90.0 | 120.0 | 
| mp-554397 | box | -6.6913 | -6.6913 | 7.5394 | 4.8186 | 9.5139 | 90.0 | 90.0 | 90.0 | 
| mp-557814 | box | -6.6836 | -6.6836 | 13.3353 | 13.3353 | 13.3353 | 90.0 | 90.0 | 90.0 | 
| mp-555411 | static | -6.6566 | -6.6566 | 5.4777 | 10.511 | 24.3893 | 90.0 | 90.0 | 90.0 | 
| mp-555411 | box | -6.6172 | -6.6172 | 5.5757 | 10.173 | 24.0553 | 90.0 | 90.0 | 90.0 | 
| mp-557017 | box | -6.6121 | -6.6121 | 11.4045 | 11.4045 | 5.1454 | 90.0 | 90.0 | 90.0 | 
| mp-556044 | static | -6.6045 | -6.6045 | 13.9743 | 13.9743 | 5.6798 | 90.0 | 90.0 | 120.0 | 
| mp-683952 | box | -6.604 | -6.604 | 13.2035 | 13.2035 | 13.2035 | 90.0 | 90.0 | 90.0 | 
| mp-557771 | box | -6.5739 | -6.5739 | 18.4018 | 18.4018 | 8.1467 | 90.0 | 90.0 | 120.0 | 
| mp-558733 | static | -6.4233 | -6.4233 | 14.2843 | 5.4864 | 5.1017 | 90.0 | 101.3 | 90.0 | 
| mp-555355 | box | -6.3392 | -6.3392 | 12.6555 | 12.6555 | 4.0349 | 90.0 | 90.0 | 120.0 | 
| mp-555823 | box | -6.3325 | -6.3325 | 12.8864 | 12.8864 | 4.0634 | 90.0 | 90.0 | 120.0 | 
| mp-558366 | box | -6.3194 | -6.3194 | 8.6253 | 9.9506 | 4.0863 | 90.0 | 90.0 | 90.0 | 
| mp-1071820 | dynamic | -6.2281 | -6.2281 | 4.8432 | 7.776 | 4.92 | 90.0 | 90.0 | 90.0 | 
| mp-1071820 | static | -6.2281 | -6.2281 | 4.8432 | 7.7761 | 4.92 | 90.0 | 90.0 | 90.0 | 
| mp-557194 | box | -6.1824 | -6.1824 | 8.6893 | 8.6893 | 4.8562 | 90.0 | 90.0 | 120.0 | 
| mp-1071820 | box | -6.1489 | -6.1489 | 4.503 | 7.0748 | 4.9244 | 90.0 | 90.0 | 90.0 | 
| mp-683953 | static | -6.1479 | -6.1479 | 17.682 | 17.682 | 17.682 | 90.0 | 90.0 | 90.0 | 
| mp-7905 | box | -6.141 | -6.141 | 5.2996 | 6.2249 | 4.9446 | 90.0 | 90.0 | 90.0 | 
| mp-638038 | box | -6.0908 | -6.0908 | 9.5955 | 9.5955 | 4.8202 | 90.0 | 90.0 | 90.0 | 
| mp-554498 | box | -6.0856 | -6.0856 | 13.2811 | 13.2811 | 4.1015 | 90.0 | 90.0 | 120.0 | 
| mp-683953 | box | -5.9743 | -5.9743 | 16.781 | 16.781 | 16.781 | 90.0 | 90.0 | 90.0 | 
| mp-556564 | box | -5.9256 | -5.9256 | 11.4237 | 11.4237 | 5.0871 | 90.0 | 90.0 | 90.0 | 
| mp-556044 | box | -5.8809 | -5.8809 | 12.7987 | 12.7987 | 5.1471 | 90.0 | 90.0 | 120.0 | 
| mp-6947 | box | -5.8494 | -5.8494 | 4.5096 | 4.5096 | 2.8417 | 90.0 | 90.0 | 90.0 | 
| mp-32667 | box | -5.7778 | -5.7778 | 7.3831 | 4.4353 | 5.3959 | 90.0 | 101.6 | 90.0 | 
| mp-10948 | box | -5.7555 | -5.7555 | 4.4224 | 5.4151 | 4.813 | 90.0 | 90.0 | 90.0 | 
| mp-558733 | box | -5.7395 | -5.7395 | 13.5809 | 5.2855 | 5.0866 | 90.0 | 97.4 | 90.0 | 
| mp-638035 | static | -5.4073 | -5.4073 | 12.1564 | 12.1564 | 9.9602 | 90.0 | 90.0 | 120.0 | 
| mp-9258 | box | -5.3183 | -5.3183 | 4.8218 | 4.8218 | 4.8218 | 90.0 | 90.0 | 90.0 | 
| mp-638049 | static | -5.239 | -5.239 | 14.5608 | 14.5608 | 14.5608 | 90.0 | 90.0 | 90.0 | 
| mp-638035 | box | -4.9478 | -4.9478 | 11.5788 | 11.5788 | 6.2317 | 90.0 | 90.0 | 120.0 | 
| mp-558598 | box | -4.8587 | -4.8587 | 11.5026 | 11.5026 | 11.5026 | 90.0 | 90.0 | 90.0 | 
| C1--CaF2--fluorite | static | -4.6341 | -4.6341 | 5.1504 | 5.1504 | 5.1504 | 90.0 | 90.0 | 90.0 | 
| mp-638049 | box | -4.5087 | -4.5087 | 12.2774 | 12.2774 | 12.2774 | 90.0 | 90.0 | 90.0 | 
Download raw data (including filtered results)
Reference structure matches:
| prototype | method | Ecoh (eV/atom) | Epot (eV/atom) | a0 (Å) | b0 (Å) | c0 (Å) | α (degrees) | β (degrees) | γ (degrees) | 
|---|---|---|---|---|---|---|---|---|---|
| mp-1194828 | static | -7.1006 | -7.1006 | 24.816 | 14.0249 | 12.5279 | 90.0 | 109.6 | 90.0 | 
| mp-1194828 | box | -7.0484 | -7.0484 | 24.5354 | 13.9107 | 12.3783 | 90.0 | 109.5 | 90.0 | 
Download raw data (including filtered results)
Reference structure matches:
| prototype | method | Ecoh (eV/atom) | Epot (eV/atom) | a0 (Å) | b0 (Å) | c0 (Å) | α (degrees) | β (degrees) | γ (degrees) | 
|---|---|---|---|---|---|---|---|---|---|
| D0_3--BiF3 | static | -1.6495 | -1.6495 | 6.7661 | 6.7661 | 6.7661 | 90.0 | 90.0 | 90.0 | 
| A15--Cr3Si | box | -1.6358 | -1.6358 | 5.2482 | 5.2482 | 5.2482 | 90.0 | 90.0 | 90.0 | 
| L1_2--AuCu3 | box | -1.3193 | -1.3193 | 4.0909 | 4.0909 | 4.0909 | 90.0 | 90.0 | 90.0 | 
| A15--Cr3Si | dynamic | 0.0 | 0.0 | 11.0 | 11.0 | 11.0 | 90.0 | 90.0 | 90.0 | 
Download raw data (including filtered results)
Reference structure matches:
| prototype | method | Ecoh (eV/atom) | Epot (eV/atom) | a0 (Å) | b0 (Å) | c0 (Å) | α (degrees) | β (degrees) | γ (degrees) | 
|---|---|---|---|---|---|---|---|---|---|
| mp-1179195 | dynamic | -7.8429 | -7.8429 | 20.833 | 8.989 | 14.6431 | 90.0 | 134.3 | 90.0 | 
| mp-1179195 | static | -7.8291 | -7.8291 | 19.4476 | 8.8382 | 14.1408 | 90.0 | 131.3 | 90.0 | 
| mp-1179195 | box | -7.5943 | -7.5943 | 19.34 | 8.6884 | 13.7987 | 90.0 | 130.5 | 90.0 | 
Download raw data (including filtered results)
Reference structure matches:
| prototype | method | Ecoh (eV/atom) | Epot (eV/atom) | a0 (Å) | b0 (Å) | c0 (Å) | α (degrees) | β (degrees) | γ (degrees) | 
|---|---|---|---|---|---|---|---|---|---|
| mp-685105 | dynamic | -4.2358 | -4.2358 | 5.382 | 11.2888 | 54.0223 | 91.4 | 90.5 | 102.3 | 
| mp-685105 | static | -3.9459 | -3.9459 | 9.3581 | 13.821 | 14.013 | 94.9 | 102.1 | 104.0 | 
| mp-685105 | box | -0.6427 | -0.6427 | 7.3049 | 7.5348 | 20.4656 | 94.3 | 97.1 | 108.4 | 
Download raw data (including filtered results)
Reference structure matches:
| prototype | method | Ecoh (eV/atom) | Epot (eV/atom) | a0 (Å) | b0 (Å) | c0 (Å) | α (degrees) | β (degrees) | γ (degrees) | 
|---|---|---|---|---|---|---|---|---|---|
| mp-862998 | dynamic | -6.6101 | -6.6101 | 25.4114 | 7.9537 | 5.0919 | 90.0 | 90.0 | 90.0 | 
| mp-862998 | static | -6.6027 | -6.6027 | 20.5101 | 7.685 | 5.0872 | 90.0 | 90.0 | 90.0 | 
Download raw data (including filtered results)
Reference structure matches:
| prototype | method | Ecoh (eV/atom) | Epot (eV/atom) | a0 (Å) | b0 (Å) | c0 (Å) | α (degrees) | β (degrees) | γ (degrees) | 
|---|---|---|---|---|---|---|---|---|---|
| mp-638900 | dynamic | -6.7005 | -6.7005 | 7.6505 | 9.2683 | 11.6245 | 79.7 | 70.9 | 66.1 | 
| mp-638900 | static | -6.6728 | -6.6728 | 7.2172 | 9.7302 | 9.7635 | 91.6 | 101.3 | 109.3 | 
| mp-638900 | box | -6.2847 | -6.2847 | 8.863 | 8.867 | 8.959 | 109.9 | 99.8 | 97.6 | 
Download raw data (including filtered results)
Reference structure matches:
| prototype | method | Ecoh (eV/atom) | Epot (eV/atom) | a0 (Å) | b0 (Å) | c0 (Å) | α (degrees) | β (degrees) | γ (degrees) | 
|---|---|---|---|---|---|---|---|---|---|
| mp-1219421 | static | -6.1714 | -6.1714 | 5.2324 | 10.842 | 19.8391 | 90.0 | 90.0 | 90.0 | 
| mp-1219421 | box | -4.2625 | -4.2625 | 5.0646 | 11.0861 | 16.586 | 90.0 | 90.0 | 90.0 | 
Download raw data (including filtered results)
Reference structure matches:
| prototype | method | Ecoh (eV/atom) | Epot (eV/atom) | a0 (Å) | b0 (Å) | c0 (Å) | α (degrees) | β (degrees) | γ (degrees) | 
|---|---|---|---|---|---|---|---|---|---|
| mp-1179651 | static | -7.8891 | -7.8891 | 6.9418 | 6.9523 | 13.443 | 80.3 | 80.0 | 62.0 | 
| mp-1179651 | box | -6.9004 | -6.9004 | 6.5895 | 6.5988 | 11.9042 | 77.1 | 76.6 | 68.3 | 
Download raw data (including filtered results)
Reference structure matches:
| prototype | method | Ecoh (eV/atom) | Epot (eV/atom) | a0 (Å) | b0 (Å) | c0 (Å) | α (degrees) | β (degrees) | γ (degrees) | 
|---|---|---|---|---|---|---|---|---|---|
| mp-1179275 | static | -6.9849 | -6.9849 | 7.8244 | 7.8244 | 31.2772 | 90.0 | 90.0 | 90.0 | 
| mp-1179275 | box | -6.7616 | -6.7616 | 7.6584 | 7.6584 | 28.7537 | 90.0 | 90.0 | 90.0 | 
Download raw data (including filtered results)
Reference structure matches:
| prototype | method | Ecoh (eV/atom) | Epot (eV/atom) | a0 (Å) | b0 (Å) | c0 (Å) | α (degrees) | β (degrees) | γ (degrees) | 
|---|---|---|---|---|---|---|---|---|---|
| mp-32761 | dynamic | -7.2031 | -7.2031 | 5.4166 | 5.4166 | 20.8044 | 90.0 | 90.0 | 120.0 | 
| mp-32761 | static | -7.2031 | -7.2031 | 5.4164 | 5.4164 | 18.2913 | 90.0 | 90.0 | 120.0 | 
| B3--ZnS--cubic-zinc-blende | static | -5.5988 | -5.5988 | 4.2335 | 4.2335 | 4.2335 | 90.0 | 90.0 | 90.0 | 
| mp-32761 | box | -5.311 | -5.311 | 4.7333 | 4.7333 | 8.3894 | 90.0 | 90.0 | 120.0 | 
| B1--NaCl--rock-salt | static | -4.2968 | -4.2968 | 4.4763 | 4.4763 | 4.4763 | 90.0 | 90.0 | 90.0 | 
| B2--CsCl | box | -3.544 | -3.544 | 2.7217 | 2.7217 | 2.7217 | 90.0 | 90.0 | 90.0 | 
Download raw data (including filtered results)
Reference structure matches:
| prototype | method | Ecoh (eV/atom) | Epot (eV/atom) | a0 (Å) | b0 (Å) | c0 (Å) | α (degrees) | β (degrees) | γ (degrees) | 
|---|---|---|---|---|---|---|---|---|---|
| mp-1208867 | box | -2.7489 | -2.7489 | 8.9745 | 8.9745 | 8.9745 | 90.0 | 90.0 | 90.0 | 
| C1--CaF2--fluorite | box | -0.8782 | -0.8782 | 7.6401 | 7.6401 | 7.6401 | 90.0 | 90.0 | 90.0 | 
Download raw data (including filtered results)
Reference structure matches:
| prototype | method | Ecoh (eV/atom) | Epot (eV/atom) | a0 (Å) | b0 (Å) | c0 (Å) | α (degrees) | β (degrees) | γ (degrees) | 
|---|---|---|---|---|---|---|---|---|---|
| mp-32566 | dynamic | -3.8101 | -3.8101 | 37.8503 | 7.8994 | 16.5806 | 90.0 | 100.8 | 90.0 | 
| mp-32881 | dynamic | -3.8101 | -3.8101 | 36.6234 | 8.1575 | 17.265 | 90.0 | 104.2 | 90.0 | 
| mp-32566 | static | -3.0117 | -3.0117 | 20.1781 | 7.3176 | 20.0276 | 90.0 | 113.7 | 90.0 | 
| L1_2--AuCu3 | static | -0.0 | -0.0 | 7.7782 | 7.7782 | 7.7782 | 90.0 | 90.0 | 90.0 | 
| D0_3--BiF3 | static | -0.0 | -0.0 | 12.7017 | 12.7017 | 12.7017 | 90.0 | 90.0 | 90.0 | 
| A15--Cr3Si | dynamic | 0.0 | 0.0 | 11.0 | 11.0 | 11.0 | 90.0 | 90.0 | 90.0 | 
Download raw data (including filtered results)
Reference structure matches:
A1--Cu--fcc = mp-27, oqmd-9287, oqmd-1214570
A15--beta-W = oqmd-1215015, oqmd-1236371, oqmd-1280410
A2--W--bcc = mp-1014212, oqmd-1215193
A3'--alpha-La--double-hcp = oqmd-1215461
A3--Mg--hcp = mp-10649, oqmd-9288, oqmd-1215371
A4--C--dc = mp-149, oqmd-5714, oqmd-12378, oqmd-1215550
A5--beta-Sn = mp-92, oqmd-18979, oqmd-1215639
A6--In--bct = mp-1056579, oqmd-691768, oqmd-1215728
A7--alpha-As = oqmd-1215817
Ah--alpha-Po--sc = oqmd-1215906
| prototype | method | Ecoh (eV/atom) | Epot (eV/atom) | a0 (Å) | b0 (Å) | c0 (Å) | α (degrees) | β (degrees) | γ (degrees) | 
|---|---|---|---|---|---|---|---|---|---|
| mp-999200 | box | -0.0 | -0.0 | 15.3802 | 15.3802 | 9.09 | 90.0 | 90.0 | 90.0 | 
| mp-34 | dynamic | -0.0 | -0.0 | 5.5 | 5.5 | 5.5 | 90.0 | 90.0 | 120.0 | 
| oqmd-22407 | box | -0.0 | -0.0 | 15.3932 | 15.3932 | 9.0775 | 90.0 | 90.0 | 90.0 | 
| oqmd-78174 | dynamic | -0.0 | -0.0 | 16.4518 | 10.9998 | 10.9998 | 90.0 | 90.0 | 90.0 | 
| A3--Mg--hcp | dynamic | -0.0 | -0.0 | 5.5 | 5.5 | 8.9878 | 90.0 | 90.0 | 120.0 | 
| A6--In--bct | dynamic | -0.0 | -0.0 | 6.6705 | 6.6705 | 5.6577 | 90.0 | 90.0 | 90.0 | 
| A5--beta-Sn | dynamic | -0.0 | -0.0 | 10.6501 | 10.6501 | 5.5046 | 90.0 | 90.0 | 90.0 | 
| mp-1072544 | dynamic | -0.0 | -0.0 | 15.5563 | 15.5563 | 15.5563 | 90.0 | 90.0 | 90.0 | 
| mp-168 | dynamic | -0.0 | -0.0 | 15.5327 | 15.5327 | 15.5327 | 90.0 | 90.0 | 90.0 | 
| mp-999200 | dynamic | -0.0 | -0.0 | 14.8896 | 14.8896 | 9.6747 | 90.0 | 90.0 | 90.0 | 
| mp-109 | dynamic | -0.0 | -0.0 | 10.9799 | 11.9495 | 19.7969 | 90.0 | 90.0 | 90.0 | 
| mp-571520 | dynamic | -0.0 | -0.0 | 22.1424 | 22.1424 | 13.0522 | 90.0 | 90.0 | 120.0 | 
| mp-1095269 | dynamic | 0.0 | 0.0 | 8.7143 | 26.9818 | 29.4247 | 90.0 | 90.0 | 90.0 | 
| oqmd-691764 | dynamic | 0.0 | 0.0 | 5.5023 | 5.5023 | 14.2875 | 90.0 | 90.0 | 120.0 | 
| mp-1079297 | dynamic | 0.0 | 0.0 | 31.5665 | 9.095 | 15.5782 | 90.0 | 95.7 | 90.0 | 
| A6--In--bct | dynamic | 0.0 | 0.0 | 5.5 | 5.5 | 7.9587 | 90.0 | 90.0 | 90.0 | 
| mp-16220 | dynamic | 0.0 | 0.0 | 35.2094 | 35.2094 | 35.2094 | 90.0 | 90.0 | 90.0 | 
| mp-1244933 | dynamic | 0.0 | 0.0 | 28.4463 | 28.6171 | 29.0225 | 73.3 | 78.9 | 77.6 | 
| mp-1001113 | box | 0.0 | 0.0 | 5.5592 | 20.7138 | 9.4526 | 90.0 | 90.0 | 90.0 | 
| oqmd-1214659 | dynamic | 0.0 | 0.0 | 7.7041 | 7.7041 | 9.7056 | 90.0 | 90.0 | 120.0 | 
| A3--Mg--hcp | box | 0.0 | 0.0 | 5.5001 | 5.5001 | 8.9817 | 90.0 | 90.0 | 120.0 | 
| A6--In--bct | dynamic | 0.0 | 0.0 | 5.5 | 5.5 | 8.25 | 90.0 | 90.0 | 90.0 | 
| mp-1199894 | dynamic | 0.0 | 0.0 | 60.3761 | 35.411 | 23.4606 | 90.0 | 94.4 | 90.0 | 
| mp-1245041 | dynamic | 0.0 | 0.0 | 29.7534 | 30.0144 | 30.1374 | 72.1 | 74.0 | 76.2 | 
| mp-1204627 | dynamic | 0.0 | 0.0 | 39.0697 | 30.239 | 23.6786 | 90.0 | 90.0 | 90.0 | 
| oqmd-7479 | box | 0.0 | 0.0 | 10.4942 | 10.7772 | 5.5 | 90.0 | 90.0 | 90.0 | 
| A6--In--bct | dynamic | 0.0 | 0.0 | 6.6623 | 6.6623 | 5.6769 | 90.0 | 90.0 | 90.0 | 
| oqmd-717360 | box | 0.0 | 0.0 | 23.9299 | 23.9299 | 23.9299 | 90.0 | 90.0 | 90.0 | 
| A15--beta-W | dynamic | 0.0 | 0.0 | 11.0 | 11.0 | 11.0 | 90.0 | 90.0 | 90.0 | 
| mp-168 | box | 0.0 | 0.0 | 15.6337 | 15.6337 | 15.6337 | 90.0 | 90.0 | 90.0 | 
| A5--beta-Sn | dynamic | 0.0 | 0.0 | 10.6502 | 10.6502 | 5.5041 | 90.0 | 90.0 | 90.0 | 
| mp-109 | box | 0.0 | 0.0 | 10.9455 | 12.0935 | 19.9901 | 90.0 | 90.0 | 90.0 | 
| mp-1245242 | dynamic | 0.0 | 0.0 | 28.8408 | 29.4009 | 29.4691 | 79.8 | 81.4 | 82.8 | 
| oqmd-717361 | box | 0.0 | 0.0 | 17.634 | 17.634 | 17.634 | 90.0 | 90.0 | 90.0 | 
| oqmd-22408 | dynamic | 0.0 | 0.0 | 28.1245 | 7.7806 | 11.2716 | 90.0 | 98.1 | 90.0 | 
| mp-1244990 | dynamic | 0.0 | 0.0 | 28.1771 | 28.1976 | 28.8928 | 101.6 | 104.9 | 99.5 | 
| A6--In--bct | box | 0.0 | 0.0 | 6.7361 | 6.7361 | 5.5 | 90.0 | 90.0 | 90.0 | 
| mp-971662 | box | 0.0 | 0.0 | 23.936 | 23.936 | 23.936 | 90.0 | 90.0 | 90.0 | 
| A2--W--bcc | dynamic | 0.0 | 0.0 | 6.3509 | 6.3509 | 6.3509 | 90.0 | 90.0 | 90.0 | 
| mp-1244971 | dynamic | 0.0 | 0.0 | 27.8256 | 29.7346 | 30.9158 | 97.6 | 98.0 | 99.7 | 
| mp-1201492 | box | 0.0 | 0.0 | 41.921 | 41.921 | 41.921 | 90.0 | 90.0 | 90.0 | 
| mp-644693 | dynamic | 0.0 | 0.0 | 9.6409 | 12.6965 | 20.759 | 106.1 | 92.1 | 109.6 | 
| A3'--alpha-La--double-hcp | dynamic | 0.0 | 0.0 | 5.5 | 5.5 | 17.9629 | 90.0 | 90.0 | 120.0 | 
| oqmd-51152 | dynamic | 0.0 | 0.0 | 5.5011 | 5.5011 | 6.0846 | 90.0 | 90.0 | 120.0 | 
| A7--alpha-As | dynamic | 0.0 | 0.0 | 8.2171 | 8.2171 | 22.8188 | 90.0 | 90.0 | 120.0 | 
| mp-1094057 | dynamic | 0.0 | 0.0 | 5.5065 | 5.5065 | 40.5897 | 90.0 | 90.0 | 120.0 | 
| mp-1079649 | dynamic | 0.0 | 0.0 | 17.8852 | 10.8919 | 11.1725 | 90.0 | 90.0 | 90.0 | 
| oqmd-1214837 | dynamic | 0.0 | 0.0 | 19.8783 | 19.8783 | 19.8783 | 90.0 | 90.0 | 90.0 | 
| oqmd-5764 | dynamic | 0.0 | 0.0 | 7.6494 | 7.6494 | 17.5554 | 90.0 | 90.0 | 120.0 | 
| A5--beta-Sn | box | 0.0 | 0.0 | 10.6507 | 10.6507 | 5.5 | 90.0 | 90.0 | 90.0 | 
| mp-1268191 | dynamic | 0.0 | 0.0 | 15.2256 | 15.2256 | 5.5 | 90.0 | 90.0 | 120.0 | 
| A3--Mg--hcp | dynamic | 0.0 | 0.0 | 5.5 | 5.5 | 8.9815 | 90.0 | 90.0 | 120.0 | 
| A1--Cu--fcc | dynamic | 0.0 | 0.0 | 7.7782 | 7.7782 | 7.7782 | 90.0 | 90.0 | 90.0 | 
| mp-1202745 | dynamic | 0.0 | 0.0 | 23.5942 | 23.5942 | 37.4184 | 90.0 | 90.0 | 120.0 | 
| A5--beta-Sn | dynamic | 0.0 | 0.0 | 10.6063 | 10.6063 | 5.8334 | 90.0 | 90.0 | 90.0 | 
| Ah--alpha-Po--sc | dynamic | 0.0 | 0.0 | 5.5 | 5.5 | 5.5 | 90.0 | 90.0 | 90.0 | 
| mp-1204046 | box | 0.0 | 0.0 | 23.6091 | 23.6091 | 59.8231 | 90.0 | 90.0 | 90.0 | 
| mp-1200830 | dynamic | 0.0 | 0.0 | 29.4806 | 29.4806 | 29.4806 | 90.0 | 90.0 | 90.0 | 
| A3--Mg--hcp | dynamic | 0.0 | 0.0 | 5.5 | 5.5 | 8.9911 | 90.0 | 90.0 | 120.0 | 
| mp-971661 | dynamic | 0.0 | 0.0 | 24.0564 | 24.0564 | 24.0564 | 90.0 | 90.0 | 90.0 | 
| oqmd-22507 | dynamic | 0.0 | 0.0 | 7.7677 | 12.9643 | 17.5877 | 90.0 | 90.0 | 90.0 | 
| mp-1204046 | dynamic | 0.0 | 0.0 | 24.1116 | 24.1116 | 56.3357 | 90.0 | 90.0 | 90.0 | 
| mp-1001113 | dynamic | 0.0 | 0.0 | 6.5309 | 20.6328 | 8.8019 | 90.0 | 90.0 | 90.0 | 
| oqmd-1214926 | box | 0.0 | 0.0 | 14.8108 | 14.8108 | 14.8108 | 90.0 | 90.0 | 90.0 | 
| mp-1203790 | dynamic | 0.0 | 0.0 | 24.4354 | 24.4354 | 40.0759 | 90.0 | 90.0 | 120.0 | 
| mp-676011 | dynamic | 0.0 | 0.0 | 11.0963 | 12.4417 | 15.6221 | 72.9 | 70.5 | 64.9 | 
| mp-1201492 | dynamic | 0.0 | 0.0 | 41.509 | 41.509 | 41.509 | 90.0 | 90.0 | 90.0 | 
| mp-971662 | dynamic | 0.0 | 0.0 | 24.1375 | 24.1375 | 24.1375 | 90.0 | 90.0 | 90.0 | 
| mp-1120447 | dynamic | 0.0 | 0.0 | 11.6106 | 12.8466 | 16.3898 | 105.9 | 109.9 | 96.7 | 
| mp-1120747 | dynamic | 0.0 | 0.0 | 11.4659 | 11.4659 | 8.8285 | 90.0 | 90.0 | 120.0 | 
| oqmd-1214926 | dynamic | 0.0 | 0.0 | 13.9052 | 13.9052 | 13.9052 | 90.0 | 90.0 | 90.0 | 
| mp-165 | dynamic | 0.0 | 0.0 | 8.8957 | 8.8957 | 14.9608 | 90.0 | 90.0 | 120.0 | 
| oqmd-10215 | box | 0.0 | 0.0 | 35.0045 | 35.0045 | 35.0045 | 90.0 | 90.0 | 90.0 | 
| A3'--alpha-La--double-hcp | dynamic | 0.0 | 0.0 | 5.5032 | 5.5032 | 17.9578 | 90.0 | 90.0 | 120.0 | 
| A3--Mg--hcp | dynamic | 0.0 | 0.0 | 5.5 | 5.5 | 8.9895 | 90.0 | 90.0 | 120.0 | 
| A4--C--dc | dynamic | 0.0 | 0.0 | 12.7017 | 12.7017 | 12.7017 | 90.0 | 90.0 | 90.0 | 
| mp-1204046 | static | 0.0 | 0.0 | 24.0205 | 24.0205 | 58.2171 | 90.0 | 90.0 | 90.0 | 
| mp-1244971 | static | 0.0 | 0.0 | 28.2762 | 30.5333 | 32.5167 | 96.0 | 95.4 | 96.4 | 
| A3--Mg--hcp | static | 0.0 | 0.0 | 5.5 | 5.5 | 8.9939 | 90.0 | 90.0 | 120.0 | 
| mp-1204627 | static | 0.0 | 0.0 | 39.6131 | 30.481 | 23.6955 | 90.0 | 90.0 | 90.0 | 
| mp-1245242 | static | 0.0 | 0.0 | 29.6018 | 30.3161 | 30.4281 | 82.1 | 82.8 | 83.9 | 
| mp-1199894 | static | 0.0 | 0.0 | 59.9459 | 35.764 | 23.2728 | 90.0 | 95.0 | 90.0 | 
| mp-676011 | static | 0.0 | 0.0 | 12.0112 | 13.1461 | 16.0738 | 91.1 | 101.6 | 108.1 | 
| mp-1079649 | static | 0.0 | 0.0 | 17.9963 | 11.4382 | 12.038 | 90.0 | 90.0 | 90.0 | 
| mp-1244990 | static | 0.0 | 0.0 | 29.2641 | 29.2751 | 30.4021 | 101.7 | 97.9 | 96.0 | 
| mp-1245041 | static | 0.0 | 0.0 | 31.2637 | 31.2979 | 31.6621 | 79.0 | 75.1 | 77.9 | 
| mp-109 | static | 0.0 | 0.0 | 10.9456 | 12.0935 | 20.1365 | 90.0 | 90.0 | 90.0 | 
| mp-1001113 | static | 0.0 | 0.0 | 6.6331 | 20.3041 | 8.7343 | 90.0 | 90.0 | 90.0 | 
| A6--In--bct | static | 0.0 | 0.0 | 5.5 | 5.5 | 7.9556 | 90.0 | 90.0 | 90.0 | 
| mp-1120447 | static | 0.0 | 0.0 | 12.3087 | 12.6179 | 16.0748 | 79.7 | 77.3 | 85.1 | 
| mp-1244933 | static | 0.0 | 0.0 | 30.0816 | 30.2043 | 30.5452 | 78.7 | 76.7 | 80.4 | 
| A5--beta-Sn | static | 0.0 | 0.0 | 10.65 | 10.65 | 5.5051 | 90.0 | 90.0 | 90.0 | 
| mp-999200 | static | 0.0 | 0.0 | 15.3804 | 15.3804 | 9.0898 | 90.0 | 90.0 | 90.0 | 
| oqmd-1214748 | static | 0.0 | 0.0 | 10.4458 | 17.0886 | 8.4646 | 90.0 | 90.0 | 90.0 | 
| mp-1201492 | static | 0.0 | 0.0 | 41.9187 | 41.9187 | 41.9187 | 90.0 | 90.0 | 90.0 | 
| A5--beta-Sn | static | 0.0 | 0.0 | 10.6499 | 10.6499 | 5.5052 | 90.0 | 90.0 | 90.0 | 
| mp-644693 | static | 0.0 | 0.0 | 10.0215 | 12.9713 | 20.1402 | 81.9 | 89.6 | 77.8 | 
| A6--In--bct | static | 0.0 | 0.0 | 6.688 | 6.688 | 5.6159 | 90.0 | 90.0 | 90.0 | 
| mp-1120747 | static | 0.0 | 0.0 | 11.0226 | 11.0226 | 8.9953 | 90.0 | 90.0 | 120.0 | 
| oqmd-1214926 | static | 0.0 | 0.0 | 14.8104 | 14.8104 | 14.8104 | 90.0 | 90.0 | 90.0 | 
| mp-971662 | static | 0.0 | 0.0 | 23.9343 | 23.9343 | 23.9343 | 90.0 | 90.0 | 90.0 | 
| A15--beta-W | static | 0.0 | 0.0 | 10.9996 | 10.9996 | 10.9996 | 90.0 | 90.0 | 90.0 | 
| oqmd-717360 | static | 0.0 | 0.0 | 23.928 | 23.928 | 23.928 | 90.0 | 90.0 | 90.0 | 
| oqmd-78174 | static | 0.0 | 0.0 | 17.9903 | 11.4899 | 11.8901 | 90.0 | 90.0 | 90.0 | 
| mp-168 | static | 0.0 | 0.0 | 15.6328 | 15.6328 | 15.6328 | 90.0 | 90.0 | 90.0 | 
| oqmd-717361 | static | 0.0 | 0.0 | 17.6326 | 17.6326 | 17.6326 | 90.0 | 90.0 | 90.0 | 
| oqmd-22507 | static | 0.0 | 0.0 | 8.9932 | 15.5074 | 14.6934 | 90.0 | 90.0 | 90.0 | 
| A4--C--dc | static | 0.0 | 0.0 | 12.7012 | 12.7012 | 12.7012 | 90.0 | 90.0 | 90.0 | 
| oqmd-22407 | static | 0.0 | 0.0 | 15.3932 | 15.3932 | 9.0768 | 90.0 | 90.0 | 90.0 | 
| oqmd-7479 | static | 0.0 | 0.0 | 10.4923 | 10.7764 | 5.5064 | 90.0 | 90.0 | 90.0 | 
| A5--beta-Sn | static | 0.0 | 0.0 | 10.6493 | 10.6493 | 5.5067 | 90.0 | 90.0 | 90.0 | 
| oqmd-10215 | static | 0.0 | 0.0 | 35.0017 | 35.0017 | 35.0017 | 90.0 | 90.0 | 90.0 | 
| mp-1072544 | static | 0.0 | 0.0 | 15.5555 | 15.5555 | 15.5555 | 90.0 | 90.0 | 90.0 | 
| A1--Cu--fcc | static | 0.0 | 0.0 | 7.7779 | 7.7779 | 7.7779 | 90.0 | 90.0 | 90.0 | 
| A1--Cu--fcc | static | 0.0 | 0.0 | 7.7778 | 7.7778 | 7.7778 | 90.0 | 90.0 | 90.0 | 
| A2--W--bcc | static | 0.0 | 0.0 | 6.3505 | 6.3505 | 6.3505 | 90.0 | 90.0 | 90.0 | 
| oqmd-1214659 | static | 0.0 | 0.0 | 7.7436 | 7.7436 | 9.6086 | 90.0 | 90.0 | 120.0 | 
| A1--Cu--fcc | static | 0.0 | 0.0 | 7.7777 | 7.7777 | 7.7777 | 90.0 | 90.0 | 90.0 | 
| A2--W--bcc | static | 0.0 | 0.0 | 6.3503 | 6.3503 | 6.3503 | 90.0 | 90.0 | 90.0 | 
Static elastic constants are displayed for the unique structures identified in Crystal Structure Predictions above. The values displayed here are obtained by measuring the change in virial stresses due to applying small strains to the relaxed crystals. The initial structure and the strained states are all relaxed using force minimization.
The calculation method used is available as the iprPy elastic_constants_static calculation method.
Notes and Disclaimers:
Version Information:
| 3.319 | 1.659 | 1.659 | -0.000 | -0.000 | 0.000 | 
| 1.659 | 3.319 | 1.659 | 0.000 | -0.000 | 0.000 | 
| 1.659 | 1.659 | 3.319 | 0.000 | -0.000 | -0.000 | 
| 0.000 | 0.830 | 0.830 | 0.830 | 0.000 | -0.000 | 
| 0.830 | 0.000 | 0.830 | 0.000 | 0.830 | 0.000 | 
| 0.830 | 0.830 | 0.000 | 0.000 | 0.000 | 0.830 | 
| -0.000 | -0.000 | -0.000 | -0.000 | -0.000 | -0.000 | 
| -0.000 | -0.000 | -0.000 | -0.000 | -0.000 | -0.000 | 
| -0.000 | -0.000 | -0.000 | -0.000 | -0.000 | -0.000 | 
| -0.000 | -0.830 | -0.830 | 0.830 | 0.000 | -0.000 | 
| -0.830 | -0.000 | -0.830 | 0.000 | 0.830 | -0.000 | 
| -0.830 | -0.830 | -0.000 | -0.000 | -0.000 | 0.830 | 
| 4.818 | 2.409 | 2.409 | -0.000 | 0.000 | -0.000 | 
| 2.409 | 4.818 | 2.409 | -0.000 | -0.000 | 0.000 | 
| 2.409 | 2.409 | 4.818 | 0.000 | -0.000 | -0.000 | 
| 0.000 | 1.205 | 1.205 | 1.205 | -0.000 | -0.000 | 
| 1.205 | 0.000 | 1.205 | 0.000 | 1.205 | 0.000 | 
| 1.205 | 1.205 | 0.000 | 0.000 | 0.000 | 1.205 | 
| -0.000 | -0.000 | -0.000 | -0.000 | -0.000 | -0.000 | 
| -0.000 | -0.000 | -0.000 | -0.000 | -0.000 | -0.000 | 
| -0.000 | -0.000 | -0.000 | -0.000 | -0.000 | -0.000 | 
| -0.000 | -1.205 | -1.205 | 1.205 | -0.000 | -0.000 | 
| -1.205 | -0.000 | -1.205 | 0.000 | 1.205 | -0.000 | 
| -1.205 | -1.205 | -0.000 | -0.000 | -0.000 | 1.205 | 
| 4.968 | 2.484 | 2.484 | -0.000 | 0.000 | -0.000 | 
| 2.484 | 4.968 | 2.484 | 0.000 | -0.000 | -0.000 | 
| 2.484 | 2.484 | 4.968 | -0.000 | -0.000 | -0.000 | 
| 0.000 | 1.242 | 1.242 | 1.242 | -0.000 | -0.000 | 
| 1.242 | 0.000 | 1.242 | -0.000 | 1.242 | 0.000 | 
| 1.242 | 1.242 | 0.000 | 0.000 | 0.000 | 1.242 | 
| -0.000 | -0.000 | -0.000 | -0.000 | -0.000 | -0.000 | 
| -0.000 | -0.000 | -0.000 | -0.000 | -0.000 | -0.000 | 
| -0.000 | -0.000 | -0.000 | -0.000 | -0.000 | -0.000 | 
| -0.000 | -1.242 | -1.242 | 1.242 | 0.000 | -0.000 | 
| -1.242 | -0.000 | -1.242 | 0.000 | 1.242 | -0.000 | 
| -1.242 | -1.242 | -0.000 | -0.000 | -0.000 | 1.242 | 
| 0.881 | 0.000 | 0.000 | 0.000 | -0.000 | -0.000 | 
| 0.000 | 0.881 | 0.000 | 0.000 | 0.000 | -0.000 | 
| 0.000 | 0.000 | 0.881 | 0.000 | 0.000 | 0.000 | 
| 0.000 | 0.000 | 0.000 | -0.000 | 0.000 | -0.000 | 
| 0.000 | -0.000 | -0.000 | 0.000 | -0.000 | 0.000 | 
| 0.000 | 0.000 | 0.000 | 0.000 | 0.000 | -0.000 | 
| 0.881 | 0.000 | 0.000 | -0.000 | -0.000 | -0.000 | 
| 0.000 | 0.881 | 0.000 | -0.000 | 0.000 | 0.000 | 
| 0.000 | 0.000 | 0.881 | 0.000 | -0.000 | -0.000 | 
| 0.000 | 0.000 | 0.000 | -0.000 | 0.000 | 0.000 | 
| 0.000 | 0.000 | 0.000 | -0.000 | -0.000 | -0.000 | 
| 0.000 | 0.000 | 0.000 | -0.000 | 0.000 | -0.000 | 
| 0.881 | 0.000 | 0.000 | 0.000 | 0.000 | -0.000 | 
| 0.000 | 0.881 | 0.000 | -0.000 | 0.000 | 0.000 | 
| 0.000 | 0.000 | 0.881 | 0.000 | -0.000 | 0.000 | 
| 0.000 | 0.000 | -0.000 | -0.000 | 0.000 | -0.000 | 
| 0.000 | 0.000 | -0.000 | 0.000 | -0.000 | 0.000 | 
| 0.000 | -0.000 | 0.000 | 0.000 | -0.000 | -0.000 | 
| 0.881 | 0.000 | 0.000 | 0.000 | -0.000 | 0.000 | 
| 0.000 | 0.881 | 0.000 | -0.000 | 0.000 | 0.000 | 
| 0.000 | 0.000 | 0.881 | -0.000 | 0.000 | 0.000 | 
| -0.000 | -0.000 | 0.000 | -0.000 | -0.000 | 0.000 | 
| -0.000 | -0.000 | 0.000 | -0.000 | -0.000 | -0.000 | 
| -0.000 | 0.000 | -0.000 | -0.000 | 0.000 | -0.000 | 
| 0.881 | 0.000 | 0.000 | 0.000 | 0.000 | 0.000 | 
| 0.000 | 0.881 | 0.000 | 0.000 | -0.000 | -0.000 | 
| 0.000 | 0.000 | 0.881 | -0.000 | -0.000 | 0.000 | 
| -0.000 | 0.000 | -0.000 | -0.000 | 0.000 | -0.000 | 
| 0.000 | -0.000 | -0.000 | -0.000 | -0.000 | 0.000 | 
| 0.000 | -0.000 | -0.000 | 0.000 | -0.000 | -0.000 | 
| 0.881 | 0.000 | 0.000 | -0.000 | -0.000 | -0.000 | 
| 0.000 | 0.881 | 0.000 | -0.000 | 0.000 | -0.000 | 
| 0.000 | 0.000 | 0.881 | 0.000 | 0.000 | -0.000 | 
| 0.000 | -0.000 | 0.000 | -0.000 | -0.000 | -0.000 | 
| -0.000 | 0.000 | 0.000 | 0.000 | -0.000 | -0.000 | 
| -0.000 | 0.000 | 0.000 | -0.000 | -0.000 | -0.000 | 
| 0.595 | 0.000 | 0.000 | 0.000 | 0.000 | 0.000 | 
| 0.000 | 0.595 | 0.000 | 0.000 | 0.000 | 0.000 | 
| 0.000 | 0.000 | 0.595 | 0.000 | 0.000 | 0.000 | 
| 0.000 | 0.000 | 0.000 | 0.000 | 0.000 | 0.000 | 
| 0.000 | 0.000 | 0.000 | 0.000 | 0.000 | 0.000 | 
| 0.000 | 0.000 | 0.000 | 0.000 | 0.000 | 0.000 | 
| -0.000 | -0.000 | -0.000 | -0.000 | -0.000 | -0.000 | 
| -0.000 | -0.000 | -0.000 | -0.000 | -0.000 | -0.000 | 
| -0.000 | -0.000 | -0.000 | -0.000 | -0.000 | -0.000 | 
| -0.000 | -0.000 | -0.000 | -0.000 | -0.000 | -0.000 | 
| -0.000 | -0.000 | -0.000 | -0.000 | -0.000 | -0.000 | 
| -0.000 | -0.000 | -0.000 | -0.000 | -0.000 | -0.000 | 
| 0.853 | 0.000 | 0.000 | 0.000 | 0.000 | 0.000 | 
| 0.000 | 0.853 | 0.000 | 0.000 | 0.000 | -0.000 | 
| 0.000 | 0.000 | 0.853 | -0.000 | 0.000 | 0.000 | 
| 0.000 | 0.000 | 0.000 | 0.000 | 0.000 | 0.000 | 
| 0.000 | 0.000 | 0.000 | 0.000 | 0.000 | 0.000 | 
| 0.000 | 0.000 | 0.000 | 0.000 | 0.000 | 0.000 | 
| -0.000 | -0.000 | -0.000 | -0.000 | -0.000 | -0.000 | 
| -0.000 | -0.000 | -0.000 | -0.000 | -0.000 | -0.000 | 
| -0.000 | -0.000 | -0.000 | -0.000 | -0.000 | -0.000 | 
| -0.000 | -0.000 | -0.000 | -0.000 | -0.000 | -0.000 | 
| -0.000 | -0.000 | -0.000 | -0.000 | -0.000 | -0.000 | 
| -0.000 | -0.000 | -0.000 | -0.000 | -0.000 | -0.000 | 
| 0.878 | 0.000 | 0.000 | 0.000 | 0.000 | 0.000 | 
| 0.000 | 0.878 | 0.000 | 0.000 | 0.000 | -0.000 | 
| 0.000 | 0.000 | 0.878 | 0.000 | -0.000 | 0.000 | 
| 0.000 | 0.000 | 0.000 | 0.000 | 0.000 | 0.000 | 
| 0.000 | 0.000 | 0.000 | 0.000 | 0.000 | 0.000 | 
| 0.000 | 0.000 | 0.000 | 0.000 | 0.000 | 0.000 | 
| -0.000 | -0.000 | -0.000 | -0.000 | -0.000 | -0.000 | 
| -0.000 | -0.000 | -0.000 | -0.000 | -0.000 | -0.000 | 
| -0.000 | -0.000 | -0.000 | -0.000 | -0.000 | -0.000 | 
| -0.000 | -0.000 | -0.000 | -0.000 | -0.000 | -0.000 | 
| -0.000 | -0.000 | -0.000 | -0.000 | -0.000 | -0.000 | 
| -0.000 | -0.000 | -0.000 | -0.000 | -0.000 | -0.000 | 
| 1.268 | 1.268 | 1.268 | 0.000 | -0.000 | 0.000 | 
| 1.268 | 1.268 | 1.268 | -0.000 | 0.000 | 0.000 | 
| 1.268 | 1.268 | 1.268 | 0.000 | 0.000 | 0.000 | 
| 0.634 | 0.634 | 0.634 | 0.634 | 0.000 | 0.000 | 
| 0.634 | 0.634 | 0.634 | 0.000 | 0.634 | 0.000 | 
| 0.634 | 0.634 | 0.634 | 0.000 | 0.000 | 0.634 | 
| -0.000 | -0.000 | -0.000 | -0.000 | -0.000 | -0.000 | 
| -0.000 | -0.000 | -0.000 | -0.000 | -0.000 | -0.000 | 
| -0.000 | -0.000 | -0.000 | -0.000 | -0.000 | -0.000 | 
| -0.634 | -0.634 | -0.634 | 0.634 | 0.000 | -0.000 | 
| -0.634 | -0.634 | -0.634 | 0.000 | 0.634 | -0.000 | 
| -0.634 | -0.634 | -0.634 | -0.000 | 0.000 | 0.634 | 
| 1.958 | 1.958 | 1.958 | 0.000 | -0.000 | 0.000 | 
| 1.958 | 1.958 | 1.958 | -0.000 | 0.000 | 0.000 | 
| 1.958 | 1.958 | 1.958 | 0.000 | 0.000 | 0.000 | 
| 0.979 | 0.979 | 0.979 | 0.979 | 0.000 | 0.000 | 
| 0.979 | 0.979 | 0.979 | 0.000 | 0.979 | 0.000 | 
| 0.979 | 0.979 | 0.979 | 0.000 | 0.000 | 0.979 | 
| -0.000 | -0.000 | -0.000 | -0.000 | -0.000 | -0.000 | 
| -0.000 | -0.000 | -0.000 | -0.000 | -0.000 | -0.000 | 
| -0.000 | -0.000 | -0.000 | -0.000 | -0.000 | -0.000 | 
| -0.979 | -0.979 | -0.979 | 0.979 | 0.000 | -0.000 | 
| -0.979 | -0.979 | -0.979 | 0.000 | 0.979 | -0.000 | 
| -0.979 | -0.979 | -0.979 | 0.000 | -0.000 | 0.979 | 
| 0.493 | 0.493 | 0.493 | 0.000 | 0.000 | 0.000 | 
| 0.493 | 0.493 | 0.493 | -0.000 | 0.000 | -0.000 | 
| 0.493 | 0.493 | 0.493 | 0.000 | 0.000 | 0.000 | 
| 0.247 | 0.247 | 0.247 | 0.247 | 0.000 | 0.000 | 
| 0.247 | 0.247 | 0.247 | -0.000 | 0.247 | -0.000 | 
| 0.247 | 0.247 | 0.247 | 0.000 | 0.000 | 0.247 | 
| -0.000 | -0.000 | -0.000 | -0.000 | -0.000 | -0.000 | 
| -0.000 | -0.000 | -0.000 | -0.000 | -0.000 | -0.000 | 
| -0.000 | -0.000 | -0.000 | -0.000 | -0.000 | -0.000 | 
| -0.247 | -0.247 | -0.247 | 0.247 | -0.000 | 0.000 | 
| -0.247 | -0.247 | -0.247 | -0.000 | 0.247 | 0.000 | 
| -0.247 | -0.247 | -0.247 | 0.000 | -0.000 | 0.247 | 
| 0.507 | 0.507 | 0.507 | 0.000 | 0.000 | 0.000 | 
| 0.507 | 0.507 | 0.507 | -0.000 | 0.000 | -0.000 | 
| 0.507 | 0.507 | 0.507 | 0.000 | 0.000 | 0.000 | 
| 0.105 | 0.105 | 0.105 | 0.105 | 0.000 | 0.000 | 
| 0.105 | 0.105 | 0.105 | 0.000 | 0.105 | 0.000 | 
| 0.105 | 0.105 | 0.105 | 0.000 | 0.000 | 0.105 | 
| -0.000 | -0.000 | -0.000 | -0.000 | -0.000 | -0.000 | 
| -0.000 | -0.000 | -0.000 | -0.000 | -0.000 | -0.000 | 
| -0.000 | -0.000 | -0.000 | -0.000 | -0.000 | -0.000 | 
| -0.105 | -0.105 | -0.105 | 0.105 | -0.000 | 0.000 | 
| -0.105 | -0.105 | -0.105 | 0.000 | 0.105 | -0.000 | 
| -0.105 | -0.105 | -0.105 | 0.000 | -0.000 | 0.105 | 
| 0.509 | 0.509 | 0.509 | -0.000 | 0.000 | 0.000 | 
| 0.509 | 0.509 | 0.509 | -0.000 | 0.000 | -0.000 | 
| 0.509 | 0.509 | 0.509 | 0.000 | 0.000 | -0.000 | 
| 0.011 | 0.011 | 0.011 | 0.011 | 0.000 | 0.000 | 
| 0.011 | 0.011 | 0.011 | 0.000 | 0.011 | 0.000 | 
| 0.011 | 0.011 | 0.011 | 0.000 | 0.000 | 0.011 | 
| -0.000 | -0.000 | -0.000 | -0.000 | -0.000 | -0.000 | 
| -0.000 | -0.000 | -0.000 | -0.000 | -0.000 | -0.000 | 
| -0.000 | -0.000 | -0.000 | -0.000 | -0.000 | -0.000 | 
| -0.011 | -0.011 | -0.011 | 0.011 | -0.000 | 0.000 | 
| -0.011 | -0.011 | -0.011 | -0.000 | 0.011 | 0.000 | 
| -0.011 | -0.011 | -0.011 | 0.000 | -0.000 | 0.011 | 
| 4.176 | 0.000 | 0.000 | 0.000 | 0.000 | 0.000 | 
| 0.000 | 4.176 | 0.000 | 0.000 | 0.000 | -0.000 | 
| 0.000 | 0.000 | 0.000 | 0.000 | 0.000 | 0.000 | 
| 0.000 | 0.000 | 0.000 | 0.000 | 0.000 | 0.000 | 
| 0.000 | 0.000 | 0.000 | 0.000 | 0.000 | 0.000 | 
| 0.000 | 0.000 | 0.000 | 0.000 | 0.000 | 0.000 | 
| -0.000 | -0.000 | -0.000 | -0.000 | -0.000 | -0.000 | 
| -0.000 | -0.000 | -0.000 | -0.000 | -0.000 | -0.000 | 
| -0.000 | -0.000 | -0.000 | -0.000 | -0.000 | -0.000 | 
| -0.000 | -0.000 | -0.000 | -0.000 | -0.000 | -0.000 | 
| -0.000 | -0.000 | -0.000 | -0.000 | -0.000 | -0.000 | 
| -0.000 | -0.000 | -0.000 | -0.000 | -0.000 | -0.000 | 
| 4.500 | 0.000 | 0.000 | 0.000 | 0.000 | 0.000 | 
| 0.000 | 4.500 | 0.000 | 0.000 | 0.000 | 0.000 | 
| 0.000 | 0.000 | 0.000 | 0.000 | 0.000 | 0.000 | 
| 0.000 | 0.000 | 0.000 | 0.000 | 0.000 | 0.000 | 
| 0.000 | 0.000 | 0.000 | 0.000 | 0.000 | 0.000 | 
| 0.000 | 0.000 | 0.000 | 0.000 | 0.000 | 0.000 | 
| -0.000 | -0.000 | -0.000 | -0.000 | -0.000 | -0.000 | 
| -0.000 | -0.000 | -0.000 | -0.000 | -0.000 | -0.000 | 
| -0.000 | -0.000 | -0.000 | -0.000 | -0.000 | -0.000 | 
| -0.000 | -0.000 | -0.000 | -0.000 | -0.000 | -0.000 | 
| -0.000 | -0.000 | -0.000 | -0.000 | -0.000 | -0.000 | 
| -0.000 | -0.000 | -0.000 | -0.000 | -0.000 | -0.000 | 
| 4.533 | 0.000 | 0.000 | 0.000 | 0.000 | 0.000 | 
| 0.000 | 4.533 | 0.000 | 0.000 | 0.000 | -0.000 | 
| 0.000 | 0.000 | 0.000 | 0.000 | 0.000 | 0.000 | 
| 0.000 | 0.000 | 0.000 | 0.000 | 0.000 | 0.000 | 
| 0.000 | 0.000 | 0.000 | 0.000 | 0.000 | 0.000 | 
| 0.000 | 0.000 | 0.000 | 0.000 | 0.000 | 0.000 | 
| -0.000 | -0.000 | -0.000 | -0.000 | -0.000 | -0.000 | 
| -0.000 | -0.000 | -0.000 | -0.000 | -0.000 | -0.000 | 
| -0.000 | -0.000 | -0.000 | -0.000 | -0.000 | -0.000 | 
| -0.000 | -0.000 | -0.000 | -0.000 | -0.000 | -0.000 | 
| -0.000 | -0.000 | -0.000 | -0.000 | -0.000 | -0.000 | 
| -0.000 | -0.000 | -0.000 | -0.000 | -0.000 | -0.000 | 
| 2.696 | 0.000 | 0.000 | 0.000 | 0.000 | 0.000 | 
| 0.000 | 2.696 | 0.000 | 0.000 | 0.000 | -0.000 | 
| 0.000 | 0.000 | 0.000 | 0.000 | 0.000 | 0.000 | 
| 0.000 | 0.000 | 0.000 | 0.000 | 0.000 | 0.000 | 
| 0.000 | 0.000 | 0.000 | 0.000 | 0.000 | 0.000 | 
| 0.000 | 0.000 | 0.000 | 0.000 | 0.000 | 0.000 | 
| -0.000 | -0.000 | -0.000 | -0.000 | -0.000 | -0.000 | 
| -0.000 | -0.000 | -0.000 | -0.000 | -0.000 | -0.000 | 
| -0.000 | -0.000 | -0.000 | -0.000 | -0.000 | -0.000 | 
| -0.000 | -0.000 | -0.000 | -0.000 | -0.000 | -0.000 | 
| -0.000 | -0.000 | -0.000 | -0.000 | -0.000 | -0.000 | 
| -0.000 | -0.000 | -0.000 | -0.000 | -0.000 | -0.000 | 
| 4.500 | 0.000 | 0.000 | 0.000 | 0.000 | 0.000 | 
| 0.000 | 4.500 | 0.000 | 0.000 | 0.000 | -0.000 | 
| 0.000 | 0.000 | 0.000 | 0.000 | 0.000 | 0.000 | 
| 0.000 | 0.000 | 0.000 | 0.000 | 0.000 | 0.000 | 
| 0.000 | 0.000 | 0.000 | 0.000 | 0.000 | 0.000 | 
| 0.000 | 0.000 | 0.000 | 0.000 | 0.000 | 0.000 | 
| -0.000 | -0.000 | -0.000 | -0.000 | -0.000 | -0.000 | 
| -0.000 | -0.000 | -0.000 | -0.000 | -0.000 | -0.000 | 
| -0.000 | -0.000 | -0.000 | -0.000 | -0.000 | -0.000 | 
| -0.000 | -0.000 | -0.000 | -0.000 | -0.000 | -0.000 | 
| -0.000 | -0.000 | -0.000 | -0.000 | -0.000 | -0.000 | 
| -0.000 | -0.000 | -0.000 | -0.000 | -0.000 | -0.000 | 
| 4.680 | 0.000 | 0.000 | 0.000 | 0.000 | 0.000 | 
| 0.000 | 4.680 | 0.000 | 0.000 | 0.000 | -0.000 | 
| 0.000 | 0.000 | 0.000 | 0.000 | 0.000 | 0.000 | 
| 0.000 | 0.000 | 0.000 | 0.000 | 0.000 | 0.000 | 
| 0.000 | 0.000 | 0.000 | 0.000 | 0.000 | 0.000 | 
| 0.000 | 0.000 | 0.000 | 0.000 | 0.000 | 0.000 | 
| -0.000 | -0.000 | -0.000 | -0.000 | -0.000 | -0.000 | 
| -0.000 | -0.000 | -0.000 | -0.000 | -0.000 | -0.000 | 
| -0.000 | -0.000 | -0.000 | -0.000 | -0.000 | -0.000 | 
| -0.000 | -0.000 | -0.000 | -0.000 | -0.000 | -0.000 | 
| -0.000 | -0.000 | -0.000 | -0.000 | -0.000 | -0.000 | 
| -0.000 | -0.000 | -0.000 | -0.000 | -0.000 | -0.000 | 
| 0.088 | -0.076 | 0.025 | 0.232 | -0.000 | -0.000 | 
| -0.076 | 0.088 | 0.025 | -0.232 | -0.000 | -0.000 | 
| 0.466 | 0.466 | 4.282 | -0.000 | -0.000 | -0.000 | 
| 0.264 | -0.036 | 0.456 | 0.424 | -0.000 | -0.000 | 
| 0.136 | 0.045 | 0.361 | 0.128 | 0.525 | 0.186 | 
| -0.067 | -0.082 | -0.299 | 0.022 | 0.195 | 0.069 | 
| 0.186 | 0.062 | 0.496 | 0.176 | 0.000 | 0.000 | 
| 0.127 | 0.167 | 0.587 | -0.056 | 0.000 | 0.000 | 
| 0.186 | 0.186 | 0.745 | -0.000 | 0.000 | 0.000 | 
| 0.186 | -0.175 | 0.023 | 0.510 | 0.000 | 0.000 | 
| -0.136 | -0.045 | -0.361 | -0.128 | 0.525 | 0.186 | 
| 0.067 | 0.082 | 0.299 | -0.022 | 0.195 | 0.069 | 
| 0.120 | 0.028 | 0.590 | 0.131 | -0.000 | -0.000 | 
| -0.012 | 0.100 | 0.474 | -0.158 | -0.000 | -0.000 | 
| 0.550 | 0.550 | 4.871 | -0.000 | -0.000 | -0.000 | 
| 0.092 | 0.018 | 0.532 | 0.105 | -0.000 | -0.000 | 
| 0.053 | 0.005 | 0.402 | 0.068 | 0.117 | 0.042 | 
| 0.034 | -0.001 | 0.139 | 0.049 | 0.085 | 0.030 | 
| 0.019 | 0.006 | 0.050 | 0.018 | 0.000 | 0.000 | 
| 0.019 | 0.019 | 0.074 | -0.000 | 0.000 | 0.000 | 
| 0.019 | 0.019 | 0.074 | -0.000 | 0.000 | 0.000 | 
| 0.019 | -0.130 | -0.605 | 0.211 | 0.000 | 0.000 | 
| -0.061 | -0.008 | -0.446 | -0.075 | 0.130 | 0.046 | 
| -0.034 | 0.001 | -0.139 | -0.049 | 0.085 | 0.030 | 
| 0.072 | 0.048 | 0.546 | 0.034 | -0.000 | -0.000 | 
| 0.051 | 0.069 | 0.546 | -0.026 | -0.000 | -0.000 | 
| 0.553 | 0.553 | 4.921 | -0.000 | -0.000 | -0.000 | 
| 0.031 | 0.009 | 0.195 | 0.031 | -0.000 | -0.000 | 
| 0.015 | 0.026 | 0.201 | -0.016 | 0.028 | 0.010 | 
| 0.010 | 0.013 | 0.116 | -0.004 | 0.019 | 0.007 | 
| 0.002 | 0.001 | 0.005 | 0.002 | 0.000 | 0.000 | 
| 0.002 | 0.002 | 0.007 | -0.000 | 0.000 | 0.000 | 
| 0.002 | 0.002 | 0.007 | -0.000 | 0.000 | 0.000 | 
| 0.002 | -0.013 | -0.068 | 0.021 | 0.000 | 0.000 | 
| -0.015 | -0.026 | -0.201 | 0.016 | 0.028 | 0.010 | 
| -0.010 | -0.013 | -0.116 | 0.004 | 0.019 | 0.007 | 
| 0.281 | 0.094 | 0.746 | 0.264 | -0.000 | -0.000 | 
| 0.094 | 0.281 | 0.746 | -0.264 | -0.000 | -0.000 | 
| 0.469 | 0.469 | 4.318 | 0.000 | 0.000 | 0.000 | 
| 0.099 | -0.093 | 0.012 | 0.272 | 0.000 | 0.000 | 
| 0.044 | -0.068 | -0.048 | 0.158 | 0.382 | 0.135 | 
| -0.070 | -0.084 | -0.307 | 0.021 | 0.196 | 0.069 | 
| 0.190 | 0.094 | 0.566 | 0.136 | -0.000 | -0.000 | 
| 0.094 | 0.158 | 0.501 | -0.091 | 0.000 | 0.000 | 
| 0.190 | 0.190 | 0.758 | -0.000 | -0.000 | -0.000 | 
| 0.190 | -0.173 | 0.034 | 0.513 | -0.000 | -0.000 | 
| -0.044 | 0.068 | 0.048 | -0.158 | 0.382 | 0.135 | 
| 0.070 | 0.084 | 0.307 | -0.021 | 0.196 | 0.069 | 
| 0.121 | 0.028 | 0.594 | 0.132 | 0.000 | 0.000 | 
| -0.005 | 0.093 | 0.478 | -0.138 | 0.000 | 0.000 | 
| 0.551 | 0.551 | 4.865 | 0.000 | 0.000 | 0.000 | 
| 0.113 | 0.025 | 0.553 | 0.125 | -0.000 | -0.000 | 
| 0.066 | 0.009 | 0.470 | 0.080 | 0.138 | 0.049 | 
| 0.048 | 0.003 | 0.136 | 0.064 | 0.110 | 0.039 | 
| 0.019 | 0.009 | 0.057 | 0.014 | -0.000 | -0.000 | 
| 0.019 | 0.019 | 0.076 | -0.000 | -0.000 | -0.000 | 
| 0.019 | 0.019 | 0.076 | -0.000 | -0.000 | -0.000 | 
| 0.019 | -0.111 | -0.553 | 0.184 | -0.000 | -0.000 | 
| -0.066 | -0.009 | -0.470 | -0.080 | 0.138 | 0.049 | 
| -0.048 | -0.003 | -0.136 | -0.064 | 0.110 | 0.039 | 
| 0.070 | 0.051 | 0.546 | 0.026 | 0.000 | 0.000 | 
| 0.050 | 0.071 | 0.546 | -0.029 | 0.000 | 0.000 | 
| 0.556 | 0.556 | 4.915 | -0.000 | -0.000 | -0.000 | 
| 0.040 | 0.012 | 0.252 | 0.040 | 0.000 | 0.000 | 
| 0.013 | 0.023 | 0.175 | -0.014 | 0.024 | 0.009 | 
| 0.013 | 0.013 | 0.127 | -0.000 | 0.024 | 0.008 | 
| 0.002 | 0.001 | 0.006 | 0.001 | -0.000 | -0.000 | 
| 0.002 | 0.002 | 0.008 | -0.000 | -0.000 | -0.000 | 
| 0.002 | 0.002 | 0.008 | -0.000 | -0.000 | -0.000 | 
| 0.002 | -0.017 | -0.087 | 0.027 | -0.000 | -0.000 | 
| -0.013 | -0.023 | -0.175 | 0.014 | 0.024 | 0.009 | 
| -0.013 | -0.013 | -0.127 | 0.000 | 0.024 | 0.008 | 
| 1.353 | 0.000 | 0.000 | 0.000 | 0.000 | 0.000 | 
| 0.000 | 1.353 | 0.000 | 0.000 | 0.000 | 0.000 | 
| 0.000 | 0.000 | 1.353 | -0.000 | -0.000 | 0.000 | 
| 0.000 | 0.000 | 0.000 | 0.000 | 0.000 | 0.000 | 
| 0.000 | 0.000 | 0.000 | 0.000 | 0.000 | 0.000 | 
| 0.000 | 0.000 | 0.000 | 0.000 | 0.000 | 0.000 | 
| -0.000 | -0.000 | -0.000 | -0.000 | -0.000 | -0.000 | 
| -0.000 | -0.000 | -0.000 | -0.000 | -0.000 | -0.000 | 
| -0.000 | -0.000 | -0.000 | -0.000 | -0.000 | -0.000 | 
| -0.000 | -0.000 | -0.000 | -0.000 | -0.000 | -0.000 | 
| -0.000 | -0.000 | -0.000 | -0.000 | -0.000 | -0.000 | 
| -0.000 | -0.000 | -0.000 | -0.000 | -0.000 | -0.000 | 
| 3.308 | 0.000 | 0.000 | 0.000 | 0.000 | 0.000 | 
| 0.000 | 3.308 | 0.000 | 0.000 | 0.000 | 0.000 | 
| 0.000 | 0.000 | 3.308 | 0.000 | -0.000 | 0.000 | 
| 0.000 | 0.000 | 0.000 | 0.000 | 0.000 | 0.000 | 
| 0.000 | 0.000 | 0.000 | 0.000 | 0.000 | 0.000 | 
| 0.000 | 0.000 | 0.000 | 0.000 | 0.000 | 0.000 | 
| -0.000 | -0.000 | -0.000 | -0.000 | -0.000 | -0.000 | 
| -0.000 | -0.000 | -0.000 | -0.000 | -0.000 | -0.000 | 
| -0.000 | -0.000 | -0.000 | -0.000 | -0.000 | -0.000 | 
| -0.000 | -0.000 | -0.000 | -0.000 | -0.000 | -0.000 | 
| -0.000 | -0.000 | -0.000 | -0.000 | -0.000 | -0.000 | 
| -0.000 | -0.000 | -0.000 | -0.000 | -0.000 | -0.000 | 
| 3.503 | 0.000 | 0.000 | 0.000 | 0.000 | 0.000 | 
| 0.000 | 3.503 | 0.000 | 0.000 | 0.000 | -0.000 | 
| 0.000 | 0.000 | 3.503 | 0.000 | 0.000 | 0.000 | 
| 0.000 | 0.000 | 0.000 | 0.000 | 0.000 | 0.000 | 
| 0.000 | 0.000 | 0.000 | 0.000 | 0.000 | 0.000 | 
| 0.000 | 0.000 | 0.000 | 0.000 | 0.000 | 0.000 | 
| -0.000 | -0.000 | -0.000 | -0.000 | -0.000 | -0.000 | 
| -0.000 | -0.000 | -0.000 | -0.000 | -0.000 | -0.000 | 
| -0.000 | -0.000 | -0.000 | -0.000 | -0.000 | -0.000 | 
| -0.000 | -0.000 | -0.000 | -0.000 | -0.000 | -0.000 | 
| -0.000 | -0.000 | -0.000 | -0.000 | -0.000 | -0.000 | 
| -0.000 | -0.000 | -0.000 | -0.000 | -0.000 | -0.000 | 
| 4.867 | 0.000 | 0.000 | 0.000 | 0.000 | 0.000 | 
| 0.000 | 0.000 | 0.000 | 0.000 | 0.000 | 0.000 | 
| 0.000 | 0.000 | 0.000 | 0.000 | 0.000 | 0.000 | 
| 0.000 | 0.000 | 0.000 | 0.000 | 0.000 | 0.000 | 
| 0.000 | 0.000 | 0.000 | 0.000 | 0.000 | 0.000 | 
| 0.000 | 0.000 | 0.000 | 0.000 | 0.000 | 0.000 | 
| -0.000 | -0.000 | -0.000 | -0.000 | -0.000 | -0.000 | 
| -0.000 | -0.000 | -0.000 | -0.000 | -0.000 | -0.000 | 
| -0.000 | -0.000 | -0.000 | -0.000 | -0.000 | -0.000 | 
| -0.000 | -0.000 | -0.000 | -0.000 | -0.000 | -0.000 | 
| -0.000 | -0.000 | -0.000 | -0.000 | -0.000 | -0.000 | 
| -0.000 | -0.000 | -0.000 | -0.000 | -0.000 | -0.000 | 
| 4.869 | 0.000 | 0.000 | 0.000 | 0.000 | 0.000 | 
| 0.000 | 0.000 | 0.000 | 0.000 | 0.000 | 0.000 | 
| 0.000 | 0.000 | 0.000 | 0.000 | 0.000 | 0.000 | 
| 0.000 | 0.000 | 0.000 | 0.000 | 0.000 | 0.000 | 
| 0.000 | 0.000 | 0.000 | 0.000 | 0.000 | 0.000 | 
| 0.000 | 0.000 | 0.000 | 0.000 | 0.000 | 0.000 | 
| -0.000 | -0.000 | -0.000 | -0.000 | -0.000 | -0.000 | 
| -0.000 | -0.000 | -0.000 | -0.000 | -0.000 | -0.000 | 
| -0.000 | -0.000 | -0.000 | -0.000 | -0.000 | -0.000 | 
| -0.000 | -0.000 | -0.000 | -0.000 | -0.000 | -0.000 | 
| -0.000 | -0.000 | -0.000 | -0.000 | -0.000 | -0.000 | 
| -0.000 | -0.000 | -0.000 | -0.000 | -0.000 | -0.000 | 
| 4.869 | 0.000 | 0.000 | 0.000 | 0.000 | 0.000 | 
| 0.000 | 0.000 | 0.000 | 0.000 | 0.000 | 0.000 | 
| 0.000 | 0.000 | 0.000 | 0.000 | 0.000 | 0.000 | 
| 0.000 | 0.000 | 0.000 | 0.000 | 0.000 | 0.000 | 
| 0.000 | 0.000 | 0.000 | 0.000 | 0.000 | 0.000 | 
| 0.000 | 0.000 | 0.000 | 0.000 | 0.000 | 0.000 | 
| -0.000 | -0.000 | -0.000 | -0.000 | -0.000 | -0.000 | 
| -0.000 | -0.000 | -0.000 | -0.000 | -0.000 | -0.000 | 
| -0.000 | -0.000 | -0.000 | -0.000 | -0.000 | -0.000 | 
| -0.000 | -0.000 | -0.000 | -0.000 | -0.000 | -0.000 | 
| -0.000 | -0.000 | -0.000 | -0.000 | -0.000 | -0.000 | 
| -0.000 | -0.000 | -0.000 | -0.000 | -0.000 | -0.000 | 
| 0.444 | 0.000 | 1.446 | -0.000 | 0.797 | 0.000 | 
| 0.000 | 4.493 | 0.000 | 0.000 | 0.000 | -0.000 | 
| 0.782 | 0.000 | 2.637 | 0.000 | 1.428 | 0.000 | 
| 0.000 | 0.000 | 0.000 | 0.000 | 0.000 | 0.000 | 
| 0.427 | 0.000 | 1.415 | 0.000 | 0.773 | 0.000 | 
| 0.000 | 0.000 | 0.000 | 0.000 | 0.000 | 0.000 | 
| -0.000 | -0.000 | -0.000 | -0.000 | -0.000 | -0.000 | 
| -0.000 | -0.000 | -0.000 | -0.000 | -0.000 | -0.000 | 
| -0.000 | -0.000 | -0.000 | -0.000 | -0.000 | -0.000 | 
| -0.000 | -0.000 | -0.000 | -0.000 | -0.000 | -0.000 | 
| -0.000 | -0.000 | -0.000 | -0.000 | -0.000 | -0.000 | 
| -0.000 | -0.000 | -0.000 | -0.000 | -0.000 | -0.000 | 
| 0.448 | 0.000 | 1.476 | -0.000 | 0.809 | 0.000 | 
| 0.000 | 4.495 | 0.000 | 0.000 | 0.000 | -0.000 | 
| 0.790 | 0.000 | 2.664 | -0.000 | 1.442 | 0.000 | 
| 0.000 | 0.000 | 0.000 | 0.000 | 0.000 | 0.000 | 
| 0.435 | 0.000 | 1.442 | -0.000 | 0.787 | 0.000 | 
| 0.000 | 0.000 | 0.000 | 0.000 | 0.000 | 0.000 | 
| -0.000 | -0.000 | -0.000 | -0.000 | -0.000 | -0.000 | 
| -0.000 | -0.000 | -0.000 | -0.000 | -0.000 | -0.000 | 
| -0.000 | -0.000 | -0.000 | -0.000 | -0.000 | -0.000 | 
| -0.000 | -0.000 | -0.000 | -0.000 | -0.000 | -0.000 | 
| -0.000 | -0.000 | -0.000 | -0.000 | -0.000 | -0.000 | 
| -0.000 | -0.000 | -0.000 | -0.000 | -0.000 | -0.000 | 
| 0.283 | 0.000 | 0.944 | -0.000 | 0.514 | 0.000 | 
| 0.000 | 4.495 | 0.000 | 0.000 | 0.000 | -0.000 | 
| 0.284 | 0.000 | 0.947 | 0.000 | 0.516 | 0.000 | 
| 0.000 | 0.000 | 0.000 | 0.000 | 0.000 | 0.000 | 
| 0.288 | 0.000 | 0.960 | 0.000 | 0.523 | 0.000 | 
| 0.000 | 0.000 | 0.000 | 0.000 | 0.000 | 0.000 | 
| -0.000 | -0.000 | -0.000 | -0.000 | -0.000 | -0.000 | 
| -0.000 | -0.000 | -0.000 | -0.000 | -0.000 | -0.000 | 
| -0.000 | -0.000 | -0.000 | -0.000 | -0.000 | -0.000 | 
| -0.000 | -0.000 | -0.000 | -0.000 | -0.000 | -0.000 | 
| -0.000 | -0.000 | -0.000 | -0.000 | -0.000 | -0.000 | 
| -0.000 | -0.000 | -0.000 | -0.000 | -0.000 | -0.000 | 
| -0.652 | -0.825 | -0.825 | -0.000 | -0.000 | -0.000 | 
| -0.825 | -0.652 | -0.825 | -0.000 | -0.000 | -0.000 | 
| -0.825 | -0.825 | -0.652 | -0.000 | -0.000 | -0.000 | 
| -0.874 | -0.874 | -0.874 | 0.277 | -0.000 | -0.000 | 
| -0.874 | -0.874 | -0.874 | -0.000 | 0.277 | -0.000 | 
| -0.874 | -0.874 | -0.874 | -0.000 | 0.000 | 0.277 | 
| 1.550 | 0.534 | 0.534 | 0.000 | 0.000 | 0.000 | 
| 0.534 | 1.550 | 0.534 | 0.000 | 0.000 | 0.000 | 
| 0.534 | 0.534 | 1.550 | 0.000 | 0.000 | 0.000 | 
| 0.874 | 0.874 | 0.874 | 0.277 | 0.000 | -0.000 | 
| 0.874 | 0.874 | 0.874 | 0.000 | 0.277 | 0.000 | 
| 0.874 | 0.874 | 0.874 | 0.000 | 0.000 | 0.277 | 
| 0.474 | 0.283 | 0.283 | 0.000 | -0.000 | -0.000 | 
| 0.278 | 0.431 | 0.278 | -0.000 | -0.000 | -0.000 | 
| 0.278 | 0.278 | 0.431 | -0.000 | -0.000 | -0.000 | 
| -0.141 | -0.144 | -0.144 | 0.090 | -0.000 | -0.000 | 
| -0.161 | -0.160 | -0.161 | 0.000 | 0.080 | -0.000 | 
| -0.161 | -0.161 | -0.160 | 0.000 | -0.000 | 0.080 | 
| 0.488 | 0.362 | 0.362 | 0.000 | -0.000 | 0.000 | 
| 0.391 | 0.492 | 0.391 | -0.000 | 0.000 | 0.000 | 
| 0.391 | 0.391 | 0.492 | -0.000 | 0.000 | 0.000 | 
| 0.160 | 0.161 | 0.161 | 0.080 | 0.000 | 0.000 | 
| 0.161 | 0.160 | 0.161 | -0.000 | 0.080 | 0.000 | 
| 0.144 | 0.144 | 0.141 | 0.000 | 0.000 | 0.090 | 
| 1.132 | 1.109 | 1.109 | -0.000 | 0.000 | -0.000 | 
| 1.109 | 1.132 | 1.109 | -0.000 | -0.000 | -0.000 | 
| 1.109 | 1.109 | 1.128 | -0.000 | -0.000 | -0.000 | 
| 0.111 | 0.104 | 0.104 | 0.054 | -0.000 | -0.000 | 
| 0.104 | 0.111 | 0.104 | 0.000 | 0.054 | -0.000 | 
| 0.104 | 0.104 | 0.111 | 0.000 | -0.000 | 0.054 | 
| 0.051 | 0.047 | 0.047 | 0.000 | 0.000 | 0.000 | 
| 0.048 | 0.051 | 0.048 | 0.000 | 0.000 | 0.000 | 
| 0.048 | 0.048 | 0.051 | -0.000 | 0.000 | 0.000 | 
| -0.111 | -0.104 | -0.104 | 0.054 | 0.000 | 0.000 | 
| -0.104 | -0.111 | -0.104 | -0.000 | 0.054 | 0.000 | 
| -0.104 | -0.104 | -0.111 | -0.000 | 0.000 | 0.054 | 
| 0.021 | 0.019 | 0.040 | 0.000 | 0.000 | 0.000 | 
| 0.188 | 0.452 | 0.641 | 0.000 | -0.000 | -0.000 | 
| 0.481 | 1.078 | 1.560 | 0.000 | 0.000 | 0.000 | 
| 0.101 | 0.251 | 0.352 | 0.274 | -0.000 | 0.000 | 
| 0.023 | 0.022 | 0.045 | 0.000 | 0.033 | 0.000 | 
| 0.015 | 0.014 | 0.029 | 0.000 | 0.000 | 0.015 | 
| -0.000 | -0.000 | -0.000 | -0.000 | -0.000 | -0.000 | 
| -0.000 | -0.000 | -0.000 | -0.000 | -0.000 | -0.000 | 
| -0.000 | -0.000 | -0.000 | -0.000 | -0.000 | -0.000 | 
| -0.101 | -0.251 | -0.352 | 0.274 | 0.000 | -0.000 | 
| -0.023 | -0.022 | -0.045 | -0.000 | 0.033 | 0.000 | 
| -0.015 | -0.014 | -0.029 | -0.000 | 0.000 | 0.015 | 
| 0.113 | -0.051 | 0.506 | 0.000 | 0.000 | -0.000 | 
| -0.051 | 0.113 | 0.506 | 0.000 | 0.000 | -0.000 | 
| 0.542 | 0.542 | 4.909 | 0.000 | 0.000 | -0.000 | 
| -0.065 | -0.065 | -0.101 | 0.656 | 0.000 | -0.000 | 
| -0.065 | -0.065 | -0.101 | 0.000 | 0.656 | -0.000 | 
| -0.065 | -0.065 | -0.101 | 0.000 | 0.000 | 0.082 | 
| 0.280 | 0.093 | 0.747 | -0.000 | -0.000 | 0.000 | 
| 0.093 | 0.280 | 0.747 | -0.000 | -0.000 | -0.000 | 
| 0.747 | 0.747 | 5.227 | 0.000 | -0.000 | -0.000 | 
| 0.065 | 0.065 | 0.101 | 0.656 | -0.000 | 0.000 | 
| 0.065 | 0.065 | 0.101 | -0.000 | 0.656 | 0.000 | 
| 0.065 | 0.065 | 0.101 | -0.000 | -0.000 | 0.082 | 
| 0.172 | 0.008 | 0.597 | 0.000 | 0.000 | -0.000 | 
| 0.008 | 0.172 | 0.597 | 0.000 | 0.000 | -0.000 | 
| 0.600 | 0.600 | 4.999 | 0.000 | 0.000 | -0.000 | 
| -0.009 | -0.009 | -0.014 | 0.303 | 0.000 | -0.000 | 
| -0.009 | -0.009 | -0.014 | -0.000 | 0.206 | -0.000 | 
| -0.009 | -0.009 | -0.014 | 0.000 | 0.000 | 0.063 | 
| 0.185 | 0.021 | 0.617 | -0.000 | -0.000 | 0.000 | 
| 0.010 | 0.137 | 0.572 | -0.000 | -0.000 | 0.000 | 
| 0.577 | 0.577 | 4.963 | 0.000 | -0.000 | 0.000 | 
| 0.009 | 0.009 | 0.014 | 0.303 | -0.000 | 0.000 | 
| 0.009 | 0.009 | 0.014 | -0.000 | 0.206 | 0.000 | 
| 0.009 | 0.009 | 0.014 | -0.000 | -0.000 | 0.063 | 
| 0.068 | 0.055 | 0.553 | 0.000 | 0.000 | -0.000 | 
| 0.053 | 0.069 | 0.553 | -0.000 | -0.000 | -0.000 | 
| 0.554 | 0.554 | 4.928 | -0.000 | 0.000 | -0.000 | 
| -0.001 | -0.001 | -0.001 | 0.026 | 0.000 | -0.000 | 
| -0.001 | -0.001 | -0.001 | -0.000 | 0.026 | -0.000 | 
| -0.001 | -0.001 | -0.001 | -0.000 | 0.000 | 0.008 | 
| 0.069 | 0.057 | 0.555 | -0.000 | -0.000 | 0.000 | 
| 0.053 | 0.074 | 0.555 | -0.000 | -0.000 | 0.000 | 
| 0.556 | 0.556 | 4.931 | 0.000 | -0.000 | 0.000 | 
| 0.001 | 0.001 | 0.001 | 0.026 | -0.000 | 0.000 | 
| 0.001 | 0.001 | 0.001 | 0.000 | 0.026 | 0.000 | 
| 0.001 | 0.001 | 0.001 | 0.000 | -0.000 | 0.008 | 
| -1038499.887 | -65112.601 | -1060603.408 | -4240.101 | 47000.164 | 987.232 | 
| -1039088.819 | -64799.924 | -1060478.416 | -4479.322 | 39943.631 | 986.729 | 
| -1039571.122 | -64738.170 | -1058886.412 | -4883.436 | 37632.351 | 712.166 | 
| -1038449.861 | -64878.395 | -1061095.101 | -4033.450 | 43063.876 | 447.096 | 
| -1035512.437 | -66205.961 | -1062873.363 | -4240.076 | 41347.916 | 1444.340 | 
| -1036375.428 | -66122.603 | -1064023.264 | -4311.064 | 41058.647 | 1076.618 | 
| 1037651.564 | 66358.160 | 1063213.776 | 4453.409 | -41231.357 | -1636.860 | 
| 1039176.496 | 64778.249 | 1060780.147 | 4839.884 | -41452.583 | -684.298 | 
| 1038978.666 | 64726.657 | 1061403.807 | 4045.090 | -42284.419 | -875.931 | 
| 1039069.491 | 64829.978 | 1061677.968 | 4098.709 | -40942.098 | -751.605 | 
| 1039788.853 | 64525.158 | 1061998.275 | 4138.028 | -43744.041 | -766.252 | 
| 1037540.424 | 64568.860 | 1059344.041 | 4207.892 | -39634.574 | -363.496 | 
| -103693.161 | -6415.015 | -105830.319 | -416.241 | 3968.528 | 46.259 | 
| -103507.642 | -6512.441 | -106271.191 | -422.450 | 3984.709 | 85.724 | 
| -103716.711 | -6434.843 | -105839.926 | -437.848 | 4375.220 | 58.819 | 
| -103938.311 | -6503.741 | -106191.184 | -349.349 | 4079.392 | 64.123 | 
| -103759.148 | -6469.625 | -105818.881 | -401.160 | 3984.851 | 59.824 | 
| -103834.673 | -6485.662 | -106276.578 | -411.615 | 4286.273 | 100.009 | 
| 103839.041 | 6507.905 | 106131.771 | 381.021 | -3864.565 | -23.991 | 
| 104066.723 | 6610.803 | 106535.995 | 419.159 | -3827.296 | -67.093 | 
| 103911.040 | 6540.652 | 106208.136 | 389.086 | -4160.300 | -46.189 | 
| 103883.472 | 6466.441 | 106075.702 | 475.396 | -4105.382 | -83.925 | 
| 103871.704 | 6500.721 | 105702.578 | 463.584 | -4063.486 | -79.512 | 
| 103799.369 | 6483.228 | 105846.753 | 450.457 | -4000.168 | -25.252 | 
| -10288.564 | -604.570 | -10542.692 | -45.668 | 425.667 | 7.087 | 
| -10340.704 | -542.447 | -10548.731 | -41.887 | 437.899 | 9.571 | 
| -10326.127 | -592.828 | -10483.118 | -45.757 | 387.500 | 2.744 | 
| -10378.748 | -652.470 | -10606.121 | -8.063 | 422.255 | 5.007 | 
| -10354.171 | -647.907 | -10551.969 | -42.926 | 391.703 | -5.041 | 
| -10391.787 | -647.492 | -10598.895 | -47.705 | 403.597 | 29.671 | 
| 10486.504 | 696.334 | 10642.717 | 42.811 | -390.562 | -3.564 | 
| 10398.656 | 767.770 | 10659.291 | 42.577 | -400.586 | -12.910 | 
| 10428.767 | 706.378 | 10691.724 | 37.474 | -418.932 | -6.678 | 
| 10384.560 | 648.980 | 10611.411 | 72.174 | -417.945 | -2.635 | 
| 10371.857 | 652.145 | 10611.762 | 39.129 | -386.303 | -4.138 | 
| 10388.588 | 650.552 | 10572.658 | 46.216 | -391.667 | 14.958 | 
| 38942635.838 | 3548828.269 | 35252487.036 | 810271.365 | 20774702.078 | 1408825.878 | 
| 38946035.361 | 3556808.843 | 35264193.462 | 815066.772 | 20778478.515 | 1408585.304 | 
| 38946044.775 | 3555214.398 | 35261904.938 | 814049.075 | 20777529.076 | 1408708.778 | 
| 38939072.003 | 3543518.561 | 35243931.507 | 807154.636 | 20771895.756 | 1408716.453 | 
| 38945287.502 | 3554166.191 | 35260522.935 | 813493.374 | 20777268.874 | 1408733.836 | 
| 38942371.328 | 3548172.740 | 35251450.438 | 809873.219 | 20774330.672 | 1408849.785 | 
| -38936871.655 | -3540871.227 | -35239515.566 | -805650.718 | -20770488.668 | -1408611.605 | 
| -38948446.101 | -3563011.208 | -35272114.008 | -818381.427 | -20780774.954 | -1408130.764 | 
| -38941393.665 | -3546933.992 | -35249541.511 | -809159.422 | -20773808.724 | -1408807.059 | 
| -38938902.741 | -3543350.081 | -35243639.961 | -807038.563 | -20771824.688 | -1408721.811 | 
| -38944583.916 | -3552561.769 | -35258129.265 | -812504.305 | -20776480.758 | -1408780.585 | 
| -38945886.385 | -3555203.177 | -35261921.940 | -814081.939 | -20777591.784 | -1408687.105 | 
| 3894876.629 | 356142.511 | 3527008.372 | 81745.159 | 2077980.022 | 140832.846 | 
| 3894565.808 | 355417.836 | 3526018.904 | 81327.879 | 2077693.394 | 140875.681 | 
| 3893820.236 | 354236.111 | 3524208.182 | 80647.517 | 2077120.940 | 140868.011 | 
| 3894753.070 | 355954.704 | 3526783.468 | 81663.100 | 2077940.470 | 140838.938 | 
| 3894245.039 | 354899.846 | 3525279.468 | 81043.862 | 2077498.466 | 140881.921 | 
| 3893649.229 | 354020.476 | 3523829.179 | 80520.753 | 2076995.692 | 140870.121 | 
| -3894021.105 | -354588.137 | -3524797.711 | -80862.998 | -2077350.767 | -140877.265 | 
| -3894300.662 | -354961.418 | -3525401.581 | -81091.181 | -2077531.921 | -140882.428 | 
| -3893921.205 | -354368.856 | -3524419.162 | -80726.153 | -2077208.151 | -140873.497 | 
| -3894028.464 | -354539.228 | -3524706.289 | -80819.240 | -2077301.776 | -140882.671 | 
| -3894047.494 | -354526.575 | -3524682.966 | -80813.329 | -2077277.278 | -140878.374 | 
| -3894131.756 | -354679.958 | -3524935.771 | -80913.356 | -2077374.838 | -140869.154 | 
| 389480.285 | 35569.570 | 352642.084 | 8147.664 | 207776.077 | 14086.182 | 
| 389476.834 | 35589.911 | 352646.853 | 8148.218 | 207777.263 | 14086.245 | 
| 389438.823 | 35499.130 | 352547.121 | 8106.811 | 207743.607 | 14088.310 | 
| 389453.433 | 35549.206 | 352616.300 | 8146.665 | 207776.801 | 14081.677 | 
| 389440.838 | 35532.484 | 352592.582 | 8133.200 | 207777.346 | 14087.276 | 
| 389389.421 | 35432.948 | 352436.849 | 8065.863 | 207718.930 | 14098.582 | 
| -389368.819 | -35427.940 | -352432.065 | -8071.088 | -207725.922 | -14087.192 | 
| -389445.929 | -35528.081 | -352610.367 | -8141.180 | -207780.283 | -14087.190 | 
| -389394.537 | -35452.388 | -352461.201 | -8083.784 | -207737.361 | -14087.923 | 
| -389444.128 | -35520.940 | -352573.534 | -8115.095 | -207762.416 | -14093.094 | 
| -389425.810 | -35479.928 | -352509.806 | -8094.047 | -207734.309 | -14088.214 | 
| -389428.552 | -35499.441 | -352541.222 | -8114.207 | -207753.165 | -14076.725 | 
| 232.922 | 90.217 | 87.631 | -0.000 | 12.531 | 0.000 | 
| 87.829 | 280.198 | 42.947 | 0.000 | 7.527 | 0.000 | 
| 89.313 | 45.926 | 255.910 | -0.000 | 2.574 | 0.000 | 
| -3012.041 | -570.265 | -3200.946 | -18.142 | 1399.745 | -63.918 | 
| -11.641 | 6.968 | 2.574 | 0.000 | 92.861 | 0.000 | 
| -342.229 | -718.671 | 166.092 | 2.003 | 181.024 | 56.320 | 
| 232.922 | 90.217 | 87.631 | -0.000 | 12.531 | -0.000 | 
| 87.829 | 280.198 | 42.947 | 0.000 | 7.527 | -0.000 | 
| 89.313 | 45.926 | 255.910 | 0.000 | 2.574 | -0.000 | 
| 3012.098 | 570.205 | 3201.032 | -18.143 | -1399.795 | -63.919 | 
| 331.340 | 720.407 | -165.324 | 0.000 | -133.402 | -0.000 | 
| 342.229 | 718.671 | -166.092 | 2.003 | -181.024 | 56.320 | 
| 91.994 | 16.495 | 86.649 | 0.000 | 21.561 | 0.000 | 
| -13.990 | 121.951 | 30.039 | 0.000 | -5.779 | 0.000 | 
| -21.788 | -41.031 | 144.934 | -0.000 | -8.807 | 0.000 | 
| -34.173 | -71.762 | 16.585 | 40.071 | 18.076 | 1.451 | 
| -82.344 | -92.176 | -26.164 | 0.000 | 51.972 | 0.000 | 
| -72.378 | -92.596 | -19.321 | 4.645 | -4.420 | 57.335 | 
| 232.922 | 90.217 | 87.631 | 0.000 | 12.531 | -0.000 | 
| 121.894 | 291.890 | 41.685 | -0.000 | -12.653 | -0.000 | 
| 89.313 | 45.926 | 255.910 | -0.000 | 2.574 | 0.000 | 
| 34.173 | 71.762 | -16.585 | 40.071 | -18.076 | 1.451 | 
| 22.891 | 73.007 | -15.555 | 0.000 | 31.961 | -0.000 | 
| -0.000 | -0.000 | -0.000 | 6.789 | 0.000 | 88.192 | 
| 7.085 | -2.322 | -5.857 | -0.000 | -7.984 | 0.000 | 
| 84.512 | 216.977 | 58.912 | -0.000 | 7.250 | 0.000 | 
| -16.258 | -10.782 | 37.013 | -0.000 | -17.927 | -0.000 | 
| -3.176 | -6.669 | 1.541 | 40.704 | 1.680 | 1.789 | 
| -12.576 | -0.481 | 1.867 | 0.000 | 57.248 | 0.000 | 
| -11.976 | -5.561 | -7.738 | -2.132 | 5.669 | 20.080 | 
| 35.456 | 17.003 | -1.979 | -0.000 | -9.952 | -0.000 | 
| 90.878 | 231.400 | 55.553 | 0.000 | 3.920 | -0.000 | 
| 7.297 | 23.049 | 91.985 | -0.000 | -21.703 | -0.000 | 
| 3.176 | 6.669 | -1.541 | 40.704 | -1.680 | 1.789 | 
| -7.425 | 10.741 | -0.547 | 0.000 | 57.192 | -0.000 | 
| 11.976 | 5.561 | 7.738 | -2.132 | -5.669 | 20.080 | 
| -103566272.514 | -102662506.491 | -4814135.826 | 579658.602 | -367889.360 | 220912.407 | 
| -103566294.930 | -102662461.410 | -4814137.438 | 579659.537 | -367888.383 | 220912.394 | 
| -103566309.435 | -102662506.385 | -4814134.812 | 579658.012 | -367889.528 | 220912.186 | 
| -103566313.258 | -102662511.834 | -4814138.901 | 579663.701 | -367889.682 | 220912.001 | 
| -103566311.627 | -102662509.051 | -4814138.806 | 579657.998 | -367884.388 | 220911.506 | 
| -103566319.140 | -102662516.685 | -4814137.318 | 579659.044 | -367889.977 | 220928.962 | 
| 103566353.646 | 102662516.233 | 4814142.438 | -579658.856 | 367888.971 | -220911.837 | 
| 103566330.909 | 102662560.979 | 4814140.851 | -579657.918 | 367889.953 | -220911.841 | 
| 103566316.362 | 102662516.023 | 4814143.539 | -579659.465 | 367888.817 | -220912.052 | 
| 103566312.648 | 102662510.690 | 4814139.443 | -579653.779 | 367888.661 | -220912.240 | 
| 103566314.195 | 102662513.389 | 4814139.549 | -579659.483 | 367893.957 | -220912.734 | 
| 103566306.778 | 102662505.852 | 4814141.026 | -579658.436 | 367888.366 | -220895.280 | 
| -10356592.192 | -10266247.500 | -481410.232 | 57965.657 | -36789.050 | 22091.514 | 
| -10356613.524 | -10266201.294 | -481411.936 | 57966.581 | -36788.091 | 22091.473 | 
| -10356627.932 | -10266246.360 | -481409.498 | 57965.129 | -36789.264 | 22091.278 | 
| -10356632.160 | -10266252.254 | -481413.574 | 57970.830 | -36789.414 | 22091.106 | 
| -10356630.228 | -10266249.175 | -481413.520 | 57965.131 | -36784.127 | 22090.603 | 
| -10356637.943 | -10266257.013 | -481412.007 | 57966.177 | -36789.712 | 22108.065 | 
| 10356673.550 | 10266257.327 | 481416.671 | -57965.849 | 36788.629 | -22090.938 | 
| 10356649.354 | 10266300.522 | 481415.170 | -57964.880 | 36789.631 | -22090.900 | 
| 10356634.856 | 10266256.003 | 481418.234 | -57966.585 | 36788.554 | -22091.144 | 
| 10356631.630 | 10266251.192 | 481414.107 | -57960.908 | 36788.392 | -22091.347 | 
| 10356632.793 | 10266253.510 | 481414.263 | -57966.616 | 36793.697 | -22091.831 | 
| 10356625.809 | 10266246.408 | 481415.689 | -57965.568 | 36788.097 | -22074.388 | 
| -1035621.896 | -1026618.687 | -48137.362 | 5796.142 | -3678.999 | 2209.304 | 
| -1035643.729 | -1026572.930 | -48138.919 | 5797.030 | -3678.012 | 2209.277 | 
| -1035643.742 | -1026611.048 | -48147.418 | 5749.661 | -3681.364 | 2220.716 | 
| -1035663.684 | -1026625.805 | -48140.962 | 5801.492 | -3679.374 | 2208.999 | 
| -1035662.047 | -1026623.140 | -48140.983 | 5795.843 | -3674.104 | 2208.510 | 
| -1035669.797 | -1026631.019 | -48139.469 | 5796.892 | -3679.686 | 2225.971 | 
| 1035686.686 | 1026621.921 | 48156.721 | -5750.818 | 3680.806 | -2220.432 | 
| 1035663.968 | 1026666.957 | 48155.334 | -5749.919 | 3681.799 | -2220.455 | 
| 1035666.502 | 1026629.613 | 48145.560 | -5797.231 | 3678.513 | -2209.031 | 
| 1035663.438 | 1026625.108 | 48141.543 | -5791.602 | 3678.359 | -2209.253 | 
| 1035664.965 | 1026627.826 | 48141.689 | -5797.324 | 3683.662 | -2209.747 | 
| 1035656.925 | 1026619.672 | 48143.232 | -5796.285 | 3678.089 | -2192.276 | 
| -26147830.853 | -35362911.409 | -96816374.111 | -342968.643 | 11144943.395 | 440442.861 | 
| -26147925.727 | -35362959.740 | -96816493.582 | -342965.900 | 11144983.074 | 440468.036 | 
| -26147895.488 | -35362952.180 | -96816407.328 | -342968.999 | 11144970.070 | 440457.822 | 
| -26147889.611 | -35362942.253 | -96816431.994 | -342954.668 | 11144957.387 | 440460.801 | 
| -26147936.755 | -35363002.333 | -96816509.510 | -342964.527 | 11144995.611 | 440467.133 | 
| -26147867.485 | -35362901.726 | -96816380.359 | -342967.353 | 11144943.984 | 440453.241 | 
| 26147958.901 | 35362957.960 | 96816466.399 | 342966.495 | -11144964.406 | -440466.253 | 
| 26147855.993 | 35362896.226 | 96816328.573 | 342969.947 | -11144919.741 | -440438.390 | 
| 26147898.974 | 35362924.873 | 96816443.715 | 342965.727 | -11144940.560 | -440452.903 | 
| 26147914.723 | 35362950.895 | 96816441.033 | 342979.179 | -11144959.162 | -440453.195 | 
| 26147857.161 | 35362873.675 | 96816340.087 | 342970.245 | -11144914.614 | -440443.388 | 
| 26147931.536 | 35362982.688 | 96816480.740 | 342966.962 | -11144969.343 | -440458.984 | 
| -2614719.527 | -3536261.630 | -9681584.270 | -34298.400 | 1114482.100 | 44031.680 | 
| -2614817.918 | -3536315.049 | -9681710.597 | -34295.340 | 1114523.477 | 44057.994 | 
| -2614788.457 | -3536308.947 | -9681626.306 | -34298.360 | 1114510.967 | 44048.186 | 
| -2614780.410 | -3536294.912 | -9681645.370 | -34284.200 | 1114496.624 | 44050.428 | 
| -2614809.480 | -3536325.248 | -9681682.177 | -34295.657 | 1114523.880 | 44050.714 | 
| -2614702.982 | -3536162.658 | -9681467.913 | -34301.781 | 1114449.219 | 44024.151 | 
| 2614834.201 | 3536286.154 | 9681646.464 | 34297.379 | -1114494.837 | -44050.733 | 
| 2614672.349 | 3536125.159 | 9681372.052 | 34305.997 | -1114413.122 | -44002.669 | 
| 2614771.305 | 3536247.420 | 9681615.786 | 34296.910 | -1114468.705 | -44036.314 | 
| 2614802.980 | 3536299.393 | 9681648.702 | 34308.930 | -1114496.865 | -44041.983 | 
| 2614748.057 | 3536226.370 | 9681553.490 | 34299.765 | -1114453.862 | -44032.942 | 
| 2614808.894 | 3536313.281 | 9681663.935 | 34297.673 | -1114500.443 | -44044.135 | 
| -261814.796 | -354000.819 | -968604.633 | -3612.763 | 111365.404 | 4244.626 | 
| -261911.370 | -354043.866 | -968714.735 | -3609.027 | 111402.243 | 4268.095 | 
| -261885.974 | -354056.629 | -968651.893 | -3612.063 | 111397.020 | 4268.391 | 
| -261470.026 | -353631.842 | -968168.614 | -3417.165 | 111451.173 | 4409.756 | 
| -261483.457 | -353637.045 | -968171.536 | -3429.946 | 111469.524 | 4404.635 | 
| -261399.354 | -353505.597 | -967997.136 | -3434.023 | 111404.904 | 4383.920 | 
| 261523.287 | 353628.692 | 968178.556 | 3430.267 | -111452.532 | -4409.954 | 
| 261399.616 | 353517.244 | 967967.242 | 3435.514 | -111386.312 | -4371.241 | 
| 261431.164 | 353534.404 | 968068.638 | 3432.496 | -111404.373 | -4384.756 | 
| 261458.212 | 353578.313 | 968092.420 | 3444.926 | -111429.876 | -4389.535 | 
| 261442.045 | 353569.168 | 968084.556 | 3432.298 | -111410.431 | -4393.140 | 
| 261482.221 | 353623.779 | 968151.681 | 3432.011 | -111445.405 | -4398.010 | 
| 629.165 | 18.312 | 18.312 | 0.000 | 0.000 | -0.000 | 
| 18.312 | 629.165 | 18.312 | 0.000 | 0.000 | -0.000 | 
| 18.312 | 18.312 | 629.165 | 0.000 | 0.000 | -0.000 | 
| 0.000 | -0.000 | 0.000 | -164.382 | 0.000 | -0.000 | 
| 0.000 | -0.000 | 0.000 | 0.000 | -164.382 | 0.000 | 
| 0.000 | -0.000 | 0.000 | 0.000 | 0.000 | -164.383 | 
| 629.165 | 18.312 | 18.312 | -0.000 | -0.000 | 0.000 | 
| 18.312 | 629.165 | 18.312 | -0.000 | -0.000 | 0.000 | 
| 18.312 | 18.312 | 629.165 | -0.000 | -0.000 | 0.000 | 
| -0.000 | 0.000 | -0.000 | -164.383 | -0.000 | 0.000 | 
| -0.000 | 0.000 | -0.000 | -0.000 | -90.704 | 0.000 | 
| -0.000 | 0.000 | -0.000 | -0.000 | -0.000 | -164.383 | 
| 629.165 | 18.312 | 18.312 | 0.000 | 0.000 | -0.000 | 
| 18.312 | 629.165 | 18.312 | 0.000 | 0.000 | -0.000 | 
| 18.312 | 18.312 | 629.165 | 0.000 | 0.000 | 0.000 | 
| 0.000 | -0.000 | -0.000 | -164.382 | 0.000 | 0.000 | 
| 0.000 | 0.000 | -0.000 | 0.000 | -164.382 | 0.000 | 
| 0.000 | -0.000 | 0.000 | 0.000 | 0.000 | -164.382 | 
| 629.165 | 18.312 | 18.312 | -0.000 | -0.000 | 0.000 | 
| 18.312 | 629.165 | 18.312 | -0.000 | -0.000 | 0.000 | 
| 18.312 | 18.312 | 629.165 | -0.000 | -0.000 | 0.000 | 
| -0.000 | -0.000 | 0.000 | -164.382 | -0.000 | 0.000 | 
| -0.000 | 0.000 | 0.000 | -0.000 | -164.382 | 0.000 | 
| -0.000 | 0.000 | -0.000 | -0.000 | -0.000 | -164.382 | 
| 629.167 | 18.312 | 18.312 | 0.000 | 0.000 | -0.000 | 
| 18.312 | 629.167 | 18.312 | 0.000 | 0.000 | -0.000 | 
| 18.312 | 18.312 | 629.167 | 0.000 | 0.000 | -0.000 | 
| 0.000 | 0.000 | -0.001 | -164.382 | 0.000 | -0.000 | 
| 0.000 | 0.000 | -0.001 | 0.000 | -164.382 | 0.000 | 
| 0.000 | -0.001 | 0.000 | 0.000 | 0.000 | -164.382 | 
| 629.163 | 18.312 | 18.312 | -0.000 | -0.000 | 0.000 | 
| 18.312 | 629.163 | 18.312 | -0.000 | -0.000 | 0.000 | 
| 18.312 | 18.312 | 629.163 | -0.000 | -0.000 | -0.000 | 
| -0.000 | -0.000 | 0.001 | -164.382 | -0.000 | 0.000 | 
| -0.000 | -0.000 | 0.001 | -0.000 | -164.382 | -0.000 | 
| -0.000 | 0.001 | -0.000 | -0.000 | -0.000 | -164.382 | 
| 464.456 | 286.293 | 286.293 | 0.000 | -0.000 | -0.000 | 
| 286.293 | 464.456 | 286.293 | -0.000 | 0.000 | 0.000 | 
| 286.293 | 286.293 | 464.456 | -0.000 | -0.000 | 0.000 | 
| -0.000 | 0.000 | 0.000 | 282.811 | -0.000 | -0.000 | 
| -0.000 | 0.000 | 0.000 | -0.000 | 282.811 | -0.000 | 
| -0.000 | 0.000 | 0.000 | 0.000 | 0.000 | 282.811 | 
| 464.456 | 286.293 | 286.293 | 0.000 | -0.000 | 0.000 | 
| 286.293 | 464.456 | 286.293 | 0.000 | -0.000 | 0.000 | 
| 286.293 | 286.293 | 464.456 | 0.000 | -0.000 | -0.000 | 
| 0.000 | -0.000 | -0.000 | 282.811 | 0.000 | -0.000 | 
| -0.000 | -0.000 | -0.000 | 0.000 | 282.811 | -0.000 | 
| 0.000 | -0.000 | -0.000 | 0.000 | -0.000 | 282.811 | 
| 464.456 | 286.293 | 286.293 | 0.000 | 0.000 | 0.000 | 
| 286.293 | 464.456 | 286.293 | 0.000 | 0.000 | -0.000 | 
| 286.293 | 286.293 | 464.456 | -0.000 | 0.000 | -0.000 | 
| 0.000 | 0.000 | 0.000 | 296.530 | 0.000 | -0.000 | 
| 0.000 | 0.000 | 0.000 | -0.000 | 296.530 | -0.000 | 
| 0.000 | 0.000 | 0.000 | -0.000 | 0.000 | 296.530 | 
| 464.456 | 286.293 | 286.293 | -0.000 | -0.000 | -0.000 | 
| 286.293 | 464.456 | 286.293 | -0.000 | -0.000 | 0.000 | 
| 286.293 | 286.293 | 464.456 | 0.000 | -0.000 | -0.000 | 
| -0.000 | -0.000 | -0.000 | 296.530 | -0.000 | -0.000 | 
| -0.000 | -0.000 | -0.000 | 0.000 | 296.530 | 0.000 | 
| -0.000 | -0.000 | -0.000 | 0.000 | -0.000 | 296.530 | 
| 464.457 | 286.294 | 286.294 | 0.000 | 0.000 | 0.000 | 
| 286.294 | 464.457 | 286.294 | -0.000 | 0.000 | 0.000 | 
| 286.294 | 286.294 | 464.457 | 0.000 | -0.000 | 0.000 | 
| 0.000 | 0.000 | 0.001 | 282.811 | 0.000 | 0.000 | 
| 0.000 | 0.000 | 0.001 | -0.000 | 282.811 | -0.000 | 
| 0.000 | 0.001 | 0.000 | 0.000 | 0.000 | 282.811 | 
| 464.455 | 286.292 | 286.292 | 0.000 | 0.000 | 0.000 | 
| 286.292 | 464.455 | 286.292 | -0.000 | -0.000 | 0.000 | 
| 286.292 | 286.292 | 464.455 | -0.000 | -0.000 | -0.000 | 
| -0.000 | -0.000 | -0.001 | 282.811 | -0.000 | -0.000 | 
| -0.000 | -0.000 | -0.001 | 0.000 | 282.811 | -0.000 | 
| -0.000 | -0.001 | -0.000 | 0.000 | -0.000 | 282.811 | 
| 388.560 | 221.721 | 61.452 | -0.000 | 0.000 | 0.000 | 
| 225.093 | 176.753 | 75.097 | -0.000 | 0.000 | 0.000 | 
| 70.239 | 80.512 | 672.383 | -0.000 | 0.000 | 0.000 | 
| 0.000 | 0.000 | 0.000 | 80.840 | 0.000 | 0.000 | 
| -1.359 | -0.814 | -0.236 | -0.000 | 10.677 | 0.000 | 
| 0.000 | 0.000 | 0.000 | -0.000 | 0.000 | 206.988 | 
| 163.563 | 45.771 | 6.067 | 0.000 | -0.000 | -0.000 | 
| 51.611 | 38.252 | 31.262 | 0.000 | -0.000 | -0.000 | 
| 15.664 | 36.663 | 658.483 | 0.000 | -0.000 | -0.000 | 
| -0.000 | -0.000 | -0.000 | 80.840 | -0.000 | -0.000 | 
| 1.359 | 0.814 | 0.236 | 0.000 | 10.677 | -0.000 | 
| -0.000 | -0.000 | -0.000 | 0.000 | -0.000 | 206.988 | 
| 163.101 | 45.472 | 5.978 | -0.000 | 0.000 | 0.000 | 
| 51.392 | 38.143 | 31.233 | -0.000 | 0.000 | 0.000 | 
| 18.496 | 36.313 | 658.158 | -0.000 | 0.000 | 0.000 | 
| 0.000 | 0.000 | 0.000 | 80.840 | 0.000 | 0.000 | 
| -0.136 | -0.082 | -0.024 | -0.000 | 10.676 | 0.000 | 
| 0.000 | 0.000 | 0.000 | -0.000 | 0.000 | 206.988 | 
| 138.187 | 50.949 | 9.793 | 0.000 | -0.000 | -0.000 | 
| 54.391 | 37.828 | 30.911 | 0.000 | -0.000 | -0.000 | 
| 70.239 | 80.511 | 672.383 | 0.000 | -0.000 | -0.000 | 
| -0.000 | -0.000 | -0.000 | 80.840 | -0.000 | -0.000 | 
| -0.642 | -0.567 | -0.184 | 0.000 | 10.277 | 0.000 | 
| -0.000 | -0.000 | -0.000 | 0.000 | -0.000 | 206.988 | 
| 138.046 | 50.896 | 9.780 | -0.000 | 0.000 | 0.000 | 
| 51.298 | 38.063 | 31.208 | -0.000 | 0.000 | 0.000 | 
| 18.568 | 36.323 | 658.159 | -0.000 | 0.000 | 0.000 | 
| 0.057 | 0.051 | 0.016 | 30.645 | 0.000 | 0.000 | 
| 0.000 | 0.000 | 0.000 | -0.000 | 72.500 | 0.000 | 
| -0.004 | -0.002 | -0.001 | -0.000 | 0.000 | 51.804 | 
| 138.155 | 50.971 | 9.803 | 0.000 | -0.000 | -0.000 | 
| 51.355 | 38.107 | 31.221 | 0.000 | -0.000 | -0.000 | 
| 70.238 | 80.511 | 672.381 | 0.000 | -0.000 | -0.000 | 
| -0.057 | -0.051 | -0.016 | 30.645 | -0.000 | -0.000 | 
| -0.000 | -0.000 | -0.000 | 0.000 | 72.500 | -0.000 | 
| 0.004 | 0.002 | 0.001 | 0.000 | -0.000 | 51.804 | 
| 409.174 | 186.791 | 212.156 | 0.000 | 0.000 | -0.000 | 
| 147.939 | 369.976 | 183.737 | 0.000 | -0.000 | -0.000 | 
| 186.144 | 186.143 | 339.018 | -0.000 | -0.000 | -0.000 | 
| -0.737 | -0.737 | -0.536 | 152.482 | -0.001 | -0.000 | 
| -0.000 | 0.000 | 0.000 | 0.000 | 231.757 | -0.000 | 
| -0.321 | -0.321 | -0.234 | -0.000 | 0.000 | 122.083 | 
| 411.026 | 187.206 | 212.982 | -0.000 | 0.000 | 0.000 | 
| 187.206 | 411.026 | 212.981 | 0.000 | -0.000 | 0.000 | 
| 188.359 | 188.359 | 340.631 | 0.000 | 0.000 | 0.000 | 
| 0.737 | 0.737 | 0.536 | 152.482 | 0.000 | 0.000 | 
| 0.000 | -0.000 | -0.000 | 0.000 | 231.757 | 0.000 | 
| 0.321 | 0.321 | 0.234 | 0.000 | 0.000 | 122.083 | 
| 370.934 | 148.932 | 184.447 | 0.000 | -0.000 | 0.000 | 
| 155.707 | 373.885 | 187.988 | -0.000 | -0.000 | -0.000 | 
| 229.265 | 229.265 | 370.421 | -0.000 | -0.000 | -0.000 | 
| 0.000 | 0.000 | 0.000 | 231.757 | 0.000 | 0.000 | 
| -0.044 | -0.044 | -0.032 | -0.000 | 158.817 | -0.000 | 
| -0.032 | -0.032 | -0.023 | 0.000 | -0.000 | 122.087 | 
| 480.141 | 159.604 | 228.098 | 0.000 | 0.000 | 0.000 | 
| 187.021 | 410.199 | 212.613 | -0.000 | 0.000 | 0.000 | 
| 187.362 | 187.362 | 339.905 | 0.000 | 0.000 | 0.000 | 
| -0.000 | -0.000 | -0.000 | 231.757 | 0.000 | -0.000 | 
| 0.044 | 0.044 | 0.032 | 0.000 | 158.817 | 0.000 | 
| 0.032 | 0.032 | 0.023 | 0.000 | -0.000 | 122.087 | 
| 480.143 | 159.605 | 228.099 | 0.000 | -0.000 | -0.000 | 
| 187.002 | 410.091 | 212.567 | 0.000 | 0.000 | -0.000 | 
| 187.241 | 187.241 | 339.817 | 0.000 | 0.000 | -0.000 | 
| -0.007 | -0.007 | -0.005 | 152.486 | 0.000 | 0.000 | 
| -0.056 | -0.054 | -0.040 | 0.000 | 113.699 | -0.000 | 
| -0.010 | -0.010 | -0.007 | -0.000 | -0.000 | 111.446 | 
| 374.011 | 155.827 | 188.078 | 0.000 | 0.000 | 0.000 | 
| 159.604 | 480.140 | 228.097 | 0.000 | -0.000 | -0.000 | 
| 187.261 | 187.261 | 339.832 | 0.000 | 0.000 | 0.000 | 
| 0.007 | 0.007 | 0.005 | 152.486 | 0.000 | 0.000 | 
| 0.056 | 0.054 | 0.040 | 0.000 | 113.699 | 0.000 | 
| 0.010 | 0.010 | 0.007 | -0.000 | 0.000 | 111.446 | 
| 16610490.768 | 2899101.815 | 37053938.546 | -983986.194 | 2504542.332 | -11318407.252 | 
| 16610169.202 | 2899269.112 | 37053889.068 | -983983.685 | 2504545.955 | -11318405.393 | 
| 16610213.524 | 2899096.373 | 37054110.284 | -983983.660 | 2504542.570 | -11318406.222 | 
| 16609989.772 | 2898930.412 | 37053713.908 | -983886.111 | 2504540.621 | -11318407.582 | 
| 16609999.877 | 2898939.275 | 37053722.689 | -983977.119 | 2504659.875 | -11318412.389 | 
| 16609997.146 | 2898934.991 | 37053721.589 | -983978.112 | 2504535.346 | -11318304.774 | 
| -16609502.752 | -2898764.327 | -37053501.719 | 983968.564 | -2504538.359 | 11318407.979 | 
| -16609824.019 | -2898596.947 | -37053551.479 | 983971.146 | -2504534.646 | 11318409.548 | 
| -16609779.617 | -2898769.572 | -37053330.563 | 983971.180 | -2504537.846 | 11318408.591 | 
| -16610003.642 | -2898935.795 | -37053726.395 | 984068.733 | -2504540.080 | 11318407.657 | 
| -16609993.326 | -2898926.701 | -37053717.989 | 983977.591 | -2504420.561 | 11318402.537 | 
| -16609996.161 | -2898930.977 | -37053719.025 | 983976.759 | -2504545.198 | 11318510.198 | 
| 1661493.654 | 290062.045 | 3705590.469 | -98406.543 | 250456.032 | -1131840.393 | 
| 1661172.263 | 290229.388 | 3705540.790 | -98403.985 | 250459.689 | -1131838.709 | 
| 1661216.618 | 290056.717 | 3705761.858 | -98403.956 | 250456.367 | -1131839.559 | 
| 1660992.655 | 289890.625 | 3705365.799 | -98306.462 | 250454.269 | -1131840.702 | 
| 1661002.976 | 289899.623 | 3705374.358 | -98397.508 | 250573.697 | -1131845.695 | 
| 1661000.168 | 289895.345 | 3705373.298 | -98398.343 | 250449.093 | -1131738.057 | 
| -1660505.675 | -289724.559 | -3705153.583 | 98388.934 | -250452.028 | 1131841.113 | 
| -1660827.056 | -289557.212 | -3705203.254 | 98391.496 | -250448.368 | 1131842.801 | 
| -1660782.720 | -289729.887 | -3704982.186 | 98391.525 | -250451.688 | 1131841.949 | 
| -1661006.686 | -289895.993 | -3705378.240 | 98489.023 | -250453.786 | 1131840.805 | 
| -1660996.365 | -289886.992 | -3705369.687 | 98397.981 | -250334.369 | 1131835.818 | 
| -1660999.154 | -289891.253 | -3705370.763 | 98397.138 | -250458.954 | 1131943.442 | 
| 166593.949 | 29158.070 | 370755.653 | -9848.573 | 25047.400 | -113183.708 | 
| 166272.563 | 29325.412 | 370705.971 | -9846.021 | 25051.067 | -113182.027 | 
| 166316.914 | 29152.741 | 370927.032 | -9845.996 | 25047.742 | -113182.882 | 
| 166092.949 | 28986.649 | 370530.981 | -9748.492 | 25045.643 | -113184.023 | 
| 166103.264 | 28995.644 | 370539.540 | -9839.533 | 25165.064 | -113189.007 | 
| 166100.475 | 28991.378 | 370538.469 | -9840.373 | 25040.471 | -113081.386 | 
| -165605.980 | -28820.588 | -370318.751 | 9830.975 | -25043.406 | 113184.440 | 
| -165927.372 | -28653.248 | -370368.433 | 9833.532 | -25039.740 | 113186.123 | 
| -165883.018 | -28825.920 | -370147.375 | 9833.552 | -25043.063 | 113185.268 | 
| -166106.983 | -28992.008 | -370543.425 | 9931.057 | -25045.161 | 113184.127 | 
| -166096.669 | -28983.017 | -370534.864 | 9840.015 | -24925.744 | 113179.143 | 
| -166099.457 | -28987.282 | -370535.936 | 9839.176 | -25050.335 | 113286.764 | 
| 385.513 | 105.665 | 85.189 | -0.000 | 0.000 | -0.000 | 
| 105.665 | 385.513 | 85.189 | 0.000 | 0.000 | -0.000 | 
| -1921.599 | -1921.600 | 3414.411 | 0.000 | 0.000 | 0.000 | 
| -2007.842 | -2007.843 | 3168.345 | 112.790 | 0.000 | 0.000 | 
| -2007.842 | -2007.843 | 3168.345 | 0.000 | 112.790 | -0.000 | 
| -1524.112 | -1524.112 | 2046.945 | -0.000 | -0.000 | 77.603 | 
| 1719.451 | 1438.177 | -3646.870 | -0.000 | -0.000 | -0.000 | 
| 1438.177 | 1719.450 | -3646.870 | -0.000 | -0.000 | -0.000 | 
| 1633.761 | 1633.761 | -1725.276 | 0.000 | 0.000 | 0.000 | 
| 2007.842 | 2007.843 | -3168.345 | 112.790 | -0.000 | 0.000 | 
| 2007.842 | 2007.843 | -3168.345 | -0.000 | 112.790 | -0.000 | 
| 2010.374 | 2010.374 | -3175.163 | -0.000 | -0.000 | 79.490 | 
| 149.098 | -119.735 | 352.057 | 0.000 | 0.000 | 0.000 | 
| -119.735 | 149.098 | 352.057 | 0.000 | 0.000 | -0.000 | 
| -44.174 | -44.174 | 529.255 | 0.000 | -0.000 | 0.000 | 
| 0.000 | 0.000 | 0.000 | 89.163 | -0.000 | -0.000 | 
| 0.000 | 0.000 | 0.000 | 0.000 | 89.163 | 0.000 | 
| -152.096 | -152.096 | 204.271 | -0.000 | -0.000 | 77.664 | 
| 517.310 | 244.474 | -190.434 | 0.000 | -0.000 | -0.000 | 
| 244.474 | 517.309 | -190.434 | -0.000 | -0.000 | 0.000 | 
| 262.743 | 262.743 | 114.908 | 0.000 | 0.000 | 0.000 | 
| -0.000 | -0.000 | -0.000 | 89.163 | -0.000 | -0.000 | 
| -0.000 | -0.000 | -0.000 | -0.000 | 89.163 | -0.000 | 
| 152.096 | 152.096 | -204.271 | 0.000 | 0.000 | 77.664 | 
| 283.279 | 122.777 | 112.015 | -0.000 | -0.000 | -0.000 | 
| 122.777 | 283.279 | 112.015 | 0.000 | -0.000 | -0.000 | 
| 86.744 | 86.744 | 400.452 | 0.000 | 0.000 | 0.000 | 
| -9.996 | -9.996 | 13.425 | 65.051 | -0.000 | 0.000 | 
| -9.996 | -9.996 | 13.425 | -0.000 | 65.051 | -0.000 | 
| -14.018 | -14.017 | 18.826 | -0.000 | -0.000 | 79.938 | 
| 315.415 | 138.160 | 84.361 | 0.000 | 0.000 | -0.000 | 
| 138.160 | 315.415 | 84.361 | -0.000 | 0.000 | -0.000 | 
| 127.123 | 127.123 | 289.813 | 0.000 | 0.000 | 0.000 | 
| 9.996 | 9.996 | -13.425 | 65.051 | 0.000 | 0.000 | 
| 9.996 | 9.996 | -13.425 | -0.000 | 65.051 | 0.000 | 
| 25.252 | 25.253 | -41.315 | -0.000 | -0.000 | 75.889 | 
| 306.433 | 106.006 | 148.489 | 0.000 | -0.000 | -0.000 | 
| 106.006 | 306.433 | 148.489 | -0.000 | -0.000 | -0.000 | 
| 113.721 | 113.721 | 430.893 | -0.000 | -0.000 | 0.000 | 
| -0.000 | 0.000 | 0.000 | 118.950 | -0.000 | 0.000 | 
| 0.000 | -0.000 | 0.000 | -0.000 | 118.950 | -0.000 | 
| -0.215 | -0.215 | 0.671 | 0.000 | -0.000 | 69.850 | 
| 398.174 | 78.696 | 114.431 | 0.000 | 0.000 | -0.000 | 
| 78.696 | 398.174 | 114.431 | 0.000 | 0.000 | -0.000 | 
| 142.205 | 142.205 | 378.896 | -0.000 | 0.000 | -0.000 | 
| -0.000 | -0.000 | -0.000 | 118.950 | 0.000 | 0.000 | 
| 0.000 | 0.000 | -0.000 | 0.000 | 118.950 | -0.000 | 
| 0.215 | 0.215 | -0.671 | -0.000 | 0.000 | 69.850 | 
| 306.467 | 106.559 | 147.284 | 0.000 | -0.000 | 0.000 | 
| 106.559 | 306.467 | 147.284 | -0.000 | -0.000 | -0.000 | 
| 113.721 | 113.721 | 430.893 | -0.000 | -0.000 | -0.000 | 
| 0.000 | 0.000 | 0.000 | 118.950 | -0.000 | 0.000 | 
| 0.000 | 0.000 | 0.000 | 0.000 | 118.950 | -0.000 | 
| 0.000 | 0.000 | 0.000 | -0.000 | -0.000 | 83.584 | 
| 285.652 | 78.056 | 153.914 | -0.000 | 0.000 | 0.000 | 
| 78.056 | 285.652 | 153.914 | -0.000 | 0.000 | 0.000 | 
| 150.792 | 150.792 | 377.520 | 0.000 | 0.000 | 0.000 | 
| -0.000 | -0.000 | -0.000 | 118.950 | 0.000 | -0.000 | 
| -0.000 | -0.000 | -0.000 | 0.000 | 118.950 | 0.000 | 
| -0.000 | -0.000 | -0.000 | -0.000 | 0.000 | 83.584 | 
| 306.462 | 106.618 | 147.166 | 0.000 | -0.000 | 0.000 | 
| 106.618 | 306.462 | 147.166 | 0.000 | -0.000 | -0.000 | 
| 141.889 | 141.889 | 380.020 | 0.000 | -0.000 | -0.000 | 
| -0.004 | -0.004 | 0.013 | 93.780 | -0.000 | 0.000 | 
| -0.004 | -0.004 | 0.013 | -0.000 | 93.780 | 0.000 | 
| -0.002 | -0.002 | 0.007 | 0.000 | -0.000 | 69.860 | 
| 306.484 | 106.622 | 147.130 | 0.000 | 0.000 | -0.000 | 
| 106.622 | 306.484 | 147.130 | -0.000 | 0.000 | -0.000 | 
| 150.772 | 150.772 | 377.622 | -0.000 | 0.000 | 0.000 | 
| 0.004 | 0.004 | -0.013 | 93.780 | 0.000 | 0.000 | 
| 0.004 | 0.004 | -0.013 | -0.000 | 93.780 | -0.000 | 
| 0.002 | 0.002 | -0.007 | -0.000 | 0.000 | 69.860 | 
| 4878.650 | 5874.484 | 15359.987 | 0.000 | -0.212 | -0.000 | 
| 2428.381 | 958.140 | -777.007 | 0.000 | -177.985 | 0.000 | 
| 112.646 | 91.532 | 356.162 | -0.000 | -1.310 | -0.000 | 
| 5143.774 | 5893.622 | 15567.379 | -0.070 | -1.887 | 12.918 | 
| 7.656 | 0.817 | -1.310 | 0.000 | 122.685 | -0.000 | 
| 0.000 | -0.000 | -0.000 | 1.209 | -0.000 | 95.012 | 
| -5395.172 | -5899.591 | -15741.601 | 0.000 | 3.218 | -0.000 | 
| -8090.691 | -5201.809 | -25521.604 | -0.000 | -2472.645 | -0.000 | 
| 112.646 | 91.532 | 356.162 | -0.000 | -1.310 | 0.000 | 
| -5143.775 | -5893.622 | -15567.379 | -0.070 | 1.887 | 12.918 | 
| 7.655 | 0.817 | -1.310 | -0.000 | 122.684 | 0.000 | 
| -0.000 | 0.000 | 0.000 | 1.209 | 0.000 | 95.012 | 
| 492.754 | 167.788 | -6.504 | 0.000 | -9.225 | -0.000 | 
| 1017.073 | 781.358 | 3013.031 | 0.000 | 342.999 | -0.000 | 
| 112.646 | 91.532 | 356.163 | 0.000 | -1.310 | -0.000 | 
| 231.222 | 66.660 | -84.704 | 41.769 | -17.988 | 0.043 | 
| 7.655 | 0.817 | -1.310 | -0.000 | 122.684 | -0.000 | 
| 502.329 | 576.231 | 1522.938 | 12.665 | -0.123 | -25.177 | 
| 41.355 | 30.531 | 170.412 | -0.000 | 31.475 | 0.000 | 
| -762.962 | -531.463 | -2873.539 | -0.000 | -344.145 | 0.000 | 
| -789.095 | -509.533 | -2612.469 | -0.000 | -350.953 | 0.000 | 
| -231.222 | -66.660 | 84.704 | 41.769 | 17.988 | 0.043 | 
| -516.719 | -603.177 | -1509.871 | 0.000 | -67.941 | -0.000 | 
| -502.329 | -576.231 | -1522.938 | 12.665 | 0.123 | -25.177 | 
| 239.385 | 79.210 | 60.935 | 0.000 | 23.100 | -0.000 | 
| 85.047 | 210.238 | 80.080 | -0.000 | -1.758 | 0.000 | 
| 63.457 | 72.864 | 208.956 | 0.000 | 3.026 | -0.000 | 
| 82.591 | 57.939 | 272.589 | 21.091 | 23.935 | 6.816 | 
| 17.107 | 8.434 | -5.961 | 0.000 | 80.006 | 0.000 | 
| 19.459 | 5.610 | -7.129 | 0.228 | -1.514 | 66.547 | 
| 173.714 | 49.881 | -6.680 | -0.000 | 20.154 | 0.000 | 
| -23.451 | 7.090 | -240.777 | 0.000 | -18.260 | 0.000 | 
| 17.527 | 51.852 | 130.292 | -0.000 | 7.769 | 0.000 | 
| -82.591 | -57.939 | -272.589 | 21.091 | -23.935 | 6.816 | 
| -49.303 | -28.951 | -162.654 | -0.000 | 1.085 | -0.000 | 
| -19.459 | -5.610 | 7.129 | 0.228 | 1.514 | 66.547 | 
| 205.911 | 82.413 | 13.028 | 0.000 | -2.735 | 0.000 | 
| 82.432 | 205.930 | 13.051 | 0.000 | -2.734 | -0.000 | 
| 117.775 | 117.775 | 152.247 | 0.000 | -0.000 | 0.000 | 
| 0.706 | 0.706 | 0.861 | 11.242 | -5.333 | -0.000 | 
| 0.513 | 0.513 | 0.612 | 0.000 | 24.258 | 0.000 | 
| 0.000 | -0.000 | 0.000 | 0.000 | 0.000 | 176.940 | 
| 289.874 | 166.376 | 117.775 | 0.000 | 0.561 | 0.000 | 
| 166.376 | 289.874 | 117.775 | -0.000 | -0.000 | 0.000 | 
| 10.365 | 10.365 | 17.275 | -0.000 | 4.754 | -0.000 | 
| -0.706 | -0.706 | -0.861 | 11.242 | 5.333 | 0.000 | 
| 0.000 | -0.000 | -0.000 | -0.000 | 132.322 | -0.000 | 
| -0.000 | -0.000 | 0.000 | 0.000 | -0.000 | 176.940 | 
| 205.854 | 82.356 | 12.988 | 0.000 | -0.268 | -0.000 | 
| 82.362 | 205.860 | 12.995 | 0.000 | -0.272 | -0.000 | 
| 11.784 | 11.784 | 19.609 | -0.000 | -0.275 | 0.000 | 
| 0.049 | 0.049 | 0.059 | 30.417 | -0.211 | -0.000 | 
| 0.000 | 0.000 | 0.000 | 0.000 | 132.322 | -0.000 | 
| 0.045 | 0.045 | 0.053 | 0.000 | -0.191 | 167.706 | 
| 204.707 | 81.209 | 11.054 | -0.000 | 0.546 | -0.000 | 
| 81.208 | 204.706 | 11.053 | -0.000 | 0.436 | 0.000 | 
| 11.347 | 11.347 | 19.069 | -0.000 | 0.276 | -0.000 | 
| -0.049 | -0.049 | -0.059 | 30.417 | 0.211 | 0.000 | 
| -0.000 | -0.000 | -0.000 | 0.000 | 132.322 | 0.000 | 
| -0.045 | -0.045 | -0.053 | 0.000 | 0.191 | 167.706 | 
| 194.276 | 70.840 | -2.812 | 0.000 | -1.381 | 0.000 | 
| 82.406 | 205.945 | 13.363 | 0.000 | -0.029 | -0.000 | 
| 12.540 | 13.356 | 26.107 | -0.000 | -0.145 | -0.000 | 
| 0.038 | 0.094 | 0.464 | 30.603 | -0.028 | -0.008 | 
| 0.007 | 0.007 | 0.009 | 0.000 | 11.207 | 0.000 | 
| 0.005 | 0.005 | 0.005 | 0.000 | -0.019 | 167.711 | 
| 204.763 | 81.265 | 11.122 | -0.000 | 0.154 | -0.000 | 
| 81.265 | 204.764 | 11.123 | 0.000 | 0.044 | -0.000 | 
| 11.078 | 11.078 | 18.157 | -0.000 | 0.047 | -0.000 | 
| -0.038 | -0.094 | -0.464 | 30.603 | 0.028 | -0.008 | 
| -0.005 | -0.005 | -0.006 | -0.000 | 30.475 | 0.000 | 
| -0.005 | -0.005 | -0.005 | -0.000 | 0.019 | 167.711 | 
| 883770017.375 | 311855653.587 | -44401399.478 | 5934939.973 | -9211535.664 | 19769028.564 | 
| 883770711.040 | 311856288.980 | -44400910.523 | 5934673.929 | -9211498.977 | 19769057.236 | 
| 883769443.736 | 311855721.521 | -44401595.697 | 5934692.448 | -9211426.482 | 19769885.734 | 
| 883770168.237 | 311855764.461 | -44401318.103 | 5934871.681 | -9211542.154 | 19769051.757 | 
| 883770228.716 | 311855722.989 | -44401362.524 | 5934859.210 | -9211578.082 | 19768935.954 | 
| 883769545.983 | 311855854.097 | -44401602.322 | 5934552.697 | -9211351.493 | 19770267.237 | 
| -883770668.430 | -311856065.713 | 44401267.183 | -5934675.388 | 9211549.585 | -19769181.202 | 
| -883769972.671 | -311855411.102 | 44401749.022 | -5934964.195 | 9211600.726 | -19769097.153 | 
| -883771241.336 | -311856008.010 | 44401074.613 | -5934911.097 | 9211650.983 | -19768355.200 | 
| -883770519.776 | -311855963.893 | 44401350.538 | -5934734.930 | 9211537.375 | -19769179.070 | 
| -883770458.906 | -311856001.877 | 44401305.065 | -5934751.215 | 9211503.891 | -19769285.498 | 
| -883771137.736 | -311855871.816 | 44401066.700 | -5935055.670 | 9211728.931 | -19767962.477 | 
| 88376703.338 | 31185347.929 | -4440183.603 | 593656.157 | -921173.304 | 1976731.583 | 
| 88377401.880 | 31185992.884 | -4439699.165 | 593382.847 | -921132.687 | 1976783.858 | 
| 88376120.594 | 31185434.747 | -4440393.483 | 593376.209 | -921043.764 | 1977679.361 | 
| 88376858.518 | 31185484.928 | -4440116.173 | 593551.330 | -921157.980 | 1976841.601 | 
| 88376918.648 | 31185439.702 | -4440159.102 | 593543.745 | -921196.819 | 1976713.796 | 
| 88376220.093 | 31185526.934 | -4440381.729 | 593290.520 | -921002.814 | 1977932.521 | 
| -88377354.759 | -31185747.397 | 4440047.231 | -593408.341 | 921198.023 | -1976848.894 | 
| -88376668.465 | -31185183.433 | 4440563.818 | -593586.600 | 921179.990 | -1977026.724 | 
| -88377919.370 | -31185726.698 | 4439875.834 | -593587.795 | 921263.405 | -1976164.656 | 
| -88377209.258 | -31185678.175 | 4440146.285 | -593422.201 | 921158.129 | -1976951.096 | 
| -88377148.217 | -31185714.088 | 4440100.065 | -593441.192 | 921126.239 | -1977051.162 | 
| -88377814.444 | -31185590.023 | 4439866.143 | -593737.052 | 921343.289 | -1975761.343 | 
| 8837371.401 | 3118392.453 | -444061.460 | 59484.201 | -92107.628 | 197621.611 | 
| 8838056.495 | 3118938.881 | -443562.906 | 59296.699 | -92118.534 | 197470.537 | 
| 8836665.977 | 3118318.706 | -444262.034 | 59306.527 | -92040.030 | 198427.387 | 
| 8837525.911 | 3118469.420 | -443998.110 | 59409.297 | -92112.596 | 197648.489 | 
| 8837588.097 | 3118429.385 | -444043.068 | 59398.447 | -92148.834 | 197526.468 | 
| 8836766.302 | 3118407.814 | -444241.240 | 59234.699 | -92006.478 | 198637.804 | 
| -8838010.636 | -3118732.357 | 443918.399 | -59281.691 | 92158.553 | -197636.286 | 
| -8837333.315 | -3118177.714 | 444413.719 | -59499.236 | 92166.860 | -197715.982 | 
| -8838460.679 | -3118632.459 | 443778.299 | -59461.307 | 92217.238 | -197028.229 | 
| -8837873.425 | -3118625.458 | 444014.982 | -59320.452 | 92138.665 | -197659.229 | 
| -8837813.463 | -3118647.444 | 443963.820 | -59356.064 | 92117.578 | -197716.290 | 
| -8838358.846 | -3118551.919 | 443784.655 | -59566.140 | 92267.652 | -196733.114 | 
| -131.441 | -162.518 | 82.710 | 0.010 | -0.004 | 0.005 | 
| -162.518 | -131.442 | 82.710 | 0.010 | -0.004 | 0.005 | 
| 74.960 | 74.960 | 254.721 | 0.000 | -0.000 | 0.000 | 
| -160.910 | -160.913 | 103.469 | 20.409 | -0.042 | 0.073 | 
| 0.000 | 0.000 | 0.000 | -0.000 | 79.396 | -0.000 | 
| -160.803 | -160.806 | 103.209 | 0.130 | -0.042 | 20.287 | 
| 1057.187 | 1069.904 | -87.672 | 0.216 | -0.067 | 0.132 | 
| 206.528 | 278.554 | -57.546 | -0.130 | 0.042 | -0.073 | 
| 309.811 | 309.812 | 52.191 | -0.048 | 0.020 | -0.024 | 
| -0.000 | -0.000 | -0.000 | 79.396 | 0.000 | 0.000 | 
| 1166.820 | 1166.822 | 9.607 | -0.112 | 10.167 | -0.068 | 
| 160.803 | 160.806 | -103.209 | -0.130 | 0.042 | 20.142 | 
| -15378150.386 | -15372206.563 | -9177974.163 | -0.352 | 0.067 | 0.230 | 
| -15372206.567 | -15378141.935 | -9177972.567 | -0.310 | -0.016 | 0.172 | 
| 42.649 | 42.649 | 172.725 | 0.006 | -0.002 | 0.004 | 
| -14.981 | -14.981 | 6.185 | 16.369 | -0.003 | 0.004 | 
| -14.980 | -14.981 | 6.185 | 0.008 | 16.359 | 0.004 | 
| -15.520 | -15.520 | 6.879 | 0.007 | -0.003 | 15.665 | 
| 168.189 | 38.154 | 22.316 | -0.009 | 0.003 | -0.005 | 
| 38.154 | 168.189 | 22.316 | -0.009 | 0.003 | -0.005 | 
| 60.347 | 60.347 | 122.150 | -0.011 | 0.003 | -0.006 | 
| 14.981 | 14.981 | -6.185 | 16.354 | 0.003 | -0.004 | 
| 14.984 | 14.984 | -6.196 | -0.008 | 16.363 | -0.004 | 
| 6.562 | 6.562 | -16.412 | -0.004 | 0.001 | 45.607 | 
| 115.286 | 47.180 | 51.616 | 0.001 | -0.000 | 0.000 | 
| 47.180 | 115.286 | 51.616 | 0.001 | -0.000 | 0.000 | 
| -27.313 | -27.313 | 22.400 | 0.001 | -0.000 | 0.000 | 
| -1.175 | -1.175 | 0.855 | 26.166 | -0.000 | 0.000 | 
| -1.175 | -1.175 | 0.855 | 0.001 | 26.165 | 0.000 | 
| -1.227 | -1.227 | 0.891 | 0.001 | -0.000 | 24.717 | 
| 187.122 | 57.577 | 56.558 | -0.000 | 0.000 | -0.000 | 
| 57.577 | 187.122 | 56.558 | -0.000 | 0.000 | -0.000 | 
| -11.438 | -11.438 | 20.241 | -0.002 | 0.001 | -0.001 | 
| 1.175 | 1.175 | -0.855 | 26.165 | 0.000 | -0.000 | 
| 1.175 | 1.175 | -0.855 | -0.001 | 26.166 | -0.000 | 
| 1.335 | 1.335 | -0.655 | -0.001 | 0.000 | 24.312 | 
| 313.988 | 125.918 | 125.918 | 0.000 | 0.000 | 0.000 | 
| 125.918 | 313.988 | 125.918 | 0.000 | 0.000 | 0.000 | 
| 125.918 | 125.918 | 313.988 | 0.000 | 0.000 | 0.000 | 
| 0.000 | 0.000 | 0.000 | 89.101 | 0.000 | 0.000 | 
| 0.000 | 0.000 | 0.000 | 0.000 | 89.101 | 0.000 | 
| 0.000 | 0.000 | 0.000 | 0.000 | 0.000 | 89.101 | 
| 313.988 | 125.918 | 125.918 | -0.000 | -0.000 | 0.000 | 
| 125.917 | 313.988 | 125.918 | -0.000 | -0.000 | -0.000 | 
| 125.917 | 125.918 | 313.988 | 0.000 | -0.000 | 0.000 | 
| -0.000 | -0.000 | -0.000 | 89.101 | -0.000 | -0.000 | 
| -0.000 | -0.000 | -0.000 | -0.000 | 89.101 | -0.000 | 
| -0.000 | -0.000 | -0.000 | -0.000 | -0.000 | 89.101 | 
| 313.989 | 125.918 | 125.918 | 0.000 | 0.000 | -0.000 | 
| 125.918 | 313.989 | 125.918 | 0.000 | 0.000 | 0.000 | 
| 125.918 | 125.918 | 313.989 | 0.000 | 0.000 | 0.000 | 
| 0.000 | 0.000 | 0.000 | 89.101 | 0.000 | 0.000 | 
| 0.000 | 0.000 | 0.000 | 0.000 | 89.101 | 0.000 | 
| 0.000 | 0.000 | 0.000 | 0.000 | 0.000 | 89.101 | 
| 248.400 | 120.873 | 120.873 | -0.000 | -0.000 | -0.000 | 
| 120.873 | 248.400 | 120.873 | -0.000 | -0.000 | -0.000 | 
| 120.873 | 120.873 | 248.400 | -0.000 | -0.000 | -0.000 | 
| -0.000 | -0.000 | -0.000 | 89.101 | -0.000 | -0.000 | 
| -0.000 | -0.000 | -0.000 | 0.000 | 89.101 | -0.000 | 
| -0.000 | -0.000 | -0.000 | -0.000 | -0.000 | 89.101 | 
| 313.989 | 125.918 | 125.918 | 0.000 | 0.000 | 0.000 | 
| 125.918 | 313.989 | 125.918 | 0.000 | 0.000 | 0.000 | 
| 125.918 | 125.918 | 313.989 | 0.000 | 0.000 | -0.000 | 
| 0.000 | -0.000 | 0.000 | 89.101 | 0.000 | 0.000 | 
| -0.000 | 0.000 | 0.000 | 0.000 | 89.101 | 0.000 | 
| -0.000 | 0.000 | 0.000 | 0.000 | 0.000 | 89.101 | 
| 156.500 | 36.065 | 36.065 | -0.000 | -0.000 | -0.000 | 
| 36.065 | 156.500 | 36.065 | -0.000 | -0.000 | -0.000 | 
| 36.065 | 36.065 | 156.500 | -0.000 | -0.000 | 0.000 | 
| -0.000 | 0.000 | -0.000 | 89.101 | -0.000 | -0.000 | 
| 0.000 | -0.000 | -0.000 | -0.000 | 89.101 | -0.000 | 
| 0.000 | -0.000 | -0.000 | -0.000 | -0.000 | 89.101 | 
| 75.132 | -44.444 | -47.396 | 0.503 | 0.576 | 0.048 | 
| -47.410 | 78.326 | -47.455 | 0.516 | 0.587 | 0.055 | 
| 76.516 | 78.636 | 193.545 | 0.884 | 0.870 | 0.361 | 
| -15.045 | -10.011 | -15.113 | 65.235 | 0.788 | 0.184 | 
| -17.963 | -15.641 | -18.184 | 0.473 | 56.228 | 0.065 | 
| 0.000 | -0.000 | 0.000 | 0.000 | 0.000 | 117.174 | 
| 134.813 | 8.262 | 10.885 | -0.397 | -0.526 | -0.024 | 
| 53.168 | 164.772 | 53.306 | -0.098 | -0.201 | 0.076 | 
| 39.235 | 35.084 | 156.846 | -0.338 | -0.437 | 0.029 | 
| 2.949 | 0.870 | 2.899 | 82.735 | -0.509 | -0.241 | 
| 14.602 | 9.675 | 14.666 | -0.736 | 64.759 | -0.183 | 
| 32.956 | 29.913 | 32.990 | -0.271 | -0.438 | 37.604 | 
| 107.625 | -13.942 | -14.266 | 0.029 | 0.047 | -0.010 | 
| -14.259 | 107.942 | -14.266 | 0.029 | 0.047 | -0.010 | 
| 53.615 | 54.129 | 171.023 | -0.040 | -0.027 | -0.044 | 
| 0.000 | 0.000 | 0.000 | 117.174 | 0.000 | -0.000 | 
| -4.132 | -4.437 | -4.166 | 0.031 | 39.877 | -0.006 | 
| -4.349 | -3.920 | -4.351 | 0.030 | 0.046 | 39.655 | 
| 114.545 | -7.952 | -7.630 | -0.037 | -0.048 | -0.001 | 
| 87.551 | 204.860 | 87.554 | -0.086 | -0.084 | -0.035 | 
| -7.361 | -7.678 | 114.558 | -0.032 | -0.049 | 0.009 | 
| 4.124 | 4.444 | 4.158 | 39.806 | -0.044 | 0.006 | 
| 0.279 | 0.082 | 0.274 | -0.051 | 85.081 | -0.023 | 
| 0.279 | 0.082 | 0.274 | -0.051 | -0.048 | 85.111 | 
| 110.734 | -11.111 | -11.143 | 0.004 | 0.006 | 0.000 | 
| -10.658 | 110.929 | -10.659 | 0.012 | 0.012 | 0.005 | 
| -11.148 | -11.116 | 110.724 | 0.001 | 0.002 | -0.001 | 
| -0.408 | -0.369 | -0.409 | 39.704 | 0.004 | -0.001 | 
| -0.404 | -0.462 | -0.409 | 0.003 | 39.708 | -0.001 | 
| -0.420 | -0.394 | -0.421 | 0.003 | 0.004 | 39.701 | 
| 111.423 | -10.484 | -10.451 | -0.003 | -0.005 | 0.001 | 
| -10.447 | 111.403 | -10.447 | -0.003 | -0.005 | 0.001 | 
| -9.008 | -9.040 | 111.819 | -0.010 | -0.010 | 0.000 | 
| 0.435 | 0.392 | 0.435 | 39.698 | -0.004 | 0.001 | 
| 0.362 | 0.321 | 0.362 | -0.003 | 39.696 | 0.001 | 
| 0.404 | 0.461 | 0.409 | -0.003 | -0.004 | 39.704 | 
| 215.945 | 60.422 | 78.388 | 0.000 | -0.000 | 0.000 | 
| 72.920 | 372.020 | 106.843 | -0.000 | 0.000 | -0.000 | 
| 110.074 | 106.843 | 339.778 | 0.000 | -0.000 | 0.000 | 
| -0.000 | 0.000 | -0.000 | 78.783 | 0.000 | -0.000 | 
| -0.000 | 0.000 | -0.000 | 0.000 | 84.660 | 0.000 | 
| -0.000 | 0.000 | -0.000 | -0.000 | -0.000 | 57.689 | 
| 269.226 | 85.940 | 116.311 | 0.000 | -0.000 | -0.000 | 
| 72.920 | 372.020 | 106.843 | 0.000 | -0.000 | -0.000 | 
| 110.074 | 106.843 | 339.778 | 0.000 | 0.000 | -0.000 | 
| 0.000 | -0.000 | 0.000 | 78.783 | 0.000 | -0.000 | 
| 0.000 | -0.000 | 0.000 | 0.000 | 84.660 | 0.000 | 
| 0.000 | -0.000 | 0.000 | -0.000 | -0.000 | 57.689 | 
| 215.949 | 60.425 | 78.392 | 0.000 | 0.000 | -0.000 | 
| 72.920 | 372.020 | 106.843 | -0.000 | 0.000 | 0.000 | 
| 79.294 | 79.503 | 215.034 | 0.000 | 0.000 | 0.000 | 
| -0.000 | -0.000 | -0.000 | 63.583 | -0.000 | 0.000 | 
| -0.000 | -0.000 | -0.000 | 0.000 | 76.623 | -0.000 | 
| -0.000 | -0.000 | -0.000 | -0.000 | -0.000 | 57.689 | 
| 365.232 | 72.920 | 110.074 | -0.000 | -0.000 | -0.000 | 
| 85.631 | 284.879 | 113.407 | -0.000 | 0.000 | -0.000 | 
| 110.074 | 106.843 | 339.778 | 0.000 | 0.000 | 0.000 | 
| 0.000 | 0.000 | 0.000 | 72.074 | -0.000 | -0.000 | 
| 0.000 | 0.000 | 0.000 | 0.000 | 76.623 | 0.000 | 
| 0.000 | -0.000 | 0.000 | 0.000 | -0.000 | 57.689 | 
| 216.598 | 60.361 | 78.380 | -0.000 | -0.000 | 0.000 | 
| 72.921 | 372.022 | 106.844 | -0.000 | -0.000 | 0.000 | 
| 110.074 | 106.844 | 339.780 | 0.000 | -0.000 | -0.000 | 
| 0.000 | 0.000 | 0.000 | 112.624 | -0.000 | 0.000 | 
| 0.000 | 0.000 | 0.000 | -0.000 | 116.274 | 0.000 | 
| -0.000 | -0.000 | 0.000 | 0.000 | -0.000 | 57.689 | 
| 215.974 | 60.420 | 78.389 | -0.000 | 0.000 | -0.000 | 
| 85.629 | 284.887 | 113.405 | 0.000 | 0.000 | -0.000 | 
| 115.521 | 112.715 | 262.626 | 0.000 | -0.000 | -0.000 | 
| -0.000 | -0.000 | -0.000 | 112.624 | 0.000 | 0.000 | 
| -0.000 | -0.000 | -0.000 | -0.000 | 116.274 | -0.000 | 
| 0.000 | 0.000 | -0.000 | 0.000 | 0.000 | 57.689 | 
| 335.730 | 64.639 | 101.268 | 0.000 | 0.000 | -0.000 | 
| 64.336 | 347.371 | 97.034 | 0.000 | 0.000 | -0.000 | 
| -201.240 | -199.233 | 2124.654 | -0.000 | 0.000 | 0.000 | 
| -0.000 | 0.000 | -0.000 | 105.546 | -0.000 | -0.000 | 
| -304.944 | -301.771 | 1870.014 | -0.000 | 77.075 | 0.000 | 
| -0.000 | 0.000 | 0.000 | -0.000 | 0.000 | 73.030 | 
| 335.730 | 64.639 | 101.268 | -0.000 | 0.000 | 0.000 | 
| 381.969 | 582.806 | -1769.119 | 0.000 | 0.000 | -0.000 | 
| 101.057 | 97.125 | 313.711 | 0.000 | -0.000 | 0.000 | 
| 0.000 | -0.000 | 0.000 | 105.546 | -0.000 | 0.000 | 
| 304.944 | 301.771 | -1870.014 | 0.000 | 77.075 | -0.000 | 
| 0.000 | -0.000 | 0.000 | 0.000 | -0.000 | 73.030 | 
| 239.081 | 46.881 | 290.471 | -0.000 | -0.000 | 0.000 | 
| 64.337 | 347.372 | 97.034 | -0.000 | 0.000 | 0.000 | 
| 73.234 | 72.441 | 440.613 | -0.000 | -0.000 | 0.000 | 
| -30.477 | -30.159 | 186.892 | 72.238 | -0.000 | 0.000 | 
| -755.246 | -292.436 | -143.497 | 0.000 | 38.302 | 0.000 | 
| -30.519 | -30.201 | 187.153 | -0.000 | 0.000 | 52.551 | 
| 299.206 | 107.494 | -84.004 | 0.000 | 0.000 | -0.000 | 
| 77.236 | 54.897 | 70.141 | 0.000 | 0.000 | -0.000 | 
| 101.057 | 97.125 | 313.711 | -0.000 | 0.000 | 0.000 | 
| 30.477 | 30.159 | -186.892 | 72.238 | -0.000 | -0.000 | 
| 755.246 | 292.436 | 143.497 | -0.000 | 38.302 | -0.000 | 
| 30.519 | 30.201 | -187.153 | 0.000 | -0.000 | 52.551 | 
| 139.146 | 7.111 | 31.427 | -0.000 | 0.000 | 0.000 | 
| 73.530 | 278.306 | 121.577 | -0.000 | -0.000 | 0.000 | 
| 101.349 | 100.791 | 260.115 | -0.000 | 0.000 | 0.000 | 
| 0.000 | 0.000 | 0.000 | 105.546 | 0.000 | 0.000 | 
| 1.215 | 5.266 | 13.332 | -0.000 | 62.991 | 0.000 | 
| -25.159 | 9.603 | -4.135 | -0.000 | 0.000 | 43.814 | 
| 208.388 | 55.340 | 65.037 | 0.000 | -0.000 | -0.000 | 
| 57.485 | 214.466 | 60.405 | 0.000 | -0.000 | -0.000 | 
| 42.181 | 31.411 | 152.311 | 0.000 | 0.000 | -0.000 | 
| -0.000 | -0.000 | -0.000 | 105.546 | -0.000 | 0.000 | 
| -1.215 | -5.266 | -13.332 | 0.000 | 62.991 | -0.000 | 
| 25.159 | -9.603 | 4.135 | 0.000 | 0.000 | 43.814 | 
| -2665.882 | 1777.542 | 1894.875 | -0.000 | -658.864 | 0.000 | 
| -1215.405 | 2378.549 | 1750.246 | -0.000 | -621.039 | -0.000 | 
| -717.674 | -98.119 | 1873.257 | -0.000 | 513.057 | -0.000 | 
| -1224.358 | 905.221 | 2135.005 | 49.585 | -101.553 | 2.501 | 
| -830.064 | -188.974 | 1664.800 | 0.000 | 567.874 | -0.000 | 
| -1224.683 | 905.175 | 2135.651 | 2.672 | -101.370 | 57.081 | 
| 305.791 | 101.970 | 91.370 | -0.000 | 35.569 | 0.000 | 
| 1285.982 | -725.121 | -2065.395 | -0.000 | 103.000 | 0.000 | 
| 940.116 | 285.707 | -1459.470 | -0.000 | -522.670 | 0.000 | 
| 1224.358 | -905.221 | -2135.005 | 49.585 | 101.553 | 2.501 | 
| 1222.345 | -2216.428 | -1758.277 | -0.000 | 695.336 | 0.000 | 
| 1224.683 | -905.175 | -2135.651 | 2.672 | 101.370 | 57.081 | 
| 47.172 | 152.643 | 266.810 | 0.000 | 9.484 | -0.000 | 
| 100.532 | 331.899 | 79.017 | -0.000 | 7.155 | -0.000 | 
| -522.503 | 107.375 | 386.483 | 0.000 | 64.180 | 0.000 | 
| -82.585 | -19.122 | 166.038 | 40.960 | 51.593 | 0.526 | 
| -117.013 | 92.584 | 211.127 | 0.000 | 42.836 | -0.000 | 
| -120.942 | 220.956 | 176.659 | 3.278 | -62.157 | 76.581 | 
| 264.638 | 120.689 | -54.432 | -0.000 | -36.730 | 0.000 | 
| 185.948 | 240.756 | -75.606 | -0.000 | -49.430 | 0.000 | 
| 121.007 | -222.872 | -0.111 | -0.000 | 60.843 | 0.000 | 
| 82.585 | 19.122 | -166.038 | 40.960 | -51.593 | 0.526 | 
| 8.844 | 6.982 | -14.440 | -0.000 | 97.529 | -0.000 | 
| 120.942 | -220.956 | -176.659 | 3.278 | 62.157 | 76.581 | 
| 305.792 | 101.970 | 91.370 | 0.000 | 35.570 | -0.000 | 
| 56.975 | 204.831 | 91.031 | 0.000 | 0.909 | -0.000 | 
| 95.408 | 78.698 | 333.685 | 0.000 | -14.440 | -0.000 | 
| 0.000 | 0.000 | 0.000 | 80.687 | 0.000 | 6.824 | 
| -1.111 | 24.226 | 19.644 | 0.000 | 52.424 | -0.000 | 
| -6.166 | -1.428 | 12.396 | 2.295 | 3.852 | 59.097 | 
| 221.335 | 103.153 | 93.378 | -0.000 | 16.375 | -0.000 | 
| 100.532 | 331.897 | 79.016 | -0.000 | 7.155 | -0.000 | 
| 114.567 | 91.788 | 223.265 | -0.000 | -11.643 | 0.000 | 
| -0.000 | -0.000 | -0.000 | 80.687 | -0.000 | 6.824 | 
| 8.994 | 5.773 | -20.127 | -0.000 | 58.293 | -0.000 | 
| 6.166 | 1.428 | -12.396 | 2.295 | -3.852 | 59.097 | 
| 284.674 | 93.714 | 83.688 | 0.000 | 33.062 | 0.000 | 
| 91.585 | 234.772 | 81.686 | -0.000 | 3.460 | -0.000 | 
| 87.366 | 70.623 | 308.185 | 0.000 | -13.461 | -0.000 | 
| 0.001 | 0.010 | -0.004 | 57.101 | -0.001 | 3.122 | 
| 6.206 | 2.743 | -1.537 | -0.000 | 53.007 | -0.000 | 
| -0.000 | -0.000 | -0.000 | 5.982 | 0.000 | 97.598 | 
| 216.742 | 92.731 | 93.705 | 0.000 | 20.715 | -0.000 | 
| 92.086 | 312.078 | 70.623 | -0.000 | 5.958 | -0.000 | 
| 96.350 | 80.089 | 232.556 | -0.000 | -8.065 | -0.000 | 
| -0.001 | -0.010 | 0.004 | 57.101 | 0.001 | 3.122 | 
| 3.584 | 4.126 | -8.860 | -0.000 | 67.660 | -0.000 | 
| 0.000 | 0.000 | 0.000 | 5.982 | -0.000 | 97.598 | 
| 284.674 | 93.714 | 83.688 | 0.000 | 33.062 | -0.000 | 
| 92.086 | 312.078 | 70.623 | -0.000 | 5.958 | -0.000 | 
| 87.366 | 70.623 | 308.185 | 0.000 | -13.461 | -0.000 | 
| 0.000 | -0.000 | 0.000 | 75.590 | 0.000 | 5.982 | 
| 6.180 | 2.728 | -1.536 | 0.000 | 53.000 | -0.000 | 
| 0.000 | 0.000 | 0.000 | 5.982 | 0.000 | 97.598 | 
| 216.722 | 92.741 | 93.704 | 0.000 | 20.711 | 0.000 | 
| 92.086 | 312.078 | 70.623 | 0.000 | 5.958 | -0.000 | 
| 87.366 | 70.623 | 308.185 | -0.000 | -13.461 | 0.000 | 
| -0.000 | 0.000 | 0.000 | 75.590 | -0.000 | 5.982 | 
| 7.706 | 5.958 | -13.461 | -0.000 | 92.801 | -0.000 | 
| -0.000 | -0.000 | -0.000 | 5.982 | -0.000 | 97.598 | 
| 284.676 | 93.714 | 83.688 | -0.000 | 33.062 | -0.000 | 
| 91.584 | 234.763 | 81.691 | -0.000 | 3.462 | 0.000 | 
| 65.410 | 67.617 | 198.989 | 0.000 | -5.260 | 0.000 | 
| 0.000 | 0.000 | 0.000 | 75.590 | 0.000 | 5.982 | 
| 7.706 | 5.958 | -13.461 | -0.000 | 92.801 | -0.000 | 
| 0.000 | 0.000 | 0.000 | 5.982 | 0.000 | 97.598 | 
| 216.437 | 92.738 | 93.745 | 0.000 | 20.659 | -0.000 | 
| 62.866 | 197.438 | 63.849 | 0.000 | 0.830 | -0.000 | 
| 44.870 | 36.296 | 154.566 | 0.000 | 0.436 | 0.000 | 
| -0.000 | -0.000 | -0.000 | 75.590 | -0.000 | 5.982 | 
| 3.586 | 4.137 | -8.865 | 0.000 | 67.667 | -0.000 | 
| -0.000 | -0.000 | -0.000 | 5.982 | -0.000 | 97.598 | 
| 366.585 | 131.974 | 139.491 | 0.000 | -0.000 | 0.000 | 
| 133.702 | 348.464 | 122.084 | 0.000 | -0.000 | -0.000 | 
| 142.415 | 123.280 | 327.297 | 0.000 | -0.000 | -0.000 | 
| -374.524 | -787.658 | -345.583 | 83.815 | -3.653 | 0.005 | 
| -1295.597 | -1736.115 | -1073.463 | -1.278 | 32.753 | 0.007 | 
| -0.000 | 0.000 | 0.000 | 0.000 | -0.000 | 135.957 | 
| 366.585 | 131.974 | 139.491 | -0.000 | 0.000 | 0.000 | 
| 479.595 | 1037.324 | 436.983 | 6.135 | 3.616 | -0.005 | 
| 142.415 | 123.280 | 327.297 | 0.000 | 0.000 | -0.000 | 
| 1296.542 | 1737.007 | 1074.199 | 67.273 | 0.786 | -0.007 | 
| 374.590 | 787.796 | 345.643 | 6.198 | 71.633 | -0.005 | 
| 374.375 | 787.344 | 345.445 | 6.195 | 3.651 | 69.896 | 
| 366.585 | 131.974 | 139.491 | 0.000 | 0.000 | 0.000 | 
| 63.729 | 157.718 | 52.701 | -0.693 | -0.408 | 0.001 | 
| 142.415 | 123.280 | 327.297 | 0.000 | -0.000 | 0.000 | 
| -177.491 | -157.775 | -158.206 | 74.247 | -0.473 | 0.000 | 
| -36.890 | -77.584 | -34.040 | -0.610 | 68.775 | 0.001 | 
| 0.000 | 0.000 | 0.000 | 0.000 | 0.000 | 135.957 | 
| 366.585 | 131.974 | 139.491 | 0.000 | 0.000 | 0.000 | 
| 198.267 | 313.671 | 149.628 | 0.071 | 0.046 | -0.001 | 
| 142.415 | 123.280 | 327.297 | -0.000 | 0.000 | -0.000 | 
| 127.961 | 170.962 | 105.959 | 67.270 | 0.072 | -0.001 | 
| 36.966 | 77.743 | 34.109 | 0.612 | 69.342 | -0.001 | 
| -0.000 | -0.000 | -0.000 | 0.000 | 0.000 | 135.957 | 
| 203.242 | 67.837 | 54.611 | 0.010 | 0.005 | 0.000 | 
| 74.229 | 122.189 | 2.819 | 0.057 | 0.032 | 0.000 | 
| 54.891 | 12.618 | 102.875 | 0.057 | 0.031 | 0.000 | 
| -3.711 | -7.804 | -3.424 | 90.304 | -0.036 | 0.000 | 
| -15.037 | -16.001 | -12.988 | -0.043 | 43.920 | 0.000 | 
| -3.883 | -8.165 | -3.582 | -0.064 | -0.038 | 67.456 | 
| 257.812 | 114.737 | 104.623 | 0.062 | 0.037 | -0.000 | 
| 104.247 | 232.804 | 88.967 | 0.085 | 0.050 | -0.000 | 
| 76.739 | 51.456 | 190.857 | -0.062 | -0.036 | -0.000 | 
| 3.726 | 7.837 | 3.438 | 90.267 | 0.036 | -0.000 | 
| 15.037 | 16.000 | 12.989 | 0.043 | 43.953 | -0.000 | 
| 3.883 | 8.165 | 3.582 | 0.064 | 0.038 | 67.456 | 
| 640.253 | -213.749 | 3003.124 | -0.000 | -154.558 | -0.000 | 
| 119.821 | 656.467 | 204.515 | 0.000 | 2.056 | 0.000 | 
| -137.185 | -553.669 | 2386.156 | 0.000 | -138.118 | 0.000 | 
| 0.000 | 0.000 | 0.000 | 200.091 | -0.000 | 3.567 | 
| 3.844 | 2.725 | -9.326 | 0.000 | 230.932 | 0.000 | 
| 139.797 | -338.958 | 2832.973 | -3.654 | -225.846 | 99.631 | 
| 916.832 | 909.265 | -1723.246 | 0.000 | 239.583 | -0.000 | 
| 119.821 | 656.466 | 204.515 | -0.000 | 2.056 | -0.000 | 
| 623.800 | 957.444 | -1535.984 | -0.000 | 128.875 | -0.000 | 
| -0.000 | 0.000 | -0.000 | 200.091 | 0.000 | 3.567 | 
| 384.519 | 756.954 | -1965.366 | -0.000 | 314.885 | -0.000 | 
| -139.797 | 338.958 | -2832.973 | -3.654 | 225.846 | 99.631 | 
| 644.300 | 122.572 | 231.360 | -0.000 | 133.796 | 0.000 | 
| 119.822 | 656.467 | 204.515 | 0.000 | 2.056 | 0.000 | 
| 177.344 | 154.625 | 614.539 | -0.000 | -26.680 | 0.000 | 
| -37.878 | -75.217 | 195.217 | 136.946 | -13.289 | 6.638 | 
| 3.844 | 2.725 | -9.326 | 0.000 | 230.933 | 0.000 | 
| 0.000 | 0.000 | 0.000 | 2.898 | -0.000 | 115.115 | 
| 572.393 | 230.123 | 41.113 | -0.000 | 118.939 | -0.000 | 
| 190.468 | 637.499 | -1.581 | 0.000 | 14.606 | -0.000 | 
| 281.767 | 277.940 | 225.935 | 0.000 | 8.908 | -0.000 | 
| 37.878 | 75.217 | -195.217 | 136.946 | 13.289 | 6.638 | 
| 42.383 | 77.536 | -201.999 | -0.000 | 194.542 | -0.000 | 
| -0.000 | 0.000 | -0.000 | 2.898 | 0.000 | 115.115 | 
| 487.002 | 125.484 | 196.904 | 0.000 | 81.344 | -0.000 | 
| 150.963 | 537.654 | 223.260 | 0.000 | -0.898 | -0.000 | 
| 235.652 | 204.705 | 517.104 | 0.000 | -9.327 | 0.000 | 
| -3.467 | -6.884 | 17.867 | 142.297 | -1.216 | 6.377 | 
| 3.844 | 2.725 | -9.326 | 0.000 | 230.932 | -0.000 | 
| 9.516 | 0.275 | 32.141 | 4.338 | -0.727 | 85.233 | 
| 490.685 | 128.620 | 147.825 | 0.000 | 86.700 | 0.000 | 
| 125.948 | 477.405 | 144.716 | -0.000 | -5.056 | -0.000 | 
| 184.144 | 168.591 | 293.753 | 0.000 | -8.468 | -0.000 | 
| 3.467 | 6.884 | -17.867 | 142.297 | 1.216 | 6.377 | 
| 4.710 | -1.230 | -26.891 | -0.000 | 141.327 | 0.000 | 
| 3.447 | 6.844 | -17.762 | 5.692 | 1.209 | 94.112 | 
| 340.772 | 111.335 | 78.140 | 0.000 | 0.000 | 0.000 | 
| 111.335 | 340.772 | 78.140 | 0.000 | 0.000 | 0.000 | 
| 79.133 | 79.133 | 387.761 | 0.000 | 0.000 | 0.000 | 
| -0.000 | 0.000 | 0.000 | 84.009 | 0.000 | -0.000 | 
| -0.000 | 0.000 | 0.000 | 0.000 | 84.009 | 0.000 | 
| 0.000 | 0.000 | -0.000 | 0.000 | 0.000 | 114.719 | 
| 340.772 | 111.335 | 78.140 | -0.000 | -0.000 | -0.000 | 
| 111.335 | 340.772 | 78.140 | -0.000 | -0.000 | -0.000 | 
| 79.132 | 79.133 | 387.761 | -0.000 | -0.000 | -0.000 | 
| -0.000 | 0.000 | -0.000 | 84.009 | -0.000 | 0.000 | 
| -0.000 | 0.000 | -0.000 | -0.000 | 84.009 | 0.000 | 
| -0.000 | -0.000 | -0.000 | -0.000 | -0.000 | 114.719 | 
| 340.772 | 111.335 | 78.141 | 0.000 | 0.000 | -0.000 | 
| 10.202 | 170.341 | 269.883 | 0.001 | 0.005 | 0.087 | 
| 45.239 | 70.125 | 434.206 | -0.026 | 0.042 | 0.616 | 
| 11.804 | 24.253 | 152.588 | 58.805 | 0.024 | 0.326 | 
| 0.000 | 0.000 | 0.000 | 0.000 | 84.009 | -0.000 | 
| 0.000 | 0.000 | 0.000 | 0.000 | 0.000 | 114.719 | 
| 340.772 | 111.335 | 78.140 | -0.000 | -0.000 | -0.000 | 
| 111.335 | 340.772 | 78.140 | -0.000 | -0.000 | 0.000 | 
| 50.876 | 38.276 | 156.519 | 0.022 | -0.024 | -0.328 | 
| -11.798 | -24.257 | -152.588 | 58.848 | -0.024 | -0.326 | 
| -9.206 | -21.623 | -139.659 | 0.006 | 57.811 | -0.298 | 
| -0.000 | -0.000 | -0.000 | -0.000 | -0.000 | 114.719 | 
| 340.774 | 111.335 | 78.141 | 0.000 | 0.000 | -0.000 | 
| 111.420 | 252.174 | 106.116 | -0.002 | 0.003 | 0.051 | 
| 79.133 | 79.133 | 387.764 | 0.000 | 0.000 | 0.000 | 
| -4.586 | -3.737 | 13.155 | 59.263 | 0.001 | 0.020 | 
| -4.585 | -3.737 | 13.156 | -0.001 | 59.266 | 0.020 | 
| 0.000 | 0.000 | 0.000 | 0.000 | 0.000 | 114.719 | 
| 258.668 | 118.836 | 87.961 | 0.002 | -0.004 | -0.052 | 
| 120.596 | 259.491 | 87.621 | 0.002 | -0.003 | -0.050 | 
| 92.654 | 93.945 | 300.003 | -0.002 | 0.002 | 0.033 | 
| 4.585 | 3.737 | -13.155 | 59.265 | -0.001 | -0.020 | 
| 4.586 | 3.737 | -13.155 | 0.001 | 59.261 | -0.020 | 
| -0.000 | -0.000 | -0.000 | -0.000 | -0.000 | 114.719 | 
| 290.392 | 135.863 | 106.576 | -0.000 | -0.000 | 0.000 | 
| 135.863 | 290.392 | 106.576 | 0.000 | 0.000 | -0.000 | 
| -1769.126 | -1769.126 | -1639.115 | -0.000 | 0.000 | -0.000 | 
| -3434.400 | -3434.400 | -4705.800 | 68.341 | -0.000 | 0.000 | 
| -3434.400 | -3434.400 | -4705.800 | 0.000 | 68.341 | 0.000 | 
| -1872.251 | -1872.251 | -1888.608 | -0.000 | -0.000 | 93.688 | 
| 3619.596 | 3506.423 | 4788.313 | 0.000 | 0.000 | 0.000 | 
| 3506.423 | 3619.596 | 4788.312 | 0.000 | -0.000 | 0.000 | 
| 1976.013 | 1976.013 | 2139.107 | 0.000 | -0.000 | 0.000 | 
| 3434.400 | 3434.400 | 4705.800 | 68.341 | -0.000 | -0.000 | 
| 3434.400 | 3434.400 | 4705.801 | 0.000 | 68.341 | 0.000 | 
| 1872.251 | 1872.251 | 1888.607 | 0.000 | 0.000 | 93.688 | 
| 8.755 | -55.481 | -82.967 | -0.000 | -0.000 | 0.000 | 
| -55.481 | 8.755 | -82.967 | -0.000 | 0.000 | 0.000 | 
| -83.642 | -83.642 | 59.525 | -0.000 | -0.000 | -0.000 | 
| -74.549 | -74.550 | -224.672 | 42.076 | 0.000 | -0.000 | 
| -74.550 | -74.549 | -224.672 | -0.000 | 42.076 | -0.000 | 
| -187.133 | -187.133 | -188.768 | -0.000 | -0.000 | 93.710 | 
| 531.864 | 467.471 | 501.703 | -0.000 | 0.000 | 0.000 | 
| 467.471 | 531.864 | 501.703 | -0.000 | -0.000 | 0.000 | 
| 427.568 | 427.568 | 707.392 | 0.000 | -0.000 | 0.000 | 
| 74.549 | 74.550 | 224.672 | 42.076 | -0.000 | -0.000 | 
| 74.550 | 74.549 | 224.672 | 0.000 | 42.076 | -0.000 | 
| 187.133 | 187.133 | 188.768 | 0.000 | 0.000 | 93.710 | 
| 180.927 | 114.653 | 88.576 | -0.000 | 0.000 | 0.000 | 
| 114.653 | 180.927 | 88.576 | 0.000 | 0.000 | 0.000 | 
| 51.272 | 51.272 | 196.789 | 0.000 | 0.000 | -0.000 | 
| -17.098 | -17.099 | -17.248 | 66.474 | 0.000 | 0.000 | 
| -17.099 | -17.098 | -17.248 | 0.000 | 66.474 | 0.000 | 
| -18.060 | -18.060 | -18.218 | -0.000 | -0.000 | 95.315 | 
| 125.713 | 51.534 | 68.975 | -0.000 | -0.000 | 0.000 | 
| 51.534 | 125.713 | 68.975 | -0.000 | 0.000 | -0.000 | 
| 51.121 | 51.121 | 165.951 | -0.000 | 0.000 | 0.000 | 
| 17.098 | 17.099 | 17.248 | 66.474 | -0.000 | -0.000 | 
| 17.099 | 17.098 | 17.248 | -0.000 | 66.474 | 0.000 | 
| 18.060 | 18.060 | 18.218 | 0.000 | 0.000 | 95.315 | 
| 282.732 | 127.733 | 99.649 | -0.000 | 0.000 | 0.000 | 
| 127.733 | 282.732 | 99.649 | 0.000 | 0.000 | 0.000 | 
| 99.649 | 99.649 | 326.568 | -0.000 | 0.000 | 0.000 | 
| 0.000 | -0.000 | 0.000 | 105.733 | 0.000 | 0.000 | 
| -0.000 | -0.000 | 0.000 | -0.000 | 105.733 | 0.000 | 
| -0.000 | -0.000 | 0.000 | 0.000 | 0.000 | 133.916 | 
| 207.968 | 123.955 | 99.585 | 0.000 | -0.000 | -0.000 | 
| 123.955 | 207.968 | 99.585 | 0.000 | -0.000 | -0.000 | 
| 99.649 | 99.649 | 326.568 | 0.000 | -0.000 | -0.000 | 
| -0.000 | 0.000 | -0.000 | 105.733 | -0.000 | -0.000 | 
| 0.000 | 0.000 | -0.000 | -0.000 | 105.733 | -0.000 | 
| -0.000 | 0.000 | -0.000 | -0.000 | -0.000 | 133.916 | 
| 207.966 | 123.955 | 99.585 | -0.000 | 0.000 | 0.000 | 
| 123.955 | 207.966 | 99.585 | -0.000 | 0.000 | 0.000 | 
| 99.649 | 99.649 | 326.569 | -0.000 | 0.000 | 0.000 | 
| 0.000 | 0.000 | 0.000 | 105.733 | 0.000 | 0.000 | 
| 0.000 | 0.000 | 0.000 | -0.000 | 105.733 | 0.000 | 
| 0.000 | 0.000 | 0.000 | -0.000 | 0.000 | 133.916 | 
| 207.933 | 123.953 | 99.585 | 0.000 | -0.000 | -0.000 | 
| 123.953 | 207.933 | 99.585 | 0.000 | -0.000 | -0.000 | 
| 99.581 | 99.581 | 249.759 | -0.000 | -0.000 | -0.000 | 
| -0.000 | -0.000 | -0.000 | 105.733 | -0.000 | -0.000 | 
| -0.000 | -0.000 | -0.000 | 0.000 | 105.733 | -0.000 | 
| -0.000 | -0.000 | -0.000 | -0.000 | -0.000 | 133.916 | 
| 207.956 | 123.955 | 99.585 | -0.000 | 0.000 | -0.000 | 
| 123.955 | 207.956 | 99.585 | -0.000 | 0.000 | -0.000 | 
| 53.496 | 53.496 | 193.002 | -0.000 | 0.000 | -0.000 | 
| 0.000 | -0.000 | -0.000 | 57.627 | -0.000 | 0.000 | 
| -0.000 | 0.000 | -0.000 | -0.000 | 57.627 | 0.000 | 
| -0.000 | 0.000 | 0.000 | -0.000 | 0.000 | 96.662 | 
| 155.239 | 61.078 | 70.643 | -0.000 | -0.000 | -0.000 | 
| 61.078 | 155.239 | 70.643 | 0.000 | -0.000 | -0.000 | 
| 99.581 | 99.581 | 249.693 | 0.000 | -0.000 | -0.000 | 
| -0.000 | 0.000 | 0.000 | 57.627 | -0.000 | -0.000 | 
| 0.000 | -0.000 | 0.000 | 0.000 | 57.627 | -0.000 | 
| 0.000 | -0.000 | -0.000 | 0.000 | -0.000 | 96.662 | 
| -5038.433 | -5240.273 | -5240.273 | -0.000 | -0.000 | -0.000 | 
| -5240.273 | -5038.433 | -5240.273 | -0.000 | -0.000 | -0.000 | 
| -5240.273 | -5240.273 | -5038.433 | -0.000 | -0.000 | -0.000 | 
| -5396.346 | -5396.346 | -5396.346 | 109.717 | -0.000 | -0.000 | 
| -5396.346 | -5396.346 | -5396.346 | -0.000 | 109.717 | -0.000 | 
| -5396.346 | -5396.346 | -5396.345 | -0.000 | -0.000 | 109.717 | 
| 3674.162 | 3376.996 | 3376.996 | 0.000 | -0.000 | 0.000 | 
| 5545.657 | 5747.324 | 5545.657 | 0.000 | 0.000 | 0.000 | 
| 3376.996 | 3376.996 | 3674.162 | 0.000 | 0.000 | 0.000 | 
| 5396.346 | 5396.346 | 5396.346 | 109.717 | 0.000 | 0.000 | 
| 5396.346 | 5396.345 | 5396.345 | 0.000 | 109.717 | 0.000 | 
| 5396.346 | 5396.345 | 5396.346 | 0.000 | 0.000 | 109.717 | 
| 14.095 | -278.984 | -278.984 | -0.000 | -0.000 | -0.000 | 
| -278.984 | 14.095 | -278.984 | -0.000 | -0.000 | -0.000 | 
| -278.984 | -278.984 | 14.095 | -0.000 | 0.000 | -0.000 | 
| -536.054 | -536.054 | -536.054 | 68.428 | 0.000 | -0.000 | 
| -536.054 | -536.054 | -536.054 | -0.000 | 68.428 | -0.000 | 
| -536.054 | -536.054 | -536.054 | -0.000 | -0.000 | 68.428 | 
| 695.975 | 400.661 | 400.661 | 0.000 | 0.000 | 0.000 | 
| 400.661 | 695.975 | 400.661 | 0.000 | 0.000 | 0.000 | 
| 400.661 | 400.662 | 695.976 | 0.000 | 0.000 | -0.000 | 
| 536.054 | 536.054 | 536.054 | 68.428 | 0.000 | 0.000 | 
| 536.054 | 536.054 | 536.054 | 0.000 | 68.428 | 0.000 | 
| 536.054 | 536.054 | 536.054 | 0.000 | 0.000 | 68.428 | 
| 303.452 | 60.998 | 60.998 | -0.000 | -0.000 | -0.000 | 
| 60.998 | 303.452 | 60.998 | -0.000 | -0.000 | -0.000 | 
| 60.998 | 60.998 | 303.452 | -0.000 | -0.000 | -0.000 | 
| -50.919 | -50.919 | -50.919 | 114.058 | -0.000 | -0.000 | 
| -50.919 | -50.919 | -50.919 | -0.000 | 114.058 | -0.000 | 
| -50.919 | -50.919 | -50.919 | -0.000 | 0.000 | 114.058 | 
| 401.272 | 201.811 | 201.811 | 0.000 | 0.000 | 0.000 | 
| 201.811 | 401.272 | 201.811 | 0.000 | 0.000 | 0.000 | 
| 201.811 | 201.811 | 401.272 | 0.000 | 0.000 | 0.000 | 
| 50.919 | 50.919 | 50.919 | 114.058 | 0.000 | -0.000 | 
| 50.919 | 50.919 | 50.919 | 0.000 | 114.058 | 0.000 | 
| 50.919 | 50.919 | 50.919 | 0.000 | 0.000 | 114.058 | 
| -15126.534 | -15080.977 | -26410.427 | 0.000 | 0.000 | -0.000 | 
| -16439.764 | -16262.347 | -36022.860 | -0.000 | 0.000 | -0.000 | 
| -15409.360 | -15409.360 | -32050.974 | 0.000 | -0.000 | 0.000 | 
| -25616.810 | -25616.810 | -16587.632 | -3.154 | 0.000 | -0.000 | 
| -15385.177 | -15385.177 | -31932.248 | -0.000 | 9.346 | 0.000 | 
| -16460.387 | -16460.387 | -30152.663 | 0.000 | 0.000 | 83.152 | 
| 15368.032 | 15334.463 | 31783.723 | 0.000 | 0.000 | -0.000 | 
| 15334.752 | 15368.383 | 31787.890 | -0.000 | -0.000 | -0.000 | 
| 832.882 | 832.882 | -1555.112 | -0.000 | 0.000 | 0.000 | 
| 25616.810 | 25616.810 | 16587.632 | -3.154 | -0.000 | 0.000 | 
| 15385.177 | 15385.177 | 31932.248 | -0.000 | 9.345 | -0.000 | 
| 16460.387 | 16460.387 | 30152.663 | 0.000 | 0.000 | 83.152 | 
| -1374.183 | -1533.075 | -2908.614 | 0.000 | -0.000 | 0.000 | 
| -1454.429 | -1276.163 | -3409.523 | -0.000 | -0.000 | -0.000 | 
| 86.555 | 86.555 | 341.833 | 0.000 | 0.000 | 0.000 | 
| -1792.468 | -1792.469 | -3065.184 | 55.011 | -0.000 | 0.000 | 
| -1524.404 | -1524.404 | -3175.275 | 0.000 | 8.566 | -0.000 | 
| -2308.464 | -2308.464 | -1938.129 | 0.000 | 0.000 | -56.478 | 
| 1973.406 | 1821.039 | 3760.102 | 0.000 | -0.000 | -0.000 | 
| 1562.220 | 1594.144 | 3151.021 | -0.000 | 0.000 | 0.000 | 
| 168.934 | 168.934 | 104.666 | 0.000 | -0.000 | 0.000 | 
| 1792.468 | 1792.469 | 3065.184 | 55.011 | 0.000 | -0.000 | 
| 1538.073 | 1538.073 | 3192.789 | 0.000 | 9.375 | -0.000 | 
| 2585.514 | 2585.514 | 1677.037 | 0.000 | 0.000 | 30.628 | 
| 19.151 | -46.212 | -251.897 | 0.000 | 0.000 | 0.000 | 
| 105.141 | 275.602 | 112.611 | -0.000 | 0.000 | 0.000 | 
| 87.430 | 87.430 | 307.637 | -0.000 | -0.000 | -0.000 | 
| -7.437 | -7.437 | 18.593 | 68.434 | 0.000 | 0.000 | 
| -165.548 | -165.548 | -307.130 | 0.000 | 31.297 | -0.000 | 
| -163.239 | -163.240 | -338.428 | 0.000 | -0.000 | 50.788 | 
| 289.695 | 120.306 | 75.026 | -0.000 | -0.000 | -0.000 | 
| 252.117 | 317.539 | 368.526 | 0.000 | -0.000 | -0.000 | 
| 102.687 | 102.687 | 269.373 | -0.000 | 0.000 | -0.000 | 
| 7.437 | 7.437 | -18.593 | 68.434 | -0.000 | -0.000 | 
| 165.548 | 165.548 | 307.130 | 0.000 | 31.297 | 0.000 | 
| 148.197 | 148.197 | 315.795 | -0.000 | 0.000 | 24.792 | 
| 299.967 | 370.408 | -39.229 | 1.732 | 85.680 | -112.977 | 
| 64.210 | 604.365 | -39.328 | 65.741 | 66.980 | -44.961 | 
| -11865.194 | -11262.817 | -3472.619 | 296.183 | 116.040 | -151.800 | 
| -1218.685 | -808.405 | 404.094 | 96.033 | -20.915 | 17.257 | 
| -97.210 | 207.088 | -156.956 | 34.506 | 161.592 | -77.273 | 
| -1186.844 | -832.337 | 401.686 | 12.869 | -49.138 | 150.201 | 
| 522.347 | 171.421 | 128.155 | -41.403 | 23.509 | -100.930 | 
| 258.169 | 192.809 | 274.857 | -2.999 | -66.062 | 44.154 | 
| 122.547 | 122.106 | 592.283 | 0.720 | 0.206 | 0.105 | 
| 63.846 | -175.385 | 157.900 | 60.702 | -66.497 | 44.470 | 
| 9222.174 | 8352.840 | 2191.655 | -586.187 | -201.252 | 224.733 | 
| 0.120 | 0.085 | 0.034 | -0.132 | -41.405 | 175.697 | 
| 522.347 | 171.421 | 128.155 | -41.403 | 23.509 | -100.930 | 
| 151.092 | 410.117 | 101.892 | 34.142 | 6.924 | -4.737 | 
| 105.681 | 132.875 | 415.290 | 4.036 | 6.288 | -3.931 | 
| -42.712 | 52.299 | -14.826 | 98.524 | 6.685 | -4.548 | 
| -119.661 | -84.249 | 40.810 | 1.270 | 80.927 | -26.701 | 
| 0.120 | 0.085 | 0.034 | -0.132 | -41.405 | 175.697 | 
| 655.375 | 380.663 | 125.929 | -33.557 | 5.833 | -54.899 | 
| 171.837 | 390.651 | 134.295 | 28.795 | -6.160 | 4.037 | 
| 122.547 | 122.106 | 592.283 | 0.720 | 0.206 | 0.105 | 
| -23.397 | 10.972 | 16.563 | 91.805 | -6.614 | 4.360 | 
| -0.195 | -0.136 | 0.206 | 0.028 | 120.858 | -41.141 | 
| 9.776 | -20.449 | 15.587 | -3.531 | -39.552 | 124.192 | 
| 174.162 | -50.214 | 22.402 | 5.964 | -0.377 | -67.209 | 
| -65.000 | 166.048 | 18.370 | -2.355 | 1.345 | -1.282 | 
| 70.638 | 73.031 | 427.674 | 0.994 | 0.401 | 0.074 | 
| -43.309 | -2.398 | -1.989 | 61.578 | 0.155 | -0.604 | 
| -0.195 | -0.136 | 0.206 | 0.028 | 120.858 | -41.141 | 
| 0.120 | 0.085 | 0.034 | -0.132 | -41.405 | 175.697 | 
| 436.099 | 163.064 | 123.020 | -35.807 | 19.582 | -77.653 | 
| 156.063 | 402.590 | 85.293 | 28.490 | -0.381 | 0.163 | 
| 116.976 | 114.381 | 466.994 | 0.618 | -0.241 | 0.433 | 
| -14.043 | 32.832 | -3.003 | 75.348 | 0.031 | -0.128 | 
| -0.195 | -0.136 | 0.206 | 0.028 | 120.858 | -41.141 | 
| 0.879 | -1.467 | 1.194 | -0.376 | -35.663 | 134.739 | 
| -1332.626 | 1059.135 | 2060.512 | 0.000 | -0.000 | -0.000 | 
| -5361.388 | -3110.698 | 12217.372 | 0.000 | -0.000 | -0.000 | 
| -1537.610 | 1095.180 | 2217.842 | -0.000 | -0.000 | -0.000 | 
| -1646.370 | 976.018 | 1953.611 | 73.955 | -0.000 | -0.000 | 
| -5998.265 | -2492.502 | 12104.719 | -0.000 | 66.155 | -0.000 | 
| -3795.284 | -2867.648 | 12883.679 | 0.000 | -0.000 | 9.086 | 
| 3193.089 | 1189.583 | -9377.041 | 0.000 | 0.000 | 0.000 | 
| 1730.868 | -664.036 | -1833.848 | -0.000 | 0.000 | 0.000 | 
| 110.265 | 113.856 | 364.086 | 0.000 | -0.000 | 0.000 | 
| 1646.370 | -976.018 | -1953.611 | 73.955 | 0.000 | 0.000 | 
| 5998.265 | 2492.502 | -12104.719 | 0.000 | 66.156 | 0.000 | 
| 3795.284 | 2867.648 | -12883.679 | 0.000 | 0.000 | 9.086 | 
| 149.177 | 180.835 | 302.482 | -0.000 | -0.000 | -0.000 | 
| 87.927 | 390.783 | 114.123 | -0.000 | -0.000 | -0.000 | 
| -98.938 | 165.797 | 520.941 | -0.000 | -0.000 | -0.000 | 
| -539.871 | -324.631 | 1212.938 | 24.386 | -0.000 | -0.000 | 
| -381.620 | -286.091 | 1286.567 | -0.000 | 24.020 | -0.000 | 
| -164.529 | 97.537 | 195.232 | -0.000 | -0.000 | 49.562 | 
| 743.585 | 350.821 | -1174.038 | 0.000 | 0.000 | 0.000 | 
| 630.609 | 350.278 | -1181.243 | 0.000 | 0.000 | 0.000 | 
| 110.265 | 113.856 | 364.085 | -0.000 | 0.000 | 0.000 | 
| 539.867 | 324.630 | -1212.938 | 24.385 | 0.000 | 0.000 | 
| 381.620 | 286.091 | -1286.567 | 0.000 | 24.020 | 0.000 | 
| 164.529 | -97.538 | -195.232 | -0.000 | 0.000 | 49.562 | 
| 213.374 | 65.900 | 82.024 | 0.000 | -0.000 | -0.000 | 
| -43.725 | 153.803 | 90.674 | -0.000 | -0.000 | -0.000 | 
| 92.259 | 128.942 | 283.876 | -0.000 | -0.000 | -0.000 | 
| -16.158 | 9.579 | 19.173 | 74.724 | -0.000 | -0.000 | 
| -35.459 | -22.448 | 108.485 | -0.000 | 4.046 | -0.000 | 
| -41.853 | -12.412 | 105.422 | 0.000 | -0.000 | 19.804 | 
| 161.348 | 30.513 | -110.539 | 0.000 | 0.000 | 0.000 | 
| 8.387 | 164.937 | -21.498 | 0.000 | 0.000 | 0.000 | 
| 75.733 | 62.073 | -4.517 | 0.000 | 0.000 | 0.000 | 
| 16.158 | -9.579 | -19.173 | 74.724 | 0.000 | 0.000 | 
| 15.555 | -9.222 | -18.458 | -0.000 | 67.604 | 0.000 | 
| 41.853 | 12.412 | -105.422 | 0.000 | 0.000 | 19.804 | 
| 98.388 | 55.478 | 55.478 | 0.000 | -0.000 | -0.000 | 
| 55.478 | 98.388 | 55.478 | 0.000 | 0.000 | -0.000 | 
| 55.478 | 55.478 | 98.388 | 0.000 | -0.000 | -0.000 | 
| -0.000 | -0.000 | 0.000 | 92.744 | -0.000 | -0.000 | 
| -0.000 | -0.000 | -0.000 | 0.000 | 92.744 | -0.000 | 
| -0.000 | -0.000 | -0.000 | 0.000 | 0.000 | 92.744 | 
| 140.900 | 92.959 | 92.959 | -0.000 | 0.000 | 0.000 | 
| 92.959 | 140.900 | 92.959 | 0.000 | 0.000 | 0.000 | 
| 92.959 | 92.959 | 140.900 | -0.000 | -0.000 | 0.000 | 
| 0.000 | 0.000 | -0.000 | 92.744 | 0.000 | 0.000 | 
| 0.000 | -0.000 | -0.000 | -0.000 | 92.744 | 0.000 | 
| 0.000 | 0.000 | -0.000 | 0.000 | 0.000 | 92.744 | 
| 98.608 | 55.685 | 55.685 | -0.000 | 0.000 | -0.000 | 
| 55.685 | 98.608 | 55.685 | 0.000 | -0.000 | -0.000 | 
| 55.685 | 55.685 | 98.608 | -0.000 | -0.000 | -0.000 | 
| 0.000 | 0.000 | 0.000 | 92.744 | -0.000 | -0.000 | 
| 0.000 | 0.000 | 0.000 | 0.000 | 92.744 | -0.000 | 
| 0.000 | 0.000 | 0.000 | -0.000 | 0.000 | 92.744 | 
| 98.657 | 55.731 | 55.731 | -0.000 | 0.000 | 0.000 | 
| 55.731 | 98.657 | 55.731 | -0.000 | -0.000 | 0.000 | 
| 55.731 | 55.731 | 98.657 | 0.000 | -0.000 | 0.000 | 
| -0.000 | -0.000 | -0.000 | 92.744 | -0.000 | 0.000 | 
| -0.000 | -0.000 | -0.000 | -0.000 | 92.744 | 0.000 | 
| -0.000 | -0.000 | -0.000 | -0.000 | 0.000 | 92.744 | 
| 98.697 | 55.765 | 55.765 | 0.000 | 0.000 | -0.000 | 
| 55.765 | 98.697 | 55.765 | -0.000 | 0.000 | -0.000 | 
| 55.765 | 55.765 | 98.697 | -0.000 | -0.000 | -0.000 | 
| 0.000 | 0.000 | 0.000 | 92.744 | -0.000 | -0.000 | 
| 0.000 | 0.000 | 0.000 | 0.000 | 92.744 | -0.000 | 
| 0.000 | 0.000 | 0.000 | 0.000 | -0.000 | 92.744 | 
| 98.637 | 55.712 | 55.712 | -0.000 | 0.000 | 0.000 | 
| 55.712 | 98.637 | 55.712 | 0.000 | -0.000 | 0.000 | 
| 55.712 | 55.712 | 98.637 | 0.000 | -0.000 | 0.000 | 
| -0.000 | -0.000 | -0.000 | 92.744 | -0.000 | 0.000 | 
| -0.000 | -0.000 | -0.000 | 0.000 | 92.744 | 0.000 | 
| -0.000 | -0.000 | -0.000 | 0.000 | 0.000 | 92.744 | 
| -277.266 | 233.644 | 1102.594 | 160.044 | 141.097 | -249.952 | 
| 144.929 | 403.824 | 142.025 | 8.008 | -4.705 | -14.353 | 
| -2509.195 | -9.692 | -1198.029 | -337.848 | 486.252 | -150.827 | 
| -322.126 | 296.631 | 441.439 | 191.177 | 720.063 | -186.809 | 
| -1.487 | -2.820 | -9.107 | -1.120 | 140.889 | -0.562 | 
| -436.548 | 165.339 | 1038.586 | 162.860 | 138.222 | -171.610 | 
| 376.142 | 144.449 | 136.443 | -2.617 | -5.173 | 2.003 | 
| 660.609 | -4.723 | -944.645 | -689.386 | -205.292 | 122.835 | 
| 939.491 | -63.180 | -266.167 | -289.015 | -375.567 | 144.352 | 
| 320.755 | -286.094 | -457.104 | 11.406 | -722.518 | 188.819 | 
| 437.167 | -182.488 | -1059.993 | -162.642 | -69.262 | 242.642 | 
| 552.811 | -273.537 | -1045.738 | -695.314 | -197.818 | 216.236 | 
| 110.919 | 71.902 | 156.765 | 12.628 | 13.561 | -30.540 | 
| -284.448 | 29.663 | -149.967 | -27.959 | 63.500 | -44.973 | 
| 41.812 | 125.778 | 368.985 | 66.523 | 12.922 | -16.235 | 
| -59.160 | 32.412 | 98.675 | 155.428 | 22.235 | -12.217 | 
| -56.111 | 21.973 | 98.051 | 69.588 | 97.525 | -15.210 | 
| -57.375 | 13.712 | 101.700 | 68.713 | 18.807 | 68.337 | 
| 279.972 | 78.365 | -5.317 | -73.153 | -25.174 | 11.272 | 
| 102.935 | 177.274 | -39.955 | -14.029 | -19.904 | 12.231 | 
| 154.365 | 74.926 | 164.172 | -72.893 | -26.503 | 10.770 | 
| 30.999 | -23.468 | -52.115 | 91.886 | -72.284 | 19.522 | 
| -1.487 | -2.819 | -9.107 | -1.120 | 140.889 | -0.562 | 
| 53.483 | -38.504 | -106.850 | -70.171 | -20.462 | 94.941 | 
| 98.886 | 45.831 | 40.378 | 5.489 | 6.056 | -11.177 | 
| 37.332 | 188.043 | 44.379 | 9.707 | 4.239 | -21.203 | 
| 55.403 | 67.888 | 221.220 | 2.922 | -9.588 | -8.229 | 
| -8.132 | 7.852 | 10.384 | 78.368 | 2.621 | 0.296 | 
| -5.324 | -1.756 | 2.788 | 7.135 | 81.694 | -2.859 | 
| -7.284 | -9.986 | 7.946 | 6.399 | 0.531 | 82.943 | 
| 147.271 | 47.217 | 38.821 | -1.172 | -3.050 | -7.379 | 
| 75.435 | 215.028 | 62.161 | 1.984 | -6.263 | -10.201 | 
| 74.894 | 75.559 | 223.509 | -4.883 | -10.129 | -3.991 | 
| 1.977 | 2.738 | -11.542 | 96.876 | -6.931 | 2.593 | 
| 14.896 | -0.141 | -17.000 | -2.218 | 62.324 | 1.308 | 
| -1.690 | -23.133 | -6.021 | -2.550 | -4.646 | 67.108 | 
| 431.814 | -52.319 | 369.907 | 359.733 | -186.229 | -66.132 | 
| 301.630 | 106.569 | 373.263 | 363.984 | -181.766 | -69.792 | 
| 306.865 | -43.135 | 526.158 | 356.612 | -190.850 | -68.232 | 
| 197.813 | -151.898 | 258.193 | 437.819 | -177.039 | -73.754 | 
| 634.016 | -380.607 | 234.278 | 314.714 | -77.290 | 217.831 | 
| 15.902 | -113.456 | 155.139 | 165.332 | 253.597 | -73.246 | 
| 333.599 | 117.134 | 124.968 | 1.627 | -5.599 | -3.891 | 
| -192.386 | 65.057 | -494.362 | 184.984 | 193.761 | -386.335 | 
| -639.900 | 384.615 | -131.088 | -313.803 | 98.518 | -202.582 | 
| -234.889 | -93.420 | -550.187 | 232.168 | 198.795 | -392.287 | 
| -2.916 | 1.584 | -17.397 | 2.111 | 132.748 | 0.867 | 
| -187.075 | 160.595 | -255.447 | -361.097 | 179.874 | 147.027 | 
| 93.566 | -89.158 | 87.072 | -21.852 | -36.472 | 8.980 | 
| 117.336 | 385.847 | 120.027 | -1.654 | 1.547 | 4.428 | 
| -1.788 | -10.750 | 148.232 | 15.993 | -0.864 | -12.094 | 
| 35.929 | 12.269 | 50.111 | 36.667 | -17.921 | 40.857 | 
| -2.916 | 1.585 | -17.397 | 2.111 | 132.749 | 0.867 | 
| 32.807 | 19.737 | 62.735 | -19.161 | -16.866 | 79.849 | 
| 64.162 | 124.470 | -55.067 | -1.336 | 4.928 | -0.138 | 
| 86.040 | 278.655 | 88.817 | -30.338 | 13.699 | 9.068 | 
| -3.144 | 14.855 | 110.126 | -16.744 | -49.260 | 14.284 | 
| -57.929 | 37.693 | -24.560 | 24.339 | 14.582 | -26.076 | 
| -26.279 | 11.639 | -39.101 | -34.257 | 98.013 | 10.251 | 
| 7.163 | 29.782 | -15.658 | -19.054 | -21.210 | 73.281 | 
| 82.681 | 35.008 | 31.861 | 0.096 | -16.333 | 12.017 | 
| 46.209 | 149.687 | 50.850 | 1.082 | -2.899 | 19.210 | 
| 50.759 | 46.350 | 197.491 | 4.820 | -22.155 | 9.088 | 
| 2.737 | 5.144 | 0.392 | 86.333 | 0.211 | -1.873 | 
| -4.438 | -4.929 | -11.398 | 4.947 | 85.111 | 2.148 | 
| 9.469 | 1.031 | 5.709 | 1.895 | -0.361 | 83.637 | 
| 183.099 | 73.831 | 73.194 | 8.359 | -10.361 | 1.563 | 
| 44.187 | 178.137 | 39.262 | 1.142 | -1.176 | 9.777 | 
| 29.741 | 45.906 | 156.994 | -4.124 | -19.706 | 1.182 | 
| -0.084 | 6.466 | -1.858 | 64.051 | 2.965 | -2.735 | 
| -19.797 | 1.214 | -26.346 | -3.025 | 53.847 | 3.990 | 
| 8.046 | 28.905 | 0.071 | -5.441 | 7.307 | 44.477 | 
| 403.988 | 130.195 | 141.605 | -2.007 | 16.942 | -2.404 | 
| 406.472 | 277.466 | 182.717 | 681.024 | -147.924 | -71.768 | 
| 409.331 | 74.241 | 366.156 | 688.483 | -139.459 | -65.339 | 
| 276.786 | -71.683 | 43.778 | 794.631 | -142.008 | -78.868 | 
| -12.174 | 285.990 | -79.631 | 550.455 | -104.016 | -195.020 | 
| 175.164 | 138.470 | 77.300 | 481.537 | -289.837 | -7.778 | 
| 403.988 | 130.195 | 141.605 | -2.007 | 16.942 | -2.404 | 
| -152.704 | 394.335 | 86.755 | -704.769 | 137.104 | 72.059 | 
| -149.825 | 191.436 | 270.201 | -697.295 | 145.560 | 78.515 | 
| -1.966 | -14.940 | -0.460 | 141.578 | 2.882 | -8.218 | 
| 10.039 | -8.060 | -5.672 | 2.882 | 142.083 | -1.663 | 
| -173.809 | -136.276 | -64.314 | -489.044 | 290.012 | 177.032 | 
| 276.340 | 118.374 | 115.177 | 40.977 | -17.509 | -8.299 | 
| 89.283 | 215.228 | 88.831 | 27.115 | -38.752 | -3.303 | 
| 157.977 | 126.806 | 321.598 | 65.862 | -11.290 | -0.659 | 
| 19.426 | -7.224 | 9.558 | 112.689 | -42.998 | -13.074 | 
| 37.742 | -12.027 | 7.991 | 71.087 | 80.788 | -10.337 | 
| 18.069 | 14.920 | 13.558 | 44.629 | -28.908 | 75.308 | 
| 295.926 | 132.309 | 126.557 | -73.110 | 28.605 | 6.008 | 
| 98.354 | 338.806 | 129.651 | -82.224 | 9.132 | 7.193 | 
| 90.551 | 93.890 | 247.265 | -58.268 | 33.112 | 15.151 | 
| -1.966 | -14.940 | -0.460 | 141.578 | 2.882 | -8.218 | 
| -18.279 | -0.320 | -1.786 | -67.744 | 110.219 | 4.104 | 
| 8.552 | -19.206 | 17.397 | -57.711 | 14.597 | 81.303 | 
| 187.271 | 47.129 | 50.767 | -2.874 | 12.032 | 1.130 | 
| 69.353 | 222.570 | 71.844 | -8.638 | -1.119 | 6.271 | 
| 96.365 | 93.784 | 236.012 | -9.479 | -0.627 | 3.585 | 
| -1.966 | -14.940 | -0.460 | 141.578 | 2.882 | -8.218 | 
| 10.441 | -1.408 | 4.768 | 6.353 | 75.867 | -2.643 | 
| 1.805 | -1.474 | 8.154 | 1.637 | -2.644 | 97.243 | 
| 209.599 | 64.551 | 64.090 | -10.213 | 17.999 | 3.021 | 
| 43.079 | 192.334 | 46.253 | -21.399 | 4.162 | 9.019 | 
| 50.755 | 49.549 | 185.190 | -22.697 | 6.787 | 8.618 | 
| -6.710 | -15.218 | -9.722 | 78.912 | 4.317 | -3.143 | 
| 6.898 | -3.676 | 3.436 | -3.125 | 79.547 | -0.606 | 
| -0.465 | 0.027 | 5.364 | -7.369 | 3.487 | 85.997 | 
| -406.452 | -541.362 | -271.426 | 238.863 | 260.160 | 302.649 | 
| -689.078 | -1328.354 | -924.866 | 673.456 | 240.829 | 354.883 | 
| 119.161 | 114.727 | 362.199 | -9.086 | -2.001 | 2.246 | 
| -1.525 | -5.815 | -9.086 | 122.181 | 2.034 | -3.974 | 
| -554.997 | -619.944 | -332.339 | 245.495 | 296.826 | 296.622 | 
| -559.767 | -623.565 | -335.439 | 240.614 | 248.065 | 349.606 | 
| 791.442 | 1448.698 | 941.716 | -690.949 | -231.461 | -340.660 | 
| 271.181 | 643.445 | 74.568 | -695.747 | 23.587 | -595.639 | 
| 268.323 | 456.240 | 239.794 | -698.971 | 30.461 | -587.628 | 
| 157.398 | 339.858 | -42.547 | -603.517 | 27.883 | -592.318 | 
| 569.038 | 623.071 | 346.312 | -241.896 | -202.069 | -301.220 | 
| -3.130 | -2.565 | 2.205 | -3.936 | 0.829 | 116.986 | 
| 354.114 | 108.670 | 119.138 | -1.573 | 8.710 | 2.083 | 
| 108.987 | 378.317 | 114.553 | -3.468 | -3.614 | -2.571 | 
| 91.169 | 74.649 | 277.072 | 63.028 | 0.286 | 62.963 | 
| -126.331 | -268.069 | -111.064 | 128.661 | -0.749 | 96.173 | 
| -74.049 | -133.134 | -89.235 | 66.760 | 70.098 | 32.730 | 
| -3.130 | -2.565 | 2.205 | -3.936 | 0.829 | 116.986 | 
| 354.114 | 108.670 | 119.137 | -1.573 | 8.710 | 2.083 | 
| 83.452 | 250.206 | 106.660 | -81.354 | -12.612 | -28.332 | 
| 123.756 | 144.448 | 271.989 | -76.200 | 5.699 | -55.893 | 
| 12.866 | 28.163 | -10.865 | 19.958 | 3.198 | -60.817 | 
| 23.947 | 31.062 | -0.518 | -69.372 | 90.704 | -60.520 | 
| 126.493 | 342.737 | 52.391 | -90.879 | 53.167 | -56.083 | 
| 131.576 | 10.842 | 18.856 | 0.649 | 13.840 | 12.739 | 
| 81.642 | 209.192 | 71.591 | -6.974 | 2.839 | 0.343 | 
| 13.161 | 11.266 | 132.053 | -12.700 | 4.374 | 9.011 | 
| -14.251 | -29.286 | -23.635 | 59.647 | 1.979 | 1.491 | 
| 2.011 | -4.333 | 2.768 | 3.895 | 66.767 | 0.425 | 
| -3.130 | -2.565 | 2.205 | -3.936 | 0.829 | 116.986 | 
| 200.751 | 90.382 | 81.118 | -5.076 | 7.888 | 1.831 | 
| 32.654 | 159.296 | 32.979 | -22.355 | 1.035 | -1.391 | 
| 28.709 | 41.762 | 139.144 | -24.786 | 9.147 | -7.289 | 
| -1.196 | -2.407 | -7.897 | 83.959 | 0.904 | -8.780 | 
| 20.337 | 13.203 | 11.490 | -4.860 | 51.416 | -7.948 | 
| 19.616 | 23.092 | 10.742 | -7.551 | -2.964 | 48.521 | 
| 434.280 | -7.201 | -302.928 | -171.247 | 556.823 | -420.812 | 
| 250.547 | 165.399 | -289.258 | -179.437 | 567.568 | -409.020 | 
| 97.562 | 37.878 | -543.338 | -71.100 | 518.045 | -118.415 | 
| 110.678 | -305.058 | -967.184 | -54.369 | 635.107 | -391.767 | 
| 2.771 | 4.141 | 8.050 | 6.146 | 129.548 | -1.328 | 
| -2.612 | 0.565 | 5.419 | 4.039 | -3.704 | 137.373 | 
| 184.722 | 253.232 | 523.742 | 157.256 | -568.080 | 399.116 | 
| -87.835 | 407.507 | 973.692 | 81.104 | -633.353 | 399.779 | 
| -10.586 | 254.447 | 702.424 | 159.903 | -557.748 | 412.661 | 
| -130.360 | 118.912 | 409.472 | 269.843 | -557.282 | 411.075 | 
| -10.802 | 62.106 | 769.356 | 75.615 | -441.001 | 116.794 | 
| -130.084 | 131.098 | 417.513 | 166.422 | -567.998 | 513.367 | 
| 225.738 | 89.863 | 7.840 | -9.286 | 46.058 | -18.731 | 
| 138.275 | 282.068 | 82.200 | -31.774 | 61.999 | -40.517 | 
| 90.446 | 91.537 | 145.529 | -7.007 | 53.416 | -9.341 | 
| -1.900 | -14.739 | -10.967 | 141.153 | 6.146 | 3.067 | 
| 82.373 | -147.009 | -138.939 | -10.373 | -40.098 | -55.958 | 
| 7.320 | -12.162 | -37.202 | -14.248 | 50.840 | 62.950 | 
| 223.981 | 101.343 | 163.994 | 4.290 | -57.379 | 3.544 | 
| 133.835 | 355.041 | 134.727 | -19.301 | 5.113 | 0.585 | 
| 123.905 | 135.190 | 361.625 | -10.967 | 8.050 | 5.392 | 
| -1.878 | -4.206 | 76.702 | 86.430 | -47.082 | 15.125 | 
| 2.771 | 4.141 | 8.050 | 6.146 | 129.548 | -1.328 | 
| -2.612 | 0.565 | 5.419 | 4.039 | -3.704 | 137.373 | 
| 201.121 | 84.760 | 67.568 | -0.315 | -0.190 | -6.007 | 
| 42.132 | 147.293 | 22.748 | -15.170 | 5.071 | 5.824 | 
| 78.685 | 86.017 | 195.754 | 0.587 | 5.866 | 3.743 | 
| -0.690 | -10.405 | -7.686 | 76.563 | 8.939 | 3.366 | 
| -2.761 | 1.509 | -5.711 | 3.794 | 79.473 | -4.615 | 
| -3.770 | -0.677 | -0.820 | 0.163 | 1.214 | 97.932 | 
| 104.341 | 39.999 | 32.880 | -3.692 | -13.141 | 2.930 | 
| 87.161 | 223.543 | 93.309 | -12.912 | -2.052 | 1.290 | 
| 30.415 | 37.851 | 132.853 | 3.148 | -8.797 | 7.003 | 
| -4.758 | -9.011 | 10.132 | 48.358 | -2.173 | 3.457 | 
| -4.461 | 5.936 | 7.972 | 7.237 | 87.860 | 1.713 | 
| -7.133 | 2.285 | 8.072 | 3.386 | -11.682 | 99.358 | 
| 407.228 | 725.382 | 222.080 | -39.846 | 76.512 | -275.139 | 
| 261.266 | 462.461 | 386.320 | 390.045 | -43.545 | -79.516 | 
| 258.916 | 322.623 | 507.471 | 394.460 | -37.072 | -81.646 | 
| 481.286 | 644.315 | 925.128 | 336.743 | -57.242 | -124.364 | 
| 152.926 | 217.768 | 287.900 | 395.591 | 34.807 | -78.373 | 
| 169.550 | 227.599 | 289.084 | 391.703 | -36.963 | -12.511 | 
| 64.035 | -124.248 | -190.602 | -389.117 | 24.567 | 87.081 | 
| -62.453 | 12.757 | -190.905 | -400.727 | 29.345 | 84.246 | 
| -64.572 | -126.933 | -69.107 | -395.852 | 35.764 | 82.027 | 
| 2.777 | 0.638 | 4.482 | 117.330 | 2.242 | -2.451 | 
| -7.384 | -2.278 | -3.321 | 2.242 | 125.694 | 2.934 | 
| -308.526 | -704.074 | -215.011 | 34.726 | -90.474 | 325.603 | 
| 239.065 | 122.509 | 126.004 | 45.596 | -15.474 | -2.875 | 
| 115.506 | 260.752 | 126.292 | 33.710 | -10.667 | -5.715 | 
| 117.910 | 108.874 | 324.807 | 4.482 | -3.321 | 1.547 | 
| 21.431 | 21.449 | 28.082 | 111.448 | -3.402 | -12.231 | 
| 7.234 | 15.336 | 28.097 | 39.708 | 67.879 | -4.674 | 
| 23.748 | 25.008 | 29.121 | 35.571 | -4.152 | 61.443 | 
| 13.721 | -145.047 | -94.138 | -55.262 | -25.165 | 32.418 | 
| -46.585 | 14.547 | -87.894 | -33.376 | -0.853 | 26.913 | 
| -41.531 | -61.838 | -15.501 | -33.736 | 4.124 | 27.705 | 
| 18.632 | -36.930 | -28.055 | 25.285 | 16.832 | 28.823 | 
| -7.384 | -2.278 | -3.321 | 2.242 | 125.694 | 2.934 | 
| -18.334 | -53.363 | -18.783 | -4.679 | -7.507 | 67.057 | 
| 165.780 | 51.688 | 50.034 | 3.619 | -14.274 | 5.500 | 
| 72.672 | 201.961 | 70.234 | -0.738 | -2.650 | 0.550 | 
| 39.466 | 39.327 | 129.699 | -0.467 | -2.172 | 7.983 | 
| 6.041 | 0.717 | 1.874 | 80.424 | 0.247 | -4.402 | 
| -11.037 | 2.427 | -0.446 | 2.960 | 53.047 | 1.600 | 
| 10.850 | 15.916 | 5.168 | -5.767 | 1.838 | 58.730 | 
| 153.773 | 35.023 | 39.572 | 2.627 | -15.596 | 9.480 | 
| 72.522 | 194.386 | 64.506 | -7.388 | -1.377 | 4.512 | 
| 29.868 | 25.245 | 115.574 | -6.139 | -1.275 | 11.112 | 
| 2.591 | -2.867 | -1.788 | 63.538 | 4.472 | -2.441 | 
| -14.449 | -6.583 | -4.407 | 2.004 | 54.677 | 7.159 | 
| 6.239 | 1.144 | -1.450 | -6.467 | -1.146 | 83.589 | 
| 829.987 | -41.929 | 463.442 | -394.595 | 91.758 | -179.908 | 
| 666.404 | 125.577 | 458.191 | -374.698 | 94.395 | -199.349 | 
| 665.248 | -47.823 | 625.441 | -399.875 | 90.998 | -190.701 | 
| 599.369 | -191.329 | 277.719 | -273.998 | -171.888 | -21.947 | 
| 595.659 | -182.596 | 293.256 | -367.473 | -83.873 | -28.319 | 
| 748.502 | -443.109 | 185.520 | -260.497 | -439.745 | 94.310 | 
| 274.512 | 716.609 | -668.028 | 691.104 | 224.541 | -39.033 | 
| -396.652 | 477.434 | -201.648 | 405.253 | -88.428 | 183.586 | 
| -505.512 | 285.101 | -46.938 | 352.799 | 171.394 | 22.046 | 
| -535.745 | 182.142 | -339.103 | 481.246 | -91.039 | 192.366 | 
| -600.258 | 198.245 | -285.154 | 359.141 | 248.967 | 23.937 | 
| -530.333 | 167.915 | -329.173 | 391.238 | -83.260 | 291.255 | 
| 351.476 | 116.164 | 166.788 | -43.991 | 9.592 | -7.824 | 
| 156.036 | 394.861 | 143.798 | 16.665 | 1.767 | -14.210 | 
| -298.525 | -501.658 | -301.989 | 9.029 | 39.491 | -35.814 | 
| 47.747 | -11.012 | 23.013 | 53.455 | 9.292 | -17.816 | 
| 58.282 | -11.644 | 33.490 | -41.099 | 66.500 | -5.376 | 
| -55.150 | -103.183 | 34.875 | -52.436 | -19.263 | 3.632 | 
| 245.243 | 151.518 | 100.625 | 34.250 | -8.759 | 30.623 | 
| 81.066 | 318.319 | 94.848 | 54.590 | -6.222 | 11.489 | 
| 32.203 | 112.912 | 212.137 | 25.556 | 21.772 | -1.743 | 
| -58.410 | 24.145 | -42.772 | 130.753 | -8.931 | 20.415 | 
| -55.943 | 19.758 | -32.901 | 38.606 | 77.162 | 18.972 | 
| 7.336 | -14.089 | -2.057 | 0.465 | 13.284 | 159.422 | 
| 184.505 | 43.547 | 48.850 | -2.115 | 7.558 | 3.784 | 
| 83.840 | 226.176 | 89.719 | 1.696 | 6.557 | -9.972 | 
| 71.281 | 57.788 | 196.031 | -7.288 | 2.335 | -2.383 | 
| 0.251 | 4.597 | -7.118 | 91.914 | 0.915 | -0.651 | 
| 8.052 | 7.318 | 7.960 | -6.229 | 66.859 | 0.092 | 
| 7.679 | -10.887 | 0.196 | -0.575 | 4.586 | 91.542 | 
| 207.132 | 63.503 | 64.508 | -0.557 | 7.764 | 10.205 | 
| 52.457 | 181.004 | 50.738 | 10.288 | 11.076 | -12.556 | 
| 39.226 | 65.909 | 114.442 | -2.458 | 9.419 | -4.421 | 
| -9.861 | 7.979 | -13.193 | 98.216 | -0.759 | 2.974 | 
| -8.920 | 3.937 | -3.095 | 3.520 | 89.788 | 1.857 | 
| -4.549 | -6.210 | -2.953 | 5.549 | 7.247 | 103.108 | 
| -619.226 | -622.644 | -661.705 | 390.784 | 89.563 | 150.286 | 
| 131.380 | 354.363 | 123.702 | 13.255 | -0.280 | -14.201 | 
| -721.647 | -602.189 | -573.436 | 377.163 | 89.819 | 141.342 | 
| -177.406 | -357.486 | -151.520 | 294.187 | 90.215 | 205.460 | 
| -770.569 | -639.332 | -706.531 | 376.767 | 138.492 | 144.465 | 
| -1143.673 | -1150.968 | -785.619 | 246.886 | 19.162 | 302.506 | 
| 924.484 | 681.951 | 757.288 | -379.108 | -83.095 | -138.154 | 
| 278.447 | 615.077 | 249.890 | -204.645 | -87.464 | -208.272 | 
| 118.018 | 124.853 | 362.581 | -13.711 | -0.623 | -2.667 | 
| 0.681 | 2.078 | -13.711 | 133.093 | -2.884 | -0.828 | 
| 170.672 | 364.711 | 140.975 | -215.736 | -19.066 | -202.189 | 
| 171.478 | 356.622 | 144.416 | -213.356 | -83.008 | -120.862 | 
| 24.011 | -110.436 | -32.433 | 48.259 | -3.312 | 19.138 | 
| -79.377 | 55.321 | 25.462 | 34.812 | 9.604 | -17.211 | 
| -22.045 | -10.453 | 76.388 | 29.759 | 11.759 | 11.410 | 
| -69.929 | -71.475 | -75.833 | 97.650 | 0.635 | 17.961 | 
| -124.831 | -121.928 | -42.014 | 38.042 | 55.789 | 27.759 | 
| -75.107 | -71.872 | -72.900 | 40.387 | 13.164 | 73.059 | 
| 372.317 | 130.151 | 117.783 | 0.552 | -5.847 | 19.497 | 
| 131.380 | 354.363 | 123.702 | 13.255 | -0.280 | -14.201 | 
| 118.018 | 124.853 | 362.581 | -13.711 | -0.624 | -2.667 | 
| 11.075 | 41.607 | 7.110 | 56.560 | -7.916 | -17.104 | 
| -8.559 | -0.038 | -0.624 | -2.884 | 126.559 | 0.655 | 
| 76.773 | 57.226 | 66.947 | -35.596 | -4.023 | 44.049 | 
| 159.401 | 29.884 | 34.088 | 5.017 | 3.532 | 2.960 | 
| 53.214 | 191.270 | 63.934 | 5.386 | 9.694 | -7.595 | 
| 31.711 | 37.620 | 135.516 | 3.054 | 4.004 | -4.659 | 
| 0.681 | 2.078 | -13.711 | 133.093 | -2.884 | -0.828 | 
| -7.277 | -2.054 | -1.772 | 2.127 | 55.554 | 5.385 | 
| -6.857 | -20.547 | -7.969 | 4.725 | 6.099 | 70.899 | 
| 217.823 | 71.245 | 79.954 | -0.800 | 0.435 | 7.275 | 
| 64.683 | 206.442 | 74.369 | -0.514 | 8.379 | -10.589 | 
| 38.010 | 50.620 | 116.214 | 0.311 | 0.677 | -2.339 | 
| -3.264 | 7.939 | -7.236 | 86.605 | -0.522 | 0.584 | 
| 12.416 | 16.731 | 9.127 | -4.700 | 59.767 | -0.999 | 
| 6.830 | -3.214 | 2.754 | -0.735 | 5.350 | 76.552 | 
| -632.432 | 235.358 | -1298.781 | -0.000 | 1688.707 | 0.000 | 
| -302.561 | 436.327 | 197.939 | 0.000 | 817.815 | 0.000 | 
| 103.321 | 99.965 | 334.217 | -0.000 | -8.694 | 0.000 | 
| -797.394 | 182.301 | -1359.732 | 39.663 | 1661.949 | 5.693 | 
| -400.464 | 170.155 | 81.200 | -0.000 | 896.276 | 0.000 | 
| 2197.127 | -1106.706 | -4610.263 | -8.197 | 4156.124 | -11.512 | 
| 962.192 | -129.340 | 1419.871 | -0.000 | -1634.804 | 0.000 | 
| 95.455 | 337.722 | 100.587 | 0.000 | -12.701 | 0.000 | 
| 853.866 | -108.130 | 1535.619 | 0.000 | -1656.968 | -0.000 | 
| 797.394 | -182.301 | 1359.732 | 39.663 | -1661.949 | 5.693 | 
| 21.905 | -13.023 | -8.694 | -0.000 | 106.052 | -0.000 | 
| -2197.127 | 1106.706 | 4610.263 | -8.197 | -4156.124 | -11.512 | 
| 342.946 | 92.718 | 101.941 | 0.000 | 40.565 | 0.000 | 
| 66.188 | 276.814 | 117.214 | -0.000 | 76.194 | 0.000 | 
| 103.321 | 99.965 | 334.217 | -0.000 | -8.694 | 0.000 | 
| 0.000 | 0.000 | 0.000 | 103.299 | -0.000 | -13.240 | 
| -31.785 | 10.911 | 0.451 | -0.000 | 154.550 | 0.000 | 
| -40.665 | 17.565 | 8.906 | -13.888 | 81.795 | 62.958 | 
| 246.988 | 36.565 | 192.113 | -0.000 | -135.823 | -0.000 | 
| 133.518 | 171.522 | 197.605 | -0.000 | -156.571 | -0.000 | 
| 147.199 | 90.279 | 264.307 | 0.000 | -87.577 | -0.000 | 
| -0.000 | -0.000 | -0.000 | 103.299 | 0.000 | -13.240 | 
| 50.089 | -24.460 | -17.453 | 0.000 | -9.532 | -0.000 | 
| 40.665 | -17.565 | -8.906 | -13.888 | -81.795 | 62.958 | 
| 204.465 | 79.154 | 74.708 | -0.000 | 37.478 | -0.000 | 
| 51.443 | 178.052 | 34.523 | 0.000 | 19.669 | 0.000 | 
| 39.665 | 57.843 | 176.375 | 0.000 | 19.293 | 0.000 | 
| -9.450 | -3.046 | -26.978 | 48.341 | 16.383 | -9.356 | 
| 12.879 | -15.242 | -35.436 | 0.000 | 68.423 | 0.000 | 
| 0.000 | 0.000 | 0.000 | -12.919 | 0.000 | 98.693 | 
| 177.218 | 65.065 | 70.247 | 0.000 | 23.968 | -0.000 | 
| 110.464 | 262.067 | 106.908 | 0.000 | -14.653 | -0.000 | 
| 103.320 | 99.965 | 334.215 | -0.000 | -8.694 | -0.000 | 
| 9.450 | 3.046 | 26.978 | 48.341 | -16.383 | -9.356 | 
| 14.132 | -8.986 | -9.381 | -0.000 | 67.284 | 0.000 | 
| -0.000 | -0.000 | -0.000 | -12.919 | -0.000 | 98.693 | 
| 9471.795 | 9436.643 | -21157.104 | -0.000 | -0.000 | -0.000 | 
| 7884.834 | 7922.778 | -22079.195 | -0.000 | 0.000 | -0.001 | 
| 85.831 | 85.831 | 305.470 | 0.000 | -0.000 | -0.000 | 
| 9008.547 | 9008.547 | -17665.649 | 9.103 | 0.001 | -0.000 | 
| 8972.909 | 8972.909 | -17674.275 | -0.001 | 9.172 | 0.000 | 
| 8972.229 | 8972.230 | -17683.581 | -0.000 | -0.000 | 14.567 | 
| -20846.210 | -20945.254 | 1472.853 | 0.000 | 0.000 | 0.000 | 
| -9322.017 | -9286.755 | 21191.881 | 0.000 | 0.000 | 0.000 | 
| -9812.281 | -9812.281 | 2130.264 | 0.000 | 0.000 | -0.000 | 
| -9008.547 | -9008.547 | 17665.649 | 9.103 | 0.001 | -0.000 | 
| -8972.909 | -8972.909 | 17674.275 | -0.001 | 9.172 | 0.000 | 
| -8925.335 | -8925.333 | 17695.071 | -0.000 | 0.000 | 14.578 | 
| 228.274 | 152.451 | -3253.718 | -0.000 | -0.000 | -0.000 | 
| 576.385 | 627.456 | -2276.990 | 0.000 | -0.000 | 0.002 | 
| 2010.129 | 2010.129 | 757.691 | -0.000 | -0.000 | -0.000 | 
| 782.648 | 782.648 | -2210.097 | 4.845 | 0.001 | 0.000 | 
| 87.737 | 87.737 | -3417.504 | 0.000 | 29.515 | -0.000 | 
| 936.179 | 936.178 | -2118.108 | -0.000 | -0.000 | 17.609 | 
| -801.585 | -830.279 | 1786.632 | 0.000 | 0.000 | 0.001 | 
| -1889.238 | -1827.920 | -537.811 | 0.000 | 0.000 | -0.000 | 
| -912.435 | -912.435 | 2256.712 | 0.000 | 0.000 | -0.000 | 
| -782.648 | -782.648 | 2210.097 | 4.845 | 0.001 | -0.000 | 
| -783.518 | -783.518 | 2210.218 | -0.001 | 4.812 | 0.000 | 
| -2396.245 | -2396.245 | -606.008 | 0.000 | 0.000 | 56.347 | 
| 229.658 | 213.412 | -144.513 | -0.000 | -0.000 | -0.000 | 
| 157.490 | 188.083 | -161.896 | -0.000 | -0.000 | -0.001 | 
| 85.832 | 85.832 | 305.471 | 0.000 | -0.000 | 0.000 | 
| 80.193 | 80.193 | -221.155 | 6.547 | 0.001 | 0.000 | 
| 91.403 | 91.403 | -176.970 | -0.001 | 9.458 | -0.000 | 
| 92.123 | 92.122 | -209.008 | -0.000 | -0.000 | 17.598 | 
| 78.483 | -15.779 | 116.064 | 0.000 | 0.000 | -0.000 | 
| -187.545 | -73.872 | -4.900 | 0.000 | 0.000 | 0.000 | 
| -147.851 | -147.851 | 202.209 | 0.000 | 0.000 | -0.000 | 
| -93.836 | -93.836 | 210.492 | 14.904 | -0.000 | 0.000 | 
| -91.403 | -91.403 | 176.970 | -0.001 | 9.458 | 0.000 | 
| -55.825 | -55.825 | 223.877 | 0.000 | 0.000 | 23.677 | 
| -2731.941 | -2815.565 | -4232.355 | -0.000 | 0.000 | 0.001 | 
| -676.285 | -553.405 | -629.533 | -0.000 | 0.000 | 0.000 | 
| -669.492 | -669.492 | -479.205 | -0.000 | 0.000 | 0.000 | 
| -3798.515 | -3798.515 | -6269.628 | 42.996 | 0.000 | 0.000 | 
| -755.839 | -755.839 | -714.830 | -0.000 | 61.449 | 0.000 | 
| -2835.147 | -2835.146 | -4284.050 | 0.000 | -0.000 | 41.826 | 
| 2939.277 | 2855.613 | 4337.203 | -0.000 | 0.000 | 0.000 | 
| 3819.139 | 3912.316 | 6303.000 | -0.000 | -0.000 | 0.001 | 
| 79.674 | 79.674 | 289.724 | -0.000 | -0.000 | -0.000 | 
| 3798.396 | 3798.396 | 6269.382 | 42.995 | 0.000 | 0.000 | 
| 755.839 | 755.839 | 714.830 | -0.000 | 61.449 | 0.000 | 
| 2835.480 | 2835.481 | 4284.623 | -0.000 | -0.000 | 41.823 | 
| -179.735 | -263.283 | -375.458 | -0.000 | -0.000 | 0.001 | 
| -552.887 | -447.549 | -983.132 | -0.000 | 0.000 | -0.002 | 
| -345.813 | -345.813 | -432.424 | -0.000 | 0.000 | 0.000 | 
| -379.811 | -379.811 | -626.861 | 42.980 | 0.000 | -0.000 | 
| -283.404 | -283.404 | -428.230 | 0.000 | 33.383 | 0.000 | 
| -283.463 | -283.462 | -428.325 | 0.000 | -0.000 | 41.834 | 
| 264.072 | 84.193 | 79.672 | -0.000 | 0.000 | 0.000 | 
| 303.544 | 387.520 | 480.442 | 0.000 | 0.000 | -0.001 | 
| 335.627 | 335.627 | 593.003 | -0.000 | -0.000 | 0.000 | 
| 379.811 | 379.811 | 626.861 | 42.980 | 0.000 | 0.000 | 
| 283.404 | 283.404 | 428.230 | 0.000 | 33.383 | 0.000 | 
| 283.222 | 283.223 | 428.097 | 0.000 | -0.000 | 41.925 | 
| 79.584 | -13.678 | -22.171 | -0.000 | 0.000 | -0.001 | 
| -16.392 | 35.026 | -105.789 | 0.000 | 0.000 | -0.000 | 
| -3.483 | -3.483 | 128.486 | -0.000 | -0.000 | -0.000 | 
| -27.060 | -27.060 | -40.757 | 35.402 | -0.000 | 0.000 | 
| -91.481 | -91.481 | -170.154 | 0.000 | 11.152 | 0.000 | 
| -81.614 | -81.614 | -151.691 | -0.000 | -0.000 | 28.680 | 
| 159.291 | 62.026 | 98.282 | 0.000 | 0.000 | -0.001 | 
| 87.284 | 209.690 | 92.691 | -0.000 | -0.000 | 0.000 | 
| 77.164 | 77.164 | 253.250 | 0.000 | -0.000 | -0.000 | 
| 27.060 | 27.060 | 40.757 | 35.402 | -0.000 | -0.000 | 
| 91.481 | 91.481 | 170.154 | 0.000 | 11.152 | -0.000 | 
| 83.908 | 83.909 | 148.460 | -0.000 | -0.000 | 27.225 | 
| -6807.421 | -6970.072 | 9399.315 | -0.217 | -0.147 | 3.765 | 
| 3043.669 | 3219.774 | -418.616 | -0.213 | -0.329 | 3.960 | 
| -7062.000 | -7056.180 | 9425.324 | -0.453 | 0.117 | 6.633 | 
| 2918.265 | 2948.706 | -502.994 | 57.001 | -0.327 | 3.942 | 
| -5315.845 | -5292.808 | 6585.583 | -0.512 | 17.527 | 7.468 | 
| 2918.272 | 2948.713 | -502.995 | -0.212 | -0.327 | 76.876 | 
| -2660.942 | -2837.243 | 589.747 | 0.212 | 0.327 | -3.943 | 
| -7008.334 | -6981.387 | -5688.741 | 0.251 | 0.499 | -4.968 | 
| -2840.548 | -2871.094 | 778.656 | 0.212 | 0.328 | -3.956 | 
| -2918.266 | -2948.706 | 502.994 | 57.424 | 0.327 | -3.942 | 
| 5315.844 | 5292.809 | -6585.580 | 0.512 | 17.546 | -7.468 | 
| -2918.260 | -2948.700 | 502.993 | 0.212 | 0.327 | 68.992 | 
| -350.520 | -425.089 | 772.291 | -0.019 | 0.026 | 0.220 | 
| 790.310 | 860.408 | 666.714 | -0.026 | -0.051 | 0.507 | 
| 370.202 | 373.150 | 227.130 | -0.020 | -0.032 | 0.382 | 
| 291.740 | 294.784 | -50.285 | 57.200 | -0.033 | 0.394 | 
| -530.701 | -528.524 | 658.428 | -0.050 | 17.997 | 0.729 | 
| -681.185 | -678.489 | 932.605 | 0.006 | -0.048 | 35.304 | 
| -546.564 | -625.350 | -485.385 | 0.025 | 0.049 | -0.487 | 
| -620.960 | -550.602 | -485.336 | 0.025 | 0.049 | -0.487 | 
| -214.601 | -217.757 | 324.257 | 0.022 | 0.034 | -0.409 | 
| -291.741 | -294.784 | 50.285 | 57.242 | 0.033 | -0.394 | 
| 530.700 | 528.525 | -658.424 | 0.050 | 18.002 | -0.729 | 
| 894.712 | 892.768 | -559.792 | 0.013 | 0.032 | 8.080 | 
| 217.555 | 126.126 | 117.771 | -0.002 | -0.004 | 0.040 | 
| 108.548 | 328.956 | 81.338 | -0.000 | -0.000 | -0.000 | 
| 0.351 | 0.812 | 194.540 | 0.004 | -0.009 | -0.032 | 
| -0.285 | -0.121 | 54.405 | 38.332 | -0.003 | 0.005 | 
| 62.791 | 63.178 | 50.579 | -0.002 | 38.192 | 0.044 | 
| 79.197 | 79.181 | 55.308 | -0.000 | 0.000 | 60.209 | 
| 224.075 | 81.244 | 92.172 | 0.002 | 0.003 | -0.041 | 
| -2.633 | 130.440 | 9.909 | 0.001 | 0.001 | -0.009 | 
| 46.885 | 46.432 | 254.816 | 0.003 | 0.005 | -0.059 | 
| 0.287 | 0.123 | -54.405 | 38.338 | 0.003 | -0.005 | 
| -62.794 | -63.180 | -50.579 | 0.002 | 38.199 | -0.044 | 
| -79.204 | -79.189 | -55.301 | 0.000 | -0.000 | 60.147 | 
| 923.812 | 761.383 | -1665.299 | -0.002 | -0.000 | -0.004 | 
| 761.589 | 923.605 | -1665.299 | -0.002 | -0.000 | -0.004 | 
| 739.392 | 739.185 | -1472.190 | -0.002 | -0.000 | -0.004 | 
| 0.000 | 0.000 | -0.000 | 80.631 | 0.000 | -0.000 | 
| 658.865 | 658.659 | -1741.244 | -0.002 | 61.498 | -0.004 | 
| 658.868 | 658.662 | -1741.251 | -0.002 | -0.000 | 81.139 | 
| -393.846 | -555.985 | 1817.299 | 0.002 | 0.000 | 0.004 | 
| -556.191 | -393.640 | 1817.299 | 0.002 | 0.000 | 0.004 | 
| 75.351 | 75.351 | 314.818 | 0.000 | -0.000 | -0.000 | 
| -0.000 | 0.000 | 0.000 | 80.631 | -0.000 | 0.000 | 
| -658.865 | -658.659 | 1741.244 | 0.002 | 61.498 | 0.004 | 
| -658.868 | -658.662 | 1741.251 | 0.002 | 0.000 | 81.146 | 
| 330.363 | 168.863 | -98.788 | -0.000 | -0.000 | -0.000 | 
| 100.108 | 310.636 | 75.356 | 0.000 | 0.000 | -0.000 | 
| 144.269 | 144.248 | 100.620 | -0.000 | -0.000 | -0.000 | 
| 65.928 | 65.908 | -174.234 | 61.486 | -0.000 | -0.000 | 
| 0.000 | 0.000 | 0.000 | -0.000 | 80.631 | -0.000 | 
| -19.200 | -19.211 | -210.237 | -0.000 | -0.000 | 58.941 | 
| 310.635 | 100.108 | 75.356 | 0.000 | -0.000 | 0.000 | 
| 101.715 | 216.688 | 278.112 | 0.000 | 0.000 | -0.001 | 
| 12.026 | 12.047 | 450.053 | 0.000 | 0.000 | 0.000 | 
| -65.928 | -65.908 | 174.234 | 61.486 | 0.000 | 0.000 | 
| -0.000 | -0.000 | -0.000 | 0.000 | 80.631 | -0.000 | 
| 19.200 | 19.211 | 210.237 | 0.000 | 0.000 | 58.940 | 
| 310.637 | 100.109 | 75.356 | -0.000 | 0.000 | 0.000 | 
| 100.109 | 310.637 | 75.356 | -0.000 | -0.000 | 0.000 | 
| 86.226 | 86.223 | 249.220 | -0.000 | -0.000 | -0.000 | 
| 0.000 | 0.000 | 0.000 | 80.631 | 0.000 | -0.000 | 
| 6.904 | 6.902 | -18.245 | -0.000 | 60.583 | -0.000 | 
| -1.391 | -1.392 | -19.694 | -0.000 | -0.000 | 62.581 | 
| 310.634 | 100.108 | 75.355 | -0.000 | 0.000 | 0.000 | 
| 100.108 | 310.634 | 75.355 | 0.000 | 0.000 | 0.000 | 
| 69.765 | 69.768 | 281.880 | 0.000 | 0.000 | 0.000 | 
| -0.000 | -0.000 | -0.000 | 80.631 | -0.000 | -0.000 | 
| -6.904 | -6.902 | 18.245 | 0.000 | 60.583 | 0.000 | 
| -7.075 | -7.073 | 18.697 | 0.000 | 0.000 | 79.363 | 
| -8923.704 | -1413.055 | -607.605 | -0.000 | 6350.468 | 0.000 | 
| 1645.870 | 2498.493 | 2068.339 | -0.000 | 1278.231 | 0.000 | 
| -1310.582 | 2951.905 | 341.888 | -0.000 | 275.277 | 0.000 | 
| 878.315 | 2819.473 | 943.703 | 49.621 | 1348.207 | 5.166 | 
| -1419.961 | 2888.426 | 68.744 | -0.000 | 366.247 | 0.000 | 
| -1424.462 | 2883.797 | 76.467 | 3.564 | 284.181 | 62.631 | 
| 1681.244 | -2796.561 | 29.083 | 0.000 | -248.721 | -0.000 | 
| 9412.742 | -696.452 | -606.640 | 0.000 | -5001.922 | -0.000 | 
| 8161.784 | -2048.229 | -1451.316 | 0.000 | -4373.967 | -0.000 | 
| -878.315 | -2819.473 | -943.703 | 49.621 | -1348.207 | 5.166 | 
| 8148.000 | -2108.463 | -1455.318 | 0.000 | -4389.876 | -0.000 | 
| 1424.462 | -2883.797 | -76.467 | 3.564 | -284.181 | 62.631 | 
| 114.682 | 376.114 | 113.221 | -0.000 | 64.093 | 0.000 | 
| 317.696 | 630.600 | 124.647 | -0.000 | 129.794 | 0.000 | 
| 167.370 | 339.530 | 294.045 | -0.000 | 137.278 | 0.000 | 
| 87.774 | 281.828 | 94.323 | 49.631 | 134.754 | 5.166 | 
| -137.965 | 293.071 | -0.075 | -0.000 | 110.581 | 0.000 | 
| -142.440 | 288.366 | 7.646 | 3.564 | 28.417 | 62.632 | 
| 398.813 | -201.564 | 97.880 | 0.000 | 6.827 | -0.000 | 
| 229.963 | -9.096 | 72.831 | 0.000 | -22.254 | -0.000 | 
| 250.824 | -209.057 | 257.570 | 0.000 | -36.223 | -0.000 | 
| -87.774 | -281.828 | -94.323 | 49.631 | -134.754 | 5.166 | 
| 495.353 | -204.184 | -151.805 | 0.000 | -356.255 | -0.000 | 
| 142.440 | -288.366 | -7.646 | 3.564 | -28.417 | 62.632 | 
| 240.953 | 119.586 | 106.411 | -0.000 | 38.690 | 0.000 | 
| 71.268 | 301.278 | 83.225 | -0.000 | 9.106 | 0.000 | 
| -54.072 | 53.896 | 95.897 | -0.000 | 87.433 | 0.000 | 
| 28.884 | 47.947 | 18.407 | 47.521 | 11.900 | 7.091 | 
| -95.857 | 27.324 | 49.702 | -0.000 | 79.860 | 0.000 | 
| -74.718 | 20.151 | 14.374 | -7.197 | 41.376 | 10.788 | 
| 304.079 | 92.465 | 106.661 | 0.000 | 49.912 | -0.000 | 
| 102.728 | 245.981 | 80.091 | 0.000 | 3.060 | -0.000 | 
| 74.266 | 31.884 | 197.626 | 0.000 | -11.183 | -0.000 | 
| -28.884 | -47.947 | -18.407 | 47.521 | -11.900 | 7.091 | 
| 40.831 | 7.918 | 13.466 | 0.000 | -19.260 | -0.000 | 
| 86.556 | 18.053 | 3.652 | -0.494 | -59.308 | 21.195 | 
| 1081.322 | -1231.622 | 3150.739 | 0.000 | 607.737 | 0.000 | 
| 862.261 | -988.257 | 1255.878 | 0.000 | 318.638 | 0.000 | 
| 1077.419 | -1196.132 | 2445.110 | -0.000 | 432.395 | -0.000 | 
| 780.447 | -1233.151 | 1177.357 | 45.706 | 314.706 | 2.099 | 
| 6.253 | 6.390 | -8.781 | 0.000 | 109.830 | 0.000 | 
| 1010.728 | -1240.834 | 2249.828 | 6.400 | 427.864 | 59.445 | 
| -556.085 | 1316.844 | -1076.902 | -0.000 | -286.745 | -0.000 | 
| -1104.072 | 1464.543 | -2532.181 | 0.000 | -256.023 | 0.000 | 
| -943.843 | 1285.660 | -2054.377 | 0.000 | -423.373 | 0.000 | 
| -780.447 | 1233.151 | -1177.357 | 45.706 | -314.706 | 2.099 | 
| 6.253 | 6.390 | -8.781 | -0.000 | 109.830 | 0.000 | 
| -1010.728 | 1240.834 | -2249.828 | 6.400 | -427.864 | 59.445 | 
| 301.672 | -39.362 | 217.910 | 0.000 | 59.208 | 0.000 | 
| 160.115 | 122.320 | 196.417 | 0.000 | 35.522 | 0.000 | 
| 179.641 | -42.084 | 348.270 | 0.000 | 24.140 | 0.000 | 
| 77.857 | -123.018 | 117.452 | 45.766 | 31.395 | 2.110 | 
| 80.805 | -118.797 | 110.553 | 0.000 | 98.419 | 0.000 | 
| 112.711 | -129.678 | 256.433 | 7.056 | 26.570 | 57.399 | 
| 52.829 | 385.598 | -305.586 | 0.000 | -50.150 | 0.000 | 
| 4.039 | 366.390 | -38.531 | -0.000 | -27.449 | -0.000 | 
| -51.146 | 155.453 | -134.962 | -0.000 | -54.398 | -0.000 | 
| -77.857 | 123.018 | -117.452 | 45.766 | -31.395 | 2.110 | 
| -119.534 | 134.161 | -252.396 | 0.000 | 35.092 | 0.000 | 
| -96.055 | 125.210 | -309.847 | -0.810 | -59.359 | 42.897 | 
| 173.752 | 39.244 | 92.634 | -0.000 | 22.900 | 0.000 | 
| 64.675 | 192.071 | 71.287 | -0.000 | 6.189 | -0.000 | 
| 81.960 | 37.966 | 222.147 | -0.000 | 6.387 | -0.000 | 
| 6.768 | -10.694 | 10.210 | 49.020 | 2.729 | 2.679 | 
| 2.463 | -7.905 | 33.800 | 0.000 | 60.778 | 0.000 | 
| 10.024 | -13.002 | 20.899 | 5.311 | 4.204 | 55.079 | 
| 214.630 | 97.307 | 87.394 | -0.000 | 24.178 | -0.000 | 
| 21.890 | 198.842 | 6.180 | 0.000 | 1.120 | -0.000 | 
| 30.075 | 45.387 | 149.381 | 0.000 | -0.827 | 0.000 | 
| -6.768 | 10.694 | -10.210 | 49.020 | -2.729 | 2.679 | 
| -11.902 | 14.478 | -18.172 | -0.000 | 57.925 | -0.000 | 
| -10.024 | 13.002 | -20.899 | 5.311 | -4.204 | 55.079 | 
| 994.944 | 669.455 | 1049.644 | -646.383 | -630.435 | -793.757 | 
| 97.388 | 290.156 | 117.231 | 27.667 | -1.822 | 22.250 | 
| 837.294 | 674.149 | 1182.107 | -636.737 | -657.007 | -801.784 | 
| 753.509 | 277.494 | 725.949 | -219.792 | -533.900 | -790.645 | 
| 574.315 | 647.895 | 607.751 | -517.664 | -370.766 | -677.680 | 
| 0.261 | 22.183 | -16.374 | -1.573 | 15.727 | 99.916 | 
| -527.191 | -528.462 | -905.409 | 632.293 | 665.194 | 799.689 | 
| -660.002 | -56.833 | -604.217 | 307.199 | 520.413 | 807.948 | 
| -542.363 | -147.135 | -742.933 | 275.122 | 620.151 | 663.417 | 
| -585.365 | -176.691 | -871.560 | 317.187 | 629.146 | 666.717 | 
| -765.444 | -602.509 | -986.771 | 635.890 | 715.922 | 793.231 | 
| -764.445 | -259.554 | -730.395 | 285.240 | 530.494 | 856.801 | 
| 312.150 | 136.042 | 174.532 | -43.453 | -30.697 | -78.365 | 
| 97.388 | 290.157 | 117.231 | 27.667 | -1.822 | 22.250 | 
| 102.245 | 113.123 | 286.897 | 16.815 | -9.086 | -13.768 | 
| 56.035 | 68.913 | 56.204 | -12.149 | -42.236 | -67.106 | 
| 77.121 | 26.775 | 63.865 | -38.457 | 14.461 | -90.169 | 
| 0.261 | 22.183 | -16.374 | -1.573 | 15.727 | 99.916 | 
| 161.470 | 80.812 | 32.006 | 13.807 | 73.775 | 78.805 | 
| 28.118 | 192.382 | 40.083 | 47.955 | 48.993 | 97.033 | 
| 30.273 | 82.041 | 146.122 | 38.394 | 44.986 | 67.012 | 
| -83.377 | -59.897 | -94.887 | 135.451 | 61.198 | 83.427 | 
| -67.045 | -24.168 | -99.941 | 24.138 | 106.300 | 64.730 | 
| -76.447 | -10.266 | -86.166 | 26.045 | 59.076 | 145.733 | 
| 204.889 | 54.689 | 62.122 | -10.306 | 5.575 | -5.548 | 
| 84.279 | 203.211 | 88.876 | 10.963 | -11.801 | -0.255 | 
| 44.705 | 43.539 | 118.797 | -10.419 | -16.891 | 0.396 | 
| 1.162 | 5.110 | 14.250 | 64.649 | -11.881 | -6.878 | 
| 2.929 | 2.003 | -9.086 | -13.879 | 105.666 | -12.869 | 
| 7.393 | 15.631 | 1.146 | -5.728 | 6.141 | 55.086 | 
| 216.771 | 72.180 | 67.973 | -1.637 | 23.729 | 11.463 | 
| 35.998 | 154.471 | 35.073 | 19.880 | -1.844 | 16.621 | 
| 48.256 | 45.119 | 148.037 | 3.261 | -5.069 | 1.844 | 
| -12.930 | -4.201 | 16.815 | 116.549 | -13.879 | 2.251 | 
| -11.684 | -8.335 | -18.011 | 1.153 | 70.065 | 3.610 | 
| -9.441 | 1.154 | -17.083 | 7.411 | 20.212 | 66.894 | 
| -1836.166 | -388.998 | -3832.187 | 3956.410 | 2229.797 | 3468.164 | 
| -70.192 | -275.572 | -1713.341 | 55.065 | 622.503 | 2165.659 | 
| 2.891 | 142.160 | -899.601 | 256.658 | 878.823 | 1211.253 | 
| -827.131 | -124.196 | -2105.369 | 896.625 | 1434.042 | 1717.054 | 
| 1.848 | 2.315 | -7.511 | -13.157 | 101.559 | -11.273 | 
| -95.096 | 54.037 | -1117.184 | 246.180 | 894.068 | 1287.982 | 
| 305.562 | 96.268 | 92.925 | -15.539 | 33.966 | 3.064 | 
| 91.386 | 275.775 | 111.510 | 25.772 | -1.236 | 19.058 | 
| 176.610 | 494.204 | 1928.652 | -44.579 | -637.448 | -2170.818 | 
| 87.021 | -38.758 | 1109.326 | -186.076 | -894.686 | -1222.954 | 
| 1.848 | 2.315 | -7.511 | -13.157 | 101.559 | -11.273 | 
| 117.545 | 442.187 | 1758.425 | -39.039 | -611.616 | -2113.649 | 
| 211.706 | 105.866 | -13.393 | 12.090 | 108.716 | 124.639 | 
| -53.917 | 123.676 | -318.628 | 170.635 | 120.384 | 230.787 | 
| -226.128 | 5.971 | -320.560 | 510.111 | 285.986 | 242.137 | 
| -11.434 | -4.525 | 15.943 | 112.251 | -13.157 | 2.468 | 
| -281.249 | -48.903 | -452.928 | 513.848 | 312.824 | 248.541 | 
| -13.420 | -45.829 | -184.408 | 6.618 | 80.206 | 268.375 | 
| 227.349 | 9.013 | 216.886 | -86.886 | -141.491 | -173.134 | 
| 60.853 | 209.109 | 229.722 | 8.960 | -70.139 | -218.362 | 
| 55.251 | -44.703 | 373.448 | -173.418 | -144.717 | -221.511 | 
| -0.280 | -3.121 | 116.802 | 38.633 | -96.558 | -120.872 | 
| 1.848 | 2.315 | -7.511 | -13.157 | 101.559 | -11.273 | 
| 220.761 | 18.059 | 341.557 | -496.307 | -243.103 | -201.650 | 
| 150.053 | 22.458 | -7.494 | 11.423 | 16.540 | 33.964 | 
| 29.213 | 149.185 | 19.616 | 17.596 | 3.716 | 21.442 | 
| 29.633 | 31.136 | 97.567 | 7.321 | -3.529 | 15.958 | 
| -10.870 | 0.351 | 0.114 | 72.311 | -2.397 | 10.318 | 
| -16.588 | -9.151 | -32.249 | 5.754 | 55.507 | 18.153 | 
| -2.327 | -4.850 | -21.334 | 2.650 | 21.213 | 64.606 | 
| 238.856 | 100.463 | 104.979 | -15.341 | 15.659 | -7.481 | 
| 38.228 | 147.088 | 49.597 | 6.053 | -17.701 | -7.790 | 
| 54.515 | 42.556 | 147.449 | -34.438 | -30.544 | -21.305 | 
| 8.187 | -2.113 | 24.379 | -4.727 | -14.536 | -30.014 | 
| -3.090 | -11.016 | 19.109 | -15.728 | 13.518 | -20.830 | 
| 21.509 | 11.396 | 37.166 | -31.848 | -6.080 | -2.126 | 
| 184.564 | 117.097 | -53.374 | 0.045 | -0.067 | -0.197 | 
| 58.187 | 243.159 | -53.687 | 0.045 | -0.067 | -0.197 | 
| 34.808 | 94.426 | 114.282 | 0.046 | -0.068 | -0.199 | 
| -54.889 | 4.005 | -142.774 | 50.953 | -0.067 | -0.197 | 
| -54.889 | 4.005 | -142.773 | 0.045 | 50.842 | -0.197 | 
| -54.887 | 4.005 | -142.768 | 0.045 | -0.067 | 62.854 | 
| 329.918 | 108.931 | 82.723 | 0.000 | -0.000 | -0.000 | 
| 108.931 | 329.918 | 82.723 | 0.000 | 0.000 | -0.000 | 
| 144.486 | 86.260 | 401.640 | -0.044 | 0.066 | 0.195 | 
| 54.889 | -4.005 | 142.773 | 50.863 | 0.067 | 0.197 | 
| 54.889 | -4.005 | 142.774 | -0.045 | 50.975 | 0.197 | 
| 54.887 | -4.005 | 142.769 | -0.045 | 0.067 | 63.248 | 
| 329.919 | 108.931 | 82.723 | -0.000 | -0.000 | 0.000 | 
| 81.212 | 208.529 | 18.342 | 0.002 | -0.005 | -0.017 | 
| 84.912 | 91.467 | 235.777 | 0.005 | -0.007 | -0.022 | 
| -5.312 | 0.388 | -13.817 | 52.065 | -0.006 | -0.019 | 
| 0.000 | 0.000 | 0.000 | -0.000 | 86.644 | 0.000 | 
| 0.000 | 0.000 | 0.000 | -0.000 | 0.000 | 110.494 | 
| 329.918 | 108.931 | 82.723 | 0.000 | -0.000 | -0.000 | 
| 118.376 | 240.873 | 102.974 | -0.004 | 0.007 | 0.019 | 
| 83.849 | 83.849 | 330.563 | -0.000 | -0.000 | -0.000 | 
| 5.312 | -0.388 | 13.816 | 52.058 | 0.006 | 0.019 | 
| -0.000 | -0.000 | -0.000 | 0.000 | 86.644 | -0.000 | 
| -0.000 | -0.000 | -0.000 | 0.000 | -0.000 | 110.494 | 
| 194.671 | 69.227 | 49.587 | 0.000 | -0.000 | 0.007 | 
| 68.975 | 195.038 | 49.480 | 0.000 | -0.000 | 0.007 | 
| 68.295 | 68.359 | 219.945 | 0.000 | -0.000 | -0.001 | 
| -0.388 | 0.028 | -1.010 | 61.363 | -0.000 | -0.001 | 
| -0.307 | -0.053 | -4.513 | 0.000 | 56.152 | -0.002 | 
| -0.406 | 0.030 | -1.056 | 0.000 | -0.000 | 75.396 | 
| 194.806 | 70.447 | 65.857 | -0.000 | 0.000 | -0.007 | 
| 113.159 | 248.688 | 89.768 | -0.000 | 0.001 | 0.002 | 
| 90.547 | 89.983 | 264.035 | -0.000 | 0.001 | 0.002 | 
| 0.388 | -0.028 | 1.010 | 61.363 | 0.000 | 0.001 | 
| 0.307 | 0.053 | 4.513 | -0.000 | 56.153 | 0.002 | 
| 0.406 | -0.030 | 1.056 | -0.000 | 0.000 | 75.399 | 
| 2155.890 | 2052.430 | -329.523 | -0.000 | -0.000 | 0.023 | 
| 100.673 | 312.232 | 77.128 | -0.000 | -0.000 | 0.000 | 
| 77.125 | 77.125 | 317.357 | -0.000 | -0.000 | 0.000 | 
| 1945.202 | 1945.133 | -411.953 | 39.415 | 0.000 | 0.023 | 
| 3352.105 | 3352.107 | 2188.742 | 0.000 | 48.830 | -0.004 | 
| 1945.195 | 1945.126 | -411.952 | 0.000 | -0.000 | 51.794 | 
| -1734.231 | -1837.854 | 494.369 | 0.000 | -0.000 | -0.023 | 
| 100.673 | 312.232 | 77.128 | 0.000 | -0.000 | -0.000 | 
| 77.125 | 77.125 | 317.357 | -0.000 | 0.000 | -0.000 | 
| -1945.202 | -1945.133 | 411.953 | 39.414 | 0.000 | -0.023 | 
| -3352.105 | -3352.107 | -2188.742 | -0.000 | 48.830 | 0.004 | 
| -3351.792 | -3351.793 | -2188.787 | -0.000 | -0.000 | 53.051 | 
| 495.576 | 385.988 | 272.663 | -0.000 | 0.000 | -0.000 | 
| 300.497 | 403.263 | 41.553 | 0.000 | 0.000 | 0.002 | 
| 873.553 | 873.566 | 295.852 | 0.000 | -0.000 | -0.010 | 
| 0.000 | 0.000 | 0.000 | 82.421 | 0.000 | 0.000 | 
| 0.000 | 0.000 | 0.000 | -0.000 | 82.421 | 0.000 | 
| 193.227 | 193.220 | -40.921 | 0.000 | -0.000 | 52.132 | 
| -469.851 | -590.523 | -230.777 | 0.000 | 0.000 | -0.002 | 
| 100.673 | 312.231 | 77.128 | 0.000 | -0.000 | -0.000 | 
| 77.125 | 77.125 | 317.357 | 0.000 | -0.000 | -0.000 | 
| -0.000 | -0.000 | -0.000 | 82.421 | 0.000 | -0.000 | 
| -0.000 | -0.000 | -0.000 | 0.000 | 82.421 | -0.000 | 
| -193.226 | -193.219 | 40.921 | 0.000 | -0.000 | 52.128 | 
| 312.233 | 100.673 | 77.129 | 0.000 | 0.000 | 0.000 | 
| 118.820 | 246.410 | 78.490 | 0.000 | -0.000 | 0.000 | 
| 94.757 | 94.757 | 252.155 | -0.000 | -0.000 | 0.000 | 
| 67.179 | 67.180 | 26.284 | 40.288 | -0.000 | -0.000 | 
| 0.000 | 0.000 | 0.000 | 0.000 | 82.421 | 0.000 | 
| 58.816 | 58.816 | 23.450 | -0.000 | 0.000 | 53.247 | 
| 128.615 | 8.220 | 23.846 | -0.000 | -0.000 | -0.000 | 
| 8.366 | 129.350 | 23.847 | 0.000 | 0.000 | -0.000 | 
| 77.125 | 77.125 | 317.355 | 0.000 | -0.000 | -0.000 | 
| -67.179 | -67.180 | -26.284 | 40.288 | -0.000 | 0.000 | 
| -0.000 | -0.000 | -0.000 | 0.000 | 82.421 | -0.000 | 
| -58.816 | -58.815 | -23.451 | 0.000 | 0.000 | 53.247 | 
| 377.275 | 120.081 | 93.925 | 0.000 | -0.000 | 0.000 | 
| 487.867 | 3208.026 | 2491.438 | 0.000 | -0.000 | 0.000 | 
| 11458.925 | 11288.972 | 10911.774 | 0.000 | -0.000 | 0.000 | 
| 10140.627 | 6771.864 | 12299.451 | 42.579 | -0.000 | 0.000 | 
| 0.000 | 0.000 | 0.000 | 0.000 | 97.471 | 0.000 | 
| -945.891 | 2157.965 | 163.193 | 0.000 | -0.000 | 85.498 | 
| 1255.262 | -2034.581 | -55.727 | -0.000 | -0.000 | -0.000 | 
| -9401.473 | -5141.913 | -11953.312 | -0.000 | 0.000 | -0.000 | 
| -328.838 | -2924.587 | -2195.481 | -0.000 | -0.000 | -0.000 | 
| -11516.085 | -11379.802 | -10914.761 | 13.074 | 0.000 | -0.000 | 
| -0.000 | -0.000 | -0.000 | -0.000 | 97.471 | -0.000 | 
| 945.891 | -2157.965 | -163.193 | -0.000 | 0.000 | 85.498 | 
| 285.294 | 380.592 | 319.166 | 0.000 | -0.000 | 0.000 | 
| 924.553 | 637.040 | 1250.412 | 0.000 | -0.000 | 0.000 | 
| 798.655 | 784.216 | 675.746 | 0.000 | -0.000 | 0.000 | 
| -94.268 | 215.063 | 16.264 | 88.163 | -0.000 | 0.000 | 
| 1149.802 | 1136.851 | 1090.096 | 0.000 | 26.780 | 0.000 | 
| 1143.432 | 874.540 | 1346.533 | 0.000 | -0.000 | 27.062 | 
| -722.955 | -864.528 | -644.148 | -0.000 | -0.000 | -0.000 | 
| -1175.076 | -804.821 | -1389.206 | -0.000 | 0.000 | -0.000 | 
| 201.585 | -86.652 | 272.136 | -0.000 | -0.000 | -0.000 | 
| 94.268 | -215.063 | -16.264 | 88.163 | -0.000 | -0.000 | 
| -536.562 | -302.317 | -1246.922 | -0.000 | 47.850 | -0.000 | 
| -1143.432 | -874.540 | -1346.533 | 0.000 | 0.000 | 27.062 | 
| 161.768 | 19.026 | 39.508 | 0.000 | -0.000 | 0.000 | 
| 50.796 | 144.385 | 32.319 | 0.000 | -0.000 | 0.000 | 
| 87.776 | 120.773 | 255.798 | 0.000 | -0.000 | 0.000 | 
| -9.372 | 21.381 | 1.617 | 88.393 | -0.000 | 0.000 | 
| -9.431 | 21.516 | 1.627 | 0.000 | 71.235 | 0.000 | 
| -9.423 | 21.499 | 1.626 | 0.000 | 0.000 | 85.643 | 
| 377.273 | 120.081 | 93.924 | -0.000 | 0.000 | -0.000 | 
| 127.022 | 245.985 | 129.118 | -0.000 | 0.000 | -0.000 | 
| -90.345 | -102.456 | 28.769 | -0.000 | 0.000 | -0.000 | 
| 9.372 | -21.381 | -1.617 | 88.393 | 0.000 | -0.000 | 
| 9.431 | -21.516 | -1.627 | 0.000 | 71.235 | -0.000 | 
| 9.423 | -21.499 | -1.626 | -0.000 | 0.000 | 85.643 | 
| 2177.102 | 413.536 | 1443.610 | -0.000 | -0.000 | -0.000 | 
| 2055.630 | 501.769 | 1432.311 | 0.000 | -0.000 | -0.000 | 
| -37.767 | 755.727 | 1494.890 | -0.000 | -0.000 | -0.000 | 
| -0.000 | 0.000 | -0.000 | 123.521 | 0.000 | 0.000 | 
| 1983.884 | 342.316 | 1362.582 | -0.000 | 45.205 | 0.000 | 
| 2021.939 | -1540.409 | 3315.965 | -0.000 | 0.000 | 24.182 | 
| 365.666 | 114.613 | 89.311 | -0.000 | -0.000 | 0.000 | 
| 258.125 | -397.631 | -1123.697 | 0.000 | -0.000 | 0.000 | 
| -1905.797 | -273.975 | -1190.339 | -0.000 | 0.000 | -0.000 | 
| 0.000 | -0.000 | -0.000 | 123.521 | 0.000 | 0.000 | 
| -1983.884 | -342.316 | -1362.582 | 0.000 | 45.205 | -0.000 | 
| -2021.939 | 1540.409 | -3315.965 | 0.000 | 0.000 | 24.182 | 
| 365.666 | 114.613 | 89.311 | -0.000 | -0.000 | -0.000 | 
| 269.692 | 192.709 | 204.293 | 0.000 | -0.000 | 0.000 | 
| 276.102 | 103.216 | 309.275 | 0.000 | 0.000 | -0.000 | 
| 201.696 | -153.227 | 329.948 | 35.994 | -0.000 | -0.000 | 
| 914.052 | 183.657 | 1420.880 | 0.000 | 59.089 | -0.000 | 
| 198.263 | 34.037 | 135.813 | -0.000 | -0.000 | 47.111 | 
| 365.666 | 114.613 | 89.311 | -0.000 | 0.000 | 0.000 | 
| -125.772 | 125.830 | -66.696 | -0.000 | -0.000 | 0.000 | 
| -211.312 | -5.409 | 95.011 | -0.000 | -0.000 | 0.000 | 
| -1072.952 | -127.923 | -1680.059 | 20.343 | 0.000 | 0.000 | 
| -914.052 | -183.657 | -1420.880 | 0.000 | 59.089 | 0.000 | 
| -198.263 | -34.037 | -135.813 | 0.000 | -0.000 | 47.111 | 
| 365.668 | 114.614 | 89.311 | -0.000 | -0.000 | 0.000 | 
| 110.305 | 238.712 | 140.196 | -0.000 | 0.000 | 0.000 | 
| 96.924 | 77.793 | 209.733 | -0.000 | -0.000 | -0.000 | 
| 21.694 | -11.933 | 25.113 | 49.296 | -0.000 | -0.000 | 
| 0.000 | 0.000 | 0.000 | -0.000 | 95.288 | 0.000 | 
| 22.853 | -5.250 | 41.904 | -0.000 | 0.000 | 40.000 | 
| 365.664 | 114.613 | 89.310 | 0.000 | 0.000 | -0.000 | 
| 113.221 | 234.152 | 116.289 | 0.000 | 0.000 | 0.000 | 
| -9.391 | 2.479 | 157.927 | 0.000 | 0.000 | -0.000 | 
| -21.694 | 11.933 | -25.113 | 49.296 | -0.000 | 0.000 | 
| -0.000 | -0.000 | -0.000 | 0.000 | 95.288 | 0.000 | 
| -22.853 | 5.250 | -41.904 | -0.000 | -0.000 | 40.000 | 
| 349.915 | 113.365 | 105.433 | -4.744 | -1.570 | 68.282 | 
| 113.367 | 349.914 | 105.433 | 4.244 | -0.877 | -0.002 | 
| 104.628 | 104.627 | 350.341 | 0.001 | 0.001 | -0.001 | 
| 471.213 | 1362.698 | -857.063 | 481.088 | 0.313 | 26.439 | 
| 654.443 | 1484.131 | -576.261 | 392.935 | 102.361 | 38.033 | 
| 0.001 | -0.002 | -0.000 | -0.877 | -4.237 | 118.274 | 
| -595.178 | -1025.850 | -597.501 | -230.191 | -31.941 | 27.578 | 
| -564.022 | -1233.072 | 660.848 | -388.792 | -27.807 | -41.864 | 
| -358.769 | -1247.961 | 1126.402 | -414.248 | -0.313 | -27.738 | 
| -473.917 | -1358.963 | 856.576 | -346.519 | -0.312 | -28.977 | 
| -471.313 | -1362.176 | 856.862 | -413.836 | 66.851 | -29.198 | 
| -744.205 | -1061.344 | -639.953 | -224.922 | -35.638 | 51.348 | 
| 49.145 | 38.001 | 180.240 | 35.296 | -6.627 | 17.794 | 
| -977.337 | -819.291 | 1.504 | 38.245 | -14.254 | 1.137 | 
| 104.628 | 104.627 | 350.342 | 0.001 | 0.001 | -0.001 | 
| -12.906 | 55.334 | 180.191 | 73.565 | -5.112 | -2.872 | 
| 65.648 | 148.474 | -57.984 | 39.403 | 77.307 | 0.324 | 
| 47.184 | 135.864 | -85.545 | 40.039 | -1.460 | 79.686 | 
| 225.643 | -16.889 | 200.764 | -43.603 | 0.386 | 41.600 | 
| 113.367 | 349.913 | 105.433 | 4.244 | -0.877 | -0.002 | 
| 16.355 | -67.486 | 306.251 | -39.701 | -2.848 | -4.266 | 
| -4.239 | 4.238 | 0.001 | 108.588 | -0.000 | -0.877 | 
| -45.917 | -137.170 | 85.563 | -41.324 | 67.192 | -4.259 | 
| -65.367 | -148.480 | 57.837 | -39.550 | -6.623 | 76.002 | 
| 147.059 | 40.103 | 43.866 | 0.703 | -1.290 | 32.385 | 
| 96.545 | 246.432 | 76.903 | 8.343 | 0.067 | 0.503 | 
| 23.620 | 30.246 | 136.724 | 3.763 | -0.352 | -0.149 | 
| 2.492 | 14.005 | -7.712 | 75.034 | 0.003 | -0.987 | 
| 5.436 | 10.877 | -7.624 | 3.683 | 71.732 | -1.545 | 
| 6.492 | 15.464 | -6.846 | 3.792 | -3.023 | 77.377 | 
| 236.456 | 77.592 | 96.828 | -7.928 | -1.713 | 42.691 | 
| 86.811 | 229.821 | 95.999 | -0.985 | -0.618 | -0.426 | 
| 75.769 | 65.494 | 237.505 | -4.856 | -0.298 | -0.493 | 
| -4.239 | 4.238 | 0.001 | 108.588 | -0.000 | -0.877 | 
| -5.951 | -15.850 | 6.901 | -4.223 | 70.324 | -3.591 | 
| -4.310 | -12.423 | 7.821 | -5.019 | -1.729 | 80.208 | 
| 720.054 | 575.565 | 575.565 | -0.000 | -0.000 | -0.000 | 
| 575.565 | 720.054 | 575.565 | 0.000 | -0.000 | -0.000 | 
| 575.565 | 575.565 | 720.054 | -0.000 | -0.000 | -0.000 | 
| 1704.447 | 1704.447 | 1704.447 | 76.554 | -0.000 | 0.000 | 
| 1704.447 | 1704.447 | 1704.447 | -0.000 | 76.554 | -0.000 | 
| 1704.447 | 1704.447 | 1704.447 | -0.000 | -0.000 | 76.554 | 
| -461.167 | -605.560 | -605.560 | 0.000 | 0.000 | -0.000 | 
| -605.560 | -461.167 | -605.560 | 0.000 | -0.000 | 0.000 | 
| -605.560 | -605.560 | -461.167 | 0.000 | -0.000 | -0.000 | 
| -1704.447 | -1704.447 | -1704.447 | 76.554 | 0.000 | 0.000 | 
| -1704.447 | -1704.447 | -1704.447 | 0.000 | 76.554 | -0.000 | 
| -1704.447 | -1704.447 | -1704.447 | 0.000 | -0.000 | 76.554 | 
| 212.420 | 183.738 | 183.738 | -0.000 | 0.000 | -0.000 | 
| 183.738 | 212.420 | 183.738 | -0.000 | 0.000 | -0.000 | 
| 183.738 | 183.738 | 212.420 | -0.000 | 0.000 | -0.000 | 
| 59.069 | 59.069 | 59.069 | 73.032 | 0.000 | -0.000 | 
| 59.069 | 59.069 | 59.069 | -0.000 | 73.032 | -0.000 | 
| 59.069 | 59.069 | 59.069 | -0.000 | -0.000 | 73.032 | 
| -280.916 | -383.519 | -383.519 | 0.000 | 0.000 | -0.000 | 
| -383.519 | -280.916 | -383.519 | 0.000 | 0.000 | 0.000 | 
| -383.519 | -383.519 | -280.916 | 0.000 | -0.000 | 0.000 | 
| -59.069 | -59.069 | -59.069 | 73.032 | 0.000 | -0.000 | 
| -59.069 | -59.069 | -59.069 | 0.000 | 73.032 | 0.000 | 
| -59.069 | -59.069 | -59.069 | 0.000 | -0.000 | 73.032 | 
| 147.271 | 33.262 | 33.262 | -0.000 | 0.000 | -0.000 | 
| 33.262 | 147.271 | 33.262 | -0.000 | 0.000 | -0.000 | 
| 33.262 | 33.262 | 147.271 | -0.000 | 0.000 | -0.000 | 
| 16.518 | 16.518 | 16.518 | 76.436 | 0.000 | -0.000 | 
| 16.518 | 16.518 | 16.518 | -0.000 | 76.436 | -0.000 | 
| 16.518 | 16.518 | 16.518 | -0.000 | 0.000 | 76.436 | 
| 170.098 | 121.860 | 121.860 | 0.000 | -0.000 | 0.000 | 
| 121.860 | 170.098 | 121.860 | 0.000 | -0.000 | -0.000 | 
| 121.860 | 121.860 | 170.098 | 0.000 | 0.000 | 0.000 | 
| -16.518 | -16.518 | -16.518 | 76.436 | -0.000 | 0.000 | 
| -16.518 | -16.518 | -16.518 | 0.000 | 76.436 | 0.000 | 
| -16.518 | -16.518 | -16.518 | 0.000 | -0.000 | 76.436 | 
| -2970.373 | -2681.619 | -2681.619 | -0.000 | 0.000 | -0.000 | 
| -2681.618 | -2970.374 | -2681.619 | 0.000 | 0.000 | 0.000 | 
| -2681.618 | -2681.619 | -2970.374 | 0.000 | 0.000 | -0.000 | 
| -2149.721 | -2149.721 | -2149.721 | 109.263 | 0.000 | -0.000 | 
| -2149.721 | -2149.721 | -2149.721 | 0.000 | 109.263 | 0.000 | 
| -2149.721 | -2149.721 | -2149.721 | 0.000 | 0.000 | 109.263 | 
| 297.747 | 107.277 | 107.277 | -0.000 | -0.000 | 0.000 | 
| 107.277 | 297.747 | 107.277 | 0.000 | -0.000 | -0.000 | 
| 107.277 | 107.277 | 297.747 | -0.000 | -0.000 | 0.000 | 
| 2149.721 | 2149.721 | 2149.721 | 109.263 | -0.000 | 0.000 | 
| 2149.721 | 2149.721 | 2149.721 | 0.000 | 109.263 | 0.000 | 
| 2149.721 | 2149.721 | 2149.721 | 0.000 | -0.000 | 109.263 | 
| 133.522 | 117.997 | 117.997 | 0.000 | 0.000 | 0.000 | 
| 117.997 | 133.522 | 117.997 | 0.000 | 0.000 | -0.000 | 
| 117.997 | 117.997 | 133.522 | 0.000 | 0.000 | 0.000 | 
| 27.368 | 27.368 | 27.368 | 53.659 | 0.000 | -0.000 | 
| 27.368 | 27.368 | 27.368 | 0.000 | 53.659 | -0.000 | 
| 27.368 | 27.368 | 27.368 | 0.000 | 0.000 | 53.659 | 
| 297.747 | 107.277 | 107.277 | 0.000 | -0.000 | 0.000 | 
| 107.277 | 297.747 | 107.277 | -0.000 | -0.000 | 0.000 | 
| 305.196 | 305.196 | 276.219 | -0.000 | -0.000 | 0.000 | 
| -27.368 | -27.368 | -27.368 | 53.659 | -0.000 | -0.000 | 
| -27.368 | -27.368 | -27.368 | -0.000 | 53.659 | 0.000 | 
| -27.368 | -27.368 | -27.368 | -0.000 | -0.000 | 53.659 | 
| 107.254 | 38.412 | 38.412 | 0.000 | 0.000 | 0.000 | 
| 38.412 | 107.254 | 38.412 | 0.000 | 0.000 | -0.000 | 
| 38.412 | 38.412 | 107.254 | 0.000 | 0.000 | -0.000 | 
| 1.808 | 1.808 | 1.808 | 74.961 | 0.000 | -0.000 | 
| 1.808 | 1.808 | 1.808 | -0.000 | 74.961 | -0.000 | 
| 1.808 | 1.808 | 1.808 | -0.000 | 0.000 | 74.961 | 
| 154.440 | 52.610 | 52.610 | -0.000 | -0.000 | -0.000 | 
| 52.610 | 154.440 | 52.610 | -0.000 | -0.000 | 0.000 | 
| 52.610 | 52.610 | 154.440 | -0.000 | -0.000 | -0.000 | 
| -1.808 | -1.808 | -1.808 | 74.961 | -0.000 | -0.000 | 
| -1.808 | -1.808 | -1.808 | 0.000 | 74.961 | -0.000 | 
| -1.808 | -1.808 | -1.808 | -0.000 | -0.000 | 74.961 | 
| 1185.902 | 959.997 | -3528.537 | 0.001 | 0.000 | 1.533 | 
| 956.423 | 1189.063 | -3528.300 | 0.001 | -0.000 | 1.532 | 
| 965.344 | 968.582 | -3340.238 | 0.001 | -0.000 | 1.459 | 
| 0.000 | 0.000 | 0.000 | 89.731 | -0.000 | -0.000 | 
| -0.000 | -0.000 | -0.000 | -0.000 | 89.731 | -0.000 | 
| 956.141 | 959.471 | -3549.858 | 0.001 | -0.000 | 114.373 | 
| 356.362 | 119.693 | 90.594 | -0.000 | 0.000 | 0.000 | 
| 119.693 | 356.362 | 90.594 | -0.000 | 0.000 | 0.000 | 
| 91.322 | 91.322 | 365.799 | 0.000 | 0.000 | -0.000 | 
| 0.000 | 0.000 | -0.000 | 89.731 | -0.000 | -0.000 | 
| -0.000 | -0.000 | -0.000 | -0.000 | 89.731 | 0.000 | 
| -956.320 | -959.652 | 3550.055 | -0.001 | 0.000 | 111.389 | 
| 321.253 | 87.528 | -320.734 | 0.000 | -0.000 | 0.153 | 
| 87.209 | 321.176 | -320.386 | 0.000 | -0.000 | 0.152 | 
| 76.619 | 76.340 | 60.054 | -0.000 | -0.000 | -0.139 | 
| 412.706 | 412.923 | -686.179 | 20.472 | -0.000 | 0.084 | 
| -31.148 | -31.420 | -135.817 | -0.000 | 14.225 | -0.136 | 
| 0.000 | 0.000 | 0.000 | 0.000 | -0.000 | 118.335 | 
| 356.362 | 119.693 | 90.594 | -0.000 | 0.000 | 0.000 | 
| 119.693 | 356.362 | 90.594 | -0.000 | 0.000 | -0.000 | 
| 91.322 | 91.322 | 365.799 | -0.000 | 0.000 | 0.000 | 
| -412.706 | -412.923 | 686.179 | 20.473 | 0.000 | -0.084 | 
| 31.148 | 31.420 | 135.817 | 0.000 | 14.225 | 0.136 | 
| -0.000 | -0.000 | -0.000 | -0.000 | 0.000 | 118.335 | 
| 356.364 | 119.693 | 90.594 | 0.000 | -0.000 | 0.000 | 
| 119.693 | 356.364 | 90.594 | 0.000 | -0.000 | 0.000 | 
| 91.322 | 91.322 | 365.801 | 0.000 | -0.000 | 0.000 | 
| 0.000 | 0.000 | 0.000 | 89.731 | -0.000 | 0.000 | 
| -1.607 | -1.621 | -7.007 | -0.000 | 50.775 | -0.007 | 
| -1.278 | -1.289 | -5.570 | -0.000 | -0.000 | 68.282 | 
| 249.092 | 129.197 | 105.141 | 0.000 | 0.000 | 0.006 | 
| 129.186 | 249.080 | 105.144 | 0.000 | 0.000 | 0.006 | 
| 101.670 | 101.684 | 288.771 | 0.000 | 0.000 | 0.007 | 
| -4.692 | -4.703 | 25.646 | 44.339 | 0.000 | -0.005 | 
| 1.607 | 1.621 | 7.007 | 0.000 | 50.775 | 0.007 | 
| 1.278 | 1.289 | 5.572 | 0.000 | 0.000 | 68.281 | 
| 76.185 | -63.443 | 2680.489 | -0.000 | 0.000 | 0.000 | 
| -4195.227 | -4097.099 | 545.767 | 0.000 | -0.000 | -0.000 | 
| -79.101 | -79.101 | 2854.626 | -0.000 | 0.000 | -0.000 | 
| -257.497 | -257.497 | 378.083 | 56.404 | -0.000 | -0.000 | 
| -176.082 | -176.082 | 2582.842 | 0.000 | 52.524 | -0.000 | 
| -176.083 | -176.083 | 2582.847 | -0.000 | -0.000 | 69.813 | 
| 441.221 | 322.414 | -302.152 | -0.000 | -0.000 | 0.000 | 
| 288.597 | 428.282 | -2483.388 | 0.000 | 0.000 | 0.000 | 
| 273.053 | 273.053 | -2310.896 | 0.000 | 0.000 | -0.000 | 
| 257.497 | 257.497 | -378.083 | 56.404 | -0.000 | 0.000 | 
| 176.082 | 176.082 | -2582.842 | -0.000 | 52.524 | 0.000 | 
| 176.083 | 176.083 | -2582.847 | -0.000 | 0.000 | 69.813 | 
| 335.423 | 110.737 | 92.085 | 0.000 | -0.000 | -0.000 | 
| 95.033 | 234.683 | 355.903 | 0.000 | 0.000 | 0.000 | 
| 79.436 | 79.436 | 529.110 | -0.000 | -0.000 | -0.000 | 
| -17.597 | -17.597 | 258.123 | 52.549 | -0.000 | -0.000 | 
| 0.000 | 0.000 | 0.000 | -0.000 | 92.452 | -0.000 | 
| -17.601 | -17.601 | 258.179 | 0.000 | 0.000 | 69.831 | 
| 269.861 | 130.248 | -160.636 | 0.000 | 0.000 | 0.000 | 
| 851.206 | 961.665 | 279.891 | 0.000 | 0.000 | 0.000 | 
| 91.616 | 91.616 | 353.210 | 0.000 | 0.000 | -0.000 | 
| 25.746 | 25.746 | -37.942 | 56.400 | -0.000 | 0.000 | 
| -0.000 | -0.000 | -0.000 | 0.000 | 92.452 | 0.000 | 
| 17.601 | 17.601 | -258.179 | 0.000 | 0.000 | 69.831 | 
| 131.958 | 24.552 | 50.145 | -0.000 | 0.000 | -0.000 | 
| 110.876 | 251.033 | 123.323 | 0.000 | 0.000 | -0.000 | 
| 5.018 | 5.018 | 156.971 | -0.000 | 0.000 | -0.000 | 
| -38.612 | -38.613 | 3.727 | 53.228 | -0.000 | 0.000 | 
| -1.672 | -1.672 | 24.520 | -0.000 | 54.547 | -0.000 | 
| 0.000 | 0.000 | 0.000 | -0.000 | -0.000 | 112.343 | 
| 254.265 | 114.386 | 71.922 | -0.000 | 0.000 | 0.000 | 
| 72.630 | 202.787 | 73.055 | -0.000 | -0.000 | -0.000 | 
| 82.703 | 82.703 | 146.122 | -0.000 | -0.000 | -0.000 | 
| 38.612 | 38.613 | -3.727 | 53.228 | 0.000 | 0.000 | 
| 1.672 | 1.672 | -24.520 | 0.000 | 54.547 | 0.000 | 
| -0.000 | -0.000 | -0.000 | 0.000 | -0.000 | 112.343 | 
| 85.379 | -64.200 | 1389.483 | 0.000 | -0.000 | -0.000 | 
| -2170.781 | -2088.378 | -954.584 | 0.000 | -0.000 | -0.000 | 
| 81.321 | 81.321 | 324.637 | -0.000 | -0.000 | -0.000 | 
| -2238.914 | -2238.914 | -1028.605 | 48.342 | -0.000 | -0.000 | 
| -162.989 | -162.989 | 1304.738 | 0.000 | 59.674 | -0.000 | 
| -0.000 | 0.000 | 0.000 | -0.000 | 0.000 | 104.425 | 
| 307.612 | 98.762 | 81.361 | 0.000 | -0.000 | 0.000 | 
| 98.762 | 307.612 | 81.361 | 0.000 | -0.000 | 0.000 | 
| 81.321 | 81.321 | 324.637 | 0.000 | -0.000 | 0.000 | 
| 2238.914 | 2238.914 | 1028.605 | 48.342 | 0.000 | 0.000 | 
| 162.989 | 162.989 | -1304.738 | -0.000 | 59.675 | 0.000 | 
| -0.000 | 0.000 | 0.000 | 0.000 | -0.000 | 104.425 | 
| 307.612 | 98.762 | 81.361 | 0.000 | -0.000 | -0.000 | 
| 82.484 | 231.988 | 215.276 | 0.000 | -0.000 | -0.000 | 
| -222.606 | -222.606 | -129.693 | -0.000 | 0.000 | -0.000 | 
| 0.000 | 0.000 | 0.000 | 86.672 | 0.000 | -0.000 | 
| -489.808 | -489.808 | -236.379 | 0.000 | 52.499 | -0.000 | 
| -224.017 | -224.017 | -102.917 | 0.000 | -0.000 | 41.172 | 
| 229.102 | 136.705 | 140.262 | -0.000 | 0.000 | 0.000 | 
| 115.095 | 264.711 | -45.784 | -0.000 | 0.000 | 0.000 | 
| 419.507 | 419.507 | 357.938 | -0.000 | -0.000 | 0.000 | 
| -0.000 | -0.000 | -0.000 | 86.672 | 0.000 | 0.000 | 
| 489.808 | 489.808 | 236.379 | -0.000 | 52.499 | 0.000 | 
| 224.017 | 224.017 | 102.917 | -0.000 | 0.000 | 41.172 | 
| 244.365 | 97.113 | 98.311 | 0.000 | -0.000 | -0.000 | 
| 97.113 | 244.386 | 98.306 | 0.000 | -0.000 | -0.000 | 
| 2.390 | 2.390 | 99.399 | 0.000 | 0.000 | -0.000 | 
| -38.127 | -38.127 | -25.473 | 53.533 | 0.000 | -0.000 | 
| -48.471 | -48.471 | -23.727 | 0.000 | 52.321 | -0.000 | 
| -30.407 | -30.406 | -26.247 | -0.000 | 0.000 | 40.405 | 
| 248.652 | 100.473 | 71.342 | -0.000 | 0.000 | 0.000 | 
| 100.473 | 248.652 | 71.342 | -0.000 | 0.000 | 0.000 | 
| 81.321 | 81.321 | 324.635 | 0.000 | -0.000 | 0.000 | 
| 38.127 | 38.127 | 25.473 | 53.533 | -0.000 | 0.000 | 
| 48.471 | 48.471 | 23.727 | -0.000 | 52.321 | 0.000 | 
| 30.407 | 30.406 | 26.247 | -0.000 | -0.000 | 40.405 | 
| 1096.082 | 284.163 | -1064.445 | -471.164 | 59.690 | 553.536 | 
| 611.477 | 181.238 | -267.348 | -636.533 | 221.693 | 406.624 | 
| 26.292 | 158.980 | 446.554 | -279.956 | 129.450 | 287.577 | 
| -92.205 | 34.397 | 140.969 | -190.595 | 129.206 | 287.020 | 
| -0.011 | 0.003 | 0.005 | 0.002 | 115.850 | -0.130 | 
| 954.194 | 263.301 | -1082.650 | -467.213 | 87.842 | 606.270 | 
| -1191.493 | -168.659 | 1359.362 | 422.695 | -329.847 | -973.425 | 
| 112.065 | 366.085 | 119.796 | 72.920 | 0.010 | 0.001 | 
| -430.220 | 91.042 | 535.718 | 663.803 | -221.791 | -406.805 | 
| -529.929 | -963.196 | -692.738 | -12.913 | -580.677 | -2001.990 | 
| -953.789 | -263.263 | 1081.421 | 469.708 | -6.874 | -554.583 | 
| 92.477 | -33.149 | -140.975 | 279.755 | -81.379 | -202.739 | 
| 374.873 | 111.830 | 111.087 | -0.043 | 0.011 | 0.007 | 
| 110.759 | 310.694 | 140.222 | 24.446 | 12.999 | 28.855 | 
| 141.752 | 87.112 | 145.595 | -65.915 | 22.130 | 40.629 | 
| 44.612 | 94.104 | 82.663 | 88.116 | 82.038 | 158.634 | 
| -9.278 | 3.321 | 14.110 | -28.008 | 96.180 | 28.633 | 
| -0.013 | 0.005 | 0.005 | 0.004 | 66.728 | 116.819 | 
| 125.852 | 91.398 | 125.113 | 66.286 | -22.002 | -40.349 | 
| 129.303 | 304.184 | 111.914 | 80.642 | -12.953 | -28.797 | 
| 128.062 | 122.460 | 291.699 | 27.971 | -12.881 | -28.603 | 
| -51.879 | 0.753 | 36.085 | 111.924 | -22.255 | -40.813 | 
| -0.011 | 0.003 | 0.005 | 0.002 | 115.850 | -0.130 | 
| -94.516 | -25.974 | 106.834 | 47.199 | 22.876 | -0.519 | 
| 184.118 | 49.368 | 38.303 | -5.027 | 0.897 | 4.718 | 
| 112.065 | 366.087 | 119.796 | 72.920 | 0.010 | 0.001 | 
| 56.190 | 51.913 | 176.146 | -5.102 | 0.916 | 4.654 | 
| -0.712 | 1.611 | 1.528 | 85.742 | 1.305 | 2.893 | 
| 9.223 | 0.334 | -8.945 | -5.247 | 59.457 | 8.767 | 
| -0.013 | 0.005 | 0.005 | 0.004 | 66.728 | 116.819 | 
| 160.533 | 26.761 | 37.526 | 5.184 | -3.570 | -7.367 | 
| 38.552 | 176.117 | 52.829 | 42.981 | -0.905 | -4.723 | 
| 16.673 | 23.413 | 161.970 | 4.741 | -3.267 | -7.296 | 
| -8.591 | -0.972 | 7.965 | 66.342 | -0.920 | -5.040 | 
| -3.537 | -0.026 | 2.285 | 5.018 | 58.651 | -3.128 | 
| 0.897 | -0.329 | -1.400 | 2.773 | 46.799 | 81.926 | 
| 519.945 | 99.315 | 97.794 | -0.193 | -12.937 | -12.948 | 
| 688.503 | 1650.836 | -1654.626 | 872.484 | -180.167 | -1012.109 | 
| 101.390 | 125.685 | 381.566 | 2.263 | 0.021 | 0.099 | 
| -191.555 | -565.405 | 529.299 | 462.753 | 343.996 | 877.121 | 
| -191.111 | -563.652 | 527.302 | 377.772 | 391.542 | 875.260 | 
| -192.017 | -565.676 | 529.265 | 379.136 | 344.577 | 926.138 | 
| 519.945 | 99.315 | 97.794 | -0.193 | -12.937 | -12.948 | 
| 151.997 | -17.370 | 199.444 | -329.732 | -979.608 | -1067.429 | 
| 101.390 | 125.685 | 381.566 | 2.263 | 0.021 | 0.099 | 
| 190.658 | 562.512 | -525.875 | -293.066 | -342.847 | -874.181 | 
| -0.024 | 0.011 | 0.021 | 0.027 | 106.239 | -0.216 | 
| -0.069 | 0.127 | 0.033 | 0.009 | -0.128 | 107.552 | 
| 519.945 | 99.315 | 97.794 | -0.193 | -12.937 | -12.948 | 
| -92.781 | -72.337 | -97.939 | 74.928 | 102.181 | 37.489 | 
| 165.584 | 337.140 | -125.626 | 83.262 | 60.265 | -8.920 | 
| -0.191 | -2.073 | 2.263 | 124.844 | 0.027 | -0.013 | 
| -19.005 | -55.764 | 52.170 | 37.375 | 82.869 | 86.670 | 
| -19.962 | -57.922 | 54.256 | 38.826 | 35.387 | 136.316 | 
| 453.278 | 117.846 | 5.599 | -38.667 | -40.852 | -95.185 | 
| 8.627 | -260.781 | 225.145 | -70.995 | 12.999 | 87.583 | 
| -126.504 | -80.809 | -50.146 | -73.769 | -104.326 | -39.186 | 
| 26.120 | 8.476 | 18.504 | 9.960 | -94.418 | -108.215 | 
| -0.024 | 0.011 | 0.021 | 0.027 | 106.239 | -0.216 | 
| 18.211 | 54.690 | -51.088 | -36.644 | -33.197 | -35.084 | 
| 398.418 | 27.285 | -4.337 | 5.723 | -9.770 | -22.268 | 
| 21.687 | 59.411 | 56.238 | 15.612 | 9.828 | 10.408 | 
| 26.598 | 3.816 | 35.821 | -2.743 | 4.070 | -12.893 | 
| 0.307 | 13.893 | -12.168 | 29.918 | 10.250 | 10.864 | 
| -1.778 | -4.954 | 4.639 | 3.324 | 58.186 | 7.746 | 
| -2.209 | 0.110 | -2.081 | 2.618 | 7.650 | 39.982 | 
| 388.538 | 2.948 | 23.736 | 1.645 | -0.827 | 13.307 | 
| 21.933 | 49.286 | 66.256 | 4.001 | -9.742 | -9.406 | 
| 19.295 | -1.528 | 38.986 | -1.901 | 3.895 | 10.066 | 
| -0.396 | 2.405 | 0.905 | 29.800 | -8.457 | -4.157 | 
| -3.286 | -17.917 | 14.641 | -8.727 | 28.583 | 3.695 | 
| 0.375 | 3.006 | -1.465 | -5.320 | -6.577 | 29.381 | 
| 499.579 | 185.810 | 123.745 | -0.000 | 50.327 | -0.000 | 
| -1652.332 | -2353.236 | -3883.571 | 0.003 | -1348.680 | -0.001 | 
| -2680.820 | -328.027 | -1965.122 | 0.004 | 1732.862 | -0.001 | 
| 19358.306 | -6436.486 | -5181.619 | 219.400 | -6730.964 | 30.268 | 
| 19311.806 | -6496.141 | -5221.484 | -0.017 | -6681.224 | 0.003 | 
| -2798.633 | -524.285 | -2275.266 | 0.748 | 1725.912 | 72.683 | 
| -19248.608 | 6466.539 | 5127.253 | 0.018 | 6823.357 | -0.004 | 
| 1831.637 | 3035.109 | 4003.502 | -0.004 | 1296.492 | 0.001 | 
| -15575.892 | 1622.414 | 294.724 | -0.013 | 5756.901 | 0.002 | 
| -19360.949 | 6438.668 | 5181.907 | 219.382 | 6732.576 | 30.266 | 
| 2730.570 | 519.374 | 2254.768 | -0.004 | -1660.653 | 0.001 | 
| 2798.633 | 524.285 | 2275.266 | 0.739 | -1725.912 | 72.684 | 
| 1069.738 | -430.327 | -645.907 | -0.001 | -570.599 | 0.000 | 
| 1751.186 | -713.582 | -674.872 | -0.002 | -671.417 | 0.000 | 
| 1558.456 | -852.027 | -181.922 | -0.002 | -639.739 | 0.000 | 
| 1549.925 | -174.454 | -56.602 | -84.685 | -593.275 | -19.978 | 
| 1878.901 | -690.470 | -535.619 | -0.002 | -618.418 | 0.000 | 
| -275.819 | -51.671 | -224.239 | 1.181 | 170.097 | 74.056 | 
| -1385.562 | 748.778 | -93.044 | -0.001 | 720.860 | 0.000 | 
| -836.922 | 586.559 | 447.019 | 0.001 | 685.313 | -0.000 | 
| 390.915 | 246.705 | 537.915 | -0.000 | -161.465 | 0.000 | 
| -1549.924 | 174.453 | 56.603 | -84.687 | 593.276 | -19.978 | 
| -1573.015 | 197.298 | -19.706 | -0.001 | 656.510 | 0.000 | 
| 275.819 | 51.671 | 224.239 | 1.180 | -170.097 | 74.056 | 
| 332.426 | 112.955 | 78.443 | 0.000 | 34.437 | -0.000 | 
| 91.067 | 146.505 | -12.979 | -0.000 | -64.391 | 0.000 | 
| 137.722 | -85.734 | 201.222 | 0.000 | -56.630 | -0.000 | 
| -19.122 | -21.405 | -34.548 | 97.806 | -6.227 | 15.755 | 
| -48.329 | -22.804 | -48.094 | 0.000 | 70.993 | -0.000 | 
| -16.781 | -3.144 | -13.643 | 12.846 | 10.349 | 110.710 | 
| 6.004 | -18.174 | -14.327 | -0.000 | 79.434 | -0.000 | 
| -42.553 | 216.039 | 27.237 | 0.000 | 23.875 | -0.000 | 
| -275.997 | -43.300 | 134.652 | -0.000 | 53.601 | 0.000 | 
| 19.122 | 21.405 | 34.548 | 97.806 | 6.227 | 15.755 | 
| -51.147 | 30.558 | 7.675 | -0.000 | 123.838 | -0.000 | 
| 16.781 | 3.144 | 13.643 | 12.846 | -10.349 | 110.710 | 
| 386.499 | 191.644 | 112.267 | -0.000 | 34.233 | 0.000 | 
| 175.335 | 394.269 | 173.268 | -0.000 | 19.997 | 0.000 | 
| 115.676 | 178.343 | 417.725 | -0.000 | -0.920 | 0.000 | 
| -0.000 | -0.000 | 0.000 | 167.054 | -0.000 | 31.805 | 
| -41.029 | 19.576 | -3.836 | -0.000 | 95.240 | 0.000 | 
| 0.000 | 0.000 | 0.000 | 31.805 | -0.000 | 169.193 | 
| 337.770 | 127.880 | 99.628 | 0.000 | 36.459 | -0.000 | 
| 161.449 | 499.300 | 158.729 | 0.000 | 31.349 | -0.000 | 
| 115.996 | 175.677 | 415.566 | 0.000 | -7.860 | -0.000 | 
| -0.000 | 0.000 | -0.000 | 167.054 | 0.000 | 31.805 | 
| -40.838 | 17.485 | -4.143 | 0.000 | 90.315 | -0.000 | 
| -0.000 | 0.000 | -0.000 | 31.805 | 0.000 | 169.193 | 
| 219.039 | -0.906 | 10.002 | -0.000 | 30.707 | 0.000 | 
| 111.589 | 318.450 | 109.803 | -0.000 | 3.587 | 0.000 | 
| 115.822 | 177.173 | 416.636 | -0.000 | -4.018 | 0.000 | 
| 0.000 | 0.000 | 0.000 | 167.054 | 0.000 | 31.805 | 
| -40.945 | 18.638 | -3.974 | -0.000 | 93.030 | 0.000 | 
| -0.011 | 0.118 | 0.017 | 16.963 | 0.277 | 126.995 | 
| 282.829 | 60.137 | 5.588 | 0.000 | 30.425 | -0.000 | 
| 161.449 | 499.300 | 158.729 | 0.000 | 31.349 | 0.000 | 
| 115.854 | 176.906 | 416.422 | 0.000 | -4.713 | -0.000 | 
| -0.000 | -0.000 | -0.000 | 167.054 | -0.000 | 31.805 | 
| -40.924 | 18.426 | -4.005 | 0.000 | 92.532 | -0.000 | 
| 0.011 | -0.118 | -0.017 | 16.963 | -0.277 | 126.995 | 
| 484.806 | 187.594 | 110.301 | -0.000 | 54.400 | 0.000 | 
| 44.553 | 226.286 | 40.946 | 0.000 | -17.657 | -0.000 | 
| 110.415 | 125.098 | 385.135 | -0.000 | -10.352 | 0.000 | 
| -0.001 | 0.013 | 0.002 | 121.465 | 0.030 | 15.796 | 
| -40.946 | 18.565 | -3.986 | -0.000 | 92.855 | 0.000 | 
| -0.003 | 0.021 | 0.008 | 15.725 | 0.032 | 111.677 | 
| 484.802 | 187.592 | 110.300 | 0.000 | 54.401 | 0.000 | 
| 20.166 | 178.932 | 18.100 | 0.000 | 4.938 | -0.000 | 
| 112.841 | 158.729 | 532.270 | 0.000 | -3.046 | 0.000 | 
| 0.001 | -0.013 | -0.002 | 121.465 | -0.030 | 15.796 | 
| -40.930 | 18.514 | -3.991 | 0.000 | 92.741 | -0.000 | 
| 0.003 | -0.021 | -0.008 | 15.725 | -0.032 | 111.677 | 
| 363.516 | 73.905 | 105.636 | -0.000 | 0.000 | 0.000 | 
| -153.445 | -342.996 | 754.019 | 0.001 | 0.053 | 0.001 | 
| -127.131 | -506.666 | 880.023 | 0.001 | 0.053 | 0.001 | 
| -244.057 | -619.179 | 641.446 | 69.507 | 0.053 | 0.001 | 
| -244.052 | -619.168 | 641.435 | 0.001 | 70.507 | 0.001 | 
| -244.064 | -619.197 | 641.465 | 0.001 | 0.053 | 56.676 | 
| 525.754 | 709.515 | -524.441 | -0.001 | -0.052 | -0.001 | 
| 73.745 | 359.290 | 103.893 | -0.000 | 0.000 | 0.000 | 
| 106.302 | 104.718 | 320.201 | 0.000 | 0.000 | -0.000 | 
| 244.057 | 619.179 | -641.446 | 69.505 | -0.053 | -0.001 | 
| 244.052 | 619.167 | -641.434 | -0.001 | 70.402 | -0.001 | 
| 244.064 | 619.197 | -641.465 | -0.001 | -0.053 | 56.674 | 
| 363.516 | 73.905 | 105.636 | 0.000 | -0.000 | -0.000 | 
| 66.398 | 214.152 | 176.466 | 0.000 | 0.005 | 0.000 | 
| 106.302 | 104.718 | 320.201 | 0.000 | -0.000 | -0.000 | 
| -24.263 | -61.557 | 63.771 | 69.752 | 0.005 | 0.000 | 
| 0.000 | 0.000 | 0.000 | -0.000 | 113.026 | 0.000 | 
| -24.332 | -61.730 | 63.950 | 0.000 | 0.005 | 56.747 | 
| 321.000 | 186.169 | -0.838 | -0.000 | 0.001 | -0.000 | 
| 114.666 | 339.113 | 48.549 | -0.000 | -0.005 | -0.000 | 
| 141.106 | 174.033 | 175.514 | -0.000 | -0.005 | -0.000 | 
| 24.263 | 61.557 | -63.771 | 69.751 | -0.005 | -0.000 | 
| -0.000 | -0.000 | -0.000 | 0.000 | 113.026 | -0.000 | 
| 24.332 | 61.730 | -63.950 | -0.000 | -0.005 | 56.747 | 
| 289.931 | 83.451 | 120.619 | 0.000 | 0.000 | 0.000 | 
| 76.198 | 247.709 | 87.289 | -0.000 | -0.000 | 0.000 | 
| 80.236 | 68.917 | 204.914 | 0.000 | 0.000 | 0.000 | 
| -10.839 | -10.822 | 3.726 | 62.092 | 0.001 | 0.000 | 
| -4.490 | -9.524 | 8.242 | 0.000 | 73.920 | 0.000 | 
| -9.843 | -10.259 | 3.921 | 0.000 | 0.000 | 54.284 | 
| 297.866 | 93.210 | 109.193 | -0.000 | -0.000 | -0.000 | 
| 91.061 | 291.772 | 105.306 | -0.000 | -0.000 | -0.000 | 
| 78.013 | 70.760 | 177.087 | -0.000 | -0.000 | -0.000 | 
| 4.762 | 9.917 | -8.389 | 69.678 | -0.000 | -0.000 | 
| 4.490 | 9.524 | -8.242 | -0.000 | 73.919 | -0.000 | 
| 9.843 | 10.259 | -3.921 | -0.000 | -0.000 | 54.284 | 
| 397.228 | 118.253 | 69.917 | -0.000 | 0.000 | -0.000 | 
| -2345.198 | 2046.716 | 1238.490 | -0.000 | 0.000 | 0.000 | 
| -1917.466 | 1440.395 | 1629.460 | -0.001 | 0.000 | -0.000 | 
| -2442.962 | 1823.176 | 1082.465 | 81.585 | -0.000 | 0.000 | 
| 0.000 | 0.000 | -0.000 | 0.000 | 79.633 | -0.000 | 
| 0.000 | 0.000 | -0.000 | -0.000 | -0.000 | 125.861 | 
| 7338.279 | 490.638 | -96.871 | 0.000 | -0.000 | 0.000 | 
| 2540.919 | -1597.424 | -926.984 | -0.000 | 0.000 | 0.000 | 
| 71.385 | 123.329 | 398.042 | 0.000 | 0.000 | 0.000 | 
| 2442.962 | -1823.176 | -1082.465 | 81.586 | -0.000 | 0.000 | 
| -0.000 | -0.000 | 0.000 | 0.000 | 79.633 | 0.000 | 
| -0.000 | -0.000 | 0.000 | 0.001 | 0.000 | 125.862 | 
| 397.228 | 118.253 | 69.917 | -0.000 | -0.000 | -0.000 | 
| 118.947 | 331.681 | 122.555 | 0.000 | -0.000 | -0.000 | 
| -148.331 | 328.198 | 363.647 | -0.000 | 0.000 | 0.000 | 
| -422.239 | 49.982 | 46.810 | 41.401 | -0.000 | -0.000 | 
| -242.333 | 180.852 | 107.376 | 0.000 | 52.707 | -0.000 | 
| 0.000 | 0.000 | -0.000 | -0.000 | -0.000 | 125.862 | 
| 441.531 | -62.997 | -91.056 | 0.000 | 0.000 | -0.000 | 
| 343.245 | 52.651 | 44.861 | 0.000 | 0.000 | 0.000 | 
| 331.353 | -31.054 | 155.177 | 0.000 | -0.000 | 0.000 | 
| 422.239 | -49.982 | -46.810 | 41.402 | 0.000 | 0.000 | 
| 242.333 | -180.852 | -107.376 | 0.000 | 52.707 | 0.000 | 
| -0.000 | -0.000 | 0.000 | 0.000 | -0.000 | 125.862 | 
| 253.475 | 103.073 | 81.698 | 0.000 | 0.000 | 0.000 | 
| 102.174 | 250.886 | 148.119 | -0.000 | 0.000 | -0.000 | 
| -23.669 | 45.504 | 185.393 | -0.000 | 0.000 | -0.000 | 
| -17.290 | 12.106 | 11.655 | 79.698 | 0.000 | -0.000 | 
| -47.182 | -7.473 | 1.438 | -0.000 | 36.571 | -0.000 | 
| -20.092 | 14.465 | 11.553 | 0.000 | 0.000 | 79.457 | 
| 277.393 | 64.018 | 52.084 | -0.000 | -0.000 | -0.000 | 
| 73.540 | 100.189 | -8.818 | 0.000 | 0.000 | 0.000 | 
| 86.736 | 71.640 | 229.936 | 0.000 | 0.000 | 0.000 | 
| 17.290 | -12.106 | -11.655 | 79.698 | 0.000 | -0.000 | 
| 47.182 | 7.473 | -1.438 | 0.000 | 36.571 | 0.000 | 
| 20.092 | -14.465 | -11.553 | -0.000 | -0.000 | 79.457 | 
| 314.841 | 126.002 | 97.701 | -0.000 | -0.000 | -0.000 | 
| 125.791 | 251.579 | 148.687 | -0.000 | -0.000 | 0.000 | 
| 96.154 | 149.475 | 308.440 | -0.000 | -0.000 | 0.000 | 
| -0.000 | 0.000 | 0.000 | 137.925 | 0.000 | -0.000 | 
| -0.000 | -0.000 | 0.000 | -0.000 | 82.795 | 0.000 | 
| -0.007 | 0.015 | 0.012 | -0.000 | -0.000 | 91.367 | 
| 314.803 | 125.964 | 97.685 | -0.000 | -0.000 | -0.000 | 
| 124.302 | 348.103 | 130.438 | -0.000 | 0.000 | -0.000 | 
| 76.231 | 130.438 | 427.204 | 0.000 | 0.000 | -0.000 | 
| 0.000 | 0.000 | -0.000 | 137.925 | -0.000 | -0.000 | 
| 0.000 | -0.000 | -0.000 | -0.000 | 82.795 | -0.000 | 
| 0.007 | -0.015 | -0.012 | 0.000 | 0.000 | 91.366 | 
| 279.585 | 93.208 | 76.430 | -0.000 | 0.000 | 0.000 | 
| 89.644 | 197.061 | 94.254 | -0.000 | -0.000 | 0.000 | 
| 96.147 | 149.445 | 308.512 | 0.000 | -0.000 | -0.000 | 
| -0.000 | 0.000 | 0.000 | 137.925 | 0.000 | -0.000 | 
| -0.001 | 0.001 | 0.001 | -0.000 | 65.174 | 0.000 | 
| 0.000 | 0.000 | 0.000 | 0.000 | -0.000 | 130.310 | 
| 409.225 | 124.302 | 76.231 | 0.000 | 0.000 | -0.000 | 
| 124.302 | 348.103 | 130.437 | 0.000 | 0.000 | -0.000 | 
| 96.179 | 149.471 | 308.328 | -0.000 | -0.000 | -0.000 | 
| 0.000 | -0.000 | -0.000 | 137.925 | -0.000 | -0.000 | 
| 0.001 | -0.001 | -0.001 | -0.000 | 65.174 | -0.000 | 
| -0.000 | -0.000 | -0.000 | 0.000 | -0.000 | 130.310 | 
| 409.228 | 124.303 | 76.231 | -0.000 | -0.000 | 0.000 | 
| 51.542 | 132.923 | 21.782 | 0.000 | -0.000 | 0.000 | 
| 74.498 | 89.481 | 248.575 | -0.000 | 0.000 | 0.000 | 
| -0.000 | -0.000 | 0.000 | 97.382 | 0.000 | 0.000 | 
| 0.000 | 0.000 | 0.000 | 0.000 | 82.795 | 0.000 | 
| -0.000 | 0.000 | 0.000 | 0.000 | 0.000 | 91.366 | 
| 409.223 | 124.302 | 76.231 | -0.000 | -0.000 | 0.000 | 
| 124.302 | 348.102 | 130.437 | 0.000 | -0.000 | 0.000 | 
| 74.716 | 89.684 | 247.246 | -0.000 | 0.000 | -0.000 | 
| 0.000 | 0.000 | -0.000 | 97.382 | 0.000 | -0.000 | 
| -0.000 | -0.000 | -0.000 | -0.000 | 82.795 | 0.000 | 
| 0.000 | -0.000 | -0.000 | -0.000 | 0.000 | 91.366 | 
| -367.544 | -186.510 | -104.787 | 0.000 | -464.861 | -0.000 | 
| -109.115 | 103.093 | -1667.691 | 0.000 | 836.084 | -0.000 | 
| -87.414 | -61.083 | -1503.781 | 0.000 | 825.444 | -0.000 | 
| -169.431 | -121.758 | -1725.283 | 56.293 | 825.128 | 7.563 | 
| 4.238 | 14.952 | -12.459 | 0.000 | 115.527 | -0.000 | 
| 0.000 | 0.000 | 0.000 | 14.985 | -0.000 | 96.090 | 
| 886.215 | 387.108 | 325.076 | -0.000 | 502.571 | 0.000 | 
| 725.042 | 565.840 | 301.234 | -0.000 | 494.610 | 0.000 | 
| 111.446 | 81.282 | 344.740 | -0.000 | -12.459 | 0.000 | 
| 169.431 | 121.758 | 1725.283 | 56.293 | -825.128 | 7.563 | 
| 8845.316 | -2843.601 | 10151.429 | -0.000 | -635.948 | 0.000 | 
| -0.000 | -0.000 | 0.000 | 14.985 | 0.000 | 96.090 | 
| 197.506 | 71.535 | 88.607 | 0.000 | -29.455 | -0.000 | 
| 42.926 | 211.754 | -115.040 | 0.000 | 93.252 | -0.000 | 
| -927.620 | 313.189 | -926.830 | 0.000 | 77.884 | -0.000 | 
| -62.646 | -28.657 | -21.475 | 54.303 | -48.333 | 8.198 | 
| -393.580 | -135.690 | -491.079 | 0.000 | 70.645 | -0.000 | 
| -62.581 | -28.627 | -21.453 | 8.527 | -48.282 | 58.808 | 
| 340.085 | 95.538 | 108.162 | -0.000 | 28.492 | 0.000 | 
| 194.247 | 52.417 | 404.366 | -0.000 | -0.289 | 0.000 | 
| 99.467 | 73.440 | 395.402 | -0.000 | -82.954 | 0.000 | 
| 62.646 | 28.657 | 21.475 | 54.303 | 48.333 | 8.198 | 
| 17.172 | 20.454 | 172.446 | -0.000 | -21.469 | 0.000 | 
| 62.581 | 28.627 | 21.453 | 8.527 | 48.282 | 58.808 | 
| 340.087 | 95.538 | 108.163 | 0.000 | 28.492 | -0.000 | 
| 91.519 | 270.898 | 84.280 | -0.000 | 5.342 | -0.000 | 
| 104.857 | 84.658 | 256.437 | 0.000 | -13.108 | -0.000 | 
| -81.672 | 27.180 | -81.460 | 21.501 | -0.337 | -3.438 | 
| -3.702 | 8.312 | -10.535 | 0.000 | 77.786 | -0.000 | 
| -5.567 | -2.546 | -1.908 | 9.241 | -4.295 | 62.928 | 
| 226.596 | 66.245 | 97.438 | 0.000 | 9.873 | 0.000 | 
| 105.268 | 273.318 | 89.156 | -0.000 | 15.581 | 0.000 | 
| 118.437 | 89.673 | 277.204 | -0.000 | -3.460 | 0.000 | 
| 2.316 | 1.466 | 16.113 | 54.893 | -6.996 | 7.356 | 
| 2.562 | 10.183 | 17.866 | -0.000 | 57.766 | 0.000 | 
| 5.567 | 2.546 | 1.908 | 9.241 | 4.295 | 62.928 | 
| 323.883 | 88.149 | 103.900 | -0.000 | 25.259 | -0.000 | 
| 91.273 | 249.933 | 83.582 | -0.000 | 8.518 | 0.000 | 
| 105.984 | 83.788 | 258.601 | 0.000 | -6.046 | 0.000 | 
| 0.000 | -0.000 | -0.000 | 82.049 | -0.000 | 13.981 | 
| 3.343 | 13.962 | -11.109 | -0.000 | 111.919 | -0.000 | 
| 0.000 | -0.000 | -0.000 | 13.981 | 0.000 | 91.307 | 
| 323.883 | 88.149 | 103.900 | -0.000 | 25.259 | -0.000 | 
| 46.292 | 175.902 | 30.251 | -0.000 | 11.939 | 0.000 | 
| 106.075 | 76.423 | 338.644 | -0.000 | -11.109 | -0.000 | 
| 0.000 | 0.000 | -0.000 | 82.049 | 0.000 | 13.981 | 
| 3.343 | 13.962 | -11.109 | -0.000 | 111.919 | -0.000 | 
| -0.000 | 0.000 | -0.000 | 13.981 | 0.000 | 91.307 | 
| 323.883 | 88.149 | 103.900 | 0.000 | 25.259 | -0.000 | 
| 91.276 | 249.934 | 83.583 | -0.000 | 8.518 | 0.000 | 
| 106.076 | 76.423 | 338.644 | 0.000 | -11.109 | -0.000 | 
| -0.000 | -0.000 | -0.000 | 58.705 | 0.000 | 8.570 | 
| 1.008 | 9.293 | -6.889 | 0.000 | 76.927 | 0.000 | 
| -0.000 | -0.000 | -0.002 | 2.837 | 0.000 | 58.831 | 
| 177.198 | 47.435 | 47.386 | 0.000 | 14.921 | -0.000 | 
| 85.414 | 346.036 | 76.423 | -0.000 | 13.962 | -0.000 | 
| 106.075 | 76.423 | 338.644 | 0.000 | -11.109 | -0.000 | 
| 0.000 | 0.000 | 0.000 | 58.705 | -0.000 | 8.570 | 
| 1.918 | 9.584 | -3.020 | 0.000 | 65.545 | -0.000 | 
| 0.000 | 0.000 | 0.000 | 9.263 | -0.000 | 65.532 | 
| 177.201 | 47.433 | 47.383 | 0.000 | 14.922 | -0.000 | 
| 85.415 | 346.038 | 76.423 | -0.000 | 13.962 | 0.000 | 
| 105.989 | 83.789 | 258.604 | 0.000 | -6.046 | 0.000 | 
| -0.000 | -0.000 | -0.000 | 58.705 | -0.000 | 8.570 | 
| 1.008 | 9.293 | -6.889 | 0.000 | 76.927 | 0.000 | 
| 0.000 | 0.000 | 0.000 | 13.981 | 0.000 | 91.307 | 
| 177.341 | 47.449 | 47.400 | 0.000 | 14.936 | -0.000 | 
| 48.289 | 157.263 | 28.947 | 0.000 | 11.998 | -0.000 | 
| 72.686 | 53.998 | 220.396 | 0.000 | -1.458 | 0.000 | 
| 0.000 | 0.000 | 0.000 | 58.705 | 0.000 | 8.570 | 
| 1.918 | 9.584 | -3.022 | 0.000 | 65.547 | -0.000 | 
| -0.000 | -0.000 | -0.000 | 13.981 | -0.000 | 91.307 | 
| 311.006 | 103.375 | 72.208 | 19.521 | -0.000 | -0.000 | 
| 103.375 | 311.005 | 72.208 | -19.521 | -0.000 | -0.000 | 
| 72.948 | 72.948 | 311.235 | 0.000 | -0.000 | 0.000 | 
| 19.521 | -19.521 | -0.000 | 74.150 | -0.000 | -0.000 | 
| 0.000 | 0.000 | -0.000 | 0.000 | 74.150 | 19.521 | 
| 0.000 | -0.000 | -0.000 | 0.000 | 19.521 | 103.815 | 
| 311.005 | 103.375 | 72.208 | 19.521 | -0.000 | 0.000 | 
| 103.375 | 311.005 | 72.208 | -19.521 | 0.000 | 0.000 | 
| 72.948 | 72.948 | 311.235 | -0.000 | -0.000 | 0.000 | 
| 19.521 | -19.521 | 0.000 | 74.150 | 0.000 | -0.000 | 
| -0.000 | -0.000 | 0.000 | -0.000 | 74.150 | 19.521 | 
| -0.000 | -0.000 | 0.000 | -0.000 | 19.521 | 103.815 | 
| -161.839 | -257.331 | 186.834 | 17.110 | 0.246 | 0.011 | 
| 119.595 | 241.951 | 239.042 | -9.902 | 0.616 | 0.126 | 
| -298.445 | -292.878 | 283.446 | 0.545 | 0.244 | 0.010 | 
| 19.521 | -19.521 | 0.000 | 74.150 | -0.000 | 0.000 | 
| -397.153 | -398.405 | -218.343 | 5.478 | 83.914 | 36.053 | 
| 0.000 | 0.000 | 0.000 | 0.000 | 19.521 | 103.815 | 
| 311.005 | 103.375 | 72.208 | 19.521 | -0.000 | -0.000 | 
| 103.375 | 311.005 | 72.208 | -19.521 | 0.000 | 0.000 | 
| 72.948 | 72.948 | 311.235 | -0.000 | 0.000 | -0.000 | 
| 433.892 | 361.939 | 218.679 | 79.262 | 0.348 | 0.521 | 
| 355.303 | 348.165 | -45.336 | 2.127 | 26.687 | 2.851 | 
| -0.000 | -0.000 | -0.000 | -0.000 | 19.521 | 103.815 | 
| 311.007 | 103.376 | 72.209 | 19.521 | -0.000 | -0.000 | 
| 103.376 | 311.007 | 72.209 | -19.521 | -0.000 | -0.000 | 
| 72.949 | 72.949 | 311.237 | 0.000 | -0.000 | -0.000 | 
| -37.831 | -43.030 | -13.804 | 43.159 | 0.028 | 0.013 | 
| 0.000 | 0.000 | 0.000 | 0.000 | 74.150 | 19.521 | 
| 0.650 | 1.627 | 13.387 | 0.023 | 11.917 | 64.008 | 
| 238.853 | 108.441 | 61.837 | 11.984 | -0.050 | -0.010 | 
| 92.680 | 224.941 | 48.843 | -10.931 | -0.016 | -0.007 | 
| 72.948 | 72.948 | 311.233 | -0.000 | -0.000 | 0.000 | 
| 19.521 | -19.521 | -0.000 | 74.150 | 0.000 | 0.000 | 
| -0.000 | -0.000 | -0.000 | -0.000 | 74.150 | 19.521 | 
| -0.650 | -1.626 | -13.385 | -0.023 | 11.817 | 63.995 | 
| -126.630 | -315.313 | -544.120 | -0.629 | 190.500 | 0.221 | 
| 225.248 | -170.218 | 57.240 | -0.585 | -186.775 | 0.205 | 
| 233.068 | -373.185 | 256.125 | -0.591 | -174.385 | 0.208 | 
| 124.839 | -457.649 | -31.824 | 58.934 | -179.507 | -7.552 | 
| -329.943 | -391.758 | -624.565 | -0.628 | 221.303 | 0.221 | 
| -0.000 | 0.000 | 0.000 | -14.060 | 0.000 | 99.291 | 
| 552.322 | 471.429 | 708.370 | 0.626 | -137.406 | -0.220 | 
| -24.484 | 745.064 | 120.949 | 0.588 | 172.416 | -0.207 | 
| 105.905 | 81.375 | 345.169 | -0.000 | 8.848 | -0.000 | 
| -124.840 | 457.651 | 31.824 | 60.106 | 179.508 | -7.964 | 
| 1233.889 | 806.112 | 1056.635 | 0.566 | -229.461 | -0.199 | 
| -0.000 | -0.000 | -0.000 | -14.060 | -0.000 | 99.291 | 
| 171.313 | 35.559 | 19.649 | -0.064 | 41.689 | 0.022 | 
| 113.254 | 240.187 | 85.823 | -0.059 | -25.668 | 0.021 | 
| 54.738 | 25.239 | 153.364 | -0.059 | 20.421 | 0.021 | 
| 12.458 | -45.670 | -3.176 | 59.516 | -17.913 | -7.750 | 
| 0.956 | -14.001 | 8.848 | 0.000 | 110.705 | -0.000 | 
| 12.495 | -45.804 | -3.185 | -8.119 | -17.966 | 73.664 | 
| 270.228 | 143.764 | 113.078 | 0.057 | 37.149 | -0.020 | 
| 93.353 | 350.460 | 82.550 | -0.000 | -14.309 | -0.000 | 
| 95.212 | 131.675 | 293.747 | 0.056 | 23.856 | -0.020 | 
| -12.458 | 45.671 | 3.176 | 59.632 | 17.914 | -7.790 | 
| -11.116 | 41.789 | 9.712 | 0.062 | 101.444 | -0.022 | 
| -12.494 | 45.803 | 3.185 | -8.002 | 17.966 | 73.623 | 
| 213.773 | 70.771 | 85.359 | -0.006 | 22.316 | 0.002 | 
| 74.129 | 208.137 | 58.553 | -0.006 | 2.468 | 0.002 | 
| 44.863 | 18.202 | 164.287 | -0.010 | -1.051 | 0.004 | 
| -2.291 | -4.163 | -4.895 | 54.243 | 0.814 | -3.388 | 
| 4.054 | -6.038 | -0.915 | -0.006 | 69.841 | 0.002 | 
| -10.605 | -7.665 | -10.182 | -3.001 | 4.655 | 54.055 | 
| 195.322 | 69.090 | 68.448 | 0.007 | 25.848 | -0.003 | 
| 93.353 | 350.458 | 82.550 | 0.000 | -14.309 | -0.000 | 
| 96.851 | 68.333 | 235.586 | 0.006 | 0.420 | -0.002 | 
| 2.291 | 4.163 | 4.895 | 54.251 | -0.814 | -3.391 | 
| 10.889 | 0.590 | 8.230 | 0.004 | 66.852 | -0.001 | 
| -1.265 | 4.636 | 0.322 | -7.981 | 1.819 | 73.327 | 
| 407.536 | 196.481 | 177.610 | -0.303 | 67.219 | 0.387 | 
| 177.165 | 416.748 | 165.331 | -0.266 | 21.254 | 0.277 | 
| 173.295 | 174.193 | 536.388 | -0.270 | -6.802 | 0.358 | 
| -0.255 | -0.242 | -0.199 | 98.926 | 0.664 | 24.590 | 
| 39.127 | 14.043 | -7.649 | 0.649 | 65.283 | -0.273 | 
| 0.586 | 0.303 | 0.511 | 32.231 | -0.246 | 108.997 | 
| 407.873 | 196.336 | 178.005 | -0.129 | 66.977 | 0.405 | 
| 177.216 | 416.704 | 165.540 | -0.179 | 21.190 | 0.291 | 
| 174.279 | 175.154 | 537.379 | -0.135 | -6.999 | 0.379 | 
| -0.373 | -0.464 | -0.084 | 98.092 | 0.632 | 25.331 | 
| 39.299 | 13.963 | -7.296 | 0.775 | 65.128 | -0.239 | 
| 0.643 | 0.239 | 0.699 | 32.326 | -0.360 | 109.032 | 
| 406.051 | 195.759 | 177.414 | -0.205 | 68.063 | 0.609 | 
| 176.823 | 416.027 | 165.196 | -0.209 | 21.576 | 0.326 | 
| 172.186 | 174.713 | 535.257 | -0.299 | -5.358 | 0.504 | 
| -0.432 | -0.309 | -0.334 | 97.338 | 0.779 | 25.634 | 
| 41.179 | 14.743 | -5.469 | 0.760 | 64.037 | -0.374 | 
| 0.768 | 0.317 | 0.436 | 32.513 | -0.327 | 108.348 | 
| 406.098 | 195.779 | 177.544 | -0.168 | 68.005 | 0.597 | 
| 176.891 | 416.050 | 165.382 | -0.174 | 21.529 | 0.321 | 
| 172.263 | 174.731 | 535.395 | -0.264 | -5.424 | 0.488 | 
| -0.428 | -0.296 | -0.245 | 97.384 | 0.753 | 25.634 | 
| 41.218 | 14.745 | -5.331 | 0.791 | 63.960 | -0.382 | 
| 0.857 | 0.348 | 0.627 | 32.540 | -0.414 | 108.280 | 
| 406.059 | 195.717 | 177.500 | -0.192 | 67.989 | 0.612 | 
| 176.839 | 416.004 | 165.177 | -0.206 | 21.615 | 0.340 | 
| 172.221 | 174.684 | 535.279 | -0.309 | -5.372 | 0.515 | 
| -0.401 | -0.314 | -0.309 | 97.331 | 0.767 | 25.668 | 
| 41.207 | 14.740 | -5.384 | 0.763 | 63.974 | -0.388 | 
| 0.811 | 0.332 | 0.563 | 32.525 | -0.383 | 108.275 | 
| 407.108 | 195.484 | 178.152 | -0.201 | 67.431 | 0.540 | 
| 176.842 | 416.003 | 165.189 | -0.202 | 21.608 | 0.338 | 
| 171.316 | 174.656 | 539.564 | -0.199 | -4.875 | 0.471 | 
| -0.396 | -0.312 | -0.294 | 97.335 | 0.760 | 25.667 | 
| 41.212 | 14.744 | -5.369 | 0.768 | 63.967 | -0.390 | 
| 0.818 | 0.340 | 0.581 | 32.539 | -0.391 | 108.268 | 
| -8000.584 | -8064.134 | -8064.026 | -0.047 | 0.049 | 0.799 | 
| -8063.959 | -8000.686 | -8063.987 | -0.047 | 0.049 | 0.799 | 
| -8063.957 | -8064.094 | -8000.576 | -0.047 | 0.049 | 0.798 | 
| -8083.909 | -8083.999 | -8083.893 | 43.269 | 0.035 | 0.821 | 
| -8094.710 | -8094.860 | -8094.751 | -0.050 | 43.109 | 0.793 | 
| 0.000 | 0.000 | 0.000 | 0.000 | -0.000 | 105.506 | 
| 8185.536 | 8122.367 | 8122.258 | 0.050 | -0.053 | -0.794 | 
| 103.609 | 211.818 | 103.609 | -0.000 | -0.000 | 0.000 | 
| 8122.256 | 8122.404 | 8185.617 | 0.050 | -0.053 | -0.794 | 
| -0.000 | -0.000 | -0.000 | 105.506 | -0.000 | -0.000 | 
| 8083.906 | 8083.997 | 8083.890 | 0.036 | 43.270 | -0.821 | 
| 8093.628 | 8093.771 | 8093.662 | 0.049 | -0.051 | 42.286 | 
| 211.818 | 103.609 | 103.609 | 0.000 | -0.000 | 0.000 | 
| 103.609 | 211.818 | 103.609 | 0.000 | -0.000 | -0.000 | 
| 103.609 | 103.609 | 211.818 | 0.000 | 0.000 | 0.000 | 
| -808.170 | -808.187 | -808.176 | 43.077 | 0.006 | 0.078 | 
| -808.189 | -808.206 | -808.195 | -0.005 | 43.105 | 0.078 | 
| -808.150 | -808.168 | -808.157 | -0.006 | 0.006 | 43.149 | 
| 211.818 | 103.609 | 103.609 | -0.000 | -0.000 | -0.000 | 
| 103.609 | 211.818 | 103.609 | -0.000 | -0.000 | -0.000 | 
| 837.466 | 837.502 | 899.933 | 0.010 | -0.012 | -0.070 | 
| 808.187 | 808.204 | 808.193 | 43.103 | -0.006 | -0.078 | 
| 808.168 | 808.186 | 808.175 | 0.006 | 43.075 | -0.078 | 
| 808.208 | 808.224 | 808.213 | 0.005 | -0.006 | 43.030 | 
| 16.500 | -43.274 | -43.272 | -0.018 | 0.022 | -0.043 | 
| -37.119 | 17.166 | -37.177 | -0.016 | 0.020 | -0.019 | 
| -37.118 | -37.182 | 17.168 | -0.016 | 0.020 | -0.019 | 
| 0.000 | 0.000 | 0.000 | 105.506 | 0.000 | 0.000 | 
| 0.000 | 0.000 | 0.000 | 0.000 | 105.506 | 0.000 | 
| 0.000 | 0.000 | 0.000 | 0.000 | 0.000 | 105.506 | 
| 172.700 | 113.973 | 113.968 | 0.027 | -0.035 | 0.053 | 
| 113.880 | 172.732 | 113.990 | 0.027 | -0.035 | 0.054 | 
| 113.879 | 113.994 | 172.731 | 0.027 | -0.035 | 0.054 | 
| -0.000 | -0.000 | -0.000 | 105.506 | 0.000 | -0.000 | 
| -0.000 | -0.000 | -0.000 | 0.000 | 105.506 | -0.000 | 
| -0.000 | -0.000 | -0.000 | -0.000 | 0.000 | 105.506 | 
| 147.556 | 83.942 | 83.942 | -0.000 | 0.000 | -0.000 | 
| 83.942 | 147.556 | 83.942 | -0.000 | 0.000 | -0.000 | 
| 83.942 | 83.942 | 147.556 | -0.000 | -0.000 | -0.000 | 
| -0.000 | 0.000 | 0.000 | 97.333 | 0.000 | -0.000 | 
| 0.000 | 0.000 | 0.000 | -0.000 | 97.333 | -0.000 | 
| 0.000 | 0.000 | -0.000 | -0.000 | 0.000 | 97.333 | 
| 120.697 | 54.664 | 54.664 | 0.000 | -0.000 | 0.000 | 
| 54.664 | 120.696 | 54.664 | 0.000 | 0.000 | 0.000 | 
| 54.664 | 54.664 | 120.696 | 0.000 | -0.000 | 0.000 | 
| 0.000 | -0.000 | -0.000 | 97.333 | -0.000 | -0.000 | 
| -0.000 | -0.000 | -0.000 | 0.000 | 97.333 | -0.000 | 
| -0.000 | -0.000 | 0.000 | -0.000 | -0.000 | 97.333 | 
| 147.556 | 83.942 | 83.942 | -0.000 | 0.000 | -0.000 | 
| 83.942 | 147.556 | 83.942 | -0.000 | 0.000 | -0.000 | 
| 83.942 | 83.942 | 147.556 | -0.000 | 0.000 | -0.000 | 
| -0.000 | -0.000 | -0.000 | 66.572 | -0.000 | -0.000 | 
| -0.000 | -0.000 | -0.000 | -0.000 | 66.572 | -0.000 | 
| -0.000 | -0.000 | -0.000 | -0.000 | 0.000 | 66.572 | 
| 199.708 | 92.661 | 92.661 | 0.000 | -0.000 | -0.000 | 
| 92.661 | 199.708 | 92.661 | 0.000 | -0.000 | 0.000 | 
| 92.661 | 92.661 | 199.708 | 0.000 | -0.000 | 0.000 | 
| 0.000 | 0.000 | 0.000 | 66.572 | -0.000 | 0.000 | 
| 0.000 | 0.000 | 0.000 | 0.000 | 66.572 | 0.000 | 
| 0.000 | 0.000 | 0.000 | 0.000 | -0.000 | 66.572 | 
| 147.551 | 83.941 | 83.941 | -0.000 | 0.000 | -0.000 | 
| 83.941 | 147.551 | 83.941 | -0.000 | 0.000 | -0.000 | 
| 83.941 | 83.941 | 147.551 | -0.000 | 0.000 | -0.000 | 
| -0.000 | -0.000 | 0.000 | 57.865 | -0.000 | -0.000 | 
| -0.000 | -0.000 | 0.000 | -0.000 | 57.865 | -0.000 | 
| -0.000 | 0.000 | -0.000 | -0.000 | 0.000 | 57.865 | 
| 199.708 | 92.660 | 92.660 | 0.000 | -0.000 | -0.000 | 
| 92.660 | 199.708 | 92.660 | 0.000 | -0.000 | -0.000 | 
| 92.660 | 92.660 | 199.708 | 0.000 | -0.000 | -0.000 | 
| 0.000 | 0.000 | -0.000 | 57.865 | -0.000 | 0.000 | 
| 0.000 | 0.000 | -0.000 | 0.000 | 57.865 | 0.000 | 
| 0.000 | -0.000 | 0.000 | 0.000 | -0.000 | 57.865 | 
| 307.888 | 251.084 | 163.957 | -527.753 | -405.912 | 160.230 | 
| -1369.822 | -1092.147 | -114.362 | -1024.668 | -479.926 | 519.214 | 
| 122.168 | 130.151 | 317.336 | -4.483 | -2.423 | -20.287 | 
| -523.302 | 24.081 | 471.097 | -640.594 | -383.129 | 161.034 | 
| 272.269 | -144.599 | -43.370 | -504.759 | -203.914 | 46.975 | 
| -510.982 | 36.824 | 474.991 | -660.026 | -372.369 | 186.385 | 
| -257.177 | 45.755 | 258.123 | 314.442 | 218.723 | -109.712 | 
| 117.484 | 324.889 | 133.938 | 3.370 | -1.421 | 43.342 | 
| 122.168 | 130.151 | 317.336 | -4.483 | -2.423 | -20.287 | 
| -274.033 | 144.421 | 35.371 | 575.300 | 259.825 | -49.415 | 
| 3.618 | -1.564 | -2.423 | -20.598 | 115.739 | -6.906 | 
| -270.597 | 167.649 | 26.317 | 493.101 | 269.662 | 22.359 | 
| 372.408 | 105.262 | 121.777 | 3.080 | -47.256 | -27.969 | 
| 117.484 | 324.889 | 133.938 | 3.370 | -1.421 | 43.342 | 
| -92.568 | -116.928 | 46.757 | -104.134 | -42.923 | 59.735 | 
| -6.549 | 3.244 | -4.483 | 130.971 | -20.598 | -1.510 | 
| 28.467 | -15.202 | -7.679 | -61.335 | 42.646 | 2.604 | 
| 26.812 | 9.962 | -17.264 | -48.507 | -28.879 | 76.856 | 
| 233.700 | 129.145 | 133.247 | 53.029 | -1.139 | -12.941 | 
| 97.507 | 265.456 | 133.517 | 51.223 | 27.066 | 17.854 | 
| 103.506 | 139.963 | 240.291 | 43.776 | 22.674 | -18.267 | 
| -6.549 | 3.243 | -4.483 | 130.971 | -20.598 | -1.510 | 
| -24.814 | 13.046 | 0.011 | 35.876 | 93.252 | -6.752 | 
| -26.715 | 38.289 | -9.371 | 49.143 | 24.969 | 66.803 | 
| 233.529 | 85.493 | 89.847 | -0.522 | -28.517 | -5.360 | 
| 93.699 | 203.263 | 83.965 | -2.311 | -5.627 | 17.294 | 
| 59.861 | 37.871 | 145.677 | -9.015 | -6.013 | 0.340 | 
| 0.141 | -0.929 | -4.834 | 84.435 | -17.419 | 0.139 | 
| 5.014 | -3.256 | -0.064 | -9.911 | 28.011 | 0.992 | 
| 0.387 | 25.186 | -14.524 | -4.336 | -5.048 | 77.604 | 
| 204.582 | 46.881 | 65.738 | 8.171 | -12.419 | -5.227 | 
| 84.100 | 203.485 | 87.728 | 3.829 | -0.775 | 15.423 | 
| 74.425 | 52.652 | 166.950 | 2.322 | -0.005 | -4.445 | 
| -6.332 | 0.517 | -0.041 | 74.372 | -8.561 | -0.878 | 
| 0.649 | -0.362 | -3.333 | -11.491 | 78.867 | -3.300 | 
| -4.130 | 27.452 | -13.741 | 4.312 | -0.226 | 76.178 | 
| -818.956 | -983.363 | -428.007 | -0.000 | -0.000 | -0.000 | 
| -982.383 | -817.916 | -427.550 | -0.000 | -0.000 | 0.000 | 
| -1011.459 | -1011.459 | -241.369 | -0.000 | -0.000 | 0.000 | 
| 0.000 | 0.000 | 0.000 | 86.965 | -0.000 | -0.000 | 
| -0.000 | 0.000 | 0.000 | 0.000 | 86.966 | 0.000 | 
| -1095.227 | -1095.227 | -512.560 | 0.000 | -0.000 | 82.335 | 
| 342.130 | 110.524 | 81.607 | 0.000 | 0.000 | -0.000 | 
| 1214.630 | 1379.101 | 600.638 | 0.000 | 0.000 | 0.000 | 
| 81.745 | 81.745 | 337.690 | 0.000 | 0.000 | 0.000 | 
| 0.000 | 0.000 | -0.000 | 86.965 | 0.000 | -0.000 | 
| 0.000 | 0.000 | 0.000 | 0.000 | 86.965 | -0.000 | 
| 0.000 | 0.000 | -0.000 | 0.000 | 0.000 | 115.803 | 
| 304.527 | 228.861 | -5.526 | -0.000 | -0.000 | -0.000 | 
| 5.804 | 169.946 | 34.927 | 0.000 | -0.000 | 0.000 | 
| -277.030 | -277.030 | 242.126 | -0.000 | -0.000 | 0.000 | 
| -0.000 | 0.000 | 0.000 | 86.965 | -0.000 | 0.000 | 
| 460.387 | 460.387 | -115.082 | -0.000 | 16.745 | -0.000 | 
| 360.034 | 360.034 | 69.457 | 0.000 | -0.000 | 38.083 | 
| 390.133 | 225.177 | 137.563 | 0.000 | 0.000 | 0.000 | 
| 225.565 | 390.296 | 137.753 | -0.000 | -0.000 | 0.000 | 
| 81.745 | 81.745 | 337.689 | 0.000 | 0.000 | -0.000 | 
| -0.000 | -0.000 | -0.000 | 86.965 | -0.000 | -0.000 | 
| -460.387 | -460.387 | 115.082 | -0.000 | 16.745 | 0.000 | 
| 109.911 | 109.911 | 51.438 | 0.000 | 0.000 | 82.216 | 
| 263.797 | 104.748 | 81.407 | -0.000 | -0.000 | 0.000 | 
| 71.117 | 198.577 | 69.797 | -0.000 | -0.000 | -0.000 | 
| 81.746 | 81.746 | 337.691 | 0.000 | -0.000 | -0.000 | 
| -10.810 | -10.810 | -5.059 | 59.774 | -0.000 | 0.000 | 
| 0.000 | 0.000 | 0.000 | 0.000 | 86.965 | -0.000 | 
| -30.970 | -30.970 | 6.388 | -0.000 | -0.000 | 58.398 | 
| 342.129 | 110.524 | 81.607 | 0.000 | -0.000 | -0.000 | 
| 127.219 | 291.403 | 91.746 | 0.000 | 0.000 | 0.000 | 
| 81.745 | 81.745 | 337.688 | 0.000 | -0.000 | -0.000 | 
| 10.810 | 10.810 | 5.059 | 59.774 | -0.000 | -0.000 | 
| -0.000 | -0.000 | -0.000 | -0.000 | 86.965 | 0.000 | 
| 30.970 | 30.970 | -6.388 | 0.000 | 0.000 | 58.399 | 
| -449.722 | -562.908 | 5409.079 | 0.000 | 0.000 | -0.000 | 
| -562.908 | -449.722 | 5409.079 | -0.000 | 0.000 | 0.000 | 
| -583.679 | -583.679 | 8928.252 | 0.000 | 0.000 | -0.000 | 
| -687.226 | -687.226 | 5315.385 | 39.295 | 0.000 | -0.000 | 
| -651.124 | -651.124 | 8745.926 | 0.000 | 57.982 | 0.000 | 
| 4654.397 | 4654.397 | 5039.939 | 0.000 | 0.000 | 77.120 | 
| 924.714 | 811.568 | -5221.834 | -0.000 | -0.000 | 0.000 | 
| -5524.472 | -5411.587 | -2297.996 | -0.000 | -0.000 | -0.000 | 
| 782.682 | 782.682 | -5092.632 | 0.000 | -0.000 | -0.000 | 
| 687.226 | 687.226 | -5315.385 | 39.295 | -0.000 | 0.000 | 
| 651.124 | 651.124 | -8745.926 | -0.000 | 57.982 | -0.000 | 
| -4654.397 | -4654.397 | -5039.939 | -0.000 | -0.000 | 77.120 | 
| 339.858 | 111.389 | 81.690 | 0.000 | 0.000 | -0.000 | 
| 46.935 | 148.083 | 935.690 | 0.000 | 0.000 | 0.000 | 
| 26.741 | 26.741 | 754.232 | 0.000 | 0.000 | -0.000 | 
| -68.667 | -68.667 | 531.110 | 39.333 | 0.000 | -0.000 | 
| 941.835 | 941.835 | -558.008 | 0.000 | 23.243 | -0.000 | 
| -68.689 | -68.689 | 531.277 | 0.000 | 0.000 | 56.612 | 
| 306.071 | 193.012 | -437.498 | 0.000 | -0.000 | -0.000 | 
| 193.012 | 306.071 | -437.498 | -0.000 | -0.000 | -0.000 | 
| 132.569 | 132.569 | -690.301 | -0.000 | -0.000 | -0.000 | 
| 68.667 | 68.667 | -531.110 | 39.333 | -0.000 | 0.000 | 
| -941.835 | -941.835 | 558.008 | -0.000 | 23.243 | -0.000 | 
| 68.689 | 68.689 | -531.277 | 0.000 | -0.000 | 56.612 | 
| 237.431 | 116.964 | 143.503 | 0.000 | 0.000 | 0.000 | 
| 108.926 | 241.093 | 54.242 | 0.000 | 0.000 | -0.000 | 
| 72.186 | 72.186 | 139.419 | 0.000 | 0.000 | -0.000 | 
| 44.924 | 44.924 | 52.337 | 63.363 | 0.000 | 0.000 | 
| 62.466 | 62.466 | 6.609 | 0.000 | 52.220 | -0.000 | 
| -6.304 | -6.304 | 84.536 | 0.000 | 0.000 | 52.009 | 
| 339.856 | 111.389 | 81.690 | -0.000 | -0.000 | 0.000 | 
| 118.979 | 213.360 | -21.294 | -0.000 | -0.000 | -0.000 | 
| 82.598 | 82.598 | 330.432 | -0.000 | -0.000 | -0.000 | 
| -44.924 | -44.924 | -52.337 | 63.363 | -0.000 | -0.000 | 
| -62.466 | -62.466 | -6.609 | -0.000 | 52.220 | -0.000 | 
| 6.304 | 6.304 | -84.536 | -0.000 | -0.000 | 52.009 | 
| 1122.287 | -1322.095 | 2194.724 | 0.000 | 0.001 | -0.000 | 
| -161.308 | -309.360 | 1603.662 | 0.000 | 0.001 | -0.000 | 
| -136.640 | -604.302 | 1836.332 | 0.000 | 0.001 | -0.000 | 
| 0.000 | 0.000 | 0.000 | 96.118 | 0.000 | -0.000 | 
| 0.000 | -0.000 | 0.000 | 0.000 | 149.774 | -0.000 | 
| -274.089 | -703.757 | 1499.376 | 0.000 | 0.001 | 81.565 | 
| 606.115 | 817.818 | -1364.871 | -0.000 | -0.001 | 0.000 | 
| 386.918 | 1098.445 | -1395.470 | -0.000 | -0.001 | 0.000 | 
| -1159.568 | -401.564 | -2596.388 | -0.000 | -0.000 | 0.000 | 
| 0.000 | 0.000 | -0.000 | 96.118 | 0.000 | 0.000 | 
| -0.000 | 0.000 | -0.000 | -0.000 | 149.774 | 0.000 | 
| 274.089 | 703.757 | -1499.376 | -0.000 | -0.001 | 81.565 | 
| 305.858 | 42.969 | 285.641 | 0.000 | 0.000 | -0.000 | 
| 85.380 | 322.874 | 255.011 | 0.000 | 0.000 | -0.000 | 
| 188.035 | -50.978 | 459.714 | 0.000 | 0.000 | -0.000 | 
| -27.511 | -70.637 | 150.494 | 77.971 | 0.000 | -0.000 | 
| -27.431 | -70.432 | 150.058 | 0.000 | 107.431 | -0.000 | 
| 0.000 | 0.000 | 0.000 | 0.000 | -0.000 | 116.081 | 
| 4.526 | -80.696 | -293.592 | -0.000 | -0.000 | 0.000 | 
| -427.599 | -130.826 | -370.960 | -0.000 | -0.000 | -0.000 | 
| 139.788 | 84.993 | 404.536 | -0.000 | -0.000 | 0.000 | 
| 27.511 | 70.637 | -150.494 | 77.971 | -0.000 | 0.000 | 
| 27.431 | 70.432 | -150.058 | -0.000 | 107.431 | 0.000 | 
| -0.000 | -0.000 | -0.000 | -0.000 | 0.000 | 116.081 | 
| 177.765 | 6.225 | 46.487 | 0.000 | 0.000 | -0.000 | 
| 105.153 | 459.052 | 86.172 | 0.000 | -0.000 | -0.000 | 
| 139.789 | 84.993 | 404.538 | 0.000 | -0.000 | -0.000 | 
| -2.908 | -7.468 | 15.911 | 76.933 | 0.000 | -0.000 | 
| 6.930 | -12.628 | 19.278 | 0.000 | 90.290 | -0.000 | 
| -2.737 | -7.027 | 14.970 | 0.000 | 0.000 | 81.618 | 
| 301.355 | 126.784 | 115.122 | -0.000 | -0.000 | 0.000 | 
| 118.889 | 385.979 | 87.993 | -0.000 | -0.000 | 0.000 | 
| 24.528 | 31.908 | 172.515 | -0.000 | -0.000 | 0.000 | 
| 2.908 | 7.468 | -15.911 | 76.933 | -0.000 | 0.000 | 
| -6.930 | 12.628 | -19.278 | -0.000 | 90.290 | 0.000 | 
| 2.737 | 7.027 | -14.970 | -0.000 | -0.000 | 81.618 | 
| -416.274 | -468.359 | -41.094 | 0.000 | 0.000 | -0.000 | 
| -468.359 | -416.274 | -41.094 | 0.000 | -0.000 | -0.000 | 
| -461.209 | -461.209 | 260.986 | 0.001 | -0.000 | -0.000 | 
| 0.000 | 0.000 | -0.000 | 130.830 | -0.000 | -0.000 | 
| 0.000 | -0.000 | -0.000 | -0.000 | 130.830 | -0.000 | 
| 0.000 | 0.000 | 0.000 | 0.000 | 0.000 | 184.283 | 
| 258.569 | 183.048 | 130.854 | -0.000 | 0.000 | 0.000 | 
| 183.048 | 258.569 | 130.854 | 0.000 | 0.000 | 0.000 | 
| 576.354 | 576.354 | 527.966 | -0.001 | 0.000 | 0.000 | 
| -0.000 | -0.000 | 0.000 | 130.830 | 0.000 | 0.000 | 
| -0.000 | -0.000 | -0.000 | -0.000 | 130.830 | 0.000 | 
| -0.000 | -0.000 | 0.000 | -0.000 | 0.000 | 184.283 | 
| 105.580 | 109.878 | 87.888 | -0.000 | 0.000 | -0.000 | 
| 109.878 | 105.580 | 87.888 | -0.000 | 0.000 | -0.000 | 
| 86.706 | 86.706 | 387.653 | -0.000 | -0.000 | -0.000 | 
| -9.213 | -9.213 | 0.611 | 83.292 | 0.000 | -0.000 | 
| -9.213 | -9.213 | 0.611 | -0.000 | 83.292 | -0.000 | 
| 0.000 | 0.000 | 0.000 | 0.000 | 0.000 | 184.283 | 
| 258.569 | 183.048 | 130.854 | -0.000 | 0.000 | 0.000 | 
| 183.048 | 258.569 | 130.854 | -0.000 | -0.000 | 0.000 | 
| 119.020 | 119.020 | 403.171 | 0.000 | -0.000 | 0.000 | 
| 9.213 | 9.213 | -0.611 | 83.292 | 0.000 | 0.000 | 
| 9.213 | 9.213 | -0.611 | 0.000 | 83.292 | 0.000 | 
| -0.000 | -0.000 | -0.000 | -0.000 | -0.000 | 184.283 | 
| 82.134 | 50.507 | 61.505 | 0.000 | -0.000 | -0.000 | 
| 50.507 | 82.134 | 61.505 | 0.000 | -0.000 | -0.000 | 
| 53.706 | 53.706 | 384.236 | -0.000 | 0.000 | -0.000 | 
| -3.170 | -3.170 | -0.349 | 76.808 | -0.000 | -0.000 | 
| -3.170 | -3.170 | -0.349 | -0.000 | 76.812 | -0.000 | 
| -4.846 | -4.845 | -1.108 | 0.000 | -0.000 | 48.510 | 
| 92.946 | 61.235 | 63.438 | -0.000 | 0.000 | 0.000 | 
| 61.235 | 92.946 | 63.438 | -0.000 | 0.000 | 0.000 | 
| 106.278 | 106.278 | 400.237 | 0.000 | 0.000 | 0.000 | 
| 3.170 | 3.170 | 0.349 | 76.808 | 0.000 | 0.000 | 
| 3.170 | 3.170 | 0.349 | 0.000 | 76.808 | 0.000 | 
| 4.846 | 4.845 | 1.108 | -0.000 | 0.000 | 48.510 | 
| -10798.440 | -10932.832 | 14479.731 | 27.718 | 0.000 | -0.000 | 
| -10962.877 | -10828.887 | 14518.684 | -27.770 | 0.000 | -0.000 | 
| 132.154 | 132.154 | 514.093 | 0.000 | 0.000 | -0.000 | 
| -12227.782 | -12254.059 | 12541.761 | 126.478 | -0.000 | -0.000 | 
| -12232.365 | -12232.365 | 12530.645 | 0.000 | 126.544 | 13.123 | 
| -11060.592 | -11060.592 | 14371.537 | -0.000 | 27.768 | 67.002 | 
| 414.730 | 132.267 | 134.266 | 8.460 | -0.000 | 0.000 | 
| 12279.688 | 12487.523 | -12414.765 | -13.029 | 0.000 | 0.000 | 
| 12347.118 | 12347.118 | -12110.430 | -0.000 | 0.000 | 0.000 | 
| 8488.032 | 8340.873 | -14949.279 | -120.402 | -0.000 | 0.000 | 
| 12232.365 | 12232.365 | -12530.645 | -0.000 | 126.544 | 13.123 | 
| 11060.592 | 11060.592 | -14371.537 | 0.000 | 27.768 | 67.002 | 
| -806.440 | -834.496 | 1540.054 | 60.681 | 0.000 | -0.000 | 
| -1181.323 | -979.136 | 1387.324 | -14.254 | -0.000 | -0.000 | 
| -1085.779 | -1085.779 | 1642.204 | 0.000 | -0.000 | 0.000 | 
| -1075.372 | -1130.804 | 1433.293 | 47.156 | 0.000 | -0.000 | 
| -1103.198 | -1103.198 | 1433.436 | -0.000 | 47.148 | 27.718 | 
| -1104.498 | -1104.498 | 1435.126 | -0.000 | 27.741 | 67.107 | 
| 414.729 | 132.267 | 134.266 | 8.460 | -0.000 | 0.000 | 
| 132.267 | 414.729 | 134.266 | -8.460 | -0.000 | 0.000 | 
| 933.058 | 933.058 | -1129.203 | 0.000 | -0.000 | 0.000 | 
| 1130.916 | 1075.480 | -1433.436 | 47.148 | -0.000 | 0.000 | 
| 1103.198 | 1103.198 | -1433.436 | -0.000 | 47.148 | 27.718 | 
| 1104.498 | 1104.498 | -1435.126 | 0.000 | 27.741 | 67.107 | 
| 103.784 | -74.140 | 269.049 | 18.839 | 0.000 | -0.000 | 
| -74.053 | 103.818 | 269.070 | -18.850 | 0.000 | -0.000 | 
| 14.095 | 14.095 | 514.612 | -0.000 | 0.000 | -0.000 | 
| 8.460 | -8.460 | 0.000 | 132.915 | 0.000 | -0.000 | 
| 0.000 | 0.000 | 0.000 | 0.000 | 132.915 | 8.460 | 
| -125.932 | -125.932 | 139.189 | 0.000 | 18.315 | 89.120 | 
| 345.834 | 206.710 | 6.628 | 27.102 | -0.000 | 0.000 | 
| 206.722 | 345.823 | 6.608 | -27.105 | -0.000 | 0.000 | 
| 241.474 | 241.474 | 257.191 | 0.000 | -0.000 | 0.000 | 
| 140.525 | 97.679 | -138.979 | 81.937 | -0.000 | 0.000 | 
| -0.000 | -0.000 | -0.000 | -0.000 | 132.915 | 8.460 | 
| 125.932 | 125.932 | -139.189 | -0.000 | 18.315 | 89.120 | 
| 397.676 | 124.189 | 133.456 | 7.600 | 0.000 | 0.000 | 
| 124.189 | 397.676 | 133.456 | -7.600 | 0.000 | 0.000 | 
| 150.412 | 150.412 | 382.421 | 0.000 | 0.000 | 0.000 | 
| 19.183 | -13.005 | 3.574 | 104.196 | 0.000 | -0.000 | 
| 0.000 | 0.000 | -0.000 | 0.000 | 140.221 | 7.600 | 
| 3.729 | 3.729 | 4.314 | 0.000 | 17.853 | 88.816 | 
| 397.675 | 124.189 | 133.456 | 7.600 | -0.000 | 0.000 | 
| 124.189 | 397.675 | 133.456 | -7.600 | -0.000 | -0.000 | 
| 141.651 | 141.651 | 371.850 | -0.000 | -0.000 | 0.000 | 
| 7.600 | -7.600 | 0.000 | 140.221 | -0.000 | -0.000 | 
| -0.000 | -0.000 | 0.000 | -0.000 | 140.221 | 7.600 | 
| -3.729 | -3.729 | -4.314 | -0.000 | 17.853 | 88.816 | 
| 179.346 | 17.724 | 140.765 | 18.819 | 0.000 | -0.000 | 
| 88.379 | 228.672 | 148.849 | -21.847 | 0.000 | 0.000 | 
| 133.456 | 133.456 | 462.086 | 0.000 | 0.000 | -0.000 | 
| 7.600 | -7.600 | 0.000 | 140.221 | 0.000 | 0.000 | 
| 0.000 | 0.000 | 0.000 | 0.000 | 140.221 | 7.600 | 
| 0.000 | 0.000 | -0.000 | 0.000 | 7.600 | 136.743 | 
| 226.812 | 87.164 | 147.719 | 21.916 | -0.000 | -0.000 | 
| 15.811 | 177.351 | 139.431 | -18.827 | -0.000 | 0.000 | 
| 133.456 | 133.456 | 462.085 | -0.000 | -0.000 | 0.000 | 
| 15.742 | -16.357 | -0.355 | 104.385 | -0.000 | 0.000 | 
| -0.000 | -0.000 | -0.000 | -0.000 | 140.221 | 7.600 | 
| -0.000 | -0.000 | -0.000 | -0.000 | 7.600 | 136.743 | 
| 178.482 | 16.867 | 140.162 | 18.819 | 0.000 | 0.000 | 
| 17.065 | 179.361 | 140.087 | -18.746 | 0.000 | 0.000 | 
| 133.457 | 133.457 | 462.088 | 0.000 | 0.000 | -0.000 | 
| 25.133 | -24.887 | 0.058 | 97.860 | 0.000 | 0.000 | 
| 0.064 | 0.064 | 0.056 | -0.000 | 99.702 | 18.952 | 
| 0.000 | 0.000 | 0.000 | 0.000 | 7.600 | 136.743 | 
| 151.368 | 24.730 | 112.458 | 29.177 | -0.000 | 0.000 | 
| 16.682 | 178.277 | 140.029 | -18.821 | -0.000 | 0.000 | 
| 145.985 | 145.985 | 377.173 | -0.000 | -0.000 | 0.000 | 
| 18.887 | -19.014 | -0.056 | 99.707 | -0.000 | 0.000 | 
| -0.064 | -0.064 | -0.056 | 0.000 | 99.702 | 18.952 | 
| -0.000 | -0.000 | -0.000 | -0.000 | 7.600 | 136.743 | 
| 238.437 | 83.738 | 122.751 | -0.001 | -0.000 | 0.001 | 
| 83.740 | 238.438 | 122.752 | -0.001 | -0.000 | 0.001 | 
| 33.087 | 33.083 | 160.002 | -0.002 | -0.001 | 0.004 | 
| 0.000 | 0.000 | 0.000 | 186.243 | -0.000 | 0.000 | 
| 0.000 | 0.000 | -0.000 | 0.000 | 186.243 | 0.000 | 
| -0.557 | -0.557 | -0.436 | -0.000 | -0.000 | 46.222 | 
| 381.014 | 84.625 | 178.914 | 0.000 | -0.000 | 0.000 | 
| 84.625 | 381.014 | 178.914 | 0.000 | 0.000 | -0.000 | 
| 178.902 | 178.902 | 274.170 | -0.000 | 0.000 | 0.000 | 
| -0.000 | -0.000 | -0.000 | 186.243 | 0.000 | -0.000 | 
| -0.000 | -0.000 | -0.000 | -0.000 | 186.243 | -0.000 | 
| 0.557 | 0.557 | 0.436 | 0.000 | 0.000 | 46.221 | 
| 381.014 | 84.625 | 178.914 | -0.000 | 0.000 | 0.000 | 
| -51.811 | 154.821 | 36.953 | -0.000 | -0.000 | 0.001 | 
| 36.855 | 36.855 | 162.953 | -0.000 | -0.000 | 0.000 | 
| 0.000 | 0.000 | 0.000 | 186.243 | -0.000 | 0.000 | 
| 0.000 | 0.000 | 0.000 | -0.000 | 186.243 | -0.000 | 
| -0.056 | -0.056 | -0.044 | -0.000 | -0.000 | 46.232 | 
| 381.014 | 84.625 | 178.914 | -0.000 | 0.000 | -0.000 | 
| 84.625 | 381.014 | 178.914 | 0.000 | 0.000 | -0.000 | 
| 37.692 | 37.692 | 163.609 | 0.000 | 0.000 | -0.000 | 
| -0.000 | -0.000 | -0.000 | 186.243 | -0.000 | -0.000 | 
| -0.000 | -0.000 | -0.000 | -0.000 | 186.243 | -0.000 | 
| 0.056 | 0.056 | 0.044 | 0.000 | 0.000 | 46.232 | 
| 155.222 | -51.433 | 37.259 | -0.000 | -0.000 | 0.000 | 
| -51.433 | 155.222 | 37.259 | -0.000 | -0.000 | 0.000 | 
| 37.235 | 37.235 | 163.251 | -0.000 | -0.000 | 0.000 | 
| -0.008 | -0.009 | -0.006 | 114.622 | -0.000 | 0.000 | 
| -0.009 | -0.008 | -0.006 | -0.000 | 114.622 | 0.000 | 
| -0.020 | -0.020 | -0.015 | -0.000 | -0.000 | 42.900 | 
| 155.283 | -51.352 | 37.314 | 0.000 | 0.000 | -0.000 | 
| -51.352 | 155.283 | 37.314 | 0.000 | 0.000 | -0.000 | 
| 37.312 | 37.312 | 163.312 | 0.000 | 0.000 | -0.000 | 
| 0.008 | 0.009 | 0.006 | 114.622 | 0.000 | -0.000 | 
| 0.009 | 0.008 | 0.006 | 0.000 | 114.622 | -0.000 | 
| 0.020 | 0.020 | 0.015 | 0.000 | 0.000 | 42.900 | 
| -3721.934 | -1399.841 | 436.297 | -0.000 | -0.000 | -0.000 | 
| -136.915 | 1102.046 | -205.262 | 0.000 | -0.000 | -0.000 | 
| -217.235 | 1117.784 | -431.936 | 0.000 | -0.000 | -0.000 | 
| -3255.474 | -963.654 | 1065.660 | -44.594 | -0.000 | -0.000 | 
| -286.871 | 1031.570 | -629.947 | 0.000 | 69.242 | -0.000 | 
| -286.870 | 1031.564 | -629.946 | 0.000 | -0.000 | 54.883 | 
| 507.056 | -745.483 | 423.571 | -0.000 | 0.000 | 0.000 | 
| 356.062 | -808.254 | 715.185 | -0.000 | 0.000 | 0.000 | 
| 324.556 | -713.297 | 560.989 | -0.000 | 0.000 | 0.000 | 
| 0.000 | -0.000 | 0.000 | 112.640 | 0.000 | -0.000 | 
| 286.871 | -1031.570 | 629.947 | 0.000 | 69.242 | 0.000 | 
| 286.864 | -1031.546 | 629.919 | -0.000 | 0.000 | 54.883 | 
| 261.670 | 168.404 | 69.008 | 0.000 | -0.000 | -0.000 | 
| 63.749 | 354.264 | 84.769 | 0.000 | -0.000 | -0.000 | 
| 79.421 | 200.024 | 206.401 | 0.000 | -0.000 | -0.000 | 
| -22.297 | 83.078 | -32.232 | 82.547 | -0.000 | -0.000 | 
| -28.690 | 103.176 | -62.962 | 0.000 | 69.218 | -0.000 | 
| 93.309 | 99.578 | -38.477 | 0.000 | -0.000 | 22.625 | 
| 259.903 | -35.254 | 132.427 | -0.000 | 0.000 | 0.000 | 
| 98.071 | 121.225 | 148.735 | -0.000 | 0.000 | 0.000 | 
| 124.046 | 33.811 | 271.255 | 0.000 | 0.000 | 0.000 | 
| 22.297 | -83.078 | 32.232 | 82.547 | 0.000 | 0.000 | 
| 28.690 | -103.176 | 62.962 | -0.000 | 69.218 | 0.000 | 
| 442.954 | 288.207 | 77.676 | -0.000 | 0.000 | 65.229 | 
| 225.185 | 75.758 | 58.624 | -0.000 | -0.000 | -0.000 | 
| 63.096 | 220.922 | 72.506 | 0.000 | -0.000 | -0.000 | 
| 60.915 | 93.596 | 176.953 | 0.000 | -0.000 | -0.000 | 
| 0.969 | 7.395 | -16.213 | 65.068 | -0.000 | -0.000 | 
| -2.044 | 7.617 | -2.955 | 0.000 | 75.289 | -0.000 | 
| -33.877 | -39.460 | -10.563 | 0.000 | -0.000 | 15.864 | 
| 156.497 | -4.679 | 7.215 | -0.000 | 0.000 | 0.000 | 
| -16.984 | 73.492 | -29.934 | -0.000 | 0.000 | 0.000 | 
| 65.886 | 68.470 | 193.679 | -0.000 | 0.000 | 0.000 | 
| -0.969 | -7.395 | 16.213 | 65.068 | 0.000 | 0.000 | 
| 2.044 | -7.617 | 2.955 | -0.000 | 75.289 | 0.000 | 
| 33.877 | 39.460 | 10.563 | 0.000 | 0.000 | 15.864 | 
| 329.322 | 66.807 | 89.935 | -0.000 | -0.000 | -0.000 | 
| 66.807 | 329.322 | 89.935 | -0.000 | 0.000 | -0.000 | 
| -268.649 | -268.630 | 932.772 | -1.244 | 1.267 | 1.981 | 
| 0.000 | -0.000 | -0.000 | 89.909 | -0.000 | -0.000 | 
| -0.000 | -0.000 | 0.000 | -0.000 | 89.909 | -0.000 | 
| -0.000 | -0.000 | -0.000 | 0.000 | 0.000 | 71.274 | 
| 329.322 | 66.807 | 89.935 | -0.000 | -0.000 | 0.000 | 
| 66.807 | 329.322 | 89.935 | 0.000 | -0.000 | 0.000 | 
| 793.844 | 793.827 | -585.980 | 0.915 | -0.917 | -1.488 | 
| -0.000 | 0.000 | 0.000 | 89.909 | -0.000 | 0.000 | 
| 0.000 | 0.000 | 0.000 | 0.000 | 89.909 | 0.000 | 
| -0.000 | 0.000 | 0.000 | -0.000 | 0.000 | 71.274 | 
| 117.351 | -55.949 | 174.202 | -0.084 | 0.084 | 0.138 | 
| -55.950 | 117.353 | 174.202 | -0.084 | 0.084 | 0.138 | 
| 87.885 | 87.885 | 373.213 | 0.000 | 0.000 | -0.000 | 
| -35.037 | -35.035 | 61.632 | 52.172 | 0.126 | 0.197 | 
| -35.049 | -35.047 | 61.654 | -0.124 | 52.408 | 0.197 | 
| 0.000 | 0.000 | 0.000 | -0.000 | 0.000 | 71.274 | 
| 313.964 | 87.823 | 25.002 | 0.122 | -0.124 | -0.194 | 
| 66.807 | 329.322 | 89.935 | -0.000 | -0.000 | 0.000 | 
| 87.885 | 87.885 | 373.212 | 0.000 | 0.000 | 0.000 | 
| 35.049 | 35.047 | -61.654 | 52.407 | -0.126 | -0.197 | 
| 35.036 | 35.034 | -61.632 | 0.124 | 52.170 | -0.197 | 
| -0.000 | -0.000 | -0.000 | 0.000 | 0.000 | 71.274 | 
| 71.824 | -12.604 | 60.886 | -0.014 | 0.013 | 0.025 | 
| -12.603 | 71.823 | 60.887 | -0.014 | 0.013 | 0.025 | 
| 76.072 | 76.072 | 293.865 | -0.018 | 0.019 | 0.029 | 
| -8.302 | -8.301 | 9.315 | 50.451 | 0.008 | 0.013 | 
| -8.303 | -8.303 | 9.315 | -0.008 | 50.472 | 0.013 | 
| 0.000 | 0.000 | 0.000 | -0.000 | 0.000 | 71.274 | 
| 108.367 | 6.931 | 50.053 | 0.012 | -0.012 | -0.018 | 
| 6.931 | 108.366 | 50.053 | 0.012 | -0.012 | -0.018 | 
| 62.549 | 62.549 | 249.900 | 0.010 | -0.010 | -0.017 | 
| 8.303 | 8.303 | -9.315 | 50.472 | -0.008 | -0.013 | 
| 8.301 | 8.301 | -9.315 | 0.008 | 50.451 | -0.013 | 
| 10.464 | 10.464 | -10.915 | 0.007 | -0.006 | 35.038 | 
| 297.025 | 60.741 | 75.049 | 0.000 | -0.000 | 0.000 | 
| 60.741 | 297.025 | 75.049 | 0.000 | -0.000 | 0.000 | 
| 75.049 | 75.049 | 308.012 | 0.000 | -0.000 | 0.000 | 
| 0.000 | 0.000 | 0.000 | 53.408 | -0.000 | 0.000 | 
| 0.000 | 0.000 | 0.000 | 0.000 | 53.408 | 0.000 | 
| 0.000 | 0.000 | 0.000 | 0.000 | 0.000 | 40.592 | 
| 297.025 | 60.741 | 75.049 | -0.000 | 0.000 | -0.000 | 
| 60.741 | 297.025 | 75.049 | -0.000 | 0.000 | -0.000 | 
| 67.807 | 67.807 | 235.364 | -0.000 | 0.000 | -0.000 | 
| -0.000 | -0.000 | -0.000 | 53.408 | 0.000 | -0.000 | 
| -0.000 | -0.000 | -0.000 | -0.000 | 53.408 | -0.000 | 
| -0.000 | -0.000 | -0.000 | -0.000 | 0.000 | 40.591 | 
| 297.025 | 60.741 | 75.049 | -0.000 | -0.000 | 0.000 | 
| 60.741 | 297.025 | 75.049 | 0.000 | -0.000 | 0.000 | 
| 75.049 | 75.049 | 308.012 | 0.000 | -0.000 | 0.000 | 
| -0.000 | 0.000 | 0.000 | 81.325 | -0.000 | 0.000 | 
| 0.000 | 0.000 | 0.000 | 0.000 | 81.325 | 0.000 | 
| 0.000 | 0.000 | 0.000 | 0.000 | -0.000 | 40.591 | 
| 167.027 | 28.132 | 61.860 | -0.000 | 0.000 | -0.000 | 
| 28.132 | 167.027 | 61.860 | -0.000 | 0.000 | -0.000 | 
| 67.807 | 67.807 | 235.365 | -0.000 | 0.000 | -0.000 | 
| 0.000 | -0.000 | -0.000 | 81.325 | 0.000 | -0.000 | 
| -0.000 | -0.000 | -0.000 | 0.000 | 81.325 | -0.000 | 
| -0.000 | -0.000 | -0.000 | -0.000 | -0.000 | 40.591 | 
| 297.027 | 60.741 | 75.050 | 0.000 | -0.000 | 0.000 | 
| 60.741 | 297.027 | 75.050 | 0.000 | -0.000 | 0.000 | 
| 67.808 | 67.808 | 235.373 | 0.000 | -0.000 | 0.000 | 
| 0.000 | 0.000 | 0.000 | 81.325 | -0.000 | 0.000 | 
| 0.000 | 0.000 | 0.000 | 0.000 | 81.325 | 0.000 | 
| -0.000 | 0.000 | -0.000 | -0.000 | -0.000 | 30.629 | 
| 79.153 | -7.927 | 34.059 | -0.000 | 0.000 | -0.000 | 
| -7.927 | 79.153 | 34.059 | -0.000 | 0.000 | -0.000 | 
| 67.807 | 67.807 | 235.370 | -0.000 | 0.000 | -0.000 | 
| -0.000 | -0.000 | -0.000 | 81.325 | 0.000 | -0.000 | 
| -0.000 | -0.000 | -0.000 | -0.000 | 81.325 | -0.000 | 
| 0.000 | -0.000 | 0.000 | -0.000 | 0.000 | 30.629 | 
| 347.776 | 136.088 | 112.762 | 0.000 | 0.000 | -0.000 | 
| 171.656 | 372.957 | 161.530 | 0.000 | -0.000 | 0.000 | 
| 69.158 | 161.530 | 480.421 | 0.000 | 0.000 | 0.000 | 
| -8.452 | -36.383 | -1.446 | 102.664 | 0.000 | -0.000 | 
| 3.511 | -29.495 | 6.925 | 0.000 | 62.266 | -0.000 | 
| 4.431 | -37.232 | 8.741 | 0.000 | 0.000 | 124.866 | 
| 385.481 | 209.525 | 85.455 | -0.000 | 0.000 | 0.000 | 
| 171.656 | 372.957 | 161.530 | -0.000 | -0.000 | -0.000 | 
| 69.158 | 161.530 | 480.421 | -0.000 | -0.000 | -0.000 | 
| 8.452 | 36.383 | 1.446 | 102.664 | 0.000 | 0.000 | 
| -3.511 | 29.495 | -6.925 | -0.000 | 62.266 | 0.000 | 
| -4.431 | 37.232 | -8.741 | -0.000 | -0.000 | 124.866 | 
| 366.750 | 175.322 | 98.427 | 0.000 | 0.000 | -0.000 | 
| 171.656 | 372.957 | 161.530 | 0.000 | 0.000 | -0.000 | 
| 73.322 | 57.740 | 215.861 | -0.000 | 0.000 | 0.000 | 
| -1.723 | -5.016 | -1.133 | 102.070 | 0.000 | -0.000 | 
| 0.000 | 0.000 | -0.000 | 0.000 | 77.060 | 0.000 | 
| 0.000 | 0.000 | 0.000 | 0.000 | 0.000 | 180.696 | 
| 251.126 | 13.104 | -22.941 | -0.000 | -0.000 | 0.000 | 
| 171.655 | 372.957 | 161.530 | -0.000 | -0.000 | -0.000 | 
| 102.146 | 172.316 | 316.948 | -0.000 | -0.000 | 0.000 | 
| 1.723 | 5.016 | 1.133 | 102.070 | -0.000 | -0.000 | 
| -0.000 | -0.000 | 0.000 | -0.000 | 77.060 | -0.000 | 
| -0.000 | -0.000 | -0.000 | -0.000 | -0.000 | 180.696 | 
| 249.292 | 6.993 | -24.672 | 0.000 | 0.000 | -0.000 | 
| 29.907 | 93.931 | 0.326 | 0.000 | 0.000 | -0.000 | 
| -14.969 | -4.848 | 153.831 | 0.000 | 0.000 | -0.000 | 
| 0.047 | -0.393 | 0.092 | 111.523 | 0.000 | -0.000 | 
| -0.190 | -0.506 | -0.076 | 0.000 | 55.609 | -0.000 | 
| -0.097 | -0.357 | -0.025 | -0.000 | 0.000 | 113.057 | 
| 249.411 | 8.097 | -24.323 | -0.000 | -0.000 | 0.000 | 
| 30.295 | 95.235 | 0.615 | -0.000 | -0.000 | -0.000 | 
| -14.541 | -3.708 | 154.320 | -0.000 | -0.000 | 0.000 | 
| -0.047 | 0.393 | -0.092 | 111.523 | -0.000 | -0.000 | 
| -0.035 | 0.294 | -0.069 | -0.000 | 62.306 | 0.000 | 
| 0.097 | 0.357 | 0.025 | -0.000 | -0.000 | 113.057 | 
| -325.783 | 3623.438 | 5649.161 | -0.000 | -0.031 | 0.001 | 
| 170.867 | 371.815 | 161.305 | 0.000 | 0.000 | 0.000 | 
| -3839.810 | 3229.130 | 8279.046 | -0.000 | -0.044 | 0.001 | 
| -7804.992 | -490.421 | 7689.638 | 96.960 | -0.037 | 0.001 | 
| -7318.773 | -95.611 | 8347.070 | 0.000 | 45.863 | 0.001 | 
| -7045.642 | 562.167 | 8139.423 | 0.000 | 0.161 | -7.744 | 
| 7188.421 | -589.903 | -8181.583 | -0.000 | -0.167 | 0.004 | 
| -2653.238 | -980.740 | -1779.975 | -0.000 | -0.024 | 0.001 | 
| 373.233 | -3562.095 | -5046.023 | 0.000 | 0.025 | -0.001 | 
| 7804.916 | 490.333 | -7689.759 | 96.961 | 0.037 | -0.001 | 
| -0.000 | 0.000 | 0.000 | -0.000 | 73.486 | 0.000 | 
| 7045.654 | -562.153 | -8139.423 | -0.000 | -0.161 | -7.736 | 
| 494.138 | 170.747 | 66.369 | -0.000 | 0.000 | -0.000 | 
| 170.867 | 371.815 | 161.305 | 0.000 | 0.000 | -0.000 | 
| -756.808 | -36.988 | 914.117 | -0.000 | -0.084 | 0.002 | 
| -188.197 | 369.046 | 906.058 | 147.294 | 0.003 | -0.000 | 
| -220.365 | 375.065 | 931.611 | 0.000 | 31.117 | -0.000 | 
| 0.000 | 0.000 | 0.000 | -0.000 | -0.000 | 180.284 | 
| 201.792 | -201.552 | -328.831 | -0.000 | 0.000 | -0.000 | 
| -89.564 | -63.514 | -15.971 | -0.000 | -0.002 | 0.000 | 
| -160.412 | 68.655 | -86.979 | -0.000 | -0.002 | 0.000 | 
| 188.197 | -369.046 | -906.058 | 147.294 | -0.003 | 0.000 | 
| 785.423 | 54.048 | -762.445 | -0.000 | 47.381 | 0.000 | 
| -0.000 | -0.000 | -0.000 | 0.000 | 0.000 | 180.284 | 
| 94.797 | 5.419 | 99.660 | 0.000 | -0.000 | 0.000 | 
| 68.034 | 133.673 | 78.794 | 0.000 | 0.000 | -0.000 | 
| -17.163 | 10.125 | 191.522 | 0.000 | 0.000 | -0.000 | 
| -74.050 | -5.412 | 77.688 | 99.020 | 0.000 | -0.000 | 
| -23.395 | 31.967 | 76.204 | 0.000 | 40.051 | 0.000 | 
| 0.263 | 33.313 | 65.042 | 0.000 | 0.000 | 102.227 | 
| 253.693 | 16.144 | -55.607 | -0.000 | -0.000 | 0.000 | 
| 58.305 | 79.409 | -44.513 | -0.000 | -0.000 | 0.000 | 
| 100.133 | 16.661 | 65.989 | -0.000 | -0.001 | 0.000 | 
| 67.779 | 0.138 | -78.247 | 97.331 | 0.000 | -0.000 | 
| 23.395 | -31.967 | -76.204 | -0.000 | 40.051 | -0.000 | 
| 76.498 | -2.355 | -87.627 | -0.000 | -0.000 | 67.303 | 
| 125.979 | -17.721 | 514.571 | 0.152 | 0.095 | 7.405 | 
| -10.838 | 123.959 | 512.145 | 0.164 | 0.102 | -6.477 | 
| 362.669 | 361.581 | 1042.020 | 0.131 | 0.087 | -0.024 | 
| 635.480 | 635.072 | 696.872 | 91.955 | 0.084 | -0.009 | 
| 635.481 | 635.073 | 696.873 | 0.138 | 91.900 | -0.009 | 
| 456.330 | 466.307 | 708.764 | 0.177 | 0.114 | 74.027 | 
| 220.938 | 91.584 | -466.399 | -0.165 | -0.102 | 7.644 | 
| -515.745 | -449.309 | -994.950 | -0.086 | -0.072 | -36.809 | 
| -321.524 | -321.349 | -366.036 | -0.246 | -0.143 | 0.000 | 
| 32.991 | 33.968 | -520.642 | 127.828 | -0.089 | 0.018 | 
| 49.885 | 50.830 | -488.329 | -0.165 | 81.475 | 0.022 | 
| 59.229 | 42.244 | -487.825 | -0.166 | -0.104 | 52.721 | 
| 166.615 | 36.360 | 71.631 | 0.017 | 0.010 | 8.555 | 
| 36.356 | 166.378 | 71.330 | 0.015 | 0.010 | -8.421 | 
| 61.508 | 61.355 | 264.454 | 0.014 | 0.009 | -0.003 | 
| 41.714 | 41.646 | 84.625 | 65.052 | 0.008 | -0.002 | 
| 3.709 | 3.545 | 33.287 | 0.018 | 78.741 | -0.027 | 
| 2.998 | -12.849 | 48.915 | 0.017 | 0.011 | 53.953 | 
| 175.746 | 46.172 | -26.733 | -0.017 | -0.010 | 7.825 | 
| -27.841 | 196.487 | 21.972 | -0.022 | -0.013 | -8.442 | 
| 26.929 | 27.021 | 143.189 | -0.016 | -0.010 | 0.002 | 
| -7.278 | -7.177 | -62.266 | 82.558 | -0.014 | -0.018 | 
| 13.112 | 13.279 | -20.654 | -0.014 | 73.932 | -0.008 | 
| 17.564 | -0.737 | -42.189 | -0.018 | -0.011 | 52.515 | 
| 170.297 | 40.519 | 27.002 | 0.002 | 0.001 | 7.808 | 
| 40.518 | 170.368 | 26.911 | 0.002 | 0.001 | -7.673 | 
| 22.504 | 22.490 | 196.830 | 0.003 | 0.002 | -0.000 | 
| -0.500 | -0.510 | 4.882 | 81.254 | 0.001 | -0.001 | 
| -0.488 | -0.498 | 4.900 | 0.002 | 81.254 | 0.004 | 
| 13.552 | -4.777 | 5.898 | 0.001 | 0.001 | 54.169 | 
| 171.298 | 41.567 | 17.235 | -0.002 | -0.001 | 7.816 | 
| 41.770 | 171.522 | 17.312 | -0.002 | -0.001 | -7.813 | 
| 19.927 | 19.931 | 185.982 | -0.002 | -0.001 | 0.000 | 
| 0.069 | 0.074 | -5.405 | 81.243 | -0.001 | -0.015 | 
| -5.635 | -5.623 | -7.932 | -0.002 | 81.236 | 0.003 | 
| 7.936 | -7.467 | -5.277 | -0.002 | -0.001 | 54.131 | 
| 461.140 | 100.268 | 120.836 | -0.000 | -0.000 | -4.521 | 
| 100.268 | 461.140 | 120.836 | -0.000 | -0.000 | 4.521 | 
| 263.032 | 263.032 | 501.655 | -0.000 | -0.000 | -0.000 | 
| 100.878 | 100.878 | 175.979 | 92.364 | -0.000 | -0.000 | 
| 100.878 | 100.878 | 175.979 | -0.000 | 92.364 | -0.000 | 
| 104.816 | 94.900 | 174.199 | -0.000 | 0.000 | 56.029 | 
| 215.046 | -19.075 | -59.643 | -0.000 | 0.000 | 6.903 | 
| -19.075 | 215.046 | -59.643 | -0.000 | -0.000 | -6.903 | 
| 120.836 | 120.836 | 458.205 | 0.000 | 0.000 | -0.000 | 
| -100.878 | -100.878 | -175.980 | 92.364 | 0.000 | 0.000 | 
| -100.878 | -100.878 | -175.980 | 0.000 | 92.364 | 0.000 | 
| -94.900 | -104.816 | -174.199 | -0.000 | 0.000 | 56.029 | 
| 336.265 | 125.544 | 122.738 | -0.000 | -0.000 | 1.792 | 
| 125.544 | 336.265 | 122.738 | 0.000 | 0.000 | -1.792 | 
| 147.518 | 147.518 | 318.585 | 0.000 | -0.000 | 0.000 | 
| 0.000 | 0.000 | 0.000 | 128.027 | 0.000 | -0.000 | 
| 0.000 | -0.000 | 0.000 | 0.000 | 128.027 | -0.000 | 
| 48.284 | 41.479 | 9.493 | -0.000 | 0.000 | 67.957 | 
| 217.890 | -0.635 | 77.369 | 0.000 | -0.000 | -8.603 | 
| -0.635 | 217.890 | 77.369 | 0.000 | 0.000 | 8.603 | 
| 49.563 | 49.563 | 244.990 | 0.000 | 0.000 | 0.000 | 
| -0.000 | -0.000 | -0.000 | 128.027 | 0.000 | -0.000 | 
| -0.000 | -0.000 | -0.000 | 0.000 | 128.027 | 0.000 | 
| -41.479 | -48.284 | -9.493 | 0.000 | 0.000 | 67.957 | 
| 208.031 | 22.945 | 15.793 | -0.000 | 0.000 | 8.874 | 
| 86.946 | 285.209 | 102.824 | 0.000 | -0.000 | -0.079 | 
| 114.142 | 114.142 | 292.236 | -0.000 | -0.000 | -0.000 | 
| 7.268 | 7.268 | 3.256 | 83.976 | -0.000 | -0.000 | 
| 7.608 | 7.608 | 2.319 | -0.000 | 85.137 | 0.000 | 
| 2.008 | -0.764 | 1.086 | -0.000 | -0.000 | 75.068 | 
| 203.593 | 5.744 | 22.468 | 0.000 | 0.000 | 0.116 | 
| 5.744 | 203.593 | 22.468 | 0.000 | 0.000 | -0.116 | 
| 9.300 | 9.300 | 185.718 | -0.000 | 0.000 | -0.000 | 
| -7.608 | -7.608 | -2.319 | 85.137 | 0.000 | 0.000 | 
| -7.608 | -7.608 | -2.319 | -0.000 | 85.135 | -0.000 | 
| -0.806 | -7.455 | -0.983 | 0.000 | -0.000 | 68.024 | 
| 323.790 | 119.994 | 126.244 | -0.000 | -0.000 | -0.000 | 
| 119.994 | 323.790 | 126.244 | 0.000 | -0.000 | -0.000 | 
| 124.082 | 124.082 | 342.870 | -0.000 | -0.000 | -0.000 | 
| 0.000 | 0.000 | -0.000 | 125.041 | -0.000 | -0.000 | 
| -0.000 | 0.000 | 0.000 | 0.000 | 125.041 | -0.000 | 
| -0.000 | 0.000 | 0.000 | -0.000 | 0.000 | 124.086 | 
| 323.790 | 119.994 | 126.244 | -0.000 | -0.000 | 0.000 | 
| 119.994 | 323.790 | 126.244 | -0.000 | -0.000 | 0.000 | 
| 267.534 | 267.534 | 623.962 | -0.008 | 0.000 | -0.000 | 
| -0.000 | -0.000 | -0.000 | 125.041 | 0.000 | -0.000 | 
| 0.000 | -0.000 | -0.000 | 0.000 | 125.041 | 0.000 | 
| -0.000 | -0.000 | -0.000 | 0.000 | -0.000 | 124.086 | 
| 159.452 | 10.044 | 45.817 | -0.001 | 0.000 | -0.000 | 
| 10.044 | 159.452 | 45.817 | -0.001 | 0.000 | -0.000 | 
| 124.082 | 124.082 | 342.870 | -0.000 | -0.000 | -0.000 | 
| -15.173 | -15.173 | -35.709 | 34.717 | -0.000 | 0.000 | 
| -15.173 | -15.173 | -35.708 | 0.001 | 34.717 | -0.000 | 
| -20.202 | -20.202 | -30.054 | 0.000 | -0.000 | 83.044 | 
| 323.790 | 119.994 | 126.244 | 0.000 | 0.000 | 0.000 | 
| 119.994 | 323.790 | 126.244 | 0.000 | -0.000 | 0.000 | 
| 124.082 | 124.082 | 342.870 | 0.000 | -0.000 | 0.000 | 
| 15.172 | 15.172 | 35.708 | 34.717 | 0.000 | 0.000 | 
| 15.173 | 15.173 | 35.708 | -0.001 | 34.717 | -0.000 | 
| 20.202 | 20.202 | 30.054 | -0.000 | 0.000 | 83.044 | 
| 323.792 | 119.994 | 126.245 | -0.000 | -0.000 | -0.000 | 
| 119.994 | 323.792 | 126.245 | -0.000 | -0.000 | -0.000 | 
| 65.443 | 65.443 | 208.514 | 0.000 | -0.000 | 0.000 | 
| -2.099 | -2.099 | -3.324 | 41.870 | -0.000 | -0.000 | 
| -2.099 | -2.099 | -3.324 | 0.000 | 41.869 | -0.000 | 
| -2.285 | -2.285 | -3.424 | 0.000 | -0.000 | 77.327 | 
| 158.415 | 16.408 | 49.057 | 0.000 | -0.000 | 0.000 | 
| 16.408 | 158.415 | 49.057 | 0.000 | -0.000 | -0.000 | 
| 66.181 | 66.181 | 211.043 | -0.000 | 0.000 | 0.000 | 
| 2.099 | 2.099 | 3.324 | 41.869 | 0.000 | 0.000 | 
| 2.099 | 2.099 | 3.324 | -0.000 | 41.869 | 0.000 | 
| 2.285 | 2.285 | 3.424 | -0.000 | 0.000 | 77.329 | 
| 283.019 | 100.197 | 98.230 | 0.000 | -0.000 | -0.000 | 
| 100.198 | 283.019 | 98.230 | 0.000 | -0.000 | 0.000 | 
| 48.622 | 48.622 | 152.717 | 0.000 | 0.000 | -0.000 | 
| 0.001 | 0.001 | -0.009 | 38.429 | 0.000 | -0.000 | 
| 0.001 | 0.001 | -0.009 | 0.000 | 38.429 | -0.000 | 
| 0.000 | -0.000 | 0.000 | -0.000 | 0.000 | 111.067 | 
| 143.042 | 7.162 | 35.305 | -0.000 | 0.000 | 0.000 | 
| 7.162 | 143.042 | 35.305 | 0.000 | -0.000 | 0.000 | 
| 98.230 | 98.230 | 256.911 | 0.000 | 0.000 | 0.000 | 
| -0.001 | -0.001 | 0.009 | 38.429 | -0.000 | 0.000 | 
| -0.001 | -0.001 | 0.009 | -0.000 | 38.429 | 0.000 | 
| -0.000 | 0.000 | 0.000 | -0.000 | -0.000 | 111.067 | 
| 143.044 | 7.167 | 35.310 | -0.000 | 0.000 | -0.000 | 
| 7.167 | 143.044 | 35.310 | -0.000 | 0.000 | -0.000 | 
| 48.622 | 48.622 | 152.726 | 0.000 | 0.000 | -0.000 | 
| 0.000 | 0.000 | -0.001 | 38.429 | 0.000 | 0.000 | 
| 0.000 | 0.000 | -0.001 | 0.000 | 38.429 | -0.000 | 
| 0.000 | 0.000 | 0.000 | 0.000 | -0.000 | 111.067 | 
| 283.018 | 100.197 | 98.230 | 0.000 | 0.000 | 0.000 | 
| 100.197 | 283.018 | 98.230 | -0.000 | 0.000 | 0.000 | 
| 48.622 | 48.622 | 152.731 | -0.000 | 0.000 | -0.000 | 
| -0.000 | -0.000 | 0.001 | 38.429 | 0.000 | -0.000 | 
| -0.000 | -0.000 | 0.001 | 0.000 | 38.429 | 0.000 | 
| -0.000 | -0.000 | -0.000 | -0.000 | -0.000 | 111.067 | 
| 143.019 | 7.154 | 35.299 | 0.000 | -0.000 | 0.000 | 
| 7.154 | 143.019 | 35.299 | 0.000 | 0.000 | -0.000 | 
| 48.731 | 48.731 | 153.029 | 0.000 | -0.000 | -0.000 | 
| -0.000 | -0.000 | -0.000 | 29.496 | -0.000 | -0.000 | 
| -0.000 | -0.000 | -0.000 | 0.000 | 29.496 | -0.000 | 
| -0.000 | 0.000 | -0.000 | 0.000 | 0.000 | 81.610 | 
| 283.017 | 100.197 | 98.230 | -0.000 | 0.000 | -0.000 | 
| 100.197 | 283.017 | 98.230 | -0.000 | -0.000 | -0.000 | 
| 48.625 | 48.625 | 152.738 | -0.000 | -0.000 | 0.000 | 
| -0.000 | -0.000 | -0.000 | 107.491 | -0.000 | 0.000 | 
| -0.000 | -0.000 | -0.000 | -0.000 | 107.491 | 0.000 | 
| 0.000 | -0.000 | 0.000 | -0.000 | -0.000 | 81.610 | 
| 340.305 | 110.531 | 143.556 | -0.000 | 0.000 | -0.000 | 
| 92.792 | 181.573 | -125.741 | -0.006 | -0.036 | 0.027 | 
| 55.342 | 55.830 | -27.594 | 0.006 | 0.050 | -0.046 | 
| -0.000 | -0.000 | 0.000 | 147.760 | -0.000 | 0.000 | 
| -0.000 | -0.000 | 0.000 | -0.000 | 147.760 | 0.000 | 
| 0.000 | 0.000 | 0.000 | -0.000 | -0.000 | 114.887 | 
| 340.305 | 110.531 | 143.556 | 0.000 | 0.000 | 0.000 | 
| 110.531 | 340.305 | 143.556 | 0.000 | 0.000 | 0.000 | 
| 224.945 | 222.707 | 487.949 | -0.007 | -0.233 | 0.268 | 
| 0.000 | -0.000 | -0.000 | 147.760 | 0.000 | 0.000 | 
| -0.000 | 0.000 | 0.000 | 0.000 | 147.760 | -0.000 | 
| 0.000 | 0.000 | -0.000 | 0.000 | 0.000 | 114.887 | 
| 296.339 | 135.777 | 143.283 | 0.000 | 0.005 | -0.005 | 
| 110.531 | 340.305 | 143.556 | -0.000 | 0.000 | -0.000 | 
| 143.177 | 143.177 | 311.827 | -0.000 | -0.000 | 0.000 | 
| 0.000 | 0.000 | 0.000 | 147.760 | -0.000 | 0.000 | 
| -1.142 | -1.095 | -6.190 | 0.000 | 100.511 | -0.006 | 
| 0.000 | 0.000 | 0.000 | -0.000 | 0.000 | 114.887 | 
| 340.305 | 110.531 | 143.556 | 0.000 | 0.000 | -0.000 | 
| 135.035 | 302.767 | 153.680 | -0.000 | -0.004 | 0.005 | 
| 143.177 | 143.177 | 311.827 | 0.000 | -0.000 | -0.000 | 
| -0.000 | -0.000 | -0.000 | 147.760 | 0.000 | -0.000 | 
| 1.142 | 1.094 | 6.187 | -0.000 | 100.523 | 0.006 | 
| -0.000 | -0.000 | -0.000 | 0.000 | -0.000 | 114.887 | 
| 340.307 | 110.531 | 143.557 | -0.000 | 0.000 | -0.000 | 
| 134.129 | 301.521 | 148.005 | 0.000 | 0.000 | -0.000 | 
| 143.178 | 143.178 | 311.828 | -0.000 | 0.000 | -0.000 | 
| -0.311 | -0.313 | -1.271 | 96.306 | -0.000 | 0.000 | 
| 0.000 | 0.000 | 0.000 | -0.000 | 147.760 | -0.000 | 
| 0.000 | 0.000 | 0.000 | -0.000 | 0.000 | 114.887 | 
| 294.876 | 136.466 | 147.787 | 0.000 | -0.000 | 0.000 | 
| 110.530 | 340.304 | 143.555 | 0.000 | 0.000 | -0.000 | 
| 143.176 | 143.176 | 311.826 | 0.000 | -0.000 | 0.000 | 
| 0.311 | 0.313 | 1.271 | 96.307 | 0.000 | -0.000 | 
| -0.000 | -0.000 | -0.000 | 0.000 | 147.760 | 0.000 | 
| -0.000 | -0.000 | -0.000 | 0.000 | 0.000 | 114.887 | 
| 330.691 | 132.989 | 91.287 | 0.000 | -0.000 | -0.000 | 
| -1280.039 | -1160.705 | 2010.525 | -1.151 | 0.097 | 8.211 | 
| 321.982 | 260.411 | 1130.555 | -1.179 | -0.374 | 1.262 | 
| -0.000 | 0.000 | 0.000 | 92.013 | -0.000 | -0.000 | 
| -0.000 | 0.000 | 0.000 | 0.000 | 92.013 | -0.000 | 
| -0.000 | 0.000 | 0.000 | 0.000 | -0.000 | 135.963 | 
| 1365.516 | 1291.877 | -2315.252 | 0.776 | 0.321 | -4.951 | 
| 1164.046 | 1285.105 | -1938.961 | 1.188 | -0.128 | -8.267 | 
| 89.954 | 89.954 | 381.818 | 0.000 | 0.000 | 0.000 | 
| -53.826 | 20.852 | -352.299 | 62.809 | 0.837 | -6.022 | 
| 0.000 | -0.000 | 0.000 | -0.000 | 92.013 | -0.000 | 
| 0.000 | -0.000 | -0.000 | -0.000 | 0.000 | 135.963 | 
| 273.908 | 136.453 | 137.681 | -0.099 | -0.081 | 0.582 | 
| 143.446 | 268.055 | 136.690 | -0.096 | -0.079 | 0.570 | 
| 0.272 | -1.437 | 325.956 | -0.083 | -0.012 | 0.685 | 
| 19.618 | 13.697 | 86.363 | 51.250 | -0.038 | 0.143 | 
| 19.624 | 13.700 | 86.395 | -0.111 | 51.304 | 0.143 | 
| 46.829 | 41.788 | 80.825 | -0.023 | -0.024 | 52.656 | 
| 196.997 | 72.871 | 22.532 | 0.113 | 0.040 | -0.164 | 
| 133.292 | 264.742 | 67.383 | 0.108 | 0.089 | -0.640 | 
| 6.730 | 15.721 | 128.107 | 0.162 | 0.116 | 0.389 | 
| -19.624 | -13.700 | -86.396 | 51.454 | 0.038 | -0.143 | 
| -47.212 | -41.892 | -79.940 | 0.024 | 58.920 | -0.750 | 
| -19.392 | -13.443 | -85.565 | 0.111 | 0.039 | 64.577 | 
| 115.178 | -17.591 | 99.715 | -0.007 | -0.007 | 0.009 | 
| -16.637 | 114.772 | 99.396 | -0.007 | -0.008 | 0.007 | 
| 87.532 | 86.845 | 261.833 | -0.007 | -0.006 | 0.066 | 
| 1.158 | 0.608 | 5.492 | 61.483 | -0.005 | 0.028 | 
| 1.158 | 0.608 | 5.492 | -0.009 | 61.485 | 0.028 | 
| -7.861 | -8.207 | 24.653 | -0.010 | -0.002 | 7.962 | 
| 146.535 | 13.977 | 64.530 | 0.014 | 0.002 | -0.081 | 
| 13.069 | 146.997 | 64.856 | 0.014 | 0.002 | -0.082 | 
| 85.455 | 86.126 | 185.058 | 0.005 | 0.003 | -0.080 | 
| -1.158 | -0.608 | -5.492 | 61.497 | 0.005 | -0.028 | 
| -1.158 | -0.608 | -5.492 | 0.009 | 61.495 | -0.028 | 
| 6.496 | 7.065 | -17.005 | 0.010 | 0.003 | 8.459 | 
| -1215.362 | -1439.742 | 1749.372 | 0.000 | 0.000 | 0.000 | 
| -1439.742 | -1215.362 | 1749.372 | 0.000 | 0.000 | -0.000 | 
| -949.920 | -949.920 | 2717.207 | 0.000 | 0.000 | -0.000 | 
| -4055.546 | -4055.546 | -2434.013 | 65.642 | 0.000 | -0.000 | 
| -4055.546 | -4055.546 | -2434.013 | -0.000 | 65.642 | -0.000 | 
| 0.000 | -0.000 | 0.000 | -0.000 | 0.000 | 83.164 | 
| 1307.507 | 1139.591 | -2370.131 | -0.000 | 0.000 | -0.000 | 
| 1139.591 | 1307.507 | -2370.131 | 0.000 | -0.000 | 0.000 | 
| 1159.102 | 1159.102 | -2232.431 | 0.000 | -0.000 | 0.000 | 
| 4055.546 | 4055.546 | 2434.013 | 65.642 | 0.000 | 0.000 | 
| 4055.546 | 4055.546 | 2434.013 | -0.000 | 65.642 | 0.000 | 
| -0.000 | 0.000 | 0.000 | 0.000 | -0.000 | 83.164 | 
| -120.559 | -302.157 | -140.255 | 0.000 | 0.000 | -0.000 | 
| -302.157 | -120.559 | -140.255 | -0.000 | 0.000 | -0.000 | 
| -45.247 | -45.247 | 734.743 | -0.000 | -0.000 | -0.000 | 
| -105.125 | -105.125 | 246.718 | 52.791 | 0.000 | -0.000 | 
| -105.125 | -105.125 | 246.718 | 0.000 | 52.791 | -0.000 | 
| 0.000 | 0.000 | 0.000 | -0.000 | 0.000 | 83.164 | 
| 360.130 | 190.194 | -141.577 | 0.000 | 0.000 | 0.000 | 
| 190.194 | 360.130 | -141.577 | -0.000 | 0.000 | 0.000 | 
| 120.175 | 120.175 | 372.235 | -0.000 | 0.000 | 0.000 | 
| 105.125 | 105.125 | -246.718 | 52.791 | 0.000 | 0.000 | 
| 105.125 | 105.125 | -246.718 | 0.000 | 52.791 | 0.000 | 
| -0.000 | -0.000 | -0.000 | 0.000 | -0.000 | 83.164 | 
| 317.693 | 74.832 | 170.529 | 0.000 | 0.000 | -0.000 | 
| 74.832 | 317.693 | 170.529 | 0.000 | 0.000 | -0.000 | 
| 109.605 | 109.605 | 284.017 | 0.000 | 0.000 | -0.000 | 
| -16.032 | -16.032 | 21.477 | 69.427 | -0.000 | -0.000 | 
| -16.032 | -16.032 | 21.477 | -0.000 | 69.427 | -0.000 | 
| 0.000 | 0.000 | 0.000 | -0.000 | 0.000 | 83.164 | 
| 295.430 | 71.716 | 71.727 | -0.000 | 0.000 | -0.000 | 
| 71.716 | 295.430 | 71.727 | -0.000 | 0.000 | 0.000 | 
| 119.029 | 119.029 | 238.922 | -0.000 | -0.000 | -0.000 | 
| 16.032 | 16.032 | -21.477 | 69.427 | -0.000 | 0.000 | 
| 16.032 | 16.032 | -21.477 | 0.000 | 69.427 | 0.000 | 
| -0.000 | -0.000 | -0.000 | -0.000 | -0.000 | 83.164 | 
| -30716013.980 | -17334387.241 | 8949662.286 | -3712571.436 | -2896916.127 | -2499550.036 | 
| -29848809.682 | -17050179.557 | 9535872.242 | -3637614.202 | -2414148.786 | -2211439.473 | 
| -29589160.417 | -17025088.745 | 9686948.568 | -3622977.332 | -2269026.659 | -2238930.679 | 
| -30306203.920 | -17125380.187 | 9251100.333 | -3652188.970 | -2680448.747 | -2334738.004 | 
| -29913103.589 | -17076570.971 | 9506035.208 | -3636144.191 | -2458422.328 | -2197153.994 | 
| -30041404.130 | -17078984.871 | 9427891.445 | -3625880.410 | -2552692.635 | -2217708.982 | 
| 30387210.491 | 17176398.720 | -9176823.327 | 3666983.087 | 2754281.685 | 2341945.793 | 
| 29900269.291 | 17057770.913 | -9498416.303 | 3609526.540 | 2451795.355 | 2205156.306 | 
| 29537235.229 | 17034220.314 | -9701201.453 | 3638500.559 | 2182218.343 | 2244602.679 | 
| 29995380.679 | 17063204.916 | -9456431.084 | 3633349.532 | 2503885.643 | 2223832.921 | 
| 30173048.137 | 17102453.018 | -9330996.463 | 3630107.989 | 2619750.824 | 2261514.230 | 
| 30005950.688 | 17051775.968 | -9461895.940 | 3615674.295 | 2542233.244 | 2220209.145 | 
| -2972330.552 | -1706453.375 | 961827.577 | -362401.974 | -235053.185 | -220088.097 | 
| -2998390.397 | -1706693.667 | 945021.056 | -362681.385 | -250454.460 | -220840.276 | 
| -2967787.800 | -1702900.277 | 963107.594 | -362815.663 | -229841.498 | -222203.607 | 
| -3014464.357 | -1705764.933 | 936435.249 | -363523.162 | -263995.416 | -227189.098 | 
| -3009377.897 | -1706379.219 | 939424.793 | -363044.589 | -260302.134 | -224427.418 | 
| -3017246.565 | -1708719.821 | 933091.384 | -363098.291 | -263217.466 | -226157.241 | 
| 3008873.622 | 1708155.577 | -938805.889 | 361103.964 | 257412.763 | 222751.023 | 
| 2997887.635 | 1706050.042 | -945235.958 | 361226.561 | 251814.364 | 219912.142 | 
| 3012087.999 | 1707667.008 | -937014.361 | 364305.499 | 259879.416 | 225433.300 | 
| 3042007.522 | 1716045.553 | -917981.982 | 365666.478 | 277121.428 | 236565.979 | 
| 3016381.904 | 1708066.943 | -935279.088 | 363366.048 | 260947.461 | 225135.501 | 
| 3017543.099 | 1708312.124 | -930975.376 | 364601.061 | 266336.135 | 228519.515 | 
| -306854.705 | -173223.631 | 89634.213 | -36909.025 | -29178.062 | -25194.518 | 
| -300293.292 | -170577.685 | 94235.167 | -36252.492 | -25533.982 | -22189.055 | 
| -296268.249 | -170165.803 | 96827.863 | -36309.830 | -22570.674 | -22288.091 | 
| -302645.128 | -171089.081 | 92635.280 | -36412.988 | -26913.664 | -23182.987 | 
| -296428.733 | -170237.141 | 96702.275 | -36370.466 | -22534.749 | -22316.995 | 
| -301816.883 | -170946.836 | 93254.306 | -36234.829 | -26240.571 | -22512.638 | 
| 297777.547 | 170773.547 | -96066.190 | 36137.991 | 23554.631 | 21911.757 | 
| 295990.827 | 170492.912 | -96800.947 | 36403.884 | 22217.870 | 22491.757 | 
| 297480.144 | 170448.591 | -95938.743 | 36207.658 | 23533.583 | 22104.026 | 
| 302071.434 | 171062.350 | -93200.232 | 36453.973 | 26592.448 | 22995.792 | 
| 301349.559 | 170927.768 | -93804.627 | 36279.156 | 26063.858 | 22418.768 | 
| 298044.169 | 170468.078 | -95604.610 | 36207.238 | 23901.285 | 22131.612 | 
| -31676561.645 | -33836795.614 | -31636110.224 | 200700.109 | -99663.621 | -493913.261 | 
| -31679121.576 | -33831565.125 | -31633612.119 | 203070.093 | -97963.480 | -492372.002 | 
| -31679251.933 | -33843256.060 | -31641017.291 | 198681.520 | -98834.040 | -494059.416 | 
| -31678493.881 | -33841381.863 | -31639574.290 | 199334.525 | -99028.318 | -494050.947 | 
| -31684294.890 | -33842194.356 | -31642273.183 | 199706.820 | -96268.861 | -492279.375 | 
| -31679634.258 | -33844189.020 | -31641807.052 | 198378.299 | -98724.632 | -494024.863 | 
| 31674444.260 | 33830933.431 | 31631495.003 | -202634.846 | 100443.880 | 493814.871 | 
| 31674606.957 | 33831791.717 | 31631965.553 | -202444.825 | 100295.136 | 493837.432 | 
| 31673671.678 | 33830043.476 | 31630291.107 | -203100.673 | 100332.126 | 493850.753 | 
| 31684203.176 | 33841998.698 | 31642115.849 | -199746.362 | 96318.770 | 492276.147 | 
| 31684213.205 | 33842023.477 | 31642138.053 | -199753.100 | 96338.765 | 492277.609 | 
| 31684295.126 | 33842211.319 | 31642274.243 | -199701.530 | 96282.155 | 492321.653 | 
| -3167901.150 | -3384591.685 | -3164329.962 | 19736.747 | -9854.284 | -49397.289 | 
| -3167793.813 | -3384006.420 | -3163935.258 | 19926.129 | -9903.945 | -49402.228 | 
| -3168390.310 | -3384168.550 | -3164119.226 | 19982.734 | -9632.982 | -49229.096 | 
| -3167934.230 | -3383199.208 | -3163381.049 | 20324.900 | -9786.844 | -49243.310 | 
| -3167867.298 | -3384166.181 | -3163983.756 | 19927.861 | -9879.256 | -49407.462 | 
| -3167877.508 | -3384227.301 | -3164028.273 | 19894.573 | -9895.969 | -49358.637 | 
| 3167968.680 | 3383069.263 | 3163241.613 | -20364.527 | 9810.736 | 49243.879 | 
| 3167677.322 | 3383711.541 | 3163533.624 | -20123.403 | 9969.214 | 49394.316 | 
| 3168174.687 | 3383656.568 | 3163824.637 | -20172.512 | 9717.893 | 49242.347 | 
| 3167901.639 | 3384215.222 | 3164085.044 | -19847.991 | 9922.388 | 49391.345 | 
| 3167697.842 | 3383790.280 | 3163674.676 | -20041.274 | 9965.755 | 49395.252 | 
| 3167370.977 | 3382987.042 | 3163023.663 | -20316.015 | 10039.520 | 49428.235 | 
| -316701.358 | -338484.567 | -316466.776 | 1947.581 | -978.221 | -4938.786 | 
| -316767.940 | -338373.674 | -316447.090 | 1952.633 | -979.978 | -4938.184 | 
| -316819.065 | -338401.049 | -316339.194 | 1999.133 | -962.719 | -4923.850 | 
| -316840.956 | -338531.437 | -316494.433 | 1976.222 | -975.849 | -4942.660 | 
| -316852.159 | -338435.751 | -316435.926 | 1996.631 | -941.290 | -4924.945 | 
| -316821.144 | -338381.008 | -316389.298 | 2007.381 | -969.909 | -4878.447 | 
| 316916.297 | 338463.373 | 316422.066 | -1992.179 | 989.830 | 4940.047 | 
| 316904.664 | 338575.853 | 316464.697 | -1994.134 | 962.241 | 4924.123 | 
| 316866.401 | 338439.834 | 316505.157 | -1995.821 | 963.951 | 4921.476 | 
| 316908.948 | 338587.725 | 316572.612 | -1902.470 | 947.317 | 4913.548 | 
| 316778.394 | 338411.649 | 316392.755 | -1987.539 | 1012.455 | 4938.205 | 
| 316793.757 | 338427.488 | 316407.022 | -1990.892 | 987.266 | 4984.557 | 
| 367.787 | 114.029 | 78.195 | -0.000 | 0.000 | -0.000 | 
| 114.029 | 367.787 | 78.195 | -0.000 | 0.000 | 0.000 | 
| 79.483 | 79.483 | 391.245 | -0.000 | 0.000 | -0.000 | 
| -0.000 | -0.000 | 0.000 | 89.140 | 0.000 | -0.000 | 
| 0.000 | 0.000 | 0.000 | -0.000 | 89.140 | 0.000 | 
| -0.000 | -0.000 | 0.000 | -0.000 | 0.000 | 121.680 | 
| 367.787 | 114.029 | 78.195 | -0.000 | -0.000 | 0.000 | 
| 114.029 | 367.787 | 78.195 | -0.000 | -0.000 | -0.000 | 
| 79.483 | 79.483 | 391.245 | 0.000 | -0.000 | 0.000 | 
| -0.000 | -0.000 | -0.000 | 89.140 | -0.000 | 0.000 | 
| 0.000 | 0.000 | -0.000 | 0.000 | 89.140 | 0.000 | 
| -0.000 | -0.000 | -0.000 | 0.000 | -0.000 | 121.680 | 
| 367.787 | 114.029 | 78.195 | -0.000 | 0.000 | -0.000 | 
| 114.029 | 367.787 | 78.195 | 0.000 | 0.000 | -0.000 | 
| 79.483 | 79.483 | 391.245 | -0.000 | 0.000 | -0.000 | 
| 0.000 | 0.000 | 0.000 | 89.140 | 0.000 | 0.000 | 
| -82.184 | -82.097 | 36.413 | -0.377 | 65.457 | -0.000 | 
| -317.778 | -317.682 | -120.143 | -0.339 | 0.116 | 65.197 | 
| 512.156 | 401.552 | 144.633 | 0.319 | -0.109 | 0.000 | 
| 187.748 | 372.448 | 64.681 | 0.344 | -0.117 | 0.000 | 
| 79.483 | 79.483 | 391.244 | 0.000 | -0.000 | -0.000 | 
| 82.214 | 82.126 | -36.426 | 65.697 | -0.129 | 0.000 | 
| -0.000 | -0.000 | -0.000 | 0.000 | 89.140 | 0.000 | 
| 1332.771 | 1332.764 | 1192.557 | 0.123 | -0.043 | 55.155 | 
| -40.213 | 16.989 | -104.037 | -0.005 | 0.002 | -0.000 | 
| 16.983 | -40.209 | -104.040 | -0.005 | 0.002 | -0.000 | 
| -183.223 | -183.221 | 67.476 | 0.006 | -0.002 | 0.000 | 
| -7.256 | -7.249 | 3.215 | 68.082 | 0.011 | -0.000 | 
| -7.277 | -7.269 | 3.224 | -0.033 | 68.068 | -0.000 | 
| -4.789 | -4.784 | 2.122 | -0.022 | 0.007 | 89.864 | 
| 242.650 | 154.116 | 76.258 | 0.023 | -0.008 | 0.000 | 
| 154.118 | 242.648 | 76.256 | 0.023 | -0.008 | 0.000 | 
| 110.727 | 110.718 | 326.045 | 0.039 | -0.013 | 0.000 | 
| 7.287 | 7.279 | -3.229 | 68.060 | -0.011 | 0.000 | 
| 7.267 | 7.259 | -3.220 | 0.033 | 68.075 | 0.000 | 
| 4.789 | 4.784 | -2.122 | 0.022 | -0.007 | 89.864 | 
| 474.564 | 84.821 | 120.994 | 0.000 | 0.000 | -0.000 | 
| 84.820 | 413.006 | 156.910 | 0.000 | 0.000 | 0.000 | 
| 112.557 | 125.246 | 255.231 | 0.000 | 0.000 | 0.000 | 
| 3.072 | 2.834 | -3.904 | 86.470 | -0.000 | -0.000 | 
| 1.505 | 1.417 | -2.300 | 0.000 | 76.694 | -0.000 | 
| 0.631 | 6.576 | -3.334 | 0.000 | -0.000 | 65.380 | 
| 474.564 | 84.820 | 120.994 | -0.000 | -0.000 | -0.000 | 
| 114.167 | 284.237 | 135.468 | -0.000 | -0.000 | -0.000 | 
| -16.925 | 1.761 | 139.430 | -0.000 | 0.000 | -0.000 | 
| -3.072 | -2.834 | 3.904 | 86.470 | 0.000 | -0.000 | 
| -1.505 | -1.417 | 2.300 | -0.000 | 76.694 | 0.000 | 
| -0.631 | -6.576 | 3.334 | -0.000 | 0.000 | 65.380 | 
| 474.564 | 84.820 | 120.994 | 0.000 | 0.000 | 0.000 | 
| 71.079 | 217.299 | 65.951 | 0.000 | -0.000 | -0.000 | 
| 108.683 | 120.111 | 251.594 | 0.000 | 0.000 | 0.000 | 
| 0.110 | 0.526 | -0.279 | 74.771 | 0.000 | -0.000 | 
| 0.069 | 0.667 | -0.321 | 0.000 | 65.278 | 0.000 | 
| 0.000 | 0.000 | 0.000 | 0.000 | -0.000 | 91.935 | 
| 252.430 | 9.764 | -17.451 | -0.000 | 0.000 | 0.000 | 
| 84.820 | 413.006 | 156.910 | -0.000 | 0.000 | 0.000 | 
| 120.994 | 156.910 | 394.670 | -0.000 | -0.000 | -0.000 | 
| -0.110 | -0.526 | 0.279 | 74.771 | -0.000 | 0.000 | 
| -0.069 | -0.667 | 0.321 | -0.000 | 65.278 | -0.000 | 
| -0.000 | -0.000 | -0.000 | -0.000 | -0.000 | 91.935 | 
| 474.567 | 84.821 | 120.994 | 0.000 | -0.000 | -0.000 | 
| 70.826 | 216.783 | 66.335 | 0.000 | -0.000 | -0.000 | 
| 108.276 | 119.582 | 251.282 | 0.000 | 0.000 | -0.000 | 
| 0.017 | 0.016 | -0.026 | 102.905 | -0.000 | 0.000 | 
| 0.027 | 0.025 | -0.035 | 0.000 | 69.750 | -0.000 | 
| 0.000 | 0.000 | 0.000 | 0.000 | -0.000 | 91.935 | 
| 221.535 | 46.850 | -13.141 | -0.000 | -0.000 | 0.000 | 
| 16.323 | 170.351 | 3.298 | -0.000 | -0.000 | 0.000 | 
| -16.537 | 7.952 | 135.730 | -0.000 | -0.000 | -0.000 | 
| -0.017 | -0.016 | 0.026 | 102.905 | 0.000 | 0.000 | 
| -0.027 | -0.025 | 0.035 | -0.000 | 69.750 | 0.000 | 
| -0.000 | -0.000 | -0.000 | -0.000 | 0.000 | 91.935 | 
| 474.221 | 84.423 | 119.128 | -0.000 | -0.000 | 0.000 | 
| 259.596 | 291.026 | 154.634 | 0.000 | -0.000 | -0.000 | 
| 251.263 | 119.678 | 342.776 | -0.000 | -0.000 | 0.000 | 
| 140.373 | -20.000 | 17.115 | 98.083 | -0.000 | -0.000 | 
| 0.000 | -0.000 | 0.000 | -0.000 | 127.575 | 0.000 | 
| 0.000 | 0.000 | 0.000 | -0.000 | -0.000 | 90.808 | 
| 474.221 | 84.423 | 119.128 | -0.000 | 0.000 | 0.000 | 
| 84.277 | 412.371 | 154.836 | 0.000 | 0.000 | -0.000 | 
| 120.023 | 155.876 | 393.263 | -0.000 | 0.000 | 0.000 | 
| -140.373 | 20.000 | -17.115 | 98.083 | 0.000 | 0.000 | 
| 0.000 | 0.000 | -0.000 | 0.000 | 127.576 | -0.000 | 
| -0.000 | -0.000 | -0.000 | 0.000 | 0.000 | 90.808 | 
| 474.221 | 84.423 | 119.128 | 0.000 | -0.000 | 0.000 | 
| 84.277 | 412.372 | 154.836 | 0.000 | -0.000 | 0.000 | 
| 130.964 | 132.168 | 310.442 | -0.000 | -0.000 | 0.000 | 
| 13.272 | -1.891 | 1.618 | 101.655 | -0.000 | 0.000 | 
| 56.526 | -24.985 | 17.638 | 0.000 | 63.102 | -0.000 | 
| 14.679 | -2.091 | 1.790 | -0.000 | -0.000 | 72.489 | 
| 474.220 | 84.423 | 119.128 | 0.000 | -0.000 | -0.000 | 
| 84.277 | 412.371 | 154.836 | 0.000 | 0.000 | 0.000 | 
| 120.023 | 155.876 | 393.263 | 0.000 | 0.000 | -0.000 | 
| -13.272 | 1.891 | -1.618 | 101.655 | -0.000 | -0.000 | 
| -56.526 | 24.985 | -17.638 | 0.000 | 63.102 | -0.000 | 
| -14.679 | 2.091 | -1.790 | 0.000 | -0.000 | 72.489 | 
| 237.486 | 31.408 | -10.378 | -0.000 | -0.000 | 0.000 | 
| 14.209 | 152.496 | -1.030 | 0.000 | -0.000 | 0.000 | 
| 112.772 | 121.809 | 259.015 | -0.000 | -0.000 | -0.000 | 
| 1.286 | -0.183 | 0.157 | 103.592 | 0.000 | 0.000 | 
| 3.776 | -1.542 | 1.097 | -0.000 | 70.904 | -0.000 | 
| 3.939 | -1.687 | 1.195 | -0.000 | -0.000 | 68.177 | 
| 240.526 | 6.888 | -26.031 | 0.000 | 0.000 | -0.000 | 
| 10.560 | 170.975 | 2.224 | -0.000 | 0.000 | -0.000 | 
| -0.774 | -0.328 | 140.602 | -0.000 | 0.000 | 0.000 | 
| -1.286 | 0.183 | -0.157 | 103.592 | 0.000 | -0.000 | 
| -3.776 | 1.542 | -1.097 | 0.000 | 70.904 | -0.000 | 
| -3.939 | 1.687 | -1.195 | 0.000 | 0.000 | 68.177 | 
| 382.115 | 81.000 | 138.953 | -0.000 | -0.000 | 0.000 | 
| 81.000 | 382.115 | 138.953 | 0.000 | -0.000 | 0.000 | 
| 137.796 | 137.796 | 497.893 | 0.000 | -0.000 | -0.000 | 
| -204.276 | -204.276 | 52.889 | 48.997 | -0.000 | 0.000 | 
| -204.276 | -204.276 | 52.889 | -0.000 | 48.997 | -0.000 | 
| -208.814 | -208.814 | -268.722 | 0.000 | 0.000 | 44.353 | 
| 343.102 | 300.757 | -12.418 | -0.000 | -0.000 | -0.000 | 
| 300.757 | 343.102 | -12.418 | -0.000 | -0.000 | 0.000 | 
| 137.796 | 137.796 | 497.893 | 0.000 | 0.000 | -0.000 | 
| 204.276 | 204.276 | -52.889 | 48.997 | 0.000 | -0.000 | 
| 204.276 | 204.276 | -52.889 | -0.000 | 48.997 | -0.000 | 
| 208.814 | 208.814 | 268.722 | -0.000 | -0.000 | 44.353 | 
| 178.786 | 101.884 | 49.054 | 0.000 | 0.000 | 0.000 | 
| 101.884 | 178.786 | 49.054 | 0.000 | 0.000 | -0.000 | 
| 80.165 | 80.165 | 328.532 | 0.000 | 0.000 | -0.000 | 
| -20.203 | -20.203 | -13.115 | 48.435 | 0.000 | -0.000 | 
| -20.203 | -20.203 | -13.115 | -0.000 | 48.434 | -0.000 | 
| -10.297 | -10.297 | -13.251 | 0.000 | 0.000 | 63.172 | 
| 216.471 | 124.337 | 85.882 | -0.000 | -0.000 | -0.000 | 
| 124.337 | 216.471 | 85.882 | -0.000 | -0.000 | -0.000 | 
| 92.145 | 92.145 | 331.874 | -0.000 | -0.000 | 0.000 | 
| 20.203 | 20.203 | 13.115 | 48.434 | -0.000 | -0.000 | 
| 20.203 | 20.203 | 13.115 | 0.000 | 48.434 | -0.000 | 
| 10.297 | 10.297 | 13.251 | -0.000 | -0.000 | 63.172 | 
| 164.997 | 86.510 | 38.727 | -0.000 | -0.000 | 0.000 | 
| 86.510 | 164.997 | 38.727 | -0.000 | -0.000 | 0.000 | 
| 43.581 | 43.581 | 296.157 | -0.000 | -0.000 | 0.000 | 
| -0.528 | -0.528 | -0.680 | 77.383 | 0.000 | -0.000 | 
| -0.528 | -0.528 | -0.680 | 0.000 | 77.383 | -0.000 | 
| 0.000 | 0.000 | 0.000 | -0.000 | -0.000 | 81.479 | 
| 213.716 | 112.117 | 75.086 | -0.000 | -0.000 | -0.000 | 
| 112.117 | 213.716 | 75.086 | -0.000 | -0.000 | -0.000 | 
| 46.589 | 46.589 | 294.092 | 0.000 | 0.000 | 0.000 | 
| 0.528 | 0.528 | 0.680 | 77.383 | -0.000 | 0.000 | 
| 0.528 | 0.528 | 0.680 | 0.000 | 77.383 | 0.000 | 
| -0.000 | -0.000 | -0.000 | 0.000 | 0.000 | 81.479 | 
| 1556.601 | 1379.722 | -2473.311 | -0.000 | 0.000 | -1.908 | 
| 1379.722 | 1556.601 | -2473.311 | 0.000 | -0.000 | 1.908 | 
| 1405.513 | 1405.513 | -2319.426 | -0.000 | -0.000 | -0.000 | 
| 1317.325 | 1317.325 | -2563.658 | 71.247 | -0.000 | -0.000 | 
| 1317.325 | 1317.325 | -2563.658 | -0.000 | 71.247 | -0.000 | 
| 2448.359 | 2448.267 | 2771.557 | -0.000 | 0.000 | 59.465 | 
| 357.226 | 69.434 | 106.712 | -0.000 | -0.000 | -0.393 | 
| 69.434 | 357.226 | 106.712 | 0.000 | 0.000 | 0.393 | 
| -1428.390 | -1428.390 | -32831.745 | -0.000 | 0.000 | 0.000 | 
| -1317.325 | -1317.325 | 2563.658 | 71.247 | 0.000 | 0.000 | 
| -1317.325 | -1317.325 | 2563.658 | 0.000 | 71.247 | -0.000 | 
| -2448.267 | -2448.359 | -2771.557 | 0.000 | -0.000 | 59.465 | 
| 333.681 | 136.911 | -69.377 | -0.000 | 0.000 | -1.903 | 
| 136.911 | 333.681 | -69.377 | -0.000 | 0.000 | 1.903 | 
| 169.919 | 169.919 | 70.748 | -0.000 | -0.000 | -0.000 | 
| 131.687 | 131.687 | -256.297 | 71.256 | 0.000 | -0.000 | 
| 131.687 | 131.687 | -256.297 | -0.000 | 71.256 | -0.000 | 
| 54.801 | 58.627 | -183.734 | -0.000 | 0.000 | 48.605 | 
| 218.669 | 23.472 | 298.858 | -0.000 | -0.000 | -1.929 | 
| 23.472 | 218.670 | 298.858 | 0.000 | 0.000 | 1.929 | 
| -397.710 | -397.710 | -401.292 | 0.000 | -0.000 | 0.000 | 
| -131.687 | -131.687 | 256.297 | 71.256 | 0.000 | 0.000 | 
| -131.687 | -131.687 | 256.297 | -0.000 | 71.256 | 0.000 | 
| -58.627 | -54.801 | 183.734 | -0.000 | 0.000 | 48.605 | 
| 283.886 | 86.012 | 95.004 | 0.000 | 0.000 | -1.884 | 
| 86.012 | 283.886 | 95.004 | -0.000 | 0.000 | 1.884 | 
| 62.254 | 62.254 | 180.390 | -0.000 | -0.000 | -0.000 | 
| 0.000 | 0.000 | 0.000 | 112.474 | -0.000 | -0.000 | 
| 0.000 | 0.000 | 0.000 | -0.000 | 112.474 | 0.000 | 
| 20.199 | 21.387 | 15.862 | -0.000 | 0.000 | 52.705 | 
| 11.562 | -3.728 | -57.949 | -0.000 | -0.000 | 0.636 | 
| -3.728 | 11.562 | -57.949 | 0.000 | -0.000 | -0.636 | 
| 70.282 | 70.282 | 237.337 | 0.000 | -0.000 | 0.000 | 
| -0.000 | -0.000 | -0.000 | 112.474 | -0.000 | 0.000 | 
| -0.000 | -0.000 | -0.000 | 0.000 | 112.474 | -0.000 | 
| -6.916 | -3.372 | 16.665 | -0.000 | -0.000 | 51.065 | 
| 315.850 | 64.016 | 94.144 | 0.000 | 0.000 | -0.000 | 
| 64.016 | 315.850 | 94.144 | 0.000 | 0.000 | -0.000 | 
| -4281.984 | -4281.984 | 162.589 | 0.000 | 0.001 | -0.000 | 
| -2979.234 | -2979.234 | 113.537 | 105.420 | -0.000 | 0.001 | 
| -2979.234 | -2979.234 | 113.537 | -0.000 | 105.420 | 0.001 | 
| -2979.651 | -2979.651 | 113.893 | -0.000 | -0.000 | 80.541 | 
| 315.850 | 64.016 | 94.144 | -0.000 | -0.000 | 0.000 | 
| 64.016 | 315.850 | 94.144 | 0.000 | -0.000 | 0.000 | 
| 3046.217 | 3046.217 | 95.994 | 0.000 | 0.000 | -0.001 | 
| 2979.234 | 2979.234 | -113.537 | 105.421 | 0.000 | -0.001 | 
| 2979.234 | 2979.234 | -113.537 | 0.000 | 105.421 | -0.001 | 
| 2979.651 | 2979.651 | -113.893 | 0.000 | 0.000 | 80.540 | 
| -124.446 | -274.454 | 68.579 | -0.000 | -0.000 | 0.000 | 
| -274.454 | -124.446 | 68.579 | -0.000 | -0.000 | 0.000 | 
| -370.944 | -370.944 | 292.693 | 0.000 | 0.000 | -0.000 | 
| -132.052 | -132.052 | -94.585 | 54.640 | 0.000 | -0.000 | 
| -132.052 | -132.052 | -94.585 | 0.000 | 54.640 | -0.000 | 
| -132.213 | -132.213 | -94.701 | 0.000 | 0.000 | 39.086 | 
| 367.553 | 208.714 | 191.882 | -0.000 | -0.000 | 0.000 | 
| 208.714 | 367.553 | 191.882 | -0.000 | -0.000 | 0.000 | 
| 232.931 | 232.931 | 346.006 | -0.000 | -0.000 | 0.000 | 
| 132.052 | 132.052 | 94.585 | 54.640 | -0.000 | 0.000 | 
| 132.052 | 132.052 | 94.585 | -0.000 | 54.640 | 0.000 | 
| 132.213 | 132.213 | 94.701 | -0.000 | -0.000 | 39.086 | 
| 167.570 | 27.718 | 74.667 | 0.000 | 0.000 | -0.000 | 
| 27.718 | 167.570 | 74.667 | 0.000 | 0.000 | -0.000 | 
| 84.831 | 84.831 | 249.359 | 0.000 | 0.000 | -0.000 | 
| -30.511 | -30.511 | -0.573 | 56.301 | 0.000 | -0.000 | 
| -30.511 | -30.511 | -0.573 | 0.000 | 56.301 | -0.000 | 
| 0.000 | 0.000 | 0.000 | 0.000 | 0.000 | 67.015 | 
| 214.428 | 78.254 | 91.317 | -0.000 | -0.000 | 0.000 | 
| 78.247 | 214.409 | 91.308 | -0.000 | -0.000 | 0.000 | 
| 111.062 | 111.062 | 257.373 | -0.000 | -0.000 | 0.000 | 
| 30.511 | 30.511 | 0.573 | 56.301 | -0.000 | 0.000 | 
| 30.511 | 30.511 | 0.573 | -0.000 | 56.301 | 0.000 | 
| -0.000 | -0.000 | -0.000 | 0.000 | -0.000 | 67.015 | 
| 939.629 | 373.251 | 13.748 | 0.000 | -0.000 | -0.000 | 
| 641.585 | 548.638 | -288.719 | 0.000 | -0.000 | -0.000 | 
| 107.338 | 110.934 | 342.174 | 0.000 | -0.000 | 0.000 | 
| 559.656 | 262.553 | -403.993 | 72.217 | -0.000 | -0.000 | 
| 559.664 | 262.556 | -403.999 | 0.000 | 74.774 | 0.000 | 
| 559.404 | 262.434 | -403.811 | 0.000 | -0.000 | 48.999 | 
| -110.317 | -610.015 | 123.801 | -0.000 | 0.000 | 0.000 | 
| 70.437 | 367.127 | 110.784 | -0.000 | 0.000 | -0.000 | 
| -446.087 | -147.950 | 668.323 | -0.000 | 0.000 | 0.000 | 
| -559.656 | -262.553 | 403.993 | 72.216 | 0.000 | -0.000 | 
| -559.664 | -262.556 | 403.999 | -0.000 | 74.774 | 0.000 | 
| -559.404 | -262.434 | 403.811 | -0.000 | 0.000 | 48.999 | 
| 365.753 | 70.897 | 107.649 | 0.000 | -0.000 | -0.000 | 
| 81.775 | 234.050 | 50.438 | 0.000 | -0.000 | -0.000 | 
| 169.359 | 140.758 | 225.693 | 0.000 | 0.000 | 0.000 | 
| -0.000 | 0.000 | 0.000 | 115.376 | -0.000 | -0.000 | 
| 55.873 | 26.212 | -40.332 | 0.000 | 74.836 | -0.000 | 
| -0.000 | 0.000 | 0.000 | 0.000 | -0.000 | 74.960 | 
| 233.678 | 56.790 | 154.644 | -0.000 | 0.000 | 0.000 | 
| 25.945 | 258.871 | 155.828 | -0.000 | 0.000 | 0.000 | 
| 57.720 | 88.415 | 303.297 | -0.000 | 0.000 | 0.000 | 
| 0.000 | -0.000 | -0.000 | 115.376 | 0.000 | -0.000 | 
| -55.873 | -26.212 | 40.332 | -0.000 | 74.836 | 0.000 | 
| 0.000 | -0.000 | -0.000 | -0.000 | 0.000 | 74.960 | 
| 234.921 | 66.574 | 83.227 | 0.000 | 0.000 | -0.000 | 
| 23.351 | 199.960 | 50.227 | 0.000 | -0.000 | -0.000 | 
| 87.390 | 93.890 | 220.299 | 0.000 | -0.000 | -0.000 | 
| 4.936 | 2.316 | -3.563 | 77.310 | -0.000 | 0.000 | 
| 5.179 | 2.430 | -3.739 | 0.000 | 77.550 | 0.000 | 
| 4.793 | 2.249 | -3.460 | 0.000 | -0.000 | 52.714 | 
| 220.127 | 55.839 | 85.350 | -0.000 | 0.000 | 0.000 | 
| 77.381 | 275.465 | 119.812 | -0.000 | 0.000 | 0.000 | 
| 78.848 | 78.559 | 222.448 | -0.000 | 0.000 | 0.000 | 
| -4.936 | -2.316 | 3.563 | 77.310 | -0.000 | 0.000 | 
| -5.179 | -2.430 | 3.739 | -0.000 | 77.550 | 0.000 | 
| -4.793 | -2.249 | 3.460 | -0.000 | 0.000 | 52.714 | 
| -723.948 | -463.354 | -167.472 | 0.000 | 597.524 | 0.000 | 
| 132.313 | 591.209 | 158.606 | 0.000 | -27.833 | 0.000 | 
| -402.616 | -185.460 | 716.718 | 0.000 | 752.152 | 0.000 | 
| -517.441 | -351.940 | 148.895 | 127.094 | 771.319 | -12.714 | 
| -525.763 | -376.314 | 113.940 | 0.000 | 885.452 | 0.000 | 
| 0.000 | 0.000 | -0.000 | -28.913 | 0.000 | 135.119 | 
| 919.537 | 459.205 | -22.111 | -0.000 | -735.632 | -0.000 | 
| 1031.596 | 851.723 | 363.906 | -0.000 | -618.411 | 0.000 | 
| 167.887 | 154.173 | 695.921 | -0.000 | -6.496 | -0.000 | 
| 517.441 | 351.940 | -148.895 | 127.094 | -771.319 | -12.714 | 
| 510.390 | 328.537 | -182.839 | -0.000 | -656.488 | 0.000 | 
| 517.443 | 351.942 | -148.896 | -11.919 | -771.322 | 90.290 | 
| 317.180 | 63.272 | 129.872 | 0.000 | 127.322 | 0.000 | 
| 56.513 | 428.006 | 200.030 | 0.000 | 77.944 | 0.000 | 
| 47.224 | 135.132 | 543.936 | 0.000 | 53.860 | 0.000 | 
| -54.245 | -36.895 | 15.609 | 125.504 | 80.861 | -11.892 | 
| -55.754 | -57.299 | -30.010 | 0.000 | 168.461 | -0.000 | 
| -52.313 | -35.581 | 15.053 | -11.732 | 77.980 | 89.797 | 
| 340.399 | 109.496 | 59.379 | -0.000 | -50.550 | -0.000 | 
| 181.799 | 498.808 | 166.509 | -0.000 | -109.744 | 0.000 | 
| 165.696 | 132.901 | 409.493 | -0.000 | -148.814 | 0.000 | 
| 156.656 | 83.181 | -6.509 | 108.721 | -91.599 | -12.939 | 
| 48.563 | 14.618 | -47.375 | -0.000 | 36.769 | -0.000 | 
| 52.313 | 35.581 | -15.053 | -11.732 | -77.980 | 89.797 | 
| 314.443 | 93.469 | 80.938 | 0.000 | 50.006 | 0.000 | 
| -20.686 | 304.139 | 109.223 | 0.000 | -0.152 | -0.000 | 
| 167.887 | 154.173 | 695.925 | 0.000 | -6.496 | -0.000 | 
| -6.528 | -4.440 | 1.878 | 118.489 | 9.731 | -8.268 | 
| -31.028 | -15.330 | -50.694 | 0.000 | 79.326 | 0.000 | 
| -7.880 | -4.292 | -1.520 | -5.570 | 5.054 | 78.976 | 
| 233.242 | 27.807 | 37.315 | -0.000 | -8.070 | -0.000 | 
| 79.893 | 377.503 | 160.692 | 0.000 | -25.240 | 0.000 | 
| 16.187 | 45.118 | 400.732 | -0.000 | -58.563 | -0.000 | 
| 6.528 | 4.440 | -1.878 | 118.489 | -9.731 | -8.268 | 
| -2.660 | -5.786 | -33.721 | 0.000 | 87.541 | 0.000 | 
| 21.685 | 11.761 | -2.299 | -13.853 | -19.255 | 60.052 | 
| 460.878 | 116.768 | 147.953 | 0.000 | 7.861 | -0.000 | 
| 97.198 | 410.847 | 180.934 | 0.000 | 20.110 | 0.000 | 
| 147.506 | 149.873 | 560.013 | 0.000 | 3.260 | -0.000 | 
| -3.464 | 0.045 | 6.604 | 120.846 | 22.894 | -4.665 | 
| -7.145 | -10.173 | -10.104 | -0.000 | 112.095 | 0.000 | 
| -2.751 | 0.036 | 5.246 | -8.591 | 18.185 | 81.288 | 
| 460.877 | 116.768 | 147.953 | -0.000 | 7.861 | 0.000 | 
| 104.123 | 403.237 | 167.139 | -0.000 | -30.780 | -0.000 | 
| 147.505 | 149.873 | 560.013 | -0.000 | 3.260 | 0.000 | 
| 3.464 | -0.045 | -6.604 | 120.846 | -22.894 | -4.665 | 
| -14.512 | -23.417 | 3.260 | 0.000 | 163.069 | -0.000 | 
| 2.751 | -0.036 | -5.246 | -8.591 | -18.185 | 81.288 | 
| 460.878 | 116.768 | 147.953 | -0.000 | 7.861 | -0.000 | 
| 100.328 | 408.269 | 174.767 | 0.000 | -2.304 | -0.000 | 
| 147.506 | 149.873 | 560.013 | 0.000 | 3.260 | -0.000 | 
| 1.299 | 0.807 | 3.015 | 112.087 | 3.289 | -8.106 | 
| 0.076 | -13.232 | -15.697 | 0.000 | 99.348 | -0.000 | 
| 0.000 | 0.000 | 0.000 | -23.752 | -0.000 | 125.987 | 
| 290.315 | 91.261 | 45.720 | -0.000 | 20.236 | 0.000 | 
| 101.012 | 407.472 | 173.400 | -0.000 | -7.362 | 0.000 | 
| 92.540 | 171.608 | 414.155 | -0.000 | -30.796 | -0.000 | 
| -1.299 | -0.807 | -3.015 | 112.087 | -3.289 | -8.106 | 
| -14.512 | -23.417 | 3.260 | -0.000 | 163.069 | -0.000 | 
| -0.000 | -0.000 | -0.000 | -23.752 | 0.000 | 125.987 | 
| 206.401 | 25.392 | 26.307 | -0.000 | -3.922 | -0.000 | 
| -27.992 | 270.483 | 70.028 | 0.000 | -6.113 | 0.000 | 
| 7.299 | 39.239 | 286.178 | 0.000 | -38.642 | -0.000 | 
| 0.000 | 0.000 | 0.000 | 159.678 | -0.000 | -23.752 | 
| 0.336 | -13.187 | -16.153 | 0.000 | 97.777 | -0.000 | 
| -0.026 | 0.000 | 0.050 | -9.423 | 0.172 | 83.743 | 
| 206.216 | 25.283 | 25.853 | 0.000 | -4.557 | -0.000 | 
| -8.816 | 238.158 | 42.942 | 0.000 | -2.670 | 0.000 | 
| -2.424 | 107.001 | 338.180 | 0.000 | -36.848 | 0.000 | 
| -0.000 | -0.000 | -0.000 | 159.678 | 0.000 | -23.752 | 
| -24.116 | -4.082 | -46.438 | 0.000 | 45.597 | 0.000 | 
| 0.026 | -0.000 | -0.050 | -9.423 | -0.172 | 83.743 | 
| 3471.982 | 406.651 | -4085.139 | -0.000 | 0.000 | 0.000 | 
| 2966.608 | 1457.089 | -4103.151 | -0.000 | 0.000 | 0.000 | 
| 2927.853 | 13.436 | -2345.705 | -0.000 | 0.000 | 0.000 | 
| 2776.599 | -128.890 | -2762.026 | 81.433 | 0.000 | -0.000 | 
| 2838.198 | 1184.278 | -4177.924 | -0.000 | 87.099 | 0.000 | 
| 2776.766 | -128.898 | -2762.192 | -0.000 | 0.000 | 146.650 | 
| 459.896 | 207.587 | 144.380 | 0.000 | -0.000 | -0.000 | 
| 207.708 | 459.907 | 144.641 | 0.000 | -0.000 | -0.000 | 
| 145.443 | 145.583 | 570.969 | 0.000 | -0.000 | 0.000 | 
| -2776.599 | 128.890 | 2762.026 | 81.433 | -0.000 | 0.000 | 
| -2838.198 | -1184.279 | 4177.924 | 0.000 | 87.099 | 0.000 | 
| -2776.766 | 128.898 | 2762.192 | 0.000 | -0.000 | 146.650 | 
| 548.743 | 223.898 | -346.281 | -0.000 | 0.000 | 0.000 | 
| 439.549 | 326.505 | -107.488 | -0.000 | 0.000 | -0.000 | 
| 429.308 | 129.331 | 135.379 | 0.000 | 0.000 | -0.000 | 
| 273.993 | -12.719 | -272.555 | 82.393 | 0.000 | 0.000 | 
| 273.977 | -12.718 | -272.540 | -0.000 | 82.181 | -0.000 | 
| 284.165 | 119.096 | -418.841 | -0.000 | 0.000 | 139.563 | 
| -2.242 | -1.071 | 512.299 | -0.000 | -0.000 | 0.000 | 
| 207.707 | 459.907 | 144.641 | 0.000 | -0.000 | 0.000 | 
| 145.443 | 145.583 | 570.969 | 0.000 | -0.000 | 0.000 | 
| -273.993 | 12.719 | 272.555 | 82.393 | -0.000 | -0.000 | 
| -273.977 | 12.718 | 272.540 | 0.000 | 82.181 | 0.000 | 
| -275.561 | 12.792 | 274.114 | 0.000 | -0.000 | 147.168 | 
| 264.140 | 81.629 | 10.084 | 0.000 | 0.000 | -0.000 | 
| 207.708 | 459.909 | 144.641 | -0.000 | 0.000 | -0.000 | 
| 174.724 | 140.746 | 368.516 | -0.000 | 0.000 | 0.000 | 
| 21.823 | -1.013 | -21.708 | 96.997 | 0.000 | -0.000 | 
| 0.000 | 0.000 | 0.000 | 0.000 | 153.865 | -0.000 | 
| 37.760 | 2.215 | -44.006 | -0.000 | 0.000 | 116.786 | 
| 459.894 | 207.586 | 144.379 | 0.000 | -0.000 | -0.000 | 
| 153.716 | 312.309 | 172.028 | 0.000 | -0.000 | -0.000 | 
| 60.073 | 66.157 | 353.067 | 0.000 | -0.000 | 0.000 | 
| -21.823 | 1.013 | 21.708 | 96.997 | -0.000 | -0.000 | 
| -0.000 | -0.000 | -0.000 | 0.000 | 153.865 | 0.000 | 
| -28.541 | 1.005 | 44.732 | 0.000 | -0.000 | 106.947 | 
| -4113.292 | -4174.146 | 2179.545 | 0.000 | 0.000 | 0.000 | 
| -4174.146 | -4113.292 | 2179.545 | 0.000 | 0.000 | -0.000 | 
| 91.188 | 91.188 | 306.437 | 0.000 | 0.000 | 0.000 | 
| -8298.620 | -8298.620 | 2688.583 | 29.038 | -0.000 | -0.000 | 
| -8298.620 | -8298.620 | 2688.583 | 0.000 | 29.038 | -0.000 | 
| -918.979 | -918.979 | 537.015 | 0.000 | 0.000 | 58.573 | 
| 310.636 | 73.674 | 92.671 | -0.000 | 0.000 | -0.000 | 
| 73.673 | 310.636 | 92.671 | -0.000 | -0.000 | 0.000 | 
| 9050.168 | 9050.168 | -5480.828 | -0.000 | -0.000 | 0.000 | 
| 8298.620 | 8298.620 | -2688.583 | 29.037 | -0.000 | -0.000 | 
| 8298.620 | 8298.620 | -2688.583 | 0.000 | 29.037 | -0.000 | 
| 918.979 | 918.979 | -537.015 | -0.000 | -0.000 | 58.573 | 
| 177.752 | -15.637 | 147.564 | 0.000 | 0.000 | -0.000 | 
| -15.637 | 177.752 | 147.564 | 0.000 | 0.000 | -0.000 | 
| -858.962 | -858.962 | 645.870 | 0.000 | 0.000 | -0.000 | 
| -91.938 | -91.938 | 53.725 | 68.186 | 0.000 | 0.000 | 
| -91.938 | -91.938 | 53.725 | 0.000 | 68.186 | -0.000 | 
| -91.828 | -91.828 | 53.661 | 0.000 | 0.000 | 58.587 | 
| 310.636 | 73.673 | 92.671 | -0.000 | 0.000 | -0.000 | 
| 73.673 | 310.636 | 92.671 | -0.000 | 0.000 | -0.000 | 
| 184.179 | 184.179 | 218.194 | -0.000 | -0.000 | 0.000 | 
| 91.938 | 91.938 | -53.725 | 68.186 | -0.000 | -0.000 | 
| 91.938 | 91.938 | -53.725 | 0.000 | 68.186 | -0.000 | 
| 91.828 | 91.828 | -53.661 | -0.000 | -0.000 | 58.587 | 
| 310.637 | 73.674 | 92.671 | 0.000 | -0.000 | -0.000 | 
| 73.674 | 310.637 | 92.671 | 0.000 | 0.000 | -0.000 | 
| 80.344 | 80.344 | 272.126 | 0.000 | 0.000 | 0.000 | 
| -46.159 | -46.159 | 17.401 | 40.418 | 0.000 | -0.000 | 
| -46.159 | -46.159 | 17.401 | -0.000 | 40.418 | 0.000 | 
| -83.038 | -83.038 | 34.565 | 0.000 | 0.000 | 48.661 | 
| 190.141 | 108.087 | 38.215 | -0.000 | -0.000 | 0.000 | 
| 108.087 | 190.141 | 38.215 | -0.000 | -0.000 | 0.000 | 
| 145.048 | 145.048 | 129.815 | 0.000 | -0.000 | 0.000 | 
| 46.159 | 46.159 | -17.401 | 40.418 | -0.000 | -0.000 | 
| 46.159 | 46.159 | -17.401 | -0.000 | 40.418 | -0.000 | 
| 83.038 | 83.038 | -34.565 | -0.000 | -0.000 | 48.661 | 
| 467.895 | 132.042 | 101.512 | 0.000 | 27.135 | 0.000 | 
| 131.864 | 440.688 | 115.531 | 0.000 | 7.285 | 0.000 | 
| 101.826 | 115.531 | 474.632 | -0.000 | -12.815 | -0.000 | 
| 0.004 | -0.003 | 0.007 | 75.940 | -0.003 | 0.789 | 
| 7.578 | 4.426 | -4.902 | 0.000 | 80.965 | 0.000 | 
| 0.000 | 0.000 | 0.000 | 7.758 | 0.000 | 139.521 | 
| 467.895 | 132.042 | 101.512 | -0.000 | 27.135 | -0.000 | 
| 147.827 | 321.446 | 123.408 | -0.000 | 3.391 | 0.000 | 
| 101.826 | 115.531 | 474.632 | -0.000 | -12.815 | 0.000 | 
| -0.004 | 0.003 | -0.007 | 75.940 | 0.003 | 0.789 | 
| 24.472 | 7.285 | -12.815 | -0.000 | 108.819 | 0.000 | 
| 0.000 | 0.000 | -0.000 | 7.758 | 0.000 | 139.521 | 
| 229.974 | 88.624 | 73.671 | 0.000 | 0.203 | -0.000 | 
| 88.135 | 251.477 | 90.620 | 0.000 | -9.084 | 0.000 | 
| 125.212 | 124.438 | 341.378 | 0.000 | -0.637 | -0.000 | 
| 0.001 | -0.000 | 0.001 | 67.798 | -0.000 | 2.490 | 
| 7.580 | 4.426 | -4.905 | 0.000 | 80.968 | 0.000 | 
| 0.000 | -0.000 | 0.000 | -3.702 | -0.000 | 101.012 | 
| 321.028 | 147.864 | 122.403 | -0.000 | 3.269 | -0.000 | 
| 88.133 | 251.481 | 90.618 | -0.000 | -9.083 | -0.000 | 
| 0.171 | 17.897 | 233.648 | -0.000 | -13.279 | -0.000 | 
| -0.001 | 0.000 | -0.001 | 67.798 | 0.000 | 2.490 | 
| 0.984 | -8.839 | -10.037 | 0.000 | 74.367 | -0.000 | 
| -0.000 | 0.000 | -0.000 | -3.702 | 0.000 | 101.012 | 
| 169.878 | 36.124 | 2.761 | -0.000 | 0.107 | 0.000 | 
| 19.494 | 185.261 | 4.150 | 0.000 | -16.696 | 0.000 | 
| -33.881 | -4.527 | 192.010 | 0.000 | -4.478 | 0.000 | 
| 0.000 | -0.000 | -0.000 | 86.537 | 0.000 | -2.398 | 
| 0.982 | -8.840 | -10.035 | 0.000 | 74.363 | 0.000 | 
| -0.000 | -0.000 | 0.000 | -3.702 | -0.000 | 101.012 | 
| 169.427 | 36.007 | 2.677 | -0.000 | 0.061 | 0.000 | 
| 88.132 | 251.510 | 90.618 | -0.000 | -9.082 | -0.000 | 
| 0.166 | 17.893 | 233.630 | -0.000 | -13.279 | -0.000 | 
| -0.000 | 0.000 | 0.000 | 86.537 | -0.000 | -2.398 | 
| 0.966 | -8.843 | -10.028 | -0.000 | 74.336 | -0.000 | 
| 0.000 | 0.000 | -0.000 | -3.702 | 0.000 | 101.012 | 
| 426.652 | 120.731 | 85.220 | -0.000 | 17.785 | 0.000 | 
| 3023.323 | -932.635 | 2177.599 | -0.000 | 560.074 | -0.000 | 
| 3054.958 | -1106.563 | 2430.132 | -0.000 | 566.752 | -0.000 | 
| 2994.197 | -1209.379 | 2118.052 | 73.368 | 572.102 | 3.460 | 
| 1836.333 | -1370.718 | 1048.046 | -0.000 | 633.907 | -0.000 | 
| 7640.202 | 4057.198 | 8099.503 | 0.624 | 607.006 | 46.085 | 
| 426.652 | 120.731 | 85.220 | 0.000 | 17.785 | 0.000 | 
| 120.002 | 422.769 | 99.813 | 0.000 | 6.566 | -0.000 | 
| -6104.397 | -3850.506 | -7458.176 | 0.000 | -418.603 | 0.000 | 
| -2994.197 | 1209.379 | -2118.052 | 73.368 | -572.102 | 3.460 | 
| -1837.218 | 1377.000 | -1048.496 | -0.000 | -485.703 | 0.000 | 
| -1836.383 | 1373.542 | -1048.024 | -2.819 | -559.723 | 86.716 | 
| 556.957 | 323.627 | 805.875 | -0.000 | 14.084 | -0.000 | 
| 349.506 | 166.843 | 281.926 | 0.000 | 49.400 | -0.000 | 
| 281.630 | -16.633 | 479.774 | -0.000 | 50.617 | -0.000 | 
| 182.800 | -136.727 | 104.324 | 76.586 | 55.717 | -3.326 | 
| 182.749 | -134.089 | 104.534 | -0.000 | 129.585 | -0.000 | 
| 603.824 | 376.731 | 763.644 | 8.550 | 41.039 | 65.368 | 
| -71.433 | 183.578 | -145.086 | -0.000 | -56.405 | 0.000 | 
| -299.157 | 369.739 | -164.227 | 0.000 | -75.915 | 0.000 | 
| -84.572 | 260.425 | 260.688 | 0.000 | -61.338 | 0.000 | 
| -182.800 | 136.727 | -104.324 | 76.586 | -55.717 | -3.326 | 
| -296.976 | 114.874 | -209.269 | 0.000 | 12.151 | 0.000 | 
| -298.333 | 121.084 | -210.804 | 3.945 | -57.196 | 82.343 | 
| 181.588 | 15.522 | 48.821 | -0.000 | -2.297 | -0.000 | 
| 29.636 | 159.894 | 49.491 | 0.000 | -8.393 | -0.000 | 
| 88.240 | 103.169 | 448.939 | -0.000 | -5.667 | -0.000 | 
| 16.152 | -12.081 | 9.218 | 81.082 | 4.923 | -2.296 | 
| 14.735 | -7.820 | 8.042 | -0.000 | 79.387 | -0.000 | 
| 16.287 | -12.182 | 9.295 | -1.814 | 4.964 | 91.538 | 
| 184.198 | 75.402 | 53.308 | 0.000 | -8.640 | 0.000 | 
| -59.926 | 143.325 | -31.369 | -0.000 | -18.126 | 0.000 | 
| 91.814 | 133.587 | 345.049 | 0.000 | -8.121 | 0.000 | 
| -16.154 | 12.082 | -9.219 | 81.079 | -4.924 | -2.297 | 
| -61.934 | -38.303 | -87.207 | 0.000 | 69.862 | 0.000 | 
| -16.287 | 12.182 | -9.295 | -1.814 | -4.964 | 91.538 | 
| 365.417 | 122.347 | 49.085 | -0.000 | -0.000 | 0.000 | 
| 122.347 | 333.552 | 138.470 | -0.000 | -0.000 | 0.000 | 
| 49.085 | 138.470 | 359.208 | -0.000 | -0.000 | 0.000 | 
| 0.000 | 0.000 | -0.000 | 144.755 | 0.000 | -0.000 | 
| 0.000 | 0.000 | 0.000 | -0.000 | 55.350 | 0.000 | 
| 0.000 | 0.000 | -0.000 | -0.000 | -0.000 | 128.467 | 
| 264.262 | 108.025 | 65.437 | 0.000 | 0.000 | -0.000 | 
| 122.347 | 333.552 | 138.470 | 0.000 | 0.000 | -0.000 | 
| 61.042 | 144.149 | 247.125 | 0.000 | 0.000 | 0.000 | 
| -0.000 | 0.000 | 0.000 | 144.756 | 0.000 | 0.000 | 
| -0.000 | -0.000 | 0.000 | 0.000 | 55.350 | -0.000 | 
| -0.000 | -0.000 | 0.000 | 0.000 | 0.000 | 128.467 | 
| 221.895 | 85.734 | -2.532 | 0.000 | 0.000 | 0.000 | 
| 112.802 | 248.699 | 143.684 | -0.000 | -0.000 | -0.000 | 
| 49.085 | 138.470 | 359.209 | 0.000 | -0.000 | 0.000 | 
| 0.000 | 0.000 | 0.000 | 144.755 | -0.000 | 0.000 | 
| 0.000 | 0.000 | -0.000 | -0.000 | 55.350 | 0.000 | 
| -0.000 | 0.002 | -0.002 | -0.000 | -0.000 | 89.607 | 
| 365.417 | 122.347 | 49.085 | 0.000 | 0.000 | -0.000 | 
| 122.347 | 333.551 | 138.470 | 0.000 | 0.000 | -0.000 | 
| 49.085 | 138.470 | 359.208 | -0.000 | 0.000 | -0.000 | 
| 0.001 | -0.003 | 0.002 | 95.467 | 0.000 | 0.000 | 
| -0.000 | -0.000 | 0.000 | 0.000 | 55.350 | 0.000 | 
| 0.000 | -0.002 | 0.002 | 0.000 | 0.000 | 89.607 | 
| 221.882 | 85.732 | -2.533 | 0.000 | -0.000 | 0.000 | 
| 62.154 | 130.471 | 2.071 | -0.000 | -0.000 | 0.000 | 
| 36.393 | 72.779 | 180.610 | -0.000 | -0.000 | 0.000 | 
| 0.000 | 0.000 | 0.000 | 144.756 | -0.000 | 0.000 | 
| -0.000 | 0.000 | -0.000 | -0.000 | 41.141 | 0.000 | 
| -0.000 | 0.000 | -0.000 | -0.000 | -0.000 | 75.923 | 
| 264.256 | 108.072 | 65.402 | 0.000 | 0.000 | -0.000 | 
| 62.150 | 130.452 | 2.065 | 0.000 | 0.000 | 0.000 | 
| 12.609 | -9.320 | 108.755 | -0.000 | -0.000 | -0.000 | 
| -0.000 | -0.000 | -0.000 | 144.756 | 0.000 | -0.000 | 
| 0.000 | -0.000 | 0.000 | 0.000 | 41.141 | -0.000 | 
| 0.000 | -0.000 | 0.000 | 0.000 | 0.000 | 81.483 | 
| 388.366 | 138.985 | 54.979 | 0.000 | -0.000 | -0.000 | 
| 80.775 | 173.538 | 146.132 | 0.510 | -0.849 | 0.000 | 
| 27.593 | 117.462 | 149.448 | 0.717 | -1.194 | 0.000 | 
| -89.400 | -85.103 | -142.617 | 35.786 | -0.048 | 0.000 | 
| -33.295 | -29.628 | -9.238 | 0.483 | 28.448 | 0.000 | 
| 0.000 | 0.000 | -0.000 | 0.000 | 0.000 | 141.781 | 
| 326.226 | 148.544 | 80.876 | -0.518 | 0.862 | -0.000 | 
| 154.053 | 284.352 | 207.416 | -0.185 | 0.325 | -0.000 | 
| 91.798 | 176.629 | 281.269 | -0.370 | 0.615 | -0.000 | 
| 89.369 | 85.060 | 142.259 | 35.552 | 0.054 | -0.000 | 
| 33.706 | 29.994 | 9.352 | -0.489 | 29.689 | -0.000 | 
| -0.000 | -0.000 | 0.000 | -0.000 | 0.000 | 141.781 | 
| 233.764 | 60.770 | -29.022 | 0.062 | -0.107 | 0.000 | 
| 137.811 | 343.802 | 144.860 | 0.000 | 0.000 | -0.000 | 
| 54.908 | 145.963 | 392.160 | 0.000 | -0.000 | -0.000 | 
| -2.526 | -2.248 | -0.701 | 98.081 | -0.061 | 0.000 | 
| -9.687 | -14.654 | -21.576 | 0.021 | 39.971 | 0.000 | 
| -1.952 | -1.737 | -0.542 | 0.028 | -0.047 | 92.702 | 
| 291.893 | 119.502 | 72.354 | -0.053 | 0.088 | -0.000 | 
| 123.920 | 241.023 | 153.941 | -0.039 | 0.064 | -0.000 | 
| 7.592 | 38.582 | 158.440 | 0.011 | -0.023 | -0.000 | 
| 2.521 | 2.243 | 0.699 | 98.113 | 0.061 | -0.000 | 
| 9.686 | 14.655 | 21.576 | -0.021 | 40.037 | -0.000 | 
| 1.952 | 1.737 | 0.542 | -0.028 | 0.047 | 92.702 | 
| 174.574 | 103.105 | 15.072 | -0.007 | 0.010 | -0.000 | 
| 86.878 | 158.613 | 43.174 | -0.001 | 0.002 | 0.000 | 
| 12.052 | -1.503 | 122.742 | -0.001 | 0.001 | -0.000 | 
| -0.249 | -0.222 | -0.069 | 98.857 | -0.006 | 0.000 | 
| -0.620 | -2.296 | -2.483 | 0.002 | 39.639 | 0.000 | 
| -0.760 | -1.891 | -2.287 | 0.001 | -0.002 | 74.140 | 
| 175.532 | 109.518 | 22.500 | 0.002 | 0.001 | 0.000 | 
| 101.492 | 109.587 | -3.367 | 0.025 | -0.034 | 0.000 | 
| 11.453 | 1.276 | 128.633 | 0.003 | -0.006 | -0.000 | 
| 0.249 | 0.221 | 0.069 | 98.861 | 0.006 | -0.000 | 
| 0.482 | 0.452 | 0.625 | -0.002 | 42.737 | -0.000 | 
| 0.760 | 1.891 | 2.287 | -0.001 | 0.002 | 74.140 | 
| -707.037 | -807.713 | -901.113 | 0.007 | -0.004 | 0.014 | 
| -687.206 | -512.140 | -482.152 | 0.005 | -0.002 | 0.012 | 
| 104.399 | 104.399 | 174.018 | 0.000 | 0.000 | 0.000 | 
| 0.000 | 0.000 | 0.000 | 82.888 | 0.000 | -0.000 | 
| 0.000 | 0.000 | 0.000 | -0.000 | 82.888 | 0.000 | 
| -953.456 | -953.453 | -790.192 | -0.001 | 0.000 | 126.075 | 
| 1180.318 | 1011.336 | 581.595 | -0.005 | 0.003 | -0.012 | 
| 1011.293 | 1180.377 | 581.600 | -0.005 | 0.002 | -0.012 | 
| 880.656 | 880.706 | 629.018 | -0.005 | 0.002 | -0.012 | 
| -0.000 | -0.000 | -0.000 | 82.888 | -0.000 | -0.000 | 
| -0.000 | 0.000 | -0.000 | -0.000 | 82.888 | 0.000 | 
| 953.458 | 953.456 | 790.190 | 0.001 | -0.000 | 126.076 | 
| 256.668 | 71.281 | -4.059 | 0.000 | -0.000 | 0.001 | 
| 71.287 | 256.667 | -4.058 | 0.000 | -0.000 | 0.001 | 
| -97.443 | -97.443 | -29.493 | -0.000 | -0.000 | 0.000 | 
| -77.478 | -77.483 | -48.589 | 3.033 | -0.000 | 0.001 | 
| 0.000 | 0.000 | 0.000 | 0.000 | 82.888 | 0.000 | 
| 0.000 | 0.000 | 0.000 | 0.000 | 0.000 | 172.169 | 
| 262.700 | 134.354 | 66.693 | -0.000 | 0.000 | -0.000 | 
| 181.592 | 525.930 | 102.547 | -0.000 | -0.000 | -0.000 | 
| 104.399 | 104.399 | 174.018 | -0.000 | -0.000 | -0.000 | 
| -0.000 | -0.000 | -0.000 | 82.888 | -0.000 | -0.000 | 
| -0.000 | -0.000 | -0.000 | 0.000 | 82.888 | -0.000 | 
| -0.000 | -0.000 | -0.000 | 0.000 | -0.000 | 172.169 | 
| 330.417 | 142.497 | 41.197 | 0.000 | -0.000 | 0.000 | 
| 181.593 | 525.933 | 102.548 | 0.000 | 0.000 | 0.000 | 
| -10.663 | -10.663 | 40.578 | -0.000 | -0.000 | -0.000 | 
| -10.533 | -10.533 | -8.058 | -16.450 | -0.000 | 0.000 | 
| 0.000 | 0.000 | 0.000 | -0.000 | 82.888 | 0.000 | 
| -5.548 | -5.548 | -3.479 | 0.000 | -0.000 | 115.943 | 
| 345.526 | 157.889 | 50.783 | -0.000 | 0.000 | -0.000 | 
| 29.914 | 210.657 | -17.091 | -0.000 | 0.000 | -0.000 | 
| 26.277 | 26.277 | 78.093 | -0.000 | 0.000 | -0.000 | 
| 10.533 | 10.533 | 8.058 | -16.447 | 0.000 | -0.000 | 
| -0.000 | -0.000 | -0.000 | -0.000 | 82.888 | -0.000 | 
| 5.548 | 5.548 | 3.479 | -0.000 | 0.000 | 115.943 | 
| 127.595 | 31.912 | 43.691 | -0.000 | 0.000 | -0.000 | 
| -661.414 | -81.691 | -827.000 | 0.000 | 0.000 | -0.000 | 
| -676.675 | -114.544 | -831.560 | -0.000 | 0.000 | -0.000 | 
| -694.494 | -131.160 | -842.358 | 8.017 | 0.000 | -0.000 | 
| -0.000 | -0.000 | 0.000 | 0.000 | 44.998 | -0.000 | 
| -694.151 | -131.095 | -841.942 | 0.000 | 0.000 | 7.079 | 
| 127.595 | 31.912 | 43.691 | -0.000 | -0.000 | 0.000 | 
| 122.335 | 1177.046 | 2394.285 | -0.000 | -0.000 | 0.000 | 
| 257.799 | 1195.719 | 2331.000 | 0.000 | -0.000 | 0.000 | 
| 694.494 | 131.160 | 842.358 | 8.017 | -0.000 | 0.000 | 
| 0.000 | 0.000 | -0.000 | -0.000 | 44.998 | 0.000 | 
| 694.151 | 131.095 | 841.942 | 0.000 | -0.000 | 7.079 | 
| -20.322 | 20.384 | -67.278 | -0.000 | 0.000 | -0.000 | 
| -132.895 | 67.159 | -85.807 | 0.000 | 0.000 | -0.000 | 
| -50.470 | 4.268 | -71.014 | -0.000 | 0.000 | -0.000 | 
| -68.430 | -12.923 | -82.999 | 8.562 | 0.000 | -0.000 | 
| 0.000 | 0.000 | 0.000 | -0.000 | 44.998 | -0.000 | 
| -68.528 | -12.942 | -83.118 | 0.000 | 0.000 | 7.398 | 
| 117.508 | 45.963 | 98.014 | 0.000 | -0.000 | 0.000 | 
| -24.877 | 106.098 | 296.497 | -0.000 | -0.000 | 0.000 | 
| 44.297 | 44.512 | 85.371 | -0.000 | -0.000 | 0.000 | 
| 68.430 | 12.923 | 82.999 | 8.562 | 0.000 | 0.000 | 
| -0.000 | 0.000 | -0.000 | 0.000 | 44.998 | 0.000 | 
| 68.528 | 12.942 | 83.118 | 0.000 | -0.000 | 7.398 | 
| 67.452 | 32.025 | 18.594 | -0.000 | 0.000 | -0.000 | 
| 28.196 | 75.781 | 19.728 | -0.000 | 0.000 | -0.000 | 
| 4.237 | 11.232 | 7.596 | 0.000 | 0.000 | -0.000 | 
| -9.207 | -1.806 | -8.839 | 20.642 | 0.000 | -0.000 | 
| -4.444 | -0.839 | -5.390 | -0.000 | 21.797 | -0.000 | 
| -10.775 | -2.122 | -10.061 | 0.000 | 0.000 | 20.579 | 
| 82.995 | 33.614 | 31.833 | 0.000 | -0.000 | 0.000 | 
| 8.469 | 46.961 | 39.947 | 0.000 | 0.000 | 0.000 | 
| 21.515 | 15.081 | 25.949 | 0.000 | -0.000 | 0.000 | 
| 9.207 | 1.806 | 8.839 | 20.642 | -0.000 | 0.000 | 
| 4.444 | 0.839 | 5.390 | 0.000 | 21.797 | 0.000 | 
| 10.775 | 2.122 | 10.061 | -0.000 | -0.000 | 20.579 | 
| 181.145 | 86.129 | 111.491 | 0.000 | 0.000 | 0.000 | 
| -1086.789 | 3091.054 | 180.409 | -0.000 | 0.000 | -0.000 | 
| -1028.144 | 4624.156 | 1198.680 | 0.000 | 0.000 | -0.000 | 
| -1121.586 | 4553.508 | 855.870 | 142.699 | -0.000 | -0.000 | 
| 0.000 | 0.000 | 0.000 | 0.000 | 102.024 | 0.000 | 
| -1206.849 | 2902.335 | 58.772 | -0.000 | 0.000 | 66.939 | 
| 181.145 | 86.129 | 111.491 | -0.000 | -0.000 | 0.000 | 
| 1211.348 | -4482.367 | -802.911 | -0.000 | -0.000 | 0.000 | 
| 107.015 | 148.945 | 440.099 | -0.000 | -0.000 | 0.000 | 
| 1121.586 | -4553.508 | -855.870 | 142.699 | -0.000 | 0.000 | 
| -0.000 | -0.000 | 0.000 | -0.000 | 102.024 | 0.000 | 
| 1206.849 | -2902.335 | -58.772 | 0.000 | -0.000 | 66.939 | 
| 46.824 | 379.320 | 100.043 | -0.000 | 0.000 | -0.000 | 
| -2.866 | 511.916 | 131.907 | -0.000 | 0.000 | -0.000 | 
| -18.408 | 517.575 | 428.901 | 0.000 | 0.000 | -0.000 | 
| -120.018 | 423.154 | 63.913 | 131.577 | 0.000 | -0.000 | 
| -119.841 | 288.205 | 5.836 | -0.000 | 82.695 | -0.000 | 
| -112.077 | 456.496 | 86.162 | 0.000 | 0.000 | 64.700 | 
| 288.433 | -204.947 | 86.333 | 0.000 | -0.000 | 0.000 | 
| 237.951 | -120.563 | 111.892 | 0.000 | -0.000 | -0.000 | 
| 223.556 | -213.981 | 358.949 | -0.000 | -0.000 | 0.000 | 
| 120.018 | -423.154 | -63.913 | 131.577 | -0.000 | 0.000 | 
| 119.841 | -288.205 | -5.836 | 0.000 | 82.695 | 0.000 | 
| 112.077 | -456.496 | -86.162 | -0.000 | -0.000 | 64.700 | 
| 181.145 | 86.130 | 111.491 | 0.000 | 0.000 | -0.000 | 
| 93.282 | 151.435 | 104.493 | 0.000 | 0.000 | -0.000 | 
| 79.006 | 147.967 | 379.066 | -0.000 | 0.000 | -0.000 | 
| -7.286 | 17.522 | 0.355 | 126.436 | 0.000 | 0.000 | 
| 0.000 | 0.000 | 0.000 | -0.000 | 102.024 | -0.000 | 
| 0.000 | 0.000 | 0.000 | -0.000 | 0.000 | 79.659 | 
| 172.217 | 70.557 | 89.592 | 0.000 | -0.000 | 0.000 | 
| 121.278 | 75.481 | 94.294 | -0.000 | -0.000 | 0.000 | 
| 102.553 | 46.344 | 340.726 | -0.000 | 0.000 | 0.000 | 
| 7.286 | -17.522 | -0.355 | 126.436 | -0.000 | 0.000 | 
| -0.000 | -0.000 | -0.000 | -0.000 | 102.024 | 0.000 | 
| -0.000 | -0.000 | -0.000 | -0.000 | -0.000 | 79.659 | 
| 471.305 | 169.119 | 226.036 | 0.000 | -0.000 | -0.000 | 
| 171.408 | 330.390 | 171.136 | 0.000 | 0.000 | -0.000 | 
| 227.017 | 227.405 | 316.345 | -0.000 | -0.000 | 0.000 | 
| 0.000 | 0.000 | -0.000 | 231.131 | -0.000 | -0.000 | 
| 0.000 | 0.000 | -0.000 | -0.000 | 229.186 | 0.000 | 
| 0.000 | 0.000 | 0.000 | 0.000 | -0.000 | 174.622 | 
| 387.149 | 169.977 | 193.566 | -0.000 | 0.000 | 0.000 | 
| 169.806 | 449.656 | 227.111 | -0.000 | 0.000 | -0.000 | 
| 169.197 | 146.164 | 255.200 | 0.000 | -0.000 | -0.000 | 
| -0.000 | -0.000 | 0.000 | 231.131 | 0.000 | -0.000 | 
| -0.000 | -0.000 | 0.000 | -0.000 | 229.186 | -0.000 | 
| -0.000 | -0.000 | 0.000 | -0.000 | -0.000 | 174.622 | 
| 387.626 | 169.562 | 193.555 | 0.000 | -0.000 | -0.000 | 
| 169.806 | 449.656 | 227.111 | -0.000 | -0.000 | 0.000 | 
| 169.828 | 145.847 | 255.296 | -0.000 | -0.000 | 0.000 | 
| 0.000 | 0.000 | 0.000 | 231.131 | -0.000 | 0.000 | 
| 0.000 | 0.000 | 0.000 | 0.000 | 229.186 | -0.000 | 
| 0.000 | 0.000 | 0.000 | 0.000 | -0.000 | 174.622 | 
| 471.305 | 169.119 | 226.036 | -0.000 | 0.000 | 0.000 | 
| 170.392 | 330.093 | 170.598 | -0.000 | 0.000 | 0.000 | 
| 164.940 | 151.322 | 255.985 | -0.000 | -0.000 | 0.000 | 
| -0.000 | -0.000 | -0.000 | 231.131 | -0.000 | -0.000 | 
| -0.000 | -0.000 | -0.000 | 0.000 | 229.186 | -0.000 | 
| -0.000 | -0.000 | -0.000 | -0.000 | -0.000 | 174.622 | 
| 374.927 | 127.832 | 168.790 | 0.000 | -0.000 | 0.000 | 
| 170.496 | 330.122 | 170.652 | 0.000 | 0.000 | -0.000 | 
| 165.048 | 151.205 | 255.971 | 0.000 | -0.000 | -0.000 | 
| 0.000 | 0.000 | 0.001 | 231.131 | -0.000 | -0.000 | 
| 0.000 | 0.000 | 0.001 | 0.000 | 229.186 | 0.000 | 
| 0.003 | -0.002 | 0.000 | -0.000 | -0.000 | 120.992 | 
| 387.499 | 169.604 | 193.525 | -0.000 | -0.000 | 0.000 | 
| 128.504 | 311.804 | 145.554 | -0.000 | 0.000 | -0.000 | 
| 165.026 | 151.224 | 255.972 | -0.000 | 0.000 | 0.000 | 
| -0.000 | -0.000 | -0.001 | 231.131 | 0.000 | -0.000 | 
| -0.000 | -0.000 | -0.001 | 0.000 | 229.186 | -0.000 | 
| -0.003 | 0.002 | -0.000 | -0.000 | 0.000 | 120.992 | 
| 241.553 | 90.562 | 90.562 | 0.000 | 0.000 | -0.000 | 
| 90.562 | 241.553 | 90.562 | 0.000 | -0.000 | -0.000 | 
| 90.562 | 90.562 | 241.553 | -0.000 | -0.000 | -0.000 | 
| 0.000 | -0.000 | 0.000 | 172.471 | 0.000 | -0.000 | 
| 0.000 | 0.000 | 0.000 | 0.000 | 172.471 | -0.000 | 
| 0.000 | 0.000 | 0.000 | 0.000 | -0.000 | 172.471 | 
| 241.553 | 90.562 | 90.562 | 0.000 | 0.000 | 0.000 | 
| 90.562 | 241.554 | 90.562 | 0.000 | 0.000 | 0.000 | 
| 90.562 | 90.562 | 241.553 | 0.000 | 0.000 | -0.000 | 
| -0.000 | -0.000 | -0.000 | 172.471 | 0.000 | 0.000 | 
| -0.000 | -0.000 | -0.000 | -0.000 | 172.471 | 0.000 | 
| -0.000 | -0.000 | -0.000 | -0.000 | 0.000 | 172.471 | 
| 264.243 | 123.165 | 123.165 | 0.000 | -0.000 | -0.000 | 
| 123.165 | 264.243 | 123.165 | 0.000 | -0.000 | -0.000 | 
| 123.165 | 123.165 | 264.243 | -0.000 | -0.000 | -0.000 | 
| 0.000 | 0.000 | 0.000 | 172.471 | 0.000 | -0.000 | 
| 0.000 | 0.000 | 0.000 | 0.000 | 172.471 | -0.000 | 
| 0.000 | 0.000 | 0.000 | -0.000 | -0.000 | 172.471 | 
| 233.402 | 81.159 | 81.159 | -0.000 | 0.000 | 0.000 | 
| 81.159 | 233.402 | 81.159 | 0.000 | -0.000 | 0.000 | 
| 81.159 | 81.159 | 233.402 | -0.000 | -0.000 | 0.000 | 
| -0.000 | -0.000 | -0.000 | 172.471 | 0.000 | 0.000 | 
| -0.000 | -0.000 | -0.000 | -0.000 | 172.471 | 0.000 | 
| -0.000 | -0.000 | -0.000 | -0.000 | -0.000 | 172.471 | 
| 241.543 | 90.575 | 90.575 | -0.000 | -0.000 | -0.000 | 
| 90.575 | 241.543 | 90.575 | 0.000 | 0.000 | -0.000 | 
| 90.575 | 90.575 | 241.543 | 0.000 | 0.000 | -0.000 | 
| 0.000 | -0.000 | -0.000 | 127.055 | -0.000 | -0.000 | 
| -0.000 | 0.000 | 0.000 | -0.000 | 127.055 | -0.000 | 
| -0.000 | -0.000 | 0.000 | -0.000 | 0.000 | 127.055 | 
| 233.161 | 80.982 | 80.983 | 0.000 | 0.000 | 0.000 | 
| 80.983 | 233.161 | 80.982 | -0.000 | -0.000 | 0.000 | 
| 80.982 | 80.983 | 233.161 | -0.000 | -0.000 | 0.000 | 
| -0.000 | 0.000 | 0.000 | 127.055 | 0.000 | 0.000 | 
| 0.000 | -0.000 | -0.000 | -0.000 | 127.055 | 0.000 | 
| 0.000 | 0.000 | -0.000 | -0.000 | 0.000 | 127.055 | 
| 333.647 | 114.979 | 102.020 | 0.000 | -0.000 | 0.000 | 
| 114.979 | 333.647 | 102.020 | -0.000 | -0.000 | -0.000 | 
| 101.779 | 101.779 | 346.087 | 0.000 | 0.000 | 0.000 | 
| 867.663 | 867.663 | 1291.921 | 45.287 | -0.000 | -0.000 | 
| 867.663 | 867.663 | 1291.921 | 0.000 | 45.287 | -0.000 | 
| 975.963 | 975.963 | 3361.183 | 0.000 | -0.000 | 44.637 | 
| -662.485 | -743.705 | -1163.342 | 0.000 | 0.000 | 0.000 | 
| -743.705 | -662.486 | -1163.342 | -0.000 | 0.000 | -0.000 | 
| -743.971 | -743.971 | -1118.164 | 0.000 | -0.000 | -0.000 | 
| -867.663 | -867.663 | -1291.921 | 45.287 | 0.000 | 0.000 | 
| -867.875 | -867.875 | -1292.237 | -0.000 | 45.272 | -0.000 | 
| -975.963 | -975.963 | -3361.183 | 0.000 | 0.000 | 44.637 | 
| 333.647 | 114.979 | 102.020 | -0.000 | -0.000 | 0.000 | 
| 114.979 | 333.647 | 102.020 | 0.000 | 0.000 | -0.000 | 
| 101.779 | 101.779 | 346.087 | 0.000 | 0.000 | 0.000 | 
| 129.104 | 129.104 | 247.743 | 63.485 | 0.000 | -0.000 | 
| 129.104 | 129.104 | 247.743 | -0.000 | 63.485 | 0.000 | 
| -0.000 | 0.000 | 0.000 | -0.000 | -0.000 | 119.401 | 
| 127.972 | 39.731 | 2.494 | 0.000 | -0.000 | -0.000 | 
| 39.731 | 127.972 | 2.494 | -0.000 | 0.000 | -0.000 | 
| -83.722 | -83.722 | -103.340 | 0.000 | 0.000 | 0.000 | 
| -129.104 | -129.104 | -247.743 | 63.485 | 0.000 | -0.000 | 
| -129.104 | -129.104 | -247.743 | -0.000 | 63.485 | -0.000 | 
| 0.000 | -0.000 | -0.000 | 0.000 | 0.000 | 119.401 | 
| 217.085 | 103.839 | 98.068 | 0.000 | -0.000 | -0.000 | 
| 103.839 | 217.085 | 98.068 | 0.000 | -0.000 | 0.000 | 
| 118.196 | 118.196 | 268.153 | 0.000 | 0.000 | 0.000 | 
| 13.031 | 13.031 | 26.668 | 58.425 | -0.000 | 0.000 | 
| 13.031 | 13.031 | 26.668 | 0.000 | 58.425 | -0.000 | 
| 12.923 | 12.923 | 26.392 | 0.000 | 0.000 | 59.393 | 
| 247.735 | 114.136 | 108.929 | -0.000 | 0.000 | -0.000 | 
| 114.136 | 247.735 | 108.929 | -0.000 | -0.000 | 0.000 | 
| 34.192 | 34.192 | 138.161 | 0.000 | 0.000 | -0.000 | 
| -13.031 | -13.031 | -26.668 | 58.425 | -0.000 | 0.000 | 
| -13.031 | -13.031 | -26.668 | -0.000 | 58.425 | 0.000 | 
| -12.923 | -12.923 | -26.392 | -0.000 | -0.000 | 59.393 | 
| 348.876 | 170.191 | 75.419 | -0.000 | -0.000 | -0.000 | 
| 2116.469 | 4469.397 | 3129.075 | 0.025 | -0.032 | -0.000 | 
| 2110.920 | 4470.217 | 3376.298 | 0.025 | -0.032 | -0.000 | 
| 2038.352 | 4337.100 | 3029.314 | 55.899 | -0.032 | -0.000 | 
| 0.000 | 0.000 | -0.000 | 0.000 | 71.998 | -0.000 | 
| 2924.753 | 4998.311 | 2596.641 | -0.032 | 0.041 | 92.748 | 
| 348.876 | 170.191 | 75.419 | 0.000 | 0.000 | 0.000 | 
| 168.806 | 262.708 | 162.779 | 0.000 | -0.000 | 0.000 | 
| -1967.469 | -4207.257 | -2684.149 | -0.025 | 0.032 | 0.000 | 
| -2038.350 | -4337.095 | -3029.311 | 55.849 | 0.032 | -0.000 | 
| -0.000 | -0.000 | -0.000 | -0.000 | 71.998 | 0.000 | 
| -0.000 | -0.000 | 0.000 | 0.000 | -0.000 | 170.471 | 
| 439.802 | 493.928 | 345.041 | 0.002 | -0.003 | 0.000 | 
| 284.459 | 569.821 | 404.672 | 0.002 | -0.003 | 0.000 | 
| 72.818 | 161.563 | 408.965 | 0.000 | -0.000 | -0.000 | 
| 198.311 | 421.956 | 294.722 | 58.894 | -0.003 | -0.000 | 
| 199.293 | 424.045 | 296.181 | 0.002 | 26.488 | 0.000 | 
| 293.831 | 503.442 | 262.716 | -0.003 | 0.004 | 91.698 | 
| -86.236 | -516.723 | -184.103 | -0.018 | 0.023 | 0.000 | 
| -129.751 | -307.684 | -206.516 | -0.003 | 0.003 | 0.000 | 
| -134.265 | -305.621 | 42.578 | -0.002 | 0.003 | -0.000 | 
| -198.309 | -421.952 | -294.719 | 58.890 | 0.003 | 0.000 | 
| -199.295 | -424.050 | -296.184 | -0.002 | 26.494 | 0.000 | 
| -293.831 | -503.442 | -262.716 | 0.003 | -0.004 | 91.698 | 
| 348.877 | 170.192 | 75.419 | -0.000 | -0.000 | 0.000 | 
| 168.807 | 262.709 | 162.780 | -0.000 | -0.000 | -0.000 | 
| 82.903 | 147.672 | 345.934 | 0.000 | -0.000 | 0.000 | 
| 13.360 | 28.426 | 19.854 | 94.250 | -0.000 | 0.000 | 
| 0.000 | 0.000 | 0.000 | -0.000 | 71.998 | -0.000 | 
| 32.388 | 60.063 | 21.222 | 0.002 | -0.003 | 53.098 | 
| 348.874 | 170.190 | 75.419 | 0.000 | 0.000 | 0.000 | 
| 41.451 | 67.585 | 60.530 | -0.000 | 0.000 | -0.000 | 
| 72.818 | 161.562 | 408.963 | 0.000 | -0.000 | 0.000 | 
| -13.359 | -28.425 | -19.854 | 94.250 | 0.000 | 0.000 | 
| -0.000 | -0.000 | -0.000 | -0.000 | 71.998 | 0.000 | 
| -16.366 | -34.823 | -24.323 | -0.000 | 0.000 | 90.424 | 
| 283.185 | 117.064 | 104.504 | -0.000 | 0.000 | 0.000 | 
| 114.740 | 400.326 | 93.139 | -0.000 | -0.000 | -0.000 | 
| 96.189 | 93.139 | 427.541 | -0.000 | 0.000 | -0.000 | 
| 0.000 | 0.000 | 0.000 | 99.616 | 0.000 | -0.000 | 
| 0.000 | 0.000 | -0.000 | -0.000 | 102.488 | -0.000 | 
| 0.034 | 0.040 | -0.029 | -0.000 | -0.000 | 89.605 | 
| 213.033 | 73.332 | 64.666 | 0.000 | -0.000 | -0.000 | 
| 116.920 | 304.437 | 104.834 | 0.000 | 0.000 | -0.000 | 
| 96.189 | 93.139 | 427.541 | 0.000 | -0.000 | 0.000 | 
| -0.000 | -0.000 | -0.000 | 99.616 | -0.000 | 0.000 | 
| -0.000 | -0.000 | -0.000 | 0.000 | 102.488 | 0.000 | 
| -0.034 | -0.040 | 0.029 | 0.000 | -0.000 | 89.605 | 
| 213.124 | 73.462 | 64.625 | -0.000 | 0.000 | 0.000 | 
| 116.981 | 304.536 | 104.779 | -0.000 | 0.000 | 0.000 | 
| 96.189 | 93.139 | 427.542 | -0.000 | 0.000 | -0.000 | 
| 0.000 | 0.000 | 0.000 | 99.616 | -0.000 | -0.000 | 
| 0.000 | 0.000 | 0.000 | -0.000 | 102.488 | -0.000 | 
| 0.000 | 0.000 | 0.000 | -0.000 | 0.000 | 121.173 | 
| 283.112 | 116.989 | 104.558 | 0.000 | -0.000 | -0.000 | 
| 114.740 | 400.326 | 93.139 | 0.000 | -0.000 | -0.000 | 
| 105.612 | 106.380 | 316.986 | 0.000 | -0.000 | -0.000 | 
| -0.000 | -0.000 | -0.000 | 99.616 | -0.000 | 0.000 | 
| -0.000 | -0.000 | -0.000 | 0.000 | 102.488 | 0.000 | 
| -0.000 | -0.000 | -0.000 | 0.000 | 0.000 | 121.173 | 
| 213.074 | 73.457 | 64.636 | -0.000 | -0.000 | 0.000 | 
| 116.970 | 304.808 | 104.750 | -0.000 | 0.000 | 0.000 | 
| -15.726 | 20.655 | 226.277 | -0.000 | 0.000 | -0.000 | 
| 0.000 | 0.000 | 0.000 | 99.616 | 0.000 | -0.000 | 
| 0.001 | 0.001 | -0.000 | -0.000 | 62.155 | 0.000 | 
| 0.000 | 0.000 | -0.000 | -0.000 | 0.000 | 89.605 | 
| 161.073 | 49.773 | 2.389 | 0.000 | -0.000 | -0.000 | 
| 116.974 | 304.537 | 104.783 | 0.000 | -0.000 | -0.000 | 
| 105.616 | 106.384 | 316.997 | 0.000 | -0.000 | -0.000 | 
| -0.000 | -0.000 | -0.000 | 99.616 | 0.000 | 0.000 | 
| -0.001 | -0.001 | 0.000 | 0.000 | 62.155 | -0.000 | 
| -0.000 | -0.000 | 0.000 | 0.000 | -0.000 | 89.605 | 
| 414.838 | 1524.150 | 907.441 | -0.000 | -0.000 | 0.000 | 
| 9572.057 | 9978.185 | 8375.323 | 0.000 | 0.000 | 0.000 | 
| -2353.513 | 1793.287 | 1085.561 | 0.000 | 0.000 | 0.000 | 
| 276.149 | 1497.142 | 846.615 | 44.885 | 0.000 | 0.000 | 
| -0.000 | -0.000 | 0.000 | 0.000 | 102.830 | 0.000 | 
| 276.289 | 1496.967 | 846.528 | 0.000 | 0.000 | 84.353 | 
| 408.587 | 105.647 | 94.253 | 0.000 | -0.000 | -0.000 | 
| 105.667 | 408.257 | 94.135 | -0.000 | -0.000 | 0.000 | 
| -4177.227 | -3506.537 | -3901.962 | 0.000 | -0.000 | -0.000 | 
| -4127.732 | -3443.483 | -4080.462 | 59.243 | -0.000 | -0.000 | 
| 0.000 | -0.000 | 0.000 | 0.000 | 102.830 | 0.000 | 
| -276.289 | -1496.967 | -846.528 | 0.000 | -0.000 | 84.353 | 
| 52.527 | 269.817 | 172.213 | -0.000 | 0.000 | 0.000 | 
| 64.853 | 321.049 | 144.714 | -0.000 | 0.000 | 0.000 | 
| 96.183 | 96.046 | 432.295 | 0.000 | -0.000 | 0.000 | 
| 998.948 | 1430.982 | 890.955 | 71.823 | 0.000 | -0.000 | 
| 410.827 | 344.269 | 407.415 | -0.000 | 59.275 | 0.000 | 
| 954.180 | 996.975 | 848.527 | -0.000 | 0.000 | 61.717 | 
| 408.587 | 105.647 | 94.253 | 0.000 | -0.000 | 0.000 | 
| 353.616 | 107.114 | 31.388 | 0.000 | -0.000 | -0.000 | 
| 348.990 | -60.151 | 254.874 | 0.000 | -0.000 | -0.000 | 
| -998.948 | -1430.982 | -890.955 | 71.823 | -0.000 | 0.000 | 
| -1075.128 | -2314.637 | 103.930 | 0.000 | 41.588 | -0.000 | 
| -954.180 | -996.975 | -848.527 | 0.000 | -0.000 | 61.717 | 
| 233.073 | 81.974 | 88.143 | -0.000 | 0.000 | 0.000 | 
| 98.428 | 164.417 | 17.507 | 0.000 | 0.000 | 0.000 | 
| 96.184 | 96.046 | 432.298 | 0.000 | 0.000 | -0.000 | 
| 63.351 | 40.633 | 63.749 | 53.236 | 0.000 | 0.000 | 
| -1.890 | 13.488 | 7.317 | -0.000 | 53.235 | 0.000 | 
| -4.828 | 16.348 | 8.689 | 0.000 | -0.000 | 76.548 | 
| 63.712 | -9.735 | -106.392 | -0.000 | -0.000 | -0.000 | 
| 135.746 | 277.353 | 96.309 | -0.000 | -0.000 | -0.000 | 
| -103.396 | -80.177 | 144.308 | 0.000 | -0.000 | -0.000 | 
| -63.351 | -40.633 | -63.749 | 53.236 | -0.000 | -0.000 | 
| 1.890 | -13.488 | -7.317 | -0.000 | 53.235 | -0.000 | 
| 4.828 | -16.348 | -8.689 | 0.000 | -0.000 | 76.548 | 
| 145.984 | -713.221 | 38.501 | -0.001 | 0.000 | -0.001 | 
| 122.660 | 349.428 | 165.991 | -0.000 | 0.000 | 0.000 | 
| 90.361 | -88.665 | 471.412 | 0.000 | 0.000 | 0.000 | 
| -67.185 | -85.578 | 193.284 | -104.585 | -0.000 | 0.000 | 
| 0.000 | 0.000 | 0.000 | 0.000 | 170.740 | 0.000 | 
| -67.472 | -85.943 | 194.110 | 0.000 | -0.000 | -68.648 | 
| 638.912 | 602.868 | 40.396 | 0.000 | 0.000 | 0.000 | 
| 104.524 | 222.800 | -183.277 | -0.000 | 0.000 | -0.000 | 
| 225.668 | 86.958 | 90.758 | -0.000 | -0.000 | -0.000 | 
| 67.185 | 85.578 | -193.284 | -104.586 | -0.000 | -0.000 | 
| -0.000 | -0.000 | -0.000 | 0.000 | 170.740 | 0.000 | 
| 67.472 | 85.943 | -194.110 | -0.000 | -0.000 | -68.649 | 
| 288.043 | 51.571 | 177.736 | 0.000 | 0.000 | 0.000 | 
| 122.660 | 349.428 | 165.991 | -0.000 | 0.000 | -0.000 | 
| 173.715 | 164.483 | 617.816 | 0.000 | 0.000 | 0.000 | 
| 0.000 | 0.000 | 0.000 | 165.827 | -0.000 | 0.000 | 
| 0.000 | 0.000 | 0.000 | -0.000 | 170.740 | 0.000 | 
| -28.278 | -77.371 | 11.565 | 0.000 | -0.000 | 64.613 | 
| 315.693 | 72.366 | 152.481 | -0.000 | 0.000 | -0.000 | 
| 122.660 | 349.428 | 165.991 | 0.000 | -0.000 | -0.000 | 
| 173.715 | 164.482 | 617.816 | 0.000 | 0.000 | 0.000 | 
| -0.000 | -0.000 | -0.000 | 165.827 | -0.000 | 0.000 | 
| -0.000 | -0.000 | -0.000 | 0.000 | 170.740 | -0.000 | 
| 28.278 | 77.371 | -11.565 | -0.000 | 0.000 | 64.613 | 
| 345.216 | 83.117 | 168.626 | 0.000 | -0.000 | 0.000 | 
| 71.702 | 109.607 | 147.891 | 0.000 | -0.000 | 0.000 | 
| 141.181 | 101.429 | 472.412 | -0.000 | 0.000 | -0.000 | 
| -0.202 | -0.258 | 0.582 | 84.364 | -0.000 | 0.000 | 
| -2.920 | -14.213 | 4.672 | -0.000 | 83.466 | -0.000 | 
| -1.161 | -2.087 | 1.365 | 0.000 | -0.000 | 61.310 | 
| 347.998 | 84.938 | 167.104 | -0.000 | 0.000 | -0.000 | 
| 78.700 | 238.748 | 80.409 | -0.000 | -0.000 | -0.000 | 
| 148.587 | 136.745 | 461.921 | -0.000 | -0.000 | -0.000 | 
| 0.202 | 0.258 | -0.582 | 84.364 | 0.000 | -0.000 | 
| 2.920 | 14.213 | -4.672 | 0.000 | 83.466 | 0.000 | 
| 4.472 | 11.720 | -2.015 | -0.000 | -0.000 | 51.531 | 
| 404.427 | 69.378 | 114.477 | 0.000 | -0.000 | 0.000 | 
| 69.378 | 404.427 | 114.477 | 0.000 | -0.000 | -0.000 | 
| 115.423 | 115.423 | 373.727 | 0.000 | 0.000 | 0.000 | 
| -0.000 | 0.000 | 0.000 | 117.482 | 0.000 | 0.000 | 
| -0.000 | 0.000 | 0.000 | -0.000 | 117.482 | -0.000 | 
| -0.000 | 0.000 | 0.000 | 0.000 | 0.000 | 70.339 | 
| 33.772 | -180.219 | -598.205 | 3.214 | 3.305 | -15.283 | 
| -204.307 | 57.355 | -598.785 | 3.217 | 3.307 | -15.296 | 
| 115.423 | 115.423 | 373.727 | -0.000 | -0.000 | 0.000 | 
| 0.000 | -0.000 | -0.000 | 117.482 | -0.000 | 0.000 | 
| -0.000 | -0.000 | -0.000 | 0.000 | 117.482 | 0.000 | 
| 0.000 | -0.000 | 0.000 | -0.000 | -0.000 | 70.339 | 
| 419.188 | 266.513 | 201.657 | -0.143 | -0.022 | 1.092 | 
| 167.231 | 332.569 | 256.744 | -0.328 | -0.129 | 1.016 | 
| 115.423 | 115.423 | 373.728 | 0.000 | 0.000 | 0.000 | 
| 0.000 | 0.000 | 0.000 | 117.482 | -0.000 | -0.000 | 
| 0.000 | 0.000 | 0.000 | -0.000 | 117.482 | 0.000 | 
| 0.000 | 0.000 | 0.000 | 0.000 | 0.000 | 70.339 | 
| 280.147 | 58.319 | 41.383 | 0.365 | 0.376 | -1.738 | 
| 55.489 | 281.837 | 40.768 | 0.369 | 0.379 | -1.752 | 
| 115.423 | 115.423 | 373.727 | 0.000 | -0.000 | -0.000 | 
| -0.000 | -0.000 | -0.000 | 117.482 | -0.000 | -0.000 | 
| -0.000 | -0.000 | -0.000 | -0.000 | 117.482 | 0.000 | 
| -433.410 | -432.594 | -79.327 | 0.203 | 0.270 | 52.038 | 
| 278.624 | 77.148 | 130.667 | -0.024 | -0.006 | 0.065 | 
| 77.574 | 278.647 | 130.790 | -0.024 | -0.007 | 0.067 | 
| 127.787 | 127.510 | 303.680 | -0.037 | -0.038 | 0.177 | 
| 2.358 | 2.164 | 5.850 | 79.667 | -0.027 | 0.124 | 
| 6.707 | 6.610 | 10.044 | -0.027 | 71.941 | 0.092 | 
| 16.059 | 15.843 | 11.908 | -0.028 | -0.016 | 50.358 | 
| 52.527 | 16.412 | 78.889 | 0.011 | 0.052 | -0.087 | 
| 10.917 | 73.876 | 64.079 | 0.069 | 0.000 | -0.058 | 
| 42.638 | 42.661 | 180.158 | 0.030 | 0.042 | -0.156 | 
| -6.709 | -6.612 | -10.044 | 71.985 | 0.014 | -0.092 | 
| -6.708 | -6.611 | -10.043 | 0.027 | 71.981 | -0.092 | 
| -15.946 | -15.731 | -11.868 | 0.028 | 0.016 | 50.181 | 
| 300.953 | 86.192 | 120.749 | 0.000 | 0.000 | -0.000 | 
| 86.192 | 300.953 | 120.749 | -0.000 | 0.000 | 0.000 | 
| 119.756 | 119.756 | 288.308 | 0.000 | 0.000 | 0.000 | 
| 0.000 | -0.000 | -0.000 | 117.048 | 0.000 | -0.000 | 
| -0.000 | -0.000 | -0.000 | 0.000 | 117.048 | 0.000 | 
| 0.000 | 0.000 | 0.000 | 0.000 | 0.000 | 54.729 | 
| 273.233 | 64.740 | 116.299 | 0.000 | -0.000 | 0.000 | 
| 64.740 | 273.233 | 116.299 | -0.000 | -0.000 | -0.000 | 
| 119.756 | 119.756 | 288.307 | 0.000 | -0.000 | -0.000 | 
| 0.000 | -0.000 | 0.000 | 117.048 | -0.000 | 0.000 | 
| 0.000 | -0.000 | 0.000 | -0.000 | 117.048 | -0.000 | 
| -0.000 | -0.000 | -0.000 | -0.000 | -0.000 | 54.729 | 
| 395.179 | 66.221 | 111.482 | 0.000 | 0.000 | 0.000 | 
| 66.221 | 395.179 | 111.482 | 0.000 | 0.000 | 0.000 | 
| 119.756 | 119.756 | 288.307 | 0.000 | 0.000 | 0.000 | 
| 0.000 | 0.000 | -0.000 | 83.939 | 0.000 | -0.000 | 
| 0.000 | 0.000 | -0.000 | 0.000 | 83.939 | 0.000 | 
| 0.000 | -0.000 | 0.000 | 0.000 | 0.000 | 71.590 | 
| 212.152 | 50.167 | 89.153 | -0.000 | -0.000 | -0.000 | 
| 86.192 | 300.948 | 120.749 | -0.000 | -0.000 | 0.000 | 
| 119.756 | 119.756 | 288.308 | -0.000 | -0.000 | 0.000 | 
| -0.000 | -0.000 | 0.000 | 83.939 | -0.000 | -0.000 | 
| -0.000 | -0.000 | 0.000 | -0.000 | 83.939 | 0.000 | 
| -0.000 | 0.000 | -0.000 | -0.000 | -0.000 | 71.590 | 
| 300.945 | 86.193 | 120.750 | 0.000 | 0.000 | 0.000 | 
| 86.193 | 300.945 | 120.750 | 0.000 | 0.000 | -0.000 | 
| 81.609 | 81.609 | 191.799 | 0.000 | 0.000 | 0.000 | 
| -0.000 | 0.000 | -0.000 | 77.505 | 0.000 | 0.000 | 
| 0.000 | -0.000 | -0.000 | -0.000 | 77.505 | 0.000 | 
| -0.000 | -0.000 | 0.000 | 0.000 | 0.000 | 56.558 | 
| 300.960 | 86.189 | 120.747 | -0.000 | -0.000 | 0.000 | 
| 86.189 | 300.960 | 120.747 | -0.000 | -0.000 | -0.000 | 
| 119.755 | 119.755 | 288.308 | -0.000 | -0.000 | -0.000 | 
| 0.000 | -0.000 | 0.000 | 77.505 | -0.000 | 0.000 | 
| -0.000 | 0.000 | 0.000 | -0.000 | 77.505 | -0.000 | 
| 0.000 | 0.000 | -0.000 | -0.000 | -0.000 | 56.558 | 
| 424.138 | 221.007 | 221.007 | -0.000 | 0.000 | -0.000 | 
| 161.496 | 305.986 | 161.496 | 0.000 | 0.000 | -0.000 | 
| 221.007 | 221.007 | 424.138 | 0.000 | 0.000 | 0.000 | 
| -1.146 | -1.146 | -1.146 | 115.608 | 0.000 | -0.000 | 
| -1.146 | -1.146 | -1.146 | 0.000 | 115.608 | -0.000 | 
| -0.348 | -0.348 | -0.348 | 0.000 | 0.000 | 144.630 | 
| 309.819 | 164.210 | 164.210 | -0.000 | -0.000 | 0.000 | 
| 164.210 | 309.819 | 164.210 | -0.000 | -0.000 | 0.000 | 
| 164.210 | 164.210 | 309.819 | -0.000 | -0.000 | 0.000 | 
| 1.146 | 1.146 | 1.146 | 115.608 | -0.000 | 0.000 | 
| 1.146 | 1.146 | 1.146 | -0.000 | 115.608 | 0.000 | 
| 0.348 | 0.348 | 0.349 | -0.000 | -0.000 | 144.630 | 
| 234.769 | 62.026 | 62.026 | -0.000 | 0.000 | 0.000 | 
| 62.026 | 234.769 | 62.026 | -0.000 | 0.000 | 0.000 | 
| 62.026 | 62.026 | 234.769 | -0.000 | 0.000 | 0.000 | 
| -0.115 | -0.115 | -0.115 | 115.613 | 0.000 | -0.000 | 
| -0.115 | -0.115 | -0.115 | 0.000 | 115.613 | -0.000 | 
| -0.115 | -0.115 | -0.115 | -0.000 | 0.000 | 115.613 | 
| 235.166 | 62.417 | 62.417 | 0.000 | -0.000 | -0.000 | 
| 62.417 | 235.166 | 62.417 | 0.000 | -0.000 | -0.000 | 
| 62.417 | 62.417 | 235.166 | 0.000 | -0.000 | -0.000 | 
| 0.115 | 0.115 | 0.115 | 115.613 | -0.000 | 0.000 | 
| 0.115 | 0.115 | 0.115 | -0.000 | 115.613 | 0.000 | 
| 0.115 | 0.115 | 0.115 | -0.000 | -0.000 | 115.613 | 
| 307.883 | 162.844 | 162.844 | 0.000 | 0.000 | -0.000 | 
| 162.844 | 307.883 | 162.844 | 0.000 | 0.000 | -0.000 | 
| 162.844 | 162.844 | 307.883 | 0.000 | 0.000 | -0.000 | 
| -0.012 | -0.012 | -0.012 | 115.613 | 0.000 | -0.000 | 
| -0.012 | -0.012 | -0.011 | 0.000 | 115.613 | -0.000 | 
| 0.000 | 0.001 | 0.000 | -0.000 | 0.000 | 224.992 | 
| 234.784 | 62.603 | 62.603 | -0.000 | -0.000 | 0.000 | 
| 62.600 | 234.777 | 62.600 | -0.000 | -0.000 | 0.000 | 
| 62.603 | 62.603 | 234.784 | -0.000 | -0.000 | 0.000 | 
| 0.012 | 0.012 | 0.012 | 115.613 | -0.000 | 0.000 | 
| -0.000 | -0.000 | -0.001 | 0.000 | 224.992 | -0.000 | 
| -0.000 | -0.001 | -0.000 | 0.000 | -0.000 | 224.992 | 
| 1418.226 | 1239.739 | 1239.740 | 0.000 | 0.000 | -0.000 | 
| 1239.740 | 1418.226 | 1239.740 | 0.000 | 0.000 | 0.000 | 
| 639.304 | 639.305 | 796.904 | 0.000 | 0.000 | 0.000 | 
| 510.698 | 510.698 | 510.698 | 66.875 | 0.000 | -0.000 | 
| 510.698 | 510.698 | 510.698 | 0.000 | 66.875 | 0.000 | 
| 510.698 | 510.698 | 510.698 | 0.000 | 0.000 | 66.875 | 
| 402.417 | 200.172 | 200.172 | -0.000 | 0.000 | -0.000 | 
| 200.173 | 402.417 | 200.172 | -0.000 | -0.000 | -0.000 | 
| 200.172 | 200.173 | 402.417 | -0.000 | -0.000 | 0.000 | 
| -510.698 | -510.698 | -510.698 | 66.875 | 0.000 | 0.000 | 
| -510.698 | -510.698 | -510.698 | -0.000 | 66.875 | -0.000 | 
| -510.698 | -510.698 | -510.698 | 0.000 | 0.000 | 66.875 | 
| 402.418 | 200.173 | 200.173 | 0.000 | -0.000 | 0.000 | 
| 200.173 | 402.418 | 200.173 | 0.000 | -0.000 | 0.000 | 
| 200.173 | 200.173 | 402.418 | -0.000 | 0.000 | -0.000 | 
| 115.634 | 115.634 | 115.634 | 97.104 | -0.000 | 0.000 | 
| 115.634 | 115.634 | 115.634 | 0.000 | 97.104 | 0.000 | 
| 30.251 | 30.251 | 30.251 | 0.000 | 0.000 | 125.060 | 
| 109.997 | -64.149 | -64.149 | -0.000 | -0.000 | -0.000 | 
| -64.149 | 109.997 | -64.149 | -0.000 | -0.000 | 0.000 | 
| -64.149 | -64.149 | 109.997 | -0.000 | -0.000 | 0.000 | 
| -30.251 | -30.251 | -30.251 | 125.060 | -0.000 | 0.000 | 
| -86.504 | -86.504 | -86.504 | 0.000 | 107.773 | -0.000 | 
| -30.251 | -30.251 | -30.251 | 0.000 | -0.000 | 125.060 | 
| 306.129 | 155.731 | 155.731 | 0.000 | -0.000 | 0.000 | 
| 155.731 | 306.129 | 155.731 | 0.000 | 0.000 | -0.000 | 
| 155.731 | 155.731 | 306.129 | 0.000 | 0.000 | 0.000 | 
| 7.721 | 7.721 | 7.721 | 110.602 | 0.000 | 0.000 | 
| 7.721 | 7.721 | 7.721 | 0.000 | 110.602 | 0.000 | 
| 7.721 | 7.721 | 7.721 | 0.000 | 0.000 | 110.602 | 
| 217.114 | 42.610 | 42.610 | -0.000 | -0.000 | 0.000 | 
| 42.610 | 217.114 | 42.610 | -0.000 | -0.000 | 0.000 | 
| 42.610 | 42.610 | 217.114 | 0.000 | 0.000 | -0.000 | 
| -7.721 | -7.721 | -7.721 | 110.602 | -0.000 | 0.000 | 
| -7.721 | -7.721 | -7.721 | 0.000 | 110.602 | -0.000 | 
| -7.721 | -7.721 | -7.721 | -0.000 | -0.000 | 110.602 | 
| -250.133 | -383.123 | -382.317 | 0.089 | 0.246 | -0.166 | 
| -803.074 | -712.038 | -803.110 | 0.033 | 0.114 | -0.080 | 
| -382.240 | -383.116 | -250.197 | 0.089 | 0.246 | -0.166 | 
| 0.000 | -0.000 | 0.000 | 61.685 | -0.000 | -0.000 | 
| 0.000 | 0.000 | 0.000 | 0.000 | 61.685 | 0.000 | 
| 0.000 | 0.000 | 0.000 | 0.000 | -0.000 | 61.685 | 
| 798.124 | 688.263 | 688.401 | -0.003 | 0.029 | -0.024 | 
| 688.511 | 798.062 | 688.499 | -0.003 | 0.029 | -0.024 | 
| 688.421 | 688.271 | 798.119 | -0.003 | 0.029 | -0.024 | 
| -0.000 | -0.000 | -0.000 | 61.685 | 0.000 | -0.000 | 
| -0.000 | 0.000 | -0.000 | 0.000 | 61.685 | 0.000 | 
| -0.000 | -0.000 | -0.000 | 0.000 | 0.000 | 61.685 | 
| 249.613 | 59.911 | 59.911 | -0.000 | -0.000 | -0.000 | 
| 59.911 | 249.613 | 59.911 | -0.000 | 0.000 | 0.000 | 
| 59.911 | 59.911 | 249.613 | -0.000 | 0.000 | 0.000 | 
| 0.000 | 0.000 | 0.000 | 61.685 | -0.000 | 0.000 | 
| 0.000 | 0.000 | 0.000 | 0.000 | 61.685 | -0.000 | 
| 0.000 | 0.000 | 0.000 | 0.000 | 0.000 | 61.685 | 
| 226.962 | 91.696 | 91.620 | -0.008 | -0.023 | 0.016 | 
| 91.677 | 226.999 | 91.684 | -0.008 | -0.023 | 0.016 | 
| 91.618 | 91.701 | 226.965 | -0.008 | -0.023 | 0.016 | 
| -0.000 | -0.000 | -0.000 | 61.685 | -0.000 | 0.000 | 
| -0.000 | -0.000 | -0.000 | 0.000 | 61.685 | -0.000 | 
| -0.000 | -0.000 | -0.000 | -0.000 | 0.000 | 61.685 | 
| 249.614 | 59.912 | 59.912 | 0.000 | -0.000 | -0.000 | 
| 59.912 | 249.614 | 59.912 | -0.000 | 0.000 | -0.000 | 
| 21.446 | 21.459 | 110.879 | -0.001 | -0.003 | 0.002 | 
| 0.000 | 0.000 | 0.000 | 61.685 | -0.000 | -0.000 | 
| 0.000 | 0.000 | 0.000 | -0.000 | 61.685 | 0.000 | 
| 0.000 | 0.000 | 0.000 | -0.000 | 0.000 | 61.685 | 
| 113.389 | 32.000 | 31.990 | -0.001 | -0.003 | 0.002 | 
| 31.968 | 113.361 | 31.969 | -0.001 | -0.003 | 0.002 | 
| 31.988 | 31.999 | 113.387 | -0.001 | -0.003 | 0.002 | 
| -0.000 | -0.000 | -0.000 | 61.685 | -0.000 | 0.000 | 
| -0.000 | -0.000 | -0.000 | 0.000 | 61.685 | 0.000 | 
| -0.000 | -0.000 | -0.000 | -0.000 | -0.000 | 61.685 | 
| 146.068 | 40.747 | 40.747 | 0.000 | 0.000 | 0.000 | 
| 40.747 | 146.068 | 40.747 | 0.000 | 0.000 | 0.000 | 
| 40.747 | 40.747 | 146.068 | -0.000 | 0.000 | 0.000 | 
| 0.000 | -0.000 | -0.000 | 56.543 | 0.000 | 0.000 | 
| 0.000 | -0.000 | -0.000 | -0.000 | 56.543 | 0.000 | 
| -0.000 | -0.000 | -0.000 | -0.000 | -0.000 | 56.543 | 
| 100.300 | 22.050 | 22.050 | -0.000 | -0.000 | -0.000 | 
| 22.050 | 100.300 | 22.050 | 0.000 | -0.000 | -0.000 | 
| 22.050 | 22.050 | 100.300 | 0.000 | -0.000 | -0.000 | 
| -0.000 | 0.000 | 0.000 | 56.543 | -0.000 | -0.000 | 
| 0.000 | 0.000 | 0.000 | 0.000 | 56.543 | -0.000 | 
| 0.000 | 0.000 | 0.000 | 0.000 | -0.000 | 56.543 | 
| 146.067 | 40.747 | 40.747 | -0.000 | 0.000 | 0.000 | 
| 40.747 | 146.067 | 40.747 | -0.000 | 0.000 | 0.000 | 
| 40.747 | 40.747 | 146.067 | -0.000 | 0.000 | 0.000 | 
| -0.000 | -0.000 | 0.000 | 36.227 | -0.000 | 0.000 | 
| 0.000 | 0.000 | -0.000 | -0.000 | 36.227 | 0.000 | 
| -0.000 | -0.000 | 0.000 | -0.000 | 0.000 | 36.227 | 
| 146.069 | 40.747 | 40.747 | -0.000 | -0.000 | -0.000 | 
| 40.747 | 146.069 | 40.747 | -0.000 | -0.000 | -0.000 | 
| 40.747 | 40.747 | 146.069 | 0.000 | 0.000 | -0.000 | 
| -0.000 | 0.000 | 0.000 | 36.227 | 0.000 | -0.000 | 
| 0.000 | -0.000 | 0.000 | 0.000 | 36.227 | -0.000 | 
| 0.000 | 0.000 | -0.000 | 0.000 | 0.000 | 36.227 | 
| 77.886 | 27.393 | 27.393 | 0.000 | 0.000 | 0.000 | 
| 27.393 | 77.886 | 27.393 | -0.000 | 0.000 | 0.000 | 
| 17.412 | 17.412 | 85.231 | 0.000 | 0.000 | 0.000 | 
| 0.000 | 0.000 | 0.000 | 56.543 | 0.000 | 0.000 | 
| 0.000 | 0.000 | 0.000 | -0.000 | 56.543 | 0.000 | 
| 0.000 | 0.000 | 0.000 | -0.000 | 0.000 | 56.543 | 
| 85.364 | 17.432 | 17.432 | -0.000 | -0.000 | -0.000 | 
| 17.432 | 85.364 | 17.432 | 0.000 | -0.000 | -0.000 | 
| 17.432 | 17.432 | 85.364 | 0.000 | -0.000 | -0.000 | 
| -0.000 | -0.000 | -0.000 | 56.543 | -0.000 | -0.000 | 
| -0.000 | -0.000 | -0.000 | 0.000 | 56.543 | -0.000 | 
| -0.000 | -0.000 | -0.000 | 0.000 | 0.000 | 56.543 | 
| -2004.787 | -2246.717 | -2076.169 | -0.003 | 0.007 | -0.005 | 
| -2246.745 | -2004.758 | -2076.169 | -0.003 | 0.007 | -0.005 | 
| -2274.252 | -2274.221 | -2014.332 | -0.003 | 0.007 | -0.005 | 
| -0.000 | -0.000 | 0.000 | 75.271 | -0.000 | 0.000 | 
| -0.000 | -0.000 | 0.000 | 0.000 | 75.271 | -0.000 | 
| -1906.186 | -1906.225 | -1736.053 | 0.005 | -0.011 | 70.043 | 
| 458.488 | 155.815 | 97.497 | 0.000 | 0.000 | -0.000 | 
| 2053.000 | 2191.836 | 1765.197 | -0.005 | 0.011 | -0.009 | 
| 94.600 | 94.600 | 196.446 | 0.000 | -0.000 | -0.000 | 
| 0.000 | 0.000 | -0.000 | 75.271 | -0.000 | -0.000 | 
| 0.000 | 0.000 | -0.000 | 0.000 | 75.271 | -0.000 | 
| 1906.184 | 1906.224 | 1736.051 | -0.005 | 0.011 | 70.025 | 
| 110.138 | -42.270 | -138.065 | 0.000 | -0.001 | 0.001 | 
| 155.815 | 458.489 | 97.497 | -0.000 | -0.000 | 0.000 | 
| -169.371 | -169.375 | -82.233 | 0.000 | -0.001 | 0.001 | 
| 0.000 | 0.000 | 0.000 | 75.271 | -0.000 | 0.000 | 
| 0.000 | -0.000 | 0.000 | -0.000 | 75.271 | 0.000 | 
| 0.000 | 0.000 | 0.000 | 0.000 | -0.000 | 151.337 | 
| 458.488 | 155.815 | 97.497 | 0.000 | 0.000 | 0.000 | 
| 317.964 | 462.658 | 187.182 | -0.000 | 0.001 | -0.001 | 
| 94.600 | 94.600 | 196.446 | 0.000 | 0.000 | -0.000 | 
| -0.000 | -0.000 | -0.000 | 75.271 | 0.000 | -0.000 | 
| -0.000 | 0.000 | -0.000 | 0.000 | 75.271 | -0.000 | 
| -0.000 | -0.000 | -0.000 | 0.000 | -0.000 | 151.337 | 
| 293.926 | 121.534 | 18.452 | 0.000 | -0.000 | 0.000 | 
| 121.518 | 293.853 | 18.417 | 0.000 | -0.000 | 0.000 | 
| 94.600 | 94.600 | 196.447 | 0.000 | -0.000 | 0.000 | 
| -12.900 | -12.900 | -11.749 | 0.782 | -0.000 | 0.000 | 
| -12.900 | -12.900 | -11.749 | 0.000 | 0.782 | 0.000 | 
| -11.552 | -11.552 | -10.521 | 0.000 | -0.000 | 102.065 | 
| 185.689 | 72.367 | -12.835 | -0.000 | 0.000 | -0.000 | 
| 70.486 | 221.190 | -16.254 | -0.000 | 0.000 | -0.000 | 
| 94.600 | 94.600 | 196.445 | 0.000 | 0.000 | -0.000 | 
| 12.900 | 12.900 | 11.749 | 0.782 | 0.000 | -0.000 | 
| 12.900 | 12.900 | 11.749 | -0.000 | 0.782 | -0.000 | 
| 11.552 | 11.552 | 10.521 | -0.000 | 0.000 | 102.065 | 
| 321.505 | 112.250 | 135.424 | -0.010 | 59.991 | 0.023 | 
| 96.698 | 409.756 | 82.526 | 0.000 | -0.974 | -0.000 | 
| 128.020 | 103.666 | 329.240 | -0.010 | 12.822 | 0.024 | 
| -14.288 | -9.710 | -5.471 | 43.487 | -1.724 | -14.362 | 
| 1.305 | -1.338 | 11.116 | -0.009 | 101.427 | 0.021 | 
| -2.708 | -0.425 | -1.780 | 0.862 | 0.208 | 80.843 | 
| 208.937 | -16.094 | 71.160 | 0.017 | 58.163 | -0.039 | 
| 115.079 | 336.387 | 104.832 | 0.010 | -1.146 | -0.023 | 
| 62.378 | -8.795 | 228.113 | 0.006 | 44.793 | -0.014 | 
| 14.288 | 9.710 | 5.471 | 43.503 | 1.724 | -14.398 | 
| 2.571 | -2.557 | 8.808 | -0.000 | 135.380 | 0.000 | 
| 11.116 | 7.447 | 4.853 | -8.461 | 1.124 | 74.904 | 
| 303.290 | 92.127 | 129.441 | -0.001 | 55.342 | 0.002 | 
| 96.698 | 409.756 | 82.526 | -0.000 | -0.974 | -0.000 | 
| 129.212 | 102.493 | 330.440 | -0.001 | 12.523 | 0.002 | 
| -1.429 | -0.974 | -0.552 | 43.505 | -0.171 | -14.244 | 
| 3.394 | 5.976 | 16.819 | -0.001 | 87.613 | 0.001 | 
| -0.175 | 0.115 | -0.143 | -1.692 | 0.036 | 86.030 | 
| 388.682 | 93.578 | 127.384 | -0.000 | 80.410 | 0.000 | 
| 96.698 | 409.756 | 82.526 | 0.000 | -0.974 | 0.000 | 
| 46.137 | -15.555 | 240.293 | 0.001 | 31.261 | -0.002 | 
| 0.156 | -0.102 | 0.127 | 72.233 | -0.032 | -3.392 | 
| 5.107 | 6.793 | 17.699 | 0.001 | 86.331 | -0.002 | 
| 0.175 | -0.115 | 0.143 | -1.690 | -0.036 | 86.028 | 
| 124.679 | 1.974 | 67.540 | -0.000 | -22.364 | 0.000 | 
| -18.939 | 194.198 | -1.604 | 0.000 | 17.910 | -0.000 | 
| 45.280 | -15.537 | 240.241 | -0.000 | 31.295 | 0.000 | 
| -0.041 | -0.019 | -0.024 | 65.180 | 0.001 | 0.851 | 
| 31.854 | 46.326 | 46.553 | -0.000 | 66.219 | 0.001 | 
| -0.018 | 0.012 | -0.014 | -1.691 | 0.004 | 86.029 | 
| 125.019 | 1.970 | 67.493 | 0.000 | -22.075 | -0.000 | 
| -20.550 | 192.435 | -3.143 | 0.000 | 19.048 | -0.000 | 
| 48.908 | -10.683 | 241.953 | 0.000 | 29.043 | -0.000 | 
| 0.041 | 0.019 | 0.024 | 65.181 | -0.001 | 0.851 | 
| 1.501 | 3.495 | 11.676 | 0.000 | 95.682 | -0.000 | 
| 0.009 | -0.008 | 0.007 | -0.421 | -0.002 | 91.704 | 
| 567.335 | 319.805 | 1583.758 | 179.996 | 340.342 | 248.118 | 
| -5.054 | 115.614 | 918.880 | -20.500 | 242.383 | 48.110 | 
| 0.968 | 54.931 | 1008.346 | -24.392 | 257.663 | 57.916 | 
| 0.551 | -6.382 | -3.956 | 71.067 | -0.963 | 0.209 | 
| 340.325 | 289.661 | 1185.597 | 173.146 | 385.839 | 178.605 | 
| 519.114 | 316.320 | 1555.953 | 181.096 | 328.448 | 269.824 | 
| -274.744 | -269.505 | -1142.580 | -171.267 | -359.061 | -175.130 | 
| 92.306 | 116.268 | -811.286 | 20.462 | -237.329 | -68.421 | 
| -312.075 | -257.823 | -1071.975 | -177.388 | -348.191 | -177.816 | 
| 0.551 | -6.382 | -3.956 | 71.067 | -0.963 | 0.209 | 
| 49.493 | 2.863 | -844.720 | 20.105 | -194.640 | -57.372 | 
| 58.770 | -9.359 | -869.750 | 18.878 | -237.515 | -16.563 | 
| 110.321 | 43.089 | 132.856 | -2.930 | 26.248 | 19.969 | 
| 52.979 | 95.373 | 146.824 | 17.589 | 37.186 | 16.169 | 
| 60.833 | 59.357 | 217.700 | 12.259 | 50.027 | 17.981 | 
| -5.591 | -3.618 | 80.156 | 46.297 | 22.979 | 3.778 | 
| 3.457 | 0.203 | 21.628 | -0.963 | 65.188 | 0.352 | 
| 34.337 | 27.222 | 117.938 | 17.763 | 38.381 | 41.965 | 
| 30.799 | -9.988 | -88.789 | -16.427 | -33.784 | -14.995 | 
| 47.702 | 112.615 | -39.398 | 2.263 | -22.917 | -15.641 | 
| -7.579 | 1.380 | -16.225 | -22.622 | -22.353 | -17.797 | 
| -32.704 | -30.504 | -120.283 | 11.995 | -35.130 | -17.454 | 
| 5.911 | 2.586 | -71.491 | 1.812 | 19.327 | -5.271 | 
| 21.585 | -19.703 | 0.539 | 0.390 | 5.000 | 62.785 | 
| 11.521 | -1.562 | 24.584 | 0.895 | 3.250 | -2.385 | 
| -7.647 | 7.648 | 16.481 | 2.742 | 2.644 | 2.903 | 
| 3.729 | 6.195 | 45.328 | -2.558 | 11.991 | 2.038 | 
| 4.519 | 0.411 | 4.729 | 33.909 | 3.462 | 2.113 | 
| 4.497 | 6.506 | 27.304 | 2.236 | 17.553 | 2.642 | 
| -0.863 | 5.227 | 15.244 | 0.461 | 5.664 | 9.770 | 
| 7.392 | -12.483 | 0.356 | -3.337 | -1.118 | -6.619 | 
| -8.967 | -5.898 | -16.738 | -3.833 | -0.853 | 1.344 | 
| -7.565 | -5.069 | 11.451 | -7.430 | 1.276 | -1.266 | 
| -4.367 | -5.531 | -20.035 | 7.255 | -4.639 | -1.283 | 
| -7.045 | -5.102 | -7.524 | -3.730 | 0.777 | -2.634 | 
| -8.024 | -2.881 | -12.900 | -3.321 | -0.557 | 8.718 | 
| 340.897 | 531.926 | 358.178 | -234.822 | 304.287 | -43.683 | 
| -56.710 | 379.570 | 692.395 | -472.493 | 182.448 | -46.480 | 
| -90.708 | 876.435 | 199.919 | -269.750 | 478.564 | -124.149 | 
| -100.635 | 277.250 | 649.700 | -434.442 | 179.417 | -45.714 | 
| -62.110 | 882.720 | 211.983 | -264.609 | 492.254 | -124.004 | 
| 289.247 | 536.746 | 348.404 | -231.636 | 300.145 | -20.700 | 
| 191.598 | 59.006 | 31.216 | 0.297 | -2.306 | -0.003 | 
| 304.651 | -455.207 | 132.690 | 133.970 | -821.480 | 239.493 | 
| 127.850 | -249.532 | -575.439 | 455.306 | -178.203 | 45.462 | 
| 71.575 | -892.704 | -216.872 | 280.400 | -476.182 | 123.803 | 
| 0.001 | 0.020 | 0.013 | 0.016 | 36.117 | 0.058 | 
| 286.006 | -506.299 | 119.150 | 145.827 | -821.574 | 243.652 | 
| 191.598 | 59.006 | 31.216 | 0.297 | -2.306 | -0.003 | 
| 59.006 | 152.275 | 56.814 | -13.909 | 0.020 | 0.024 | 
| 31.217 | 56.789 | 162.531 | -6.471 | 0.013 | 0.016 | 
| 0.298 | -13.669 | -6.471 | 61.499 | 0.016 | 0.020 | 
| -9.759 | 29.041 | 66.265 | -46.694 | 42.232 | -3.027 | 
| 26.891 | 53.258 | 37.952 | -25.377 | 25.406 | 16.337 | 
| 138.190 | 28.302 | 21.675 | 35.009 | -124.943 | 34.426 | 
| 50.504 | 63.864 | -31.270 | 38.089 | -17.749 | 4.554 | 
| -11.086 | -87.545 | -19.978 | 23.469 | -41.514 | 10.287 | 
| 0.298 | -13.669 | -6.471 | 61.499 | 0.016 | 0.020 | 
| 9.461 | -28.096 | -64.158 | 45.278 | 6.562 | 6.113 | 
| 25.895 | -51.911 | 11.092 | 14.264 | -75.136 | 27.655 | 
| 85.559 | 37.123 | 1.250 | -0.063 | 6.829 | -0.803 | 
| 41.822 | 100.124 | 41.047 | -11.977 | 1.635 | -0.387 | 
| -2.258 | 21.472 | 13.949 | -2.333 | 6.313 | -1.738 | 
| 1.306 | -0.688 | -1.343 | 19.631 | 3.198 | -0.711 | 
| -1.545 | 7.109 | 3.186 | -3.187 | 26.476 | -1.528 | 
| -0.586 | 1.771 | 4.011 | -2.793 | 2.001 | 35.438 | 
| 104.338 | 23.274 | 7.397 | 2.441 | -4.010 | 0.622 | 
| 38.498 | 47.068 | 16.970 | -7.806 | -7.637 | 0.874 | 
| 3.252 | 3.864 | 0.798 | 5.239 | -9.669 | 1.341 | 
| 2.873 | -13.521 | -10.510 | 30.875 | -1.951 | 0.396 | 
| 0.709 | -2.079 | -4.773 | 3.398 | 25.966 | 1.541 | 
| 2.991 | -3.873 | -0.081 | 2.607 | -7.450 | 23.957 | 
| 241.199 | 80.569 | 62.582 | 20.672 | -0.000 | -0.000 | 
| 444.339 | 591.926 | 990.882 | -14.084 | -0.000 | -0.000 | 
| 449.153 | 449.153 | 1322.171 | 0.000 | -0.000 | 0.000 | 
| 20.672 | -20.673 | 0.000 | 64.646 | -0.000 | -0.000 | 
| -0.000 | -0.000 | 0.000 | 0.000 | 64.645 | 20.672 | 
| 400.138 | 400.138 | 977.481 | 0.000 | 11.607 | 68.336 | 
| -133.722 | -281.287 | -887.620 | 14.073 | 0.000 | 0.000 | 
| 80.570 | 241.200 | 62.582 | -20.672 | 0.000 | 0.000 | 
| -310.890 | -310.890 | -591.729 | -0.000 | 0.000 | 0.000 | 
| 20.672 | -20.672 | -0.000 | 64.646 | 0.000 | 0.000 | 
| -0.000 | 0.000 | 0.000 | -0.000 | 64.646 | 20.672 | 
| -362.807 | -362.807 | -939.225 | -0.000 | 14.079 | 73.788 | 
| 241.199 | 80.570 | 62.582 | 20.672 | -0.000 | -0.000 | 
| 80.570 | 241.199 | 62.582 | -20.672 | -0.000 | -0.000 | 
| 88.293 | 88.293 | 441.642 | 0.000 | -0.000 | 0.000 | 
| 20.672 | -20.672 | 0.000 | 64.646 | -0.000 | -0.000 | 
| 0.000 | -0.000 | 0.000 | 0.000 | 64.646 | 20.672 | 
| 0.000 | -0.000 | 0.000 | 0.000 | 20.672 | 80.315 | 
| 241.199 | 80.570 | 62.581 | 20.672 | 0.000 | 0.000 | 
| 80.570 | 241.199 | 62.581 | -20.672 | 0.000 | 0.000 | 
| 62.343 | 62.343 | 371.326 | 0.000 | 0.000 | 0.000 | 
| -22.375 | -50.479 | -94.302 | 47.069 | 0.000 | 0.000 | 
| -0.000 | 0.000 | -0.000 | 0.000 | 64.646 | 20.672 | 
| -0.000 | 0.000 | -0.000 | -0.000 | 20.672 | 80.315 | 
| 227.014 | 89.063 | 61.241 | 9.216 | -0.000 | -0.000 | 
| 89.063 | 227.014 | 61.241 | -9.216 | -0.000 | -0.000 | 
| 62.343 | 62.343 | 371.328 | 0.000 | -0.000 | -0.000 | 
| 20.673 | -20.672 | 0.000 | 64.646 | -0.000 | -0.000 | 
| 0.000 | 0.000 | 0.000 | -0.000 | 64.646 | 20.672 | 
| 0.000 | 0.000 | 0.000 | 0.000 | 20.672 | 80.315 | 
| 241.198 | 80.569 | 62.581 | 20.672 | 0.000 | 0.000 | 
| 80.570 | 241.198 | 62.581 | -20.672 | 0.000 | 0.000 | 
| 45.153 | 45.153 | 335.079 | -0.000 | 0.000 | 0.000 | 
| 20.672 | -20.673 | -0.000 | 64.646 | 0.000 | 0.000 | 
| -0.000 | -0.000 | -0.000 | 0.000 | 64.646 | 20.672 | 
| -0.000 | -0.000 | -0.000 | -0.000 | 20.672 | 80.315 | 
| -198.283 | -84.613 | 158.185 | 0.269 | -12.888 | -0.050 | 
| 92.453 | 242.728 | 131.166 | -0.000 | -0.312 | -0.000 | 
| 114.557 | 114.557 | 640.990 | -0.000 | -0.000 | -0.000 | 
| 1.591 | 1.456 | 57.552 | -70.982 | 0.284 | 9.015 | 
| 0.312 | -0.312 | 0.000 | -0.000 | 85.299 | 0.000 | 
| 2.333 | 2.136 | 84.421 | 13.844 | 0.416 | 36.317 | 
| 242.728 | 92.453 | 131.166 | 0.000 | 0.312 | -0.000 | 
| 92.453 | 242.728 | 131.166 | 0.000 | -0.312 | -0.000 | 
| 114.557 | 114.557 | 640.990 | 0.000 | -0.000 | 0.000 | 
| -1.587 | -1.453 | -57.422 | -71.180 | -0.283 | 9.088 | 
| 0.312 | -0.312 | -0.000 | -0.000 | 85.299 | 0.000 | 
| -2.336 | -2.138 | -84.510 | 13.048 | -0.417 | 36.415 | 
| 95.419 | 46.602 | 30.767 | 0.023 | -9.387 | -0.004 | 
| 88.541 | 161.367 | 75.253 | 0.040 | 13.468 | -0.007 | 
| 114.557 | 114.557 | 640.991 | 0.000 | 0.000 | -0.000 | 
| 0.133 | 0.126 | 8.045 | -15.278 | 0.013 | 1.576 | 
| -1.445 | 1.705 | 8.045 | 0.013 | -15.279 | -0.002 | 
| 0.159 | 0.145 | 5.737 | 9.060 | 0.028 | 48.799 | 
| 242.728 | 92.453 | 131.166 | -0.000 | 0.312 | 0.000 | 
| 52.171 | 110.553 | 4.177 | -0.002 | -6.528 | 0.000 | 
| 114.557 | 114.557 | 640.990 | 0.000 | -0.000 | -0.000 | 
| -0.133 | -0.126 | -8.045 | -15.308 | -0.013 | 1.581 | 
| -5.268 | 5.090 | -3.369 | -0.016 | -6.352 | 0.003 | 
| -0.159 | -0.145 | -5.741 | 9.011 | -0.028 | 48.791 | 
| 242.730 | 92.453 | 131.166 | -0.000 | 0.312 | 0.000 | 
| 52.682 | 110.231 | 20.205 | 0.000 | -6.144 | -0.000 | 
| 69.359 | 69.358 | 373.903 | 0.003 | 0.003 | -0.000 | 
| 0.009 | 0.008 | 0.332 | -5.184 | 0.002 | 5.106 | 
| -2.071 | 2.096 | 0.729 | 0.001 | -13.081 | -0.000 | 
| 0.000 | 0.000 | 0.000 | -0.312 | -0.000 | 75.138 | 
| 105.556 | 50.974 | 22.191 | -0.002 | -6.158 | 0.000 | 
| 52.781 | 110.755 | 17.697 | -0.000 | -6.149 | 0.000 | 
| -14.275 | -14.271 | 259.548 | -0.009 | -0.009 | 0.002 | 
| -0.009 | -0.008 | -0.332 | -5.186 | -0.002 | 5.106 | 
| -5.115 | 5.097 | -0.332 | -0.002 | -5.179 | 0.000 | 
| -0.000 | -0.000 | -0.000 | -0.312 | -0.000 | 75.138 | 
| 1840.224 | 1819.193 | 1818.622 | 0.000 | -0.000 | 0.000 | 
| 1830.043 | 1830.061 | 1818.994 | -0.000 | -0.000 | 0.000 | 
| 1829.671 | 1819.197 | 1829.177 | 0.000 | -0.000 | 0.000 | 
| 1067.987 | 1075.501 | 1075.910 | -10.392 | 0.000 | 0.000 | 
| 1067.987 | 1075.501 | 1075.910 | 0.000 | -10.392 | 0.000 | 
| 1067.987 | 1075.501 | 1075.910 | 0.000 | 0.000 | -10.392 | 
| -1094.995 | -1089.139 | -1089.519 | -0.000 | -0.000 | -0.000 | 
| -1083.080 | -1102.923 | -1090.580 | -0.000 | -0.000 | -0.000 | 
| -1664.244 | -1656.100 | -1628.463 | 0.000 | 0.000 | -0.000 | 
| -1067.987 | -1075.501 | -1075.910 | -10.392 | -0.000 | -0.000 | 
| -1067.987 | -1075.501 | -1075.910 | -0.000 | -10.392 | -0.000 | 
| -1067.987 | -1075.501 | -1075.910 | -0.000 | -0.000 | -10.392 | 
| 155.899 | 57.494 | 57.494 | 0.000 | -0.000 | 0.000 | 
| 57.494 | 155.899 | 57.494 | -0.000 | -0.000 | 0.000 | 
| 57.494 | 57.494 | 155.899 | -0.000 | -0.000 | 0.000 | 
| 181.816 | 180.739 | 180.680 | 14.256 | -0.000 | 0.000 | 
| 181.816 | 180.739 | 180.680 | 0.000 | 14.256 | 0.000 | 
| 181.816 | 180.739 | 180.680 | -0.000 | -0.000 | 14.256 | 
| -141.875 | -172.016 | -171.954 | 0.000 | 0.000 | -0.000 | 
| 20.210 | 41.021 | 23.917 | -0.000 | -0.000 | -0.000 | 
| -100.289 | -100.719 | -105.355 | -0.000 | -0.000 | -0.000 | 
| -181.816 | -180.739 | -180.680 | 14.256 | 0.000 | -0.000 | 
| -181.851 | -180.774 | -180.715 | -0.000 | 14.231 | -0.000 | 
| -181.853 | -180.777 | -180.719 | -0.000 | 0.000 | 14.236 | 
| 106.671 | 49.268 | 49.259 | 0.000 | -0.000 | 0.000 | 
| 49.501 | 106.828 | 49.314 | 0.000 | 0.000 | 0.000 | 
| 39.588 | 39.535 | 93.337 | 0.000 | 0.000 | 0.000 | 
| 16.929 | 16.857 | 16.853 | 21.375 | 0.000 | 0.000 | 
| 17.849 | 17.761 | 17.756 | 0.000 | 19.291 | 0.000 | 
| 16.929 | 16.857 | 16.853 | 0.000 | 0.000 | 21.375 | 
| 73.053 | 26.366 | 26.367 | -0.000 | -0.000 | -0.000 | 
| 26.220 | 73.148 | 26.246 | -0.000 | -0.000 | -0.000 | 
| 26.213 | 26.238 | 73.153 | -0.000 | -0.000 | -0.000 | 
| -16.929 | -16.857 | -16.853 | 21.375 | -0.000 | -0.000 | 
| -16.929 | -16.857 | -16.853 | -0.000 | 21.375 | -0.000 | 
| -16.929 | -16.857 | -16.853 | -0.000 | -0.000 | 21.375 | 
| -1411.154 | -1036.762 | -338.758 | 0.000 | -0.000 | 0.000 | 
| -731.630 | -154.049 | -161.151 | 0.000 | -0.000 | 0.000 | 
| -147.717 | -51.680 | 948.649 | 0.000 | -0.000 | 0.000 | 
| -1562.848 | -1085.610 | -377.226 | 57.020 | -0.000 | 0.000 | 
| -192.426 | -46.150 | 826.471 | 0.000 | 42.356 | 0.000 | 
| -1563.188 | -1085.806 | -377.322 | 0.000 | -0.000 | 5.891 | 
| 1708.187 | 1131.591 | 413.343 | -0.000 | 0.000 | 0.000 | 
| 951.297 | 676.277 | 353.388 | -0.000 | 0.000 | -0.000 | 
| 1603.007 | 1111.983 | 516.238 | -0.000 | 0.000 | -0.000 | 
| -452.595 | -1981.872 | -2571.574 | 50.531 | 0.000 | 0.000 | 
| 192.426 | 46.150 | -826.471 | -0.000 | 42.356 | -0.000 | 
| 1563.188 | 1085.806 | 377.322 | -0.000 | 0.000 | 5.891 | 
| 201.323 | 28.998 | 116.469 | 0.000 | -0.000 | 0.000 | 
| 24.885 | 218.302 | 69.924 | 0.000 | -0.000 | -0.000 | 
| -105.793 | -73.808 | 113.269 | 0.000 | -0.000 | 0.000 | 
| 0.000 | 0.000 | 0.000 | 128.727 | -0.000 | 0.000 | 
| 0.000 | 0.000 | 0.000 | 0.000 | 144.453 | -0.000 | 
| -154.894 | -107.594 | -37.387 | 0.000 | -0.000 | 7.078 | 
| 252.347 | 40.625 | -44.623 | -0.000 | -0.000 | -0.000 | 
| 194.499 | 302.827 | 121.990 | -0.000 | 0.000 | -0.000 | 
| 60.342 | -5.802 | 33.093 | -0.000 | -0.000 | 0.000 | 
| -0.000 | -0.000 | -0.000 | 128.727 | 0.000 | 0.000 | 
| -0.000 | -0.000 | -0.000 | -0.000 | 144.453 | -0.000 | 
| 154.894 | 107.594 | 37.387 | -0.000 | 0.000 | 7.078 | 
| 207.463 | 66.639 | 69.383 | 0.000 | -0.000 | -0.000 | 
| 53.989 | 174.922 | 25.925 | 0.000 | -0.000 | 0.000 | 
| 143.003 | 123.682 | 328.039 | 0.000 | 0.000 | 0.000 | 
| -5.830 | -3.081 | 4.984 | 68.812 | -0.000 | 0.000 | 
| -7.244 | -4.647 | 3.245 | 0.000 | 37.289 | 0.000 | 
| -8.822 | -4.352 | -2.697 | 0.000 | -0.000 | 69.857 | 
| 259.317 | 110.919 | 102.764 | -0.000 | 0.000 | 0.000 | 
| 85.273 | 121.033 | 5.425 | -0.000 | 0.000 | -0.000 | 
| 48.943 | -9.257 | 117.813 | -0.000 | -0.000 | -0.000 | 
| 5.830 | 3.081 | -4.984 | 68.812 | 0.000 | -0.000 | 
| 7.244 | 4.647 | -3.245 | -0.000 | 37.289 | 0.000 | 
| 8.822 | 4.352 | 2.697 | -0.000 | 0.000 | 69.857 | 
| 370.160 | 213.178 | 221.375 | -0.000 | -0.000 | 0.000 | 
| 213.178 | 408.167 | 163.370 | -0.000 | -0.000 | -0.000 | 
| 221.375 | 163.370 | 366.953 | -0.000 | 0.000 | 0.000 | 
| -0.001 | -0.001 | -0.001 | 97.039 | 0.000 | 0.000 | 
| 0.000 | -0.000 | -0.000 | -0.000 | 233.645 | 0.000 | 
| 0.000 | -0.000 | 0.000 | 0.000 | 0.000 | 225.025 | 
| 370.160 | 213.179 | 221.375 | -0.000 | -0.000 | 0.000 | 
| 213.178 | 408.167 | 163.370 | 0.000 | -0.000 | -0.000 | 
| 127.534 | 80.471 | 226.736 | -0.000 | -0.000 | -0.000 | 
| 0.001 | 0.001 | 0.001 | 97.039 | -0.000 | 0.000 | 
| -0.000 | 0.000 | -0.000 | 0.000 | 233.645 | -0.000 | 
| -0.000 | 0.000 | 0.000 | 0.000 | -0.000 | 225.025 | 
| 370.160 | 213.179 | 221.375 | -0.000 | 0.000 | 0.000 | 
| 90.514 | 264.461 | 66.045 | -0.000 | 0.000 | -0.000 | 
| 127.529 | 80.466 | 226.730 | 0.000 | 0.000 | 0.000 | 
| -0.000 | -0.000 | -0.000 | 97.039 | 0.000 | 0.000 | 
| 0.000 | 0.000 | 0.000 | -0.000 | 233.645 | -0.000 | 
| -0.000 | -0.000 | -0.000 | -0.000 | 0.000 | 157.726 | 
| 242.415 | 69.212 | 97.417 | 0.000 | -0.000 | -0.000 | 
| 90.517 | 264.464 | 66.047 | 0.000 | -0.000 | -0.000 | 
| 99.527 | 31.553 | 194.523 | 0.000 | 0.000 | 0.000 | 
| 0.000 | 0.000 | 0.000 | 97.039 | -0.000 | -0.000 | 
| -0.000 | -0.000 | -0.000 | 0.000 | 233.645 | -0.000 | 
| 0.000 | 0.000 | 0.000 | -0.000 | -0.000 | 157.726 | 
| 238.646 | 66.070 | 97.295 | -0.000 | 0.000 | 0.000 | 
| 71.322 | 231.480 | 33.052 | 0.000 | -0.000 | 0.000 | 
| 127.523 | 80.461 | 226.721 | -0.000 | 0.000 | 0.000 | 
| 0.000 | 0.000 | 0.000 | 177.652 | 0.000 | -0.000 | 
| 0.000 | 0.000 | 0.001 | -0.000 | 233.645 | -0.000 | 
| 0.000 | 0.001 | 0.000 | 0.000 | 0.000 | 225.025 | 
| 267.820 | 109.540 | 128.293 | 0.000 | -0.000 | -0.000 | 
| 90.461 | 264.400 | 66.003 | 0.000 | -0.000 | -0.000 | 
| 221.374 | 163.370 | 366.952 | -0.000 | 0.000 | 0.000 | 
| -0.000 | -0.000 | -0.000 | 177.652 | 0.000 | -0.000 | 
| -0.000 | -0.000 | -0.001 | 0.000 | 233.645 | -0.000 | 
| -0.000 | -0.001 | -0.000 | 0.000 | -0.000 | 225.025 | 
| 450.707 | 276.180 | 282.467 | 0.000 | 0.000 | -0.000 | 
| 537.325 | 787.252 | 566.517 | 0.000 | -0.000 | -0.008 | 
| 529.898 | 601.796 | 643.689 | -0.000 | 0.000 | 0.007 | 
| -0.000 | -0.000 | 0.000 | 227.135 | 0.000 | -0.000 | 
| 347.048 | 447.718 | 405.011 | -0.000 | 83.809 | 0.006 | 
| -0.000 | -0.000 | 0.000 | 0.000 | 0.000 | 268.456 | 
| 450.707 | 276.181 | 282.467 | 0.000 | -0.000 | 0.000 | 
| 273.080 | 418.145 | 231.294 | -0.000 | -0.000 | 0.000 | 
| 279.286 | 231.214 | 413.897 | -0.000 | -0.000 | 0.000 | 
| 0.000 | 0.000 | -0.000 | 227.135 | -0.000 | 0.000 | 
| -347.048 | -447.718 | -405.010 | 0.000 | 83.809 | -0.006 | 
| -0.000 | 0.000 | -0.000 | -0.000 | -0.000 | 268.456 | 
| 384.373 | 211.645 | 219.516 | -0.000 | 0.000 | 0.000 | 
| 273.080 | 418.145 | 231.295 | -0.000 | 0.000 | -0.000 | 
| 215.493 | 180.490 | 297.589 | -0.000 | 0.000 | 0.000 | 
| 0.000 | 0.000 | 0.000 | 227.135 | 0.000 | -0.000 | 
| 0.000 | 0.000 | 0.000 | -0.000 | 276.133 | -0.000 | 
| 20.145 | 25.988 | 23.509 | -0.000 | 0.000 | 188.847 | 
| 307.482 | 116.380 | 132.485 | 0.000 | -0.000 | -0.001 | 
| 91.445 | 175.164 | 37.501 | 0.000 | 0.000 | 0.000 | 
| 141.913 | 91.654 | 203.647 | 0.000 | -0.000 | -0.001 | 
| -0.000 | -0.000 | -0.000 | 227.135 | -0.000 | 0.000 | 
| -0.000 | -0.000 | -0.000 | -0.000 | 276.133 | 0.000 | 
| -20.144 | -25.988 | -23.509 | -0.000 | -0.000 | 188.848 | 
| 450.708 | 276.182 | 282.469 | 0.000 | 0.000 | -0.000 | 
| 129.531 | 227.503 | 88.787 | -0.000 | 0.000 | 0.000 | 
| 184.414 | 143.288 | 257.484 | -0.000 | 0.000 | 0.000 | 
| 0.000 | 0.000 | 0.001 | 227.135 | 0.000 | -0.000 | 
| 3.640 | 4.806 | 4.292 | -0.000 | 149.477 | 0.000 | 
| 0.000 | 0.001 | 0.000 | -0.000 | 0.000 | 268.456 | 
| 343.617 | 161.442 | 173.586 | 0.000 | -0.000 | -0.000 | 
| 138.728 | 247.789 | 110.624 | 0.000 | -0.000 | -0.000 | 
| 176.751 | 134.107 | 247.607 | 0.000 | -0.000 | -0.000 | 
| -0.000 | -0.000 | -0.001 | 227.135 | -0.000 | 0.000 | 
| -3.640 | -4.806 | -4.292 | 0.000 | 149.477 | -0.000 | 
| -0.000 | -0.001 | -0.000 | -0.000 | -0.000 | 268.456 | 
| -1133.717 | -1666.564 | 1817.096 | 0.000 | -0.000 | -0.000 | 
| -1294.732 | -1637.905 | -1039.034 | 0.000 | -0.000 | 0.000 | 
| -1341.310 | -1761.335 | -891.730 | -0.000 | 0.000 | 0.000 | 
| -0.000 | 0.000 | 0.000 | 135.237 | 0.000 | 0.000 | 
| -1402.112 | -1783.753 | 1732.160 | -0.000 | 46.640 | 0.000 | 
| -1402.008 | -1783.621 | 1732.032 | -0.000 | 0.000 | 60.419 | 
| 388.448 | 113.034 | 58.381 | 0.000 | 0.000 | -0.000 | 
| 1525.922 | 1999.753 | -1607.653 | -0.000 | 0.000 | -0.000 | 
| 1828.980 | 1375.782 | -310.533 | -0.000 | -0.000 | -0.000 | 
| 0.000 | -0.000 | -0.000 | 135.237 | 0.000 | -0.000 | 
| 1402.112 | 1783.753 | -1732.160 | 0.000 | 46.640 | -0.000 | 
| 1402.008 | 1783.621 | -1732.032 | 0.000 | 0.000 | 60.419 | 
| 106.359 | -63.945 | 91.947 | 0.000 | 0.000 | -0.000 | 
| -15.911 | 45.472 | 296.388 | -0.000 | -0.000 | 0.000 | 
| -60.878 | -58.043 | 426.296 | -0.000 | 0.000 | -0.000 | 
| -139.374 | -177.310 | 172.181 | 77.821 | 0.000 | 0.000 | 
| -135.240 | -179.570 | -106.812 | -0.000 | 46.946 | 0.000 | 
| -138.638 | -176.374 | 171.272 | -0.000 | -0.000 | 61.098 | 
| 388.448 | 113.034 | 58.381 | 0.000 | 0.000 | -0.000 | 
| 192.790 | 339.892 | 136.918 | 0.000 | 0.000 | -0.000 | 
| 216.956 | 299.465 | 96.566 | 0.000 | -0.000 | -0.000 | 
| 139.374 | 177.310 | -172.181 | 77.821 | -0.000 | 0.000 | 
| 135.234 | 179.572 | 106.809 | 0.000 | 46.945 | -0.000 | 
| 138.638 | 176.374 | -171.272 | 0.000 | -0.000 | 61.098 | 
| 225.087 | 39.029 | 4.784 | -0.000 | -0.000 | 0.000 | 
| 41.204 | 132.544 | 13.984 | 0.000 | -0.000 | 0.000 | 
| 32.125 | 42.956 | 189.079 | -0.000 | -0.000 | 0.000 | 
| -17.869 | -27.005 | -12.064 | 73.400 | 0.000 | 0.000 | 
| -14.037 | -18.423 | -10.872 | -0.000 | 46.436 | 0.000 | 
| -14.771 | -18.247 | -8.833 | -0.000 | 0.000 | 79.216 | 
| 309.408 | 128.320 | 66.122 | -0.000 | 0.000 | -0.000 | 
| 76.496 | 188.016 | 41.109 | 0.000 | -0.000 | -0.000 | 
| 76.795 | 97.468 | 223.809 | 0.000 | -0.000 | -0.000 | 
| 17.869 | 27.005 | 12.064 | 73.400 | 0.000 | -0.000 | 
| 18.009 | 16.176 | -10.607 | 0.000 | 51.958 | -0.000 | 
| 14.771 | 18.247 | 8.833 | -0.000 | 0.000 | 79.216 | 
| 6168.965 | 6051.761 | 6051.762 | 0.000 | 0.000 | -0.000 | 
| 6051.762 | 6168.965 | 6051.762 | 0.000 | 0.000 | -0.000 | 
| 6051.762 | 6051.761 | 6168.965 | -0.000 | -0.000 | -0.000 | 
| 0.000 | -0.000 | -0.000 | 129.294 | 0.000 | -0.000 | 
| 0.000 | -0.000 | -0.000 | 0.000 | 129.294 | -0.000 | 
| 0.000 | 0.000 | 0.000 | 0.000 | 0.000 | 129.294 | 
| -6833.484 | -6982.821 | -6982.820 | -0.000 | -0.000 | 0.000 | 
| -6982.820 | -6833.485 | -6982.821 | -0.000 | -0.000 | -0.000 | 
| -6982.820 | -6982.821 | -6833.484 | 0.000 | -0.000 | -0.000 | 
| -0.000 | -0.000 | 0.000 | 129.294 | -0.000 | 0.000 | 
| -0.000 | 0.000 | -0.000 | -0.000 | 129.294 | 0.000 | 
| -0.000 | 0.000 | -0.000 | -0.000 | -0.000 | 129.294 | 
| 796.309 | 700.140 | 700.140 | -0.000 | 0.000 | -0.000 | 
| 700.140 | 796.309 | 700.140 | -0.000 | 0.000 | 0.000 | 
| 700.140 | 700.140 | 796.309 | -0.000 | -0.000 | -0.000 | 
| 597.556 | 597.556 | 597.556 | 52.750 | 0.000 | -0.000 | 
| 597.556 | 597.556 | 597.556 | 0.000 | 52.750 | -0.000 | 
| 597.556 | 597.556 | 597.556 | 0.000 | 0.000 | 52.750 | 
| 314.789 | 126.883 | 126.883 | -0.000 | -0.000 | 0.000 | 
| 126.883 | 314.789 | 126.883 | -0.000 | -0.000 | -0.000 | 
| 126.883 | 126.883 | 314.789 | -0.000 | -0.000 | 0.000 | 
| -597.556 | -597.556 | -597.556 | 52.750 | -0.000 | 0.000 | 
| -597.556 | -597.556 | -597.556 | -0.000 | 52.750 | 0.000 | 
| -597.556 | -597.556 | -597.556 | -0.000 | -0.000 | 52.750 | 
| 314.791 | 126.884 | 126.884 | 0.000 | 0.000 | -0.000 | 
| 126.884 | 314.791 | 126.884 | 0.000 | 0.000 | 0.000 | 
| 126.884 | 126.884 | 314.791 | 0.000 | 0.000 | -0.000 | 
| 54.908 | 54.908 | 54.908 | 58.959 | 0.000 | 0.000 | 
| 54.908 | 54.908 | 54.908 | 0.000 | 58.959 | 0.000 | 
| 54.908 | 54.908 | 54.908 | -0.000 | 0.000 | 58.959 | 
| 78.421 | -55.583 | -55.583 | -0.000 | -0.000 | 0.000 | 
| -55.583 | 78.421 | -55.583 | -0.000 | -0.000 | 0.000 | 
| -55.583 | -55.583 | 78.421 | 0.000 | -0.000 | 0.000 | 
| -54.908 | -54.908 | -54.908 | 58.959 | -0.000 | 0.000 | 
| -54.908 | -54.908 | -54.908 | -0.000 | 58.959 | 0.000 | 
| -54.908 | -54.908 | -54.908 | 0.000 | 0.000 | 58.959 | 
| 674.937 | -417.424 | 1038.388 | -490.823 | -848.803 | -777.942 | 
| -218.950 | 578.528 | 2689.504 | -641.437 | -675.237 | -509.863 | 
| -152.085 | -3017.218 | 2943.872 | -603.462 | -1483.294 | -892.920 | 
| 471.072 | -463.865 | 989.129 | -412.054 | -851.165 | -780.686 | 
| -4.359 | 0.288 | 8.667 | 13.080 | 105.070 | -3.642 | 
| -119.358 | -3009.285 | 2823.529 | -591.072 | -1498.393 | -853.174 | 
| 332.415 | -487.159 | -2639.481 | 641.078 | 719.424 | 522.011 | 
| 28.386 | 1910.548 | -3050.062 | 645.577 | 855.483 | 1049.503 | 
| 115.832 | 3023.355 | -2688.250 | 604.259 | 1526.834 | 895.984 | 
| -482.398 | 467.383 | -981.245 | 561.744 | 862.733 | 786.272 | 
| -541.801 | 324.499 | 572.275 | 27.365 | 936.141 | 800.545 | 
| 148.170 | 3030.551 | -2810.211 | 617.072 | 1511.760 | 936.117 | 
| 244.791 | 3.457 | 149.933 | -51.570 | -78.317 | -73.240 | 
| 160.056 | 180.572 | 64.951 | 19.236 | -76.700 | -86.893 | 
| 156.739 | 91.450 | 174.044 | 1.960 | -78.488 | -65.578 | 
| -27.728 | 46.285 | 257.798 | -26.455 | -61.245 | -39.089 | 
| -1.857 | 70.441 | 285.874 | -59.159 | -27.988 | -50.260 | 
| 50.321 | -36.897 | -46.531 | 1.544 | -66.205 | -15.745 | 
| 340.057 | 97.937 | 103.398 | -2.169 | 7.289 | 3.718 | 
| -28.509 | 361.889 | -264.725 | 74.544 | 166.460 | 99.984 | 
| 3.810 | 91.628 | 100.458 | 50.319 | 104.533 | 83.943 | 
| 3.446 | 188.681 | -315.588 | 108.592 | 93.364 | 108.667 | 
| 40.254 | -25.195 | -244.001 | 70.266 | 111.347 | 50.680 | 
| 36.050 | -41.038 | -250.671 | 77.646 | 80.309 | 95.542 | 
| 163.865 | 18.918 | 52.988 | -5.985 | 10.921 | 3.413 | 
| 8.765 | 101.692 | 70.240 | 14.167 | -0.782 | -4.570 | 
| 44.744 | 56.245 | 192.008 | -4.339 | 8.554 | 2.991 | 
| 0.648 | -0.020 | 0.197 | 81.737 | 2.708 | -4.646 | 
| 7.823 | -36.808 | 57.305 | -5.150 | 19.639 | -14.001 | 
| 15.579 | -6.579 | 39.066 | -0.592 | 2.436 | 39.709 | 
| 214.801 | 72.777 | 68.995 | -0.075 | 16.283 | 14.335 | 
| 69.431 | 190.439 | 77.533 | 23.445 | 18.257 | 5.892 | 
| 23.567 | 67.250 | 130.274 | 6.506 | 26.763 | 10.044 | 
| -6.847 | 4.188 | 8.266 | 85.354 | 15.106 | 6.425 | 
| 10.658 | 27.855 | 3.420 | 11.901 | 60.265 | 6.441 | 
| -6.236 | -4.591 | 13.715 | 3.723 | 25.281 | 73.719 | 
| 261.033 | 102.711 | 104.626 | -1.651 | 3.043 | 5.638 | 
| 95.310 | 296.107 | 121.945 | 34.909 | 3.314 | -10.749 | 
| 97.937 | 119.984 | 295.595 | 7.007 | 6.057 | 12.999 | 
| -5.741 | -0.387 | 0.614 | 62.183 | 7.279 | 4.855 | 
| -2.001 | 5.504 | 6.392 | 7.034 | 66.809 | -0.846 | 
| -4.314 | -9.092 | 9.795 | 2.931 | 19.891 | 73.288 | 
| 260.973 | 102.699 | 104.647 | -1.630 | 3.069 | 5.618 | 
| 101.918 | 230.752 | 118.475 | 24.383 | 7.179 | -10.136 | 
| 102.965 | 117.042 | 237.173 | 5.464 | 0.571 | 9.313 | 
| -2.751 | 1.676 | 5.655 | 86.818 | 9.310 | 0.367 | 
| -5.456 | -0.290 | 6.058 | 12.882 | 103.546 | -2.896 | 
| -7.686 | -10.802 | 14.694 | 3.503 | 26.077 | 100.755 | 
| 219.141 | 71.803 | 75.724 | -3.607 | 6.597 | 6.548 | 
| 101.937 | 230.680 | 118.462 | 24.360 | 7.170 | -10.125 | 
| 97.937 | 119.984 | 295.595 | 7.007 | 6.058 | 12.999 | 
| -3.774 | 2.036 | 3.588 | 74.498 | 6.844 | 0.676 | 
| -5.207 | 4.539 | 0.613 | 8.830 | 75.081 | -1.449 | 
| 5.896 | -0.884 | 12.058 | 5.169 | 14.268 | 56.035 | 
| 193.261 | 46.114 | 53.496 | -4.125 | 12.581 | 9.089 | 
| 101.934 | 230.688 | 118.464 | 24.363 | 7.172 | -10.127 | 
| 97.937 | 119.984 | 295.595 | 7.007 | 6.057 | 12.999 | 
| -2.982 | -0.232 | 7.007 | 125.586 | 12.882 | -0.101 | 
| 5.675 | 13.929 | 11.734 | 7.399 | 58.800 | 0.274 | 
| -4.324 | -9.100 | 9.803 | 2.940 | 19.902 | 73.273 | 
| 193.269 | 46.108 | 53.501 | -4.133 | 12.579 | 9.092 | 
| 22.722 | 137.730 | 62.412 | 19.219 | 11.423 | -1.314 | 
| 79.906 | 82.358 | 206.198 | 2.958 | 6.599 | 6.650 | 
| 4.569 | 5.531 | 2.547 | 46.303 | 3.300 | 4.662 | 
| -5.456 | -0.290 | 6.058 | 12.882 | 103.546 | -2.896 | 
| -2.020 | -4.830 | 9.411 | 2.626 | 17.844 | 65.899 | 
| 177.714 | 36.099 | 48.097 | 0.030 | 13.447 | 8.344 | 
| 43.328 | 168.900 | 63.978 | 17.855 | 16.015 | -3.613 | 
| 102.970 | 117.051 | 237.212 | 5.456 | 0.564 | 9.325 | 
| -5.793 | -0.325 | 0.557 | 62.258 | 7.300 | 4.827 | 
| -5.456 | -0.290 | 6.057 | 12.882 | 103.546 | -2.896 | 
| 4.318 | -0.379 | 13.049 | 7.028 | 16.427 | 57.947 | 
| 723.738 | 1106.887 | 2232.479 | 653.872 | -1727.522 | -95.040 | 
| 912.037 | 1423.745 | 1405.908 | 1011.417 | -1169.558 | -32.778 | 
| 958.253 | 1216.164 | 1558.589 | 1010.743 | -1162.437 | 14.729 | 
| 482.293 | 1112.153 | 1676.074 | 1118.246 | -1535.403 | -263.684 | 
| 341.278 | 999.238 | 2000.730 | 335.767 | -1946.170 | -23.866 | 
| 798.987 | 1134.032 | 1359.134 | 1012.210 | -1167.754 | 117.197 | 
| -950.769 | -1646.507 | -1703.156 | -433.445 | 623.182 | -287.025 | 
| -1294.940 | -1166.659 | -612.539 | -407.518 | 686.783 | 233.146 | 
| -755.309 | -1189.592 | -1220.391 | -1008.731 | 1173.214 | -62.558 | 
| -812.800 | -1432.978 | -2082.208 | -1040.734 | 957.061 | -575.744 | 
| -484.100 | -1112.301 | -1678.020 | -1094.476 | 1598.737 | 259.595 | 
| -914.036 | -1271.468 | -1419.397 | -1008.094 | 1168.015 | 38.549 | 
| 443.225 | 310.654 | 232.959 | 44.856 | -76.031 | -43.523 | 
| 213.335 | 435.552 | 235.783 | 49.562 | -66.687 | -40.762 | 
| 284.021 | 247.565 | 350.503 | 39.014 | -64.204 | -58.409 | 
| 141.921 | 145.381 | 72.995 | 106.500 | -73.269 | -24.190 | 
| 136.930 | 142.544 | 66.795 | 32.908 | 44.059 | -25.444 | 
| 90.432 | 108.903 | 144.503 | 42.787 | -61.704 | 110.706 | 
| 175.625 | -89.420 | -88.680 | -105.476 | 95.362 | -91.877 | 
| -31.462 | 110.319 | -175.082 | -100.635 | 93.928 | -128.740 | 
| -6.111 | -58.206 | 175.442 | -43.131 | 73.500 | -10.912 | 
| -137.992 | -141.726 | -67.001 | 29.906 | 59.473 | 26.205 | 
| -51.307 | -113.389 | -171.172 | -123.736 | 243.709 | 21.865 | 
| -101.000 | -183.427 | -196.377 | -106.089 | 151.959 | 100.975 | 
| 279.227 | 84.302 | 129.415 | 10.715 | -11.807 | -37.957 | 
| 81.260 | 278.334 | 77.920 | 6.638 | -19.257 | -66.177 | 
| 127.207 | 58.428 | 227.021 | 9.123 | -10.069 | -33.685 | 
| 5.154 | 14.347 | 21.584 | 31.013 | -36.235 | 4.854 | 
| 12.123 | 16.632 | 12.935 | -8.663 | 105.023 | 0.520 | 
| -37.041 | -50.825 | -9.325 | 10.354 | -12.216 | 84.790 | 
| 260.600 | 67.413 | 110.116 | -7.295 | 15.114 | -43.766 | 
| 73.435 | 255.907 | 33.827 | -4.946 | 8.203 | -62.352 | 
| 126.777 | 45.397 | 183.949 | -4.986 | 15.509 | -31.593 | 
| -9.423 | -10.674 | -13.037 | 32.553 | -7.582 | -0.649 | 
| -12.624 | -14.878 | -15.183 | -16.421 | 121.484 | -1.294 | 
| -48.877 | -78.102 | -46.068 | -9.083 | 12.457 | 83.891 | 
| 201.203 | 71.814 | 95.570 | 0.000 | -0.000 | -0.000 | 
| 109.054 | 297.064 | 96.045 | 0.000 | 0.000 | -0.000 | 
| 123.578 | 75.222 | 396.550 | -0.000 | -0.000 | -0.000 | 
| -0.011 | 0.011 | -0.007 | 63.224 | -0.000 | -0.000 | 
| -0.014 | 0.013 | -0.009 | -0.000 | 92.128 | -0.000 | 
| 0.000 | 0.000 | -0.000 | -0.000 | -0.000 | 119.084 | 
| 350.778 | 113.136 | 123.578 | -0.000 | 0.000 | 0.000 | 
| 68.748 | 239.644 | 70.751 | 0.000 | 0.000 | 0.000 | 
| 123.578 | 75.221 | 396.550 | 0.000 | 0.000 | 0.000 | 
| 0.011 | -0.011 | 0.007 | 63.224 | 0.000 | 0.000 | 
| 0.014 | -0.013 | 0.009 | -0.000 | 92.128 | 0.000 | 
| 0.000 | -0.001 | 0.000 | -0.000 | 0.000 | 119.085 | 
| 350.778 | 113.137 | 123.578 | 0.000 | -0.000 | -0.000 | 
| 109.073 | 297.106 | 96.043 | 0.000 | -0.000 | -0.000 | 
| 123.578 | 75.222 | 396.551 | 0.000 | -0.000 | -0.000 | 
| 0.000 | 0.000 | 0.000 | 81.658 | -0.000 | -0.000 | 
| 0.000 | 0.000 | 0.000 | 0.000 | 130.496 | -0.000 | 
| -0.001 | 0.001 | -0.001 | -0.000 | -0.000 | 83.394 | 
| 350.777 | 113.137 | 123.578 | 0.000 | 0.000 | -0.000 | 
| 109.076 | 297.088 | 96.049 | 0.000 | 0.000 | 0.000 | 
| 123.578 | 75.222 | 396.550 | -0.000 | 0.000 | 0.000 | 
| 0.000 | -0.000 | -0.000 | 81.658 | -0.000 | -0.000 | 
| -0.000 | -0.000 | -0.000 | 0.000 | 130.496 | 0.000 | 
| 0.001 | -0.001 | 0.001 | -0.000 | 0.000 | 83.394 | 
| 201.209 | 71.809 | 95.588 | 0.000 | -0.000 | 0.000 | 
| 68.767 | 239.690 | 70.748 | 0.000 | -0.000 | 0.000 | 
| 94.750 | 71.582 | 232.694 | 0.000 | -0.000 | -0.000 | 
| 0.000 | 0.000 | 0.000 | 81.658 | -0.000 | -0.000 | 
| 0.000 | 0.000 | 0.000 | 0.000 | 130.496 | -0.000 | 
| 0.000 | 0.000 | 0.000 | -0.000 | -0.000 | 119.085 | 
| 257.352 | 109.909 | 139.356 | 0.000 | 0.000 | 0.000 | 
| 43.805 | 213.217 | 33.460 | 0.000 | 0.000 | 0.000 | 
| 94.745 | 71.573 | 232.778 | 0.000 | 0.000 | 0.000 | 
| -0.000 | -0.000 | -0.000 | 81.658 | 0.000 | -0.000 | 
| -0.000 | -0.000 | -0.000 | 0.000 | 130.496 | 0.000 | 
| -0.000 | -0.000 | -0.000 | 0.000 | 0.000 | 119.085 | 
| 6998.695 | 7716.650 | 4216.301 | -0.000 | 0.000 | 0.000 | 
| 100.619 | 371.044 | 65.995 | -0.000 | 0.000 | 0.000 | 
| 112.723 | 68.054 | 364.284 | 0.000 | -0.000 | 0.000 | 
| 1926.817 | 3133.721 | -290.953 | 70.474 | 0.000 | 0.000 | 
| 1926.817 | 3133.872 | -290.992 | 0.000 | 79.057 | 0.000 | 
| -0.000 | -0.000 | 0.000 | -0.000 | 0.000 | 108.466 | 
| -1114.400 | -722.800 | -24.707 | 0.000 | -0.000 | -0.000 | 
| -1887.361 | -2922.399 | 341.051 | -0.000 | -0.000 | -0.000 | 
| -1220.821 | -738.938 | 115.410 | -0.000 | -0.000 | -0.000 | 
| -1926.816 | -3133.721 | 290.953 | 70.474 | -0.000 | -0.000 | 
| -1926.818 | -3133.872 | 290.992 | -0.000 | 79.057 | -0.000 | 
| 0.000 | -0.000 | -0.000 | -0.000 | -0.000 | 108.466 | 
| 368.233 | 184.766 | 141.136 | 0.000 | 0.000 | 0.000 | 
| 776.728 | 615.230 | 304.614 | 0.000 | 0.000 | 0.000 | 
| 261.712 | 168.740 | 280.780 | 0.000 | 0.000 | 0.000 | 
| 0.000 | -0.000 | 0.000 | 76.411 | 0.000 | 0.000 | 
| 134.543 | 82.370 | 15.055 | 0.000 | 79.361 | 0.000 | 
| 134.305 | 82.224 | 15.028 | 0.000 | 0.000 | 62.225 | 
| -303.328 | -556.138 | -77.198 | -0.000 | -0.000 | -0.000 | 
| 100.619 | 371.044 | 65.995 | -0.000 | -0.000 | -0.000 | 
| -119.158 | -254.393 | 268.113 | -0.000 | -0.000 | -0.000 | 
| -0.000 | 0.000 | -0.000 | 76.411 | -0.000 | -0.000 | 
| -134.631 | -82.423 | -15.064 | -0.000 | 79.332 | -0.000 | 
| -134.305 | -82.224 | -15.028 | -0.000 | -0.000 | 62.225 | 
| 151.172 | 37.868 | 29.997 | 0.000 | 0.000 | 0.000 | 
| 86.676 | 261.202 | 64.472 | 0.000 | 0.000 | 0.000 | 
| 108.527 | 85.060 | 242.300 | 0.000 | 0.000 | 0.000 | 
| 11.765 | 7.202 | 1.316 | 54.904 | 0.000 | 0.000 | 
| 12.512 | 7.660 | 1.400 | 0.000 | 82.411 | 0.000 | 
| 66.242 | 56.398 | 41.642 | 0.000 | 0.000 | 12.232 | 
| 195.788 | 44.210 | 97.445 | -0.000 | -0.000 | -0.000 | 
| 36.980 | 209.292 | 58.462 | 0.000 | 0.000 | -0.000 | 
| -142.093 | -56.035 | -36.100 | -0.000 | -0.000 | -0.000 | 
| -11.765 | -7.202 | -1.316 | 54.904 | -0.000 | -0.000 | 
| -12.512 | -7.660 | -1.400 | -0.000 | 82.411 | -0.000 | 
| -90.409 | -10.266 | -77.777 | 0.000 | -0.000 | 9.385 | 
| 6388.280 | 6118.420 | -3570.557 | 0.000 | -34.445 | 0.000 | 
| 193.337 | 563.253 | 124.163 | -0.000 | 33.703 | -0.000 | 
| 6035.597 | 6035.596 | -3304.396 | 0.000 | 0.000 | -0.000 | 
| 2832.798 | 2832.797 | -2541.947 | 36.510 | 0.000 | 19.348 | 
| -33.703 | 33.703 | 0.000 | -0.000 | 124.899 | -0.000 | 
| 0.000 | 0.000 | 0.000 | 33.703 | 0.000 | 184.958 | 
| -5567.031 | -5786.685 | 123.479 | -0.001 | 1.046 | 0.000 | 
| -5816.673 | -5597.516 | 141.793 | 0.000 | -1.042 | -0.000 | 
| -5843.970 | -5843.969 | 390.435 | -0.000 | -0.000 | -0.000 | 
| -2832.798 | -2832.797 | 2541.947 | 36.510 | 0.000 | 19.348 | 
| -5982.717 | -5913.831 | 3665.021 | 0.000 | 52.067 | 0.000 | 
| -0.000 | -0.000 | -0.000 | 33.704 | 0.000 | 184.958 | 
| 563.253 | 193.337 | 124.163 | -0.000 | -33.703 | 0.000 | 
| 761.363 | 1028.368 | -271.068 | -0.000 | 34.466 | -0.000 | 
| 127.065 | 127.065 | 432.396 | -0.000 | -0.000 | -0.000 | 
| 594.086 | 594.086 | -366.045 | 52.159 | 0.000 | 34.442 | 
| 265.656 | 303.992 | -251.780 | 0.000 | 36.611 | -0.000 | 
| 594.814 | 594.814 | -366.494 | 34.442 | 0.000 | 135.111 | 
| -243.600 | -468.039 | 69.324 | -0.000 | -0.883 | -0.000 | 
| -430.968 | -158.399 | 466.031 | 0.000 | 34.425 | 0.000 | 
| -518.462 | -518.462 | 728.071 | -0.000 | -0.000 | 0.000 | 
| -594.086 | -594.086 | 366.045 | 52.159 | -0.000 | 34.442 | 
| -589.626 | -592.030 | 7.159 | -0.000 | 42.867 | -0.000 | 
| -594.814 | -594.814 | 366.494 | 34.442 | -0.000 | 135.111 | 
| 443.687 | 214.410 | 49.352 | -0.000 | -34.746 | 0.000 | 
| 214.407 | 443.699 | 49.359 | 0.000 | 34.746 | -0.000 | 
| 161.864 | 161.864 | 332.930 | 0.000 | 0.000 | -0.000 | 
| 55.170 | 55.170 | -33.993 | 57.348 | -0.000 | 34.389 | 
| 20.778 | 89.556 | -33.991 | 0.000 | 57.352 | 0.000 | 
| 59.339 | 59.339 | -36.562 | 34.441 | 0.000 | 135.230 | 
| 325.498 | 75.363 | 78.469 | -0.000 | -11.415 | -0.000 | 
| 95.345 | 371.348 | 143.253 | -0.000 | 34.399 | 0.000 | 
| 31.642 | 31.642 | 340.285 | 0.000 | 0.000 | 0.000 | 
| -55.170 | -55.170 | 33.993 | 57.348 | 0.000 | 34.389 | 
| -61.551 | -56.911 | 4.332 | 0.000 | 43.643 | 0.000 | 
| -59.339 | -59.339 | 36.562 | 34.441 | -0.000 | 135.230 | 
| 4152.435 | 2625.206 | -4985.826 | 2240.784 | -793.350 | 5246.486 | 
| 880.620 | 229.587 | -370.772 | 557.656 | 346.772 | 134.593 | 
| 66.937 | 111.248 | 363.627 | -4.156 | -4.491 | -1.659 | 
| 4408.754 | 2425.310 | -5999.097 | 1998.523 | -489.049 | 5579.570 | 
| 3398.886 | 2917.499 | -4979.170 | 2704.904 | -1303.248 | 4837.971 | 
| 4424.952 | 2457.102 | -5956.350 | 1929.176 | -460.123 | 5648.411 | 
| -3302.163 | -3927.743 | 4759.001 | 69.924 | 920.486 | -6872.421 | 
| -4570.387 | -2058.170 | 4215.642 | -2697.157 | 449.892 | -5016.753 | 
| -682.430 | 104.256 | 774.882 | -551.494 | -348.341 | -136.367 | 
| -3733.897 | -2322.049 | 5202.286 | -2202.273 | 817.982 | -5217.629 | 
| -4042.103 | -1444.293 | 4686.538 | -3223.509 | 793.954 | -4793.234 | 
| -3380.695 | -2566.829 | 4586.794 | -1061.438 | 612.279 | -6344.027 | 
| 174.354 | -163.208 | -668.721 | 306.744 | -95.409 | 461.891 | 
| 111.980 | 298.170 | 111.512 | 21.439 | -0.002 | 1.715 | 
| 177.686 | -25.792 | -557.125 | 323.028 | -94.280 | 440.483 | 
| 90.993 | -10.058 | -51.701 | 138.457 | 36.025 | 14.832 | 
| 355.983 | 422.443 | -506.346 | 64.441 | -64.710 | 638.845 | 
| 74.518 | 0.464 | -50.394 | 55.997 | 60.795 | 108.607 | 
| -202.626 | -246.181 | 531.288 | -147.008 | 134.625 | -555.067 | 
| -433.730 | -157.721 | 591.241 | -289.610 | 102.771 | -502.419 | 
| 66.937 | 111.248 | 363.627 | -4.156 | -4.491 | -1.659 | 
| -433.283 | -253.890 | 565.065 | -151.510 | 45.659 | -542.985 | 
| -364.251 | -286.104 | 510.267 | -265.344 | 172.660 | -476.463 | 
| -77.967 | -0.152 | 45.449 | -53.774 | -8.414 | 81.649 | 
| 158.894 | -7.173 | -22.869 | 15.985 | 1.847 | 23.900 | 
| 83.720 | 134.331 | 45.551 | 14.167 | -2.121 | 1.615 | 
| 78.474 | 52.634 | 213.817 | -2.103 | -1.348 | 2.253 | 
| 22.355 | -10.540 | -8.530 | 86.999 | 5.051 | 2.705 | 
| 9.569 | 1.485 | -7.947 | 7.465 | 63.250 | 12.533 | 
| 7.515 | -0.015 | -7.966 | 7.510 | 29.204 | 93.041 | 
| 68.976 | -27.255 | 19.276 | -22.609 | 6.745 | -25.645 | 
| 4.529 | 85.517 | 33.684 | 3.862 | -5.383 | -6.066 | 
| 72.356 | 106.281 | 285.155 | -10.176 | -6.774 | -3.668 | 
| -36.641 | -20.663 | 36.348 | -4.833 | 7.712 | -23.404 | 
| -17.197 | -0.899 | -0.417 | -0.717 | 43.434 | 0.076 | 
| -21.359 | -19.838 | 47.125 | -15.044 | 24.616 | -16.188 | 
| 458.288 | 150.023 | 150.023 | 0.000 | 0.000 | -0.000 | 
| 150.023 | 458.288 | 150.023 | 0.000 | -0.000 | -0.000 | 
| 150.023 | 150.022 | 458.288 | 0.000 | 0.000 | 0.000 | 
| 0.000 | -0.000 | 0.000 | 147.053 | -0.000 | -0.000 | 
| 0.000 | 0.000 | 0.000 | -0.000 | 147.053 | -0.000 | 
| -0.000 | 0.000 | -0.000 | 0.000 | -0.000 | 147.053 | 
| 458.288 | 150.022 | 150.023 | 0.000 | 0.000 | -0.000 | 
| 150.023 | 458.288 | 150.023 | -0.000 | 0.000 | 0.000 | 
| 150.023 | 150.023 | 458.288 | -0.000 | -0.000 | 0.000 | 
| 0.000 | 0.000 | 0.000 | 147.053 | -0.000 | -0.000 | 
| -0.000 | -0.000 | -0.000 | -0.000 | 147.053 | 0.000 | 
| 0.000 | -0.000 | -0.000 | -0.000 | 0.000 | 147.053 | 
| 458.288 | 150.023 | 150.023 | 0.000 | 0.000 | -0.000 | 
| 150.023 | 458.288 | 150.023 | 0.000 | 0.000 | -0.000 | 
| 150.023 | 150.023 | 458.288 | 0.000 | 0.000 | -0.000 | 
| -93.432 | -93.432 | -93.432 | 62.326 | 0.006 | -0.011 | 
| -93.369 | -93.369 | -93.369 | -0.007 | 62.322 | -0.011 | 
| -93.455 | -93.454 | -93.455 | -0.007 | 0.006 | 62.327 | 
| 458.287 | 150.022 | 150.022 | 0.000 | -0.000 | -0.000 | 
| 150.022 | 458.287 | 150.022 | -0.000 | -0.000 | -0.000 | 
| 150.022 | 150.022 | 458.287 | -0.000 | -0.000 | 0.000 | 
| 21.720 | 21.720 | 21.720 | 61.684 | 0.022 | -0.042 | 
| 21.723 | 21.723 | 21.723 | -0.025 | 61.718 | -0.042 | 
| 93.343 | 93.343 | 93.343 | 0.007 | -0.006 | 62.320 | 
| 316.402 | 117.822 | 117.822 | 0.002 | -0.002 | 0.003 | 
| 117.822 | 316.402 | 117.822 | 0.002 | -0.002 | 0.003 | 
| 117.822 | 117.822 | 316.402 | 0.002 | -0.002 | 0.003 | 
| -1.765 | -1.765 | -1.765 | 77.698 | -0.002 | 0.003 | 
| -6.986 | -6.986 | -6.986 | 0.001 | 20.869 | 0.002 | 
| -1.765 | -1.765 | -1.765 | 0.002 | -0.002 | 77.697 | 
| 314.625 | 94.598 | 94.598 | -0.000 | 0.000 | -0.000 | 
| 94.598 | 314.625 | 94.598 | -0.000 | 0.000 | -0.000 | 
| 94.598 | 94.598 | 314.625 | -0.000 | 0.000 | -0.000 | 
| 6.986 | 6.986 | 6.986 | 20.869 | 0.001 | -0.002 | 
| 1.765 | 1.765 | 1.765 | -0.002 | 77.698 | -0.003 | 
| 6.986 | 6.985 | 6.986 | -0.001 | 0.001 | 20.882 | 
| 927.020 | 482.742 | 262.402 | -0.000 | -596.267 | -0.000 | 
| 669.332 | 842.400 | 325.888 | -0.000 | -633.425 | 0.000 | 
| 665.508 | 541.087 | 689.049 | -0.000 | -661.192 | -0.000 | 
| 0.000 | -0.000 | -0.000 | 152.532 | 0.000 | -21.133 | 
| 553.459 | 366.982 | 103.537 | -0.000 | -533.668 | -0.000 | 
| 552.414 | 376.990 | 150.110 | -7.051 | -623.713 | 78.848 | 
| 462.920 | 117.854 | 153.075 | 0.000 | 13.586 | 0.000 | 
| -436.719 | 88.515 | 25.088 | -0.000 | 615.375 | 0.000 | 
| -441.334 | -213.074 | 385.014 | 0.000 | 586.517 | 0.000 | 
| -0.000 | 0.000 | 0.000 | 152.532 | -0.000 | -21.133 | 
| -551.244 | -386.938 | -197.475 | 0.000 | 712.689 | 0.000 | 
| -552.780 | -377.240 | -150.209 | -7.041 | 624.126 | 78.815 | 
| 434.654 | 145.633 | 128.992 | -0.000 | -38.396 | -0.000 | 
| 172.973 | 495.210 | 193.251 | -0.000 | -72.921 | -0.000 | 
| 172.688 | 201.296 | 564.615 | 0.000 | -98.980 | -0.000 | 
| 55.416 | 37.818 | 15.059 | 110.947 | -62.569 | -7.400 | 
| 141.697 | 30.102 | 64.008 | 0.000 | 70.845 | -0.000 | 
| 0.000 | 0.000 | 0.000 | -20.740 | 0.000 | 128.833 | 
| 462.920 | 117.854 | 153.075 | 0.000 | 13.586 | 0.000 | 
| 58.816 | 426.888 | 159.690 | 0.000 | 55.879 | 0.000 | 
| -160.663 | -1.492 | 318.807 | 0.000 | -96.805 | 0.000 | 
| -55.416 | -37.818 | -15.059 | 110.947 | 62.569 | -7.400 | 
| -51.068 | -45.667 | -63.954 | 0.000 | 145.264 | -0.000 | 
| -0.000 | -0.000 | -0.000 | -20.740 | -0.000 | 128.833 | 
| 219.444 | 36.814 | 60.337 | -0.000 | -9.802 | -0.000 | 
| 18.994 | 251.520 | 79.033 | -0.000 | -24.406 | 0.000 | 
| 91.323 | 163.361 | 511.187 | -0.000 | -34.009 | -0.000 | 
| 5.735 | 3.914 | 1.558 | 109.495 | -6.475 | -6.921 | 
| 5.011 | -6.998 | -35.170 | -0.000 | 97.182 | 0.000 | 
| 4.938 | 3.370 | 1.342 | -8.504 | -5.575 | 84.154 | 
| 188.620 | 22.263 | 35.898 | 0.000 | -7.384 | 0.000 | 
| 72.602 | 378.063 | 153.202 | 0.000 | -27.621 | 0.000 | 
| 53.964 | 155.358 | 486.306 | 0.000 | -21.261 | 0.000 | 
| -5.735 | -3.914 | -1.558 | 109.495 | 6.475 | -6.921 | 
| -61.913 | -42.315 | -92.095 | 0.000 | 69.385 | -0.000 | 
| -4.938 | -3.370 | -1.342 | -8.504 | 5.575 | 84.154 | 
| 263.066 | 85.316 | 42.228 | 0.000 | 22.619 | 0.000 | 
| 112.035 | 539.872 | 145.085 | 0.000 | -13.872 | 0.000 | 
| 92.988 | 163.701 | 437.652 | 0.000 | -31.317 | 0.000 | 
| -1.108 | -0.941 | -0.929 | 115.160 | -0.226 | -3.714 | 
| -12.793 | -13.872 | 1.493 | -0.000 | 154.937 | -0.000 | 
| -0.000 | 0.000 | 0.000 | -14.176 | -0.000 | 117.718 | 
| 266.950 | 88.723 | 44.459 | 0.000 | 21.005 | -0.000 | 
| 97.567 | 392.207 | 166.854 | -0.000 | -0.288 | -0.000 | 
| 141.472 | 145.085 | 567.822 | 0.000 | 1.493 | 0.000 | 
| 0.000 | -0.000 | -0.000 | 154.995 | 0.000 | -14.176 | 
| -12.793 | -13.872 | 1.493 | -0.000 | 154.937 | 0.000 | 
| -0.000 | -0.000 | 0.000 | -14.176 | 0.000 | 117.718 | 
| 264.804 | 86.851 | 43.227 | -0.000 | 21.892 | 0.000 | 
| 112.035 | 539.872 | 145.085 | 0.000 | -13.872 | 0.000 | 
| 94.055 | 164.353 | 439.001 | -0.000 | -31.454 | -0.000 | 
| 0.000 | 0.000 | 0.000 | 154.995 | -0.000 | -14.176 | 
| -12.793 | -13.872 | 1.493 | 0.000 | 154.937 | -0.000 | 
| 0.000 | 0.000 | 0.000 | -14.176 | -0.000 | 117.718 | 
| 208.326 | 43.104 | 23.053 | -0.000 | -16.177 | 0.000 | 
| 96.788 | 391.489 | 166.368 | 0.000 | 0.104 | -0.000 | 
| 11.977 | 118.278 | 390.955 | -0.000 | -45.710 | 0.000 | 
| -0.000 | -0.000 | -0.000 | 154.995 | 0.000 | -14.176 | 
| -12.793 | -13.872 | 1.492 | -0.000 | 154.937 | -0.000 | 
| -0.000 | -0.000 | -0.000 | -14.176 | 0.000 | 117.718 | 
| 208.069 | 42.992 | 22.811 | 0.000 | -16.268 | -0.000 | 
| -6.234 | 223.241 | 55.303 | 0.000 | -27.719 | -0.000 | 
| 21.211 | 77.901 | 372.330 | -0.000 | -58.402 | -0.000 | 
| 0.000 | 0.000 | 0.000 | 154.995 | -0.000 | -14.176 | 
| -12.793 | -13.872 | 1.493 | 0.000 | 154.937 | 0.000 | 
| -0.036 | -0.018 | -0.034 | -8.774 | -0.027 | 50.299 | 
| 193.694 | 21.776 | 24.336 | -0.000 | -7.104 | 0.000 | 
| -34.086 | 257.428 | 80.249 | 0.000 | -13.830 | -0.000 | 
| 11.652 | 118.088 | 390.679 | 0.000 | -45.887 | 0.000 | 
| -0.000 | -0.000 | -0.000 | 154.995 | 0.000 | -14.176 | 
| -6.855 | -17.403 | -64.108 | 0.000 | 38.277 | 0.000 | 
| 0.038 | 0.019 | 0.066 | -13.412 | 0.069 | 28.149 | 
| 392.976 | 160.808 | 173.191 | -0.000 | 0.000 | 0.000 | 
| 160.808 | 392.976 | 173.191 | -0.000 | 0.000 | 0.000 | 
| 153.631 | 153.631 | 840.290 | -0.000 | 0.000 | 0.000 | 
| 0.152 | 0.156 | 0.054 | -8.914 | 0.007 | 0.000 | 
| 0.152 | 0.156 | 0.054 | -0.001 | -8.909 | -0.000 | 
| 0.975 | 0.938 | 5.704 | 0.015 | -0.089 | 6.922 | 
| 392.976 | 160.808 | 173.191 | 0.000 | -0.000 | 0.000 | 
| 160.808 | 392.976 | 173.191 | 0.000 | 0.000 | -0.000 | 
| 153.631 | 153.631 | 840.290 | -0.000 | 0.000 | -0.000 | 
| -0.152 | -0.156 | -0.054 | -8.912 | -0.007 | -0.000 | 
| -0.152 | -0.156 | -0.054 | 0.001 | -8.917 | 0.000 | 
| -0.975 | -0.938 | -5.704 | -0.015 | 0.089 | 6.922 | 
| 186.718 | 83.667 | 10.214 | -0.000 | 0.000 | -0.000 | 
| 83.667 | 186.718 | 10.214 | -0.000 | 0.000 | 0.000 | 
| 76.726 | 76.726 | 525.422 | -0.000 | 0.001 | 0.000 | 
| 0.000 | 0.000 | 0.000 | 115.769 | 0.000 | 0.000 | 
| 0.000 | 0.000 | 0.000 | -0.000 | 115.769 | -0.000 | 
| 0.098 | 0.093 | 0.615 | 0.002 | -0.010 | 6.006 | 
| 272.807 | 163.361 | 89.127 | 0.000 | -0.001 | -0.000 | 
| 163.362 | 272.807 | 89.128 | 0.000 | -0.001 | -0.000 | 
| 153.631 | 153.631 | 840.290 | 0.000 | 0.000 | 0.000 | 
| -0.000 | -0.000 | -0.000 | 115.769 | -0.000 | -0.000 | 
| -0.000 | -0.000 | -0.000 | 0.000 | 115.769 | -0.000 | 
| -0.098 | -0.093 | -0.615 | -0.002 | 0.010 | 6.006 | 
| 159.050 | 77.378 | 52.979 | -0.000 | 0.000 | -0.000 | 
| 77.378 | 159.050 | 52.979 | -0.000 | 0.000 | -0.000 | 
| -9.833 | -9.833 | 399.849 | -0.000 | 0.000 | -0.000 | 
| 0.002 | 0.001 | -0.000 | -8.877 | 0.000 | 0.000 | 
| 0.001 | 0.002 | -0.000 | -0.000 | -8.877 | -0.000 | 
| 0.009 | 0.009 | 0.003 | -0.000 | 0.000 | 24.450 | 
| 158.993 | 77.346 | 52.838 | 0.000 | -0.000 | -0.000 | 
| 77.346 | 158.993 | 52.838 | 0.000 | -0.000 | 0.000 | 
| 76.605 | 76.605 | 525.029 | 0.000 | -0.000 | -0.000 | 
| -0.002 | -0.001 | 0.000 | -8.877 | -0.000 | 0.000 | 
| -0.001 | -0.002 | 0.000 | 0.000 | -8.877 | 0.000 | 
| -0.009 | -0.009 | -0.003 | 0.000 | -0.000 | 24.450 | 
| 548.507 | 205.975 | 216.679 | -1.410 | -24.384 | -0.916 | 
| 681.874 | 350.768 | 94.054 | -87.283 | -111.154 | 271.962 | 
| 698.686 | 10.246 | 271.983 | -83.672 | -113.063 | 296.397 | 
| 1063.019 | -279.508 | -556.209 | -393.789 | -506.956 | 23.006 | 
| 466.926 | -204.692 | -118.314 | -83.663 | 52.651 | 288.715 | 
| 1052.763 | 350.678 | -312.593 | -843.995 | -840.334 | 451.445 | 
| -17.326 | 398.197 | 327.533 | 72.437 | 103.617 | -297.077 | 
| -830.520 | 290.539 | 416.424 | 491.458 | 328.298 | -227.655 | 
| -285.684 | 432.898 | 519.525 | 77.253 | 123.953 | -293.444 | 
| -501.286 | 197.833 | 120.593 | 284.602 | 115.354 | -288.007 | 
| -515.392 | 217.057 | 128.710 | 76.902 | 289.352 | -299.839 | 
| -528.409 | 187.051 | 123.542 | 86.988 | 117.273 | -141.818 | 
| 548.507 | 205.975 | 216.679 | -1.410 | -24.384 | -0.916 | 
| 221.993 | 371.896 | 81.969 | -94.677 | -91.849 | -34.208 | 
| 165.568 | 112.321 | 147.307 | -57.691 | -35.288 | 43.930 | 
| 52.218 | -65.298 | -38.693 | 138.928 | -26.053 | 12.632 | 
| 51.633 | -23.591 | -29.364 | -5.164 | 85.984 | 10.037 | 
| 24.390 | -53.088 | -14.049 | -3.780 | -16.409 | 175.054 | 
| 215.972 | 120.341 | 179.005 | -0.606 | -0.143 | -4.301 | 
| 206.200 | 644.483 | 231.476 | -0.379 | 10.361 | -8.540 | 
| 218.959 | 235.533 | 468.944 | 0.239 | 16.434 | -1.463 | 
| -87.367 | -3.023 | 6.809 | 178.365 | 18.650 | -27.306 | 
| -83.600 | 23.481 | 6.187 | 5.123 | 128.424 | -35.939 | 
| -91.050 | -0.980 | 13.701 | 15.454 | 11.917 | 118.964 | 
| 342.897 | 106.438 | 138.513 | -41.874 | -36.895 | 5.654 | 
| 128.308 | 370.166 | 130.508 | -33.645 | -24.307 | -54.905 | 
| 149.298 | 151.224 | 206.117 | -31.996 | -13.342 | 21.787 | 
| -34.412 | -40.415 | -30.450 | 137.112 | 0.056 | 2.186 | 
| -26.192 | -16.251 | -16.787 | -5.413 | 100.975 | -9.541 | 
| -11.732 | -60.054 | 12.578 | -4.095 | -16.749 | 103.010 | 
| 299.514 | 96.271 | 133.585 | -26.888 | -54.281 | 0.953 | 
| 90.674 | 352.879 | 122.934 | -12.000 | -7.745 | -52.144 | 
| 139.629 | 152.973 | 218.549 | -18.214 | -10.471 | 15.820 | 
| -33.944 | -41.178 | -18.840 | 158.772 | 1.021 | -4.558 | 
| -30.969 | -3.149 | -9.341 | -2.394 | 118.217 | -9.749 | 
| -27.593 | -55.617 | 18.381 | 0.995 | -10.741 | 99.082 | 
| 374.350 | 108.375 | 88.590 | 0.000 | 0.000 | 0.000 | 
| -3510.681 | -1391.833 | -848.871 | -0.000 | 0.000 | -0.000 | 
| -2917.114 | -632.855 | 739.080 | -0.000 | 0.000 | -0.000 | 
| -3012.100 | -764.332 | 504.856 | 92.569 | 0.000 | -0.000 | 
| -0.000 | -0.000 | 0.000 | -0.000 | 91.229 | -0.000 | 
| -3007.947 | -763.278 | 504.160 | -0.000 | 0.000 | 70.389 | 
| 374.350 | 108.375 | 88.590 | 0.000 | -0.000 | 0.000 | 
| 3711.399 | 1786.182 | 972.240 | 0.000 | -0.000 | 0.000 | 
| 3691.227 | 1653.106 | 1126.501 | 0.000 | -0.000 | -0.000 | 
| 3012.100 | 764.332 | -504.856 | 92.569 | -0.000 | 0.000 | 
| 0.000 | 0.000 | -0.000 | -0.000 | 91.229 | 0.000 | 
| 3007.947 | 763.278 | -504.160 | 0.000 | -0.000 | 70.389 | 
| 374.350 | 108.375 | 88.590 | -0.000 | 0.000 | -0.000 | 
| -262.158 | 37.638 | -30.023 | -0.000 | 0.000 | -0.000 | 
| 88.873 | 128.284 | 321.781 | 0.000 | 0.000 | 0.000 | 
| -301.079 | -76.400 | 50.464 | 92.585 | 0.000 | 0.000 | 
| -300.379 | -76.222 | 50.346 | -0.000 | 57.565 | -0.000 | 
| -300.552 | -76.266 | 50.375 | -0.000 | 0.000 | 70.420 | 
| 127.062 | 521.119 | 476.823 | 0.000 | -0.000 | 0.000 | 
| 462.316 | 356.408 | 154.345 | 0.000 | -0.000 | -0.000 | 
| 395.046 | 207.563 | 186.905 | -0.000 | -0.000 | 0.000 | 
| 301.079 | 76.400 | -50.464 | 92.585 | -0.000 | 0.000 | 
| 300.379 | 76.222 | -50.346 | 0.000 | 57.565 | 0.000 | 
| 300.552 | 76.266 | -50.375 | 0.000 | -0.000 | 70.420 | 
| 203.830 | 36.042 | 19.823 | -0.000 | 0.000 | -0.000 | 
| 60.740 | 175.512 | 58.568 | -0.000 | 0.000 | -0.000 | 
| 73.171 | 125.993 | 235.223 | -0.000 | 0.000 | -0.000 | 
| 0.000 | 0.000 | 0.000 | 129.974 | 0.000 | -0.000 | 
| 0.000 | 0.000 | 0.000 | -0.000 | 91.229 | -0.000 | 
| -28.133 | -7.139 | 4.715 | 0.000 | 0.000 | 72.928 | 
| 283.824 | 117.533 | 89.057 | 0.000 | -0.000 | 0.000 | 
| 135.701 | 239.350 | 128.076 | 0.000 | 0.000 | -0.000 | 
| 125.008 | 96.593 | 220.904 | 0.000 | -0.000 | 0.000 | 
| -0.000 | -0.000 | -0.000 | 129.974 | -0.000 | -0.000 | 
| -0.000 | -0.000 | -0.000 | -0.000 | 91.229 | 0.000 | 
| 28.133 | 7.139 | -4.715 | 0.000 | -0.000 | 72.928 | 
| 419.775 | 93.710 | 125.230 | 0.000 | 55.832 | -0.000 | 
| 442.263 | 638.729 | -366.175 | -0.001 | -246.152 | -0.000 | 
| 122.324 | 125.362 | 379.783 | 0.000 | 17.743 | -0.000 | 
| -580.808 | -1152.378 | -1790.267 | 45.626 | -551.551 | -14.917 | 
| 1427.584 | 1643.782 | -902.069 | -0.002 | -1194.395 | 0.001 | 
| 0.000 | 0.000 | 0.000 | -33.358 | 0.000 | 112.221 | 
| 419.775 | 93.710 | 125.230 | 0.000 | 55.832 | 0.000 | 
| 105.045 | 394.497 | 125.221 | 0.000 | -32.335 | 0.000 | 
| -2879.869 | -4448.606 | -1489.829 | -0.000 | 2000.600 | -0.001 | 
| -276.223 | -250.539 | 665.837 | 89.711 | 244.914 | -12.435 | 
| 17.316 | -33.248 | 17.743 | -0.000 | 130.080 | 0.000 | 
| -0.000 | -0.000 | -0.000 | -33.358 | 0.000 | 112.222 | 
| 419.775 | 93.710 | 125.230 | -0.000 | 55.832 | -0.000 | 
| 104.849 | 260.145 | -16.310 | -0.000 | -35.607 | -0.000 | 
| 17.813 | -10.203 | 26.965 | -0.000 | -6.044 | -0.000 | 
| -24.855 | -7.461 | -115.525 | 41.318 | -26.569 | -16.131 | 
| 39.404 | 4.891 | -24.071 | -0.000 | 59.258 | -0.000 | 
| 180.205 | 195.523 | -147.583 | -57.392 | -182.204 | 84.192 | 
| 223.260 | -77.286 | 12.691 | 0.000 | 76.983 | -0.000 | 
| 89.347 | 275.801 | 174.987 | 0.000 | -3.795 | 0.000 | 
| 122.323 | 125.362 | 379.782 | -0.000 | 17.743 | 0.000 | 
| -105.907 | -100.810 | 84.699 | 2.822 | 87.027 | -30.437 | 
| -21.676 | -58.180 | 69.605 | 0.000 | 100.611 | 0.000 | 
| 50.753 | 94.745 | 168.811 | -15.714 | 51.232 | 60.131 | 
| 283.122 | 39.386 | 38.552 | -0.000 | 27.615 | -0.000 | 
| 2.887 | 124.610 | -28.749 | -0.000 | -10.778 | 0.000 | 
| 26.561 | -10.660 | 142.206 | -0.000 | 0.922 | 0.000 | 
| -0.577 | -0.008 | -11.151 | 62.498 | -3.316 | -20.107 | 
| 4.481 | -7.389 | -7.931 | -0.000 | 30.504 | 0.000 | 
| 2.795 | 2.894 | -4.290 | -24.722 | -1.923 | 81.578 | 
| 281.161 | 38.325 | 54.913 | 0.000 | 31.836 | 0.000 | 
| 5.670 | 124.085 | -13.808 | 0.000 | -5.829 | -0.000 | 
| 35.419 | 16.069 | 184.415 | 0.000 | 21.860 | -0.000 | 
| 0.577 | 0.008 | 11.151 | 62.498 | 3.316 | -20.107 | 
| 3.016 | -6.150 | 20.933 | 0.000 | 44.192 | -0.000 | 
| -2.795 | -2.894 | 4.290 | -24.722 | 1.923 | 81.578 | 
| 428.604 | 90.315 | 129.218 | -0.000 | 52.011 | -0.000 | 
| 37.799 | 179.758 | 10.757 | -0.000 | -13.577 | -0.000 | 
| 125.243 | 121.587 | 399.451 | -0.000 | 15.669 | 0.000 | 
| 0.006 | 0.001 | 0.008 | 82.433 | -0.003 | -16.271 | 
| 18.451 | -33.531 | 15.669 | -0.000 | 132.300 | 0.000 | 
| 0.000 | -0.000 | -0.000 | -33.895 | 0.000 | 105.894 | 
| 342.300 | 112.276 | 129.043 | 0.000 | 39.432 | 0.000 | 
| 120.372 | 296.510 | 134.817 | -0.000 | -28.750 | -0.000 | 
| 121.850 | 136.379 | 287.487 | -0.000 | 28.267 | -0.000 | 
| -0.006 | -0.001 | -0.008 | 82.433 | 0.003 | -16.271 | 
| 18.674 | -29.775 | 24.517 | 0.000 | 90.996 | -0.000 | 
| -0.000 | -0.000 | -0.000 | -33.895 | -0.000 | 105.894 | 
| 342.305 | 112.267 | 129.052 | -0.000 | 39.424 | -0.000 | 
| 87.242 | 226.281 | 73.573 | -0.000 | -4.154 | 0.000 | 
| 56.046 | 23.659 | 186.551 | -0.000 | 26.146 | 0.000 | 
| 0.001 | -0.001 | 0.001 | 92.033 | -0.001 | -23.727 | 
| 18.679 | -29.782 | 24.523 | -0.000 | 90.994 | 0.000 | 
| 0.000 | 0.000 | 0.000 | -33.895 | -0.000 | 105.894 | 
| 342.267 | 112.278 | 129.050 | 0.000 | 39.420 | 0.000 | 
| 98.820 | 425.136 | 121.587 | 0.000 | -33.531 | 0.000 | 
| 86.256 | 73.323 | 215.462 | -0.000 | 18.491 | -0.000 | 
| -0.001 | 0.001 | -0.001 | 92.033 | 0.001 | -23.727 | 
| 19.476 | -14.192 | 20.656 | 0.000 | 80.812 | -0.000 | 
| -0.000 | -0.000 | -0.000 | -33.895 | 0.000 | 105.894 | 
| 428.606 | 90.315 | 129.218 | -0.000 | 52.012 | 0.000 | 
| 87.249 | 226.236 | 73.577 | -0.000 | -4.152 | 0.000 | 
| 56.076 | 23.703 | 186.660 | 0.000 | 26.149 | 0.000 | 
| 0.000 | 0.000 | 0.000 | 128.737 | -0.000 | -33.895 | 
| 18.452 | -33.531 | 15.669 | -0.000 | 132.300 | 0.000 | 
| 0.000 | 0.000 | 0.000 | -18.128 | -0.000 | 68.564 | 
| 276.756 | 16.681 | 43.036 | 0.000 | 37.752 | 0.000 | 
| 28.700 | 171.024 | 9.102 | 0.000 | -11.722 | 0.000 | 
| 86.252 | 73.313 | 215.467 | 0.000 | 18.488 | -0.000 | 
| -0.000 | -0.000 | -0.000 | 128.737 | 0.000 | -33.895 | 
| 18.679 | -29.782 | 24.523 | -0.000 | 90.992 | -0.000 | 
| -0.000 | -0.000 | -0.000 | -18.128 | 0.000 | 68.564 | 
| -121.860 | -1453.894 | -1831.972 | -1.417 | -739.206 | 0.754 | 
| 142.652 | 425.411 | 135.006 | 0.000 | 7.123 | -0.000 | 
| 152.913 | 134.793 | 489.590 | -0.000 | -24.016 | 0.000 | 
| -522.116 | -1155.811 | -1575.024 | -15.177 | -748.864 | -19.784 | 
| -45.064 | 8.508 | -24.016 | -0.000 | 154.167 | -0.000 | 
| -271.429 | -1509.276 | -1901.351 | 5.973 | -620.253 | 80.917 | 
| 500.181 | 141.664 | 144.528 | -0.000 | -11.756 | 0.000 | 
| -599.909 | -23.158 | 636.988 | 1.413 | -195.749 | -0.752 | 
| -135.475 | 239.108 | 1635.137 | 0.623 | 274.235 | -0.332 | 
| 522.194 | 1155.845 | 1575.008 | -14.571 | 748.889 | -20.121 | 
| -45.064 | 8.508 | -24.016 | -0.000 | 154.167 | 0.000 | 
| 271.412 | 1509.329 | 1901.370 | 6.861 | 620.285 | 80.434 | 
| 256.526 | 15.630 | -45.892 | -0.004 | -137.846 | 0.002 | 
| 142.652 | 425.411 | 135.006 | -0.000 | 7.123 | -0.000 | 
| 218.144 | 147.912 | 345.509 | -0.115 | -9.914 | 0.061 | 
| -27.828 | -147.641 | -177.908 | 55.936 | -50.423 | 8.757 | 
| -88.525 | -171.989 | -265.818 | -0.068 | 1.257 | 0.036 | 
| -27.028 | -150.230 | -191.001 | 5.200 | -62.166 | 80.999 | 
| 233.987 | -33.805 | 89.573 | 0.219 | -58.404 | -0.117 | 
| 18.966 | 123.915 | 81.736 | -0.004 | -43.215 | 0.002 | 
| 152.913 | 134.793 | 489.590 | 0.000 | -24.016 | -0.000 | 
| -0.000 | -0.000 | -0.000 | 138.414 | -0.000 | 11.237 | 
| -135.765 | -140.232 | -70.354 | 0.211 | 59.284 | -0.112 | 
| 26.918 | 147.639 | 187.992 | 4.705 | 58.190 | 79.991 | 
| 295.781 | 84.260 | 69.286 | -0.003 | -55.539 | 0.002 | 
| 82.506 | 149.049 | 13.562 | -0.007 | -39.412 | 0.004 | 
| 90.971 | 33.606 | 271.804 | -0.002 | -98.829 | 0.001 | 
| 0.147 | -8.714 | -14.101 | 53.746 | -3.460 | 7.069 | 
| -63.806 | -42.172 | -107.843 | -0.009 | 43.654 | 0.005 | 
| -1.838 | -13.302 | -17.819 | 5.309 | -5.192 | 79.185 | 
| 299.801 | 85.832 | 93.728 | 0.006 | -44.971 | -0.003 | 
| 97.655 | 197.560 | 64.049 | 0.009 | -13.074 | -0.005 | 
| 97.146 | 49.664 | 304.553 | 0.016 | -86.613 | -0.009 | 
| -7.190 | -8.726 | 0.773 | 64.882 | -1.745 | 6.790 | 
| -62.197 | -12.368 | -76.123 | 0.000 | 51.034 | -0.000 | 
| -7.098 | -7.144 | 1.688 | 2.619 | -2.014 | 91.617 | 
| 293.233 | 74.785 | 76.117 | 0.000 | -14.109 | 0.000 | 
| 114.268 | 249.991 | 88.531 | -0.000 | -0.913 | -0.000 | 
| 123.418 | 98.335 | 338.258 | -0.000 | -17.481 | -0.000 | 
| -6.971 | -14.201 | -2.796 | 72.494 | -0.832 | 4.722 | 
| -31.495 | 8.914 | -9.495 | -0.000 | 134.706 | -0.000 | 
| 0.000 | 0.000 | 0.000 | 10.324 | 0.000 | 136.805 | 
| 331.683 | 125.767 | 124.318 | 0.000 | -9.395 | -0.000 | 
| 126.130 | 393.342 | 118.092 | -0.000 | 8.914 | -0.000 | 
| 124.945 | 118.092 | 439.982 | -0.000 | -9.495 | -0.000 | 
| 6.971 | 14.201 | 2.796 | 72.494 | 0.832 | 4.722 | 
| -31.495 | 8.914 | -9.495 | 0.000 | 134.706 | -0.000 | 
| -0.000 | -0.000 | 0.000 | 10.324 | -0.000 | 136.805 | 
| 450.356 | 128.163 | 122.781 | -0.000 | -0.784 | 0.000 | 
| 76.677 | 208.296 | 74.439 | -0.000 | -9.717 | 0.000 | 
| 124.187 | 103.015 | 339.970 | -0.000 | -17.624 | 0.000 | 
| -0.692 | -1.412 | -0.280 | 72.644 | -0.083 | 4.742 | 
| -31.495 | 8.914 | -9.495 | 0.000 | 134.706 | 0.000 | 
| 0.000 | 0.000 | 0.000 | 10.324 | -0.000 | 136.805 | 
| 324.673 | 120.216 | 120.503 | 0.000 | -9.850 | -0.000 | 
| 116.520 | 268.860 | 97.115 | 0.000 | -0.236 | -0.000 | 
| 90.995 | 80.408 | 320.591 | 0.000 | -28.836 | -0.000 | 
| 0.692 | 1.412 | 0.280 | 72.644 | 0.083 | 4.742 | 
| -31.495 | 8.914 | -9.495 | 0.000 | 134.706 | -0.000 | 
| -0.000 | -0.000 | -0.000 | 10.324 | 0.000 | 136.805 | 
| 299.538 | 89.205 | 80.865 | -0.000 | -13.263 | 0.000 | 
| 83.866 | 199.245 | 54.796 | 0.000 | -11.220 | 0.000 | 
| 124.265 | 103.479 | 340.043 | 0.000 | -17.647 | 0.000 | 
| -0.008 | -0.051 | -0.037 | 82.977 | -0.000 | 6.560 | 
| -33.373 | 0.957 | -19.957 | -0.000 | 95.479 | 0.000 | 
| -0.007 | -0.043 | -0.031 | 7.171 | -0.000 | 95.888 | 
| 290.138 | 63.386 | 77.249 | 0.000 | -26.941 | -0.000 | 
| 116.336 | 267.282 | 96.434 | -0.000 | -0.297 | -0.000 | 
| 124.945 | 118.091 | 439.980 | 0.000 | -9.495 | -0.000 | 
| 0.008 | 0.051 | 0.037 | 82.977 | 0.000 | 6.560 | 
| -48.906 | -9.531 | -62.132 | 0.000 | 53.442 | -0.000 | 
| 0.007 | 0.043 | 0.031 | 7.171 | 0.000 | 95.888 | 
| -1132.489 | -1277.611 | -564.620 | 211.985 | -34.877 | 1075.782 | 
| -1244.350 | -1169.023 | -618.093 | 243.643 | -73.594 | 1049.667 | 
| 669.557 | -2649.865 | -95.181 | 707.652 | -396.077 | 1266.462 | 
| -1394.443 | -1468.665 | -687.888 | 269.206 | -65.916 | 1061.622 | 
| -1374.627 | -1490.048 | -677.354 | 242.419 | -35.898 | 1080.175 | 
| -7.719 | -31.019 | 10.848 | 2.228 | 35.686 | 195.183 | 
| -419.480 | 2474.720 | -106.607 | -453.694 | 300.859 | -1593.482 | 
| 194.022 | 632.014 | 189.184 | 0.257 | 6.274 | -31.839 | 
| -575.884 | 2410.001 | -156.643 | -446.798 | 330.347 | -1653.764 | 
| 1416.813 | 1536.981 | 752.880 | -144.257 | 136.755 | -1062.042 | 
| 1438.241 | 1517.127 | 764.559 | -170.572 | 167.800 | -1045.236 | 
| -590.562 | 2750.175 | 205.539 | -657.693 | 488.335 | -1181.431 | 
| 227.851 | -157.877 | 73.908 | 76.184 | 35.699 | 195.610 | 
| 194.022 | 632.015 | 189.184 | 0.257 | 6.274 | -31.839 | 
| 93.953 | -176.817 | 112.096 | 114.150 | 18.102 | 95.581 | 
| -2.723 | -34.089 | 44.573 | 180.897 | 2.855 | 1.657 | 
| -98.225 | -124.071 | -22.367 | 53.324 | 62.302 | 113.553 | 
| 84.450 | -217.752 | 22.236 | 53.807 | -6.992 | 244.186 | 
| 91.087 | 315.524 | -54.638 | -20.649 | -0.416 | -115.760 | 
| -15.643 | 501.097 | 52.165 | 3.937 | 29.493 | -145.713 | 
| -10.494 | 288.960 | 27.196 | -5.211 | 4.770 | -170.255 | 
| 131.427 | 157.676 | 95.933 | 55.775 | 41.109 | -91.858 | 
| -26.547 | 254.150 | -43.279 | -25.498 | 33.942 | -147.545 | 
| -16.792 | 283.331 | 36.130 | -64.923 | 71.912 | -18.578 | 
| 216.961 | 94.659 | 78.220 | 16.514 | 60.952 | 56.266 | 
| 84.300 | 282.891 | 63.821 | 11.227 | 8.267 | 20.499 | 
| 58.723 | 38.609 | 127.192 | 47.424 | 61.072 | -4.232 | 
| 19.176 | -27.392 | 35.213 | 107.683 | 14.888 | 7.057 | 
| 14.200 | 5.476 | 39.844 | 25.540 | 108.902 | 14.146 | 
| -1.067 | -20.246 | 1.959 | 16.920 | 29.655 | 112.908 | 
| 181.907 | 118.368 | 72.778 | 25.227 | 64.761 | 20.271 | 
| 80.567 | 337.432 | 52.139 | 2.804 | 9.865 | -10.185 | 
| 40.822 | 78.642 | 105.348 | 40.012 | 56.997 | -36.801 | 
| 8.362 | 5.199 | 40.383 | 119.448 | 19.877 | -2.276 | 
| 38.349 | 29.387 | 69.668 | 12.631 | 65.651 | 2.481 | 
| -8.264 | 25.077 | -5.981 | 8.824 | 29.583 | 84.571 | 
| 233.208 | 120.850 | 118.420 | 6.262 | 55.601 | 53.782 | 
| 129.679 | 350.999 | 106.757 | 31.502 | 17.157 | -24.056 | 
| 44.530 | 44.681 | 170.718 | 28.373 | 38.862 | -10.136 | 
| -8.468 | -23.826 | 14.275 | 169.292 | 13.415 | -3.028 | 
| 24.271 | 10.699 | 40.663 | 29.824 | 101.596 | -1.588 | 
| -14.369 | -12.559 | 6.177 | 9.853 | 18.870 | 91.032 | 
| 231.077 | 119.118 | 116.532 | 8.417 | 55.560 | 52.326 | 
| 129.782 | 351.103 | 106.236 | 33.174 | 16.915 | -25.240 | 
| 66.049 | 63.229 | 218.114 | 29.313 | 41.539 | -8.921 | 
| -8.468 | -23.825 | 14.275 | 169.292 | 13.415 | -3.028 | 
| 16.367 | 4.457 | 49.239 | 22.978 | 59.022 | 4.037 | 
| -14.429 | -11.730 | 0.897 | 13.335 | 24.286 | 92.936 | 
| 374.916 | 133.773 | 174.175 | -5.806 | 50.208 | 74.895 | 
| 89.336 | 313.761 | 81.057 | 15.386 | 21.371 | -7.665 | 
| 85.656 | 93.178 | 281.410 | 10.157 | 41.363 | 20.696 | 
| 15.808 | -7.535 | 20.124 | 107.432 | 23.501 | -0.651 | 
| 2.305 | 0.342 | 34.995 | 13.415 | 169.646 | -10.907 | 
| 2.199 | -23.852 | 27.670 | 8.585 | 21.052 | 114.403 | 
| 164.991 | 82.188 | 68.800 | 9.147 | 54.587 | 29.699 | 
| 87.734 | 282.241 | 75.287 | 26.598 | 6.222 | -11.215 | 
| 85.490 | 92.868 | 280.922 | 10.373 | 41.364 | 20.582 | 
| -5.444 | 0.588 | 11.696 | 123.005 | 26.935 | 1.187 | 
| 29.924 | 4.351 | 48.752 | 20.486 | 65.737 | 7.867 | 
| -12.229 | -1.556 | 13.152 | 2.875 | 25.635 | 100.645 | 
| 146.317 | 71.913 | 68.753 | 21.112 | 39.948 | 22.359 | 
| 83.527 | 264.210 | 53.044 | 23.196 | 12.898 | -14.324 | 
| 35.394 | 33.421 | 161.579 | 24.240 | 34.758 | -9.232 | 
| 6.933 | 3.431 | 27.372 | 94.801 | 17.339 | 8.340 | 
| 18.745 | 5.855 | 51.835 | 21.680 | 59.475 | 4.958 | 
| -15.452 | -13.261 | 2.534 | 10.978 | 18.860 | 89.422 | 
| 135.091 | 64.889 | 47.507 | 19.217 | 37.404 | 24.734 | 
| 74.485 | 257.094 | 45.864 | 23.783 | 6.705 | -11.141 | 
| 41.469 | 42.711 | 167.189 | 29.865 | 39.261 | -11.066 | 
| 15.680 | -7.585 | 19.942 | 107.555 | 23.568 | -0.727 | 
| 4.645 | -3.151 | 31.197 | 23.916 | 51.871 | 3.122 | 
| -15.496 | -13.283 | 2.470 | 11.004 | 18.879 | 89.395 | 
| 523.456 | -1505.216 | -1199.382 | -79.592 | 28.532 | 72.346 | 
| 250.864 | -1222.726 | -1191.301 | -148.961 | 8.137 | -6.224 | 
| -7276.418 | -8257.328 | -4034.729 | -87.704 | -38.445 | 81.574 | 
| -7548.279 | -8127.345 | -3552.347 | 25.870 | -43.361 | 77.859 | 
| 86.068 | -1658.560 | -1312.651 | -114.071 | 111.379 | 28.930 | 
| 86.026 | -1658.429 | -1312.547 | -114.022 | 43.311 | 130.259 | 
| 522.420 | 171.660 | 128.302 | 40.999 | 23.737 | 101.237 | 
| 78.838 | 2094.731 | 1434.075 | 79.130 | -8.044 | 6.275 | 
| 30.449 | 1774.610 | 1782.370 | 113.848 | -8.123 | 6.206 | 
| -50.780 | 1623.511 | 1312.340 | 217.301 | -8.118 | 6.253 | 
| -85.959 | 1658.651 | 1312.602 | 114.016 | 95.198 | 41.428 | 
| -0.014 | 0.010 | -0.027 | 0.021 | 40.969 | 175.459 | 
| 440.523 | -13.641 | -18.983 | 22.623 | 21.037 | 76.500 | 
| 171.779 | 521.994 | 128.269 | -40.585 | 0.030 | 0.010 | 
| 125.050 | -49.698 | 338.511 | -11.589 | 0.776 | -0.667 | 
| 40.955 | -40.700 | -0.159 | 120.978 | -0.028 | 0.014 | 
| 8.679 | -166.255 | -131.636 | -11.462 | 104.054 | 34.537 | 
| -851.641 | -1006.780 | -451.105 | 119.880 | 12.038 | 148.407 | 
| 712.524 | 528.014 | 326.499 | 52.456 | 11.144 | 46.037 | 
| 171.779 | 521.994 | 128.269 | -40.585 | 0.030 | 0.010 | 
| 107.894 | 281.611 | 601.172 | 11.190 | -0.840 | 0.581 | 
| 26.610 | 131.068 | 131.211 | 114.664 | -0.838 | 0.630 | 
| -8.559 | 166.137 | 131.421 | 11.393 | 102.453 | 35.796 | 
| -0.014 | 0.010 | -0.027 | 0.021 | 40.969 | 175.459 | 
| 87.755 | -171.991 | -27.948 | 39.465 | 13.345 | 71.434 | 
| -46.798 | 181.660 | 10.174 | -0.639 | -0.305 | 0.636 | 
| 60.942 | 52.105 | 410.393 | -2.047 | -0.010 | 0.199 | 
| -8.415 | -54.945 | -23.819 | 65.643 | -0.075 | 0.423 | 
| -41.615 | -50.615 | -23.055 | -0.035 | 49.791 | 11.893 | 
| -16.183 | -24.586 | -18.727 | -1.917 | 29.092 | 122.508 | 
| 345.249 | 116.220 | 87.918 | 10.851 | 6.130 | 68.280 | 
| 163.345 | 448.360 | 135.810 | -33.186 | -0.045 | 0.098 | 
| 104.928 | 114.582 | 448.048 | -5.673 | 0.434 | -0.654 | 
| 33.420 | -15.168 | 14.829 | 102.029 | -0.121 | 0.075 | 
| 65.666 | 73.890 | 35.606 | -5.126 | 54.785 | 9.190 | 
| -0.836 | 16.546 | 13.033 | 1.148 | 35.164 | 136.729 | 
| -506.468 | -233.210 | -502.516 | -7.204 | -44.709 | 274.933 | 
| -501.927 | 0.081 | 19.644 | -253.299 | 18.777 | 201.877 | 
| 142.285 | 156.359 | 454.781 | 10.399 | -25.435 | 1.977 | 
| -645.935 | -132.213 | -53.581 | -228.864 | 18.132 | 191.446 | 
| -693.814 | -146.558 | -83.319 | -286.546 | 81.959 | 202.067 | 
| -256.890 | 221.673 | -2178.128 | 874.341 | 48.608 | -481.598 | 
| 455.418 | 130.950 | 144.081 | 12.311 | 2.566 | 29.069 | 
| 826.661 | 282.421 | 167.113 | 310.005 | -18.444 | -199.626 | 
| 520.921 | -183.484 | 2494.176 | -761.685 | -27.592 | 581.059 | 
| 595.942 | 396.214 | 1126.182 | -175.043 | 324.520 | 121.194 | 
| 432.433 | -167.543 | 1750.635 | -232.285 | -135.088 | 464.465 | 
| 855.783 | 295.544 | 549.597 | 5.623 | 77.572 | -150.703 | 
| 173.333 | 36.814 | -27.519 | 25.564 | -44.710 | 68.813 | 
| 99.277 | 218.483 | 109.478 | 13.209 | 0.655 | 27.994 | 
| 92.762 | 86.310 | 238.192 | -5.421 | -9.595 | 8.123 | 
| -15.058 | 6.354 | -140.497 | 85.119 | 1.025 | -36.359 | 
| -58.641 | -29.044 | -237.295 | 46.780 | 25.634 | -68.729 | 
| 14.526 | 38.918 | -80.755 | 42.514 | 2.138 | 35.488 | 
| 322.200 | 68.102 | 114.929 | 18.784 | -3.244 | 30.021 | 
| 82.306 | 130.203 | 193.339 | 8.956 | -11.960 | 75.126 | 
| 187.097 | 119.344 | 292.647 | 33.582 | -15.247 | -18.500 | 
| 36.060 | -11.250 | 259.797 | -11.112 | -1.422 | 68.916 | 
| -2.376 | -3.187 | -25.435 | 3.922 | 143.938 | 11.336 | 
| 13.426 | 34.575 | -7.496 | -1.740 | 64.889 | 133.523 | 
| 284.361 | 80.982 | 105.834 | 6.715 | -17.130 | 50.752 | 
| 73.478 | 194.562 | 59.143 | 33.337 | -7.716 | 32.858 | 
| 117.317 | 69.031 | 161.412 | 50.446 | -29.296 | -0.763 | 
| -0.079 | 5.127 | 18.663 | 67.522 | 10.201 | 2.311 | 
| -28.584 | -26.252 | -45.578 | 12.520 | 45.254 | -11.067 | 
| 26.415 | 19.976 | -24.318 | -1.899 | 33.170 | 87.728 | 
| 264.312 | 62.374 | 126.748 | -2.414 | -29.592 | 48.493 | 
| 68.214 | 180.781 | 89.633 | 21.189 | -15.916 | 31.205 | 
| 106.236 | 58.281 | 211.909 | 25.117 | -25.399 | 11.680 | 
| 4.805 | 1.824 | 33.631 | 56.263 | 10.673 | 9.356 | 
| -20.018 | -9.664 | -17.985 | 16.023 | 61.721 | 0.546 | 
| 35.447 | 16.254 | 12.942 | 4.875 | 18.500 | 74.895 | 
| 507.191 | 193.044 | 183.257 | -0.000 | -51.904 | -0.000 | 
| -560.269 | -648.197 | 68.506 | 0.000 | 262.507 | -0.000 | 
| -543.421 | -809.310 | 311.120 | 0.000 | 293.585 | -0.000 | 
| -1084.751 | -296.915 | -15.746 | 129.004 | 102.222 | 2.654 | 
| -52.478 | -1.508 | 51.972 | 0.000 | 186.152 | -0.000 | 
| -260.360 | -1625.835 | 365.791 | -4.943 | 868.016 | 102.842 | 
| 1052.629 | 1048.649 | 179.898 | 0.000 | -293.156 | 0.000 | 
| 190.784 | 462.889 | 187.584 | -0.000 | -1.646 | 0.000 | 
| 1276.228 | 510.211 | 387.020 | 0.000 | -77.627 | 0.000 | 
| 1084.751 | 296.915 | 15.746 | 129.004 | -102.222 | 2.654 | 
| -52.478 | -1.508 | 51.972 | -0.000 | 186.152 | 0.000 | 
| 260.360 | 1625.835 | -365.791 | -4.944 | -868.016 | 102.842 | 
| 292.926 | 185.815 | 189.133 | 0.000 | -19.203 | -0.000 | 
| 49.423 | 185.448 | 108.181 | -0.000 | 19.661 | -0.000 | 
| 183.371 | 190.203 | 499.654 | 0.000 | 51.972 | -0.000 | 
| -107.465 | -29.415 | -1.560 | 129.587 | 10.127 | 2.616 | 
| -52.478 | -1.508 | 51.972 | 0.000 | 186.152 | -0.000 | 
| -107.263 | -29.360 | -1.557 | 2.471 | 10.108 | 127.414 | 
| 435.181 | 217.455 | 143.813 | 0.000 | -48.186 | 0.000 | 
| 313.682 | 342.729 | 210.870 | -0.000 | -7.147 | 0.000 | 
| 18.732 | 169.165 | 207.938 | -0.000 | -29.867 | 0.000 | 
| 107.465 | 29.415 | 1.560 | 129.587 | -10.127 | 2.616 | 
| 81.402 | 32.463 | 26.253 | -0.000 | 114.951 | 0.000 | 
| 70.022 | 90.253 | 4.119 | -1.098 | -26.348 | 112.495 | 
| 331.260 | 101.892 | 117.668 | 0.000 | -29.183 | -0.000 | 
| 98.500 | 163.808 | 91.599 | -0.000 | 1.192 | -0.000 | 
| 112.246 | 88.158 | 314.727 | -0.000 | 32.586 | -0.000 | 
| -9.257 | -2.534 | -0.134 | 138.182 | 0.872 | 2.063 | 
| -36.531 | -6.553 | 28.009 | 0.000 | 128.466 | -0.000 | 
| -8.072 | -6.094 | -0.287 | 0.290 | 1.840 | 122.947 | 
| 507.189 | 193.044 | 183.256 | -0.000 | -51.904 | 0.000 | 
| 216.130 | 343.126 | 205.664 | -0.000 | 0.974 | 0.000 | 
| 52.662 | 46.716 | 241.778 | -0.000 | 30.346 | 0.000 | 
| 9.257 | 2.534 | 0.134 | 138.182 | -0.872 | 2.063 | 
| -21.197 | 4.767 | 28.769 | 0.000 | 133.103 | 0.000 | 
| 8.072 | 6.094 | 0.287 | 0.290 | -1.840 | 122.947 | 
| 463.111 | 172.732 | 167.210 | 0.000 | -48.096 | 0.000 | 
| 172.733 | 444.046 | 171.801 | -0.000 | -0.331 | -0.000 | 
| 167.046 | 171.801 | 462.213 | 0.000 | 50.649 | -0.000 | 
| 0.000 | 0.000 | 0.000 | 180.320 | 0.000 | -0.339 | 
| -48.664 | -0.331 | 50.649 | 0.000 | 174.711 | -0.000 | 
| -0.296 | -0.064 | 0.044 | 1.368 | 0.042 | 135.669 | 
| 463.111 | 172.732 | 167.210 | 0.000 | -48.096 | 0.000 | 
| 123.332 | 236.700 | 117.815 | -0.000 | -3.082 | -0.000 | 
| 169.562 | 184.713 | 377.553 | -0.000 | 31.344 | 0.000 | 
| 0.000 | -0.000 | -0.000 | 180.320 | -0.000 | -0.339 | 
| -48.664 | -0.331 | 50.649 | -0.000 | 174.711 | 0.000 | 
| 0.296 | 0.064 | -0.044 | 1.368 | -0.042 | 135.669 | 
| 382.886 | 185.860 | 169.388 | 0.000 | -30.148 | -0.000 | 
| 172.733 | 444.046 | 171.801 | 0.000 | -0.331 | -0.000 | 
| 169.257 | 184.666 | 377.468 | 0.000 | 31.358 | -0.000 | 
| -0.030 | -0.007 | 0.005 | 134.689 | 0.004 | 1.405 | 
| -29.265 | -1.129 | 30.614 | 0.000 | 124.524 | -0.000 | 
| -0.030 | -0.006 | 0.004 | 1.368 | 0.004 | 135.669 | 
| 463.111 | 172.732 | 167.210 | -0.000 | -48.096 | -0.000 | 
| 122.801 | 235.944 | 117.548 | -0.000 | -3.813 | -0.000 | 
| 140.053 | 139.407 | 338.993 | -0.000 | 26.153 | 0.000 | 
| 0.030 | 0.007 | -0.005 | 134.689 | -0.004 | 1.405 | 
| -29.260 | 1.297 | 30.001 | -0.000 | 130.957 | 0.000 | 
| 0.030 | 0.006 | -0.004 | 1.368 | -0.004 | 135.669 | 
| 349.641 | 145.344 | 141.678 | 0.000 | -24.783 | -0.000 | 
| 172.734 | 444.048 | 171.802 | -0.000 | -0.331 | -0.000 | 
| 140.001 | 139.278 | 339.610 | 0.000 | 26.239 | -0.000 | 
| -0.007 | -0.008 | -0.001 | 107.569 | -0.007 | 1.682 | 
| -29.239 | -1.099 | 30.617 | 0.000 | 124.575 | -0.000 | 
| 0.000 | 0.000 | 0.000 | -0.339 | -0.000 | 180.886 | 
| 319.116 | 92.892 | 93.646 | -0.000 | -40.590 | 0.000 | 
| 88.135 | 190.429 | 83.253 | -0.000 | -2.797 | 0.000 | 
| 109.304 | 94.710 | 313.040 | -0.000 | 32.788 | -0.000 | 
| 0.007 | 0.008 | 0.001 | 107.569 | 0.007 | 1.682 | 
| -29.234 | -1.093 | 30.619 | -0.000 | 124.586 | 0.000 | 
| -0.000 | -0.000 | -0.000 | -0.339 | 0.000 | 180.886 | 
| 6403.224 | 9046.591 | 7476.373 | 0.001 | 0.001 | -0.001 | 
| 151.767 | 300.400 | 150.530 | -0.000 | 0.000 | 0.000 | 
| 3904.183 | 13174.293 | 5132.454 | 0.002 | 0.001 | -0.002 | 
| 3918.357 | 13237.945 | 5077.725 | 53.404 | 0.000 | -0.000 | 
| 1488.493 | 2710.262 | 2755.671 | 0.000 | 87.827 | -0.000 | 
| 4156.643 | 13230.601 | 5422.098 | 0.001 | -0.012 | -352.097 | 
| -3888.924 | -13070.772 | -5496.191 | -0.024 | -0.042 | 0.028 | 
| -3944.965 | -13157.049 | -5092.148 | -0.003 | -0.003 | 0.003 | 
| -3934.029 | -13045.052 | -5484.744 | -0.024 | -0.042 | 0.028 | 
| -6365.840 | -9079.273 | -7506.988 | 72.265 | -0.001 | 0.001 | 
| -1488.493 | -2710.262 | -2755.671 | -0.000 | 87.827 | 0.000 | 
| -3933.297 | -13263.571 | -5059.555 | -0.001 | -0.001 | 45.391 | 
| 261.545 | 311.217 | 239.919 | 0.000 | 0.000 | -0.000 | 
| 155.373 | 422.914 | 240.870 | 0.000 | 0.000 | -0.000 | 
| 410.812 | 1295.172 | 611.172 | 0.002 | 0.004 | -0.003 | 
| 5.246 | 165.554 | 93.604 | 123.513 | 0.000 | -0.000 | 
| 0.000 | 0.000 | 0.000 | -0.000 | 166.238 | 0.000 | 
| 5.246 | 165.542 | 93.597 | 0.000 | 0.000 | 123.621 | 
| 248.920 | -20.104 | 52.524 | -0.000 | -0.000 | 0.000 | 
| -402.171 | -1234.549 | -518.519 | -0.000 | 0.000 | 0.000 | 
| 144.079 | -21.061 | 164.532 | -0.000 | -0.000 | 0.000 | 
| -5.246 | -165.554 | -93.604 | 123.513 | -0.000 | 0.000 | 
| -0.000 | -0.000 | -0.000 | 0.000 | 166.238 | -0.000 | 
| -5.246 | -165.542 | -93.597 | -0.000 | -0.000 | 123.621 | 
| 176.185 | 104.371 | 93.933 | 0.000 | 0.000 | -0.000 | 
| 121.537 | 247.201 | 133.497 | 0.000 | -0.000 | -0.000 | 
| 73.030 | 91.694 | 174.644 | 0.000 | 0.000 | -0.000 | 
| 37.926 | 123.725 | 47.724 | 47.331 | 0.000 | -0.000 | 
| 45.717 | 126.911 | 59.362 | 0.000 | 51.094 | -0.000 | 
| 186.109 | 213.905 | 186.983 | 0.000 | -0.000 | 84.072 | 
| -14.744 | -164.712 | -148.695 | -0.000 | 0.000 | 0.000 | 
| -107.222 | -33.791 | -115.344 | -0.000 | -0.000 | 0.000 | 
| -107.765 | -130.642 | -15.887 | -0.000 | -0.000 | 0.000 | 
| -37.926 | -123.725 | -47.724 | 47.331 | -0.000 | 0.000 | 
| -45.717 | -126.911 | -59.362 | -0.000 | 51.094 | 0.000 | 
| -186.109 | -213.905 | -186.983 | -0.000 | 0.000 | 84.072 | 
| 409.494 | 136.438 | 182.803 | -0.000 | 3.842 | -0.000 | 
| 451.593 | 318.754 | 4049.512 | 1.982 | 6.087 | -0.720 | 
| 183.899 | 183.899 | 440.002 | -0.000 | -0.000 | 0.000 | 
| -0.000 | 0.000 | 0.000 | 185.103 | -0.000 | -3.842 | 
| 1743.457 | 1659.386 | 4944.134 | -3.579 | 53.532 | 1.300 | 
| 0.000 | -0.000 | 0.000 | -3.842 | -0.000 | 136.528 | 
| 409.493 | 136.438 | 182.803 | 0.000 | 3.842 | 0.000 | 
| 136.438 | 409.493 | 182.803 | 0.000 | -3.842 | -0.000 | 
| 183.899 | 183.899 | 440.002 | 0.000 | 0.000 | 0.000 | 
| 0.000 | 0.000 | -0.000 | 185.103 | 0.000 | -3.842 | 
| 272.110 | 360.343 | -1195.222 | 18.672 | 10.618 | -6.782 | 
| 0.000 | 0.000 | -0.000 | -3.842 | 0.000 | 136.528 | 
| 409.494 | 136.438 | 182.803 | -0.000 | 3.842 | -0.000 | 
| 40.391 | 49.368 | 282.238 | 0.678 | -17.457 | -0.246 | 
| -7.538 | -8.133 | 400.003 | 0.262 | 0.820 | -0.095 | 
| -0.000 | 0.000 | 0.000 | 185.103 | -0.000 | -3.842 | 
| 3.842 | -3.842 | 0.000 | -0.000 | 185.103 | -0.000 | 
| 0.000 | 0.000 | 0.000 | -3.842 | 0.000 | 136.528 | 
| -132.655 | -67.473 | -420.534 | -0.225 | 1.948 | 0.082 | 
| -67.025 | -132.938 | -420.106 | -0.202 | -2.464 | 0.073 | 
| -98.497 | -97.645 | -275.221 | -0.375 | -1.173 | 0.136 | 
| -0.000 | -0.000 | -0.000 | 185.103 | 0.000 | -3.842 | 
| -43.396 | -48.241 | -368.939 | -0.237 | -30.416 | 0.086 | 
| -0.000 | -0.000 | -0.000 | -3.842 | 0.000 | 136.528 | 
| 234.737 | 79.608 | 105.905 | 0.013 | 5.332 | -0.005 | 
| 84.735 | 218.955 | 97.262 | -0.070 | 2.235 | 0.025 | 
| 129.843 | 130.070 | 343.196 | -0.100 | -0.312 | 0.036 | 
| -1.031 | -0.902 | 3.653 | 113.873 | -0.178 | 17.318 | 
| -7.693 | 8.794 | 10.807 | -0.026 | 94.291 | 0.010 | 
| 8.676 | 8.838 | 31.284 | -8.837 | -0.223 | 45.652 | 
| 201.336 | 71.692 | 49.154 | 0.081 | -1.719 | -0.029 | 
| 70.047 | 219.394 | 71.125 | -0.020 | -7.517 | 0.007 | 
| 124.488 | 124.221 | 310.938 | 0.118 | 0.368 | -0.043 | 
| 1.033 | 0.903 | -3.658 | 113.885 | 0.179 | 17.307 | 
| -16.324 | 18.263 | -3.663 | 0.057 | 113.902 | -0.021 | 
| -8.667 | -8.827 | -31.265 | -8.812 | 0.221 | 45.657 | 
| 374.656 | 117.901 | 152.285 | -0.000 | 4.599 | 0.000 | 
| 117.901 | 374.656 | 152.285 | -0.000 | -4.599 | 0.000 | 
| 152.285 | 152.286 | 390.971 | -0.000 | 0.000 | 0.000 | 
| -0.001 | -0.001 | 0.013 | 105.368 | -0.000 | 14.142 | 
| 2.797 | -2.781 | 0.042 | -0.001 | 86.248 | 0.000 | 
| -0.000 | 0.000 | -0.000 | -4.599 | -0.000 | 128.377 | 
| 374.657 | 117.901 | 152.286 | -0.000 | 4.600 | -0.000 | 
| 117.902 | 374.656 | 152.286 | -0.000 | -4.599 | -0.000 | 
| 99.811 | 99.811 | 297.853 | -0.000 | 0.001 | -0.000 | 
| 0.001 | 0.001 | -0.012 | 105.368 | 0.001 | 14.142 | 
| -14.141 | 14.143 | -0.012 | -0.000 | 105.367 | -0.000 | 
| 0.000 | -0.000 | 0.000 | -4.599 | 0.000 | 128.377 | 
| 262.904 | 101.227 | 114.389 | -0.000 | -20.161 | -0.000 | 
| 101.227 | 262.905 | 114.389 | 0.000 | 20.160 | 0.000 | 
| 152.286 | 152.286 | 390.971 | -0.000 | -0.000 | 0.000 | 
| -0.000 | 0.000 | 0.000 | 162.230 | -0.000 | -4.599 | 
| -14.142 | 14.142 | 0.001 | 0.000 | 105.367 | 0.000 | 
| -0.000 | -0.000 | 0.001 | 15.806 | -0.000 | 89.200 | 
| 374.656 | 117.901 | 152.286 | 0.000 | 4.599 | -0.000 | 
| 117.901 | 374.656 | 152.286 | -0.000 | -4.599 | 0.000 | 
| 152.286 | 152.286 | 390.971 | 0.000 | 0.000 | -0.000 | 
| -0.000 | -0.000 | -0.000 | 162.231 | 0.000 | -4.599 | 
| -4.517 | 4.517 | -0.003 | -0.000 | 92.339 | 0.000 | 
| 0.000 | 0.000 | -0.001 | 15.806 | 0.000 | 89.200 | 
| 262.885 | 101.225 | 114.381 | 0.000 | -20.165 | 0.000 | 
| 63.345 | 222.880 | 73.413 | -0.000 | -6.323 | 0.000 | 
| 152.286 | 152.286 | 390.972 | 0.000 | -0.000 | -0.000 | 
| 0.000 | 0.000 | 0.000 | 162.231 | -0.000 | -4.599 | 
| -14.095 | 14.095 | 0.000 | 0.000 | 105.510 | -0.000 | 
| -0.000 | 0.000 | 0.000 | 15.806 | 0.000 | 89.200 | 
| 262.927 | 101.230 | 114.394 | -0.000 | -20.155 | 0.000 | 
| 101.230 | 262.924 | 114.393 | -0.000 | 20.156 | 0.000 | 
| 99.816 | 99.816 | 297.891 | -0.000 | 0.000 | 0.000 | 
| -0.000 | -0.000 | -0.000 | 162.231 | 0.000 | -4.599 | 
| -4.575 | 4.575 | -0.000 | 0.000 | 92.163 | -0.000 | 
| 0.000 | -0.000 | -0.000 | 15.806 | -0.000 | 89.200 | 
| 406.544 | 865.358 | 339.245 | 357.631 | -307.797 | -321.462 | 
| 228.295 | 980.382 | 329.934 | 388.973 | -346.576 | -350.535 | 
| 141.484 | 588.941 | 299.049 | 404.906 | -119.987 | -66.498 | 
| 21.772 | 352.704 | 267.552 | 74.766 | -535.649 | -31.707 | 
| 170.899 | 802.587 | 281.520 | 352.621 | -296.099 | -323.234 | 
| 19.226 | 492.888 | 10.872 | 394.480 | -81.396 | 33.945 | 
| 726.512 | 434.461 | -30.195 | 222.895 | 1287.239 | -14.323 | 
| 588.436 | 519.034 | 25.326 | 212.343 | 1253.510 | -58.301 | 
| -80.798 | -734.320 | -55.102 | -344.785 | 361.926 | 310.269 | 
| -25.795 | -476.740 | 4.149 | -314.259 | 128.576 | 56.498 | 
| -133.465 | -777.381 | -249.141 | -348.367 | 400.921 | 343.722 | 
| -21.186 | -463.869 | -8.770 | -394.807 | 184.218 | 158.160 | 
| 182.922 | -60.610 | -0.393 | 90.000 | -81.945 | 3.509 | 
| 1.303 | 171.133 | 57.595 | 36.261 | -45.543 | -9.347 | 
| 123.852 | 161.169 | 293.239 | 52.274 | -1.507 | -11.430 | 
| 23.754 | 66.857 | 38.554 | 45.730 | -50.300 | -1.451 | 
| 9.625 | 56.236 | 12.459 | 38.104 | 60.948 | 5.134 | 
| 18.965 | 80.662 | 52.893 | 11.094 | -8.156 | 61.467 | 
| 327.490 | 77.503 | 123.997 | -50.409 | 54.243 | 24.629 | 
| 145.847 | 365.741 | 133.960 | 38.192 | -7.684 | 16.104 | 
| 134.058 | 120.653 | 407.957 | 23.412 | 9.435 | 0.657 | 
| -7.490 | -49.150 | 13.626 | 42.918 | 9.986 | 0.954 | 
| 48.472 | 33.683 | 57.838 | -0.961 | 117.605 | 27.593 | 
| 136.227 | 157.779 | 83.552 | -52.820 | 134.574 | 94.459 | 
| 239.621 | 48.732 | 56.715 | 11.677 | 46.668 | 10.524 | 
| 47.306 | 170.063 | 67.660 | 41.557 | 1.697 | -2.442 | 
| 39.738 | 64.335 | 173.185 | 23.627 | 12.530 | -18.541 | 
| 18.631 | 13.046 | 18.521 | 52.173 | -5.144 | -5.629 | 
| 23.611 | 13.354 | 18.288 | 0.163 | 47.499 | 15.919 | 
| 8.384 | 3.041 | -11.166 | -3.778 | 37.700 | 52.628 | 
| 233.134 | 45.459 | 46.340 | 14.070 | 50.737 | 19.139 | 
| 83.988 | 197.887 | 67.357 | 32.992 | 15.309 | 5.811 | 
| 34.870 | 72.839 | 150.787 | 14.228 | 22.723 | 0.944 | 
| 19.432 | 14.887 | 21.758 | 38.142 | 1.338 | 0.364 | 
| 13.899 | 3.599 | 12.963 | -1.754 | 69.900 | 10.854 | 
| 27.014 | -1.934 | 8.651 | -2.947 | 37.738 | 51.196 | 
| 500.028 | 153.877 | 172.204 | 16.177 | -51.819 | -21.782 | 
| 119.161 | 1039.771 | 44.826 | -428.481 | -103.981 | 0.456 | 
| 355.958 | 1572.231 | 439.778 | -1187.550 | 185.138 | -35.197 | 
| 46.292 | 1063.280 | 179.792 | -553.417 | -89.698 | 33.847 | 
| 111.727 | 895.864 | 34.379 | -448.314 | -80.777 | 1.393 | 
| -172.454 | 845.674 | -516.823 | -659.032 | -304.531 | 266.798 | 
| 229.244 | -751.728 | 51.681 | 877.787 | -12.505 | 16.821 | 
| -49.672 | -639.288 | 61.520 | 424.857 | 221.502 | 8.447 | 
| 322.090 | -769.484 | 892.355 | 703.387 | 299.307 | -183.531 | 
| 16.565 | -38.814 | 14.542 | 157.427 | 2.149 | 8.305 | 
| 182.466 | -822.738 | 533.960 | 682.543 | 387.574 | -176.976 | 
| -96.603 | -852.614 | 12.170 | 449.665 | 140.170 | 58.847 | 
| 297.676 | 164.273 | 67.496 | -46.574 | -3.884 | -24.905 | 
| 82.717 | 308.273 | 55.716 | -72.864 | 18.354 | -8.169 | 
| 113.879 | 125.409 | 292.365 | -8.235 | 32.723 | 3.816 | 
| 9.979 | 51.722 | -38.921 | 18.018 | -27.599 | 41.062 | 
| 2.068 | 11.891 | 15.008 | 2.149 | 181.184 | 12.247 | 
| -0.078 | 68.370 | -1.251 | -27.993 | -43.456 | 63.064 | 
| 335.598 | 55.619 | 204.839 | 88.177 | 15.484 | -37.124 | 
| 152.044 | 228.389 | 158.112 | 21.538 | 56.081 | -33.559 | 
| 59.918 | -27.641 | 320.506 | 73.231 | 71.241 | 5.130 | 
| 17.664 | -84.057 | 39.287 | 115.202 | 9.550 | 6.703 | 
| 14.465 | -23.525 | 51.288 | 19.717 | 104.269 | 3.973 | 
| -30.970 | -99.367 | -17.459 | 102.156 | -19.083 | 63.110 | 
| 280.801 | 71.982 | 67.404 | 12.386 | 3.794 | -26.275 | 
| 62.205 | 220.451 | 47.323 | -15.427 | 30.532 | -8.464 | 
| 77.272 | 64.805 | 279.128 | 24.112 | 61.773 | 5.434 | 
| 31.915 | 6.668 | 30.573 | 47.016 | -9.859 | 13.731 | 
| 42.929 | 35.238 | 56.472 | -11.420 | 92.783 | 10.615 | 
| -16.576 | -13.221 | -15.001 | 16.922 | -20.297 | 64.773 | 
| 273.354 | 47.888 | 61.091 | 28.837 | 10.612 | -24.482 | 
| 52.776 | 187.543 | 40.342 | 7.884 | 30.309 | -5.745 | 
| 76.011 | 50.112 | 286.369 | 39.817 | 56.677 | -0.923 | 
| 25.089 | -14.999 | 25.049 | 64.946 | -4.924 | 14.181 | 
| 24.290 | 31.603 | 39.395 | -2.949 | 111.771 | 4.693 | 
| -33.310 | -28.314 | -15.258 | 19.945 | -15.865 | 53.485 | 
| 302.042 | 72.496 | 80.832 | 19.235 | 3.386 | -23.147 | 
| 132.841 | 421.627 | 129.974 | -81.829 | 10.243 | -35.988 | 
| 133.263 | 100.032 | 361.775 | 4.476 | 19.991 | 10.172 | 
| 17.841 | -8.712 | 7.388 | 85.652 | -2.459 | 20.715 | 
| 8.014 | 11.314 | 15.103 | 3.142 | 160.972 | 9.553 | 
| -22.473 | -26.097 | 4.528 | 24.417 | -29.420 | 98.246 | 
| 457.597 | 136.347 | 145.596 | 10.881 | -37.692 | -23.533 | 
| 132.841 | 421.627 | 129.974 | -81.829 | 10.243 | -35.988 | 
| 150.161 | 134.811 | 478.341 | 14.200 | 15.103 | 4.630 | 
| 15.800 | -10.574 | 5.388 | 87.580 | -1.757 | 20.401 | 
| 28.716 | 34.124 | 38.002 | -4.923 | 98.947 | 4.121 | 
| -25.132 | -26.857 | 1.808 | 24.337 | -28.262 | 96.820 | 
| 457.598 | 136.347 | 145.596 | 10.881 | -37.692 | -23.533 | 
| 53.335 | 200.909 | 33.534 | -9.951 | 32.525 | -22.055 | 
| 85.841 | 64.676 | 318.847 | 21.953 | 41.406 | 7.481 | 
| 26.515 | 5.746 | 32.323 | 57.831 | -7.575 | 15.055 | 
| 8.014 | 11.314 | 15.103 | 3.142 | 160.972 | 9.553 | 
| -12.572 | -36.969 | -0.515 | 7.363 | -45.283 | 145.649 | 
| 299.849 | 70.277 | 77.617 | 20.229 | 4.108 | -23.547 | 
| 121.182 | 284.897 | 100.493 | -31.456 | 27.081 | -25.708 | 
| 85.318 | 64.230 | 318.117 | 22.178 | 41.587 | 7.396 | 
| 26.030 | 5.279 | 31.517 | 58.115 | -7.376 | 14.896 | 
| 26.007 | 27.022 | 20.078 | -3.538 | 109.854 | 9.166 | 
| -12.572 | -36.969 | -0.515 | 7.363 | -45.283 | 145.649 | 
| 262.524 | 52.239 | 43.962 | 17.023 | 15.130 | -30.482 | 
| 51.890 | 195.745 | 28.637 | -5.720 | 30.622 | -18.922 | 
| 55.037 | 45.666 | 264.029 | 36.478 | 61.916 | 2.807 | 
| 18.791 | 19.461 | 38.850 | 40.223 | 3.091 | 11.285 | 
| 26.149 | 27.097 | 20.244 | -3.505 | 109.785 | 9.152 | 
| -36.174 | -23.200 | -18.704 | 20.726 | -17.022 | 67.263 | 
| 259.054 | 50.906 | 34.452 | 14.559 | 24.406 | -25.197 | 
| 53.078 | 200.675 | 33.076 | -9.740 | 32.665 | -22.135 | 
| 54.997 | 45.616 | 263.961 | 36.522 | 61.935 | 2.793 | 
| 20.168 | 5.147 | 22.299 | 69.882 | -6.913 | 16.081 | 
| 47.510 | 25.379 | 70.223 | 3.556 | 74.674 | 7.877 | 
| -27.466 | -18.717 | -8.553 | 16.412 | -27.537 | 79.223 | 
| 352.569 | 121.556 | 114.808 | -2.153 | 32.434 | 29.650 | 
| 157.244 | 201.291 | -32.754 | 165.783 | 25.363 | -177.863 | 
| -61.720 | 154.020 | -227.935 | 15.062 | 266.095 | -308.557 | 
| 33.695 | -59.137 | -160.330 | 238.631 | 20.271 | -180.249 | 
| -590.627 | -474.206 | -208.723 | -4.840 | 231.372 | -250.691 | 
| 47.501 | -36.489 | -180.642 | 142.900 | 66.713 | -100.344 | 
| 301.738 | -4.704 | 441.512 | -56.626 | -214.714 | 336.834 | 
| 121.181 | 313.823 | 140.777 | 33.090 | -5.306 | 5.289 | 
| 116.178 | 133.646 | 327.233 | 17.019 | 3.906 | -12.423 | 
| 1.044 | -25.700 | 17.019 | 137.061 | -12.725 | -0.548 | 
| -24.596 | 37.541 | 172.527 | -156.967 | 47.742 | 182.545 | 
| 144.047 | -70.697 | 390.413 | -27.578 | -221.045 | 374.966 | 
| 352.569 | 121.556 | 114.808 | -2.153 | 32.434 | 29.650 | 
| 121.181 | 313.823 | 140.777 | 33.090 | -5.306 | 5.289 | 
| 116.178 | 133.646 | 327.233 | 17.019 | 3.906 | -12.423 | 
| 3.994 | -24.645 | -6.086 | 105.475 | -6.479 | -18.878 | 
| -5.474 | -9.345 | 10.356 | 12.006 | 78.950 | -25.217 | 
| 11.375 | 5.444 | -10.975 | -5.663 | 52.739 | 124.194 | 
| 269.556 | 127.846 | 136.087 | -16.494 | 24.226 | 42.216 | 
| 121.181 | 313.823 | 140.777 | 33.090 | -5.306 | 5.289 | 
| 116.178 | 133.646 | 327.233 | 17.019 | 3.906 | -12.423 | 
| 1.044 | -25.700 | 17.019 | 137.061 | -12.725 | -0.547 | 
| 5.065 | 3.067 | 18.190 | -24.075 | 75.156 | 21.037 | 
| 11.375 | 5.444 | -10.975 | -5.663 | 52.739 | 124.194 | 
| 222.826 | 95.519 | 93.061 | -8.396 | 19.881 | 11.325 | 
| 67.537 | 185.239 | 53.829 | 4.851 | 15.439 | 9.993 | 
| 90.993 | 77.527 | 199.194 | -6.739 | 12.277 | 1.637 | 
| -19.679 | -31.022 | -25.200 | 63.786 | 4.761 | 2.789 | 
| 7.952 | -0.926 | 0.362 | -8.885 | 85.337 | 1.528 | 
| 8.049 | 14.693 | 12.849 | 6.712 | 31.135 | 69.795 | 
| 147.791 | 71.981 | 64.728 | -21.543 | 22.592 | 16.061 | 
| 61.309 | 160.532 | 40.088 | 4.007 | 18.709 | 17.111 | 
| 93.138 | 83.519 | 205.539 | -8.803 | 11.284 | 6.371 | 
| -19.139 | -12.248 | -32.705 | 36.371 | 10.638 | 13.589 | 
| 7.405 | -0.301 | 3.164 | -11.300 | 84.955 | 4.446 | 
| 11.375 | 5.444 | -10.975 | -5.664 | 52.739 | 124.194 | 
| 171.661 | 171.995 | 250.884 | 0.000 | 0.000 | -0.000 | 
| 237.495 | 172.455 | 289.150 | 0.000 | 0.000 | -0.000 | 
| 69.435 | 69.435 | 495.058 | 0.000 | 0.000 | -0.000 | 
| -39.668 | -39.668 | 24.555 | 35.283 | 0.000 | -0.000 | 
| -39.668 | -39.668 | 24.555 | 0.000 | 35.283 | 0.000 | 
| -64.411 | -64.411 | -165.371 | 0.000 | 0.000 | 64.090 | 
| 194.742 | 156.695 | 254.407 | -0.000 | -0.000 | -0.000 | 
| 156.695 | 194.742 | 254.407 | -0.000 | -0.000 | 0.000 | 
| 74.408 | 74.407 | 288.352 | -0.000 | -0.000 | 0.000 | 
| 39.668 | 39.668 | -24.555 | 35.283 | -0.000 | 0.000 | 
| 39.668 | 39.668 | -24.555 | -0.000 | 35.283 | 0.000 | 
| 0.000 | -0.000 | -0.000 | -0.000 | -0.000 | 165.077 | 
| 199.820 | 118.813 | 84.368 | 0.000 | 0.000 | -0.000 | 
| 118.813 | 199.821 | 84.368 | 0.000 | 0.000 | -0.000 | 
| 86.350 | 86.350 | 566.134 | 0.000 | 0.000 | -0.000 | 
| -3.097 | -3.097 | -7.952 | 73.955 | 0.000 | -0.000 | 
| -3.097 | -3.097 | -7.952 | 0.000 | 73.955 | -0.000 | 
| -5.826 | -5.826 | -14.958 | 0.000 | 0.000 | 73.732 | 
| 309.019 | 178.161 | 152.293 | -0.000 | -0.000 | -0.000 | 
| 178.161 | 309.019 | 152.293 | -0.000 | -0.000 | 0.000 | 
| 78.581 | 78.581 | 545.350 | -0.000 | -0.000 | 0.000 | 
| 3.097 | 3.097 | 7.952 | 73.955 | -0.000 | 0.000 | 
| 3.097 | 3.097 | 7.952 | -0.000 | 73.955 | 0.000 | 
| 5.826 | 5.826 | 14.958 | -0.000 | -0.000 | 73.732 | 
| 140.249 | 109.072 | 100.434 | 0.000 | 0.000 | -0.000 | 
| 109.071 | 140.251 | 100.433 | 0.000 | 0.000 | -0.000 | 
| 110.619 | 110.619 | 603.996 | 0.000 | 0.000 | -0.000 | 
| -0.305 | -0.305 | -0.784 | 75.043 | 0.000 | 0.000 | 
| -0.305 | -0.305 | -0.784 | 0.000 | 75.043 | -0.000 | 
| -0.425 | -0.425 | -0.030 | 0.000 | 0.000 | -22.633 | 
| 200.999 | 121.711 | 94.724 | -0.000 | -0.000 | -0.000 | 
| 121.711 | 200.999 | 94.724 | -0.000 | -0.000 | 0.000 | 
| 83.801 | 83.801 | 559.043 | -0.000 | -0.000 | 0.000 | 
| 0.305 | 0.305 | 0.784 | 75.043 | -0.000 | -0.000 | 
| 0.305 | 0.305 | 0.784 | -0.000 | 75.043 | 0.000 | 
| -0.000 | -0.000 | -0.000 | -0.000 | -0.000 | 165.077 | 
| 325.346 | 111.351 | 111.351 | 0.000 | 0.000 | -0.000 | 
| 111.351 | 325.346 | 111.351 | 0.000 | 0.000 | 0.000 | 
| 111.351 | 111.351 | 325.346 | 0.000 | 0.000 | -0.000 | 
| -0.000 | 0.000 | -0.000 | 114.663 | 0.000 | -0.000 | 
| 0.000 | 0.000 | 0.000 | 0.000 | 114.663 | -0.000 | 
| 0.000 | 0.000 | -0.000 | 0.000 | 0.000 | 114.663 | 
| 325.346 | 111.351 | 111.351 | -0.000 | -0.000 | 0.000 | 
| 111.351 | 325.346 | 111.351 | -0.000 | -0.000 | 0.000 | 
| 111.351 | 111.351 | 325.346 | -0.000 | -0.000 | -0.000 | 
| -0.000 | -0.000 | 0.000 | 114.663 | 0.000 | -0.000 | 
| -0.000 | -0.000 | 0.000 | -0.000 | 114.663 | 0.000 | 
| -0.000 | -0.000 | -0.000 | -0.000 | -0.000 | 114.663 | 
| 325.346 | 111.351 | 111.351 | 0.000 | 0.000 | -0.000 | 
| 111.351 | 325.346 | 111.351 | 0.000 | 0.000 | -0.000 | 
| 111.351 | 111.351 | 325.346 | 0.000 | -0.000 | -0.000 | 
| 0.000 | 0.000 | 0.000 | 114.663 | -0.000 | -0.000 | 
| 0.000 | 0.000 | 0.000 | 0.000 | 114.663 | 0.000 | 
| 0.000 | 0.000 | 0.000 | 0.000 | 0.000 | 114.663 | 
| 325.346 | 111.351 | 111.351 | 0.000 | -0.000 | 0.000 | 
| 111.351 | 325.346 | 111.351 | -0.000 | -0.000 | -0.000 | 
| 111.351 | 111.351 | 325.346 | -0.000 | -0.000 | -0.000 | 
| -0.000 | -0.000 | -0.000 | 114.663 | -0.000 | -0.000 | 
| -0.000 | -0.000 | -0.000 | -0.000 | 114.663 | 0.000 | 
| -0.000 | -0.000 | -0.000 | -0.000 | -0.000 | 114.663 | 
| 186.594 | 44.306 | 44.306 | 0.000 | -0.002 | 0.000 | 
| 44.306 | 186.595 | 44.306 | 0.000 | -0.002 | 0.000 | 
| 44.306 | 44.306 | 186.595 | 0.000 | -0.002 | 0.000 | 
| 11.069 | 11.069 | 11.069 | 51.328 | -0.005 | 0.005 | 
| 11.070 | 11.070 | 11.070 | 0.002 | 51.317 | 0.005 | 
| 11.068 | 11.068 | 11.068 | 0.002 | -0.005 | 51.333 | 
| 185.948 | 35.581 | 35.581 | -0.000 | 0.002 | -0.001 | 
| 35.581 | 185.948 | 35.581 | -0.000 | 0.002 | -0.001 | 
| 35.581 | 35.581 | 185.948 | -0.000 | 0.002 | -0.001 | 
| -11.070 | -11.070 | -11.070 | 51.322 | 0.005 | -0.005 | 
| -11.068 | -11.068 | -11.068 | -0.002 | 51.333 | -0.005 | 
| -11.070 | -11.070 | -11.070 | -0.002 | 0.005 | 51.317 | 
| 289.407 | 98.545 | 98.545 | -0.000 | 0.000 | 0.000 | 
| 98.545 | 289.407 | 98.545 | -0.000 | 0.000 | -0.000 | 
| 98.545 | 98.545 | 289.407 | -0.000 | 0.000 | -0.000 | 
| 0.008 | 0.008 | 0.008 | 35.873 | 0.000 | -0.000 | 
| 0.008 | 0.008 | 0.008 | -0.000 | 35.873 | -0.000 | 
| 0.008 | 0.008 | 0.008 | 0.000 | 0.000 | 35.873 | 
| 171.669 | 36.800 | 36.800 | 0.000 | -0.000 | -0.000 | 
| 36.800 | 171.669 | 36.800 | 0.000 | -0.000 | 0.000 | 
| 36.800 | 36.800 | 171.669 | -0.000 | -0.000 | 0.000 | 
| -0.008 | -0.008 | -0.008 | 35.873 | -0.000 | 0.000 | 
| -0.008 | -0.008 | -0.008 | 0.000 | 35.873 | 0.000 | 
| -0.008 | -0.008 | -0.008 | -0.000 | -0.000 | 35.873 | 
| 289.408 | 98.545 | 98.545 | -0.000 | 0.000 | 0.000 | 
| 98.545 | 289.408 | 98.545 | 0.000 | 0.000 | -0.000 | 
| 98.545 | 98.545 | 289.408 | 0.000 | 0.000 | -0.000 | 
| 0.000 | 0.000 | 0.000 | 48.430 | 0.000 | 0.000 | 
| 0.000 | 0.000 | 0.000 | -0.000 | 48.430 | -0.000 | 
| 0.000 | 0.000 | 0.000 | -0.000 | 0.000 | 48.430 | 
| 171.686 | 36.817 | 36.817 | -0.000 | -0.000 | 0.000 | 
| 36.817 | 171.686 | 36.817 | 0.000 | -0.000 | 0.000 | 
| 36.817 | 36.817 | 171.686 | 0.000 | -0.000 | -0.000 | 
| -0.000 | -0.000 | -0.000 | 48.430 | -0.000 | -0.000 | 
| -0.000 | -0.000 | -0.000 | -0.000 | 48.430 | -0.000 | 
| -0.000 | -0.000 | -0.000 | 0.000 | -0.000 | 48.430 | 
| 171.672 | 36.814 | 36.814 | 0.000 | 0.000 | 0.000 | 
| 36.814 | 171.672 | 36.814 | -0.000 | 0.000 | 0.000 | 
| 36.814 | 36.814 | 171.672 | -0.000 | 0.000 | -0.000 | 
| 0.000 | 0.000 | 0.000 | 106.018 | 0.000 | -0.000 | 
| 0.000 | 0.000 | 0.000 | -0.000 | 106.018 | -0.000 | 
| 0.000 | 0.000 | 0.000 | 0.000 | 0.000 | 106.018 | 
| 204.873 | 82.278 | 82.278 | -0.000 | -0.000 | 0.000 | 
| 82.278 | 204.873 | 82.278 | -0.000 | -0.000 | 0.000 | 
| 82.278 | 82.278 | 204.873 | 0.000 | -0.000 | -0.000 | 
| -0.000 | -0.000 | -0.000 | 106.018 | -0.000 | 0.000 | 
| -0.000 | -0.000 | -0.000 | 0.000 | 106.018 | 0.000 | 
| -0.000 | -0.000 | -0.000 | 0.000 | -0.000 | 106.018 | 
| 49.405 | -18.591 | 161.759 | 13.881 | 0.000 | -0.000 | 
| 125.095 | 389.963 | 107.844 | 18.553 | -0.000 | -0.000 | 
| 109.014 | 109.014 | 301.584 | 0.000 | -0.000 | -0.000 | 
| -18.553 | 18.553 | 0.000 | 109.687 | -0.000 | -0.000 | 
| -49.204 | -49.204 | 8.445 | 0.000 | 64.172 | 18.246 | 
| -0.000 | 0.000 | 0.000 | 0.000 | -18.553 | 132.434 | 
| 158.144 | 73.082 | 143.488 | 11.070 | 0.000 | 0.000 | 
| 73.082 | 158.144 | 143.488 | -11.070 | -0.000 | 0.000 | 
| 231.965 | 231.965 | 151.358 | -0.000 | -0.000 | 0.000 | 
| -18.552 | 18.553 | -0.000 | 109.687 | -0.000 | 0.000 | 
| 49.204 | 49.204 | -8.445 | -0.000 | 64.172 | 18.246 | 
| 0.000 | -0.000 | -0.000 | -0.000 | -18.553 | 132.434 | 
| 389.963 | 125.095 | 107.844 | -18.553 | 0.000 | -0.000 | 
| 59.995 | 202.401 | 137.214 | -1.623 | 0.000 | -0.000 | 
| 113.088 | 113.088 | 216.328 | 0.000 | -0.000 | -0.000 | 
| -6.406 | -7.043 | 7.016 | 72.428 | -0.000 | -0.000 | 
| 0.000 | 0.000 | 0.000 | 0.000 | 109.687 | -18.553 | 
| 0.000 | 0.000 | 0.000 | -0.000 | -18.553 | 132.434 | 
| 215.689 | 67.977 | 135.055 | 0.749 | -0.000 | 0.000 | 
| 125.095 | 389.963 | 107.844 | 18.553 | 0.000 | 0.000 | 
| 109.014 | 109.014 | 301.583 | -0.000 | -0.000 | 0.000 | 
| -18.553 | 18.553 | -0.000 | 109.687 | 0.000 | 0.000 | 
| -0.000 | -0.000 | -0.000 | -0.000 | 109.687 | -18.553 | 
| -0.000 | -0.000 | -0.000 | 0.000 | -18.553 | 132.434 | 
| 211.142 | 64.561 | 135.811 | 0.935 | -0.000 | -0.000 | 
| 64.898 | 212.137 | 135.655 | -0.826 | -0.000 | -0.000 | 
| 136.794 | 136.794 | 239.886 | 0.000 | 0.000 | -0.000 | 
| -18.553 | 18.553 | 0.000 | 109.687 | -0.000 | -0.000 | 
| 0.000 | 0.000 | 0.000 | -0.000 | 109.687 | -18.553 | 
| 0.000 | 0.000 | 0.000 | -0.000 | -18.553 | 132.434 | 
| 115.727 | 66.222 | 114.572 | 5.314 | 0.000 | 0.000 | 
| 21.653 | 147.692 | 127.722 | -0.909 | 0.000 | 0.000 | 
| 109.013 | 109.013 | 301.582 | -0.000 | 0.000 | 0.000 | 
| -18.553 | 18.553 | -0.000 | 109.687 | -0.000 | 0.000 | 
| -0.000 | -0.000 | -0.000 | 0.000 | 109.687 | -18.553 | 
| -0.000 | -0.000 | -0.000 | 0.000 | -18.553 | 132.434 | 
| 1733.503 | -2249.231 | 742.512 | 0.000 | -0.000 | -0.000 | 
| -8032.774 | -5195.249 | -4768.335 | 0.001 | -0.000 | -0.000 | 
| 1503.794 | -2126.932 | 1021.637 | 0.000 | -0.000 | -0.000 | 
| 0.000 | 0.000 | 0.000 | 222.024 | -0.000 | -0.000 | 
| -11711.589 | -8142.656 | -5497.863 | -0.002 | 6.763 | 0.000 | 
| 1346.331 | -2321.653 | 582.628 | 0.000 | 0.000 | 37.503 | 
| 4419.799 | 3324.029 | 1568.157 | 0.000 | -0.000 | 0.000 | 
| 11567.108 | 8282.057 | 5594.070 | 0.002 | 0.000 | -0.000 | 
| 171.588 | 219.384 | 491.679 | 0.000 | 0.000 | -0.000 | 
| -0.000 | -0.000 | -0.000 | 222.024 | -0.000 | -0.000 | 
| 7725.891 | 5499.659 | 4843.641 | -0.001 | 194.445 | 0.000 | 
| 5347.491 | 3596.527 | 1764.966 | 0.000 | -0.000 | 6.131 | 
| 480.082 | 80.357 | 173.198 | -0.000 | -0.000 | -0.000 | 
| -585.951 | -570.539 | -203.448 | -0.000 | 0.000 | 0.000 | 
| 171.588 | 219.384 | 491.679 | -0.000 | -0.000 | -0.000 | 
| -688.887 | -475.473 | -362.352 | 118.879 | -0.000 | -0.000 | 
| -477.529 | -336.108 | -156.971 | -0.000 | -15.873 | -0.000 | 
| 0.000 | 0.000 | 0.000 | -0.000 | -0.000 | 83.326 | 
| 480.081 | 80.357 | 173.198 | 0.000 | 0.000 | -0.000 | 
| 78.842 | 463.073 | 219.480 | -0.000 | 0.000 | -0.000 | 
| 262.630 | 287.393 | 242.622 | -0.000 | 0.000 | -0.000 | 
| 688.887 | 475.473 | 362.352 | 118.878 | 0.000 | 0.000 | 
| 477.529 | 336.108 | 156.971 | 0.000 | -15.873 | -0.000 | 
| -0.000 | -0.000 | -0.000 | 0.000 | 0.000 | 83.326 | 
| -78.389 | -27.519 | -1.635 | 0.000 | 0.000 | -0.000 | 
| -130.416 | 88.304 | 13.728 | -0.000 | -0.000 | 0.000 | 
| -4.170 | 64.370 | 330.738 | 0.000 | -0.000 | -0.000 | 
| -43.025 | -45.863 | -22.313 | 124.514 | -0.000 | -0.000 | 
| 12.635 | -21.788 | 5.468 | 0.000 | 111.242 | -0.000 | 
| 11.968 | -20.639 | 5.179 | 0.000 | -0.000 | 42.591 | 
| 132.155 | 18.619 | 63.950 | -0.000 | 0.000 | 0.000 | 
| 33.468 | 296.931 | 155.143 | -0.000 | -0.000 | 0.000 | 
| 119.233 | 180.870 | 383.742 | -0.000 | 0.000 | 0.000 | 
| 43.025 | 45.863 | 22.313 | 124.514 | 0.000 | 0.000 | 
| -12.635 | 21.788 | -5.468 | -0.000 | 111.242 | 0.000 | 
| -11.968 | 20.639 | -5.179 | -0.000 | -0.000 | 42.591 | 
| 460.532 | 51.745 | 155.560 | -0.000 | -0.000 | 0.000 | 
| 51.745 | 424.716 | 169.794 | -0.000 | 0.000 | 0.000 | 
| 155.560 | 169.794 | 422.146 | -0.000 | 0.000 | -0.000 | 
| 0.017 | -0.735 | 0.262 | 112.937 | -0.000 | 0.000 | 
| 0.000 | -0.000 | 0.000 | -0.000 | 164.288 | 0.000 | 
| 0.000 | -0.000 | 0.000 | 0.000 | -0.000 | 59.482 | 
| 344.144 | 96.255 | 136.675 | -0.000 | 0.000 | -0.000 | 
| 91.065 | 304.161 | 149.085 | 0.000 | -0.000 | -0.000 | 
| 155.560 | 169.794 | 422.146 | 0.000 | 0.000 | -0.000 | 
| -0.000 | 0.000 | 0.000 | 178.549 | 0.000 | -0.000 | 
| -0.000 | 0.000 | -0.000 | 0.000 | 164.288 | -0.000 | 
| -0.000 | -0.000 | 0.000 | 0.000 | 0.000 | 59.482 | 
| 272.772 | 51.428 | 105.110 | -0.000 | -0.000 | 0.000 | 
| 57.931 | 263.339 | 127.216 | -0.000 | -0.000 | 0.000 | 
| 155.560 | 169.794 | 422.146 | -0.000 | -0.000 | 0.000 | 
| 0.023 | -0.053 | 0.021 | 129.691 | -0.000 | 0.000 | 
| 0.000 | -0.000 | 0.000 | 0.000 | 164.288 | 0.000 | 
| 0.000 | -0.000 | 0.000 | 0.000 | -0.000 | 59.482 | 
| 343.946 | 95.733 | 136.877 | 0.000 | 0.000 | -0.000 | 
| 57.886 | 263.479 | 127.129 | 0.000 | 0.000 | 0.000 | 
| 97.674 | 119.818 | 328.809 | 0.000 | -0.000 | -0.000 | 
| -0.023 | 0.053 | -0.021 | 129.691 | -0.000 | -0.000 | 
| -0.000 | 0.000 | -0.000 | 0.000 | 164.288 | -0.000 | 
| -0.000 | 0.000 | -0.000 | -0.000 | 0.000 | 59.482 | 
| 150.007 | 105.323 | 83.665 | -0.000 | 0.000 | 0.000 | 
| 98.097 | 211.455 | 109.755 | -0.000 | -0.000 | 0.000 | 
| 103.648 | 117.068 | 330.002 | -0.000 | -0.000 | 0.000 | 
| 0.000 | 0.000 | 0.001 | 178.549 | 0.000 | 0.000 | 
| 0.000 | 0.000 | 0.000 | 0.000 | 164.288 | 0.000 | 
| 0.002 | -0.011 | 0.005 | -0.000 | -0.000 | 45.012 | 
| 149.952 | 105.437 | 83.669 | 0.000 | -0.000 | -0.000 | 
| 91.329 | 303.576 | 149.387 | 0.000 | -0.000 | -0.000 | 
| 103.634 | 117.057 | 329.927 | 0.000 | 0.000 | -0.000 | 
| -0.000 | -0.000 | -0.001 | 178.549 | 0.000 | -0.000 | 
| -0.000 | -0.000 | -0.000 | 0.000 | 164.288 | -0.000 | 
| -0.002 | 0.011 | -0.005 | -0.000 | 0.000 | 45.012 | 
| 468.939 | 282.193 | 81.854 | 0.002 | -20.332 | 0.001 | 
| 282.205 | 468.947 | 81.856 | 0.002 | 20.307 | 0.001 | 
| 96.745 | 96.745 | 328.967 | -0.000 | 0.000 | -0.000 | 
| 0.000 | 0.000 | 0.000 | 58.755 | -0.000 | 93.859 | 
| -93.859 | 93.859 | 0.000 | -0.000 | 58.755 | -0.000 | 
| 9.678 | 9.657 | 3.061 | 30.394 | -0.018 | 106.947 | 
| 612.532 | 227.585 | 93.146 | 0.000 | -93.859 | 0.000 | 
| 227.585 | 612.532 | 93.146 | -0.000 | 93.859 | -0.000 | 
| 80.369 | 80.384 | 323.634 | -0.001 | 0.013 | -0.001 | 
| -0.000 | -0.000 | -0.000 | 58.756 | -0.000 | 93.859 | 
| -46.558 | 29.556 | -2.692 | -0.001 | 15.931 | -0.001 | 
| -9.677 | -9.657 | -3.061 | 30.392 | 0.018 | 106.947 | 
| 319.348 | 203.437 | 45.192 | -0.000 | 3.702 | -0.000 | 
| 227.585 | 612.532 | 93.146 | -0.000 | 93.859 | -0.000 | 
| 59.321 | 59.315 | 316.465 | 0.001 | -0.006 | 0.000 | 
| 1.252 | 1.249 | 0.396 | -4.248 | -0.002 | 11.779 | 
| -3.384 | 9.705 | 1.067 | 0.000 | -9.146 | 0.000 | 
| 0.000 | 0.000 | 0.000 | 93.859 | 0.000 | 192.473 | 
| 309.915 | 195.168 | 42.228 | 0.000 | 4.088 | 0.000 | 
| 289.658 | 383.696 | 70.848 | -0.000 | -14.076 | -0.000 | 
| 96.745 | 96.745 | 328.967 | 0.000 | -0.000 | 0.000 | 
| -1.252 | -1.249 | -0.396 | -4.248 | 0.002 | 11.780 | 
| -8.454 | 4.774 | -0.602 | -0.000 | -7.694 | -0.000 | 
| -0.000 | -0.000 | -0.000 | 93.859 | -0.000 | 192.473 | 
| 289.538 | 145.940 | 31.059 | 0.000 | -4.585 | 0.000 | 
| 227.586 | 612.535 | 93.146 | -0.000 | 93.860 | -0.000 | 
| 36.515 | 36.514 | 308.920 | 0.000 | -0.001 | 0.000 | 
| 0.190 | 0.190 | 0.062 | -7.706 | -0.000 | 6.516 | 
| -6.345 | 6.725 | 0.062 | 0.000 | -7.693 | 0.000 | 
| 0.129 | 0.129 | 0.041 | 9.132 | -0.000 | 78.295 | 
| 304.951 | 180.810 | 38.821 | 0.000 | 0.201 | 0.000 | 
| 180.826 | 304.867 | 38.812 | 0.000 | -0.239 | 0.000 | 
| 35.572 | 35.573 | 308.619 | -0.000 | 0.001 | -0.000 | 
| -0.190 | -0.190 | -0.062 | -7.706 | 0.000 | 6.516 | 
| -6.698 | 6.317 | -0.062 | -0.000 | -7.713 | -0.000 | 
| -0.129 | -0.129 | -0.041 | 9.132 | 0.000 | 78.295 | 
| 1426.814 | 1321.417 | -465.414 | -0.026 | -0.644 | 2.348 | 
| 1310.153 | 1437.898 | -465.370 | -0.026 | -0.644 | 2.348 | 
| 1291.264 | 1302.405 | -290.240 | -0.026 | -0.642 | 2.342 | 
| 1201.549 | 1212.755 | -565.384 | 47.843 | -0.646 | 2.355 | 
| 1201.536 | 1212.742 | -565.378 | -0.026 | 47.223 | 2.355 | 
| 1201.534 | 1212.739 | -565.377 | -0.026 | -0.646 | 60.477 | 
| -976.867 | -1104.026 | 665.428 | 0.026 | 0.648 | -2.362 | 
| 106.522 | 327.284 | 84.341 | -0.000 | -0.000 | -0.000 | 
| -1112.354 | -1123.630 | 839.720 | 0.026 | 0.650 | -2.370 | 
| -1201.551 | -1212.757 | 565.385 | 47.894 | 0.646 | -2.355 | 
| -1201.564 | -1212.770 | 565.391 | 0.026 | 48.514 | -2.355 | 
| -1201.441 | -1212.645 | 565.333 | 0.026 | 0.646 | 55.771 | 
| 347.875 | 227.952 | 43.652 | -0.002 | -0.062 | 0.225 | 
| 226.776 | 348.925 | 43.688 | -0.002 | -0.062 | 0.225 | 
| 82.737 | 82.737 | 365.753 | 0.000 | 0.000 | 0.000 | 
| 0.000 | 0.000 | 0.000 | 84.519 | 0.000 | 0.000 | 
| 0.000 | 0.000 | 0.000 | 0.000 | 84.519 | 0.000 | 
| 117.915 | 119.015 | -55.484 | -0.003 | -0.063 | 59.326 | 
| 327.284 | 106.522 | 84.341 | -0.000 | -0.000 | 0.000 | 
| 106.522 | 327.284 | 84.341 | -0.000 | -0.000 | 0.000 | 
| -231.480 | -233.887 | -156.416 | -0.031 | -0.105 | 0.118 | 
| -0.000 | -0.000 | -0.000 | 84.519 | -0.000 | 0.000 | 
| -196.200 | -198.437 | 28.622 | -0.004 | 58.300 | -0.000 | 
| -117.829 | -118.928 | 55.444 | 0.003 | 0.063 | 58.901 | 
| 120.291 | 65.738 | 114.957 | 0.000 | -0.002 | 0.009 | 
| 120.787 | 258.590 | 90.903 | -0.000 | -0.005 | 0.019 | 
| 98.908 | 99.097 | 251.731 | 0.000 | 0.003 | -0.008 | 
| 8.380 | 8.458 | -3.943 | 58.957 | -0.005 | 0.016 | 
| 0.000 | 0.000 | 0.000 | 0.000 | 84.519 | 0.000 | 
| 18.556 | 18.763 | -3.499 | 0.000 | -0.001 | 67.521 | 
| 226.695 | 100.891 | 102.136 | 0.000 | 0.006 | -0.021 | 
| 49.116 | 188.784 | 92.762 | -0.000 | -0.000 | -0.001 | 
| 82.736 | 82.736 | 365.750 | -0.000 | -0.000 | 0.000 | 
| -8.380 | -8.458 | 3.943 | 58.957 | 0.005 | -0.016 | 
| -8.386 | -8.464 | 3.946 | 0.000 | 58.944 | -0.016 | 
| -18.534 | -18.741 | 3.492 | -0.000 | 0.001 | 67.582 | 
| 413.619 | 186.024 | 263.907 | -0.000 | 0.000 | 0.000 | 
| -2726.581 | -2643.634 | -2581.734 | -0.000 | 0.000 | -0.000 | 
| -1308.321 | -2715.636 | -1911.182 | -0.000 | 0.000 | 0.000 | 
| -1486.173 | -2839.543 | -2240.010 | 84.613 | -0.000 | -0.000 | 
| 0.000 | -0.000 | 0.000 | -0.000 | 267.581 | 0.000 | 
| -1485.489 | -2838.236 | -2238.980 | -0.000 | 0.000 | 7.279 | 
| 1778.277 | 2902.752 | 2396.457 | 0.000 | -0.000 | 0.000 | 
| 3429.125 | 4284.544 | 3768.591 | 0.000 | -0.000 | -0.000 | 
| 1665.164 | 2965.543 | 2570.502 | 0.000 | 0.000 | 0.000 | 
| 1486.173 | 2839.543 | 2240.010 | 84.613 | -0.000 | 0.000 | 
| -0.000 | 0.000 | -0.000 | 0.000 | 267.581 | -0.000 | 
| 1485.489 | 2838.236 | 2238.979 | 0.000 | 0.000 | 7.279 | 
| -89.508 | -379.141 | -229.127 | 0.000 | 0.000 | 0.000 | 
| -280.770 | -250.990 | -265.802 | -0.000 | -0.000 | -0.000 | 
| 264.240 | 239.621 | 427.430 | -0.000 | 0.000 | -0.000 | 
| -292.806 | -317.009 | -295.776 | 106.830 | 0.000 | -0.000 | 
| -284.900 | -293.252 | -278.875 | 0.000 | 189.958 | -0.000 | 
| -262.196 | -273.386 | -260.813 | -0.000 | 0.000 | 40.348 | 
| 413.618 | 186.024 | 263.907 | 0.000 | -0.000 | 0.000 | 
| 344.150 | 501.654 | 420.819 | 0.000 | 0.000 | -0.000 | 
| 329.190 | 413.682 | 557.329 | -0.000 | -0.000 | -0.000 | 
| 292.806 | 317.009 | 295.776 | 106.830 | 0.000 | 0.000 | 
| 146.138 | 279.218 | 220.265 | 0.000 | 195.172 | -0.000 | 
| 262.196 | 273.386 | 260.813 | 0.000 | -0.000 | 40.348 | 
| 215.554 | -4.014 | 105.705 | -0.000 | -0.000 | 0.000 | 
| -2.347 | 110.407 | 49.279 | -0.000 | 0.000 | -0.000 | 
| 111.014 | 49.657 | 263.847 | -0.000 | 0.000 | 0.000 | 
| -31.532 | -38.765 | -34.628 | 61.885 | -0.000 | -0.000 | 
| -26.203 | -34.396 | -29.897 | -0.000 | 193.912 | -0.000 | 
| -24.155 | -32.675 | -28.153 | -0.000 | 0.000 | 41.918 | 
| 263.673 | 51.121 | 150.705 | 0.000 | -0.000 | -0.000 | 
| 40.417 | 163.270 | 95.126 | 0.000 | -0.000 | -0.000 | 
| 264.239 | 239.620 | 427.429 | 0.000 | -0.000 | -0.000 | 
| 31.532 | 38.765 | 34.628 | 61.885 | 0.000 | -0.000 | 
| 26.203 | 34.396 | 29.897 | 0.000 | 193.912 | -0.000 | 
| 24.155 | 32.675 | 28.153 | 0.000 | -0.000 | 41.918 | 
| 438.771 | 143.610 | 215.100 | 0.000 | -0.000 | 0.000 | 
| 143.610 | 328.518 | 194.959 | 0.000 | 0.000 | 0.000 | 
| 215.100 | 194.959 | 373.113 | 0.000 | -0.000 | 0.000 | 
| 0.000 | -0.000 | 0.000 | 209.163 | -0.000 | 0.000 | 
| 0.002 | 0.000 | 0.000 | 0.000 | 181.060 | -0.000 | 
| 0.003 | 0.002 | 0.001 | 0.000 | -0.000 | 31.892 | 
| 285.732 | 14.987 | 93.065 | -0.000 | -0.000 | 0.000 | 
| -4.196 | 119.832 | 38.405 | 0.000 | -0.000 | -0.000 | 
| 215.100 | 194.959 | 373.114 | -0.000 | -0.000 | 0.000 | 
| -0.000 | 0.000 | -0.000 | 209.163 | -0.000 | -0.000 | 
| -0.002 | -0.000 | -0.000 | -0.000 | 181.060 | 0.000 | 
| -0.003 | -0.002 | -0.001 | -0.000 | 0.000 | 31.892 | 
| 438.771 | 143.610 | 215.100 | 0.000 | 0.000 | 0.000 | 
| 143.610 | 328.518 | 194.959 | 0.000 | -0.000 | 0.000 | 
| 111.091 | 59.422 | 250.957 | 0.000 | -0.000 | -0.000 | 
| 0.000 | 0.000 | 0.000 | 209.163 | -0.000 | 0.000 | 
| 0.000 | 0.000 | 0.000 | 0.000 | 181.060 | -0.000 | 
| 0.000 | 0.000 | 0.000 | -0.000 | -0.000 | 160.242 | 
| 285.735 | 14.987 | 93.065 | -0.000 | -0.000 | 0.000 | 
| -4.191 | 119.837 | 38.408 | 0.000 | -0.000 | 0.000 | 
| 215.100 | 194.959 | 373.113 | 0.000 | -0.000 | -0.000 | 
| -0.000 | -0.000 | -0.000 | 209.163 | -0.000 | -0.000 | 
| -0.000 | -0.000 | -0.000 | -0.000 | 181.060 | 0.000 | 
| -0.000 | -0.000 | -0.000 | -0.000 | -0.000 | 160.242 | 
| 274.415 | -14.324 | 81.127 | 0.000 | 0.000 | 0.000 | 
| -4.072 | 120.022 | 38.545 | 0.000 | -0.000 | -0.000 | 
| 111.089 | 59.419 | 250.955 | 0.000 | 0.000 | -0.000 | 
| -0.000 | -0.000 | -0.000 | 89.992 | 0.000 | -0.000 | 
| 0.000 | 0.000 | 0.000 | -0.000 | 151.673 | -0.000 | 
| -0.000 | -0.000 | -0.000 | 0.000 | 0.000 | 52.281 | 
| 274.323 | -14.409 | 81.052 | -0.000 | -0.000 | -0.000 | 
| -11.245 | 114.131 | 40.412 | -0.000 | 0.000 | -0.000 | 
| 92.157 | 48.226 | 240.541 | -0.000 | 0.000 | 0.000 | 
| 0.000 | 0.000 | 0.000 | 89.992 | -0.000 | 0.000 | 
| -0.000 | -0.000 | -0.000 | -0.000 | 151.673 | 0.000 | 
| 0.000 | 0.000 | 0.000 | -0.000 | -0.000 | 52.281 | 
| 1124.898 | -411.805 | 1526.842 | -0.000 | -182.949 | 0.000 | 
| 659.918 | 973.056 | 2576.619 | -0.000 | -235.997 | -0.000 | 
| 983.682 | -420.017 | 1721.685 | -0.000 | -181.740 | 0.000 | 
| 845.806 | -526.283 | 1381.626 | 53.478 | -182.438 | -0.007 | 
| 594.136 | 750.232 | 2510.709 | -0.000 | -153.585 | 0.000 | 
| 1431.191 | 2616.094 | 2672.536 | -0.007 | -168.457 | 59.908 | 
| -363.820 | -678.252 | -2399.126 | 0.000 | 237.144 | 0.000 | 
| -531.088 | -527.923 | -2448.178 | 0.000 | 237.423 | 0.000 | 
| -706.666 | 631.785 | -1040.008 | 0.000 | 182.865 | -0.000 | 
| -845.806 | 526.283 | -1381.626 | 53.478 | 182.438 | -0.007 | 
| -845.276 | 525.949 | -1380.756 | 0.000 | 278.434 | -0.000 | 
| -1431.174 | -2615.699 | -2671.948 | -0.007 | 168.414 | 59.906 | 
| 383.025 | 104.083 | 139.602 | -0.000 | 0.009 | -0.000 | 
| 101.246 | 444.611 | 99.209 | -0.000 | 0.003 | -0.000 | 
| 223.081 | 53.159 | 481.410 | -0.000 | -17.690 | 0.000 | 
| 60.893 | 71.633 | 250.091 | 83.861 | -23.731 | -0.004 | 
| -0.003 | -0.000 | 0.009 | -0.000 | 148.927 | 0.000 | 
| 0.000 | 0.000 | 0.000 | -0.000 | -0.000 | 107.438 | 
| 169.074 | -4.444 | -139.774 | 0.000 | 24.226 | -0.000 | 
| 21.003 | 361.405 | -50.606 | 0.000 | 20.130 | 0.000 | 
| 57.782 | -6.922 | 50.682 | 0.000 | 23.251 | -0.000 | 
| -60.893 | -71.633 | -250.091 | 83.861 | 23.731 | -0.004 | 
| -59.857 | -73.722 | -250.375 | 0.000 | 106.564 | -0.000 | 
| -306.356 | -227.423 | -620.984 | -0.009 | 35.923 | 61.092 | 
| 164.698 | 1.185 | 86.752 | -0.000 | -3.030 | 0.000 | 
| 67.683 | 234.251 | 100.872 | -0.000 | -2.440 | 0.000 | 
| 50.241 | 17.182 | 279.976 | -0.000 | -2.469 | 0.000 | 
| 11.456 | 22.967 | 27.655 | 66.450 | -1.916 | -0.007 | 
| 11.458 | 21.645 | 27.485 | -0.000 | 79.098 | 0.000 | 
| 5.922 | -3.685 | 9.674 | -0.003 | -1.277 | 70.070 | 
| 161.178 | -25.618 | 37.379 | 0.000 | 2.062 | -0.000 | 
| -39.383 | 108.116 | -20.861 | 0.000 | 3.534 | 0.000 | 
| 17.662 | -26.389 | 222.779 | 0.000 | 3.789 | 0.000 | 
| -11.456 | -22.967 | -27.655 | 66.450 | 1.916 | -0.007 | 
| -5.958 | -5.033 | -21.742 | 0.000 | 91.331 | -0.000 | 
| -0.000 | -0.000 | -0.000 | -0.000 | -0.000 | 107.438 | 
| 295.087 | -116.617 | 482.425 | 3.709 | -0.076 | 0.000 | 
| -53.739 | -317.362 | 403.391 | 2.320 | -0.047 | -0.000 | 
| 94.189 | -144.931 | 679.633 | 3.742 | -0.076 | 0.000 | 
| -109.070 | -298.691 | 276.318 | 101.463 | -0.075 | 0.000 | 
| -241.266 | -706.373 | 420.416 | 2.420 | 105.969 | -0.000 | 
| -108.928 | -298.304 | 275.960 | 3.692 | -0.075 | 126.057 | 
| 542.546 | 871.375 | -284.108 | -2.453 | 0.051 | 0.000 | 
| 335.082 | 1002.686 | -156.642 | -2.279 | 0.046 | -0.000 | 
| 333.478 | 773.377 | -13.524 | -2.321 | 0.047 | -0.000 | 
| 108.990 | 298.473 | -276.116 | 94.087 | 0.075 | -0.000 | 
| 241.266 | 706.373 | -420.416 | -2.420 | 106.071 | 0.000 | 
| 108.928 | 298.304 | -275.960 | -3.692 | 0.075 | 126.057 | 
| 315.140 | 109.408 | 192.105 | 0.199 | -0.004 | -0.000 | 
| 126.331 | 308.395 | 135.250 | 0.253 | -0.005 | -0.000 | 
| 137.087 | 91.747 | 314.170 | 0.218 | -0.005 | -0.000 | 
| 0.000 | 0.000 | 0.000 | 118.368 | -0.000 | -0.000 | 
| -18.959 | -73.072 | 31.317 | 0.253 | 147.021 | 0.000 | 
| -18.820 | -63.968 | 26.792 | 0.243 | -0.005 | 120.556 | 
| 409.105 | 216.510 | 171.209 | -0.426 | 0.009 | -0.000 | 
| 190.741 | 589.232 | 117.851 | 0.000 | 0.000 | 0.000 | 
| 174.985 | 197.468 | 258.675 | -0.154 | 0.003 | 0.000 | 
| 18.092 | 63.065 | -24.295 | 85.555 | 0.005 | 0.000 | 
| 18.959 | 73.073 | -31.317 | -0.253 | 147.031 | -0.000 | 
| 10.358 | 28.366 | -26.241 | -0.351 | 0.007 | 129.429 | 
| 332.762 | 145.801 | 135.571 | 0.008 | 0.000 | 0.000 | 
| 147.175 | 367.816 | 148.053 | 0.015 | -0.000 | 0.000 | 
| 147.503 | 141.112 | 268.870 | 0.009 | -0.000 | 0.000 | 
| -0.848 | -8.800 | 3.171 | 81.534 | -0.001 | 0.000 | 
| -2.058 | -7.589 | 2.700 | 0.037 | 142.641 | 0.000 | 
| -1.112 | -7.017 | 2.780 | 0.028 | -0.001 | 120.513 | 
| 334.793 | 159.727 | 132.225 | -0.234 | 0.005 | 0.000 | 
| 137.772 | 388.072 | 110.837 | -0.003 | 0.000 | 0.000 | 
| 128.745 | 160.062 | 244.557 | -0.023 | 0.000 | 0.000 | 
| 0.849 | 8.800 | -3.171 | 81.490 | 0.001 | 0.000 | 
| 1.261 | 7.773 | -3.164 | -0.024 | 135.695 | -0.000 | 
| 1.746 | 7.166 | -3.022 | -0.025 | 0.001 | 120.927 | 
| 352.660 | 126.137 | 128.657 | -0.000 | 0.000 | 0.000 | 
| 155.251 | 397.208 | 148.059 | 0.000 | -0.000 | -0.000 | 
| 176.939 | 145.423 | 344.891 | 0.000 | 0.000 | -0.000 | 
| -0.733 | -0.344 | -1.250 | 87.105 | 0.000 | -0.000 | 
| -0.184 | 0.227 | -1.056 | -0.000 | 154.812 | 0.000 | 
| -0.000 | 0.000 | -0.000 | -0.000 | 0.000 | 175.422 | 
| 448.981 | 165.851 | 196.292 | -0.000 | -0.000 | 0.000 | 
| 156.076 | 400.667 | 149.663 | -0.000 | 0.000 | 0.000 | 
| 177.101 | 145.536 | 345.507 | -0.000 | 0.000 | -0.000 | 
| 0.733 | 0.343 | 1.250 | 87.105 | 0.000 | 0.000 | 
| 0.184 | -0.227 | 1.056 | -0.000 | 154.812 | -0.000 | 
| 0.000 | -0.000 | -0.000 | -0.000 | 0.000 | 175.422 | 
| 351.591 | 111.520 | 133.700 | 0.000 | -0.000 | -0.000 | 
| 111.533 | 348.626 | 94.657 | 0.000 | -0.000 | 0.000 | 
| 177.022 | 145.451 | 345.234 | 0.000 | -0.000 | -0.000 | 
| 0.000 | -0.000 | 0.000 | 111.373 | -0.000 | 0.000 | 
| -0.075 | -0.040 | -0.115 | 0.000 | 145.652 | -0.000 | 
| -0.016 | 0.020 | -0.093 | 0.000 | -0.000 | 125.288 | 
| 371.346 | 153.503 | 171.321 | -0.000 | 0.000 | -0.000 | 
| 155.715 | 399.187 | 148.936 | 0.000 | 0.000 | 0.000 | 
| 126.486 | 85.841 | 275.712 | -0.000 | 0.000 | 0.000 | 
| 0.000 | 0.000 | -0.000 | 111.373 | 0.000 | -0.000 | 
| 0.075 | 0.040 | 0.115 | 0.000 | 145.652 | -0.000 | 
| 0.016 | -0.020 | 0.093 | 0.000 | 0.000 | 125.288 | 
| 355.502 | 129.931 | 132.512 | -0.000 | 0.000 | 0.000 | 
| 137.414 | 361.230 | 109.461 | 0.000 | -0.000 | 0.000 | 
| 177.059 | 145.392 | 345.459 | 0.000 | -0.000 | -0.000 | 
| 0.000 | -0.000 | 0.000 | 111.373 | -0.000 | 0.000 | 
| -0.008 | -0.004 | -0.011 | -0.000 | 145.653 | -0.000 | 
| -0.008 | -0.004 | -0.012 | 0.000 | -0.000 | 117.949 | 
| 355.566 | 130.001 | 132.591 | 0.000 | 0.000 | -0.000 | 
| 121.565 | 342.321 | 119.664 | 0.000 | -0.000 | -0.000 | 
| 140.704 | 111.530 | 294.557 | 0.000 | -0.000 | 0.000 | 
| -0.000 | 0.000 | -0.000 | 111.373 | -0.000 | -0.000 | 
| 0.008 | 0.004 | 0.011 | -0.000 | 145.653 | 0.000 | 
| 0.008 | 0.004 | 0.012 | -0.000 | 0.000 | 117.949 | 
| 404.498 | 133.235 | 133.235 | 0.000 | 0.000 | 0.000 | 
| 133.236 | 404.498 | 133.235 | -0.000 | -0.000 | 0.000 | 
| 133.235 | 133.235 | 404.498 | 0.000 | 0.000 | 0.000 | 
| 0.000 | 0.000 | 0.000 | 132.924 | 0.000 | 0.000 | 
| 0.000 | 0.000 | 0.000 | -0.000 | 132.924 | 0.000 | 
| 0.000 | 0.000 | 0.000 | -0.000 | 0.000 | 132.924 | 
| 404.498 | 133.235 | 133.235 | -0.000 | -0.000 | -0.000 | 
| 133.235 | 404.498 | 133.235 | -0.000 | -0.000 | -0.000 | 
| 133.235 | 133.235 | 404.498 | -0.000 | -0.000 | -0.000 | 
| -0.000 | -0.000 | -0.000 | 132.924 | 0.000 | -0.000 | 
| -0.000 | -0.000 | 0.000 | -0.000 | 132.924 | -0.000 | 
| -0.000 | -0.000 | -0.000 | 0.000 | -0.000 | 132.924 | 
| 160.555 | -40.547 | -40.547 | 0.000 | 0.000 | 0.000 | 
| -40.547 | 160.555 | -40.547 | 0.000 | 0.000 | 0.000 | 
| -40.547 | -40.547 | 160.555 | 0.000 | 0.000 | 0.000 | 
| 0.000 | 0.000 | 0.000 | 132.924 | 0.000 | 0.000 | 
| 0.000 | 0.000 | 0.000 | 0.000 | 132.924 | 0.000 | 
| 0.000 | 0.000 | 0.000 | 0.000 | 0.000 | 132.924 | 
| 317.239 | 120.615 | 120.615 | -0.000 | -0.000 | -0.000 | 
| 120.615 | 317.239 | 120.615 | -0.000 | -0.000 | -0.000 | 
| 120.615 | 120.615 | 317.239 | -0.000 | -0.000 | -0.000 | 
| -0.000 | -0.000 | -0.000 | 132.924 | 0.000 | -0.000 | 
| -0.000 | -0.000 | -0.000 | 0.000 | 132.924 | -0.000 | 
| -0.000 | -0.000 | -0.000 | 0.000 | -0.000 | 132.924 | 
| 215.024 | 33.937 | 33.937 | 0.000 | 0.000 | 0.000 | 
| 33.937 | 215.024 | 33.937 | -0.000 | 0.000 | 0.000 | 
| 33.937 | 33.937 | 215.024 | 0.000 | 0.000 | 0.000 | 
| 0.000 | 0.000 | 0.000 | 132.924 | 0.000 | -0.000 | 
| 0.000 | 0.000 | 0.000 | -0.000 | 132.924 | 0.000 | 
| 0.000 | 0.000 | 0.000 | -0.000 | 0.000 | 132.924 | 
| 231.663 | 39.189 | 39.189 | 0.000 | -0.000 | -0.000 | 
| 39.189 | 231.663 | 39.189 | 0.000 | -0.000 | -0.000 | 
| 39.189 | 39.189 | 231.663 | -0.000 | -0.000 | -0.000 | 
| -0.000 | -0.000 | -0.000 | 132.924 | -0.000 | -0.000 | 
| -0.000 | -0.000 | -0.000 | -0.000 | 132.924 | -0.000 | 
| -0.000 | -0.000 | -0.000 | -0.000 | -0.000 | 132.924 | 
| 138.879 | 180.812 | 859.233 | -0.000 | 143.631 | 0.000 | 
| -108.545 | 638.485 | 852.129 | -0.000 | 55.049 | 0.000 | 
| 131.684 | 187.818 | 479.404 | -0.000 | 19.002 | -0.000 | 
| 338.783 | 748.830 | 1574.173 | 3.571 | -306.568 | 51.112 | 
| -186.887 | 57.736 | 767.921 | -0.000 | 176.257 | 0.000 | 
| -221.102 | 77.038 | 732.734 | 6.145 | 74.853 | 77.681 | 
| 567.996 | 21.828 | -617.384 | -0.000 | -8.519 | -0.000 | 
| 5.831 | -480.492 | -2059.683 | -0.000 | 541.933 | -0.000 | 
| 361.588 | 58.516 | -427.572 | -0.000 | -58.318 | 0.000 | 
| -411.878 | -903.555 | -1749.971 | 27.030 | 777.937 | 0.883 | 
| 47.880 | -30.521 | 19.002 | -0.000 | 134.628 | 0.000 | 
| 221.102 | -77.038 | -732.735 | 6.145 | -74.853 | 77.681 | 
| 205.981 | 84.746 | 213.488 | -0.000 | 42.239 | 0.000 | 
| 81.598 | 561.878 | 206.446 | 0.000 | -9.864 | 0.000 | 
| 131.684 | 187.818 | 479.404 | -0.000 | 19.002 | -0.000 | 
| 24.539 | 82.779 | 180.276 | 45.987 | -60.849 | 8.199 | 
| 47.880 | -30.521 | 19.002 | -0.000 | 134.628 | 0.000 | 
| -20.261 | 7.059 | 67.145 | 2.886 | 6.859 | 84.210 | 
| 558.999 | 150.868 | 137.432 | 0.000 | 85.940 | 0.000 | 
| -0.105 | 389.531 | -19.755 | -0.000 | 8.773 | -0.000 | 
| 18.303 | 12.776 | 39.740 | 0.000 | 52.987 | -0.000 | 
| -24.539 | -82.779 | -180.276 | 45.987 | 60.849 | 8.199 | 
| 61.201 | -29.488 | -50.721 | 0.000 | 96.855 | -0.000 | 
| 20.261 | -7.059 | -67.145 | 2.886 | -6.859 | 84.210 | 
| 230.901 | 48.531 | 77.210 | -0.000 | 54.505 | -0.000 | 
| 88.610 | 519.886 | 123.838 | 0.000 | -14.305 | 0.000 | 
| 65.890 | 76.530 | 199.940 | 0.000 | 39.567 | 0.000 | 
| -4.434 | 6.479 | 22.102 | 65.007 | -3.069 | 14.224 | 
| 41.151 | 22.452 | 63.910 | -0.000 | 43.189 | 0.000 | 
| -3.873 | 5.218 | 18.526 | 12.108 | -2.323 | 66.870 | 
| 211.178 | 48.721 | 75.700 | -0.000 | 64.199 | -0.000 | 
| 37.261 | 474.565 | 50.640 | 0.000 | -3.639 | -0.000 | 
| 64.040 | 57.542 | 167.256 | -0.000 | 45.645 | -0.000 | 
| 4.434 | -6.479 | -22.102 | 65.007 | 3.069 | 14.224 | 
| 28.407 | -16.634 | 31.507 | 0.000 | 81.296 | -0.000 | 
| 3.873 | -5.218 | -18.526 | 12.108 | 2.323 | 66.870 | 
| 3284.847 | 3070.986 | 1551.874 | -0.431 | 0.518 | -0.617 | 
| 134.131 | 399.429 | 96.909 | -0.000 | -0.000 | 0.000 | 
| 3056.083 | 3053.759 | 1852.592 | -0.430 | 0.517 | -0.615 | 
| 2955.144 | 2952.814 | 1445.410 | 76.950 | 0.518 | -0.617 | 
| 2955.149 | 2952.818 | 1445.413 | -0.431 | 77.899 | -0.617 | 
| 0.000 | 0.000 | 0.000 | -0.000 | -0.000 | 132.649 | 
| -2625.458 | -2834.695 | -1338.984 | 0.431 | -0.518 | 0.617 | 
| -2646.246 | -2460.917 | -5447.737 | -0.478 | 0.574 | -0.636 | 
| -2652.997 | -2655.382 | -5199.835 | -0.482 | 0.578 | -0.641 | 
| -2955.148 | -2952.818 | -1445.412 | 77.812 | -0.518 | 0.617 | 
| -2955.144 | -2952.814 | -1445.410 | 0.431 | 76.863 | 0.617 | 
| -0.000 | -0.000 | -0.000 | -0.000 | 0.000 | 132.649 | 
| 562.669 | 374.982 | 640.418 | 0.048 | -0.057 | 0.063 | 
| 413.972 | 625.040 | 251.218 | -0.043 | 0.052 | -0.062 | 
| 396.829 | 396.602 | 553.945 | -0.042 | 0.050 | -0.060 | 
| 295.605 | 295.372 | 144.585 | 77.331 | 0.052 | -0.062 | 
| 295.609 | 295.376 | 144.587 | -0.043 | 77.426 | -0.062 | 
| 290.500 | 290.176 | 612.046 | -0.065 | 0.078 | 85.881 | 
| 33.947 | -177.477 | -38.298 | 0.043 | -0.052 | 0.062 | 
| -189.835 | -17.611 | -530.301 | 0.065 | -0.078 | 0.087 | 
| -194.929 | -194.689 | 259.563 | 0.044 | -0.053 | 0.064 | 
| -295.609 | -295.375 | -144.587 | 77.417 | -0.052 | 0.062 | 
| -295.604 | -295.371 | -144.585 | 0.043 | 77.322 | 0.062 | 
| -290.602 | -290.275 | -612.045 | 0.065 | -0.078 | 86.024 | 
| 313.610 | 128.051 | 145.248 | 0.005 | -0.006 | 0.006 | 
| 128.228 | 313.936 | 145.081 | 0.005 | -0.006 | 0.006 | 
| 136.091 | 136.069 | 429.993 | -0.004 | 0.005 | -0.006 | 
| 30.392 | 30.368 | 14.865 | 76.751 | 0.005 | -0.006 | 
| 28.274 | 28.254 | 69.091 | -0.004 | 60.926 | -0.005 | 
| 28.760 | 28.778 | 51.296 | 0.004 | -0.004 | 94.227 | 
| 236.184 | 69.846 | 9.494 | 0.007 | -0.008 | 0.009 | 
| 69.856 | 236.029 | 9.380 | 0.007 | -0.008 | 0.009 | 
| 42.922 | 43.021 | 252.061 | 0.020 | -0.024 | 0.027 | 
| -28.274 | -28.253 | -69.079 | 60.929 | -0.005 | 0.005 | 
| -30.391 | -30.367 | -14.865 | 0.004 | 76.751 | 0.006 | 
| -28.741 | -28.759 | -51.469 | -0.004 | 0.004 | 94.175 | 
| 285.380 | 98.762 | 83.522 | 18.525 | -0.000 | -0.000 | 
| 98.762 | 285.380 | 83.522 | -18.525 | -0.000 | -0.000 | 
| 81.057 | 81.057 | 392.419 | 0.000 | 0.000 | -0.000 | 
| 18.525 | -18.525 | -0.000 | 67.957 | 0.000 | -0.000 | 
| -0.000 | -0.000 | 0.000 | -0.000 | 67.957 | 18.525 | 
| -1051.864 | -1024.600 | 1054.708 | 4.269 | -21.433 | -107.056 | 
| 285.380 | 98.762 | 83.522 | 18.525 | 0.000 | 0.000 | 
| 98.762 | 285.380 | 83.522 | -18.525 | -0.000 | -0.000 | 
| 81.057 | 81.057 | 392.419 | 0.000 | -0.000 | 0.000 | 
| 186.615 | 121.323 | -199.223 | 38.094 | 0.908 | -2.017 | 
| 173.338 | 134.899 | -199.417 | -8.827 | 47.801 | 11.422 | 
| 1051.863 | 1024.608 | -1054.701 | -4.267 | -19.853 | -110.911 | 
| 285.380 | 98.762 | 83.522 | 18.525 | 0.000 | -0.000 | 
| 98.762 | 285.380 | 83.522 | -18.525 | -0.000 | -0.000 | 
| 81.057 | 81.057 | 392.419 | 0.000 | -0.000 | 0.000 | 
| 18.525 | -18.525 | 0.000 | 67.957 | 0.000 | -0.000 | 
| 0.000 | 0.000 | 0.000 | -0.000 | 67.957 | 18.525 | 
| -0.000 | 0.000 | 0.000 | -0.000 | 18.525 | 93.309 | 
| 285.379 | 98.762 | 83.522 | 18.525 | 0.000 | 0.000 | 
| 112.994 | 183.458 | 48.766 | -14.443 | 0.088 | -0.196 | 
| 81.057 | 81.057 | 392.419 | 0.000 | 0.000 | 0.000 | 
| 31.272 | 0.804 | -20.752 | 45.117 | 0.095 | -0.210 | 
| -0.000 | -0.000 | -0.000 | -0.000 | 67.957 | 18.525 | 
| 0.000 | -0.000 | -0.000 | -0.000 | 18.525 | 93.309 | 
| 117.750 | 35.659 | 33.774 | 7.458 | -0.007 | 0.016 | 
| 49.457 | 125.411 | 50.685 | -7.431 | -0.002 | 0.004 | 
| 23.720 | 22.930 | 95.121 | -0.196 | 0.018 | -0.038 | 
| 18.525 | -18.525 | 0.000 | 67.957 | -0.000 | 0.000 | 
| 0.000 | 0.000 | 0.000 | 0.000 | 67.957 | 18.525 | 
| -2.954 | -2.880 | 2.959 | 0.011 | 7.514 | 36.709 | 
| 131.769 | 55.802 | 45.043 | 7.503 | 0.002 | -0.005 | 
| 97.722 | 157.356 | 64.023 | -13.060 | 0.010 | -0.022 | 
| 0.860 | 1.139 | 56.985 | 0.101 | -0.002 | 0.005 | 
| 13.078 | -8.067 | -3.242 | 33.571 | 0.015 | -0.033 | 
| -0.000 | -0.000 | -0.000 | -0.000 | 67.957 | 18.525 | 
| 2.950 | 2.875 | -2.956 | -0.012 | 7.538 | 36.684 | 
| -43698954.169 | -39721201.969 | -40206785.663 | -1775119.804 | 354351.827 | 1952859.198 | 
| -43699370.567 | -39721220.796 | -40206933.970 | -1775155.933 | 354302.695 | 1952864.208 | 
| -43699319.195 | -39721248.080 | -40206885.454 | -1775146.874 | 354314.909 | 1952859.191 | 
| -43698197.358 | -39721221.393 | -40206564.575 | -1774971.127 | 354541.505 | 1952907.238 | 
| -43698144.678 | -39721231.564 | -40206548.182 | -1774979.035 | 354569.724 | 1952910.515 | 
| -43698259.833 | -39721223.397 | -40206574.451 | -1775004.235 | 354525.272 | 1952929.536 | 
| 43698675.438 | 39721271.362 | 40206723.572 | 1775051.875 | -354461.603 | -1952905.542 | 
| 43698163.064 | 39721303.998 | 40206580.370 | 1774978.100 | -354555.545 | -1952904.480 | 
| 43698173.267 | 39721271.709 | 40206611.941 | 1774983.022 | -354550.006 | -1952912.366 | 
| 43698576.634 | 39721227.894 | 40206668.420 | 1775071.040 | -354455.742 | -1952900.948 | 
| 43698974.087 | 39721259.025 | 40206815.486 | 1775102.771 | -354366.190 | -1952878.757 | 
| 43698251.594 | 39721214.370 | 40206570.658 | 1775003.632 | -354523.382 | -1952887.312 | 
| -4369557.220 | -3972070.048 | -4020555.978 | -177474.030 | 35481.324 | 195288.935 | 
| -4369888.260 | -3972052.611 | -4020657.696 | -177513.206 | 35433.548 | 195290.128 | 
| -4369767.915 | -3972079.231 | -4020590.666 | -177492.525 | 35461.114 | 195286.450 | 
| -4369920.359 | -3972124.540 | -4020691.528 | -177493.035 | 35436.046 | 195286.696 | 
| -4369832.453 | -3972126.371 | -4020656.013 | -177499.517 | 35468.432 | 195293.504 | 
| -4369815.785 | -3972124.366 | -4020653.464 | -177499.525 | 35455.575 | 195312.662 | 
| 4370007.982 | 3972169.451 | 4020733.277 | 177515.427 | -35436.810 | -195292.108 | 
| 4370210.074 | 3972221.621 | 4020815.610 | 177547.887 | -35385.994 | -195270.605 | 
| 4370073.490 | 3972182.336 | 4020796.170 | 177530.872 | -35408.918 | -195285.111 | 
| 4369946.640 | 3972131.548 | 4020696.625 | 177537.337 | -35425.890 | -195284.996 | 
| 4370671.273 | 3972195.157 | 4020984.344 | 177618.495 | -35300.522 | -195228.438 | 
| 4370166.901 | 3972144.819 | 4020781.933 | 177544.848 | -35387.619 | -195252.082 | 
| -436847.645 | -397167.758 | -402006.887 | -17742.790 | 3549.558 | 19524.386 | 
| -436940.933 | -397136.192 | -402031.411 | -17748.781 | 3547.000 | 19532.790 | 
| -436948.355 | -397168.096 | -402003.914 | -17747.161 | 3548.204 | 19524.910 | 
| -437039.710 | -397214.009 | -402089.036 | -17737.728 | 3537.256 | 19524.442 | 
| -437011.616 | -397218.309 | -402072.656 | -17751.979 | 3557.121 | 19530.476 | 
| -437042.406 | -397217.972 | -402085.870 | -17759.375 | 3535.553 | 19547.678 | 
| 437135.635 | 397261.490 | 402133.207 | 17760.318 | -3538.747 | -19529.486 | 
| 437086.190 | 397293.818 | 402124.768 | 17759.427 | -3533.421 | -19522.113 | 
| 437049.400 | 397258.683 | 402139.263 | 17757.825 | -3535.687 | -19531.374 | 
| 436955.870 | 397214.354 | 402055.415 | 17766.576 | -3548.318 | -19529.928 | 
| 437006.229 | 397210.256 | 402077.741 | 17755.053 | -3523.260 | -19525.410 | 
| 436950.667 | 397209.529 | 402057.832 | 17744.626 | -3550.539 | -19507.421 | 
| 572.775 | 75.413 | -99.501 | -0.214 | 229.142 | 0.125 | 
| 172.866 | 420.742 | 141.459 | -0.000 | -38.733 | 0.000 | 
| 90.111 | 142.278 | 461.551 | -0.000 | -24.245 | 0.000 | 
| -0.000 | 0.000 | 0.000 | 150.357 | -0.000 | -37.929 | 
| 82.713 | -38.578 | -24.245 | -0.000 | 97.728 | 0.000 | 
| 176.923 | -237.821 | -290.016 | -31.483 | 205.422 | 93.359 | 
| 496.125 | 156.693 | 79.236 | 0.000 | 124.108 | -0.000 | 
| 14.532 | 438.493 | 332.487 | 0.206 | -163.221 | -0.120 | 
| -71.097 | 324.634 | 581.532 | 0.182 | -206.468 | -0.106 | 
| 0.000 | -0.000 | -0.000 | 150.357 | 0.000 | -37.929 | 
| 82.713 | -38.578 | -24.245 | 0.000 | 97.728 | -0.000 | 
| -176.924 | 237.820 | 290.017 | -31.127 | -205.423 | 93.152 | 
| 496.126 | 156.694 | 79.236 | -0.000 | 124.108 | 0.000 | 
| 12.288 | 138.840 | -71.837 | -0.014 | -30.148 | 0.008 | 
| 24.089 | -13.628 | 163.058 | -0.016 | -2.116 | 0.009 | 
| 15.933 | -7.333 | -21.764 | 104.087 | 14.584 | -43.043 | 
| 82.713 | -38.578 | -24.245 | -0.000 | 97.728 | 0.000 | 
| 16.826 | -7.744 | -22.983 | -43.523 | 15.401 | 118.785 | 
| 496.125 | 156.693 | 79.236 | 0.000 | 124.108 | -0.000 | 
| 133.859 | 365.844 | 161.368 | 0.027 | -47.419 | -0.016 | 
| 98.040 | 146.255 | 360.850 | 0.039 | -27.502 | -0.023 | 
| -15.940 | 7.336 | 21.773 | 104.112 | -14.591 | -43.072 | 
| 38.139 | -23.179 | 12.069 | 0.024 | 65.316 | -0.014 | 
| -16.823 | 7.742 | 22.979 | -43.473 | -15.399 | 118.767 | 
| 185.957 | -27.590 | -8.616 | -0.002 | 28.326 | 0.001 | 
| -2.525 | 170.803 | -19.522 | -0.002 | -50.653 | 0.001 | 
| 26.957 | -59.334 | 107.358 | -0.033 | 4.654 | 0.019 | 
| 1.566 | -3.388 | -4.263 | 68.956 | 2.219 | -26.538 | 
| 47.596 | -29.302 | -9.349 | -0.003 | 76.874 | 0.002 | 
| 1.553 | -2.014 | -2.523 | -32.723 | 1.783 | 104.865 | 
| 184.779 | -22.753 | -7.477 | -0.006 | 25.123 | 0.003 | 
| 3.659 | 169.807 | -21.383 | 0.018 | -48.523 | -0.010 | 
| 35.007 | -39.333 | 112.894 | 0.004 | 2.398 | -0.002 | 
| -1.854 | 2.601 | 4.574 | 66.996 | -2.178 | -32.502 | 
| -10.409 | -36.893 | 13.001 | 0.004 | 49.687 | -0.002 | 
| -1.553 | 2.014 | 2.523 | -32.720 | -1.783 | 104.862 | 
| 5378.601 | 7424.113 | 1801.981 | 0.000 | -8472.195 | 0.000 | 
| 76.390 | 365.901 | 114.292 | 0.000 | 0.006 | 0.000 | 
| 3068.768 | 7639.052 | -807.087 | -0.000 | -7784.388 | 0.000 | 
| -553.618 | -633.790 | 405.297 | 71.567 | -938.448 | -0.507 | 
| 711.018 | -437.408 | 379.752 | -0.000 | -1856.285 | 0.000 | 
| 4211.937 | 4938.059 | 293.796 | -7.908 | -6273.649 | 60.420 | 
| 361.422 | 76.981 | 107.462 | 0.000 | 24.828 | -0.000 | 
| -3015.461 | -7547.809 | 908.553 | 0.000 | 7825.284 | -0.000 | 
| 659.254 | 748.310 | -132.728 | 0.000 | 946.148 | -0.000 | 
| 553.618 | 633.790 | -405.297 | 71.567 | 938.448 | -0.508 | 
| 548.210 | 632.575 | -397.653 | -0.000 | 1008.098 | -0.000 | 
| -3058.412 | -7586.648 | 831.458 | -6.658 | 7817.082 | 66.941 | 
| 118.895 | -27.543 | 70.086 | -0.000 | -149.898 | 0.000 | 
| 76.390 | 365.902 | 114.292 | 0.000 | 0.006 | -0.000 | 
| 105.165 | 113.822 | 341.262 | 0.000 | 4.148 | 0.000 | 
| 300.906 | 758.884 | -80.583 | 74.754 | -783.592 | -6.582 | 
| 455.738 | 520.855 | 43.075 | -0.000 | -555.209 | 0.000 | 
| 71.163 | -46.721 | 36.159 | 1.832 | -189.778 | 37.097 | 
| 361.421 | 76.980 | 107.462 | 0.000 | 24.828 | -0.000 | 
| -2.671 | 411.613 | 47.051 | -0.000 | 102.734 | -0.000 | 
| 161.127 | 178.047 | 232.051 | 0.000 | 101.760 | 0.000 | 
| -305.630 | -669.773 | 16.125 | -4.983 | 763.703 | -2.680 | 
| -59.089 | 205.513 | -44.241 | 0.000 | 168.530 | -0.000 | 
| -71.163 | 46.721 | -36.159 | 1.832 | 189.778 | 37.097 | 
| 87.515 | 67.850 | 70.304 | -0.000 | 6.767 | 0.000 | 
| 70.187 | 232.700 | 104.696 | -0.000 | -4.365 | -0.000 | 
| 88.234 | 81.626 | 213.681 | 0.000 | -5.043 | 0.000 | 
| 2.518 | -15.696 | 4.474 | 72.957 | -9.365 | -1.167 | 
| -6.209 | -0.305 | 4.148 | -0.000 | 109.628 | 0.000 | 
| 9.454 | -10.750 | 3.611 | 0.804 | -15.288 | 54.151 | 
| 0.825 | 6.480 | 49.446 | 0.000 | 55.326 | 0.000 | 
| 94.907 | 293.755 | 111.277 | 0.000 | 7.586 | -0.000 | 
| 77.236 | 116.318 | 205.910 | -0.000 | 10.862 | -0.000 | 
| -2.518 | 15.696 | -4.474 | 72.957 | 9.365 | -1.167 | 
| -1.483 | 16.488 | 0.174 | 0.000 | 82.806 | -0.000 | 
| -9.454 | 10.750 | -3.611 | 0.804 | 15.288 | 54.151 | 
| 5418.796 | 7967.626 | 4446.993 | -0.000 | -457.418 | 0.000 | 
| -215.886 | 1251.752 | 456.384 | -0.000 | 236.496 | -0.000 | 
| 4.923 | 1858.281 | 261.421 | 0.000 | 126.805 | 0.000 | 
| -318.859 | 1015.313 | 341.795 | 70.561 | 225.989 | 6.307 | 
| -3.943 | 9.332 | -3.462 | -0.000 | 106.534 | 0.000 | 
| -318.864 | 1015.328 | 341.800 | 6.410 | 225.992 | 66.177 | 
| 578.832 | -912.515 | -233.441 | -0.000 | -225.303 | -0.000 | 
| 95.330 | 311.789 | 117.210 | -0.000 | 9.435 | 0.000 | 
| -3060.909 | -7915.259 | -3413.356 | -0.000 | -369.542 | -0.000 | 
| 318.859 | -1015.313 | -341.795 | 70.561 | -225.989 | 6.307 | 
| -5348.988 | -8449.737 | -4434.471 | -0.000 | 1579.593 | -0.000 | 
| 318.864 | -1015.328 | -341.800 | 6.410 | -225.992 | 66.177 | 
| 228.670 | 204.283 | 142.487 | -0.000 | 23.319 | 0.000 | 
| 70.952 | 338.648 | 148.887 | 0.000 | 33.170 | -0.000 | 
| 209.123 | 740.410 | 345.359 | 0.000 | 69.281 | 0.000 | 
| -31.783 | 101.204 | 34.069 | 70.725 | 22.526 | 6.317 | 
| -37.284 | 112.429 | 30.480 | -0.000 | 94.403 | -0.000 | 
| -31.843 | 101.394 | 34.133 | 6.414 | 22.568 | 66.223 | 
| 291.406 | 1.387 | 74.236 | 0.000 | -21.919 | -0.000 | 
| 134.715 | 135.152 | 80.588 | -0.000 | -11.962 | -0.000 | 
| 139.891 | 13.775 | 199.014 | -0.000 | -26.171 | -0.000 | 
| 6.998 | -178.716 | -4.813 | 78.184 | -12.302 | 4.199 | 
| -108.084 | -103.931 | -59.969 | 0.000 | -6.840 | -0.000 | 
| 31.843 | -101.394 | -34.133 | 6.414 | -22.568 | 66.223 | 
| 147.540 | 93.342 | 13.569 | -0.000 | -8.074 | 0.000 | 
| 99.204 | 252.131 | 118.228 | 0.000 | 12.710 | 0.000 | 
| 78.217 | 95.476 | 216.239 | 0.000 | 5.443 | 0.000 | 
| 36.418 | 64.470 | 32.677 | 1.523 | -2.722 | 5.272 | 
| 56.046 | 77.068 | 58.968 | 0.000 | 18.071 | 0.000 | 
| 44.663 | 73.175 | 33.509 | -5.927 | -18.419 | 32.483 | 
| 132.830 | -12.586 | 16.763 | -0.000 | 11.679 | 0.000 | 
| 105.647 | 229.030 | 111.601 | 0.000 | 8.471 | -0.000 | 
| -21.080 | -14.181 | 85.526 | -0.000 | 18.996 | 0.000 | 
| -36.418 | -64.470 | -32.677 | 1.523 | 2.722 | 5.272 | 
| -2.251 | 1.117 | -6.932 | -0.000 | 72.343 | -0.000 | 
| -9.198 | -14.537 | -5.105 | 12.169 | -3.337 | 48.336 | 
| 332.182 | 94.592 | 99.634 | 0.000 | 4.729 | 0.000 | 
| 100.434 | 240.817 | 112.596 | -0.000 | 10.018 | -0.000 | 
| 99.989 | 113.805 | 298.976 | 0.000 | -4.356 | -0.000 | 
| -0.001 | -0.001 | 0.002 | 71.711 | 0.001 | 4.845 | 
| -3.895 | 8.795 | -4.356 | 0.000 | 105.587 | 0.000 | 
| -0.000 | 0.000 | 0.000 | 8.957 | 0.000 | 99.274 | 
| 260.646 | 101.689 | 105.388 | 0.000 | 0.855 | -0.000 | 
| 93.874 | 307.398 | 113.805 | -0.000 | 8.795 | 0.000 | 
| 99.989 | 113.805 | 298.976 | -0.000 | -4.356 | 0.000 | 
| 0.001 | 0.001 | -0.002 | 71.711 | -0.001 | 4.845 | 
| -4.968 | 9.954 | -4.986 | -0.000 | 76.598 | -0.000 | 
| 0.000 | -0.000 | -0.000 | 8.957 | -0.000 | 99.274 | 
| 332.183 | 94.592 | 99.634 | -0.000 | 4.729 | 0.000 | 
| 100.435 | 240.816 | 112.593 | 0.000 | 10.017 | 0.000 | 
| 82.617 | 81.022 | 206.547 | 0.000 | 1.546 | -0.000 | 
| -0.000 | -0.000 | 0.000 | 82.982 | 0.000 | 6.713 | 
| -3.895 | 8.795 | -4.356 | -0.000 | 105.587 | 0.000 | 
| -0.000 | -0.000 | 0.000 | 6.546 | 0.000 | 72.545 | 
| 260.647 | 101.687 | 105.391 | -0.000 | 0.855 | 0.000 | 
| 100.435 | 240.817 | 112.592 | -0.000 | 10.017 | -0.000 | 
| 105.121 | 112.666 | 237.515 | -0.000 | -4.978 | -0.000 | 
| 0.000 | 0.000 | -0.000 | 82.982 | -0.000 | 6.713 | 
| -4.969 | 9.952 | -4.983 | 0.000 | 76.594 | -0.000 | 
| 0.000 | 0.000 | -0.000 | 6.938 | -0.000 | 55.101 | 
| 260.955 | 101.657 | 105.367 | -0.000 | 0.872 | 0.000 | 
| 45.423 | 179.627 | 63.648 | -0.000 | 15.636 | -0.000 | 
| 105.103 | 112.670 | 237.732 | 0.000 | -4.976 | 0.000 | 
| 0.000 | -0.000 | 0.000 | 82.982 | 0.000 | 6.713 | 
| -1.850 | 9.445 | 0.569 | -0.000 | 68.195 | -0.000 | 
| 0.000 | 0.000 | 0.000 | 8.957 | 0.000 | 99.274 | 
| 219.314 | 71.302 | 76.379 | -0.000 | 4.663 | 0.000 | 
| 100.434 | 240.822 | 112.592 | -0.000 | 10.017 | 0.000 | 
| 54.279 | 62.271 | 185.952 | 0.000 | 6.738 | 0.000 | 
| -0.000 | 0.000 | -0.000 | 82.982 | -0.000 | 6.713 | 
| -4.969 | 9.952 | -4.983 | -0.000 | 76.588 | 0.000 | 
| -0.000 | -0.000 | -0.000 | 8.957 | -0.000 | 99.274 | 
| 1205.188 | 1080.636 | -567.885 | 2.196 | -0.399 | 0.691 | 
| 1072.180 | 1213.990 | -568.033 | 2.196 | -0.399 | 0.691 | 
| 1016.038 | 1024.662 | -303.062 | 2.192 | -0.398 | 0.690 | 
| 886.368 | 895.077 | -709.685 | 87.580 | -0.402 | 0.697 | 
| 1501.175 | 1507.579 | -356.766 | 1.691 | 79.029 | 0.500 | 
| 886.362 | 895.070 | -709.680 | 2.214 | -0.402 | 143.624 | 
| 434.295 | 208.688 | 131.151 | -0.000 | 0.000 | -0.000 | 
| 208.688 | 434.295 | 131.151 | -0.000 | 0.000 | 0.000 | 
| 133.395 | 133.395 | 501.712 | -0.000 | 0.000 | 0.000 | 
| -1501.177 | -1507.581 | 356.760 | 77.646 | 0.307 | -0.500 | 
| -1501.174 | -1507.578 | 356.768 | -1.691 | 79.643 | -0.500 | 
| -886.325 | -895.034 | 709.651 | -2.213 | 0.402 | 142.234 | 
| 434.295 | 208.688 | 131.151 | 0.000 | -0.000 | -0.000 | 
| 208.688 | 434.295 | 131.151 | 0.000 | -0.000 | 0.000 | 
| 226.834 | 227.703 | 327.994 | 0.221 | -0.040 | 0.070 | 
| 164.393 | 164.812 | -68.253 | 79.890 | -0.018 | 0.035 | 
| 86.381 | 87.229 | -69.162 | 0.216 | 86.606 | 0.068 | 
| 86.782 | 87.635 | -69.484 | 0.217 | -0.039 | 144.383 | 
| 225.467 | 97.312 | 211.274 | -0.234 | 0.042 | -0.074 | 
| 98.409 | 224.885 | 211.145 | -0.233 | 0.042 | -0.073 | 
| 19.784 | 18.602 | 458.277 | -0.300 | 0.055 | -0.095 | 
| -86.342 | -87.190 | 69.131 | 86.451 | 0.039 | -0.068 | 
| -164.394 | -164.814 | 68.277 | -0.098 | 79.796 | -0.035 | 
| -86.755 | -87.607 | 69.462 | -0.217 | 0.039 | 144.268 | 
| 146.857 | 134.073 | 34.825 | 0.012 | -0.002 | 0.005 | 
| 134.015 | 146.914 | 34.825 | 0.012 | -0.002 | 0.005 | 
| 61.908 | 62.007 | 7.229 | 0.025 | -0.005 | 0.008 | 
| 7.517 | 7.590 | -6.018 | 93.017 | -0.003 | 0.006 | 
| 7.514 | 7.588 | -6.017 | 0.019 | 93.005 | 0.006 | 
| 7.920 | 7.998 | -6.341 | 0.020 | -0.004 | 149.998 | 
| 308.188 | 182.044 | 143.992 | -0.024 | 0.004 | -0.007 | 
| 182.157 | 308.192 | 143.982 | -0.024 | 0.004 | -0.007 | 
| 67.782 | 67.632 | 57.876 | -0.033 | 0.006 | -0.013 | 
| -7.513 | -7.587 | 6.016 | 92.998 | 0.003 | -0.006 | 
| -7.515 | -7.589 | 6.017 | -0.019 | 93.009 | -0.006 | 
| -16.195 | -16.262 | 3.236 | -0.018 | 0.003 | 133.034 | 
| 315.877 | 159.581 | 121.766 | 0.000 | 0.000 | -0.000 | 
| 159.581 | 315.877 | 121.766 | 0.000 | -0.000 | -0.000 | 
| 116.384 | 116.384 | 469.986 | 0.000 | -0.000 | -0.000 | 
| 0.000 | 0.000 | -0.001 | 90.419 | -0.000 | -0.000 | 
| 0.000 | 0.000 | -0.001 | 0.000 | 90.419 | -0.000 | 
| -0.000 | -0.000 | 0.000 | 0.000 | 0.000 | 190.326 | 
| 315.878 | 159.581 | 121.769 | -0.000 | 0.000 | 0.000 | 
| 159.581 | 315.878 | 121.769 | -0.000 | 0.000 | 0.000 | 
| 116.384 | 116.384 | 469.985 | -0.000 | 0.000 | 0.000 | 
| -0.000 | -0.000 | 0.001 | 90.419 | -0.000 | 0.000 | 
| -0.000 | -0.000 | 0.001 | -0.000 | 90.419 | 0.000 | 
| 0.000 | 0.000 | -0.000 | -0.000 | 0.000 | 190.326 | 
| 315.876 | 159.581 | 121.767 | 0.000 | -0.000 | 0.000 | 
| 159.581 | 315.876 | 121.767 | 0.000 | -0.000 | 0.000 | 
| 116.384 | 116.384 | 469.986 | 0.000 | -0.000 | 0.000 | 
| 0.000 | 0.000 | 0.000 | 125.179 | 0.000 | 0.000 | 
| -0.000 | 0.000 | 0.000 | 0.000 | 125.179 | -0.000 | 
| 0.000 | 0.000 | -0.000 | 0.000 | -0.000 | 134.363 | 
| 414.530 | 181.098 | 116.384 | -0.000 | 0.000 | 0.000 | 
| 181.098 | 414.530 | 116.384 | -0.000 | 0.000 | -0.000 | 
| 123.208 | 123.208 | 340.777 | 0.000 | 0.000 | 0.000 | 
| 0.000 | -0.000 | -0.000 | 125.179 | 0.000 | 0.000 | 
| 0.000 | -0.000 | -0.000 | -0.000 | 125.179 | 0.000 | 
| -0.000 | -0.000 | 0.000 | 0.000 | -0.000 | 134.363 | 
| 237.188 | 106.923 | 68.953 | 0.000 | -0.000 | -0.000 | 
| 106.923 | 237.188 | 68.953 | 0.000 | -0.000 | 0.000 | 
| 53.570 | 53.570 | 230.080 | 0.000 | -0.000 | -0.000 | 
| -0.000 | -0.000 | 0.000 | 82.685 | -0.000 | -0.000 | 
| -0.000 | -0.000 | 0.000 | -0.000 | 82.685 | -0.000 | 
| -0.000 | 0.000 | -0.000 | 0.000 | 0.000 | 134.363 | 
| 315.887 | 159.583 | 121.766 | -0.000 | 0.000 | -0.000 | 
| 159.583 | 315.887 | 121.766 | -0.000 | 0.000 | -0.000 | 
| 92.177 | 92.177 | 149.644 | -0.000 | 0.000 | 0.000 | 
| 0.000 | 0.000 | -0.000 | 82.685 | 0.000 | 0.000 | 
| 0.000 | 0.000 | -0.000 | -0.000 | 82.685 | 0.000 | 
| 0.000 | -0.000 | 0.000 | -0.000 | -0.000 | 134.363 | 
| 417.987 | 97.637 | 84.195 | 0.000 | 0.000 | -0.000 | 
| 97.052 | 367.691 | 120.741 | 0.000 | 0.000 | -0.000 | 
| -426.138 | -146.654 | -1664.935 | -0.000 | 0.000 | 0.000 | 
| 0.000 | 0.000 | -0.000 | 125.349 | 0.000 | 0.000 | 
| 133.278 | -123.282 | -910.350 | -0.000 | 42.092 | 0.000 | 
| -5501.948 | -3550.856 | -7060.412 | -0.000 | 0.000 | 37.844 | 
| 171.199 | 229.457 | 1014.717 | 0.000 | -0.000 | 0.000 | 
| 97.052 | 367.691 | 120.741 | -0.000 | -0.000 | 0.000 | 
| -27.033 | 244.002 | 1164.757 | 0.000 | -0.000 | -0.000 | 
| 0.000 | -0.000 | 0.000 | 125.349 | 0.000 | 0.000 | 
| -133.278 | 123.282 | 910.350 | 0.000 | 42.092 | 0.000 | 
| 5501.948 | 3550.856 | 7060.412 | 0.000 | -0.000 | 37.844 | 
| -52.241 | -95.712 | -209.079 | -0.000 | 0.000 | -0.000 | 
| 40.893 | 201.309 | -110.224 | -0.000 | 0.000 | -0.000 | 
| 83.728 | 120.860 | 369.787 | -0.000 | 0.000 | 0.000 | 
| -762.462 | -374.129 | -808.505 | 54.775 | 0.000 | 0.000 | 
| 13.246 | -12.253 | -90.479 | -0.000 | 42.378 | -0.000 | 
| -48.729 | -22.548 | -186.413 | -0.000 | 0.000 | 49.560 | 
| 293.345 | 118.357 | 195.158 | 0.000 | -0.000 | -0.000 | 
| 139.009 | 250.475 | 264.105 | 0.000 | -0.000 | 0.000 | 
| 219.842 | 145.793 | 371.591 | 0.000 | -0.000 | -0.000 | 
| 762.462 | 374.129 | 808.505 | 54.775 | -0.000 | -0.000 | 
| -13.246 | 12.253 | 90.479 | 0.000 | 42.378 | -0.000 | 
| 48.729 | 22.548 | 186.413 | 0.000 | -0.000 | 49.560 | 
| 297.774 | 105.763 | 98.382 | -0.000 | 0.000 | 0.000 | 
| 83.960 | 231.769 | 59.961 | -0.000 | 0.000 | 0.000 | 
| -19.851 | 38.136 | 146.707 | -0.000 | 0.000 | 0.000 | 
| 0.000 | 0.000 | 0.000 | 125.349 | 0.000 | -0.000 | 
| -3.679 | -1.953 | -15.999 | -0.000 | 50.091 | -0.000 | 
| 0.988 | -0.914 | -6.747 | -0.000 | 0.000 | 58.613 | 
| 265.215 | 93.655 | 83.582 | 0.000 | 0.000 | -0.000 | 
| 103.869 | 283.446 | 128.969 | -0.000 | -0.000 | -0.000 | 
| 42.895 | 73.655 | 226.457 | 0.000 | -0.000 | -0.000 | 
| -0.000 | -0.000 | -0.000 | 125.349 | -0.000 | -0.000 | 
| 3.679 | 1.953 | 15.999 | 0.000 | 50.091 | 0.000 | 
| -0.988 | 0.914 | 6.747 | 0.000 | -0.000 | 58.613 | 
| 89.778 | 1040.415 | 381.162 | 0.000 | 0.000 | -0.000 | 
| -129.697 | 1256.536 | 375.436 | 0.000 | 0.000 | -0.000 | 
| 105.880 | 1959.988 | 2607.462 | -0.000 | -0.000 | -0.000 | 
| -223.595 | 947.840 | 259.013 | 79.582 | 0.000 | -0.000 | 
| -223.646 | 948.058 | 259.072 | -0.000 | 82.463 | -0.000 | 
| 33.164 | 1891.618 | 2444.122 | 0.000 | 0.000 | 42.716 | 
| 536.981 | -856.472 | -137.180 | -0.000 | 0.000 | 0.000 | 
| 317.810 | -640.505 | -142.942 | 0.000 | -0.000 | 0.000 | 
| 39.575 | -1823.088 | -2280.376 | 0.000 | -0.000 | 0.000 | 
| 223.595 | -947.840 | -259.013 | 79.582 | -0.000 | 0.000 | 
| 223.646 | -948.057 | -259.072 | 0.000 | 82.463 | 0.000 | 
| -33.164 | -1891.618 | -2444.122 | -0.000 | -0.000 | 42.716 | 
| 369.321 | 124.038 | 488.096 | -0.000 | -0.000 | -0.000 | 
| 93.428 | 386.561 | 324.955 | -0.000 | 0.000 | -0.000 | 
| 76.729 | 256.559 | 405.631 | -0.000 | 0.000 | -0.000 | 
| 0.000 | 0.000 | 0.000 | 113.934 | 0.000 | -0.000 | 
| 147.090 | 72.923 | 371.035 | -0.000 | 55.445 | -0.000 | 
| -22.342 | 94.709 | 25.881 | -0.000 | 0.000 | 63.027 | 
| 107.316 | -31.469 | -318.121 | 0.000 | -0.000 | 0.000 | 
| 116.382 | 213.357 | 90.404 | 0.000 | -0.000 | 0.000 | 
| 147.027 | 17.392 | 235.793 | 0.000 | -0.000 | 0.000 | 
| -0.000 | -0.000 | -0.000 | 113.934 | 0.000 | 0.000 | 
| -147.090 | -72.923 | -371.035 | 0.000 | 55.445 | 0.000 | 
| 22.342 | -94.709 | -25.881 | -0.000 | -0.000 | 63.027 | 
| 253.288 | 38.504 | 74.535 | 0.000 | -0.000 | -0.000 | 
| 88.216 | 258.386 | 97.650 | -0.000 | -0.000 | 0.000 | 
| 116.726 | 109.175 | 339.928 | -0.000 | -0.000 | 0.000 | 
| -0.128 | 13.909 | 16.479 | 64.112 | 0.000 | -0.000 | 
| 12.305 | 8.192 | 34.479 | -0.000 | 61.457 | -0.000 | 
| -0.231 | 14.196 | 16.414 | -0.000 | 0.000 | 53.258 | 
| 243.635 | 32.601 | 15.939 | 0.000 | 0.000 | 0.000 | 
| 86.852 | 247.880 | 66.721 | 0.000 | 0.000 | 0.000 | 
| 85.272 | 63.980 | 173.484 | 0.000 | -0.000 | 0.000 | 
| 0.128 | -13.909 | -16.479 | 64.112 | -0.000 | -0.000 | 
| -12.305 | -8.192 | -34.479 | 0.000 | 61.457 | 0.000 | 
| 0.231 | -14.196 | -16.414 | -0.000 | -0.000 | 53.258 | 
| 343.593 | 111.498 | 104.832 | -0.701 | -0.799 | 0.000 | 
| -1623.554 | -1448.722 | 7721.837 | -0.354 | -0.091 | -0.000 | 
| 12014.105 | 12014.105 | -1963.849 | -0.000 | 0.000 | 0.000 | 
| -0.701 | 0.701 | 0.000 | 109.527 | 0.000 | 0.799 | 
| -1741.539 | -1741.722 | 7612.597 | -0.000 | 81.907 | 0.354 | 
| -1741.630 | -1741.630 | 7612.597 | -0.091 | 0.354 | 87.412 | 
| 2052.286 | 1878.069 | -7583.310 | 0.365 | 0.101 | -0.000 | 
| 2048.526 | 2168.836 | -13690.651 | -8.904 | -2.058 | 0.000 | 
| 104.804 | 104.804 | 344.260 | 0.000 | -0.000 | -0.000 | 
| 2033.418 | 2015.551 | -13812.643 | 58.090 | 0.000 | -2.070 | 
| -5597.312 | -5597.713 | -13486.833 | -0.000 | 44.812 | 2.151 | 
| 2032.409 | 2032.408 | -13741.411 | -2.055 | 8.909 | 60.247 | 
| 145.023 | 52.180 | -205.512 | -2.964 | -3.179 | -0.001 | 
| 711.178 | 807.671 | 2004.111 | 4.612 | -0.354 | 0.001 | 
| 655.192 | 655.192 | 1528.190 | 0.000 | 0.000 | -0.000 | 
| 278.370 | 274.722 | 305.481 | 50.540 | -0.000 | -1.212 | 
| -79.090 | -69.765 | -10.854 | -0.000 | 39.727 | -3.776 | 
| 751.490 | 751.489 | 2031.713 | -0.355 | -4.557 | 48.854 | 
| 467.009 | 292.257 | -652.053 | 0.355 | 0.092 | -0.000 | 
| 90.531 | 201.528 | 64.979 | 3.787 | 4.717 | -0.000 | 
| 284.290 | 284.290 | -462.842 | -0.000 | -0.000 | 0.000 | 
| -275.286 | -278.914 | -305.515 | 50.519 | -0.000 | -1.208 | 
| -752.605 | -753.307 | -2030.030 | -0.000 | 41.498 | -4.560 | 
| -752.937 | -752.939 | -2029.936 | -0.351 | -4.560 | 48.835 | 
| 275.778 | 100.529 | 185.700 | 0.346 | 0.085 | -0.000 | 
| -20.103 | 110.442 | 171.424 | -8.569 | -1.929 | 0.000 | 
| 187.482 | 187.482 | 309.196 | -0.000 | 0.000 | 0.000 | 
| -11.610 | -4.445 | 0.449 | 40.350 | 0.000 | 4.545 | 
| 36.422 | 41.588 | 207.971 | -0.000 | 35.115 | -4.391 | 
| -19.708 | -19.708 | 142.918 | -1.570 | 8.056 | 59.157 | 
| -66.432 | -153.703 | 23.638 | -2.753 | -2.397 | 0.001 | 
| 27.013 | 128.759 | -95.285 | -8.548 | -1.995 | 0.000 | 
| 34.189 | 34.189 | 25.668 | -0.000 | -0.000 | -0.000 | 
| -53.678 | -57.899 | -132.540 | 45.788 | 0.000 | -0.178 | 
| 21.713 | 17.914 | -137.120 | -0.000 | 54.316 | 8.237 | 
| -55.680 | -55.679 | -132.416 | -0.178 | 2.106 | 47.996 | 
| 1962.378 | 1852.414 | 1208.334 | 0.072 | 0.196 | -0.006 | 
| 1852.414 | 1962.378 | 1208.334 | 0.072 | 0.196 | -0.006 | 
| 156.973 | 156.973 | 436.449 | -0.000 | -0.000 | 0.000 | 
| 0.000 | 0.000 | 0.000 | 157.372 | -0.000 | 0.000 | 
| 0.000 | 0.000 | 0.000 | 0.000 | 157.372 | 0.000 | 
| 1963.477 | 1963.477 | 3752.688 | 0.065 | 0.177 | 139.314 | 
| -1412.155 | -1525.960 | -969.959 | -0.071 | -0.192 | 0.006 | 
| -1525.960 | -1412.155 | -969.959 | -0.071 | -0.192 | 0.006 | 
| -1648.992 | -1648.992 | -854.490 | -0.074 | -0.201 | 0.006 | 
| -0.000 | -0.000 | 0.000 | 157.372 | -0.000 | -0.000 | 
| -0.000 | -0.000 | 0.000 | -0.000 | 157.372 | 0.000 | 
| -1963.477 | -1963.477 | -3752.687 | -0.065 | -0.177 | 139.323 | 
| 520.386 | 335.731 | 453.305 | 0.005 | 0.014 | -0.000 | 
| 335.742 | 520.394 | 453.358 | 0.005 | 0.014 | -0.000 | 
| 267.798 | 267.798 | 551.345 | 0.000 | 0.001 | -0.000 | 
| 221.108 | 221.108 | 324.717 | 91.830 | 0.003 | -0.000 | 
| 221.108 | 221.108 | 324.719 | 0.001 | 91.835 | -0.000 | 
| 160.378 | 160.378 | 103.433 | 0.007 | 0.018 | 98.120 | 
| 144.376 | 5.705 | 21.315 | -0.006 | -0.017 | 0.001 | 
| 5.705 | 144.376 | 21.315 | -0.006 | -0.017 | 0.001 | 
| 156.973 | 156.973 | 436.449 | 0.000 | -0.000 | 0.000 | 
| -221.109 | -221.109 | -324.714 | 91.824 | -0.003 | 0.000 | 
| -221.109 | -221.109 | -324.712 | -0.001 | 91.820 | 0.000 | 
| -160.379 | -160.379 | -103.434 | -0.007 | -0.018 | 98.120 | 
| 342.744 | 138.014 | 114.789 | 0.000 | 0.000 | -0.000 | 
| 137.971 | 342.716 | 114.763 | 0.000 | 0.000 | -0.000 | 
| 97.775 | 97.775 | 295.182 | 0.000 | 0.000 | -0.000 | 
| 20.026 | 20.026 | 42.309 | 65.900 | 0.001 | -0.000 | 
| 20.026 | 20.026 | 42.309 | 0.000 | 65.900 | -0.000 | 
| 24.578 | 24.578 | 42.888 | 0.001 | 0.002 | 116.075 | 
| 291.785 | 112.304 | 32.288 | -0.000 | -0.001 | 0.000 | 
| 112.304 | 291.785 | 32.288 | -0.000 | -0.001 | 0.000 | 
| 57.856 | 57.856 | 209.559 | -0.001 | -0.002 | 0.000 | 
| -20.026 | -20.026 | -42.309 | 65.899 | -0.001 | 0.000 | 
| -20.026 | -20.026 | -42.309 | -0.000 | 65.899 | 0.000 | 
| -24.578 | -24.578 | -42.888 | -0.001 | -0.002 | 116.075 | 
| 316.968 | 91.709 | 68.748 | 0.000 | -0.000 | 0.000 | 
| 91.709 | 316.968 | 68.748 | 0.000 | 0.000 | 0.000 | 
| 79.610 | 79.610 | 264.778 | -0.000 | 0.000 | 0.000 | 
| 0.000 | 0.000 | 0.000 | 139.620 | 0.000 | 0.000 | 
| 0.000 | 0.000 | 0.000 | 0.000 | 139.620 | 0.000 | 
| 0.000 | -0.000 | -0.000 | 0.000 | 0.000 | 161.812 | 
| 348.059 | 134.576 | 102.306 | -0.000 | 0.000 | -0.000 | 
| 134.576 | 348.059 | 102.307 | 0.000 | -0.000 | -0.000 | 
| 90.130 | 90.130 | 269.747 | -0.000 | 0.000 | -0.000 | 
| -0.000 | -0.000 | -0.000 | 139.620 | 0.000 | -0.000 | 
| -0.000 | 0.000 | -0.000 | 0.000 | 139.620 | -0.000 | 
| -0.000 | 0.000 | -0.000 | -0.000 | -0.000 | 161.812 | 
| 321.856 | 97.445 | 71.948 | -0.000 | 0.000 | 0.000 | 
| 97.445 | 321.856 | 71.948 | -0.000 | -0.000 | 0.000 | 
| 129.552 | 129.552 | 377.665 | 0.000 | 0.000 | 0.000 | 
| -0.660 | -0.660 | -0.368 | 72.008 | -0.000 | 0.000 | 
| -0.660 | -0.660 | -0.368 | -0.000 | 72.008 | 0.000 | 
| -0.368 | -0.368 | -0.220 | -0.000 | -0.000 | 124.169 | 
| 322.812 | 98.575 | 72.534 | -0.000 | -0.000 | -0.000 | 
| 98.575 | 322.812 | 72.534 | -0.000 | 0.000 | -0.000 | 
| 129.552 | 129.552 | 377.665 | 0.000 | -0.000 | -0.000 | 
| 0.660 | 0.660 | 0.368 | 72.008 | -0.000 | -0.000 | 
| 0.660 | 0.660 | 0.368 | -0.000 | 72.008 | -0.000 | 
| 0.368 | 0.368 | 0.220 | -0.000 | -0.000 | 124.169 | 
| 303.385 | 98.570 | 53.009 | 0.000 | 0.000 | 0.000 | 
| 98.570 | 303.385 | 53.009 | 0.000 | -0.000 | 0.000 | 
| 57.994 | 57.994 | 217.551 | 0.000 | 0.000 | 0.000 | 
| -0.066 | -0.066 | -0.037 | 72.010 | 0.000 | 0.000 | 
| -0.066 | -0.066 | -0.037 | -0.000 | 72.010 | 0.000 | 
| -0.087 | -0.087 | -0.045 | 0.000 | 0.000 | 114.132 | 
| 322.406 | 98.078 | 72.282 | 0.000 | -0.000 | -0.000 | 
| 97.670 | 313.219 | 52.500 | 0.000 | 0.000 | -0.000 | 
| 58.099 | 58.099 | 217.718 | 0.000 | 0.000 | -0.000 | 
| 0.066 | 0.066 | 0.037 | 72.010 | -0.000 | -0.000 | 
| 0.066 | 0.066 | 0.037 | 0.000 | 72.010 | -0.000 | 
| 0.069 | 0.069 | 0.116 | -0.000 | -0.000 | 106.497 | 
| 11.790 | -37.843 | -2062.704 | -0.000 | -0.000 | 0.000 | 
| -37.843 | 11.791 | -2062.704 | -0.000 | 0.000 | -0.000 | 
| 352.875 | 352.875 | -2393.985 | -0.000 | 0.000 | 0.000 | 
| 0.000 | -0.000 | 0.000 | 79.887 | 0.000 | -0.000 | 
| -0.000 | 0.000 | 0.000 | -0.000 | 79.887 | 0.000 | 
| -604.988 | -604.988 | -54.579 | -0.000 | 0.000 | 50.878 | 
| 513.230 | 474.357 | 2159.959 | 0.000 | 0.000 | -0.000 | 
| 474.357 | 513.230 | 2159.959 | 0.000 | -0.000 | 0.000 | 
| 65.700 | 65.700 | 2157.999 | 0.000 | 0.000 | 0.000 | 
| 605.047 | 605.047 | 54.585 | 43.914 | -0.000 | -0.000 | 
| 605.047 | 605.047 | 54.585 | 0.000 | 43.914 | -0.000 | 
| 604.988 | 604.988 | 54.579 | 0.000 | -0.000 | 50.878 | 
| 118.515 | 31.759 | 61.651 | -0.000 | 0.000 | 0.000 | 
| 31.759 | 118.515 | 61.651 | -0.000 | 0.000 | -0.000 | 
| 17.943 | 17.943 | -94.897 | -0.000 | -0.000 | 0.000 | 
| 0.000 | 0.000 | 0.000 | 79.887 | 0.000 | 0.000 | 
| 0.000 | 0.000 | 0.000 | -0.000 | 79.887 | 0.000 | 
| 0.000 | 0.000 | 0.000 | -0.000 | 0.000 | 87.642 | 
| 287.730 | 85.955 | 75.455 | 0.000 | 0.000 | -0.000 | 
| 85.955 | 287.730 | 75.455 | -0.000 | 0.000 | 0.000 | 
| 121.357 | 121.357 | 208.598 | 0.000 | 0.000 | -0.000 | 
| -0.000 | -0.000 | -0.000 | 79.887 | 0.000 | -0.000 | 
| -0.000 | -0.000 | -0.000 | -0.000 | 79.887 | -0.000 | 
| -0.000 | -0.000 | -0.000 | 0.000 | 0.000 | 87.642 | 
| 287.732 | 85.956 | 75.456 | -0.000 | -0.000 | 0.000 | 
| 55.277 | 126.905 | 21.211 | -0.000 | -0.000 | 0.000 | 
| 23.692 | 23.692 | 128.959 | 0.000 | 0.000 | 0.000 | 
| -2.052 | -2.052 | -11.674 | 42.169 | 0.000 | 0.000 | 
| -2.052 | -2.052 | -11.674 | -0.000 | 42.169 | 0.000 | 
| -4.985 | -4.985 | -0.450 | -0.000 | -0.000 | 57.352 | 
| 132.627 | 50.101 | 41.910 | -0.000 | -0.000 | 0.000 | 
| 50.101 | 132.627 | 41.910 | 0.000 | 0.000 | 0.000 | 
| 49.937 | 49.937 | 179.639 | 0.000 | -0.000 | 0.000 | 
| 2.052 | 2.052 | 11.674 | 42.169 | 0.000 | -0.000 | 
| 2.052 | 2.052 | 11.674 | 0.000 | 42.169 | 0.000 | 
| 4.985 | 4.985 | 0.450 | 0.000 | -0.000 | 57.352 | 
| 259.869 | 74.981 | 65.561 | -0.000 | -0.000 | -0.000 | 
| 74.981 | 259.869 | 65.561 | -0.000 | -0.000 | -0.000 | 
| 65.561 | 65.561 | 258.878 | -0.000 | -0.000 | -0.000 | 
| 0.001 | 0.001 | -0.001 | 43.439 | -0.000 | -0.000 | 
| 0.001 | 0.001 | -0.001 | -0.000 | 43.439 | -0.000 | 
| -0.000 | -0.000 | 0.000 | -0.000 | -0.000 | 82.283 | 
| 166.879 | 72.052 | 53.528 | 0.000 | 0.000 | 0.000 | 
| 72.052 | 166.879 | 53.528 | 0.000 | 0.000 | 0.000 | 
| 65.561 | 65.561 | 258.878 | 0.000 | 0.000 | 0.000 | 
| -0.001 | -0.001 | 0.001 | 43.439 | 0.000 | 0.000 | 
| -0.001 | -0.001 | 0.001 | 0.000 | 43.439 | 0.000 | 
| 0.000 | 0.000 | -0.000 | 0.000 | 0.000 | 82.283 | 
| 145.701 | 50.944 | 35.778 | -0.000 | -0.000 | -0.000 | 
| 50.944 | 145.701 | 35.778 | -0.000 | -0.000 | -0.000 | 
| 51.681 | 51.681 | 171.798 | -0.000 | -0.000 | -0.000 | 
| 0.000 | 0.000 | 0.000 | 73.009 | -0.000 | -0.000 | 
| 0.000 | 0.000 | 0.000 | -0.000 | 73.009 | -0.000 | 
| 0.000 | 0.000 | 0.000 | -0.000 | -0.000 | 82.283 | 
| 166.881 | 72.053 | 53.527 | 0.000 | 0.000 | 0.000 | 
| 72.053 | 166.881 | 53.527 | 0.000 | 0.000 | 0.000 | 
| 35.080 | 35.080 | 154.291 | 0.000 | 0.000 | 0.000 | 
| -0.000 | -0.000 | -0.000 | 73.009 | 0.000 | 0.000 | 
| -0.000 | 0.000 | -0.000 | 0.000 | 73.009 | 0.000 | 
| -0.000 | -0.000 | -0.000 | 0.000 | 0.000 | 82.283 | 
| 145.686 | 50.953 | 35.783 | -0.000 | -0.000 | -0.000 | 
| 50.953 | 145.686 | 35.783 | -0.000 | -0.000 | -0.000 | 
| 51.678 | 51.678 | 171.779 | -0.000 | -0.000 | -0.000 | 
| 0.000 | 0.000 | -0.000 | 49.557 | -0.000 | -0.000 | 
| 0.000 | 0.000 | -0.000 | -0.000 | 49.557 | -0.000 | 
| 0.000 | 0.000 | 0.000 | -0.000 | -0.000 | 82.283 | 
| 259.867 | 74.981 | 65.560 | 0.000 | 0.000 | 0.000 | 
| 74.981 | 259.867 | 65.560 | 0.000 | 0.000 | 0.000 | 
| 28.521 | 28.521 | 140.664 | 0.000 | 0.000 | 0.000 | 
| -0.000 | -0.000 | 0.000 | 49.557 | 0.000 | -0.000 | 
| -0.000 | -0.000 | 0.000 | 0.000 | 49.557 | 0.000 | 
| -0.000 | -0.000 | -0.000 | 0.000 | 0.000 | 82.283 | 
| -5292192.140 | 14525265.660 | 13944802.411 | -11436756.803 | -3466589.235 | -10295342.140 | 
| -5291594.193 | 14525421.976 | 13945027.216 | -11436706.934 | -3466877.143 | -10295414.796 | 
| -5291931.117 | 14525335.670 | 13944954.798 | -11436731.532 | -3466728.056 | -10295367.867 | 
| -5291908.238 | 14525291.679 | 13944880.540 | -11436672.738 | -3466731.520 | -10295382.619 | 
| -5291361.053 | 14525367.705 | 13945044.592 | -11436682.354 | -3466986.240 | -10295437.699 | 
| -5292009.801 | 14525278.804 | 13944858.281 | -11436732.167 | -3466669.590 | -10295371.012 | 
| 5291271.911 | -14525366.174 | -13945068.787 | 11436671.979 | 3467046.814 | 10295468.195 | 
| 5291856.829 | -14525212.887 | -13944849.000 | 11436722.889 | 3466763.213 | 10295396.831 | 
| 5291524.778 | -14525298.218 | -13944919.683 | 11436698.153 | 3466910.407 | 10295443.268 | 
| 5291538.539 | -14525343.730 | -13944996.849 | 11436756.578 | 3466911.156 | 10295429.350 | 
| 5292140.173 | -14525259.474 | -13944815.544 | 11436750.115 | 3466630.339 | 10295368.796 | 
| 5291462.095 | -14525352.796 | -13945011.275 | 11436698.692 | 3466961.151 | 10295438.420 | 
| -529467.592 | 1452503.172 | 1394409.974 | -1143699.276 | -346534.783 | -1029496.126 | 
| -529020.952 | 1452638.972 | 1394588.855 | -1143661.199 | -346749.608 | -1029551.611 | 
| -529308.778 | 1452559.504 | 1394531.517 | -1143682.386 | -346623.793 | -1029510.297 | 
| -529331.519 | 1452509.098 | 1394443.252 | -1143627.214 | -346604.828 | -1029520.216 | 
| -528895.979 | 1452569.242 | 1394572.655 | -1143645.313 | -346805.744 | -1029562.472 | 
| -529406.157 | 1452499.743 | 1394429.119 | -1143684.334 | -346556.882 | -1029511.227 | 
| 528758.820 | -1452573.684 | -1394610.538 | 1143630.601 | 346888.439 | 1029598.853 | 
| 529363.592 | -1452418.399 | -1394386.081 | 1143683.926 | 346596.197 | 1029525.069 | 
| 529084.782 | -1452496.507 | -1394440.481 | 1143663.438 | 346717.116 | 1029565.577 | 
| 529045.103 | -1452549.573 | -1394534.008 | 1143717.453 | 346744.012 | 1029557.510 | 
| 529455.360 | -1452491.606 | -1394411.227 | 1143695.893 | 346557.220 | 1029517.870 | 
| 528976.852 | -1452557.373 | -1394545.888 | 1143660.101 | 346790.703 | 1029565.435 | 
| -53036.492 | 145248.652 | 139417.363 | -114380.808 | -34602.400 | -102930.616 | 
| -52691.078 | 145370.753 | 139567.156 | -114350.859 | -34770.374 | -102973.587 | 
| -52847.623 | 145310.064 | 139550.756 | -114361.848 | -34710.859 | -102946.510 | 
| -52960.118 | 145246.966 | 139435.010 | -114313.805 | -34648.085 | -102946.229 | 
| -52788.720 | 145269.806 | 139483.329 | -114353.591 | -34719.343 | -102959.224 | 
| -52950.532 | 145250.008 | 139447.021 | -114364.808 | -34640.162 | -102947.034 | 
| 52705.943 | -145265.684 | -139502.031 | 114342.501 | 34770.303 | 102992.994 | 
| 52907.009 | -145168.816 | -139404.557 | 114364.084 | 34680.691 | 102960.681 | 
| 52949.953 | -145201.094 | -139359.408 | 114369.118 | 34644.868 | 102965.125 | 
| 52742.137 | -145276.384 | -139503.000 | 114408.603 | 34752.112 | 102976.713 | 
| 53000.948 | -145241.813 | -139428.817 | 114376.571 | 34640.072 | 102953.606 | 
| 52859.960 | -145259.580 | -139459.603 | 114367.434 | 34709.761 | 102963.012 | 
| 276.676 | 109.400 | 87.042 | -0.000 | -0.000 | 0.000 | 
| 106.522 | 340.528 | 110.725 | -0.000 | 0.000 | 0.000 | 
| 70.867 | 110.725 | 364.554 | -0.000 | -0.000 | 0.000 | 
| 0.000 | -0.000 | 0.000 | 77.521 | 0.000 | 0.000 | 
| 0.001 | 0.000 | 0.001 | -0.000 | 55.074 | 0.000 | 
| 0.000 | 0.000 | 0.000 | -0.000 | 0.000 | 111.957 | 
| 353.496 | 106.522 | 70.867 | 0.000 | -0.000 | -0.000 | 
| 106.522 | 340.529 | 110.725 | 0.000 | 0.000 | -0.000 | 
| 50.374 | 84.817 | 240.241 | -0.000 | -0.000 | -0.000 | 
| -0.000 | 0.000 | -0.000 | 77.521 | -0.000 | -0.000 | 
| -0.001 | -0.000 | -0.001 | 0.000 | 55.074 | -0.000 | 
| 0.000 | 0.000 | 0.000 | 0.000 | -0.000 | 111.957 | 
| 276.675 | 109.400 | 87.042 | -0.000 | 0.000 | 0.000 | 
| 109.283 | 272.765 | 119.010 | 0.000 | 0.000 | 0.000 | 
| 85.688 | 118.638 | 287.027 | 0.000 | -0.000 | 0.000 | 
| 0.000 | 0.000 | 0.000 | 116.413 | -0.000 | -0.000 | 
| 0.000 | 0.000 | 0.000 | -0.000 | 76.358 | 0.000 | 
| 0.000 | 0.000 | 0.000 | 0.000 | 0.000 | 111.957 | 
| 276.677 | 109.400 | 87.041 | 0.000 | -0.000 | -0.000 | 
| 106.522 | 340.528 | 110.725 | -0.000 | -0.000 | 0.000 | 
| 69.853 | 107.154 | 262.900 | 0.000 | -0.000 | -0.000 | 
| -0.000 | -0.000 | -0.000 | 116.413 | -0.000 | -0.000 | 
| -0.000 | -0.000 | -0.000 | 0.000 | 76.358 | -0.000 | 
| -0.000 | -0.000 | -0.000 | 0.000 | -0.000 | 111.957 | 
| 241.627 | 90.255 | 68.431 | -0.000 | 0.000 | 0.000 | 
| 106.522 | 340.530 | 110.725 | 0.000 | -0.000 | 0.000 | 
| 69.845 | 107.150 | 262.950 | -0.000 | 0.000 | -0.000 | 
| 0.000 | -0.000 | 0.000 | 84.196 | 0.000 | 0.000 | 
| -0.000 | 0.000 | -0.000 | 0.000 | 55.074 | -0.000 | 
| -0.000 | 0.000 | 0.000 | 0.000 | 0.000 | 82.311 | 
| 241.614 | 90.234 | 68.407 | -0.000 | 0.000 | -0.000 | 
| 106.521 | 340.527 | 110.725 | 0.000 | -0.000 | 0.000 | 
| 85.691 | 118.639 | 287.010 | -0.000 | -0.000 | -0.000 | 
| -0.000 | 0.000 | -0.000 | 84.196 | -0.000 | -0.000 | 
| 0.000 | -0.000 | 0.000 | -0.000 | 55.074 | -0.000 | 
| 0.000 | -0.000 | -0.000 | -0.000 | -0.000 | 82.311 | 
| -14738.695 | -5472.952 | -20298.910 | -0.000 | 0.023 | -0.009 | 
| -17256.913 | -5832.972 | -20841.769 | -0.000 | -0.016 | 0.007 | 
| 1228.418 | 3916.513 | -4586.294 | 0.000 | -0.011 | 0.005 | 
| -16959.838 | -4461.102 | -19676.893 | 50.302 | -0.014 | 0.006 | 
| 1137.889 | 3797.546 | -4884.290 | 0.000 | 52.384 | 0.005 | 
| 1137.889 | 3797.545 | -4884.289 | -0.000 | -0.011 | 70.266 | 
| -2782.525 | -1145.718 | 3807.182 | -0.000 | 0.001 | -0.000 | 
| 17408.937 | 6118.015 | 20952.366 | -0.000 | 0.016 | -0.007 | 
| 79.129 | 117.137 | 378.138 | 0.000 | -0.000 | -0.000 | 
| 16959.838 | 4461.102 | 19676.893 | 50.302 | 0.014 | -0.006 | 
| -1137.889 | -3797.546 | 4884.290 | 0.000 | 52.407 | -0.005 | 
| -1137.889 | -3797.545 | 4884.289 | -0.000 | 0.011 | 70.256 | 
| 366.874 | 333.575 | -266.093 | 0.000 | -0.000 | 0.000 | 
| -1641.010 | -444.060 | -2029.074 | 0.000 | -0.002 | 0.001 | 
| -1391.589 | -645.576 | -2659.511 | 0.000 | -0.004 | 0.001 | 
| 113.719 | 379.521 | -488.129 | 74.947 | -0.001 | 0.000 | 
| -1695.876 | -446.182 | -1967.524 | 0.000 | 48.886 | 0.001 | 
| 0.000 | 0.000 | 0.000 | 0.000 | 0.000 | 115.345 | 
| 362.645 | 113.228 | 79.640 | -0.000 | -0.000 | -0.000 | 
| 1503.733 | 650.755 | 1765.815 | -0.000 | 0.001 | -0.001 | 
| -23.110 | -261.015 | 785.150 | -0.000 | 0.001 | -0.000 | 
| -113.719 | -379.521 | 488.129 | 74.947 | 0.001 | -0.000 | 
| 1695.876 | 446.182 | 1967.524 | -0.000 | 48.889 | -0.001 | 
| -0.000 | -0.000 | -0.000 | -0.000 | -0.000 | 115.345 | 
| 294.387 | 154.309 | 43.070 | 0.000 | -0.000 | 0.000 | 
| -72.639 | 113.003 | -135.215 | 0.000 | -0.001 | 0.000 | 
| -140.118 | -10.440 | -106.307 | 0.000 | -0.000 | 0.000 | 
| -168.262 | -57.366 | -206.311 | 32.398 | -0.000 | 0.000 | 
| -168.351 | -44.499 | -195.675 | 0.000 | 49.434 | 0.000 | 
| -168.433 | -52.819 | -207.105 | 0.000 | 0.000 | 23.484 | 
| 226.568 | 60.814 | 105.747 | -0.000 | 0.000 | -0.000 | 
| 75.955 | 207.207 | 140.314 | -0.000 | 0.000 | -0.000 | 
| 152.978 | 90.550 | 243.782 | -0.000 | -0.000 | 0.000 | 
| 168.272 | 57.371 | 206.320 | 32.399 | 0.000 | -0.000 | 
| 168.351 | 44.499 | 195.674 | -0.000 | 49.434 | -0.000 | 
| 168.433 | 52.819 | 207.105 | -0.000 | -0.000 | 23.484 | 
| 367.812 | 78.122 | 112.363 | -0.000 | 24.834 | -0.000 | 
| -2897.051 | -829.366 | 1012.840 | -0.000 | -759.652 | -0.000 | 
| 110.250 | 113.635 | 340.451 | 0.000 | 5.722 | 0.000 | 
| -0.000 | 0.000 | 0.000 | 116.925 | -0.000 | -0.697 | 
| -7.211 | -0.276 | 5.722 | 0.000 | 112.855 | -0.000 | 
| -2995.152 | -1070.161 | 894.383 | -0.301 | -755.595 | 30.373 | 
| 367.812 | 78.122 | 112.363 | 0.000 | 24.834 | 0.000 | 
| 2082.796 | 5229.871 | 1112.200 | 0.000 | 255.533 | 0.000 | 
| 2080.902 | 5200.485 | 1166.341 | -0.000 | 245.990 | 0.000 | 
| 0.000 | -0.000 | -0.000 | 116.925 | -0.000 | -0.697 | 
| 2990.928 | 1068.526 | -884.420 | 0.000 | 803.350 | 0.000 | 
| 2995.152 | 1070.161 | -894.383 | -0.301 | 755.595 | 30.373 | 
| -29.103 | -0.321 | 197.167 | -0.000 | -64.591 | -0.000 | 
| -197.803 | 134.711 | 206.843 | -0.000 | -78.730 | -0.000 | 
| -209.090 | 2.287 | 331.241 | -0.000 | -68.777 | -0.000 | 
| -294.980 | -105.396 | 88.084 | 44.301 | -74.415 | -0.674 | 
| -203.517 | -249.261 | -201.530 | -0.000 | -17.973 | -0.000 | 
| 0.000 | 0.000 | 0.000 | -0.325 | 0.000 | 82.345 | 
| 333.747 | 296.371 | 266.558 | 0.000 | 144.959 | 0.000 | 
| 260.649 | 489.288 | 286.153 | 0.000 | 105.133 | -0.000 | 
| 391.244 | 216.464 | 164.169 | 0.000 | 81.964 | 0.000 | 
| 294.980 | 105.396 | -88.084 | 44.301 | 74.415 | -0.674 | 
| -7.211 | -0.276 | 5.722 | 0.000 | 112.855 | 0.000 | 
| -0.000 | -0.000 | -0.000 | -0.325 | -0.000 | 82.345 | 
| 101.629 | 8.374 | 61.900 | -0.000 | 18.054 | 0.000 | 
| 27.658 | 64.475 | 58.223 | -0.000 | 18.999 | 0.000 | 
| 38.230 | 68.064 | 195.958 | 0.000 | 3.564 | -0.000 | 
| -18.142 | -6.482 | 5.417 | 72.259 | -4.577 | -0.683 | 
| -7.211 | -0.276 | 5.723 | 0.000 | 112.855 | -0.000 | 
| 0.000 | 0.000 | 0.000 | -0.325 | 0.000 | 82.345 | 
| 178.678 | 81.723 | 94.383 | 0.000 | 25.515 | 0.000 | 
| 73.267 | 233.476 | 97.798 | 0.000 | 8.470 | 0.000 | 
| 132.498 | 123.543 | 259.347 | 0.000 | 15.651 | 0.000 | 
| 18.142 | 6.482 | -5.417 | 72.259 | 4.577 | -0.683 | 
| 10.134 | 4.448 | 3.658 | -0.000 | 77.261 | 0.000 | 
| -0.000 | -0.000 | -0.000 | -0.325 | -0.000 | 82.345 | 
| 781.065 | 445.596 | 556.727 | 0.000 | 0.009 | 0.009 | 
| 162.533 | 587.748 | 66.615 | 0.000 | -0.000 | 0.000 | 
| 142.923 | 62.589 | 214.858 | 0.000 | 0.000 | 0.000 | 
| 0.000 | 0.000 | 0.000 | 37.710 | 0.000 | 0.000 | 
| 0.000 | 0.000 | 0.000 | 0.000 | 124.181 | 0.000 | 
| 0.000 | 0.000 | 0.000 | 0.000 | 0.000 | 159.602 | 
| -79.298 | -278.216 | -433.628 | 0.000 | -0.010 | -0.009 | 
| -273.949 | 105.645 | -451.829 | -0.000 | -0.008 | -0.008 | 
| 142.923 | 62.589 | 214.858 | -0.000 | 0.000 | -0.000 | 
| -0.000 | -0.000 | -0.000 | 37.710 | -0.000 | -0.000 | 
| -0.000 | 0.000 | -0.000 | -0.000 | 124.181 | -0.000 | 
| -0.000 | -0.000 | -0.000 | -0.000 | -0.000 | 159.602 | 
| 199.760 | 25.888 | 60.218 | 0.000 | -0.002 | -0.001 | 
| 162.533 | 587.748 | 66.615 | 0.000 | 0.000 | 0.000 | 
| 84.009 | -40.601 | 108.970 | -0.000 | -0.001 | -0.001 | 
| 0.000 | 0.000 | 0.000 | 37.710 | -0.000 | 0.000 | 
| 0.000 | 0.000 | 0.000 | 0.000 | 124.181 | 0.000 | 
| 24.946 | 21.035 | 28.812 | 0.000 | 0.001 | 70.404 | 
| -6.127 | 54.034 | -55.771 | 0.000 | 0.002 | 0.002 | 
| 76.958 | 418.507 | -44.406 | 0.000 | -0.001 | -0.001 | 
| -25.972 | -48.073 | 0.464 | 0.000 | 0.000 | -0.000 | 
| -0.000 | -0.000 | -0.000 | 37.710 | -0.000 | -0.000 | 
| -0.000 | -0.000 | -0.000 | 0.000 | 124.181 | -0.000 | 
| -24.946 | -21.035 | -28.812 | -0.000 | -0.001 | 70.403 | 
| 107.009 | 34.854 | 8.751 | -0.000 | -0.000 | -0.000 | 
| 43.440 | 286.271 | -50.073 | -0.000 | -0.000 | -0.000 | 
| 19.510 | -47.905 | 64.412 | 0.000 | 0.000 | 0.000 | 
| 3.654 | 3.081 | 4.220 | -51.005 | 0.000 | 0.000 | 
| -4884812.826 | -11760885.062 | -2652179.375 | -82043.830 | 513045.690 | 32755.137 | 
| -5979574.343 | -14180788.199 | -11005883.400 | 298531.440 | -111093.492 | 754321.642 | 
| 86.033 | 36.990 | -3.040 | -0.000 | 0.000 | 0.000 | 
| 12.848 | 292.741 | -72.114 | 0.000 | -0.000 | -0.000 | 
| 30.696 | -37.538 | 57.221 | -0.000 | 0.000 | -0.000 | 
| -3.654 | -3.081 | -4.220 | -51.005 | -0.000 | -0.000 | 
| 5283184.271 | 11834374.781 | 3233699.472 | 1856.464 | 449230.998 | 5834.543 | 
| 5330114.578 | 12626027.011 | 9018659.211 | 238967.750 | 208936.706 | 1083981.350 | 
| -6397.384 | -6558.055 | -6558.057 | -0.003 | -0.003 | 0.001 | 
| -6558.057 | -6397.384 | -6558.054 | -0.003 | -0.003 | 0.000 | 
| -6558.055 | -6558.057 | -6397.384 | -0.003 | -0.003 | 0.000 | 
| 1780.537 | 1780.537 | 1780.537 | 68.337 | -0.002 | 0.000 | 
| 1780.537 | 1780.537 | 1780.537 | -0.002 | 68.337 | 0.000 | 
| 1780.537 | 1780.537 | 1780.537 | -0.002 | -0.002 | 68.340 | 
| 1911.679 | 1722.210 | 1722.211 | 0.000 | 0.000 | -0.000 | 
| 6592.061 | 6752.479 | 6592.063 | 0.003 | 0.003 | -0.001 | 
| 6592.063 | 6592.061 | 6752.479 | 0.003 | 0.003 | -0.000 | 
| -1780.537 | -1780.537 | -1780.537 | 68.342 | 0.002 | -0.000 | 
| -1780.537 | -1780.537 | -1780.537 | 0.002 | 68.341 | -0.000 | 
| -1780.537 | -1780.537 | -1780.537 | 0.002 | 0.002 | 68.339 | 
| 376.242 | 190.064 | 190.065 | -0.000 | -0.000 | 0.000 | 
| 190.064 | 376.242 | 190.064 | -0.000 | -0.000 | 0.000 | 
| 190.064 | 190.064 | 376.242 | -0.000 | -0.000 | 0.000 | 
| 77.281 | 77.281 | 77.281 | 89.436 | -0.000 | 0.000 | 
| 77.281 | 77.281 | 77.281 | -0.000 | 89.436 | 0.000 | 
| 77.281 | 77.281 | 77.281 | -0.000 | -0.000 | 89.436 | 
| 220.231 | 34.910 | 34.910 | 0.000 | 0.000 | -0.000 | 
| 34.910 | 220.231 | 34.910 | 0.000 | 0.000 | -0.000 | 
| 34.910 | 34.910 | 220.231 | 0.000 | 0.000 | -0.000 | 
| -77.281 | -77.281 | -77.281 | 89.437 | 0.000 | -0.000 | 
| -77.281 | -77.281 | -77.281 | 0.000 | 89.436 | -0.000 | 
| -77.281 | -77.281 | -77.281 | 0.000 | 0.000 | 89.436 | 
| 183.425 | 8.902 | 8.900 | -0.000 | -0.000 | 0.000 | 
| 8.900 | 183.425 | 8.902 | -0.000 | -0.000 | 0.000 | 
| 8.902 | 8.900 | 183.425 | -0.000 | -0.000 | 0.000 | 
| -48.601 | -48.601 | -48.601 | 56.648 | -0.000 | 0.000 | 
| -48.601 | -48.601 | -48.601 | -0.000 | 56.648 | 0.000 | 
| -48.601 | -48.601 | -48.601 | -0.000 | -0.000 | 56.648 | 
| 285.275 | 103.759 | 103.760 | 0.000 | 0.000 | -0.000 | 
| 103.760 | 285.275 | 103.759 | 0.000 | 0.000 | -0.000 | 
| 103.759 | 103.760 | 285.275 | 0.000 | 0.000 | -0.000 | 
| 48.601 | 48.601 | 48.601 | 56.648 | 0.000 | -0.000 | 
| 48.601 | 48.601 | 48.601 | 0.000 | 56.648 | -0.000 | 
| 48.601 | 48.601 | 48.601 | 0.000 | 0.000 | 56.648 | 
| 354.893 | 121.767 | 125.176 | -0.000 | 37.061 | 0.000 | 
| 342.428 | 222.507 | 377.192 | -0.027 | -93.245 | -0.009 | 
| 323.320 | 65.110 | 577.259 | -0.027 | -86.096 | -0.009 | 
| 0.000 | -0.000 | 0.000 | 98.737 | 0.000 | -12.894 | 
| 0.027 | -11.545 | 0.326 | -0.000 | 121.387 | 0.000 | 
| 4013.175 | -985.273 | 1585.757 | 4.914 | -690.166 | 30.904 | 
| 42.496 | 169.952 | -163.250 | 0.027 | 113.815 | 0.009 | 
| -71.657 | 292.334 | -179.551 | 0.027 | 75.965 | 0.009 | 
| -1096.656 | 355.025 | -807.489 | 0.009 | 286.473 | 0.003 | 
| 0.000 | 0.000 | -0.000 | 98.737 | -0.000 | -12.894 | 
| -204.417 | 25.441 | -279.861 | 0.027 | 169.100 | 0.009 | 
| -4013.093 | 985.266 | -1585.688 | 4.936 | 690.146 | 30.915 | 
| 281.735 | 130.580 | 144.562 | -0.002 | 21.413 | -0.001 | 
| 122.138 | 379.110 | 102.327 | -0.000 | -10.956 | 0.000 | 
| 138.232 | 95.969 | 329.355 | -0.003 | -10.355 | -0.001 | 
| 0.000 | 0.000 | 0.000 | 98.737 | 0.000 | -12.894 | 
| 23.555 | -12.344 | 26.554 | -0.003 | 74.580 | -0.001 | 
| 0.000 | 0.000 | 0.000 | -12.306 | 0.000 | 122.558 | 
| 218.630 | 140.295 | 86.964 | 0.003 | 36.660 | 0.001 | 
| 122.137 | 379.110 | 102.327 | 0.000 | -10.956 | -0.000 | 
| 123.592 | 103.878 | 370.677 | 0.000 | 0.326 | -0.000 | 
| -0.000 | -0.000 | -0.000 | 98.737 | -0.000 | -12.894 | 
| 0.027 | -11.544 | 0.326 | 0.000 | 121.387 | -0.000 | 
| -0.000 | -0.000 | -0.000 | -12.306 | -0.000 | 122.558 | 
| 257.781 | 134.299 | 121.617 | -0.000 | 27.619 | -0.000 | 
| 76.242 | 163.904 | 11.433 | -0.000 | 6.823 | -0.000 | 
| 48.770 | 17.250 | 187.731 | -0.000 | -18.022 | -0.000 | 
| 21.953 | -5.146 | 9.980 | 21.607 | -4.956 | -6.031 | 
| 25.554 | -6.282 | -1.079 | 0.000 | 58.264 | 0.000 | 
| 13.742 | 2.246 | 12.056 | -2.077 | -3.302 | 61.167 | 
| 67.486 | 65.445 | 5.590 | 0.002 | 36.346 | 0.001 | 
| 50.444 | 176.999 | 2.804 | 0.000 | 10.612 | 0.000 | 
| 25.244 | 10.672 | 169.972 | 0.000 | -12.660 | 0.000 | 
| -21.953 | 5.146 | -9.980 | 21.607 | 4.956 | -6.031 | 
| -0.001 | -8.122 | -5.659 | 0.000 | 80.556 | 0.000 | 
| -2.018 | 0.335 | -2.714 | -14.527 | 0.825 | 80.018 | 
| 38261.975 | 38130.729 | -42812.549 | 25.308 | 3.858 | 0.001 | 
| 43270.639 | 43381.835 | -44447.094 | -34.087 | 4.654 | 0.003 | 
| 47043.408 | 47043.408 | -21366.306 | 0.000 | -0.000 | -0.000 | 
| 46905.620 | 46782.627 | -21295.382 | 20.458 | 0.018 | -5.163 | 
| -22787.606 | -22752.075 | 17063.074 | -0.000 | 54.850 | 37.298 | 
| -13937.260 | -13937.259 | -18047.671 | 4.178 | 3.331 | 51.189 | 
| 1971.441 | 1844.285 | -33382.337 | 11.494 | -11.702 | 0.000 | 
| 4621.627 | 4762.333 | 5071.484 | -17.451 | 0.554 | 0.001 | 
| -46120.729 | -46120.728 | 44623.019 | 0.000 | 0.000 | 0.000 | 
| 13945.409 | 13938.761 | 18054.380 | 39.502 | 0.000 | 4.181 | 
| -40462.736 | -40458.821 | 48328.420 | -0.006 | 81.028 | 32.794 | 
| -44130.466 | -44130.465 | 41995.854 | 3.903 | 33.761 | 47.255 | 
| -1317.340 | -1422.562 | -1800.446 | 3.250 | -3.871 | 0.001 | 
| 3873.901 | 3985.510 | -4646.263 | -58.513 | -6.600 | 0.004 | 
| -1368.184 | -1368.184 | -1757.559 | -0.000 | 0.000 | -0.000 | 
| 3834.714 | 3783.241 | -4283.299 | 45.443 | -0.015 | -3.850 | 
| 4615.220 | 4654.234 | -4481.493 | 0.020 | 79.250 | 4.983 | 
| -1387.710 | -1387.708 | -1798.125 | 3.934 | 3.221 | 52.314 | 
| -3663.403 | -3791.534 | 4290.780 | 24.365 | 2.883 | 0.002 | 
| 248.451 | 378.296 | -3324.628 | -11.499 | 11.486 | -0.000 | 
| -4557.185 | -4557.185 | 2200.896 | -0.000 | 0.000 | 0.000 | 
| -3814.864 | -3917.069 | 4640.452 | 70.116 | 0.021 | -3.432 | 
| -3825.315 | -3836.698 | 4650.515 | -0.026 | 64.826 | 57.733 | 
| 187.108 | 187.108 | -3357.316 | 11.558 | 11.743 | 63.945 | 
| 563.292 | 439.264 | -428.618 | 30.948 | 2.916 | -0.001 | 
| 442.511 | 562.037 | -440.311 | -34.587 | -3.491 | 0.001 | 
| -14.535 | -14.535 | 472.985 | 0.000 | 0.000 | -0.000 | 
| 499.147 | 451.037 | -401.518 | 57.612 | -0.006 | 16.594 | 
| 435.357 | 442.891 | -419.814 | 0.004 | 50.843 | 30.956 | 
| -137.269 | -137.267 | -177.836 | 3.731 | 3.316 | 53.274 | 
| -266.310 | -368.844 | 444.826 | 28.467 | -0.501 | -0.000 | 
| 151.113 | 464.508 | 143.956 | -8.874 | -18.225 | 0.000 | 
| 143.407 | 143.407 | 446.517 | -0.000 | -0.000 | 0.000 | 
| 58.226 | 1.898 | -499.616 | 58.569 | 0.001 | -5.820 | 
| -441.049 | -461.983 | 202.062 | -0.013 | 34.295 | 53.099 | 
| -378.622 | -378.621 | 433.933 | -3.395 | 30.932 | 60.212 | 
| 228.114 | 50.116 | 71.890 | 7.015 | -5.478 | -0.000 | 
| 130.041 | 412.859 | 124.858 | -6.309 | 16.678 | 0.000 | 
| 124.574 | 124.574 | 281.336 | 0.000 | 0.000 | 0.000 | 
| 6.308 | -6.309 | 0.000 | 133.911 | 0.000 | 16.678 | 
| -16.678 | 16.678 | -0.000 | 0.000 | 133.911 | 6.309 | 
| 0.000 | -0.000 | 0.000 | 7.314 | 10.812 | 96.711 | 
| 228.114 | 50.115 | 71.889 | 7.015 | -5.479 | -0.000 | 
| 130.042 | 412.859 | 124.858 | -6.309 | 16.677 | 0.000 | 
| 124.858 | 124.858 | 419.594 | 0.000 | 0.000 | -0.000 | 
| 11.606 | -11.606 | -0.000 | 98.001 | 0.000 | 5.663 | 
| -16.677 | 16.678 | 0.000 | -0.000 | 133.911 | 6.309 | 
| -0.001 | 0.000 | 0.000 | 16.678 | 6.309 | 141.409 | 
| 275.879 | 108.599 | 124.579 | 12.129 | -4.576 | -0.000 | 
| 50.115 | 228.111 | 71.889 | -7.015 | 5.478 | -0.000 | 
| 124.858 | 124.858 | 419.594 | 0.000 | 0.000 | 0.000 | 
| 7.088 | -7.088 | 0.000 | 89.280 | 0.000 | 6.058 | 
| -16.678 | 16.678 | 0.000 | 0.000 | 133.911 | 6.309 | 
| 0.000 | 0.000 | 0.000 | 16.678 | 6.309 | 141.409 | 
| 275.884 | 108.599 | 124.579 | 12.129 | -4.577 | 0.000 | 
| 130.042 | 412.859 | 124.858 | -6.309 | 16.678 | 0.000 | 
| 124.574 | 124.574 | 281.339 | -0.000 | 0.000 | 0.000 | 
| 6.309 | -6.309 | -0.000 | 133.911 | -0.000 | 16.678 | 
| -5.663 | 5.663 | -0.000 | 0.000 | 98.001 | 11.606 | 
| -0.000 | -0.000 | -0.000 | 16.678 | 6.309 | 141.409 | 
| 275.855 | 108.596 | 124.580 | 12.130 | -4.574 | -0.000 | 
| 108.700 | 276.524 | 124.581 | -12.102 | 4.633 | -0.000 | 
| 55.084 | 55.084 | 198.110 | 0.000 | 0.000 | -0.000 | 
| 11.607 | -11.607 | -0.000 | 98.000 | -0.000 | 5.663 | 
| -16.678 | 16.678 | 0.000 | 0.000 | 133.911 | 6.309 | 
| -0.000 | -0.000 | 0.000 | 7.315 | 10.812 | 96.713 | 
| 412.857 | 130.042 | 124.857 | 6.309 | -16.678 | -0.000 | 
| 108.593 | 275.847 | 124.578 | -12.130 | 4.573 | 0.000 | 
| 124.857 | 124.857 | 419.592 | -0.000 | -0.000 | 0.000 | 
| 11.688 | -11.688 | -0.000 | 76.819 | 0.000 | 1.016 | 
| -5.663 | 5.663 | 0.000 | -0.000 | 98.000 | 11.606 | 
| -0.000 | -0.000 | -0.000 | 16.678 | 6.309 | 141.409 | 
| 69.807 | 55.042 | 55.042 | -0.000 | -0.000 | 0.000 | 
| 55.042 | 69.807 | 55.042 | -0.000 | -0.000 | -0.000 | 
| 55.042 | 55.042 | 69.807 | -0.000 | -0.000 | -0.000 | 
| 30.475 | 30.475 | 30.476 | -94.404 | -0.000 | 0.000 | 
| 30.475 | 30.475 | 30.476 | -0.000 | -94.404 | 0.000 | 
| 30.475 | 30.475 | 30.476 | -0.000 | -0.000 | -94.404 | 
| 195.040 | 98.408 | 98.408 | 0.000 | 0.000 | 0.000 | 
| 98.408 | 195.040 | 98.408 | 0.000 | 0.000 | -0.000 | 
| 98.408 | 98.408 | 195.040 | 0.000 | 0.000 | -0.000 | 
| -30.475 | -30.475 | -30.476 | -94.404 | 0.000 | -0.000 | 
| -30.475 | -30.475 | -30.476 | -0.000 | -94.404 | -0.000 | 
| -30.475 | -30.475 | -30.476 | 0.000 | 0.000 | -94.404 | 
| -106670492.142 | -100891573.011 | -101403257.115 | 111198.593 | 21410.753 | 258148.691 | 
| -101470035.995 | -107104877.066 | -101421785.494 | 203476.034 | -133594.183 | -249505.922 | 
| -102418226.254 | -102136079.727 | -105517482.159 | 101694.511 | -222711.432 | -109090.432 | 
| 2.571 | 2.571 | 2.571 | -69.413 | -0.000 | 0.000 | 
| 2.571 | 2.571 | 2.571 | -0.000 | -69.413 | 0.000 | 
| 2.571 | 2.571 | 2.571 | -0.000 | -0.000 | -69.413 | 
| 59.067 | 43.353 | 43.353 | 0.000 | 0.000 | 0.000 | 
| 43.353 | 59.068 | 43.353 | 0.000 | 0.000 | -0.000 | 
| 43.353 | 43.353 | 59.067 | -0.000 | 0.000 | -0.000 | 
| -2.571 | -2.571 | -2.571 | -69.413 | 0.000 | -0.000 | 
| -2.571 | -2.571 | -2.571 | 0.000 | -69.413 | -0.000 | 
| -2.571 | -2.571 | -2.571 | 0.000 | 0.000 | -69.413 | 
| -10398348.728 | -10864428.857 | -11003906.793 | -10806.214 | 17890.906 | -18669.654 | 
| -10996986.076 | -10390288.522 | -10878301.647 | -34782.046 | 3259.409 | 12824.476 | 
| -10775064.175 | -10878039.020 | -10121928.914 | 55773.082 | -5287.553 | 13531.989 | 
| 0.257 | 0.256 | 0.256 | -69.115 | -0.000 | 0.000 | 
| 0.256 | 0.257 | 0.256 | -0.000 | -69.115 | 0.000 | 
| 0.256 | 0.256 | 0.257 | -0.000 | -0.000 | -69.115 | 
| 10411915.222 | 9868263.608 | 9788933.721 | 8381.176 | -12088.114 | 1402.493 | 
| 9870251.306 | 10343635.232 | 9826431.038 | -26073.403 | -7296.669 | 4917.495 | 
| 9873972.543 | 9841912.084 | 10316631.662 | 3216.885 | -26294.657 | -34903.172 | 
| -0.257 | -0.256 | -0.256 | -69.115 | 0.000 | -0.000 | 
| -0.256 | -0.257 | -0.256 | 0.000 | -69.115 | -0.000 | 
| -0.256 | -0.256 | -0.257 | 0.000 | 0.000 | -69.115 | 
| 861.679 | 354.202 | 279.579 | -0.000 | -160.519 | -0.000 | 
| 563.335 | -106.535 | 680.185 | 0.001 | -29.308 | -0.001 | 
| 280.989 | 238.071 | 490.761 | 0.000 | -102.207 | 0.000 | 
| 0.000 | 0.000 | 0.000 | 185.356 | -0.000 | -68.498 | 
| -197.006 | -56.556 | -102.207 | 0.000 | 233.741 | -0.000 | 
| 0.000 | 0.000 | 0.000 | -65.472 | -0.000 | 316.702 | 
| 83.732 | 86.311 | -742.383 | -0.000 | 307.600 | 0.000 | 
| -284.019 | 875.777 | -800.213 | -0.001 | 271.295 | 0.001 | 
| -259.271 | 673.320 | -376.352 | -0.001 | 116.371 | 0.001 | 
| -0.000 | -0.000 | -0.000 | 185.356 | 0.000 | -68.498 | 
| -197.006 | -56.556 | -102.207 | -0.000 | 233.741 | 0.000 | 
| -0.000 | -0.000 | -0.000 | -65.472 | 0.000 | 316.702 | 
| 861.679 | 354.202 | 279.579 | -0.000 | -160.519 | 0.000 | 
| 319.057 | 512.167 | 218.303 | 0.000 | 6.375 | -0.000 | 
| 280.989 | 238.071 | 490.761 | 0.000 | -102.207 | -0.000 | 
| 14.869 | -24.042 | 26.689 | 87.130 | -4.241 | 30.453 | 
| -27.443 | 61.720 | 28.119 | 0.000 | 88.209 | -0.000 | 
| 14.522 | -23.482 | 26.067 | 31.175 | -4.142 | 154.286 | 
| 548.706 | 199.743 | 78.378 | -0.000 | 4.498 | 0.000 | 
| 262.076 | 493.909 | 127.575 | -0.000 | 39.399 | 0.000 | 
| 280.989 | 238.071 | 490.761 | 0.000 | -102.207 | 0.000 | 
| -14.869 | 24.042 | -26.689 | 87.130 | 4.241 | 30.453 | 
| -90.392 | 33.528 | -68.030 | -0.000 | 142.129 | 0.000 | 
| -14.522 | 23.482 | -26.067 | 31.175 | 4.142 | 154.286 | 
| 562.514 | 189.848 | 142.120 | 0.000 | -30.338 | -0.000 | 
| 162.869 | 292.558 | 42.851 | 0.000 | 38.592 | -0.000 | 
| 32.297 | 17.163 | 147.797 | 0.000 | -21.205 | -0.000 | 
| 1.506 | -2.352 | 4.517 | 82.023 | -0.590 | 8.508 | 
| -84.413 | 37.359 | -49.336 | 0.000 | 135.453 | -0.000 | 
| 1.445 | -2.261 | 4.268 | 9.331 | -0.561 | 133.014 | 
| 519.388 | 166.210 | 69.951 | -0.000 | -10.788 | 0.000 | 
| 156.617 | 297.420 | 30.637 | -0.000 | 42.981 | 0.000 | 
| 16.845 | 9.751 | 133.123 | -0.000 | -10.195 | 0.000 | 
| -1.506 | 2.352 | -4.517 | 82.023 | 0.590 | 8.508 | 
| -91.799 | 35.975 | -59.875 | -0.000 | 141.111 | 0.000 | 
| -1.445 | 2.261 | -4.268 | 9.331 | 0.561 | 133.014 | 
| 329.595 | 159.941 | 159.948 | 0.000 | 0.000 | 0.000 | 
| 159.951 | 329.599 | 159.949 | 0.000 | -0.000 | -0.000 | 
| 164.685 | 164.685 | 404.828 | 0.000 | 0.000 | 0.000 | 
| 0.000 | -0.000 | 0.000 | 168.932 | -0.000 | -0.000 | 
| 0.000 | 0.000 | 0.000 | 0.000 | 168.932 | -0.000 | 
| 0.000 | 0.000 | 0.000 | 0.000 | -0.000 | 168.932 | 
| 334.837 | 162.275 | 162.268 | -0.000 | 0.000 | -0.000 | 
| 162.266 | 334.834 | 162.267 | -0.000 | 0.000 | 0.000 | 
| 162.266 | 162.275 | 334.836 | -0.000 | -0.000 | -0.000 | 
| -0.000 | -0.000 | -0.000 | 168.932 | -0.000 | -0.000 | 
| -0.000 | -0.000 | -0.000 | -0.000 | 168.932 | -0.000 | 
| -0.000 | 0.000 | -0.000 | -0.000 | -0.000 | 168.932 | 
| 404.828 | 164.685 | 164.685 | 0.000 | 0.000 | 0.000 | 
| 164.685 | 404.828 | 164.685 | -0.000 | 0.000 | -0.000 | 
| 164.685 | 164.685 | 404.828 | 0.000 | -0.000 | -0.000 | 
| -0.102 | -0.103 | -0.102 | 103.661 | 0.000 | -0.000 | 
| -0.102 | -0.103 | -0.102 | 0.000 | 103.661 | 0.000 | 
| -0.102 | -0.103 | -0.102 | 0.000 | -0.000 | 103.661 | 
| 332.522 | 161.248 | 161.248 | -0.000 | 0.000 | 0.000 | 
| 164.685 | 404.828 | 164.685 | -0.000 | 0.000 | 0.000 | 
| 161.247 | 161.248 | 332.522 | -0.000 | 0.000 | -0.000 | 
| 0.102 | 0.103 | 0.102 | 103.661 | 0.000 | -0.000 | 
| 0.102 | 0.103 | 0.102 | -0.000 | 103.661 | -0.000 | 
| 0.102 | 0.103 | 0.102 | -0.000 | 0.000 | 103.661 | 
| 404.830 | 164.685 | 164.685 | 0.000 | 0.000 | -0.000 | 
| 164.685 | 404.830 | 164.685 | 0.000 | 0.000 | 0.000 | 
| 164.685 | 164.685 | 404.830 | -0.000 | 0.000 | 0.000 | 
| 0.000 | 0.000 | 0.000 | 168.932 | 0.000 | -0.000 | 
| 0.000 | 0.000 | 0.000 | 0.000 | 168.932 | -0.000 | 
| 0.000 | 0.000 | 0.000 | 0.000 | -0.000 | 168.932 | 
| 404.827 | 164.684 | 164.684 | -0.000 | -0.000 | 0.000 | 
| 164.684 | 404.827 | 164.684 | -0.000 | -0.000 | -0.000 | 
| 164.684 | 164.684 | 404.827 | -0.000 | 0.000 | -0.000 | 
| -0.000 | -0.000 | -0.000 | 168.932 | 0.000 | -0.000 | 
| -0.000 | -0.000 | -0.000 | -0.000 | 168.932 | 0.000 | 
| -0.000 | -0.000 | -0.000 | -0.000 | 0.000 | 168.932 | 
| 388.294 | 156.724 | 156.724 | 0.000 | -0.000 | 0.000 | 
| 156.724 | 388.294 | 156.724 | -0.000 | -0.000 | 0.000 | 
| 156.724 | 156.724 | 388.294 | -0.000 | 0.000 | 0.000 | 
| -0.000 | 0.000 | 0.000 | 164.093 | -0.000 | 0.000 | 
| 0.000 | 0.000 | -0.000 | 0.000 | 164.092 | 0.000 | 
| 0.000 | 0.000 | 0.000 | -0.000 | -0.000 | 164.093 | 
| 320.023 | 152.330 | 152.330 | -0.000 | 0.000 | -0.000 | 
| 152.330 | 320.023 | 152.331 | -0.000 | 0.000 | 0.000 | 
| 152.330 | 152.330 | 320.023 | 0.000 | 0.000 | 0.000 | 
| -0.000 | 0.000 | 0.000 | 164.093 | 0.000 | 0.000 | 
| -0.000 | -0.000 | 0.000 | 0.000 | 164.093 | -0.000 | 
| -0.000 | -0.000 | 0.000 | -0.000 | 0.000 | 164.092 | 
| 388.294 | 156.724 | 156.724 | 0.000 | 0.000 | -0.000 | 
| 156.724 | 388.294 | 156.724 | -0.000 | -0.000 | 0.000 | 
| 156.724 | 156.724 | 388.294 | -0.000 | 0.000 | 0.000 | 
| -0.000 | -0.000 | -0.000 | 103.130 | 0.000 | -0.000 | 
| -0.000 | -0.000 | -0.000 | -0.000 | 103.130 | -0.000 | 
| -0.000 | -0.000 | -0.000 | 0.000 | -0.000 | 103.130 | 
| 388.293 | 156.724 | 156.724 | 0.000 | 0.000 | -0.000 | 
| 156.724 | 388.293 | 156.724 | -0.000 | -0.000 | 0.000 | 
| 156.724 | 156.724 | 388.293 | 0.000 | 0.000 | -0.000 | 
| 0.000 | 0.000 | 0.000 | 103.130 | 0.000 | -0.000 | 
| 0.000 | 0.000 | 0.000 | -0.000 | 103.130 | -0.000 | 
| 0.000 | 0.000 | 0.000 | -0.000 | 0.000 | 103.130 | 
| 320.021 | 152.329 | 152.329 | 0.000 | -0.000 | 0.000 | 
| 152.329 | 320.021 | 152.329 | -0.000 | -0.000 | 0.000 | 
| 152.329 | 152.329 | 320.021 | 0.000 | -0.000 | 0.000 | 
| 0.000 | 0.000 | 0.000 | 164.093 | 0.000 | -0.000 | 
| 0.000 | 0.000 | 0.000 | -0.000 | 164.093 | 0.000 | 
| 0.000 | 0.000 | 0.000 | 0.000 | 0.000 | 164.093 | 
| 320.024 | 152.329 | 152.329 | -0.000 | 0.000 | -0.000 | 
| 152.329 | 320.024 | 152.329 | -0.000 | 0.000 | -0.000 | 
| 152.329 | 152.329 | 320.024 | -0.000 | 0.000 | 0.000 | 
| -0.000 | -0.000 | -0.000 | 164.093 | -0.000 | 0.000 | 
| -0.000 | -0.000 | -0.000 | -0.000 | 164.093 | 0.000 | 
| -0.000 | -0.000 | -0.000 | 0.000 | 0.000 | 164.093 | 
| -4855.143 | -4987.162 | -4982.816 | 0.418 | -4.100 | 1.600 | 
| -5004.582 | -4838.337 | -4983.119 | 0.418 | -4.100 | 1.600 | 
| -5004.659 | -4987.543 | -4834.068 | 0.418 | -4.100 | 1.600 | 
| -5067.843 | -5050.758 | -5046.419 | 18.303 | -4.092 | 1.597 | 
| -5067.762 | -5050.677 | -5046.338 | 0.418 | 13.795 | 1.597 | 
| -5067.864 | -5050.779 | -5046.440 | 0.418 | -4.092 | 19.483 | 
| 348.129 | 109.538 | 109.538 | 0.000 | 0.000 | 0.000 | 
| 109.538 | 348.129 | 109.538 | 0.000 | 0.000 | -0.000 | 
| 5131.130 | 5114.077 | 5259.205 | -0.417 | 4.085 | -1.594 | 
| 5067.828 | 5050.743 | 5046.404 | 17.468 | 4.092 | -1.597 | 
| 5067.909 | 5050.823 | 5046.484 | -0.418 | 21.977 | -1.597 | 
| 5067.807 | 5050.722 | 5046.383 | -0.418 | 4.092 | 16.289 | 
| 348.129 | 109.538 | 109.538 | -0.000 | 0.000 | 0.000 | 
| 109.538 | 348.129 | 109.538 | -0.000 | -0.000 | 0.000 | 
| 109.538 | 109.538 | 348.129 | 0.000 | -0.000 | 0.000 | 
| -827.503 | -826.116 | -825.764 | 17.967 | -0.341 | 0.133 | 
| -827.497 | -826.115 | -825.764 | 0.035 | 17.666 | 0.133 | 
| -503.517 | -501.820 | -501.388 | 0.041 | -0.407 | 18.628 | 
| 348.128 | 109.538 | 109.538 | 0.000 | 0.000 | -0.000 | 
| 109.538 | 348.128 | 109.538 | 0.000 | 0.000 | -0.000 | 
| 109.538 | 109.538 | 348.128 | 0.000 | -0.000 | 0.000 | 
| 827.501 | 826.116 | 825.764 | 17.911 | 0.341 | -0.133 | 
| 827.507 | 826.118 | 825.765 | -0.035 | 18.213 | -0.134 | 
| 503.461 | 501.764 | 501.333 | -0.041 | 0.407 | 18.320 | 
| 161.741 | -10.681 | -10.686 | -0.000 | 0.005 | -0.002 | 
| -10.741 | 161.792 | -10.764 | -0.000 | 0.005 | -0.002 | 
| -10.761 | -10.779 | 161.805 | -0.000 | 0.005 | -0.002 | 
| -70.314 | -70.294 | -70.289 | 37.115 | -0.004 | 0.002 | 
| -70.309 | -70.288 | -70.283 | 0.000 | 37.096 | 0.002 | 
| -70.316 | -70.295 | -70.290 | 0.000 | -0.004 | 37.120 | 
| 301.986 | 117.852 | 117.825 | -0.003 | 0.025 | -0.010 | 
| 117.938 | 301.985 | 117.807 | -0.003 | 0.025 | -0.010 | 
| 117.933 | 117.829 | 301.985 | -0.003 | 0.025 | -0.010 | 
| 70.313 | 70.293 | 70.288 | 37.112 | 0.004 | -0.002 | 
| 70.319 | 70.298 | 70.293 | -0.000 | 37.130 | -0.002 | 
| 70.312 | 70.291 | 70.286 | -0.000 | 0.004 | 37.107 | 
| -10.514 | -145.140 | 687.137 | 2.617 | 3.206 | -0.002 | 
| -148.572 | -7.086 | 687.141 | 2.617 | 3.206 | -0.002 | 
| -165.413 | -161.957 | 865.333 | 2.637 | 3.230 | -0.002 | 
| 0.000 | 0.000 | 0.000 | 106.617 | 0.000 | -0.000 | 
| 0.000 | 0.000 | 0.000 | -0.000 | 106.617 | -0.000 | 
| -271.173 | -267.732 | 582.008 | 2.625 | 3.216 | 87.280 | 
| 531.571 | 390.396 | -476.995 | -2.634 | -3.227 | 0.002 | 
| 393.845 | 528.118 | -476.990 | -2.634 | -3.226 | 0.002 | 
| 377.020 | 373.593 | -298.469 | -2.615 | -3.203 | 0.002 | 
| -0.000 | 0.000 | -0.000 | 106.617 | -0.000 | -0.000 | 
| -0.000 | 0.000 | -0.000 | 0.000 | 106.617 | 0.000 | 
| 271.173 | 267.732 | -582.008 | -2.625 | -3.216 | 87.284 | 
| 311.212 | 120.356 | 103.537 | -0.000 | 0.000 | -0.000 | 
| 120.356 | 311.212 | 103.537 | -0.000 | 0.000 | 0.000 | 
| 78.241 | 78.608 | 339.427 | 0.280 | 0.343 | -0.000 | 
| 0.000 | 0.000 | 0.000 | 106.617 | 0.000 | -0.000 | 
| 0.000 | 0.000 | 0.000 | -0.000 | 106.617 | -0.000 | 
| 0.000 | 0.000 | 0.000 | -0.000 | 0.000 | 123.196 | 
| 285.714 | 149.814 | 46.260 | -0.274 | -0.336 | 0.000 | 
| 150.170 | 285.357 | 46.267 | -0.274 | -0.336 | 0.000 | 
| 133.414 | 133.077 | 225.202 | -0.257 | -0.315 | 0.000 | 
| -0.000 | -0.000 | -0.000 | 106.617 | -0.000 | 0.000 | 
| -0.000 | -0.000 | -0.000 | 0.000 | 106.617 | -0.000 | 
| -0.000 | -0.000 | -0.000 | -0.000 | -0.000 | 123.196 | 
| 123.584 | 62.314 | 15.731 | 0.035 | 0.043 | -0.000 | 
| 57.617 | 157.356 | 31.579 | 0.043 | 0.053 | -0.000 | 
| 104.637 | 104.693 | 257.353 | 0.042 | 0.052 | -0.000 | 
| -0.213 | -0.174 | 3.275 | 58.190 | 0.036 | -0.000 | 
| 0.000 | 0.000 | 0.000 | -0.000 | 106.617 | -0.000 | 
| 0.001 | 0.014 | 3.143 | 0.010 | 0.013 | 62.577 | 
| 208.443 | 90.854 | 81.136 | -0.031 | -0.038 | 0.000 | 
| 125.824 | 246.711 | 100.293 | -0.035 | -0.042 | 0.000 | 
| 84.980 | 84.940 | 214.877 | -0.030 | -0.037 | 0.000 | 
| 0.211 | 0.172 | -3.271 | 58.154 | -0.036 | 0.000 | 
| 0.211 | 0.172 | -3.271 | -0.030 | 58.150 | 0.000 | 
| 2.839 | 2.803 | -6.094 | -0.027 | -0.034 | 85.591 | 
| 406.642 | 130.820 | 89.034 | 0.000 | -0.000 | -0.000 | 
| 130.820 | 406.641 | 89.034 | 0.000 | -0.000 | 0.000 | 
| 17.061 | 17.059 | 378.071 | -0.003 | -0.001 | 0.001 | 
| 0.000 | 0.000 | 0.000 | 98.094 | -0.000 | 0.000 | 
| -17.591 | -17.591 | 22.274 | 0.001 | 72.747 | -0.000 | 
| 0.000 | -0.000 | 0.000 | 0.000 | -0.000 | 137.910 | 
| 406.642 | 130.820 | 89.034 | -0.000 | 0.000 | -0.000 | 
| 153.639 | 305.054 | 88.292 | -0.001 | -0.000 | 0.000 | 
| 74.525 | 74.527 | 335.707 | 0.003 | 0.001 | -0.001 | 
| -0.000 | -0.000 | 0.000 | 98.094 | -0.000 | -0.000 | 
| 17.591 | 17.590 | -22.273 | -0.001 | 72.747 | 0.000 | 
| -0.000 | -0.000 | -0.000 | -0.000 | 0.000 | 137.911 | 
| 278.979 | 132.950 | 115.707 | 0.000 | 0.000 | -0.000 | 
| 130.820 | 406.642 | 89.034 | -0.000 | -0.000 | -0.000 | 
| 115.195 | 115.195 | 385.936 | 0.000 | 0.000 | -0.000 | 
| 0.000 | 0.000 | 0.000 | 98.094 | -0.000 | -0.000 | 
| -1.670 | -1.670 | 2.115 | 0.000 | 74.031 | -0.000 | 
| -2.396 | -2.396 | 2.823 | 0.000 | 0.000 | 84.054 | 
| 209.922 | 59.773 | 105.163 | -0.000 | -0.000 | -0.000 | 
| -1.162 | 149.386 | 40.448 | -0.000 | -0.000 | 0.000 | 
| 89.703 | 89.703 | 462.225 | -0.000 | -0.000 | -0.000 | 
| -0.000 | -0.000 | -0.000 | 98.094 | 0.000 | 0.000 | 
| 1.670 | 1.670 | -2.115 | -0.000 | 74.031 | 0.000 | 
| 2.396 | 2.396 | -2.823 | -0.000 | -0.000 | 84.054 | 
| 145.733 | -7.663 | 45.329 | 0.000 | 0.000 | -0.000 | 
| -6.035 | 148.634 | 49.663 | 0.000 | 0.000 | -0.000 | 
| 45.403 | 45.403 | 357.345 | -0.000 | -0.000 | 0.000 | 
| 0.000 | 0.000 | 0.000 | 98.094 | -0.000 | -0.000 | 
| -677231.975 | -288371.530 | -4544133.132 | -0.001 | -1471112.986 | -0.010 | 
| 0.000 | 0.000 | 0.000 | 0.000 | 0.000 | 137.911 | 
| 148.746 | -5.675 | 49.271 | -0.000 | -0.000 | 0.000 | 
| 135.101 | 281.601 | 112.875 | -0.000 | -0.000 | 0.000 | 
| 46.063 | 46.063 | 356.685 | 0.000 | 0.000 | -0.000 | 
| -0.000 | -0.000 | -0.000 | 98.094 | -0.000 | -0.000 | 
| 677216.750 | 288365.586 | 4544130.360 | 0.266 | -1471115.015 | 0.230 | 
| -0.000 | -0.000 | -0.000 | -0.000 | 0.000 | 137.911 | 
| -876.762 | -920.680 | -734.779 | -0.000 | 0.000 | 0.000 | 
| 2341.996 | 2367.393 | -2511.812 | -0.000 | 0.000 | 0.000 | 
| 52.348 | 52.348 | 102.181 | -0.000 | 0.000 | 0.000 | 
| -962.553 | -962.553 | -762.468 | 23.390 | -0.000 | 0.000 | 
| 0.000 | 0.000 | 0.000 | -0.000 | 53.382 | 0.000 | 
| -962.549 | -962.549 | -762.465 | -0.000 | 0.000 | 21.956 | 
| 1048.327 | 1004.425 | 790.151 | 0.000 | -0.000 | -0.000 | 
| 1708.407 | 1755.874 | 2581.764 | 0.000 | -0.000 | -0.000 | 
| 1391.256 | 1391.256 | 2351.274 | 0.000 | -0.000 | 0.000 | 
| 962.553 | 962.553 | 762.468 | 23.390 | -0.000 | 0.000 | 
| -0.000 | -0.000 | -0.000 | 0.000 | 53.382 | 0.000 | 
| 962.549 | 962.549 | 762.465 | 0.000 | -0.000 | 21.956 | 
| -10.254 | -54.290 | -48.443 | -0.000 | 0.000 | 0.000 | 
| 48.195 | 145.863 | 51.524 | -0.000 | 0.000 | 0.000 | 
| 52.348 | 52.348 | 102.181 | -0.000 | 0.000 | 0.000 | 
| 0.000 | 0.000 | 0.000 | 53.382 | 0.000 | 0.000 | 
| 0.000 | 0.000 | 0.000 | -0.000 | 53.382 | 0.000 | 
| -96.129 | -96.129 | -76.147 | -0.000 | 0.000 | 21.991 | 
| 181.915 | 138.040 | 103.851 | 0.000 | -0.000 | -0.000 | 
| -97.170 | -60.466 | 352.397 | 0.000 | -0.000 | 0.000 | 
| 52.348 | 52.348 | 102.181 | 0.000 | -0.000 | -0.000 | 
| -0.000 | -0.000 | -0.000 | 53.382 | -0.000 | -0.000 | 
| -0.000 | -0.000 | -0.000 | 0.000 | 53.382 | -0.000 | 
| 96.129 | 96.129 | 76.147 | 0.000 | -0.000 | 21.991 | 
| 60.177 | 6.047 | -10.538 | -0.000 | 0.000 | -0.000 | 
| 32.983 | 79.843 | 21.678 | -0.000 | 0.000 | 0.000 | 
| 14.175 | 14.175 | 18.870 | -0.000 | 0.000 | 0.000 | 
| 0.000 | 0.000 | 0.000 | 53.382 | 0.000 | 0.000 | 
| 9.974 | 9.973 | -46.785 | -0.000 | 13.459 | 0.000 | 
| -8.712 | -8.712 | -6.901 | -0.000 | 0.000 | 24.506 | 
| 66.906 | 26.209 | 38.731 | 0.000 | -0.000 | -0.000 | 
| 20.585 | 78.023 | 24.232 | 0.000 | -0.000 | 0.000 | 
| 38.806 | 38.806 | 47.333 | 0.000 | -0.000 | -0.000 | 
| -0.000 | -0.000 | -0.000 | 53.382 | -0.000 | 0.000 | 
| 16.832 | 16.832 | 25.899 | 0.000 | 22.302 | -0.000 | 
| 8.712 | 8.712 | 6.901 | 0.000 | -0.000 | 24.506 | 
| 117.794 | 36.641 | 43.029 | 0.000 | -0.000 | -0.000 | 
| 27.032 | 69.605 | 19.334 | 0.000 | -0.000 | -0.000 | 
| 43.029 | 43.029 | 80.575 | 0.000 | -0.000 | -0.000 | 
| 0.318 | 0.318 | -0.652 | 26.426 | -0.000 | -0.000 | 
| -0.000 | -0.000 | -0.000 | 0.000 | 46.828 | -0.000 | 
| -0.000 | -0.000 | -0.000 | 0.000 | -0.000 | 40.576 | 
| 77.181 | 28.008 | 24.756 | -0.000 | 0.000 | 0.000 | 
| 17.098 | 66.463 | 10.710 | -0.000 | 0.000 | 0.000 | 
| 16.123 | 16.123 | 22.971 | -0.000 | 0.000 | 0.000 | 
| -0.318 | -0.318 | 0.652 | 26.426 | 0.000 | 0.000 | 
| -0.000 | 0.000 | 0.000 | -0.000 | 46.828 | 0.000 | 
| 0.000 | 0.000 | 0.000 | -0.000 | 0.000 | 40.577 | 
| 117.794 | 36.642 | 43.029 | 0.000 | -0.000 | -0.000 | 
| 27.606 | 73.800 | 22.231 | 0.000 | -0.000 | 0.000 | 
| 19.253 | 19.253 | 18.798 | 0.000 | -0.000 | -0.000 | 
| 0.000 | -0.000 | 0.000 | 46.828 | -0.000 | -0.000 | 
| 0.000 | 0.000 | 0.000 | 0.000 | 46.828 | -0.000 | 
| -0.274 | -0.274 | 0.158 | 0.000 | -0.000 | 22.823 | 
| 62.565 | 13.237 | 9.681 | -0.000 | 0.000 | 0.000 | 
| 36.641 | 117.794 | 43.029 | -0.000 | 0.000 | 0.000 | 
| 43.029 | 43.029 | 80.575 | -0.000 | 0.000 | 0.000 | 
| -0.000 | 0.000 | -0.000 | 46.828 | 0.000 | 0.000 | 
| -0.000 | -0.000 | -0.000 | -0.000 | 46.828 | 0.000 | 
| 0.274 | 0.274 | -0.158 | -0.000 | 0.000 | 22.823 | 
| 49.702 | 9.123 | 16.650 | 0.000 | -0.000 | -0.000 | 
| 36.642 | 117.795 | 43.029 | 0.000 | -0.000 | -0.000 | 
| 14.219 | 14.219 | 23.729 | 0.000 | -0.000 | -0.000 | 
| 0.000 | 0.000 | 0.000 | 46.828 | -0.000 | -0.000 | 
| -0.019 | -0.019 | 0.010 | 0.000 | 23.293 | -0.000 | 
| 0.000 | 0.000 | 0.000 | 0.000 | -0.000 | 40.576 | 
| 74.214 | 27.659 | 22.527 | -0.000 | 0.000 | -0.000 | 
| 27.658 | 74.212 | 22.526 | -0.000 | 0.000 | 0.000 | 
| 16.906 | 16.906 | 20.587 | -0.000 | 0.000 | 0.000 | 
| -0.000 | -0.000 | -0.000 | 46.828 | 0.000 | 0.000 | 
| 0.019 | 0.019 | -0.010 | -0.000 | 23.293 | 0.000 | 
| -0.000 | -0.000 | -0.000 | -0.000 | 0.000 | 40.576 | 
| 581.619 | 524.992 | 835.284 | -1.813 | -0.024 | 0.065 | 
| 261.047 | 200.013 | 392.776 | -5.666 | -0.017 | 0.126 | 
| 434.457 | 50.234 | 750.475 | -0.312 | -0.041 | 0.139 | 
| 145.635 | -127.457 | 258.082 | 78.438 | -0.018 | 0.130 | 
| -0.000 | -0.000 | -0.000 | -0.000 | 109.522 | -0.000 | 
| 145.313 | -127.175 | 257.511 | -5.842 | -0.017 | 62.474 | 
| -26.661 | 209.973 | -291.462 | 0.024 | 0.039 | -0.130 | 
| 93.084 | 385.732 | 134.151 | 0.000 | 0.000 | 0.000 | 
| 105.149 | 134.247 | 370.639 | 0.000 | 0.000 | -0.000 | 
| -146.563 | 128.270 | -259.727 | 89.841 | 0.018 | -0.131 | 
| 0.000 | 0.000 | -0.000 | 0.000 | 109.522 | -0.000 | 
| -145.305 | 127.168 | -257.497 | 5.842 | 0.017 | 62.217 | 
| 395.197 | 93.574 | 105.543 | -0.000 | -0.000 | -0.000 | 
| 93.084 | 385.732 | 134.151 | -0.000 | -0.000 | 0.000 | 
| 156.818 | 133.975 | 346.867 | -0.132 | -0.003 | 0.011 | 
| 22.511 | -7.600 | 36.174 | 72.449 | -0.003 | 0.011 | 
| 23.542 | -8.236 | 37.919 | -0.059 | 71.927 | 0.012 | 
| 0.000 | 0.000 | 0.000 | -0.000 | -0.000 | 96.888 | 
| 284.272 | 135.847 | 110.561 | 0.609 | 0.002 | -0.013 | 
| 170.280 | 84.203 | -66.660 | 0.496 | 0.004 | -0.026 | 
| 113.983 | 144.105 | 270.171 | -0.327 | 0.004 | -0.009 | 
| -0.000 | -0.000 | -0.000 | 138.182 | 0.000 | 0.000 | 
| -37.159 | -24.368 | -53.765 | 0.335 | 75.309 | -0.015 | 
| -0.000 | -0.000 | -0.000 | 0.000 | 0.000 | 96.888 | 
| 256.661 | 170.205 | 179.381 | -0.055 | -0.000 | 0.001 | 
| 149.292 | 201.065 | 70.385 | 0.032 | -0.001 | 0.002 | 
| 163.366 | 72.843 | 278.851 | -0.043 | -0.001 | 0.001 | 
| 1.862 | -0.701 | 3.015 | 82.774 | -0.000 | 0.001 | 
| 1.695 | -0.789 | 2.791 | -0.018 | 78.964 | 0.001 | 
| 2.108 | -0.986 | 3.472 | -0.023 | -0.000 | 74.203 | 
| 276.283 | 106.595 | 129.568 | 0.001 | 0.000 | -0.001 | 
| 157.957 | 170.793 | 43.201 | 0.040 | 0.001 | -0.002 | 
| 171.722 | 44.112 | 251.090 | -0.010 | 0.000 | -0.001 | 
| -1.868 | 0.690 | -3.020 | 82.812 | 0.000 | -0.001 | 
| -1.695 | 0.789 | -2.791 | 0.018 | 78.964 | -0.001 | 
| -3.357 | -3.824 | -5.507 | 0.026 | 0.000 | 68.102 | 
| -1237.994 | -1255.940 | 443.968 | 1.134 | -0.808 | -0.173 | 
| -1259.356 | -1234.922 | 444.000 | 1.134 | -0.808 | -0.173 | 
| -1288.412 | -1285.160 | 639.245 | 1.133 | -0.807 | -0.173 | 
| 0.000 | 0.000 | -0.000 | 151.472 | 0.000 | 0.000 | 
| 0.000 | -0.000 | -0.000 | -0.000 | 151.472 | 0.000 | 
| 0.000 | -0.000 | 0.000 | -0.000 | 0.000 | 222.830 | 
| 3116.794 | 2849.043 | 328.883 | 0.543 | -0.394 | -0.086 | 
| 222.684 | 459.558 | 148.866 | -0.000 | -0.000 | -0.000 | 
| 150.237 | 150.237 | 578.975 | 0.000 | -0.000 | -0.000 | 
| -0.000 | -0.000 | 0.000 | 151.472 | 0.000 | -0.000 | 
| -0.000 | 0.000 | 0.000 | -0.000 | 151.472 | -0.000 | 
| -0.000 | 0.000 | 0.000 | 0.000 | 0.000 | 222.830 | 
| 99.074 | 69.569 | 202.152 | 0.109 | -0.078 | -0.017 | 
| 69.144 | 99.123 | 202.191 | 0.109 | -0.078 | -0.017 | 
| 29.604 | 29.937 | 395.730 | 0.116 | -0.083 | -0.018 | 
| -273.343 | -273.097 | -128.407 | 90.777 | -0.057 | -0.012 | 
| -273.417 | -273.173 | -128.158 | 0.079 | 90.749 | -0.012 | 
| -265.745 | -265.849 | -13.673 | -0.031 | 0.023 | 166.591 | 
| 532.146 | 416.942 | 220.523 | -0.050 | 0.036 | 0.008 | 
| 417.024 | 532.089 | 220.453 | -0.050 | 0.036 | 0.008 | 
| 303.505 | 303.221 | 376.236 | -0.099 | 0.070 | 0.015 | 
| 273.445 | 273.202 | 128.126 | 90.745 | 0.057 | 0.012 | 
| 273.354 | 273.109 | 128.370 | -0.080 | 90.771 | 0.012 | 
| 265.745 | 265.849 | 13.679 | 0.031 | -0.023 | 166.596 | 
| 191.773 | 108.621 | 113.345 | 0.003 | -0.002 | -0.000 | 
| 108.611 | 191.784 | 113.345 | 0.003 | -0.002 | -0.000 | 
| 109.833 | 109.867 | 366.620 | 0.010 | -0.007 | -0.002 | 
| -7.508 | -7.492 | 1.361 | 102.942 | -0.004 | -0.001 | 
| -7.507 | -7.490 | 1.360 | 0.006 | 102.941 | -0.001 | 
| -7.399 | -7.382 | 1.341 | 0.006 | -0.004 | 165.034 | 
| 273.226 | 163.789 | 124.342 | -0.004 | 0.003 | 0.001 | 
| 163.801 | 273.214 | 124.342 | -0.004 | 0.003 | 0.001 | 
| 161.317 | 161.284 | 385.622 | -0.009 | 0.007 | 0.002 | 
| 7.507 | 7.490 | -1.360 | 102.941 | 0.004 | 0.001 | 
| 7.508 | 7.491 | -1.361 | -0.006 | 102.942 | 0.001 | 
| 7.399 | 7.383 | -1.341 | -0.006 | 0.004 | 165.034 | 
| 313.078 | 180.989 | 143.330 | 0.000 | 0.000 | -0.000 | 
| 180.989 | 313.078 | 143.330 | -0.000 | 0.000 | -0.000 | 
| 146.214 | 146.214 | 393.748 | -0.000 | 0.000 | -0.000 | 
| -0.000 | 0.000 | -0.001 | 102.055 | 0.000 | -0.000 | 
| -0.000 | 0.000 | -0.001 | -0.000 | 102.055 | -0.000 | 
| -0.000 | 0.000 | -0.001 | 0.000 | 0.000 | 155.500 | 
| 313.080 | 180.989 | 143.332 | 0.000 | -0.000 | 0.000 | 
| 180.989 | 313.080 | 143.332 | 0.000 | -0.000 | 0.000 | 
| 133.279 | 133.279 | 526.499 | -0.000 | -0.000 | 0.000 | 
| 0.000 | -0.000 | 0.001 | 102.055 | -0.000 | 0.000 | 
| -0.000 | -0.000 | 0.001 | -0.000 | 102.055 | 0.000 | 
| -0.000 | -0.000 | 0.001 | -0.000 | -0.000 | 155.501 | 
| 313.077 | 180.989 | 143.331 | 0.000 | 0.000 | -0.000 | 
| 180.989 | 313.077 | 143.331 | 0.000 | 0.000 | -0.000 | 
| 146.214 | 146.214 | 393.749 | 0.000 | 0.000 | -0.000 | 
| 0.000 | -0.000 | -0.000 | 102.055 | -0.000 | -0.000 | 
| -0.000 | 0.000 | -0.000 | -0.000 | 102.055 | -0.000 | 
| 0.000 | 0.000 | 0.000 | 0.000 | 0.000 | 202.225 | 
| 419.441 | 193.428 | 133.279 | -0.000 | 0.000 | 0.000 | 
| 193.428 | 419.441 | 133.279 | -0.000 | -0.000 | 0.000 | 
| 133.279 | 133.279 | 526.499 | 0.000 | -0.000 | 0.000 | 
| -0.000 | 0.000 | 0.000 | 102.055 | 0.000 | -0.000 | 
| 0.000 | -0.000 | 0.000 | -0.000 | 102.055 | 0.000 | 
| -0.000 | -0.000 | -0.000 | -0.000 | -0.000 | 202.225 | 
| 313.065 | 180.988 | 143.333 | 0.000 | 0.000 | 0.000 | 
| 180.988 | 313.065 | 143.333 | 0.000 | 0.000 | -0.000 | 
| 103.189 | 103.189 | 350.916 | 0.000 | 0.000 | -0.000 | 
| 0.000 | -0.000 | -0.000 | 102.055 | 0.000 | -0.000 | 
| -0.000 | 0.000 | -0.000 | 0.000 | 102.055 | -0.000 | 
| 0.000 | 0.001 | 0.000 | -0.000 | 0.000 | 202.225 | 
| 250.351 | 112.823 | 100.228 | 0.000 | -0.000 | 0.000 | 
| 112.823 | 250.350 | 100.228 | -0.000 | -0.000 | 0.000 | 
| 146.213 | 146.213 | 393.757 | -0.000 | -0.000 | 0.000 | 
| -0.000 | 0.000 | 0.000 | 102.055 | -0.000 | 0.000 | 
| 0.000 | -0.000 | 0.000 | -0.000 | 102.055 | 0.000 | 
| -0.000 | -0.001 | -0.000 | -0.000 | -0.000 | 202.225 | 
| 345.822 | 99.607 | 100.257 | -0.000 | 22.532 | -0.000 | 
| 106.376 | 237.732 | 114.208 | 0.000 | 0.039 | 0.000 | 
| 100.676 | 118.198 | 302.828 | 0.000 | -2.757 | -0.000 | 
| 0.000 | -0.000 | 0.000 | 123.706 | -0.000 | -2.308 | 
| 6.341 | -2.062 | -2.757 | 0.000 | 106.407 | -0.000 | 
| -0.017 | 0.041 | -0.026 | -3.335 | -0.058 | 74.893 | 
| 265.396 | 106.253 | 106.848 | 0.000 | 19.796 | -0.000 | 
| 74.989 | 200.962 | 85.850 | 0.000 | 3.145 | -0.000 | 
| 84.257 | 87.855 | 209.589 | 0.000 | -1.180 | -0.000 | 
| -0.000 | 0.000 | -0.000 | 123.706 | -0.000 | -2.308 | 
| 8.321 | -0.246 | -6.251 | 0.000 | 77.527 | -0.000 | 
| 0.017 | -0.041 | 0.026 | -3.335 | 0.058 | 74.893 | 
| 265.367 | 106.308 | 106.814 | 0.000 | 19.719 | 0.000 | 
| 99.921 | 307.474 | 118.199 | -0.000 | -2.062 | -0.000 | 
| 107.882 | 114.293 | 238.276 | -0.000 | -6.829 | 0.000 | 
| -0.002 | 0.004 | -0.003 | 86.107 | -0.006 | -3.312 | 
| 2.553 | 2.304 | -1.953 | -0.000 | 67.845 | 0.000 | 
| -0.002 | 0.004 | -0.003 | -3.335 | -0.006 | 74.893 | 
| 265.375 | 106.298 | 106.820 | 0.000 | 19.733 | -0.000 | 
| 99.921 | 307.474 | 118.198 | 0.000 | -2.062 | 0.000 | 
| 107.886 | 114.282 | 238.275 | -0.000 | -6.815 | -0.000 | 
| 0.002 | -0.004 | 0.003 | 86.107 | 0.006 | -3.312 | 
| 2.559 | 2.294 | -1.949 | 0.000 | 67.862 | -0.000 | 
| 0.002 | -0.004 | 0.003 | -3.335 | 0.006 | 74.893 | 
| 222.209 | 69.167 | 77.761 | -0.000 | 9.405 | 0.000 | 
| 99.921 | 307.475 | 118.199 | -0.000 | -2.062 | -0.000 | 
| 84.205 | 87.930 | 209.801 | 0.000 | -1.247 | 0.000 | 
| -0.000 | 0.000 | -0.000 | 86.107 | -0.001 | -3.312 | 
| 6.341 | -2.062 | -2.757 | 0.000 | 106.407 | -0.000 | 
| -0.000 | 0.000 | -0.000 | -3.335 | -0.001 | 74.893 | 
| 222.217 | 69.130 | 77.731 | -0.000 | 9.400 | 0.000 | 
| 29.144 | 146.929 | 67.495 | -0.000 | 0.839 | -0.000 | 
| 53.417 | 63.437 | 181.916 | -0.000 | -3.192 | -0.000 | 
| 0.000 | -0.000 | 0.000 | 86.107 | 0.001 | -3.312 | 
| 2.556 | 2.298 | -1.951 | 0.000 | 67.854 | -0.000 | 
| -0.000 | -0.000 | -0.000 | -2.308 | -0.000 | 105.341 | 
| -181.846 | -265.978 | 547.414 | -0.000 | 135.713 | -0.000 | 
| -914.889 | 800.302 | 849.956 | 0.000 | 0.435 | -0.000 | 
| 98.984 | 117.354 | 299.621 | 0.000 | -2.702 | -0.000 | 
| -3520.566 | -2439.953 | 1604.406 | 21.258 | -388.046 | 5.027 | 
| -986.261 | 584.310 | 758.304 | 0.000 | 63.544 | -0.000 | 
| -766.210 | 131.333 | 894.518 | -3.123 | -247.189 | 71.521 | 
| 1220.300 | -507.238 | -678.985 | 0.000 | 12.260 | -0.000 | 
| 871.462 | 113.948 | -780.545 | -0.000 | 247.000 | -0.000 | 
| 997.540 | 1324.753 | -668.622 | 0.000 | -536.145 | 0.000 | 
| 377.352 | 305.661 | -499.579 | 63.020 | -126.002 | 6.894 | 
| 5.271 | -2.301 | -2.702 | 0.000 | 104.438 | 0.000 | 
| 766.210 | -131.333 | -894.518 | -3.123 | 247.189 | 71.521 | 
| 149.462 | 6.432 | 96.609 | 0.000 | 21.522 | 0.000 | 
| -27.142 | 271.440 | 165.215 | -0.000 | 1.995 | -0.000 | 
| 28.299 | 127.237 | 326.782 | 0.000 | -32.136 | -0.000 | 
| 0.000 | 0.000 | 0.000 | 122.858 | -0.000 | -2.434 | 
| -38.370 | -21.647 | 45.269 | -0.000 | 67.933 | 0.000 | 
| -76.447 | 13.103 | 89.248 | -3.122 | -24.663 | 71.597 | 
| 330.516 | 18.649 | 5.059 | 0.000 | 10.755 | 0.000 | 
| 182.005 | 231.319 | 24.412 | 0.000 | 24.572 | -0.000 | 
| 122.368 | 171.641 | 63.510 | 0.000 | -55.929 | 0.000 | 
| -0.000 | -0.000 | -0.000 | 122.858 | 0.000 | -2.434 | 
| 98.930 | -57.841 | -76.049 | -0.000 | 64.884 | 0.000 | 
| 76.447 | -13.103 | -89.248 | -3.122 | 24.663 | 71.597 | 
| 216.636 | 76.030 | 83.086 | 0.000 | 8.694 | -0.000 | 
| 96.524 | 247.477 | 124.125 | 0.000 | -3.004 | 0.000 | 
| 98.542 | 114.961 | 238.903 | -0.000 | -10.179 | -0.000 | 
| -6.950 | 1.191 | 8.114 | 82.986 | -2.242 | -2.995 | 
| -8.089 | 6.211 | 5.799 | -0.000 | 66.188 | -0.000 | 
| -32.021 | -19.102 | 14.248 | 4.423 | -2.718 | 40.934 | 
| 231.397 | 67.854 | 72.603 | 0.000 | 8.674 | -0.000 | 
| 88.333 | 215.671 | 84.048 | -0.000 | 1.522 | 0.000 | 
| 57.063 | 67.078 | 167.093 | 0.000 | -4.371 | 0.000 | 
| 6.950 | -1.191 | -8.114 | 82.986 | 2.242 | -2.995 | 
| 9.787 | -4.135 | -8.446 | 0.000 | 64.482 | 0.000 | 
| 32.021 | 19.102 | -14.248 | 4.423 | 2.718 | 40.934 | 
| 584.983 | 368.474 | 3611.795 | -34.368 | 24.140 | 0.000 | 
| 193.869 | 574.402 | 129.570 | 37.683 | -20.563 | -0.000 | 
| 122.669 | 122.670 | 596.266 | -0.001 | 0.003 | 0.000 | 
| 533.477 | 609.926 | 3897.996 | 68.961 | 0.003 | -14.102 | 
| 20.566 | -20.566 | -0.002 | -0.001 | 117.712 | -37.684 | 
| 205.612 | 205.612 | 3619.550 | -24.250 | -34.260 | 105.666 | 
| 162.229 | -44.090 | -3625.489 | -34.161 | 24.356 | -0.000 | 
| -44.089 | 162.229 | -3625.489 | 34.162 | -24.361 | -0.000 | 
| 122.669 | 122.669 | 596.269 | 0.001 | -0.003 | -0.000 | 
| -239.870 | -171.344 | -3619.452 | 44.209 | -0.004 | -24.249 | 
| -181.358 | -229.856 | -3619.452 | 0.001 | 44.205 | -34.263 | 
| 0.000 | -0.000 | 0.001 | -20.565 | -37.687 | 190.267 | 
| 574.403 | 193.869 | 129.571 | -37.684 | 20.567 | 0.000 | 
| 190.406 | 452.249 | 364.227 | 35.284 | -23.150 | -0.000 | 
| 122.669 | 122.669 | 596.268 | -0.000 | 0.000 | -0.000 | 
| -15.688 | 53.405 | 331.976 | 50.294 | 0.000 | -23.944 | 
| 42.803 | -5.086 | 331.976 | 0.000 | 50.295 | -34.546 | 
| 0.000 | 0.000 | -0.000 | -20.566 | -37.684 | 190.267 | 
| 333.339 | 40.258 | -331.681 | -36.580 | -15.207 | 0.000 | 
| 144.737 | 344.779 | -285.808 | 34.035 | -24.495 | 0.000 | 
| 83.978 | 83.978 | 64.919 | 0.000 | -0.000 | -0.000 | 
| -156.237 | -85.689 | -439.755 | 63.321 | -0.000 | 7.352 | 
| 5.086 | -42.803 | -331.976 | 0.000 | 50.294 | -34.546 | 
| -0.000 | -0.000 | 0.000 | -20.566 | -37.684 | 190.267 | 
| 449.241 | 181.274 | 99.792 | -35.668 | 8.298 | 0.000 | 
| 181.282 | 449.350 | 99.857 | 35.669 | -8.325 | -0.000 | 
| 105.040 | 105.040 | 414.969 | -0.000 | 0.000 | 0.000 | 
| -34.739 | 36.950 | 19.461 | 78.190 | 0.000 | -22.546 | 
| 9.705 | 8.753 | 37.677 | -0.000 | 66.983 | -35.413 | 
| 1.184 | 1.184 | 20.840 | -22.687 | -35.714 | 141.558 | 
| 435.039 | 158.681 | 37.273 | -36.951 | 11.232 | -0.000 | 
| 158.639 | 434.888 | 37.056 | 36.949 | -11.180 | -0.000 | 
| 101.846 | 101.846 | 360.876 | 0.000 | -0.000 | -0.000 | 
| -36.951 | 34.742 | -19.440 | 78.232 | -0.000 | -22.544 | 
| 21.440 | -23.649 | -19.440 | -0.000 | 78.233 | -35.847 | 
| -6.802 | -6.801 | -30.300 | -6.505 | -35.744 | 135.122 | 
| 1176.673 | 1077.877 | -6080.730 | 17.290 | 13.207 | -0.001 | 
| 1077.900 | 1176.695 | -6080.884 | -17.287 | -13.204 | -0.001 | 
| -3963.994 | -3963.996 | -14600.238 | -0.004 | -0.003 | 0.003 | 
| -6780.343 | -6854.143 | -15735.973 | -16.023 | 0.002 | 8.593 | 
| 976.775 | 950.207 | -6185.105 | 0.001 | 43.997 | 17.292 | 
| -3784.967 | -3784.969 | -14857.775 | -9.084 | -32.385 | 112.514 | 
| 349.644 | 114.486 | 114.868 | 18.298 | 30.965 | -0.000 | 
| -848.712 | -748.653 | 6287.052 | -17.299 | -13.371 | 0.001 | 
| 114.517 | 114.517 | 379.799 | 0.000 | -0.000 | -0.000 | 
| -946.198 | -980.785 | 6185.105 | 43.994 | -0.001 | -13.284 | 
| 10584.089 | 10515.198 | 20354.020 | 0.005 | 155.382 | -81.195 | 
| -963.514 | -963.514 | 6185.251 | -13.286 | 17.292 | 49.701 | 
| 349.644 | 114.486 | 114.868 | 18.298 | 30.965 | 0.000 | 
| 114.486 | 349.644 | 114.868 | -18.298 | -30.965 | 0.000 | 
| -933.936 | -933.937 | -1806.197 | -0.001 | -0.000 | 0.000 | 
| 112.808 | 78.205 | -613.102 | 44.634 | 0.000 | -13.439 | 
| -1001.955 | -1055.548 | -1965.878 | -0.000 | 104.873 | -55.831 | 
| 95.757 | 95.757 | -614.711 | -13.393 | 17.299 | 50.119 | 
| 124.865 | 18.741 | 718.960 | 17.343 | 14.160 | 0.000 | 
| 369.883 | 590.904 | 1315.996 | 29.727 | -9.650 | -0.000 | 
| 1144.625 | 1144.625 | 2213.990 | 0.000 | 0.000 | -0.000 | 
| -78.244 | -112.846 | 613.348 | 44.605 | -0.000 | -13.432 | 
| -82.113 | -108.977 | 613.348 | -0.000 | 44.605 | 17.301 | 
| -95.757 | -95.757 | 614.710 | -13.393 | 17.299 | 50.119 | 
| 165.177 | 60.947 | -85.612 | -3.341 | 5.513 | 0.000 | 
| 114.486 | 349.646 | 114.869 | -18.298 | -30.965 | 0.000 | 
| -52.041 | -52.041 | -35.245 | 0.000 | 0.000 | -0.000 | 
| -2.294 | -4.866 | -101.628 | 68.312 | -0.000 | -8.466 | 
| -55.425 | -53.741 | -142.476 | 0.000 | 41.750 | 17.326 | 
| 0.000 | 0.000 | 0.000 | -30.965 | 18.298 | 117.579 | 
| 238.789 | 90.152 | 142.610 | 5.911 | 14.923 | -0.000 | 
| 105.346 | 251.996 | 166.307 | -17.643 | -19.438 | 0.000 | 
| 104.709 | 104.709 | 211.740 | -0.000 | -0.000 | 0.000 | 
| 4.867 | 2.291 | 101.623 | 68.311 | 0.000 | -8.466 | 
| 12.773 | -25.607 | 41.194 | -0.000 | 68.382 | 17.629 | 
| -0.000 | -0.000 | -0.000 | -30.965 | 18.298 | 117.579 | 
| 330.365 | 106.076 | 107.496 | 16.583 | 27.371 | -0.000 | 
| 137.330 | 201.409 | 74.069 | -15.891 | -3.973 | -0.000 | 
| 107.496 | 107.496 | 371.212 | -0.000 | -0.000 | -0.000 | 
| 10.449 | 4.170 | 3.643 | 62.606 | -0.000 | -6.964 | 
| 27.371 | -27.371 | 0.000 | 0.000 | 113.022 | 16.583 | 
| 4.181 | 4.181 | 9.534 | -8.218 | 2.432 | 59.315 | 
| 330.365 | 106.076 | 107.496 | 16.583 | 27.371 | -0.000 | 
| 82.753 | 206.014 | 155.221 | -16.147 | -12.616 | -0.000 | 
| 107.496 | 107.496 | 371.212 | 0.000 | 0.000 | 0.000 | 
| 16.583 | -16.583 | -0.000 | 113.022 | 0.000 | -27.371 | 
| 27.371 | -27.371 | -0.000 | -0.000 | 113.022 | 16.583 | 
| -27.588 | -27.588 | 44.111 | -8.452 | 16.024 | 47.374 | 
| 254.901 | 106.334 | 114.903 | 16.256 | 16.312 | -0.000 | 
| 106.076 | 330.365 | 107.496 | -16.583 | -27.371 | -0.000 | 
| 117.518 | 117.518 | 279.807 | 0.000 | -0.000 | -0.000 | 
| 13.464 | -14.406 | 2.413 | 63.226 | -0.000 | -8.123 | 
| 27.371 | -27.371 | 0.000 | 0.000 | 113.022 | 16.583 | 
| 0.000 | 0.000 | 0.000 | -27.371 | 16.583 | 112.144 | 
| 256.155 | 103.278 | 119.345 | 16.275 | 16.941 | 0.000 | 
| 68.134 | 205.600 | 50.861 | -16.350 | -7.806 | -0.000 | 
| 70.082 | 70.082 | 216.114 | 0.000 | 0.000 | -0.000 | 
| 16.583 | -16.583 | -0.000 | 113.022 | 0.000 | -27.371 | 
| 8.594 | -7.652 | -2.413 | -0.000 | 63.226 | 13.935 | 
| -0.000 | -0.000 | -0.000 | -27.371 | 16.583 | 112.144 | 
| 225.062 | 86.821 | 80.735 | 7.202 | 12.355 | 0.000 | 
| 104.932 | 256.579 | 116.829 | -16.270 | -16.762 | -0.000 | 
| 23.093 | 23.093 | 103.303 | 0.000 | -0.000 | -0.000 | 
| 16.462 | -16.226 | -0.189 | 83.113 | 0.000 | -19.284 | 
| 19.401 | -19.166 | -0.189 | 0.000 | 83.112 | 16.344 | 
| 0.072 | 0.072 | -0.031 | -14.063 | 9.192 | 73.148 | 
| 225.373 | 86.859 | 81.032 | 7.285 | 12.417 | -0.000 | 
| 86.848 | 225.353 | 81.008 | -7.279 | -12.414 | 0.000 | 
| 27.553 | 27.553 | 163.454 | -0.000 | 0.000 | 0.000 | 
| 16.226 | -16.462 | 0.189 | 83.113 | -0.000 | -19.284 | 
| 19.166 | -19.402 | 0.189 | -0.000 | 83.114 | 16.344 | 
| 0.082 | 0.082 | -0.336 | -5.002 | 13.527 | 62.996 | 
| 391.640 | 127.559 | 92.840 | 23.070 | -0.000 | -0.000 | 
| 140.398 | 361.804 | -456.255 | -3.579 | 0.000 | -0.000 | 
| 93.585 | 93.585 | 392.787 | 0.000 | -0.000 | -0.000 | 
| 23.070 | -23.070 | -0.000 | 98.874 | -0.000 | -0.000 | 
| 60.613 | 60.613 | -441.207 | 0.000 | 54.359 | -3.998 | 
| 59.986 | 59.986 | -442.281 | 0.000 | -3.908 | 100.014 | 
| 391.640 | 127.559 | 92.840 | 23.070 | -0.000 | 0.000 | 
| 127.558 | 391.640 | 92.840 | -23.071 | 0.000 | 0.000 | 
| 70.938 | 70.938 | 867.231 | -0.000 | -0.000 | 0.000 | 
| -3.813 | -10.749 | 537.280 | 64.388 | -0.000 | 0.000 | 
| -60.613 | -60.613 | 441.207 | -0.000 | 54.360 | -3.998 | 
| -59.986 | -59.986 | 442.281 | -0.000 | -3.908 | 100.014 | 
| 391.640 | 127.559 | 92.840 | 23.070 | -0.000 | -0.000 | 
| 127.559 | 391.640 | 92.840 | -23.070 | -0.000 | -0.000 | 
| 79.674 | 79.674 | 270.321 | 0.000 | 0.000 | -0.000 | 
| 3.493 | -1.982 | -55.731 | 63.103 | -0.000 | -0.000 | 
| 0.755 | 0.755 | -55.731 | 0.000 | 63.102 | 2.737 | 
| 5.144 | 5.144 | -45.667 | 0.000 | -2.678 | 101.764 | 
| 391.640 | 127.559 | 92.840 | 23.070 | 0.000 | 0.000 | 
| 123.953 | 330.028 | 117.111 | 1.778 | -0.000 | 0.000 | 
| 93.584 | 93.584 | 392.787 | -0.000 | 0.000 | 0.000 | 
| -12.089 | -1.897 | 41.829 | 52.976 | 0.000 | 0.000 | 
| -0.755 | -0.755 | 55.731 | -0.000 | 63.102 | 2.737 | 
| -5.144 | -5.144 | 45.667 | -0.000 | -2.678 | 101.764 | 
| 391.642 | 127.559 | 92.840 | 23.070 | 0.000 | -0.000 | 
| 135.408 | 340.436 | 64.875 | 3.901 | -0.000 | -0.000 | 
| 78.113 | 78.113 | 312.859 | 0.000 | 0.000 | -0.000 | 
| 23.070 | -23.070 | 0.000 | 98.874 | -0.000 | -0.000 | 
| 0.000 | 0.000 | 0.000 | 0.000 | 98.874 | 23.070 | 
| 0.482 | 0.483 | -4.682 | 0.000 | -2.427 | 102.193 | 
| 338.745 | 135.428 | 79.278 | -4.682 | 0.000 | 0.000 | 
| 135.428 | 338.746 | 79.278 | 4.681 | -0.000 | 0.000 | 
| 93.584 | 93.584 | 392.785 | -0.000 | 0.000 | 0.000 | 
| 23.070 | -23.070 | -0.000 | 98.874 | 0.000 | 0.000 | 
| -0.000 | -0.000 | -0.000 | -0.000 | 98.874 | 23.070 | 
| -0.482 | -0.483 | 4.682 | -0.000 | -2.427 | 102.193 | 
| 270.716 | 87.015 | 82.087 | -0.000 | 0.000 | -0.000 | 
| 87.015 | 270.716 | 82.087 | 0.000 | 0.000 | -0.000 | 
| 449.254 | 449.254 | -7.778 | 0.000 | 0.000 | -0.000 | 
| -0.000 | -0.000 | 0.000 | 79.768 | 0.000 | -0.000 | 
| 365.891 | 365.891 | -293.828 | 0.000 | 59.741 | -0.000 | 
| 365.913 | 365.913 | -293.846 | 0.000 | -0.000 | 71.542 | 
| 270.716 | 87.015 | 82.087 | -0.000 | -0.000 | 0.000 | 
| 87.015 | 270.716 | 82.087 | -0.000 | 0.000 | 0.000 | 
| 80.379 | 80.379 | 323.365 | 0.000 | 0.000 | 0.000 | 
| 0.000 | 0.000 | -0.000 | 79.768 | 0.000 | 0.000 | 
| -365.891 | -365.891 | 293.828 | -0.000 | 59.741 | 0.000 | 
| -365.913 | -365.913 | 293.846 | -0.000 | 0.000 | 71.542 | 
| 270.716 | 87.015 | 82.087 | 0.000 | 0.000 | -0.000 | 
| 87.015 | 270.716 | 82.087 | -0.000 | 0.000 | -0.000 | 
| 120.989 | 120.989 | 253.884 | 0.000 | 0.000 | -0.000 | 
| 36.805 | 36.805 | -29.557 | 59.623 | -0.000 | -0.000 | 
| 36.853 | 36.853 | -29.594 | 0.000 | 59.597 | -0.000 | 
| 0.000 | 0.000 | 0.000 | 0.000 | -0.000 | 91.851 | 
| 61.516 | -44.426 | 138.362 | -0.000 | 0.000 | 0.000 | 
| -70.271 | 47.124 | 117.540 | -0.000 | 0.000 | 0.000 | 
| -20.984 | -20.984 | 291.776 | -0.000 | 0.000 | 0.000 | 
| -36.666 | -36.666 | 29.444 | 59.699 | 0.000 | 0.000 | 
| -36.853 | -36.853 | 29.594 | -0.000 | 59.597 | 0.000 | 
| -0.000 | -0.000 | -0.000 | -0.000 | 0.000 | 91.851 | 
| 87.097 | 44.942 | 105.567 | 0.000 | 0.000 | -0.000 | 
| 48.664 | 101.284 | 88.748 | 0.000 | -0.000 | -0.000 | 
| 89.399 | 89.399 | 258.016 | 0.000 | 0.000 | -0.000 | 
| 10.596 | 10.596 | -3.784 | 53.625 | -0.000 | -0.000 | 
| 4.282 | 4.282 | -3.438 | 0.000 | 56.332 | -0.000 | 
| 18.907 | 18.907 | -2.519 | 0.000 | -0.000 | 46.988 | 
| 140.562 | 32.325 | 91.089 | -0.000 | 0.000 | 0.000 | 
| 32.861 | 95.645 | 80.254 | -0.000 | 0.000 | 0.000 | 
| 76.897 | 76.897 | 262.899 | -0.000 | 0.000 | 0.000 | 
| -10.596 | -10.596 | 3.784 | 53.625 | 0.000 | 0.000 | 
| -10.591 | -10.591 | 3.783 | -0.000 | 53.631 | 0.000 | 
| -18.907 | -18.907 | 2.519 | -0.000 | -0.000 | 46.988 | 
| -127.197 | -199.173 | -197.983 | -0.392 | -1.983 | 3.469 | 
| -200.172 | -126.196 | -197.982 | -0.392 | -1.983 | 3.469 | 
| -200.171 | -199.170 | -125.004 | -0.392 | -1.983 | 3.469 | 
| 0.000 | -0.000 | 0.000 | 82.180 | 0.000 | 0.000 | 
| 0.000 | -0.000 | -0.000 | 0.000 | 82.180 | 0.000 | 
| -0.000 | -0.000 | 0.000 | 0.000 | -0.000 | 82.180 | 
| 445.880 | 351.134 | 349.108 | 0.554 | 2.705 | -4.744 | 
| 352.885 | 444.124 | 349.106 | 0.554 | 2.705 | -4.744 | 
| 352.883 | 351.129 | 442.096 | 0.554 | 2.705 | -4.744 | 
| -0.000 | 0.000 | -0.000 | 82.180 | -0.000 | -0.000 | 
| -0.000 | 0.000 | 0.000 | -0.000 | 82.180 | -0.000 | 
| 0.000 | 0.000 | -0.000 | -0.000 | -0.000 | 82.180 | 
| 127.710 | 34.595 | 34.795 | -0.055 | -0.268 | 0.469 | 
| 34.418 | 127.878 | 34.792 | -0.055 | -0.268 | 0.469 | 
| 34.414 | 34.587 | 128.071 | -0.055 | -0.268 | 0.469 | 
| -29.064 | -28.889 | -28.686 | 58.952 | -0.271 | 0.476 | 
| -29.062 | -28.886 | -28.683 | -0.056 | 58.738 | 0.475 | 
| -29.070 | -28.894 | -28.691 | -0.056 | -0.271 | 59.479 | 
| 184.682 | 91.986 | 91.780 | 0.056 | 0.275 | -0.483 | 
| 92.164 | 184.505 | 91.779 | 0.056 | 0.275 | -0.483 | 
| 92.162 | 91.984 | 184.300 | 0.056 | 0.275 | -0.483 | 
| 29.066 | 28.890 | 28.687 | 59.062 | 0.271 | -0.476 | 
| 29.068 | 28.892 | 28.689 | 0.056 | 59.276 | -0.476 | 
| 29.060 | 28.884 | 28.681 | 0.055 | 0.271 | 58.536 | 
| 60.542 | 25.259 | 25.271 | -0.008 | -0.038 | 0.066 | 
| 25.248 | 60.554 | 25.270 | -0.008 | -0.038 | 0.066 | 
| 25.247 | 25.257 | 60.567 | -0.008 | -0.038 | 0.066 | 
| -2.090 | -2.083 | -2.074 | 42.027 | -0.016 | 0.029 | 
| -2.092 | -2.084 | -2.075 | -0.003 | 42.013 | 0.029 | 
| -2.087 | -2.080 | -2.071 | -0.003 | -0.016 | 42.063 | 
| 105.114 | 37.362 | 37.352 | 0.004 | 0.019 | -0.033 | 
| 37.374 | 105.104 | 37.355 | 0.004 | 0.019 | -0.033 | 
| 37.378 | 37.369 | 105.092 | 0.004 | 0.019 | -0.033 | 
| 2.090 | 2.082 | 2.073 | 42.035 | 0.016 | -0.029 | 
| 2.089 | 2.081 | 2.072 | 0.003 | 42.049 | -0.029 | 
| 2.093 | 2.085 | 2.076 | 0.003 | 0.017 | 41.999 | 
| 69.263 | 28.755 | 28.755 | 0.000 | 0.000 | 0.000 | 
| 28.755 | 69.263 | 28.755 | -0.000 | 0.000 | 0.000 | 
| 28.755 | 28.755 | 69.263 | 0.000 | 0.000 | 0.000 | 
| 0.005 | 0.005 | 0.005 | 48.662 | 0.000 | 0.000 | 
| 0.005 | 0.005 | 0.005 | 0.000 | 48.662 | 0.000 | 
| 0.005 | 0.005 | 0.005 | 0.000 | 0.000 | 48.662 | 
| 171.937 | 68.226 | 68.226 | -0.000 | -0.000 | -0.000 | 
| 68.226 | 171.937 | 68.226 | 0.000 | -0.000 | -0.000 | 
| 68.226 | 68.226 | 171.937 | 0.000 | -0.000 | -0.000 | 
| -0.005 | -0.005 | -0.005 | 48.662 | -0.000 | -0.000 | 
| -0.005 | -0.005 | -0.005 | 0.000 | 48.662 | -0.000 | 
| -0.005 | -0.005 | -0.005 | -0.000 | -0.000 | 48.662 | 
| 171.937 | 68.226 | 68.226 | 0.000 | -0.000 | 0.000 | 
| 68.226 | 171.937 | 68.226 | 0.000 | 0.000 | 0.000 | 
| 68.226 | 68.226 | 171.937 | -0.000 | 0.000 | 0.000 | 
| 0.001 | 0.001 | 0.001 | 48.662 | 0.000 | 0.000 | 
| 0.001 | 0.001 | 0.001 | 0.000 | 48.662 | 0.000 | 
| 0.001 | 0.001 | 0.001 | 0.000 | 0.000 | 48.662 | 
| 171.937 | 68.226 | 68.226 | -0.000 | -0.000 | 0.000 | 
| 68.226 | 171.937 | 68.226 | -0.000 | -0.000 | -0.000 | 
| 68.226 | 68.226 | 171.937 | -0.000 | -0.000 | -0.000 | 
| -0.001 | -0.001 | -0.001 | 48.662 | -0.000 | -0.000 | 
| -0.001 | -0.001 | -0.001 | 0.000 | 48.662 | -0.000 | 
| -0.001 | -0.001 | -0.001 | -0.000 | -0.000 | 48.662 | 
| 171.938 | 68.226 | 68.226 | 0.000 | 0.000 | 0.000 | 
| 68.226 | 171.938 | 68.226 | 0.000 | 0.000 | 0.000 | 
| 68.226 | 68.226 | 171.938 | -0.000 | 0.000 | 0.000 | 
| 0.000 | 0.000 | 0.000 | 75.209 | 0.000 | 0.000 | 
| 0.000 | 0.000 | 0.000 | 0.000 | 75.209 | 0.000 | 
| 0.000 | 0.000 | 0.000 | -0.000 | 0.000 | 75.209 | 
| 94.406 | 29.484 | 29.484 | -0.000 | -0.000 | -0.000 | 
| 29.484 | 94.406 | 29.484 | -0.000 | -0.000 | -0.000 | 
| 29.484 | 29.484 | 94.406 | 0.000 | -0.000 | -0.000 | 
| -0.000 | -0.000 | -0.000 | 75.209 | -0.000 | -0.000 | 
| -0.000 | -0.000 | -0.000 | 0.000 | 75.209 | -0.000 | 
| -0.000 | -0.000 | -0.000 | -0.000 | -0.000 | 75.209 | 
| -177.063 | -285.535 | 1097.099 | -0.000 | 0.000 | -0.000 | 
| -285.535 | -177.063 | 1097.099 | -0.000 | 0.000 | -0.000 | 
| 183.170 | 183.170 | 471.043 | -0.000 | 0.000 | -0.000 | 
| 0.000 | 0.000 | 0.000 | 185.371 | 0.000 | -0.000 | 
| 0.000 | 0.000 | 0.000 | 0.000 | 185.371 | -0.000 | 
| 0.000 | 0.000 | 0.000 | 0.000 | 0.000 | 88.565 | 
| 721.136 | 615.304 | -675.288 | -0.000 | -0.000 | 0.000 | 
| 615.304 | 721.136 | -675.288 | 0.000 | -0.000 | 0.000 | 
| 183.170 | 183.170 | 471.042 | 0.000 | -0.000 | 0.000 | 
| 0.000 | -0.000 | -0.000 | 185.371 | 0.000 | 0.000 | 
| -0.000 | -0.000 | -0.000 | 0.000 | 185.371 | 0.000 | 
| -0.000 | -0.000 | -0.000 | 0.000 | -0.000 | 88.565 | 
| 296.519 | 110.559 | 275.173 | -0.000 | 0.000 | -0.000 | 
| 110.559 | 296.519 | 275.173 | 0.000 | 0.000 | -0.000 | 
| 83.368 | 83.368 | 424.048 | 0.000 | 0.000 | -0.000 | 
| -56.979 | -56.979 | 117.776 | 84.520 | 0.000 | -0.000 | 
| -56.979 | -56.979 | 117.776 | -0.000 | 84.520 | -0.000 | 
| -0.000 | -0.000 | 0.000 | 0.000 | 0.000 | 88.565 | 
| 380.657 | 181.551 | 33.990 | 0.000 | -0.000 | -0.000 | 
| 181.551 | 380.657 | 33.990 | 0.000 | -0.000 | 0.000 | 
| 242.676 | 242.676 | 238.548 | 0.000 | -0.000 | 0.000 | 
| 56.979 | 56.979 | -117.776 | 84.520 | 0.000 | 0.000 | 
| 56.979 | 56.979 | -117.776 | 0.000 | 84.520 | 0.000 | 
| -0.000 | -0.000 | -0.000 | 0.000 | -0.000 | 88.565 | 
| 375.405 | 74.821 | 152.028 | -0.000 | 0.000 | -0.000 | 
| 74.821 | 375.405 | 152.028 | -0.000 | -0.000 | -0.000 | 
| 118.435 | 118.435 | 266.620 | -0.000 | 0.000 | -0.000 | 
| 0.000 | 0.000 | 0.000 | 185.371 | 0.000 | -0.000 | 
| 0.000 | 0.000 | 0.000 | -0.000 | 185.371 | -0.000 | 
| -1.563 | -1.563 | 3.077 | -0.000 | 0.000 | 74.733 | 
| 532.588 | 85.486 | 183.039 | 0.000 | -0.000 | 0.000 | 
| 85.486 | 532.588 | 183.039 | 0.000 | -0.000 | -0.000 | 
| 129.251 | 129.251 | 269.319 | 0.000 | -0.000 | 0.000 | 
| -0.000 | -0.000 | -0.000 | 185.371 | -0.000 | 0.000 | 
| -0.000 | -0.000 | -0.000 | 0.000 | 185.371 | 0.000 | 
| 1.563 | 1.563 | -3.077 | -0.000 | -0.000 | 74.733 | 
| 207.022 | 51.605 | 113.604 | 0.000 | 0.000 | -0.000 | 
| 51.605 | 207.022 | 113.604 | 0.000 | 0.000 | 0.000 | 
| 109.931 | 109.932 | 323.731 | 0.000 | 0.000 | 0.000 | 
| -0.000 | 0.000 | -0.000 | 99.662 | 0.000 | 0.000 | 
| -0.000 | 0.000 | -0.000 | 0.000 | 77.696 | 0.000 | 
| -0.000 | 0.000 | -0.000 | 0.000 | 0.000 | 108.037 | 
| 221.160 | 82.634 | 109.986 | 0.000 | 0.000 | -0.000 | 
| 98.348 | 314.422 | 94.602 | 0.000 | -0.000 | -0.000 | 
| 94.602 | 94.602 | 364.134 | -0.000 | -0.000 | -0.000 | 
| 0.000 | -0.000 | 0.000 | 99.662 | -0.000 | -0.000 | 
| 0.000 | -0.000 | 0.000 | -0.000 | 77.696 | 0.000 | 
| 0.000 | -0.000 | 0.000 | 0.000 | -0.000 | 108.037 | 
| 207.076 | 51.614 | 113.595 | 0.000 | 0.000 | 0.000 | 
| 82.634 | 221.157 | 109.986 | -0.000 | 0.000 | 0.000 | 
| 94.602 | 94.602 | 364.134 | -0.000 | 0.000 | 0.000 | 
| -0.000 | 0.000 | -0.000 | 77.696 | 0.000 | 0.000 | 
| -0.000 | 0.000 | 0.000 | -0.000 | 99.662 | 0.000 | 
| 0.000 | -0.000 | -0.000 | -0.000 | 0.000 | 74.119 | 
| 221.161 | 82.634 | 109.985 | 0.000 | 0.000 | -0.000 | 
| 51.605 | 207.025 | 113.603 | 0.000 | -0.000 | 0.000 | 
| 109.931 | 109.931 | 323.732 | 0.000 | -0.000 | -0.000 | 
| -0.000 | -0.000 | 0.000 | 77.696 | -0.000 | -0.000 | 
| 0.000 | -0.000 | 0.000 | -0.000 | 77.696 | -0.000 | 
| -0.000 | 0.000 | 0.000 | -0.000 | -0.000 | 74.119 | 
| 221.143 | 82.631 | 109.989 | -0.000 | -0.000 | 0.000 | 
| 98.349 | 314.424 | 94.602 | 0.000 | 0.000 | 0.000 | 
| 109.932 | 109.932 | 323.732 | -0.000 | -0.000 | 0.000 | 
| 0.000 | -0.000 | -0.000 | 77.696 | -0.000 | 0.000 | 
| 0.000 | -0.000 | 0.000 | -0.000 | 77.484 | 0.000 | 
| -0.000 | 0.000 | 0.000 | -0.000 | 0.000 | 79.775 | 
| 206.463 | 51.465 | 113.697 | 0.000 | -0.000 | -0.000 | 
| 82.637 | 221.184 | 109.981 | -0.000 | -0.000 | -0.000 | 
| 109.931 | 109.931 | 323.729 | -0.000 | -0.000 | -0.000 | 
| -0.000 | 0.000 | 0.000 | 77.696 | -0.000 | -0.000 | 
| -0.000 | 0.000 | -0.000 | 0.000 | 77.484 | -0.000 | 
| 0.000 | -0.000 | -0.000 | 0.000 | -0.000 | 79.775 | 
| 268.374 | 87.390 | 87.390 | -0.000 | -0.000 | -0.000 | 
| 1104.883 | 1186.488 | 1112.612 | 0.233 | -0.288 | 0.544 | 
| 1104.609 | 1104.857 | 1193.748 | 0.232 | -0.288 | 0.543 | 
| 1058.459 | 1058.707 | 1066.201 | 35.728 | -0.289 | 0.544 | 
| 1058.773 | 1059.021 | 1066.524 | 0.233 | 35.163 | 0.545 | 
| 0.000 | -0.000 | 0.000 | -0.000 | 0.000 | 90.157 | 
| -1161.143 | -1308.734 | -1309.924 | -0.578 | 0.081 | -0.291 | 
| -1308.688 | -1161.178 | -1309.918 | -0.578 | 0.081 | -0.291 | 
| -1308.495 | -1308.535 | -1162.240 | -0.578 | 0.081 | -0.291 | 
| -0.000 | -0.000 | -0.000 | 90.157 | -0.000 | 0.000 | 
| -0.000 | -0.000 | -0.000 | 0.000 | 90.157 | 0.000 | 
| 0.000 | 0.000 | -0.000 | -0.000 | 0.000 | 90.157 | 
| 238.646 | 150.598 | 151.299 | 0.022 | -0.027 | 0.051 | 
| 150.575 | 238.668 | 151.300 | 0.022 | -0.027 | 0.051 | 
| 150.588 | 150.611 | 239.345 | 0.023 | -0.027 | 0.051 | 
| 29.709 | 29.735 | 30.516 | 49.122 | -0.034 | 0.076 | 
| 0.000 | 0.000 | 0.000 | 0.000 | 90.157 | 0.000 | 
| 0.000 | 0.000 | 0.000 | 0.000 | 0.000 | 90.157 | 
| 27.664 | -54.897 | -55.631 | -0.022 | 0.028 | -0.053 | 
| -54.872 | 27.642 | -55.631 | -0.022 | 0.028 | -0.053 | 
| -54.856 | -54.881 | 26.966 | -0.022 | 0.028 | -0.053 | 
| -29.701 | -29.727 | -30.508 | 48.983 | 0.034 | -0.076 | 
| -29.706 | -29.732 | -30.513 | -0.075 | 49.085 | -0.076 | 
| -29.706 | -29.732 | -30.513 | -0.075 | 0.034 | 48.975 | 
| 191.568 | 71.798 | 71.846 | 0.002 | -0.002 | 0.004 | 
| 71.809 | 191.583 | 71.859 | 0.002 | -0.002 | 0.004 | 
| 71.807 | 71.808 | 191.635 | 0.002 | -0.002 | 0.004 | 
| 7.879 | 7.881 | 7.941 | 47.448 | -0.002 | 0.005 | 
| 7.879 | 7.881 | 7.941 | 0.002 | 47.442 | 0.005 | 
| 2.328 | 2.330 | 2.392 | 0.006 | -0.003 | 57.943 | 
| 164.822 | 50.516 | 50.472 | -0.000 | 0.002 | -0.003 | 
| 50.518 | 164.820 | 50.473 | -0.000 | 0.002 | -0.003 | 
| 50.525 | 50.524 | 164.766 | -0.000 | 0.002 | -0.003 | 
| -2.328 | -2.330 | -2.391 | 57.939 | 0.003 | -0.006 | 
| -7.878 | -7.880 | -7.940 | -0.002 | 47.448 | -0.005 | 
| -2.328 | -2.330 | -2.391 | -0.006 | 0.003 | 57.937 | 
| 246.430 | 119.905 | 88.077 | -0.000 | 41.741 | 0.000 | 
| 69.972 | 153.970 | 76.101 | -0.000 | -0.675 | -0.000 | 
| 89.118 | 88.890 | 306.070 | -0.000 | -2.295 | -0.000 | 
| 0.000 | -0.000 | -0.000 | 93.796 | -0.000 | -0.300 | 
| -0.921 | -0.254 | -2.295 | 0.000 | 94.037 | 0.000 | 
| 0.000 | -0.000 | -0.000 | -0.300 | -0.000 | 124.944 | 
| 194.374 | 114.348 | 93.396 | 0.000 | 26.973 | 0.000 | 
| 120.020 | 246.262 | 88.890 | -0.000 | -0.254 | 0.000 | 
| 94.050 | 93.944 | 241.293 | 0.000 | -1.192 | 0.000 | 
| -0.000 | 0.000 | -0.000 | 93.796 | 0.000 | -0.300 | 
| -0.781 | -0.309 | -0.346 | 0.000 | 59.326 | 0.000 | 
| -0.000 | 0.000 | 0.000 | -0.300 | 0.000 | 124.944 | 
| 155.421 | 70.946 | 76.284 | -0.000 | 23.760 | -0.000 | 
| 120.020 | 246.262 | 88.890 | 0.000 | -0.254 | 0.000 | 
| 78.075 | 78.130 | 211.551 | -0.000 | -0.402 | -0.000 | 
| -0.000 | 0.000 | -0.000 | 68.447 | 0.000 | -0.436 | 
| -0.921 | -0.254 | -2.295 | 0.000 | 94.037 | 0.000 | 
| 0.000 | 0.000 | 0.000 | -0.300 | -0.000 | 124.944 | 
| 246.430 | 119.905 | 88.077 | -0.000 | 41.741 | -0.000 | 
| 120.020 | 246.262 | 88.890 | -0.000 | -0.254 | -0.000 | 
| 94.049 | 93.944 | 241.294 | 0.000 | -1.190 | 0.000 | 
| 0.000 | 0.000 | 0.000 | 59.177 | 0.000 | -0.423 | 
| -0.921 | -0.254 | -2.295 | -0.000 | 94.037 | -0.000 | 
| -0.000 | -0.000 | -0.000 | -0.300 | -0.000 | 124.944 | 
| 194.382 | 114.350 | 93.394 | -0.000 | 26.977 | -0.000 | 
| 120.020 | 246.263 | 88.890 | -0.000 | -0.254 | 0.000 | 
| 61.063 | 61.119 | 187.871 | -0.000 | -0.256 | -0.000 | 
| 0.000 | -0.000 | -0.000 | 68.447 | 0.000 | -0.436 | 
| -1.123 | -0.630 | -1.438 | -0.000 | 68.685 | -0.000 | 
| 0.000 | 0.000 | 0.000 | -0.300 | 0.000 | 124.944 | 
| 194.200 | 114.330 | 93.412 | 0.000 | 26.926 | 0.000 | 
| 69.972 | 153.980 | 76.099 | 0.000 | -0.674 | 0.000 | 
| 78.069 | 78.124 | 211.524 | 0.000 | -0.401 | 0.000 | 
| -0.000 | 0.000 | 0.000 | 68.447 | -0.000 | -0.436 | 
| -0.921 | -0.254 | -2.295 | 0.000 | 94.037 | -0.000 | 
| -0.000 | -0.000 | -0.000 | -0.300 | -0.000 | 124.944 | 
| -4835.788 | -4894.768 | -1759.616 | -0.000 | 0.000 | 0.000 | 
| -4894.768 | -4835.789 | -1759.616 | -0.000 | 0.000 | 0.000 | 
| -4990.135 | -4990.135 | -1803.544 | 0.000 | 0.000 | 0.000 | 
| -1272.152 | -1272.152 | 2866.146 | 78.380 | 0.000 | 0.000 | 
| -6930.064 | -6930.064 | -2344.729 | -0.000 | -11.264 | 0.000 | 
| -5367.778 | -5367.778 | -2299.732 | -0.000 | -0.000 | 67.416 | 
| 5443.977 | 5350.100 | 2340.864 | 0.000 | 0.000 | -0.000 | 
| 5350.100 | 5443.977 | 2340.864 | 0.000 | 0.000 | 0.000 | 
| 129.449 | 129.449 | 352.309 | 0.000 | -0.000 | -0.000 | 
| 5366.539 | 5366.539 | 2298.720 | 27.600 | -0.000 | 0.000 | 
| 5366.546 | 5366.546 | 2298.725 | 0.000 | 27.600 | -0.000 | 
| 1272.232 | 1272.232 | -2866.326 | 0.000 | -0.000 | 103.162 | 
| 135.188 | -32.016 | 395.606 | -0.000 | -0.000 | 0.000 | 
| -32.016 | 135.188 | 395.606 | 0.000 | 0.000 | 0.000 | 
| -515.302 | -515.302 | -189.415 | -0.000 | -0.000 | -0.000 | 
| -127.244 | -127.244 | 286.680 | 78.366 | 0.000 | 0.000 | 
| -127.244 | -127.244 | 286.680 | 0.000 | 78.366 | 0.000 | 
| -536.832 | -536.832 | -229.573 | -0.000 | -0.000 | 67.047 | 
| 394.278 | 225.473 | -180.798 | -0.000 | 0.000 | -0.000 | 
| 225.473 | 394.278 | -180.798 | -0.000 | -0.000 | -0.000 | 
| 399.772 | 399.772 | 149.262 | 0.000 | -0.000 | -0.000 | 
| 127.244 | 127.244 | -286.680 | 78.366 | -0.000 | -0.000 | 
| 127.244 | 127.244 | -286.680 | -0.000 | 78.366 | 0.000 | 
| 537.166 | 537.166 | 229.812 | -0.000 | -0.000 | 67.006 | 
| 71.258 | -21.975 | 43.248 | -0.000 | 0.000 | 0.000 | 
| -21.975 | 71.258 | 43.248 | 0.000 | 0.000 | 0.000 | 
| 19.259 | 19.259 | 191.546 | -0.000 | 0.000 | 0.000 | 
| -48.281 | -48.281 | -20.829 | 27.421 | -0.000 | -0.000 | 
| -48.279 | -48.279 | -20.831 | -0.000 | 27.429 | 0.000 | 
| -45.729 | -45.729 | -8.930 | 0.000 | -0.000 | 68.028 | 
| 260.006 | 105.128 | 57.972 | -0.000 | -0.000 | -0.000 | 
| 105.128 | 260.006 | 57.972 | 0.000 | -0.000 | -0.000 | 
| 79.133 | 79.133 | 175.130 | -0.000 | -0.000 | -0.000 | 
| 59.332 | 59.332 | 36.113 | 30.781 | -0.000 | -0.000 | 
| 48.281 | 48.281 | 20.829 | -0.000 | 27.421 | -0.000 | 
| 45.729 | 45.729 | 8.930 | 0.000 | 0.000 | 68.028 | 
| 336.474 | 126.568 | 121.445 | 0.000 | -0.000 | 0.000 | 
| 126.568 | 336.474 | 121.445 | 0.000 | 0.000 | 0.000 | 
| 121.445 | 121.445 | 331.628 | -0.000 | -0.000 | 0.000 | 
| -0.000 | -0.000 | -0.000 | 132.035 | -0.000 | 0.000 | 
| -0.000 | -0.000 | -0.000 | 0.000 | 132.035 | 0.000 | 
| 0.000 | 0.000 | 0.009 | 0.000 | 0.000 | 100.473 | 
| 158.714 | 17.304 | 58.482 | -0.000 | 0.000 | -0.000 | 
| 17.304 | 158.714 | 58.482 | 0.000 | -0.000 | -0.000 | 
| 92.523 | 92.523 | 215.340 | -0.000 | -0.000 | -0.000 | 
| -0.000 | 0.000 | 0.000 | 132.035 | -0.000 | -0.000 | 
| 0.000 | 0.000 | 0.000 | 0.000 | 132.035 | -0.000 | 
| -0.000 | -0.000 | -0.009 | -0.000 | -0.000 | 100.473 | 
| 225.074 | 76.314 | 82.626 | 0.000 | 0.000 | 0.000 | 
| 76.314 | 225.074 | 82.626 | 0.000 | -0.000 | 0.000 | 
| 54.148 | 54.148 | 183.265 | 0.000 | -0.000 | 0.000 | 
| -0.000 | 0.000 | 0.000 | 132.035 | -0.000 | 0.000 | 
| 0.000 | 0.000 | 0.000 | 0.000 | 132.035 | 0.000 | 
| 0.000 | 0.000 | 0.000 | 0.000 | -0.000 | 138.981 | 
| 225.078 | 76.315 | 82.624 | -0.000 | -0.000 | -0.000 | 
| 17.354 | 158.812 | 58.539 | -0.000 | -0.000 | 0.000 | 
| 121.445 | 121.445 | 331.628 | 0.000 | 0.000 | -0.000 | 
| -0.000 | -0.000 | -0.000 | 132.035 | 0.000 | -0.000 | 
| -0.000 | -0.000 | -0.000 | -0.000 | 132.035 | -0.000 | 
| -0.000 | -0.000 | -0.001 | 0.000 | -0.000 | 100.473 | 
| 199.346 | 46.583 | 45.513 | 0.000 | 0.000 | 0.000 | 
| 46.583 | 199.346 | 45.513 | 0.000 | -0.000 | 0.000 | 
| 54.142 | 54.142 | 183.243 | 0.000 | -0.000 | 0.000 | 
| -0.000 | -0.000 | 0.000 | 62.105 | 0.000 | 0.000 | 
| -0.000 | -0.000 | 0.000 | 0.000 | 62.105 | 0.000 | 
| -0.000 | 0.000 | 0.000 | 0.000 | 0.000 | 100.473 | 
| 225.091 | 76.321 | 82.630 | -0.000 | -0.000 | -0.000 | 
| 76.321 | 225.091 | 82.630 | -0.000 | -0.000 | -0.000 | 
| 54.120 | 54.120 | 183.259 | -0.000 | -0.000 | 0.000 | 
| 0.000 | 0.000 | -0.000 | 62.105 | -0.000 | -0.000 | 
| 0.000 | 0.000 | -0.000 | -0.000 | 62.105 | -0.000 | 
| 0.000 | -0.000 | -0.000 | -0.000 | -0.000 | 100.473 | 
| -1298.750 | -3102.376 | -4775.966 | 0.000 | 0.000 | -0.000 | 
| -1722.920 | -3129.532 | 911.830 | -0.000 | 0.000 | -0.000 | 
| 160.833 | 160.827 | 435.298 | -0.000 | -0.000 | -0.000 | 
| -12611.931 | -14178.380 | -9887.364 | -23.343 | 0.000 | -0.000 | 
| 193.274 | 28.272 | 446.021 | 0.000 | 91.942 | -0.000 | 
| -12612.592 | -14178.257 | -9889.685 | -0.000 | 0.000 | 41.033 | 
| 136.551 | 78.213 | -326.588 | 0.000 | 0.000 | 0.000 | 
| 16131.969 | 20859.752 | 8802.305 | 0.000 | 0.000 | 0.000 | 
| -75.524 | 89.463 | -167.475 | -0.000 | 0.000 | 0.000 | 
| 18159.512 | 21392.000 | 6768.612 | 38.699 | 0.000 | -0.000 | 
| 1352.015 | 3042.732 | 4727.236 | 0.000 | 16.464 | 0.000 | 
| 12612.592 | 14178.257 | 9889.685 | -0.000 | 0.000 | 41.033 | 
| -93.883 | -365.529 | -530.604 | -0.000 | -0.000 | -0.000 | 
| -223.758 | -236.700 | 48.398 | 0.000 | -0.000 | -0.000 | 
| 160.833 | 160.827 | 435.298 | 0.000 | 0.000 | -0.000 | 
| 19.322 | 2.826 | 44.590 | 92.002 | 0.000 | -0.000 | 
| -1415.832 | -1566.666 | -1201.625 | 0.000 | -43.503 | -0.000 | 
| -1255.093 | -1411.937 | -986.472 | 0.000 | -0.000 | 41.130 | 
| 311.329 | 103.840 | 74.980 | -0.000 | 0.000 | 0.000 | 
| 87.648 | 328.100 | 75.267 | 0.000 | 0.000 | 0.000 | 
| 160.833 | 160.827 | 435.298 | 0.000 | -0.000 | 0.000 | 
| -19.322 | -2.826 | -44.590 | 92.002 | 0.000 | -0.000 | 
| 366.874 | 513.490 | 572.568 | 0.000 | 76.432 | 0.000 | 
| -19.393 | -2.837 | -44.753 | -0.000 | -0.000 | 118.028 | 
| 204.401 | -6.930 | 37.362 | -0.000 | 0.000 | -0.000 | 
| -124.911 | -78.635 | -86.153 | -0.000 | -0.000 | -0.000 | 
| -47.401 | -61.018 | 57.171 | -0.000 | 0.000 | 0.000 | 
| -11.299 | -25.587 | -37.775 | 35.271 | 0.000 | -0.000 | 
| -9.377 | -19.039 | 7.001 | -0.000 | 54.941 | -0.000 | 
| -11.413 | -26.341 | -43.865 | -0.000 | -0.000 | 78.736 | 
| 234.527 | 46.293 | 41.290 | 0.000 | 0.000 | 0.000 | 
| 39.744 | 242.938 | 42.474 | 0.000 | 0.000 | 0.000 | 
| 60.559 | 67.741 | 227.212 | -0.000 | 0.000 | 0.000 | 
| 11.299 | 25.587 | 37.775 | 35.271 | 0.000 | 0.000 | 
| 28.146 | 44.265 | 30.980 | -0.000 | 33.938 | 0.000 | 
| 11.413 | 26.341 | 43.865 | -0.000 | 0.000 | 78.736 | 
| 1454.723 | 1584.908 | -77.991 | -0.000 | 0.000 | 0.000 | 
| 1813.553 | 1671.803 | 2535.414 | 0.000 | 0.000 | 0.000 | 
| 1277.959 | 1473.164 | 25.889 | -0.000 | 0.000 | 0.000 | 
| 1237.440 | 3143.448 | 2493.072 | 122.378 | 0.000 | -0.000 | 
| 1163.355 | 1329.923 | -256.348 | 0.000 | 51.172 | 0.000 | 
| 0.000 | 0.000 | 0.000 | -0.000 | 0.000 | 216.726 | 
| 564.439 | 217.382 | 157.072 | -0.000 | -0.000 | -0.000 | 
| -893.872 | -1017.283 | 466.579 | -0.000 | -0.000 | -0.000 | 
| 155.647 | 232.203 | 572.816 | 0.000 | -0.000 | 0.000 | 
| -1237.440 | -3143.448 | -2493.072 | 122.378 | -0.000 | -0.000 | 
| -0.000 | 0.000 | -0.000 | 0.000 | 156.263 | 0.000 | 
| -0.000 | -0.000 | -0.000 | -0.000 | -0.000 | 216.726 | 
| 429.352 | 343.570 | 155.641 | 0.000 | 0.000 | 0.000 | 
| 355.338 | 406.078 | 191.078 | 0.000 | 0.000 | 0.000 | 
| 240.365 | 302.178 | 362.632 | -0.000 | 0.000 | 0.000 | 
| 101.050 | 115.518 | -22.267 | 93.405 | 0.000 | 0.000 | 
| 0.000 | 0.000 | 0.000 | 0.000 | 156.263 | 0.000 | 
| 166.953 | 134.709 | 219.909 | -0.000 | 0.000 | 121.123 | 
| 564.439 | 217.382 | 157.072 | 0.000 | -0.000 | -0.000 | 
| -58.879 | 108.847 | -151.273 | -0.000 | -0.000 | 0.000 | 
| 46.754 | 55.344 | 223.549 | -0.000 | -0.000 | -0.000 | 
| -101.050 | -115.518 | 22.267 | 93.405 | -0.000 | -0.000 | 
| -172.666 | -143.404 | -208.754 | 0.000 | 99.198 | -0.000 | 
| -166.953 | -134.709 | -219.909 | -0.000 | -0.000 | 121.123 | 
| 354.439 | 144.611 | 104.386 | -0.000 | 0.000 | -0.000 | 
| 233.749 | 393.087 | 224.154 | -0.000 | 0.000 | 0.000 | 
| 92.337 | 123.448 | 316.747 | -0.000 | 0.000 | 0.000 | 
| 0.000 | 0.000 | 0.001 | 231.468 | 0.000 | 0.000 | 
| 9.329 | 8.976 | 5.669 | 0.000 | 102.943 | 0.000 | 
| 6.159 | 7.041 | -1.357 | -0.000 | 0.000 | 161.636 | 
| 356.448 | 140.340 | 75.988 | 0.000 | -0.000 | -0.000 | 
| 217.367 | 491.722 | 233.613 | -0.000 | -0.000 | 0.000 | 
| 58.763 | 35.827 | 227.555 | 0.000 | -0.000 | -0.000 | 
| -0.000 | -0.000 | -0.001 | 231.468 | -0.000 | 0.000 | 
| -9.329 | -8.976 | -5.669 | -0.000 | 102.943 | -0.000 | 
| -6.159 | -7.041 | 1.357 | -0.000 | -0.000 | 161.636 | 
| 509.460 | 192.286 | 136.292 | -0.000 | 0.000 | -0.000 | 
| 192.286 | 431.728 | 200.528 | -0.000 | 0.000 | -0.000 | 
| 136.292 | 200.529 | 514.056 | -0.000 | 0.000 | 0.000 | 
| -0.000 | 0.000 | -0.000 | 209.895 | 0.000 | -0.000 | 
| -0.269 | 0.144 | 0.106 | -0.000 | 110.813 | 0.000 | 
| -0.000 | 0.000 | -0.000 | -0.000 | 0.000 | 200.922 | 
| 509.460 | 192.286 | 136.292 | 0.000 | -0.000 | -0.000 | 
| 198.217 | 344.184 | 187.695 | 0.000 | -0.000 | -0.000 | 
| 136.292 | 200.528 | 514.056 | -0.000 | -0.000 | -0.000 | 
| 0.000 | -0.000 | 0.000 | 209.896 | -0.000 | -0.000 | 
| 0.269 | -0.144 | -0.106 | 0.000 | 110.813 | -0.000 | 
| 0.000 | -0.000 | 0.000 | 0.000 | -0.000 | 200.922 | 
| 402.259 | 197.458 | 144.135 | -0.000 | 0.000 | -0.000 | 
| 115.292 | 241.484 | 69.649 | -0.000 | 0.000 | -0.000 | 
| 145.026 | 187.476 | 382.194 | -0.000 | 0.000 | 0.000 | 
| -0.032 | 0.017 | 0.013 | 141.653 | 0.000 | 0.000 | 
| -0.000 | 0.000 | 0.000 | -0.000 | 146.920 | 0.000 | 
| -0.023 | 0.014 | 0.011 | -0.000 | 0.000 | 150.934 | 
| 402.208 | 197.432 | 144.119 | 0.000 | 0.000 | 0.000 | 
| 145.334 | 281.225 | 90.768 | 0.000 | -0.000 | -0.000 | 
| 145.090 | 187.442 | 382.185 | 0.000 | 0.000 | 0.000 | 
| 0.032 | -0.017 | -0.013 | 141.653 | -0.000 | -0.000 | 
| 0.000 | -0.000 | -0.000 | 0.000 | 146.920 | -0.000 | 
| 0.023 | -0.015 | -0.011 | 0.000 | -0.000 | 150.934 | 
| 402.285 | 197.445 | 144.125 | -0.000 | -0.000 | 0.000 | 
| 124.929 | 254.529 | 78.807 | -0.000 | -0.000 | 0.000 | 
| 91.938 | 106.812 | 314.546 | -0.000 | -0.000 | 0.000 | 
| -0.003 | 0.001 | 0.001 | 141.653 | -0.000 | 0.000 | 
| -0.003 | 0.002 | 0.001 | -0.000 | 105.841 | 0.000 | 
| -0.003 | 0.002 | 0.001 | -0.000 | 0.000 | 156.089 | 
| 509.458 | 192.285 | 136.291 | 0.000 | -0.000 | -0.000 | 
| 192.285 | 431.726 | 200.528 | 0.000 | -0.000 | 0.000 | 
| 77.588 | 88.981 | 294.108 | 0.000 | 0.000 | -0.000 | 
| 0.003 | -0.001 | -0.001 | 141.653 | 0.000 | -0.000 | 
| 0.003 | -0.002 | -0.001 | 0.000 | 105.841 | -0.000 | 
| 0.003 | -0.002 | -0.001 | 0.000 | -0.000 | 156.089 | 
| 368.859 | 83.872 | 81.091 | 0.000 | 0.000 | -0.000 | 
| 83.079 | 345.318 | 91.372 | -0.000 | -0.000 | -0.000 | 
| -408.283 | 1513.584 | 1881.114 | 0.000 | -0.000 | -0.000 | 
| -482.996 | 1440.705 | 1681.067 | 59.499 | 0.000 | -0.000 | 
| -0.000 | 0.000 | -0.000 | -0.000 | 84.888 | -0.000 | 
| -404.886 | 3093.927 | -174.099 | 0.000 | 0.000 | 28.953 | 
| 949.621 | -897.945 | -873.808 | 0.000 | -0.000 | 0.000 | 
| 83.079 | 345.318 | 91.372 | -0.000 | -0.000 | 0.000 | 
| 744.384 | -885.685 | -715.393 | 0.000 | -0.000 | -0.000 | 
| 482.996 | -1440.705 | -1681.067 | 59.499 | 0.000 | 0.000 | 
| 0.000 | -0.000 | 0.000 | -0.000 | 84.888 | 0.000 | 
| 404.886 | -3093.927 | 174.099 | 0.000 | -0.000 | 28.953 | 
| 233.178 | 193.644 | 184.479 | -0.000 | -0.000 | 0.000 | 
| 83.079 | 345.318 | 91.372 | 0.000 | -0.000 | -0.000 | 
| 26.043 | 204.811 | 343.073 | -0.000 | -0.000 | 0.000 | 
| -65.068 | 98.811 | 95.787 | 66.852 | 0.000 | 0.000 | 
| -64.969 | 98.660 | 95.640 | -0.000 | 51.763 | 0.000 | 
| 0.000 | 0.000 | 0.000 | -0.000 | 0.000 | 88.081 | 
| 358.856 | -5.144 | -8.472 | -0.000 | 0.000 | -0.000 | 
| 36.620 | -208.021 | 70.856 | -0.000 | -0.000 | 0.000 | 
| -33.747 | -159.714 | 47.430 | 0.000 | -0.000 | -0.000 | 
| 65.068 | -98.811 | -95.787 | 66.852 | -0.000 | -0.000 | 
| 64.969 | -98.660 | -95.640 | 0.000 | 51.764 | -0.000 | 
| -0.000 | -0.000 | -0.000 | -0.000 | 0.000 | 88.081 | 
| 209.424 | 55.479 | 19.157 | -0.000 | 0.000 | 0.000 | 
| 84.774 | 240.162 | 82.895 | 0.000 | 0.000 | -0.000 | 
| 83.848 | 114.282 | 265.679 | -0.000 | 0.000 | 0.000 | 
| -5.575 | 8.465 | 8.206 | 71.002 | 0.000 | 0.000 | 
| -5.351 | 8.126 | 7.878 | -0.000 | 57.604 | 0.000 | 
| 0.000 | 0.000 | 0.000 | 0.000 | 0.000 | 88.081 | 
| 255.354 | 73.165 | 56.258 | -0.000 | -0.000 | -0.000 | 
| 100.953 | 250.589 | 96.570 | 0.000 | -0.000 | -0.000 | 
| 81.330 | 57.767 | 196.638 | 0.000 | 0.000 | 0.000 | 
| 5.575 | -8.465 | -8.206 | 71.002 | 0.000 | 0.000 | 
| 5.351 | -8.126 | -7.878 | 0.000 | 57.604 | -0.000 | 
| -0.000 | -0.000 | -0.000 | 0.000 | 0.000 | 88.081 | 
| 362.872 | 67.344 | 2.254 | 0.251 | 1.051 | 0.925 | 
| 99.852 | 400.461 | 116.757 | -0.000 | -0.000 | 0.000 | 
| 68.852 | 116.142 | 380.777 | -0.000 | -0.000 | 0.000 | 
| -0.000 | -0.000 | 0.000 | 118.655 | -0.000 | 0.000 | 
| -0.000 | -0.000 | 0.000 | -0.000 | 70.969 | 0.000 | 
| 67.524 | -39.161 | -74.285 | 0.222 | 0.929 | 59.269 | 
| 157.194 | 155.169 | 166.031 | 0.002 | 0.369 | -0.497 | 
| 99.852 | 400.461 | 116.757 | 0.000 | 0.000 | -0.000 | 
| 68.852 | 116.142 | 380.776 | 0.000 | 0.000 | -0.000 | 
| 0.000 | 0.000 | -0.000 | 118.655 | 0.000 | 0.000 | 
| -68.056 | 39.470 | 74.871 | -0.224 | 40.191 | -0.824 | 
| -67.350 | 39.060 | 74.093 | -0.221 | -0.927 | 57.749 | 
| 251.725 | 111.286 | 82.554 | 0.040 | 0.166 | 0.146 | 
| 116.811 | 333.428 | 132.607 | 0.022 | 0.093 | 0.082 | 
| 91.867 | 136.967 | 286.627 | 0.024 | 0.100 | 0.088 | 
| 0.000 | 0.000 | 0.000 | 118.655 | -0.000 | 0.000 | 
| 8.330 | -4.745 | -9.119 | 0.008 | 51.609 | 0.066 | 
| 8.066 | -4.599 | -8.832 | 0.009 | 0.016 | 71.791 | 
| 367.180 | 100.174 | 69.789 | 0.000 | 0.000 | -0.000 | 
| 99.725 | 335.836 | 154.809 | 0.005 | 0.055 | -0.033 | 
| 68.852 | 116.142 | 380.776 | 0.000 | 0.000 | -0.000 | 
| -0.000 | -0.000 | -0.000 | 118.655 | 0.000 | -0.000 | 
| -8.344 | 4.753 | 9.135 | -0.008 | 51.536 | -0.067 | 
| -8.065 | 4.599 | 8.832 | -0.009 | -0.016 | 71.654 | 
| 81.235 | 124.156 | 92.688 | -0.007 | -0.016 | -0.011 | 
| 104.248 | 330.139 | 151.166 | -0.002 | -0.016 | -0.000 | 
| 85.773 | 141.469 | 291.384 | 0.002 | 0.010 | 0.009 | 
| 0.684 | -0.397 | -0.753 | 86.846 | 0.009 | 0.008 | 
| 0.719 | -0.416 | -0.719 | 0.001 | 51.230 | 0.007 | 
| 0.774 | -0.442 | -0.848 | 0.001 | 0.002 | 72.034 | 
| 73.990 | 128.614 | 93.001 | -0.000 | 0.016 | -0.006 | 
| 109.431 | 337.217 | 141.021 | -0.002 | -0.009 | -0.008 | 
| 105.477 | 167.072 | 214.849 | 0.002 | -0.012 | 0.006 | 
| -0.684 | 0.397 | 0.753 | 86.851 | -0.009 | -0.008 | 
| -0.719 | 0.416 | 0.720 | -0.001 | 51.225 | -0.007 | 
| -0.774 | 0.442 | 0.848 | -0.001 | -0.002 | 72.020 | 
| 250.559 | 98.263 | 110.478 | -0.000 | 25.409 | 0.000 | 
| 89.928 | 406.813 | 91.623 | 0.000 | -1.473 | -0.000 | 
| 121.745 | 91.623 | 359.556 | 0.000 | -13.520 | 0.000 | 
| 0.000 | -0.000 | -0.000 | 69.045 | -0.000 | -0.209 | 
| 4.137 | -1.644 | -3.520 | 0.000 | 74.933 | 0.000 | 
| 0.000 | -0.000 | -0.000 | -0.311 | -0.000 | 65.460 | 
| 250.559 | 98.263 | 110.478 | 0.000 | 25.411 | -0.000 | 
| 89.928 | 406.813 | 91.623 | 0.000 | -1.473 | -0.000 | 
| 65.431 | 82.628 | 241.121 | -0.000 | -3.505 | 0.000 | 
| -0.000 | 0.000 | 0.000 | 69.045 | 0.000 | -0.209 | 
| -1.796 | -0.668 | -3.603 | -0.000 | 61.120 | -0.000 | 
| -0.000 | -0.000 | 0.000 | -0.311 | 0.000 | 65.460 | 
| 174.014 | 57.582 | 58.555 | -0.000 | 21.731 | -0.000 | 
| 57.796 | 261.734 | 81.395 | 0.000 | -2.040 | 0.000 | 
| 121.745 | 91.623 | 359.556 | 0.000 | -13.520 | -0.000 | 
| 0.000 | -0.000 | -0.000 | 69.045 | -0.000 | -0.209 | 
| 4.137 | -1.644 | -3.520 | 0.000 | 74.934 | 0.000 | 
| 0.000 | 0.000 | 0.000 | -1.363 | 0.000 | 95.931 | 
| 250.561 | 98.262 | 110.478 | 0.000 | 25.411 | 0.000 | 
| 99.105 | 303.562 | 102.920 | 0.000 | -0.883 | -0.000 | 
| 121.745 | 91.623 | 359.556 | -0.000 | -13.520 | 0.000 | 
| -0.000 | 0.000 | 0.000 | 69.045 | 0.000 | -0.209 | 
| 4.136 | -1.644 | -3.520 | 0.000 | 74.934 | -0.000 | 
| -0.000 | -0.000 | -0.000 | -1.363 | 0.000 | 95.931 | 
| 131.346 | 7.220 | 31.850 | 0.000 | 19.434 | 0.000 | 
| 57.797 | 261.715 | 81.397 | 0.000 | -2.040 | 0.000 | 
| 112.761 | 101.255 | 276.520 | -0.000 | -5.616 | 0.000 | 
| 0.000 | 0.000 | 0.000 | 97.761 | -0.000 | -1.363 | 
| 8.922 | -1.104 | -7.715 | 0.000 | 87.699 | 0.000 | 
| -0.000 | -0.000 | 0.000 | -0.311 | 0.000 | 65.460 | 
| 174.051 | 57.582 | 58.560 | 0.000 | 21.739 | 0.000 | 
| 99.121 | 303.369 | 102.941 | -0.000 | -0.882 | -0.000 | 
| 65.434 | 82.628 | 241.133 | 0.000 | -3.506 | 0.000 | 
| -0.000 | -0.000 | -0.000 | 97.761 | 0.000 | -1.363 | 
| -1.795 | -0.667 | -3.603 | -0.000 | 61.121 | 0.000 | 
| 0.000 | 0.000 | -0.000 | -0.311 | -0.000 | 65.460 | 
| 443.215 | -2830.341 | 1552.878 | -0.000 | 5364.686 | -0.000 | 
| 215.422 | -1234.230 | 1691.227 | -0.000 | 2464.902 | -0.000 | 
| 2811.913 | 149.096 | 2183.035 | -0.000 | 5607.390 | -0.000 | 
| 120.611 | -1544.968 | 1591.692 | 59.491 | 2464.986 | 0.512 | 
| 127.919 | -1551.257 | 1591.476 | -0.000 | 2545.275 | 0.000 | 
| 120.610 | -1544.954 | 1591.678 | 0.231 | 2464.963 | 53.453 | 
| 200.895 | 3111.960 | -1574.112 | 0.000 | -1765.428 | -0.000 | 
| 653.331 | 4166.154 | -314.935 | 0.000 | -3529.952 | -0.000 | 
| -10.599 | 1641.886 | -1316.236 | 0.000 | -2467.589 | -0.000 | 
| -120.611 | 1544.968 | -1591.692 | 59.491 | -2464.986 | 0.512 | 
| 681.427 | 4035.304 | -315.766 | 0.000 | -3478.317 | -0.000 | 
| -120.610 | 1544.953 | -1591.678 | 0.231 | -2464.963 | 53.453 | 
| -19.581 | -420.669 | 33.469 | -0.000 | 353.671 | 0.000 | 
| -97.457 | -259.426 | 41.310 | -0.000 | 346.154 | -0.000 | 
| 46.718 | -235.715 | 383.223 | -0.000 | 180.720 | 0.000 | 
| 444.355 | 251.721 | 264.026 | 51.904 | 622.093 | 0.654 | 
| 46.180 | -272.208 | 158.872 | -0.000 | 581.405 | 0.000 | 
| 12.037 | -154.186 | 158.849 | 0.226 | 246.003 | 53.533 | 
| 182.752 | 356.398 | -112.437 | 0.000 | -156.380 | 0.000 | 
| 31.165 | 527.123 | -28.092 | 0.000 | -356.084 | -0.000 | 
| 116.856 | 87.491 | 355.094 | 0.000 | -14.047 | -0.000 | 
| -437.314 | -127.785 | -201.688 | 48.588 | -573.007 | 3.543 | 
| -4.639 | 149.193 | -160.669 | 0.000 | -166.351 | -0.000 | 
| -12.037 | 154.186 | -158.849 | 0.226 | -246.003 | 53.533 | 
| 80.416 | -53.154 | 27.628 | -0.000 | 54.588 | 0.000 | 
| 97.033 | 284.236 | 117.684 | -0.000 | 26.034 | 0.000 | 
| 24.832 | -40.958 | 174.402 | -0.000 | 43.429 | 0.000 | 
| 27.158 | -25.024 | 23.191 | 53.190 | 52.360 | 2.717 | 
| -10.208 | -28.760 | 9.005 | -0.000 | 90.041 | -0.000 | 
| 1.065 | -13.645 | 14.058 | -0.028 | 21.770 | 58.116 | 
| 105.913 | 25.817 | 14.392 | 0.000 | -14.175 | 0.000 | 
| 55.526 | 260.208 | 59.968 | 0.000 | -18.271 | -0.000 | 
| 108.973 | 113.075 | 261.356 | 0.000 | -29.347 | -0.000 | 
| -27.158 | 25.024 | -23.191 | 53.190 | -52.360 | 2.717 | 
| 7.098 | 11.327 | -19.995 | 0.000 | 60.885 | 0.000 | 
| -1.065 | 13.645 | -14.058 | -0.028 | -21.770 | 58.116 | 
| 340.357 | 126.588 | 147.682 | 0.000 | 0.000 | -0.000 | 
| 126.588 | 340.357 | 147.682 | 0.000 | 0.000 | -0.000 | 
| 96.660 | 96.452 | 370.607 | -0.907 | -0.298 | 0.000 | 
| 1.732 | 1.563 | 5.258 | 86.946 | -0.242 | -0.000 | 
| 1.741 | 1.572 | 5.288 | -0.740 | 87.170 | -0.000 | 
| -5.294 | -5.402 | -1.055 | -0.448 | -0.147 | 11.794 | 
| 167.774 | 71.675 | 22.012 | 0.421 | 0.138 | 0.000 | 
| 58.490 | 144.824 | 25.175 | 0.450 | 0.148 | -0.000 | 
| 28.705 | 28.809 | 225.166 | 0.455 | 0.150 | 0.000 | 
| -1.761 | -1.590 | -5.348 | 87.606 | 0.246 | -0.000 | 
| -1.751 | -1.581 | -5.317 | 0.745 | 87.387 | 0.000 | 
| 5.294 | 5.402 | 1.055 | 0.448 | 0.147 | 11.794 | 
| 154.661 | 59.554 | 33.208 | -0.046 | -0.015 | -0.000 | 
| 59.565 | 154.651 | 33.208 | -0.046 | -0.015 | -0.000 | 
| 139.940 | 139.940 | 462.640 | 0.000 | 0.000 | -0.000 | 
| 0.217 | 0.209 | 0.881 | 42.761 | -0.012 | -0.000 | 
| 0.000 | 0.000 | 0.000 | 0.000 | 136.022 | -0.000 | 
| -0.911 | -0.922 | -0.197 | -0.057 | -0.019 | 3.051 | 
| 340.356 | 126.588 | 147.682 | -0.000 | -0.000 | 0.000 | 
| 126.588 | 340.356 | 147.682 | -0.000 | 0.000 | -0.000 | 
| 139.940 | 139.940 | 462.640 | 0.000 | -0.000 | 0.000 | 
| -0.000 | -0.000 | -0.000 | 136.022 | -0.000 | 0.000 | 
| -0.000 | -0.000 | -0.000 | 0.000 | 136.022 | 0.000 | 
| 0.018 | -0.021 | -0.569 | -0.166 | -0.055 | 38.103 | 
| 155.661 | 60.399 | 33.559 | -0.005 | -0.002 | -0.000 | 
| 60.400 | 155.660 | 33.560 | -0.005 | -0.002 | 0.000 | 
| 19.589 | 19.590 | 224.569 | 0.002 | 0.001 | -0.000 | 
| -0.054 | -0.054 | 0.009 | 28.303 | -0.002 | -0.000 | 
| -0.054 | -0.055 | 0.009 | -0.005 | 28.307 | -0.000 | 
| -0.082 | -0.083 | -0.056 | 0.003 | 0.001 | 1.372 | 
| 155.771 | 60.560 | 33.572 | 0.005 | 0.002 | 0.000 | 
| 60.559 | 155.772 | 33.572 | 0.005 | 0.002 | 0.000 | 
| 18.880 | 18.909 | 230.408 | 0.127 | 0.042 | 0.000 | 
| 0.054 | 0.054 | -0.009 | 28.312 | 0.002 | 0.000 | 
| 0.054 | 0.055 | -0.009 | 0.005 | 28.309 | 0.000 | 
| 0.053 | 0.096 | 0.007 | 0.184 | 0.060 | 9.588 | 
| -2145.702 | -80.695 | 2377.734 | 0.038 | 0.000 | 0.000 | 
| -2324.593 | 100.065 | 2377.714 | 0.038 | 0.000 | 0.000 | 
| -2330.034 | -98.452 | 2616.832 | 0.038 | 0.000 | 0.000 | 
| -2449.155 | -209.163 | 2263.619 | 64.629 | 0.000 | 0.000 | 
| -2449.175 | -209.165 | 2263.638 | 0.038 | 69.162 | 0.000 | 
| -2143.230 | -709.967 | 2912.266 | 0.021 | 0.000 | 82.190 | 
| 2752.483 | 337.683 | -2149.514 | -0.038 | -0.000 | -0.000 | 
| 1629.245 | -1161.551 | -5882.190 | -0.112 | 0.000 | -0.000 | 
| 2259.766 | 825.337 | -2583.653 | -0.021 | -0.000 | -0.000 | 
| 2449.154 | 209.163 | -2263.619 | 64.552 | -0.000 | -0.000 | 
| 2449.175 | 209.165 | -2263.638 | -0.038 | 69.162 | -0.000 | 
| 2143.230 | 709.967 | -2912.266 | -0.021 | -0.000 | 82.190 | 
| 372.060 | 115.437 | 89.149 | -0.000 | 0.000 | 0.000 | 
| -120.476 | 287.384 | 341.014 | 0.004 | 0.000 | 0.000 | 
| 88.121 | 87.681 | 422.590 | -0.000 | 0.000 | 0.000 | 
| -244.733 | -20.901 | 226.193 | 64.614 | 0.000 | 0.000 | 
| -244.936 | -20.918 | 226.381 | 0.004 | 69.160 | 0.000 | 
| -244.617 | -20.891 | 226.086 | 0.004 | 0.000 | 77.996 | 
| 499.778 | 190.698 | -179.829 | -0.002 | 0.000 | -0.000 | 
| 370.630 | 330.892 | -113.647 | -0.004 | -0.000 | -0.000 | 
| 330.818 | 186.474 | 36.477 | -0.002 | -0.000 | -0.000 | 
| 244.732 | 20.901 | -226.193 | 64.606 | -0.000 | -0.000 | 
| 244.936 | 20.918 | -226.381 | -0.004 | 69.160 | -0.000 | 
| 244.617 | 20.891 | -226.086 | -0.004 | -0.000 | 77.996 | 
| 265.350 | 111.560 | 148.778 | 0.000 | 0.000 | 0.000 | 
| 101.562 | 297.233 | 140.211 | 0.000 | 0.000 | 0.000 | 
| 88.122 | 87.681 | 422.592 | -0.000 | 0.000 | 0.000 | 
| -13.221 | 2.245 | 54.224 | 55.559 | 0.000 | 0.000 | 
| 0.000 | 0.000 | 0.000 | -0.000 | 91.227 | 0.000 | 
| 0.000 | 0.000 | 0.000 | -0.000 | 0.000 | 118.202 | 
| 317.337 | 132.254 | 95.990 | -0.000 | -0.000 | -0.000 | 
| 152.503 | 311.148 | 88.495 | -0.000 | -0.000 | 0.000 | 
| 147.614 | 115.599 | 321.973 | -0.000 | -0.000 | 0.000 | 
| 22.670 | 6.241 | -28.562 | 65.898 | -0.000 | -0.000 | 
| -0.000 | -0.000 | -0.000 | 0.000 | 91.227 | -0.000 | 
| -0.000 | -0.000 | -0.000 | 0.000 | -0.000 | 118.202 | 
| 849.988 | -197.418 | -157.389 | -0.000 | 0.000 | -0.000 | 
| 619.716 | -31.803 | -299.185 | -0.000 | -0.000 | -0.000 | 
| 64.447 | 136.831 | 397.677 | 0.000 | 0.000 | -0.000 | 
| 0.000 | -0.000 | 0.000 | 140.296 | 0.000 | -0.000 | 
| 609.206 | -612.575 | -58.773 | -0.000 | 50.627 | -0.000 | 
| 536.439 | -320.998 | -243.330 | -0.000 | -0.000 | 77.540 | 
| -222.096 | 444.603 | 329.080 | 0.000 | 0.000 | 0.000 | 
| 115.221 | 301.696 | 136.745 | 0.000 | 0.000 | -0.000 | 
| -412.642 | 399.056 | 744.667 | 0.000 | -0.000 | -0.000 | 
| 0.000 | 0.000 | -0.000 | 140.296 | -0.000 | 0.000 | 
| -0.000 | -0.000 | -0.000 | 0.000 | 67.232 | 0.000 | 
| -536.439 | 320.998 | 243.330 | 0.000 | 0.000 | 77.540 | 
| 342.101 | 47.627 | 52.099 | -0.000 | -0.000 | -0.000 | 
| 115.221 | 301.696 | 136.745 | 0.000 | -0.000 | -0.000 | 
| 64.447 | 136.831 | 397.677 | -0.000 | 0.000 | -0.000 | 
| 49.921 | -24.505 | -43.228 | 69.057 | 0.000 | -0.000 | 
| -0.000 | 0.000 | 0.000 | -0.000 | 67.232 | -0.000 | 
| 53.105 | -31.777 | -24.089 | -0.000 | -0.000 | 77.937 | 
| 389.606 | 114.636 | 63.777 | 0.000 | -0.000 | -0.000 | 
| 58.872 | 249.934 | 187.596 | 0.000 | 0.000 | 0.000 | 
| 64.447 | 136.831 | 397.677 | -0.000 | 0.000 | -0.000 | 
| -49.921 | 24.505 | 43.228 | 69.057 | 0.000 | 0.000 | 
| 0.000 | 0.000 | -0.000 | 0.000 | 67.232 | 0.000 | 
| -53.105 | 31.777 | 24.089 | 0.000 | 0.000 | 77.937 | 
| 309.212 | 123.287 | 86.935 | -0.000 | -0.000 | -0.000 | 
| 115.221 | 301.697 | 136.746 | -0.000 | -0.000 | -0.000 | 
| 74.988 | 124.190 | 314.512 | 0.000 | 0.000 | -0.000 | 
| 6.816 | -4.078 | -3.092 | 97.395 | -0.000 | 0.000 | 
| 4.093 | -1.949 | -3.773 | -0.000 | 49.259 | -0.000 | 
| 4.618 | -2.763 | -2.095 | -0.000 | -0.000 | 83.040 | 
| 307.288 | 128.610 | 89.214 | 0.000 | 0.000 | 0.000 | 
| 120.948 | 254.107 | 147.164 | 0.000 | 0.000 | 0.000 | 
| 86.130 | 142.526 | 320.457 | -0.000 | -0.000 | -0.000 | 
| -6.816 | 4.078 | 3.092 | 97.395 | -0.000 | 0.000 | 
| -4.093 | 1.949 | 3.773 | 0.000 | 49.259 | 0.000 | 
| -4.618 | 2.763 | 2.095 | 0.000 | 0.000 | 83.040 | 
| 1030.920 | 941.174 | 941.174 | 0.520 | 1.621 | -0.762 | 
| 941.174 | 1030.920 | 941.174 | 0.520 | 1.621 | -0.762 | 
| 941.174 | 941.174 | 1030.920 | 0.520 | 1.621 | -0.762 | 
| 867.926 | 867.926 | 867.926 | 58.557 | 1.610 | -0.752 | 
| 0.000 | -0.000 | 0.000 | -0.000 | 116.307 | -0.000 | 
| 867.953 | 867.953 | 867.953 | 0.514 | 1.610 | 57.290 | 
| -773.898 | -860.087 | -860.087 | -0.872 | -2.384 | 1.408 | 
| -860.087 | -773.898 | -860.087 | -0.871 | -2.384 | 1.408 | 
| -792.537 | -792.537 | -698.662 | -0.508 | -1.595 | 0.742 | 
| -867.942 | -867.942 | -867.942 | 57.528 | -1.610 | 0.752 | 
| -867.939 | -867.939 | -867.939 | -0.515 | 56.432 | 0.752 | 
| -867.915 | -867.915 | -867.915 | -0.515 | -1.610 | 58.795 | 
| 252.437 | 145.753 | 145.753 | 0.046 | 0.143 | -0.068 | 
| 136.026 | 302.675 | 136.026 | 0.048 | 0.232 | -0.038 | 
| 145.753 | 145.753 | 252.437 | 0.046 | 0.143 | -0.068 | 
| 82.674 | 82.674 | 82.674 | 61.087 | 0.149 | -0.071 | 
| 82.681 | 82.681 | 82.681 | 0.048 | 61.192 | -0.071 | 
| 82.707 | 82.707 | 82.707 | 0.048 | 0.148 | 60.965 | 
| 82.853 | -15.247 | -15.247 | 0.000 | -0.107 | -0.042 | 
| -15.247 | 82.854 | -15.247 | 0.000 | -0.107 | -0.042 | 
| -10.125 | -10.125 | 101.024 | -0.043 | -0.126 | 0.066 | 
| -82.693 | -82.693 | -82.693 | 60.989 | -0.148 | 0.071 | 
| -82.686 | -82.686 | -82.686 | -0.048 | 60.884 | 0.071 | 
| -82.660 | -82.660 | -82.660 | -0.048 | -0.149 | 61.111 | 
| 169.258 | 81.881 | 81.881 | 0.001 | 0.013 | 0.003 | 
| 81.881 | 169.258 | 81.881 | 0.001 | 0.013 | 0.003 | 
| 81.881 | 81.881 | 169.258 | 0.001 | 0.013 | 0.003 | 
| 6.614 | 6.614 | 6.614 | 45.599 | 0.015 | -0.002 | 
| 5.322 | 5.324 | 5.325 | 0.004 | 5.397 | -0.004 | 
| 8.827 | 8.822 | 8.825 | 0.004 | 0.016 | -8.198 | 
| 154.060 | 65.241 | 65.241 | 0.001 | -0.009 | -0.006 | 
| 65.241 | 154.060 | 65.241 | 0.001 | -0.009 | -0.006 | 
| 65.241 | 65.241 | 154.060 | 0.001 | -0.009 | -0.006 | 
| -8.704 | -8.703 | -8.708 | -8.031 | -0.017 | 0.004 | 
| -6.614 | -6.614 | -6.614 | -0.003 | 45.578 | 0.002 | 
| -6.818 | -6.817 | -6.817 | -0.001 | -0.013 | 38.774 | 
| 315.062 | 92.441 | 92.441 | -0.000 | 0.000 | -0.000 | 
| 92.441 | 315.063 | 92.441 | -0.000 | -0.000 | -0.000 | 
| 92.441 | 92.441 | 315.062 | -0.000 | -0.000 | -0.000 | 
| 0.000 | 0.000 | 0.000 | 101.557 | -0.000 | 0.000 | 
| 0.000 | 0.000 | 0.000 | -0.000 | 101.557 | 0.000 | 
| 0.000 | 0.000 | 0.000 | -0.000 | -0.000 | 101.557 | 
| 175.102 | 40.636 | 40.636 | 0.000 | 0.000 | -0.000 | 
| 40.636 | 175.102 | 40.636 | 0.000 | -0.000 | 0.000 | 
| 40.636 | 40.636 | 175.102 | 0.000 | -0.000 | 0.000 | 
| -0.000 | -0.000 | -0.000 | 101.557 | 0.000 | 0.000 | 
| -0.000 | 0.000 | -0.000 | 0.000 | 101.557 | 0.000 | 
| -0.000 | 0.000 | -0.000 | 0.000 | 0.000 | 101.557 | 
| 203.178 | 68.687 | 68.687 | -0.000 | -0.000 | 0.000 | 
| 68.687 | 203.178 | 68.687 | -0.000 | -0.000 | 0.000 | 
| 68.687 | 68.687 | 203.178 | -0.000 | -0.000 | 0.000 | 
| 0.000 | 0.000 | 0.000 | 101.557 | 0.000 | 0.000 | 
| 0.000 | 0.000 | 0.000 | -0.000 | 101.557 | -0.000 | 
| 0.000 | 0.000 | 0.000 | -0.000 | -0.000 | 101.557 | 
| 203.137 | 68.680 | 68.680 | -0.000 | 0.000 | -0.000 | 
| 68.680 | 203.137 | 68.680 | 0.000 | 0.000 | 0.000 | 
| 68.680 | 68.680 | 203.137 | 0.000 | 0.000 | -0.000 | 
| -0.000 | -0.000 | -0.000 | 101.557 | 0.000 | 0.000 | 
| -0.000 | -0.000 | -0.000 | 0.000 | 101.557 | -0.000 | 
| -0.000 | -0.000 | -0.000 | 0.000 | 0.000 | 101.557 | 
| 203.558 | 68.769 | 68.768 | -0.000 | -0.000 | -0.000 | 
| 68.768 | 203.558 | 68.769 | -0.000 | -0.000 | 0.000 | 
| 68.769 | 68.768 | 203.558 | -0.000 | -0.000 | 0.000 | 
| -0.000 | -0.000 | -0.000 | 71.243 | -0.000 | 0.000 | 
| -0.000 | -0.000 | 0.000 | -0.000 | 71.243 | 0.000 | 
| -0.000 | -0.000 | -0.000 | -0.000 | -0.000 | 71.243 | 
| 175.182 | 40.676 | 40.676 | 0.000 | 0.000 | 0.000 | 
| 40.676 | 175.182 | 40.676 | 0.000 | 0.000 | -0.000 | 
| 40.676 | 40.676 | 175.182 | 0.000 | 0.000 | 0.000 | 
| 0.000 | 0.000 | 0.000 | 71.243 | 0.000 | 0.000 | 
| 0.000 | 0.000 | -0.000 | 0.000 | 71.243 | 0.000 | 
| 0.000 | 0.000 | 0.000 | 0.000 | -0.000 | 71.243 | 
| -2097.321 | -2189.021 | 2276.948 | -0.000 | 0.000 | -0.000 | 
| -6409.794 | -3252.148 | 1098.477 | 0.000 | 0.000 | 0.000 | 
| -2251.858 | -2203.315 | 2477.230 | -0.000 | 0.000 | -0.000 | 
| -2340.002 | -2284.652 | 2169.928 | 54.645 | 0.000 | -0.000 | 
| -6113.036 | -5777.404 | -4382.537 | -0.000 | 40.871 | -0.000 | 
| -6486.961 | -3423.089 | 1031.829 | 0.000 | -0.000 | 59.632 | 
| 2610.136 | 2406.942 | -2088.236 | 0.000 | 0.000 | 0.000 | 
| 6563.715 | 3593.086 | -965.417 | 0.000 | -0.000 | 0.000 | 
| 2442.210 | 2379.763 | -1875.884 | 0.000 | -0.000 | 0.000 | 
| 2340.002 | 2284.652 | -2169.928 | 54.645 | 0.000 | 0.000 | 
| 6113.036 | 5777.404 | 4382.537 | 0.000 | 40.870 | 0.000 | 
| 0.000 | 0.000 | -0.000 | -0.000 | -0.000 | 117.840 | 
| 20.445 | -120.727 | 312.542 | 0.000 | -0.000 | -0.000 | 
| -122.393 | 20.028 | 300.822 | -0.000 | 0.000 | -0.000 | 
| -586.793 | -595.375 | -322.369 | -0.000 | -0.000 | -0.000 | 
| -648.065 | -342.092 | 103.281 | 42.361 | 0.000 | -0.000 | 
| -235.370 | -229.802 | 218.263 | -0.000 | 59.811 | -0.000 | 
| -235.417 | -229.849 | 218.307 | -0.000 | 0.000 | 84.499 | 
| 393.766 | -11.640 | 1906.116 | 0.000 | 0.000 | 0.000 | 
| 346.059 | 477.208 | -133.546 | -0.000 | -0.000 | 0.000 | 
| 87.681 | 69.161 | 367.022 | 0.000 | -0.000 | 0.000 | 
| 648.065 | 342.092 | -103.281 | 42.361 | -0.000 | 0.000 | 
| 235.370 | 229.802 | -218.263 | 0.000 | 59.811 | 0.000 | 
| 235.417 | 229.849 | -218.307 | 0.000 | -0.000 | 84.499 | 
| 225.427 | 85.889 | 116.602 | -0.000 | 0.000 | -0.000 | 
| -26.631 | 94.314 | -60.762 | -0.000 | 0.000 | -0.000 | 
| 8.403 | 13.792 | 171.725 | -0.000 | -0.000 | -0.000 | 
| -59.780 | -32.491 | 11.128 | 44.100 | 0.000 | -0.000 | 
| -60.135 | -54.841 | -40.329 | 0.000 | 42.610 | -0.000 | 
| -60.224 | -32.685 | 11.129 | -0.000 | 0.000 | 62.753 | 
| 145.638 | 19.069 | 89.881 | 0.000 | -0.000 | -0.000 | 
| 79.284 | 117.862 | 30.017 | 0.000 | -0.000 | 0.000 | 
| 132.609 | 95.061 | 233.900 | 0.000 | -0.000 | 0.000 | 
| 59.780 | 32.491 | -11.128 | 44.100 | -0.000 | 0.000 | 
| 50.250 | -2.380 | 100.325 | 0.000 | 38.244 | 0.000 | 
| 60.224 | 32.685 | -11.129 | -0.000 | -0.000 | 62.753 | 
| -374.869 | 1469.188 | -588.031 | -0.000 | 0.000 | -0.000 | 
| -4629.686 | -16.218 | -3617.169 | -0.000 | 0.000 | 0.000 | 
| -479.540 | 1470.365 | -471.120 | 0.000 | 0.000 | 0.000 | 
| -594.250 | 1366.512 | -703.450 | 71.937 | 0.000 | 0.000 | 
| -3131.976 | -245.143 | -3510.679 | 0.000 | 30.180 | 0.000 | 
| -0.000 | -0.000 | -0.000 | 0.000 | 0.000 | 99.534 | 
| 282.412 | 95.310 | 114.681 | -0.000 | -0.000 | -0.000 | 
| 698.984 | -1103.459 | 804.877 | -0.000 | 0.000 | -0.000 | 
| 707.885 | -1260.217 | 934.810 | -0.000 | 0.000 | -0.000 | 
| 594.250 | -1366.512 | 703.450 | 71.937 | -0.000 | -0.000 | 
| 2379.485 | -1284.967 | 3617.388 | -0.000 | -40.139 | 0.000 | 
| 0.000 | 0.000 | 0.000 | -0.000 | -0.000 | 99.534 | 
| 282.412 | 95.310 | 114.681 | 0.000 | 0.000 | 0.000 | 
| 45.264 | 399.786 | 31.025 | 0.000 | -0.000 | 0.000 | 
| 115.595 | 96.608 | 287.322 | 0.000 | 0.000 | 0.000 | 
| -59.439 | 136.683 | -70.361 | 71.931 | -0.000 | -0.000 | 
| -149.366 | 181.608 | -210.367 | 0.000 | 70.209 | 0.000 | 
| -59.409 | 136.613 | -70.326 | 0.000 | 0.000 | 70.366 | 
| 278.385 | -31.663 | 184.530 | -0.000 | -0.000 | 0.000 | 
| 96.380 | 328.278 | 96.763 | 0.000 | -0.000 | 0.000 | 
| 115.595 | 96.608 | 287.322 | -0.000 | -0.000 | -0.000 | 
| 59.439 | -136.683 | 70.361 | 71.931 | -0.000 | -0.000 | 
| 149.366 | -181.608 | 210.367 | -0.000 | 70.209 | -0.000 | 
| 59.409 | -136.613 | 70.326 | -0.000 | -0.000 | 70.366 | 
| 206.241 | 119.444 | 107.232 | 0.000 | 0.000 | 0.000 | 
| 30.041 | 208.089 | 24.677 | 0.000 | 0.000 | 0.000 | 
| 66.826 | 99.933 | 184.559 | 0.000 | 0.000 | 0.000 | 
| 0.000 | 0.000 | 0.000 | 100.759 | 0.000 | 0.000 | 
| 0.000 | 0.000 | 0.000 | 0.000 | 118.112 | 0.000 | 
| -5.839 | 13.427 | -6.912 | 0.000 | 0.000 | 70.867 | 
| 225.139 | 90.005 | 121.923 | -0.000 | -0.000 | 0.000 | 
| 111.078 | 247.107 | 108.782 | -0.000 | -0.000 | -0.000 | 
| 121.480 | 88.020 | 243.061 | -0.000 | 0.000 | -0.000 | 
| -0.000 | -0.000 | -0.000 | 100.759 | -0.000 | -0.000 | 
| -0.000 | -0.000 | -0.000 | -0.000 | 118.112 | 0.000 | 
| 5.839 | -13.427 | 6.912 | 0.000 | -0.000 | 70.867 | 
| 172.332 | 74.464 | 75.048 | 0.000 | -0.000 | 0.000 | 
| 75.773 | 224.279 | 79.266 | 0.000 | -0.000 | 0.000 | 
| 109.246 | 97.787 | 218.129 | 0.000 | -0.000 | 0.000 | 
| 0.004 | 0.002 | -0.003 | 69.854 | -0.000 | 0.000 | 
| 0.005 | 0.001 | -0.001 | 0.000 | 51.391 | 0.000 | 
| -0.000 | 0.000 | 0.000 | 0.000 | -0.000 | 98.622 | 
| 212.114 | 100.893 | 109.259 | -0.000 | 0.000 | -0.000 | 
| 100.590 | 250.402 | 97.513 | -0.000 | 0.000 | -0.000 | 
| 109.236 | 97.783 | 218.125 | -0.000 | 0.000 | -0.000 | 
| -0.004 | -0.002 | 0.003 | 69.854 | 0.000 | -0.000 | 
| -0.004 | -0.003 | 0.001 | -0.000 | 67.041 | -0.000 | 
| -0.000 | -0.000 | 0.000 | 0.000 | 0.000 | 98.622 | 
| 212.114 | 100.896 | 109.255 | 0.000 | -0.000 | 0.000 | 
| 93.432 | 313.352 | 93.477 | -0.000 | -0.000 | 0.000 | 
| 109.241 | 97.785 | 218.127 | 0.000 | -0.000 | 0.000 | 
| 0.000 | 0.000 | -0.000 | 69.854 | -0.000 | 0.000 | 
| 0.000 | 0.000 | 0.000 | -0.000 | 114.580 | 0.000 | 
| 0.000 | 0.000 | 0.000 | 0.000 | -0.000 | 98.622 | 
| 272.835 | 93.432 | 109.841 | 0.000 | 0.000 | -0.000 | 
| 93.432 | 313.352 | 93.477 | -0.000 | 0.000 | -0.000 | 
| 109.841 | 93.477 | 273.471 | -0.000 | 0.000 | -0.000 | 
| -0.000 | -0.000 | 0.000 | 69.854 | 0.000 | -0.000 | 
| -0.000 | -0.000 | -0.000 | -0.000 | 114.580 | -0.000 | 
| -0.000 | -0.000 | -0.000 | -0.000 | 0.000 | 98.622 | 
| 157.725 | 61.384 | 58.014 | -0.000 | -0.000 | 0.000 | 
| 93.432 | 313.353 | 93.477 | 0.000 | -0.000 | 0.000 | 
| 77.767 | 79.238 | 189.333 | -0.000 | -0.000 | 0.000 | 
| 0.000 | 0.000 | 0.000 | 98.675 | -0.000 | 0.000 | 
| -0.000 | 0.000 | 0.000 | 0.000 | 81.061 | 0.000 | 
| 0.000 | 0.000 | 0.000 | 0.000 | -0.000 | 98.622 | 
| 130.925 | 48.817 | 54.032 | -0.000 | 0.000 | -0.000 | 
| 100.593 | 250.414 | 97.509 | -0.000 | 0.000 | -0.000 | 
| 109.238 | 97.797 | 217.962 | -0.000 | 0.000 | -0.000 | 
| -0.000 | -0.000 | -0.000 | 98.675 | 0.000 | -0.000 | 
| 0.000 | -0.000 | -0.000 | 0.000 | 81.061 | -0.000 | 
| -0.000 | -0.000 | -0.000 | -0.000 | 0.000 | 98.622 | 
| 737.561 | 696.764 | 385.435 | -0.547 | -1.115 | 0.000 | 
| 314.741 | 357.781 | 356.549 | -0.678 | -1.190 | 0.001 | 
| 310.106 | 310.361 | 616.714 | -0.739 | -1.297 | 0.001 | 
| 295.463 | 295.600 | 309.197 | 103.269 | -0.419 | 0.000 | 
| 159.820 | 160.065 | 222.055 | -0.711 | 94.765 | 0.001 | 
| 163.148 | 163.399 | 226.680 | -0.726 | -1.275 | 127.537 | 
| 27.479 | -11.358 | -94.850 | 0.767 | 1.346 | -0.001 | 
| -412.073 | -357.740 | -84.996 | 0.016 | -0.125 | -0.000 | 
| -504.266 | -504.438 | 55.122 | 0.264 | 0.441 | -0.000 | 
| -160.188 | -160.434 | -222.567 | 96.605 | 1.251 | -0.001 | 
| -160.282 | -160.529 | -222.698 | 0.713 | 97.113 | -0.001 | 
| -295.913 | -296.051 | -309.698 | 0.204 | 0.420 | 104.492 | 
| 225.178 | 176.489 | 162.595 | -0.055 | -0.097 | 0.000 | 
| 162.919 | 207.332 | 160.094 | -0.033 | -0.063 | 0.000 | 
| 159.552 | 159.575 | 415.357 | -0.068 | -0.120 | 0.000 | 
| 47.162 | 47.169 | 29.912 | 112.500 | -0.052 | 0.000 | 
| 47.193 | 47.201 | 29.920 | -0.035 | 112.457 | 0.000 | 
| 0.000 | 0.000 | 0.000 | -0.000 | 0.000 | 168.918 | 
| 172.187 | 139.540 | 116.338 | 0.089 | 0.157 | -0.000 | 
| 36.284 | 81.283 | 93.388 | 0.017 | 0.024 | -0.000 | 
| 119.096 | 119.092 | 364.756 | -0.010 | -0.011 | 0.000 | 
| -68.061 | -68.067 | -39.744 | 79.802 | 0.044 | -0.000 | 
| 75247824.372 | 75247809.740 | 110261279.962 | 290598.159 | 290634.262 | 99855.531 | 
| -60.095 | -60.074 | -37.507 | 0.014 | 0.025 | 83.877 | 
| 148.197 | 103.215 | 128.912 | -0.007 | -0.016 | 0.000 | 
| 109.102 | 153.773 | 130.151 | 0.006 | 0.005 | -0.000 | 
| 145.331 | 145.331 | 396.292 | 0.003 | 0.005 | -0.000 | 
| -7555375.292 | -7554040.833 | -11163091.250 | 12925.408 | 367.592 | 651.653 | 
| -7557470.892 | -7551493.950 | -11163341.126 | -20071.088 | 4348.945 | -63.343 | 
| 5.771 | 5.775 | 3.019 | -0.008 | -0.019 | 88.543 | 
| 136.025 | 91.025 | 122.316 | 0.007 | 0.015 | -0.000 | 
| 91.235 | 137.329 | 123.833 | 0.010 | 0.022 | -0.000 | 
| 139.806 | 139.807 | 390.659 | -0.006 | -0.009 | 0.000 | 
| 7506344.866 | 7506396.158 | 10994685.332 | -43615.327 | -40329.085 | -1090.108 | 
| 7506822.985 | 7506850.581 | 10996312.285 | -43897.417 | 40618.773 | -721.800 | 
| -6.157 | -6.169 | -4.474 | 0.003 | 0.002 | 77.668 | 
| 2343.864 | 2005.273 | 344.765 | -0.000 | -0.000 | -0.000 | 
| 341.252 | 1495.550 | -996.206 | -0.001 | -0.000 | -0.000 | 
| 300.824 | 1331.630 | -802.453 | -0.001 | -0.000 | -0.000 | 
| 196.679 | 1227.053 | -1108.628 | 58.630 | -0.000 | -0.000 | 
| 978.687 | 1261.489 | -438.600 | -0.000 | 47.792 | -0.000 | 
| 196.670 | 1226.997 | -1108.577 | -0.001 | -0.000 | 67.190 | 
| 398.226 | 121.419 | 75.089 | -0.000 | 0.000 | -0.000 | 
| 121.933 | 354.176 | 116.782 | 0.000 | 0.000 | -0.000 | 
| -91.757 | -1123.041 | 1412.745 | 0.001 | 0.000 | 0.000 | 
| -196.679 | -1227.053 | 1108.628 | 58.631 | 0.000 | 0.000 | 
| -978.585 | -1261.484 | 438.687 | 0.000 | 47.793 | 0.000 | 
| -196.670 | -1226.997 | 1108.577 | 0.001 | 0.000 | 67.190 | 
| 311.149 | 253.363 | 2.302 | -0.000 | -0.000 | -0.000 | 
| 165.414 | 383.916 | 2.880 | -0.000 | -0.000 | -0.000 | 
| 250.257 | 254.278 | 311.628 | -0.000 | -0.000 | -0.000 | 
| 19.385 | 120.942 | -109.270 | 59.493 | -0.000 | -0.000 | 
| 19.552 | 121.983 | -110.210 | -0.000 | 52.739 | -0.000 | 
| 19.299 | 120.406 | -108.786 | -0.000 | -0.000 | 68.237 | 
| 398.226 | 121.419 | 75.089 | 0.000 | 0.000 | -0.000 | 
| 121.933 | 354.176 | 116.782 | -0.000 | 0.000 | -0.000 | 
| 75.615 | 116.794 | 385.375 | -0.000 | 0.000 | -0.000 | 
| -19.385 | -120.942 | 109.270 | 59.493 | 0.000 | 0.000 | 
| -19.552 | -121.983 | 110.210 | 0.000 | 52.739 | 0.000 | 
| -19.299 | -120.406 | 108.786 | 0.000 | 0.000 | 68.237 | 
| 316.046 | 113.472 | 75.797 | -0.000 | -0.000 | -0.000 | 
| 110.817 | 243.921 | 81.901 | -0.000 | -0.000 | -0.000 | 
| 97.694 | 127.947 | 315.244 | -0.000 | -0.000 | -0.000 | 
| 25.364 | 20.288 | 9.346 | 50.788 | -0.000 | -0.000 | 
| 7.347 | 10.376 | -4.242 | -0.000 | 53.389 | -0.000 | 
| 38.436 | 24.967 | -0.689 | -0.000 | -0.000 | 43.225 | 
| 311.737 | 127.795 | 106.864 | 0.000 | 0.000 | 0.000 | 
| 135.649 | 276.266 | 128.262 | 0.000 | 0.000 | 0.000 | 
| 52.029 | 51.965 | 271.212 | 0.000 | 0.000 | 0.000 | 
| -25.364 | -20.288 | -9.346 | 50.788 | 0.000 | 0.000 | 
| -7.347 | -10.376 | 4.242 | 0.000 | 53.389 | 0.000 | 
| -21.099 | -21.214 | -1.696 | 0.000 | 0.000 | 73.847 | 
| 378.017 | 112.363 | 72.715 | 0.000 | -0.000 | -0.000 | 
| 103.838 | 2390.298 | -4017.577 | 0.001 | 0.000 | -0.000 | 
| 75.326 | 2296.449 | -3896.568 | 0.001 | 0.000 | -0.000 | 
| -0.463 | 2203.804 | -4109.819 | 59.515 | 0.000 | -0.000 | 
| -0.390 | 2203.710 | -4107.995 | 0.001 | 51.823 | -0.000 | 
| -37.333 | 82.667 | -1001.512 | 0.002 | 0.000 | 63.166 | 
| 205.605 | -2100.083 | 4181.068 | -0.001 | -0.000 | 0.000 | 
| 112.545 | 343.398 | 111.193 | -0.000 | 0.000 | 0.000 | 
| 76.443 | -2111.056 | 4322.435 | -0.001 | -0.000 | 0.000 | 
| 0.463 | -2203.804 | 4109.819 | 59.512 | -0.000 | 0.000 | 
| 0.381 | -2204.277 | 4108.825 | -0.001 | 51.822 | 0.000 | 
| 37.333 | -82.667 | 1001.512 | -0.002 | -0.000 | 63.166 | 
| 202.717 | 322.855 | -335.265 | 0.000 | 0.000 | -0.000 | 
| 119.073 | 270.343 | 21.351 | 0.000 | 0.000 | 0.000 | 
| 74.784 | 311.959 | -192.654 | 0.000 | 0.000 | -0.000 | 
| -0.042 | 219.618 | -409.473 | 59.753 | 0.000 | -0.000 | 
| 0.000 | -0.000 | 0.000 | 0.000 | 77.443 | -0.000 | 
| 0.000 | 0.000 | 0.000 | 0.000 | -0.000 | 114.745 | 
| 280.897 | 114.628 | 193.903 | -0.000 | -0.000 | 0.000 | 
| 127.384 | 247.032 | 222.136 | -0.000 | -0.000 | -0.000 | 
| 74.134 | 112.431 | 367.168 | -0.000 | 0.000 | 0.000 | 
| 0.042 | -219.618 | 409.473 | 59.753 | -0.000 | 0.000 | 
| -0.000 | 0.000 | -0.000 | -0.000 | 77.443 | 0.000 | 
| -0.000 | -0.000 | -0.000 | -0.000 | 0.000 | 114.745 | 
| 237.612 | 112.216 | 16.195 | 0.000 | 0.000 | -0.000 | 
| 107.470 | 238.793 | 66.331 | 0.000 | 0.000 | 0.000 | 
| 75.752 | 145.478 | 71.896 | 0.000 | 0.000 | -0.000 | 
| 0.000 | 0.000 | 0.000 | 115.754 | -0.000 | 0.000 | 
| -0.312 | 0.691 | -8.371 | 0.000 | 55.745 | -0.000 | 
| -0.304 | 0.673 | -8.151 | 0.000 | 0.000 | 72.768 | 
| 258.924 | 89.908 | 101.705 | -0.000 | -0.000 | 0.000 | 
| 105.388 | 196.398 | 127.725 | -0.000 | -0.000 | -0.000 | 
| 91.222 | 116.933 | 310.209 | -0.000 | -0.000 | 0.000 | 
| -0.000 | -0.000 | -0.000 | 115.754 | 0.000 | -0.000 | 
| 0.312 | -0.691 | 8.371 | -0.000 | 55.745 | 0.000 | 
| 0.304 | -0.673 | 8.151 | -0.000 | -0.000 | 72.768 | 
| -592.480 | -696.256 | -696.256 | 0.000 | -0.000 | 0.000 | 
| -696.256 | -592.480 | -696.256 | 0.000 | -0.000 | 0.000 | 
| -696.256 | -696.256 | -592.480 | 0.000 | -0.000 | 0.000 | 
| 157.806 | 157.807 | 157.806 | 95.039 | -0.000 | 0.000 | 
| 157.806 | 157.806 | 157.806 | 0.000 | 95.039 | 0.000 | 
| 157.807 | 157.807 | 157.806 | 0.000 | -0.000 | 95.039 | 
| 158.096 | -39.034 | -39.034 | -0.000 | -0.000 | -0.000 | 
| -39.034 | 158.096 | -39.034 | -0.000 | 0.000 | -0.000 | 
| -39.034 | -39.034 | 158.096 | -0.000 | -0.000 | -0.000 | 
| -157.806 | -157.807 | -157.806 | 95.039 | -0.000 | 0.000 | 
| -157.806 | -157.806 | -157.806 | -0.000 | 95.039 | -0.000 | 
| -157.806 | -157.807 | -157.807 | -0.000 | -0.000 | 95.039 | 
| 233.813 | 139.524 | 139.524 | 0.000 | 0.000 | 0.000 | 
| 139.524 | 233.813 | 139.524 | 0.000 | 0.000 | 0.000 | 
| 139.524 | 139.524 | 233.813 | 0.000 | -0.000 | -0.000 | 
| -84.156 | -84.156 | -84.156 | 53.571 | -0.000 | 0.000 | 
| -160.558 | -160.558 | -160.558 | 0.000 | 78.858 | 0.000 | 
| -84.156 | -84.156 | -84.156 | 0.000 | 0.000 | 53.571 | 
| 300.699 | 103.437 | 103.437 | -0.000 | 0.000 | 0.000 | 
| 103.437 | 300.699 | 103.437 | -0.000 | -0.000 | -0.000 | 
| 103.437 | 103.437 | 300.699 | -0.000 | 0.000 | -0.000 | 
| 84.156 | 84.156 | 84.156 | 53.571 | -0.000 | -0.000 | 
| 84.156 | 84.156 | 84.156 | -0.000 | 53.571 | -0.000 | 
| 160.558 | 160.558 | 160.558 | -0.000 | -0.000 | 78.858 | 
| 342.433 | 107.537 | 107.537 | 0.000 | 0.000 | 0.000 | 
| 107.537 | 342.433 | 107.537 | 0.000 | -0.000 | 0.000 | 
| 107.537 | 107.537 | 342.433 | 0.000 | -0.000 | 0.000 | 
| 0.000 | 0.000 | 0.000 | 112.851 | -0.000 | 0.000 | 
| 0.000 | 0.000 | 0.000 | 0.000 | 112.851 | 0.000 | 
| 0.000 | 0.000 | 0.000 | 0.000 | 0.000 | 112.851 | 
| 313.819 | 118.027 | 118.027 | -0.000 | 0.000 | -0.000 | 
| 118.027 | 313.819 | 118.027 | 0.000 | -0.000 | -0.000 | 
| 148.830 | 148.830 | 269.140 | -0.000 | -0.000 | -0.000 | 
| -0.000 | -0.000 | -0.000 | 112.851 | -0.000 | -0.000 | 
| -0.000 | -0.000 | -0.000 | -0.000 | 112.851 | -0.000 | 
| -0.000 | -0.000 | -0.000 | -0.000 | -0.000 | 112.851 | 
| 512.966 | 365.183 | 365.183 | -0.000 | 0.000 | 0.000 | 
| 365.183 | 512.966 | 365.183 | -0.000 | 0.000 | 0.000 | 
| 365.183 | 365.183 | 512.966 | -0.000 | 0.000 | 0.000 | 
| 106.381 | 106.380 | 106.380 | 98.841 | 0.000 | 0.000 | 
| 106.381 | 106.380 | 106.380 | -0.000 | 98.841 | 0.000 | 
| 106.381 | 106.380 | 106.380 | -0.000 | 0.000 | 98.841 | 
| 38.940 | -123.715 | -123.715 | 0.000 | -0.000 | -0.000 | 
| -123.715 | 38.941 | -123.715 | -0.000 | -0.000 | -0.000 | 
| -123.715 | -123.715 | 38.941 | -0.000 | -0.000 | -0.000 | 
| -106.381 | -106.380 | -106.380 | 98.841 | -0.000 | -0.000 | 
| -106.381 | -106.380 | -106.380 | 0.000 | 98.841 | -0.000 | 
| -106.381 | -106.380 | -106.380 | 0.000 | -0.000 | 98.841 | 
| 304.370 | 156.037 | 156.037 | -0.000 | 0.000 | 0.000 | 
| 156.037 | 304.370 | 156.037 | -0.000 | 0.000 | 0.000 | 
| 156.037 | 156.037 | 304.370 | -0.000 | 0.000 | 0.000 | 
| 25.118 | 25.118 | 25.118 | 79.814 | 0.000 | 0.000 | 
| 25.118 | 25.118 | 25.118 | -0.000 | 79.814 | 0.000 | 
| 25.118 | 25.118 | 25.118 | -0.000 | 0.000 | 79.814 | 
| 310.066 | 105.061 | 105.061 | -0.000 | -0.000 | -0.000 | 
| 105.061 | 310.066 | 105.061 | 0.000 | -0.000 | -0.000 | 
| 105.061 | 105.061 | 310.066 | 0.000 | -0.000 | -0.000 | 
| -25.118 | -25.118 | -25.118 | 79.814 | -0.000 | -0.000 | 
| -25.118 | -25.118 | -25.118 | 0.000 | 79.814 | -0.000 | 
| -25.118 | -25.118 | -25.118 | -0.000 | -0.000 | 79.814 | 
| 287.869 | 133.167 | 133.167 | -0.000 | 0.000 | 0.000 | 
| 133.167 | 287.869 | 133.167 | -0.000 | 0.000 | 0.000 | 
| 133.167 | 133.167 | 287.869 | -0.000 | 0.000 | 0.000 | 
| 1.238 | 1.238 | 1.238 | 96.611 | 0.000 | 0.000 | 
| 1.238 | 1.238 | 1.238 | -0.000 | 96.611 | 0.000 | 
| 1.238 | 1.238 | 1.238 | -0.000 | 0.000 | 96.611 | 
| 282.339 | 129.349 | 129.349 | 0.000 | -0.000 | -0.000 | 
| 129.349 | 282.339 | 129.349 | 0.000 | -0.000 | -0.000 | 
| 129.349 | 129.349 | 282.339 | 0.000 | -0.000 | -0.000 | 
| -1.238 | -1.238 | -1.238 | 96.611 | -0.000 | -0.000 | 
| -1.238 | -1.238 | -1.238 | -0.000 | 96.611 | -0.000 | 
| -1.238 | -1.238 | -1.238 | 0.000 | -0.000 | 96.611 | 
| 460.011 | 175.209 | 80.559 | -0.207 | 0.186 | 0.000 | 
| 175.201 | 460.018 | 80.559 | -0.207 | 0.186 | 0.000 | 
| 168.025 | 168.032 | 290.584 | -0.223 | 0.200 | 0.000 | 
| 34.796 | 34.802 | -50.576 | 107.685 | 0.181 | 0.000 | 
| 34.804 | 34.811 | -50.589 | -0.202 | 108.063 | 0.000 | 
| -0.000 | 0.000 | 0.000 | 0.000 | 0.000 | 129.707 | 
| 330.799 | 98.203 | 191.096 | 0.155 | -0.139 | -0.000 | 
| 98.208 | 330.792 | 191.097 | 0.155 | -0.139 | -0.000 | 
| 126.807 | 126.807 | 439.459 | -0.000 | -0.000 | -0.000 | 
| -34.805 | -34.812 | 50.590 | 108.084 | -0.181 | -0.000 | 
| -34.796 | -34.803 | 50.577 | 0.202 | 107.706 | -0.000 | 
| 7.836 | 7.830 | 109.191 | 0.151 | -0.136 | 85.613 | 
| 347.360 | 108.307 | 82.686 | -0.024 | 0.022 | 0.000 | 
| 108.306 | 347.361 | 82.686 | -0.024 | 0.022 | 0.000 | 
| 108.480 | 108.480 | 236.192 | 0.004 | -0.004 | 0.000 | 
| 2.127 | 2.128 | -13.222 | 41.667 | 0.009 | 0.000 | 
| -0.157 | -0.154 | -15.303 | -0.018 | 35.448 | 0.000 | 
| -9.930 | -9.929 | -16.384 | -0.027 | 0.024 | 44.008 | 
| 354.255 | 118.324 | 123.638 | 0.004 | -0.004 | -0.000 | 
| 118.324 | 354.254 | 123.638 | 0.004 | -0.004 | -0.000 | 
| 104.032 | 104.031 | 256.159 | -0.001 | 0.001 | -0.000 | 
| 0.157 | 0.154 | 15.303 | 35.450 | -0.015 | -0.000 | 
| -2.126 | -2.127 | 13.222 | 0.009 | 41.667 | -0.000 | 
| 1.922 | 1.921 | 15.416 | 0.017 | -0.015 | 22.979 | 
| 297.839 | 113.588 | 128.035 | -0.001 | 0.001 | 0.000 | 
| 109.255 | 296.940 | 131.177 | -0.002 | 0.002 | 0.000 | 
| 132.865 | 132.864 | 143.781 | -0.003 | 0.002 | -0.000 | 
| 0.084 | 0.086 | -1.445 | 33.507 | 0.002 | -0.000 | 
| -0.017 | -0.019 | -1.234 | -0.002 | 34.589 | -0.000 | 
| 0.944 | 0.943 | -2.080 | -0.002 | 0.002 | 19.839 | 
| 296.672 | 108.646 | 134.469 | 0.002 | -0.002 | -0.000 | 
| 107.650 | 296.804 | 133.302 | 0.001 | -0.001 | -0.000 | 
| 132.068 | 132.067 | 147.040 | 0.001 | -0.001 | -0.000 | 
| 0.018 | 0.017 | 1.234 | 34.590 | -0.002 | 0.000 | 
| -0.087 | -0.084 | 1.445 | 0.002 | 33.507 | 0.000 | 
| -0.944 | -0.943 | 2.080 | 0.002 | -0.002 | 19.839 | 
| 441.533 | 121.343 | 121.343 | 0.000 | -0.000 | 0.000 | 
| 121.343 | 441.533 | 121.343 | 0.000 | -0.000 | 0.000 | 
| 121.343 | 121.343 | 441.533 | 0.000 | -0.000 | -0.000 | 
| 0.000 | 0.000 | 0.000 | 113.561 | -0.000 | 0.000 | 
| 0.000 | 0.000 | 0.000 | 0.000 | 113.561 | 0.000 | 
| 0.000 | 0.000 | 0.000 | 0.000 | 0.000 | 113.561 | 
| 441.533 | 121.343 | 121.343 | -0.000 | -0.000 | -0.000 | 
| 121.343 | 441.533 | 121.343 | 0.000 | 0.000 | -0.000 | 
| 121.343 | 121.343 | 441.533 | -0.000 | -0.000 | -0.000 | 
| -0.000 | -0.000 | -0.000 | 113.561 | -0.000 | -0.000 | 
| -0.000 | -0.000 | -0.000 | -0.000 | 113.561 | -0.000 | 
| -0.000 | -0.000 | -0.000 | -0.000 | 0.000 | 113.561 | 
| 441.533 | 121.343 | 121.343 | -0.000 | -0.000 | -0.000 | 
| 121.343 | 441.533 | 121.343 | 0.000 | 0.000 | 0.000 | 
| 121.343 | 121.343 | 441.533 | 0.000 | -0.000 | 0.000 | 
| -305.042 | -304.923 | -305.071 | 37.100 | 0.134 | -0.101 | 
| -304.995 | -304.876 | -305.024 | -0.293 | 37.538 | -0.101 | 
| -305.043 | -304.924 | -305.072 | -0.293 | 0.134 | 37.292 | 
| 441.532 | 121.343 | 121.343 | -0.000 | 0.000 | 0.000 | 
| 121.343 | 441.532 | 121.343 | -0.000 | -0.000 | 0.000 | 
| 121.343 | 121.343 | 441.532 | -0.000 | 0.000 | -0.000 | 
| 305.045 | 304.925 | 305.074 | 37.686 | -0.134 | 0.101 | 
| 376.383 | 376.237 | 376.419 | 0.346 | 45.232 | 0.120 | 
| 304.995 | 304.876 | 305.024 | 0.293 | -0.134 | 37.505 | 
| 172.512 | 37.588 | 37.578 | -0.019 | 0.009 | -0.007 | 
| 37.574 | 172.524 | 37.572 | -0.019 | 0.009 | -0.007 | 
| 35.920 | 35.932 | 110.977 | -0.031 | 0.014 | -0.011 | 
| -12.419 | -12.393 | -12.425 | 74.482 | 0.028 | -0.021 | 
| -12.456 | -12.431 | -12.462 | -0.062 | 74.455 | -0.021 | 
| -12.436 | -12.410 | -12.442 | -0.062 | 0.028 | 74.470 | 
| 193.033 | 86.310 | 86.328 | 0.034 | -0.016 | 0.012 | 
| 86.324 | 193.020 | 86.327 | 0.034 | -0.016 | 0.012 | 
| 86.325 | 86.311 | 193.036 | 0.034 | -0.016 | 0.012 | 
| 12.470 | 12.445 | 12.476 | 74.445 | -0.028 | 0.021 | 
| 12.433 | 12.407 | 12.439 | 0.062 | 74.472 | 0.021 | 
| 12.453 | 12.428 | 12.459 | 0.062 | -0.028 | 74.457 | 
| 4006.742 | 2706.422 | 2322.329 | -0.000 | -0.000 | -0.000 | 
| 730.325 | 1945.281 | 1324.419 | -0.000 | -0.000 | -0.000 | 
| 112.310 | 115.134 | 341.353 | 0.000 | -0.000 | -0.000 | 
| -253.958 | 1525.941 | -380.762 | 69.861 | -0.000 | -0.000 | 
| -253.968 | 1525.999 | -380.776 | -0.000 | 83.662 | 0.000 | 
| 3700.372 | 2638.866 | 2236.400 | 0.000 | 0.000 | 65.374 | 
| -3395.661 | -2572.325 | -2151.531 | 0.000 | -0.000 | 0.000 | 
| 92.509 | 356.003 | 115.191 | 0.000 | -0.000 | -0.000 | 
| -489.913 | -1617.578 | -1000.647 | 0.000 | -0.000 | 0.000 | 
| 253.958 | -1525.941 | 380.762 | 69.861 | 0.000 | -0.000 | 
| 253.968 | -1525.999 | 380.776 | 0.000 | 83.662 | 0.000 | 
| -3700.372 | -2638.866 | -2236.400 | 0.000 | 0.000 | 65.374 | 
| 353.128 | 279.062 | 243.347 | 0.000 | -0.000 | 0.000 | 
| 92.509 | 356.003 | 115.191 | 0.000 | -0.000 | -0.000 | 
| 452.446 | 347.229 | 487.765 | -0.000 | -0.000 | -0.000 | 
| -25.307 | 152.058 | -37.942 | 70.031 | 0.000 | 0.000 | 
| 459.037 | 376.408 | 279.749 | -0.000 | 74.344 | 0.000 | 
| 369.711 | 263.720 | 223.571 | -0.000 | -0.000 | 65.366 | 
| 371.467 | -44.509 | 167.312 | 0.000 | 0.000 | -0.000 | 
| 135.768 | 129.826 | 164.504 | -0.000 | 0.000 | 0.000 | 
| 65.473 | -68.867 | 101.745 | 0.000 | 0.000 | -0.000 | 
| 25.307 | -152.058 | 37.942 | 70.031 | 0.000 | 0.000 | 
| -459.037 | -376.408 | -279.749 | 0.000 | 74.344 | -0.000 | 
| -61.514 | -172.219 | -122.155 | 0.000 | 0.000 | 52.123 | 
| 346.918 | 124.846 | 123.619 | 0.000 | -0.000 | 0.000 | 
| 92.509 | 356.005 | 115.192 | -0.000 | 0.000 | 0.000 | 
| 129.314 | 123.886 | 263.988 | -0.000 | -0.000 | -0.000 | 
| 45.327 | 44.873 | 30.488 | 70.720 | 0.000 | -0.000 | 
| -2.574 | 15.465 | -3.859 | -0.000 | 83.233 | -0.000 | 
| -2.484 | 14.926 | -3.724 | -0.000 | -0.000 | 70.501 | 
| 280.691 | 98.019 | 113.130 | -0.000 | -0.000 | 0.000 | 
| 32.963 | 197.210 | 57.119 | 0.000 | -0.000 | -0.000 | 
| 132.044 | 111.877 | 264.760 | 0.000 | 0.000 | 0.000 | 
| -41.964 | -36.496 | -27.061 | 73.381 | -0.000 | 0.000 | 
| 2.574 | -15.465 | 3.859 | 0.000 | 83.233 | 0.000 | 
| 2.484 | -14.926 | 3.724 | -0.000 | -0.000 | 70.501 | 
| 301.039 | 101.178 | 89.268 | 16.932 | -0.000 | 0.000 | 
| 1850.457 | 1916.830 | 1348.736 | -17.850 | 0.070 | -0.043 | 
| 91.720 | 91.719 | 382.382 | 0.000 | -0.000 | 0.000 | 
| 16.933 | -16.932 | 0.000 | 89.212 | 0.000 | 0.000 | 
| 0.000 | -0.000 | 0.000 | -0.000 | 89.212 | 16.932 | 
| 0.000 | -0.000 | 0.000 | 0.000 | 16.932 | 99.931 | 
| -4728.304 | -4679.959 | -4289.310 | -10.150 | -0.053 | 0.029 | 
| -4684.486 | -4723.781 | -4289.312 | 13.304 | -0.053 | 0.029 | 
| 91.719 | 91.720 | 382.382 | 0.000 | -0.000 | -0.000 | 
| 16.933 | -16.932 | -0.000 | 89.212 | 0.000 | -0.000 | 
| -0.000 | 0.000 | -0.000 | 0.000 | 89.212 | 16.932 | 
| 0.000 | 0.000 | -0.000 | 0.000 | 16.932 | 99.931 | 
| 342.838 | 267.190 | 178.170 | 15.325 | 0.007 | -0.004 | 
| 267.821 | 342.133 | 178.138 | -15.782 | 0.007 | -0.004 | 
| 91.720 | 91.720 | 382.382 | 0.000 | -0.000 | 0.000 | 
| 16.932 | -16.932 | 0.000 | 89.212 | -0.000 | 0.000 | 
| -0.000 | -0.000 | 0.000 | 0.000 | 89.212 | 16.932 | 
| 0.000 | 0.000 | 0.000 | 0.000 | 16.932 | 99.931 | 
| -388.176 | -379.694 | -390.165 | -7.046 | -0.005 | 0.003 | 
| -85.495 | -14.386 | -84.565 | -15.266 | -0.007 | 0.004 | 
| -439.240 | -438.807 | -282.225 | 0.150 | -0.005 | 0.003 | 
| -486.857 | -462.126 | -429.244 | -4.822 | -0.005 | 0.003 | 
| -0.000 | 0.000 | -0.000 | -0.000 | 89.212 | 16.932 | 
| 0.000 | -0.000 | -0.000 | -0.000 | 16.932 | 99.931 | 
| 125.514 | 71.578 | 30.631 | 0.259 | 0.000 | -0.000 | 
| 71.636 | 125.480 | 30.641 | -0.288 | 0.000 | -0.000 | 
| 12.275 | 12.260 | 143.642 | -0.004 | 0.000 | -0.000 | 
| 16.932 | -16.932 | 0.000 | 89.212 | 0.000 | 0.000 | 
| 16.701 | 16.635 | 12.358 | -0.022 | 46.719 | 15.604 | 
| 15.997 | 15.933 | 11.837 | -0.021 | 15.661 | 42.316 | 
| 88.946 | 22.375 | -10.852 | 1.457 | -0.000 | 0.000 | 
| 22.317 | 88.978 | -10.870 | -1.429 | -0.000 | 0.000 | 
| -18.644 | -18.609 | 132.643 | 0.012 | -0.000 | 0.000 | 
| 16.932 | -16.933 | -0.000 | 89.212 | 0.000 | -0.000 | 
| -16.701 | -16.634 | -12.357 | 0.022 | 46.718 | 15.605 | 
| -15.997 | -15.933 | -11.837 | 0.021 | 15.660 | 42.316 | 
| 341.557 | 73.517 | 143.475 | -0.000 | 43.048 | -0.000 | 
| 139.604 | 212.714 | 191.495 | -0.000 | -23.668 | -0.000 | 
| 96.382 | 91.546 | 266.064 | -0.000 | -11.252 | -0.000 | 
| -61.602 | 39.892 | 12.718 | 70.937 | 9.172 | 22.888 | 
| 38.459 | 21.216 | -65.306 | 0.000 | 130.277 | 0.000 | 
| 0.000 | -0.000 | 0.000 | 20.571 | -0.000 | 127.083 | 
| 308.779 | 163.483 | 65.115 | 0.000 | 102.291 | 0.000 | 
| 122.586 | 326.184 | 160.232 | 0.000 | 21.157 | -0.000 | 
| 98.543 | 198.214 | 262.119 | 0.000 | -6.407 | 0.000 | 
| -18.190 | 40.262 | -35.276 | 126.347 | 25.837 | 7.623 | 
| 15.390 | 41.951 | -65.035 | 0.000 | 118.225 | 0.000 | 
| -0.000 | 0.000 | -0.000 | 20.571 | 0.000 | 127.083 | 
| 386.411 | 131.464 | 96.900 | 0.000 | 93.853 | -0.000 | 
| 122.586 | 326.184 | 160.232 | 0.000 | 21.157 | -0.000 | 
| 112.701 | 152.225 | 273.399 | -0.000 | -14.511 | -0.000 | 
| 2.173 | -4.810 | 4.214 | 118.488 | -3.087 | 5.090 | 
| 38.459 | 21.216 | -65.306 | 0.000 | 130.277 | -0.000 | 
| -0.003 | -1.242 | 2.421 | 17.154 | -0.763 | 78.462 | 
| 203.486 | 92.377 | 50.647 | 0.000 | 83.644 | 0.000 | 
| 122.586 | 326.183 | 160.231 | -0.000 | 21.157 | -0.000 | 
| 65.869 | 19.944 | 168.324 | 0.000 | 9.818 | 0.000 | 
| 4.690 | -1.983 | -1.868 | 95.061 | 0.346 | 16.279 | 
| 33.778 | 0.135 | -27.719 | 0.000 | 90.458 | 0.000 | 
| -0.000 | -0.000 | -0.000 | 20.571 | -0.000 | 127.083 | 
| 178.224 | 97.977 | 56.336 | -0.000 | 78.614 | -0.000 | 
| 84.013 | 82.074 | 22.728 | -0.000 | 39.381 | -0.000 | 
| 53.590 | 24.694 | 174.271 | 0.000 | 6.281 | 0.000 | 
| -1.808 | 0.393 | 0.509 | 84.076 | -0.420 | 35.354 | 
| 31.781 | 9.751 | -20.221 | -0.000 | 86.634 | -0.000 | 
| -1.756 | 0.239 | 0.575 | 34.415 | -0.494 | 40.712 | 
| 181.388 | 96.608 | 54.857 | 0.000 | 79.525 | 0.000 | 
| 80.218 | 82.329 | 18.243 | 0.000 | 42.349 | 0.000 | 
| 56.998 | 23.013 | 172.930 | 0.000 | 6.909 | 0.000 | 
| 0.472 | -0.193 | -0.193 | 95.319 | 0.042 | 15.820 | 
| 35.906 | -2.250 | -27.041 | 0.000 | 90.869 | 0.000 | 
| 1.756 | -0.239 | -0.575 | 34.415 | 0.493 | 40.712 | 
| 377.926 | 253.491 | 234.156 | -0.000 | -0.000 | -0.000 | 
| 253.491 | 377.926 | 234.156 | 0.000 | -0.000 | 0.000 | 
| -305.979 | -306.255 | 480.825 | 1.188 | -3.556 | 0.646 | 
| -726.729 | -726.801 | -2591.113 | 79.771 | -2.499 | 0.914 | 
| -491.366 | -491.641 | 39.692 | 1.182 | 127.760 | 0.643 | 
| -0.000 | 0.000 | 0.000 | 0.000 | -0.000 | 247.423 | 
| 377.926 | 253.491 | 234.156 | -0.000 | 0.000 | -0.000 | 
| 253.491 | 377.926 | 234.156 | 0.000 | -0.000 | 0.000 | 
| 678.099 | 678.374 | 401.920 | -1.179 | 3.529 | -0.641 | 
| 491.389 | 491.664 | -39.694 | 130.113 | 3.540 | -0.643 | 
| 0.000 | 0.000 | -0.000 | -0.000 | 230.282 | -0.000 | 
| -0.000 | 0.000 | -0.000 | 0.000 | 0.000 | 247.423 | 
| 377.926 | 253.491 | 234.156 | 0.000 | 0.000 | -0.000 | 
| 253.491 | 377.926 | 234.156 | 0.000 | -0.000 | 0.000 | 
| 235.035 | 235.035 | 514.675 | 0.000 | -0.000 | -0.000 | 
| 0.000 | 0.000 | 0.000 | 230.282 | 0.000 | -0.000 | 
| 0.000 | 0.000 | 0.000 | -0.000 | 230.282 | 0.000 | 
| -0.000 | 0.000 | 0.000 | 0.000 | -0.000 | 247.423 | 
| 377.926 | 253.491 | 234.156 | -0.000 | 0.000 | -0.000 | 
| 253.491 | 377.926 | 234.156 | 0.000 | -0.000 | 0.000 | 
| 237.156 | 237.184 | 435.942 | -0.120 | 0.360 | -0.065 | 
| -0.000 | -0.000 | -0.000 | 230.282 | 0.000 | -0.000 | 
| -0.000 | -0.000 | -0.000 | -0.000 | 230.282 | -0.000 | 
| -0.000 | -0.000 | -0.000 | -0.000 | -0.000 | 247.423 | 
| 190.407 | 115.760 | 117.192 | -0.002 | 0.007 | -0.001 | 
| 115.762 | 190.412 | 117.201 | -0.002 | 0.007 | -0.001 | 
| 119.909 | 119.905 | 271.629 | 0.005 | -0.017 | -0.004 | 
| -5.815 | -5.817 | -0.865 | 127.976 | -0.020 | 0.004 | 
| -5.816 | -5.817 | -0.865 | 0.007 | 127.941 | 0.004 | 
| -4.673 | -4.675 | 0.377 | 0.011 | -0.034 | 134.758 | 
| 188.614 | 132.805 | 141.982 | -0.008 | 0.023 | -0.007 | 
| 132.805 | 188.615 | 141.983 | -0.008 | 0.023 | -0.007 | 
| 134.172 | 134.172 | 371.199 | 0.000 | -0.000 | -0.000 | 
| 5.816 | 5.817 | 0.865 | 127.959 | 0.020 | -0.004 | 
| 5.815 | 5.817 | 0.866 | -0.007 | 127.993 | -0.004 | 
| 4.672 | 4.675 | -0.377 | -0.011 | 0.034 | 134.755 | 
| 376.741 | 50.037 | 140.397 | 0.000 | -0.000 | -0.000 | 
| 51.596 | 354.997 | 119.190 | 0.000 | -0.000 | -0.000 | 
| 140.470 | 117.704 | 323.461 | -0.000 | -0.000 | 0.000 | 
| 0.000 | 0.000 | -0.000 | 121.008 | -0.000 | 0.000 | 
| 0.000 | 0.000 | 0.000 | 0.000 | 142.945 | 0.000 | 
| -0.000 | 0.000 | -0.000 | 0.000 | -0.000 | 55.071 | 
| 376.740 | 50.037 | 140.397 | -0.000 | 0.000 | -0.000 | 
| 51.596 | 354.997 | 119.190 | -0.000 | 0.000 | -0.000 | 
| 140.470 | 117.704 | 323.461 | -0.000 | 0.000 | 0.000 | 
| 0.000 | -0.000 | -0.000 | 121.008 | 0.000 | -0.000 | 
| -0.000 | -0.000 | 0.000 | 0.000 | 142.945 | -0.000 | 
| -0.000 | -0.000 | 0.000 | -0.000 | -0.000 | 55.071 | 
| 291.534 | 58.454 | 116.390 | -0.020 | -0.000 | -0.001 | 
| 22.520 | 204.891 | 117.967 | -0.038 | -0.000 | -0.002 | 
| 137.999 | 124.413 | 276.933 | -0.034 | -0.000 | -0.002 | 
| 0.000 | 0.000 | 0.000 | 121.008 | -0.000 | 0.000 | 
| 0.000 | 0.000 | 0.000 | -0.000 | 142.945 | -0.000 | 
| 0.000 | -0.000 | 0.000 | 0.000 | 0.000 | 55.071 | 
| 319.201 | 65.409 | 162.297 | 0.040 | 0.000 | 0.003 | 
| 51.596 | 354.997 | 119.190 | -0.000 | -0.000 | 0.000 | 
| 140.470 | 117.704 | 323.461 | -0.000 | 0.000 | -0.000 | 
| -0.000 | -0.000 | -0.000 | 121.008 | 0.000 | -0.000 | 
| -0.000 | -0.000 | -0.000 | 0.000 | 142.945 | -0.000 | 
| -0.000 | 0.000 | -0.000 | -0.000 | 0.000 | 55.071 | 
| 300.083 | 45.040 | 136.870 | 0.004 | -0.000 | 0.000 | 
| 77.361 | 134.049 | 175.479 | -0.010 | -0.000 | -0.001 | 
| 122.276 | 133.490 | 278.982 | -0.019 | -0.000 | -0.001 | 
| 0.000 | 0.000 | 0.000 | 121.008 | -0.000 | 0.000 | 
| 0.875 | -1.027 | -10.800 | -0.049 | 33.955 | -0.005 | 
| 0.000 | -0.000 | 0.000 | 0.000 | -0.000 | 55.071 | 
| 310.624 | 69.726 | 144.371 | 0.004 | 0.000 | 0.000 | 
| 82.205 | 135.862 | 169.980 | 0.002 | -0.000 | 0.000 | 
| 140.470 | 117.703 | 323.460 | 0.000 | 0.000 | -0.000 | 
| 0.489 | 0.604 | 2.054 | 79.982 | 0.000 | 0.000 | 
| -1.174 | 4.669 | -0.036 | -0.034 | 28.178 | -0.003 | 
| -0.000 | 0.000 | -0.000 | -0.000 | -0.000 | 55.071 | 
| -336.411 | -466.191 | 1184.391 | 0.000 | -0.000 | -0.000 | 
| -466.191 | -336.410 | 1184.391 | 0.000 | -0.000 | -0.000 | 
| -424.719 | -424.719 | 877.101 | 0.000 | -0.000 | -0.000 | 
| -630.729 | -630.729 | 650.596 | 25.700 | 0.000 | -0.000 | 
| -584.573 | -584.573 | 819.489 | -0.000 | 40.215 | -0.000 | 
| -582.584 | -582.583 | 1093.189 | 0.000 | -0.000 | 57.125 | 
| 724.144 | 557.405 | -817.861 | 0.000 | -0.000 | 0.000 | 
| 557.405 | 724.144 | -817.861 | 0.000 | -0.000 | 0.000 | 
| 565.539 | 565.539 | -700.538 | 0.000 | -0.000 | 0.000 | 
| 500.903 | 500.903 | -692.444 | 70.331 | 0.000 | 0.000 | 
| 630.726 | 630.726 | -650.595 | 0.001 | 25.701 | 0.000 | 
| 582.584 | 582.583 | -1093.189 | -0.000 | 0.000 | 57.125 | 
| 206.965 | 49.453 | 203.003 | 0.000 | -0.000 | -0.000 | 
| 49.452 | 206.965 | 203.003 | 0.000 | -0.000 | -0.000 | 
| 104.004 | 104.004 | 320.185 | -0.000 | 0.000 | -0.000 | 
| -46.898 | -46.898 | 84.521 | 49.448 | 0.000 | -0.000 | 
| -46.898 | -46.898 | 84.521 | -0.000 | 49.448 | -0.000 | 
| -48.807 | -48.807 | 88.012 | -0.000 | 0.000 | 45.583 | 
| 284.183 | 111.828 | -11.828 | 0.000 | -0.000 | 0.000 | 
| 111.828 | 284.183 | -11.828 | 0.000 | -0.000 | 0.000 | 
| 104.004 | 104.004 | 320.185 | 0.000 | -0.000 | 0.000 | 
| 52.195 | 52.195 | -74.788 | 66.015 | 0.000 | 0.000 | 
| 46.898 | 46.898 | -84.521 | 0.000 | 49.448 | 0.000 | 
| 48.807 | 48.807 | -88.012 | 0.000 | -0.000 | 45.583 | 
| 243.002 | 67.302 | 90.765 | 0.000 | 0.000 | -0.000 | 
| 67.302 | 243.002 | 90.765 | 0.000 | -0.000 | -0.000 | 
| 78.316 | 78.316 | 204.202 | -0.000 | 0.000 | -0.000 | 
| -9.309 | -9.310 | 7.100 | 17.177 | 0.000 | -0.000 | 
| -6.663 | -6.663 | 6.335 | -0.000 | 39.785 | -0.000 | 
| -6.801 | -6.801 | 8.769 | 0.000 | -0.000 | 35.782 | 
| 254.281 | 78.172 | 77.368 | -0.000 | 0.000 | 0.000 | 
| 78.172 | 254.281 | 77.368 | -0.000 | 0.000 | 0.000 | 
| 118.070 | 118.070 | 232.248 | -0.000 | 0.000 | 0.000 | 
| 9.309 | 9.310 | -7.100 | 17.176 | -0.000 | 0.000 | 
| 6.663 | 6.663 | -6.335 | 0.000 | 39.785 | 0.000 | 
| 6.801 | 6.801 | -8.769 | -0.000 | 0.000 | 35.782 | 
| 184.765 | 61.218 | 398.109 | 0.727 | -0.337 | 0.000 | 
| 54.185 | 191.051 | 399.113 | 0.730 | -0.338 | 0.000 | 
| 22.442 | 29.303 | 603.831 | 0.725 | -0.335 | 0.000 | 
| -65.272 | -62.427 | 476.200 | 68.733 | -0.108 | 0.000 | 
| -65.308 | -62.458 | 476.186 | 0.242 | 68.370 | 0.000 | 
| 0.000 | 0.000 | -0.000 | 0.000 | 0.000 | 101.182 | 
| -21.408 | -180.972 | -473.563 | -0.423 | 0.207 | -0.000 | 
| 223.575 | 339.775 | -207.452 | -0.762 | 0.353 | -0.000 | 
| -140.160 | -142.677 | -275.239 | -0.405 | 0.196 | -0.000 | 
| 65.320 | 62.469 | -476.181 | 68.231 | 0.108 | -0.000 | 
| 65.284 | 62.438 | -476.196 | -0.241 | 68.595 | -0.000 | 
| -0.000 | -0.000 | -0.000 | -0.000 | 0.000 | 101.182 | 
| 268.966 | 98.864 | 135.744 | 0.036 | -0.016 | 0.000 | 
| 98.458 | 269.372 | 135.739 | 0.036 | -0.016 | -0.000 | 
| 91.060 | 91.060 | 381.507 | 0.000 | 0.000 | -0.000 | 
| -7.119 | -6.758 | 47.358 | 66.174 | -0.015 | 0.000 | 
| 33.435 | 33.927 | 40.591 | 0.036 | 52.553 | 0.000 | 
| 0.000 | 0.000 | 0.000 | 0.000 | 0.000 | 101.182 | 
| 237.755 | 89.025 | 20.749 | -0.053 | 0.025 | 0.000 | 
| 89.419 | 237.362 | 20.749 | -0.053 | 0.025 | -0.000 | 
| 99.251 | 99.167 | 222.599 | -0.002 | 0.001 | -0.000 | 
| 7.124 | 6.763 | -47.354 | 66.087 | 0.015 | -0.000 | 
| 7.120 | 6.759 | -47.357 | -0.033 | 66.150 | -0.000 | 
| -0.000 | -0.000 | -0.000 | -0.000 | 0.000 | 101.182 | 
| 218.975 | 95.481 | 116.797 | 0.001 | -0.000 | 0.000 | 
| 102.740 | 255.519 | 81.770 | 0.005 | -0.002 | -0.000 | 
| 122.334 | 122.197 | 213.831 | -0.000 | -0.001 | 0.000 | 
| -0.729 | -0.690 | 4.695 | 65.461 | -0.002 | 0.000 | 
| 5.279 | 5.615 | -2.095 | 0.004 | -76.662 | 0.000 | 
| 4.545 | 4.582 | -1.560 | 0.004 | -0.002 | 16.522 | 
| 289.908 | 129.155 | 97.107 | -0.006 | 0.003 | -0.000 | 
| 129.195 | 289.896 | 97.103 | -0.006 | 0.003 | -0.000 | 
| 112.663 | 112.327 | 215.065 | -0.014 | 0.006 | -0.000 | 
| -4.993 | -5.029 | 1.915 | -77.475 | 0.002 | 0.000 | 
| -5.279 | -5.615 | 2.095 | -0.004 | -76.658 | -0.000 | 
| -4.545 | -4.582 | 1.560 | -0.004 | 0.002 | 16.522 | 
| 266.485 | 207.589 | 110.076 | 0.015 | -0.025 | 1.038 | 
| 195.019 | 279.257 | 110.251 | 0.016 | -0.026 | 1.052 | 
| 96.265 | 96.265 | 388.997 | -0.000 | -0.000 | 0.000 | 
| 0.000 | -0.000 | 0.000 | 99.572 | -0.000 | 0.000 | 
| 0.000 | -0.000 | 0.000 | -0.000 | 99.572 | -0.000 | 
| 51.380 | 63.937 | 8.105 | 0.014 | -0.023 | 45.090 | 
| 183.610 | 76.077 | 93.215 | -0.013 | 0.022 | -0.879 | 
| 87.915 | 173.747 | 93.256 | -0.013 | 0.021 | -0.870 | 
| 96.265 | 96.265 | 388.997 | 0.000 | 0.000 | -0.000 | 
| -0.000 | 0.000 | -0.000 | 99.572 | 0.000 | -0.000 | 
| -0.000 | 0.000 | -0.000 | 0.000 | 99.572 | 0.000 | 
| -51.283 | -63.817 | -8.090 | -0.014 | 0.023 | 43.324 | 
| 342.734 | 116.685 | 97.316 | -0.000 | -0.000 | 0.000 | 
| 116.685 | 342.734 | 97.316 | -0.000 | -0.000 | 0.000 | 
| 103.955 | 105.054 | 295.547 | 0.001 | -0.002 | 0.084 | 
| 0.000 | 0.000 | 0.000 | 99.572 | -0.000 | -0.000 | 
| 0.000 | 0.000 | 0.000 | -0.000 | 99.572 | 0.000 | 
| 0.000 | 0.000 | 0.000 | -0.000 | -0.000 | 120.568 | 
| 276.522 | 123.683 | 98.798 | -0.001 | 0.001 | -0.050 | 
| 124.277 | 276.411 | 98.786 | -0.001 | 0.001 | -0.050 | 
| 95.128 | 94.171 | 306.320 | -0.001 | 0.002 | -0.073 | 
| -0.000 | -0.000 | -0.000 | 99.572 | 0.000 | -0.000 | 
| -0.000 | -0.000 | -0.000 | 0.000 | 99.572 | 0.000 | 
| -0.000 | -0.000 | -0.000 | 0.000 | 0.000 | 120.568 | 
| 282.036 | 126.926 | 99.185 | 0.000 | -0.000 | 0.005 | 
| 126.874 | 282.034 | 99.187 | 0.000 | -0.000 | 0.005 | 
| 55.645 | 55.603 | 262.097 | 0.000 | -0.000 | -0.006 | 
| -13.160 | -13.018 | -3.859 | 30.463 | -0.000 | 0.017 | 
| -13.163 | -13.016 | -3.859 | 0.000 | 30.463 | 0.017 | 
| 0.221 | 0.275 | 0.035 | 0.000 | -0.000 | 87.678 | 
| 282.793 | 126.084 | 99.066 | -0.000 | 0.000 | -0.005 | 
| 126.136 | 282.791 | 99.064 | -0.000 | 0.000 | -0.005 | 
| 63.773 | 63.853 | 269.599 | 0.000 | -0.000 | 0.007 | 
| 13.160 | 13.018 | 3.859 | 30.463 | 0.000 | -0.017 | 
| 13.163 | 13.016 | 3.859 | -0.000 | 30.464 | -0.017 | 
| -0.221 | -0.275 | -0.035 | -0.000 | 0.000 | 87.675 | 
| 642.673 | 298.246 | -310.912 | -0.000 | 0.000 | 0.000 | 
| 132.798 | 275.871 | 149.210 | 0.000 | 0.000 | 0.000 | 
| 52.168 | 149.066 | 397.881 | -0.000 | 0.000 | -0.000 | 
| 339.824 | 156.024 | -398.865 | 107.575 | 0.000 | -0.000 | 
| 302.760 | 299.934 | -410.910 | 0.000 | 50.712 | 0.000 | 
| 0.000 | -0.000 | -0.000 | -0.000 | 0.000 | 136.835 | 
| -33.203 | -13.478 | 484.270 | 0.000 | -0.000 | -0.000 | 
| 132.798 | 275.871 | 149.210 | -0.000 | -0.000 | -0.000 | 
| -249.543 | -2.494 | 747.696 | -0.000 | -0.000 | 0.000 | 
| -339.824 | -156.024 | 398.865 | 107.575 | -0.000 | -0.000 | 
| -302.760 | -299.934 | 410.910 | -0.000 | 50.712 | -0.000 | 
| -0.000 | -0.000 | 0.000 | -0.000 | -0.000 | 136.835 | 
| 338.474 | 153.795 | 52.528 | 0.000 | 0.000 | 0.000 | 
| 163.594 | 252.311 | 123.860 | 0.000 | 0.000 | -0.000 | 
| 52.168 | 149.066 | 397.881 | 0.000 | 0.000 | -0.000 | 
| 34.398 | 15.793 | -40.374 | 107.007 | -0.000 | 0.000 | 
| 41.079 | 23.222 | -26.852 | -0.000 | 50.022 | -0.000 | 
| 0.000 | 0.000 | 0.000 | 0.000 | 0.000 | 136.835 | 
| 390.048 | 132.524 | 52.038 | -0.000 | -0.000 | -0.000 | 
| 132.798 | 275.871 | 149.210 | -0.000 | -0.000 | -0.000 | 
| 59.579 | 137.585 | 384.256 | -0.000 | -0.000 | -0.000 | 
| -34.398 | -15.793 | 40.374 | 107.007 | -0.000 | 0.000 | 
| -41.079 | -23.222 | 26.852 | -0.000 | 50.022 | 0.000 | 
| -0.000 | -0.000 | -0.000 | 0.000 | -0.000 | 136.835 | 
| 317.420 | 121.955 | 75.098 | 0.000 | 0.000 | -0.000 | 
| 124.211 | 230.279 | 146.041 | -0.000 | 0.000 | -0.000 | 
| 80.150 | 146.149 | 325.834 | 0.000 | 0.000 | 0.000 | 
| 4.954 | 2.274 | -2.275 | 89.935 | 0.000 | 0.000 | 
| -0.000 | 0.000 | -0.000 | -0.000 | 57.063 | 0.000 | 
| 0.000 | 0.000 | 0.000 | 0.000 | 0.000 | 136.835 | 
| 321.009 | 137.001 | 84.748 | -0.000 | -0.000 | -0.000 | 
| 135.872 | 240.350 | 156.177 | -0.000 | -0.000 | 0.000 | 
| 52.168 | 149.065 | 397.879 | -0.000 | -0.000 | -0.000 | 
| -3.559 | -1.634 | 4.178 | 105.374 | -0.000 | 0.000 | 
| 0.000 | -0.000 | 0.000 | -0.000 | 57.063 | -0.000 | 
| -0.000 | -0.000 | -0.000 | 0.000 | -0.000 | 136.835 | 
| 382.818 | 129.367 | 50.989 | -0.000 | -0.000 | -0.000 | 
| 199.308 | 330.584 | 56.405 | -0.000 | 0.000 | 0.000 | 
| 160.319 | 237.819 | 249.970 | -0.000 | 0.000 | -0.000 | 
| 74.120 | 88.465 | -96.587 | 108.879 | -0.000 | -0.000 | 
| 75.419 | 113.493 | -78.336 | -0.000 | 50.485 | 0.000 | 
| 71.293 | 85.091 | -92.904 | 0.000 | -0.000 | 86.067 | 
| 382.818 | 129.367 | 50.989 | -0.000 | -0.000 | 0.000 | 
| 39.083 | 141.603 | 239.856 | 0.000 | 0.000 | 0.000 | 
| 50.988 | 145.964 | 392.094 | 0.000 | 0.000 | -0.000 | 
| -74.120 | -88.465 | 96.587 | 108.879 | 0.000 | -0.000 | 
| -75.419 | -113.493 | 78.336 | 0.000 | 50.485 | 0.000 | 
| -71.293 | -85.091 | 92.904 | 0.000 | -0.000 | 86.067 | 
| 317.535 | 128.027 | 68.751 | -0.000 | -0.000 | 0.000 | 
| 138.208 | 249.419 | 143.123 | -0.000 | -0.000 | 0.000 | 
| 84.750 | 141.442 | 310.629 | -0.000 | -0.000 | 0.000 | 
| 0.000 | 0.000 | 0.000 | 152.058 | -0.000 | -0.000 | 
| -0.000 | 0.000 | -0.000 | -0.000 | 57.260 | 0.000 | 
| 0.000 | 0.000 | 0.000 | -0.000 | -0.000 | 134.587 | 
| 382.818 | 129.367 | 50.989 | 0.000 | 0.000 | -0.000 | 
| 110.570 | 219.323 | 158.870 | 0.000 | 0.000 | -0.000 | 
| 50.988 | 145.964 | 392.094 | 0.000 | 0.000 | -0.000 | 
| -0.000 | -0.000 | -0.000 | 152.058 | 0.000 | 0.000 | 
| 0.000 | -0.000 | 0.000 | 0.000 | 57.260 | -0.000 | 
| -0.000 | -0.000 | -0.000 | 0.000 | 0.000 | 134.587 | 
| 314.099 | 124.455 | 83.393 | -0.000 | -0.000 | 0.000 | 
| 118.488 | 221.353 | 131.621 | -0.000 | -0.000 | 0.000 | 
| 74.563 | 136.999 | 320.712 | -0.000 | -0.000 | -0.000 | 
| 0.000 | 0.000 | 0.001 | 152.058 | -0.000 | -0.000 | 
| -0.000 | 0.000 | -0.000 | -0.000 | 57.260 | -0.000 | 
| 0.525 | 0.627 | -0.685 | -0.000 | 0.000 | 98.833 | 
| 312.227 | 122.498 | 85.443 | 0.000 | 0.000 | -0.000 | 
| 133.802 | 238.921 | 150.264 | 0.000 | -0.000 | -0.000 | 
| 73.244 | 134.586 | 322.000 | 0.000 | 0.000 | -0.000 | 
| -0.000 | -0.000 | -0.001 | 152.058 | 0.000 | -0.000 | 
| 0.000 | -0.000 | 0.000 | 0.000 | 57.260 | -0.000 | 
| -0.525 | -0.627 | 0.685 | 0.000 | -0.000 | 98.833 | 
| 264.289 | 100.693 | 100.693 | 0.000 | -0.000 | 0.000 | 
| 100.693 | 264.289 | 100.693 | 0.000 | -0.000 | 0.000 | 
| 100.693 | 100.693 | 264.289 | -0.000 | -0.000 | 0.000 | 
| 0.277 | 0.277 | 0.277 | 64.669 | -0.000 | 0.000 | 
| 0.277 | 0.277 | 0.276 | 0.000 | 64.669 | 0.000 | 
| 0.277 | 0.277 | 0.277 | 0.000 | 0.000 | 64.669 | 
| 233.458 | 90.681 | 90.681 | -0.000 | 0.000 | -0.000 | 
| 85.375 | 357.206 | 85.375 | 0.000 | -0.000 | -0.000 | 
| 90.681 | 90.681 | 233.458 | -0.000 | -0.000 | -0.000 | 
| -0.277 | -0.277 | -0.276 | 64.669 | -0.000 | -0.000 | 
| -0.277 | -0.277 | -0.276 | -0.000 | 64.669 | -0.000 | 
| -0.277 | -0.277 | -0.276 | -0.000 | 0.000 | 64.669 | 
| 264.204 | 100.314 | 100.314 | 0.000 | -0.000 | 0.000 | 
| 100.314 | 264.204 | 100.314 | 0.000 | -0.000 | 0.000 | 
| 100.314 | 100.314 | 264.204 | 0.000 | -0.000 | 0.000 | 
| 0.030 | 0.030 | 0.030 | 64.940 | 0.000 | 0.000 | 
| 0.030 | 0.030 | 0.030 | 0.000 | 64.940 | 0.000 | 
| 0.030 | 0.030 | 0.030 | 0.000 | -0.000 | 64.940 | 
| 264.191 | 100.229 | 100.229 | -0.000 | 0.000 | -0.000 | 
| 100.229 | 264.191 | 100.229 | -0.000 | 0.000 | -0.000 | 
| 100.229 | 100.229 | 264.191 | -0.000 | 0.000 | -0.000 | 
| -0.030 | -0.030 | -0.030 | 64.940 | 0.000 | -0.000 | 
| -0.030 | -0.030 | -0.030 | -0.000 | 64.940 | -0.000 | 
| -0.030 | -0.030 | -0.030 | -0.000 | 0.000 | 64.940 | 
| 233.645 | 90.702 | 90.702 | 0.000 | 0.000 | 0.000 | 
| 90.702 | 233.645 | 90.702 | 0.000 | -0.000 | 0.000 | 
| 90.702 | 90.702 | 233.645 | 0.000 | -0.000 | 0.000 | 
| 0.002 | 0.002 | 0.002 | 66.290 | -0.000 | 0.000 | 
| 0.002 | 0.002 | 0.002 | 0.000 | 66.290 | 0.000 | 
| 0.002 | 0.002 | 0.002 | 0.000 | 0.000 | 66.290 | 
| 233.663 | 90.697 | 90.697 | -0.000 | 0.000 | -0.000 | 
| 90.697 | 233.663 | 90.697 | -0.000 | 0.000 | -0.000 | 
| 90.697 | 90.697 | 233.663 | -0.000 | 0.000 | -0.000 | 
| -0.002 | -0.002 | -0.002 | 66.290 | 0.000 | -0.000 | 
| -0.002 | -0.002 | -0.002 | -0.000 | 66.290 | -0.000 | 
| -0.002 | -0.002 | -0.002 | -0.000 | 0.000 | 66.290 | 
| 337.297 | 78.391 | 78.391 | 0.000 | 0.000 | 0.000 | 
| 78.391 | 337.297 | 78.391 | 0.000 | 0.000 | 0.000 | 
| 78.391 | 78.391 | 337.297 | 0.000 | 0.000 | 0.000 | 
| 0.000 | 0.000 | 0.000 | 83.660 | 0.000 | 0.000 | 
| 0.000 | -0.000 | 0.000 | 0.000 | 83.660 | 0.000 | 
| 0.000 | 0.000 | 0.000 | 0.000 | 0.000 | 83.660 | 
| 337.296 | 78.391 | 78.391 | -0.000 | -0.000 | -0.000 | 
| 78.391 | 337.296 | 78.391 | -0.000 | -0.000 | -0.000 | 
| 78.391 | 78.391 | 337.296 | -0.000 | 0.000 | -0.000 | 
| -0.000 | -0.000 | -0.000 | 83.660 | -0.000 | -0.000 | 
| -0.000 | 0.000 | -0.000 | -0.000 | 83.659 | -0.000 | 
| -0.000 | -0.000 | -0.000 | -0.000 | -0.000 | 83.659 | 
| 337.297 | 78.391 | 78.391 | 0.000 | 0.000 | 0.000 | 
| 78.391 | 337.297 | 78.391 | 0.000 | -0.000 | 0.000 | 
| 78.391 | 78.391 | 337.297 | 0.000 | 0.000 | 0.000 | 
| 0.117 | 0.117 | 0.117 | 64.466 | 0.000 | 0.000 | 
| 0.000 | 0.000 | 0.000 | -0.000 | 83.660 | 0.000 | 
| 0.000 | 0.000 | 0.000 | 0.000 | 0.000 | 83.660 | 
| 222.182 | 81.921 | 81.921 | -0.000 | -0.000 | -0.000 | 
| 81.921 | 222.182 | 81.921 | -0.000 | -0.000 | -0.000 | 
| 81.921 | 81.921 | 222.182 | -0.000 | -0.000 | -0.000 | 
| -0.000 | -0.000 | -0.000 | 83.660 | -0.000 | -0.000 | 
| -0.210 | -0.210 | -0.210 | -0.000 | 64.263 | -0.000 | 
| -0.000 | -0.000 | -0.000 | -0.000 | -0.000 | 83.660 | 
| 155.986 | 125.087 | 125.087 | 0.000 | 0.000 | 0.000 | 
| 125.087 | 155.986 | 125.087 | 0.000 | 0.000 | 0.000 | 
| 125.087 | 125.087 | 155.986 | 0.000 | 0.000 | 0.000 | 
| 0.000 | 0.000 | 0.000 | 83.660 | 0.000 | 0.000 | 
| 0.000 | 0.000 | 0.000 | 0.000 | 83.660 | 0.000 | 
| 0.000 | 0.000 | 0.000 | 0.000 | 0.000 | 83.660 | 
| 250.652 | 90.886 | 90.886 | -0.000 | -0.000 | -0.000 | 
| 90.886 | 250.652 | 90.886 | -0.000 | -0.000 | -0.000 | 
| 90.886 | 90.886 | 250.652 | -0.000 | 0.000 | -0.000 | 
| -0.000 | -0.000 | -0.000 | 83.660 | -0.000 | -0.000 | 
| -0.000 | -0.000 | -0.000 | -0.000 | 83.660 | -0.000 | 
| -0.000 | -0.000 | -0.000 | -0.000 | -0.000 | 83.660 | 
| -1193.929 | -1355.858 | -869.683 | -0.000 | 0.000 | -0.000 | 
| -1355.858 | -1193.929 | -869.683 | 0.000 | 0.000 | 0.000 | 
| 124.555 | 124.555 | 456.581 | -0.000 | 0.000 | 0.000 | 
| 0.000 | -0.000 | -0.000 | 125.896 | 0.000 | -0.000 | 
| 0.000 | -0.000 | 0.000 | -0.000 | 125.896 | 0.000 | 
| 0.000 | -0.000 | 0.000 | -0.000 | 0.000 | 154.224 | 
| 352.955 | 149.126 | 127.566 | -0.000 | -0.000 | 0.000 | 
| 149.126 | 352.956 | 127.566 | -0.000 | -0.000 | -0.000 | 
| 1464.259 | 1464.259 | 1707.891 | -0.000 | -0.000 | -0.000 | 
| -0.000 | 0.000 | -0.000 | 125.896 | -0.000 | -0.000 | 
| -0.000 | 0.000 | -0.000 | 0.000 | 125.896 | -0.000 | 
| -0.000 | 0.000 | -0.000 | -0.000 | -0.000 | 154.224 | 
| 210.221 | 74.116 | 68.100 | -0.000 | -0.000 | -0.000 | 
| 74.116 | 210.221 | 68.100 | -0.000 | -0.000 | 0.000 | 
| 124.555 | 124.555 | 456.581 | 0.000 | -0.000 | 0.000 | 
| 0.000 | -0.000 | 0.000 | 125.896 | 0.000 | -0.000 | 
| 0.000 | -0.000 | 0.000 | 0.000 | 125.896 | 0.000 | 
| -53.760 | -53.760 | -47.429 | -0.000 | -0.000 | 90.778 | 
| 328.003 | 186.457 | 166.671 | 0.000 | 0.000 | 0.000 | 
| 186.457 | 328.003 | 166.671 | -0.000 | -0.000 | 0.000 | 
| 192.825 | 192.825 | 411.481 | -0.000 | -0.000 | -0.000 | 
| -0.000 | -0.000 | -0.000 | 125.896 | 0.000 | -0.000 | 
| -0.000 | -0.000 | -0.000 | 0.000 | 125.896 | 0.000 | 
| 53.760 | 53.760 | 47.429 | 0.000 | -0.000 | 90.778 | 
| 242.344 | 121.095 | 111.018 | -0.000 | 0.000 | -0.000 | 
| 121.095 | 242.344 | 111.018 | -0.000 | 0.000 | 0.000 | 
| 124.556 | 124.556 | 456.583 | 0.000 | 0.000 | 0.000 | 
| 0.000 | 0.000 | 0.000 | 125.896 | 0.000 | 0.000 | 
| 0.000 | 0.000 | 0.000 | -0.000 | 125.896 | -0.000 | 
| -4.930 | -4.930 | -4.349 | -0.000 | 0.000 | 96.043 | 
| 352.954 | 149.125 | 127.565 | 0.000 | 0.000 | 0.000 | 
| 149.125 | 352.954 | 127.565 | -0.000 | -0.000 | -0.000 | 
| 81.764 | 81.764 | 300.221 | 0.000 | 0.000 | -0.000 | 
| -0.000 | -0.000 | -0.000 | 125.896 | 0.000 | -0.000 | 
| -0.000 | -0.000 | -0.000 | -0.000 | 125.896 | 0.000 | 
| 4.930 | 4.930 | 4.349 | 0.000 | 0.000 | 96.043 | 
| 230.918 | 114.783 | 98.149 | -0.000 | 0.000 | 0.000 | 
| 114.783 | 230.918 | 98.149 | 0.000 | 0.000 | 0.000 | 
| 98.310 | 98.310 | 305.729 | -0.000 | 0.000 | 0.000 | 
| 0.000 | 0.000 | 0.002 | 81.597 | -0.000 | 0.000 | 
| 0.000 | 0.000 | 0.002 | -0.000 | 81.597 | 0.000 | 
| 0.000 | 0.000 | 0.003 | -0.000 | 0.000 | 93.045 | 
| 328.526 | 137.927 | 110.668 | -0.000 | -0.000 | -0.000 | 
| 137.927 | 328.526 | 110.668 | -0.000 | -0.000 | -0.000 | 
| 98.309 | 98.309 | 305.717 | -0.000 | -0.000 | -0.000 | 
| -0.000 | -0.000 | -0.002 | 81.597 | 0.000 | -0.000 | 
| -0.000 | -0.000 | -0.002 | -0.000 | 81.597 | -0.000 | 
| -0.000 | -0.000 | -0.003 | -0.000 | -0.000 | 93.045 | 
| 328.526 | 137.927 | 110.668 | 0.000 | 0.000 | 0.000 | 
| 137.927 | 328.526 | 110.668 | 0.000 | 0.000 | 0.000 | 
| 98.310 | 98.310 | 305.723 | 0.000 | -0.000 | 0.000 | 
| 0.000 | 0.000 | 0.000 | 118.187 | 0.000 | 0.000 | 
| 0.000 | 0.000 | 0.000 | -0.000 | 118.187 | 0.000 | 
| -0.000 | 0.000 | 0.000 | 0.000 | 0.000 | 93.045 | 
| 328.526 | 137.927 | 110.668 | 0.000 | -0.000 | 0.000 | 
| 137.927 | 328.526 | 110.668 | -0.000 | -0.000 | -0.000 | 
| 71.861 | 71.861 | 275.194 | 0.000 | -0.000 | -0.000 | 
| -0.000 | -0.000 | -0.000 | 118.187 | -0.000 | -0.000 | 
| -0.000 | -0.000 | -0.000 | 0.000 | 118.187 | -0.000 | 
| 0.000 | 0.000 | -0.000 | -0.000 | -0.000 | 93.045 | 
| 146.863 | 19.178 | 70.293 | 0.000 | 0.000 | 0.000 | 
| 19.178 | 146.863 | 70.293 | 0.000 | 0.000 | 0.000 | 
| 98.309 | 98.309 | 305.717 | 0.000 | 0.000 | 0.000 | 
| 0.000 | 0.000 | 0.000 | 118.187 | 0.000 | 0.000 | 
| 0.000 | 0.000 | 0.000 | 0.000 | 118.187 | 0.000 | 
| 0.000 | -0.000 | -0.000 | -0.000 | -0.000 | 21.359 | 
| 157.626 | 27.797 | 62.531 | -0.000 | -0.000 | -0.000 | 
| 27.797 | 157.626 | 62.531 | -0.000 | -0.000 | -0.000 | 
| 71.862 | 71.862 | 275.203 | -0.000 | 0.000 | -0.000 | 
| -0.000 | -0.000 | -0.000 | 118.187 | 0.000 | -0.000 | 
| -0.000 | -0.000 | -0.000 | 0.000 | 118.187 | -0.000 | 
| -0.000 | 0.000 | 0.000 | -0.000 | 0.000 | 21.359 | 
| 142.194 | -147.768 | 165.700 | 0.004 | -0.017 | 0.005 | 
| 55.401 | 355.674 | 125.388 | -0.000 | 0.000 | -0.000 | 
| -108.606 | -138.527 | 90.085 | 0.003 | -0.015 | 0.004 | 
| -212.427 | -233.202 | -136.077 | 61.817 | -0.014 | 0.004 | 
| -128.756 | -211.195 | 49.765 | 0.004 | 52.055 | 0.005 | 
| -129.253 | -212.009 | 49.957 | 0.004 | -0.017 | 30.326 | 
| 402.815 | 278.326 | 65.326 | -0.004 | 0.017 | -0.005 | 
| 55.401 | 355.674 | 125.388 | 0.000 | -0.000 | -0.000 | 
| 316.199 | 327.893 | 364.235 | -0.003 | 0.014 | -0.003 | 
| 212.427 | 233.202 | 136.077 | 61.811 | 0.014 | -0.004 | 
| 128.757 | 211.197 | -49.765 | -0.004 | 52.088 | -0.005 | 
| 129.252 | 212.009 | -49.957 | -0.004 | 0.017 | 30.317 | 
| 216.104 | 6.099 | 75.818 | 0.000 | -0.000 | 0.000 | 
| 34.101 | 217.699 | 85.945 | 0.000 | -0.001 | 0.000 | 
| 86.230 | 76.003 | 220.517 | 0.000 | -0.001 | 0.000 | 
| -19.426 | -21.013 | -13.038 | 68.474 | -0.001 | 0.000 | 
| -19.588 | -21.109 | -13.295 | 0.000 | 69.110 | 0.000 | 
| 0.000 | -0.000 | 0.000 | 0.000 | -0.000 | 58.186 | 
| 359.403 | 55.355 | 120.980 | 0.000 | -0.000 | -0.000 | 
| 55.401 | 355.674 | 125.388 | 0.000 | -0.000 | 0.000 | 
| 125.906 | 121.422 | 255.402 | -0.000 | 0.001 | -0.000 | 
| 19.426 | 21.012 | 13.038 | 68.473 | 0.001 | -0.000 | 
| 9.369 | 15.368 | -3.621 | -0.000 | 71.014 | -0.000 | 
| -0.000 | 0.000 | -0.000 | 0.000 | 0.000 | 58.186 | 
| 141.065 | 62.802 | 148.199 | -0.000 | 0.000 | -0.000 | 
| 58.797 | 151.591 | 93.868 | 0.000 | -0.000 | 0.000 | 
| 106.264 | 98.693 | 245.304 | 0.000 | -0.000 | 0.000 | 
| 3.215 | -4.434 | 0.531 | 26.491 | -0.000 | 0.000 | 
| -1.371 | -2.188 | -2.408 | 0.000 | 71.522 | 0.000 | 
| -2.263 | -2.286 | -1.824 | 0.000 | -0.000 | 41.588 | 
| 139.024 | 65.849 | 149.900 | -0.000 | 0.000 | -0.000 | 
| 59.660 | 164.466 | 93.235 | 0.000 | -0.000 | 0.000 | 
| 148.963 | 94.310 | 211.572 | 0.000 | -0.000 | 0.000 | 
| -3.215 | 4.434 | -0.531 | 26.491 | 0.000 | -0.000 | 
| 1.371 | 2.188 | 2.408 | -0.000 | 71.522 | -0.000 | 
| 2.263 | 2.286 | 1.824 | -0.000 | 0.000 | 41.588 | 
| -1298.598 | 361.314 | -86.025 | 0.247 | -0.000 | -1.781 | 
| 80.136 | 383.353 | 113.638 | -0.000 | -0.000 | -0.000 | 
| -2247.497 | 143.256 | -321.767 | 0.116 | -0.000 | -0.834 | 
| -2333.560 | 83.285 | -550.209 | 88.409 | -0.000 | -0.839 | 
| 0.000 | 0.000 | 0.000 | -0.000 | 133.108 | -0.000 | 
| 0.000 | 0.000 | 0.000 | -0.000 | -0.000 | 82.404 | 
| 2578.701 | -48.032 | 638.995 | -0.118 | 0.000 | 0.843 | 
| 1662.220 | -9.209 | 325.514 | -0.246 | 0.000 | 1.777 | 
| 2422.820 | -23.182 | 779.173 | -0.118 | 0.000 | 0.846 | 
| 2333.561 | -83.285 | 550.209 | 88.175 | 0.000 | 0.839 | 
| -0.000 | -0.000 | -0.000 | 0.000 | 133.108 | 0.000 | 
| -0.000 | -0.000 | -0.000 | 0.000 | 0.000 | 82.404 | 
| 381.734 | 79.090 | 128.236 | -0.000 | -0.000 | -0.000 | 
| -207.332 | 224.996 | 1.884 | 0.012 | -0.000 | -0.089 | 
| -33.819 | 144.597 | 235.469 | 0.025 | -0.000 | -0.180 | 
| -277.178 | -82.606 | -76.507 | 71.177 | -0.000 | -0.045 | 
| -157.291 | 27.531 | -20.916 | 0.025 | 83.307 | -0.177 | 
| 0.000 | 0.000 | 0.000 | -0.000 | -0.000 | 82.404 | 
| 474.218 | 26.579 | 143.023 | -0.012 | 0.000 | 0.088 | 
| 239.473 | 242.617 | 136.283 | -0.024 | 0.000 | 0.173 | 
| 280.316 | 89.562 | 280.357 | -0.024 | 0.000 | 0.174 | 
| 277.179 | 82.604 | 76.506 | 71.162 | 0.000 | 0.045 | 
| 157.291 | -27.531 | 20.916 | -0.025 | 83.307 | 0.177 | 
| 155.596 | -27.234 | 20.691 | -0.024 | 0.000 | 37.415 | 
| 224.603 | 41.043 | 85.906 | 0.001 | -0.000 | -0.009 | 
| -26.052 | 106.731 | 89.019 | -0.000 | -0.000 | 0.001 | 
| 69.330 | 68.366 | 221.822 | 0.001 | -0.000 | -0.010 | 
| 0.000 | 0.000 | 0.000 | 119.355 | -0.000 | -0.000 | 
| -26.338 | -5.938 | -7.262 | 0.000 | 63.570 | -0.004 | 
| -10.840 | 1.897 | -1.441 | 0.002 | -0.000 | 50.927 | 
| 262.451 | 38.808 | 95.536 | -0.001 | 0.000 | 0.010 | 
| 70.859 | 226.601 | 78.304 | -0.002 | 0.000 | 0.011 | 
| 84.467 | 61.359 | 214.816 | -0.001 | 0.000 | 0.007 | 
| -0.000 | -0.000 | -0.000 | 119.355 | 0.000 | 0.000 | 
| 26.320 | 5.937 | 7.256 | -0.000 | 63.612 | 0.004 | 
| 21.554 | -1.594 | 4.473 | -0.002 | 0.000 | 48.311 | 
| 269.032 | 79.571 | 115.525 | -0.000 | -0.000 | 0.000 | 
| 50.397 | 221.862 | 68.930 | -0.000 | -0.000 | 0.000 | 
| 115.893 | 107.667 | 249.259 | -0.000 | -0.000 | -0.000 | 
| 0.000 | 0.000 | -0.000 | 111.452 | 0.000 | -0.000 | 
| 0.000 | 0.000 | -0.000 | -0.000 | 126.033 | 0.000 | 
| -0.003 | -0.002 | 0.007 | -0.000 | -0.000 | 55.167 | 
| 269.019 | 79.580 | 115.503 | 0.000 | 0.000 | -0.000 | 
| 69.644 | 364.689 | 105.226 | 0.000 | -0.000 | -0.000 | 
| 120.200 | 105.226 | 325.450 | 0.000 | -0.000 | 0.000 | 
| 0.000 | -0.000 | 0.000 | 111.452 | 0.000 | -0.000 | 
| -0.000 | -0.000 | 0.000 | 0.000 | 126.033 | -0.000 | 
| 0.003 | 0.002 | -0.007 | 0.000 | 0.000 | 55.167 | 
| 269.046 | 79.573 | 115.516 | -0.000 | -0.000 | 0.000 | 
| 78.918 | 268.148 | 107.712 | -0.000 | -0.000 | 0.000 | 
| 87.056 | 65.058 | 209.321 | -0.000 | -0.000 | 0.000 | 
| -0.000 | -0.000 | 0.001 | 77.175 | -0.000 | 0.000 | 
| -0.000 | -0.000 | 0.001 | -0.000 | 86.727 | 0.000 | 
| -0.000 | -0.000 | 0.001 | -0.000 | -0.000 | 55.167 | 
| 269.025 | 79.576 | 115.513 | 0.000 | 0.000 | -0.000 | 
| 78.918 | 268.153 | 107.710 | 0.000 | 0.000 | -0.000 | 
| 115.897 | 107.670 | 249.250 | 0.000 | 0.000 | -0.000 | 
| 0.000 | 0.000 | -0.001 | 77.175 | 0.000 | 0.000 | 
| 0.000 | 0.000 | -0.001 | -0.000 | 86.727 | -0.000 | 
| 0.000 | 0.000 | -0.001 | 0.000 | 0.000 | 55.167 | 
| 269.221 | 79.551 | 115.526 | -0.000 | -0.000 | 0.000 | 
| 10.204 | 139.277 | 94.904 | -0.000 | -0.000 | 0.000 | 
| 87.055 | 65.060 | 209.307 | -0.000 | -0.000 | 0.000 | 
| -0.000 | -0.000 | 0.000 | 73.090 | -0.000 | 0.000 | 
| -0.000 | -0.000 | 0.000 | -0.000 | 75.797 | 0.000 | 
| 0.000 | 0.000 | 0.000 | -0.000 | -0.000 | 75.327 | 
| 269.032 | 79.574 | 115.514 | 0.000 | 0.000 | -0.000 | 
| 50.371 | 221.840 | 68.882 | 0.000 | 0.000 | 0.000 | 
| 87.057 | 65.060 | 209.337 | 0.000 | 0.000 | -0.000 | 
| 0.000 | 0.000 | -0.000 | 73.090 | 0.000 | -0.000 | 
| 0.000 | 0.000 | -0.000 | 0.000 | 75.797 | -0.000 | 
| -0.000 | -0.000 | -0.000 | 0.000 | -0.000 | 75.327 | 
| 348.263 | 89.723 | 99.282 | 0.000 | -0.000 | -0.000 | 
| 89.723 | 348.263 | 99.282 | 0.000 | 0.000 | -0.000 | 
| 98.724 | 98.724 | 330.856 | 0.000 | 0.000 | 0.000 | 
| -557.580 | -557.668 | -1575.235 | 124.198 | 0.247 | -0.103 | 
| -557.590 | -557.678 | -1575.226 | 0.269 | 124.178 | -0.103 | 
| 442.492 | 442.628 | -2333.535 | -0.415 | -0.514 | -4.729 | 
| 348.262 | 89.723 | 99.282 | 0.000 | -0.000 | 0.000 | 
| 89.723 | 348.262 | 99.282 | -0.000 | 0.000 | 0.000 | 
| 98.724 | 98.724 | 330.856 | -0.000 | 0.000 | -0.000 | 
| 557.682 | 557.770 | 1575.119 | 123.679 | -0.247 | 0.103 | 
| 557.672 | 557.760 | 1575.128 | -0.269 | 123.699 | 0.103 | 
| -442.490 | -442.626 | 2333.523 | 0.415 | 0.514 | -4.912 | 
| 103.111 | -26.849 | -116.912 | -0.011 | -0.007 | 0.006 | 
| -26.852 | 103.114 | -116.912 | -0.011 | -0.007 | 0.006 | 
| 128.787 | 128.798 | -42.567 | -0.034 | -0.042 | 0.008 | 
| 0.000 | 0.000 | 0.000 | 101.319 | -0.000 | 0.000 | 
| -76.596 | -76.592 | -163.719 | -0.013 | 42.297 | 0.006 | 
| -28.825 | -28.828 | -186.799 | 0.008 | 0.003 | 83.247 | 
| 246.817 | 137.998 | 207.278 | 0.014 | 0.012 | -0.006 | 
| 138.000 | 246.816 | 207.277 | 0.014 | 0.012 | -0.006 | 
| 98.724 | 98.724 | 330.856 | 0.000 | 0.000 | 0.000 | 
| -0.000 | -0.000 | -0.000 | 101.319 | 0.000 | 0.000 | 
| -0.000 | -0.000 | -0.000 | -0.000 | 101.319 | 0.000 | 
| 28.813 | 28.815 | 186.812 | -0.008 | -0.003 | 83.240 | 
| 348.264 | 89.723 | 99.283 | 0.000 | -0.000 | -0.000 | 
| 89.723 | 348.264 | 99.283 | 0.000 | 0.000 | -0.000 | 
| 18.107 | 18.108 | 135.458 | -0.001 | -0.001 | 0.000 | 
| 1.351 | 1.351 | -7.124 | 59.284 | -0.002 | 0.000 | 
| 1.351 | 1.351 | -7.124 | -0.001 | 59.283 | 0.000 | 
| 1.369 | 1.369 | -7.219 | -0.001 | -0.002 | 62.623 | 
| 216.841 | 69.313 | 83.745 | 0.001 | 0.001 | 0.000 | 
| 69.314 | 216.840 | 83.745 | 0.001 | 0.001 | 0.000 | 
| 43.690 | 43.690 | 195.157 | 0.001 | 0.001 | -0.000 | 
| -1.351 | -1.351 | 7.124 | 59.284 | 0.002 | -0.000 | 
| -1.351 | -1.351 | 7.124 | 0.001 | 59.285 | -0.000 | 
| -1.369 | -1.369 | 7.219 | 0.001 | 0.002 | 62.623 | 
| 327.733 | 53.860 | 97.275 | 0.000 | 0.000 | -0.000 | 
| 53.860 | 327.733 | 97.275 | 0.000 | 0.000 | -0.000 | 
| 97.275 | 97.275 | 306.663 | 0.000 | 0.000 | -0.000 | 
| 0.000 | 0.000 | 0.000 | 102.410 | 0.000 | 0.000 | 
| 0.000 | -0.000 | 0.000 | 0.000 | 102.410 | -0.000 | 
| -1.025 | -1.025 | -0.139 | 0.000 | 0.000 | 43.469 | 
| 227.410 | 58.356 | 94.312 | -0.000 | -0.000 | 0.000 | 
| 58.356 | 227.410 | 94.312 | -0.000 | -0.000 | 0.000 | 
| 97.275 | 97.275 | 306.663 | -0.000 | -0.000 | -0.000 | 
| -0.000 | -0.000 | -0.000 | 102.410 | -0.000 | -0.000 | 
| -0.000 | 0.000 | -0.000 | -0.000 | 102.410 | 0.000 | 
| 1.025 | 1.025 | 0.139 | -0.000 | -0.000 | 43.469 | 
| 106.683 | 16.519 | 104.787 | 0.000 | 0.000 | 0.000 | 
| 16.517 | 106.679 | 104.786 | 0.000 | 0.000 | 0.000 | 
| 83.208 | 83.208 | 243.952 | 0.000 | 0.000 | 0.000 | 
| 0.000 | 0.000 | 0.000 | 102.410 | 0.000 | -0.000 | 
| 0.000 | 0.000 | 0.000 | 0.000 | 102.410 | 0.000 | 
| -0.102 | -0.102 | -0.014 | 0.000 | 0.000 | 43.553 | 
| 224.569 | 56.099 | 93.986 | -0.000 | -0.000 | 0.000 | 
| 56.099 | 224.569 | 93.986 | -0.000 | -0.000 | 0.000 | 
| 97.275 | 97.275 | 306.663 | -0.000 | -0.000 | -0.000 | 
| -0.000 | -0.000 | -0.000 | 102.410 | -0.000 | -0.000 | 
| -0.000 | -0.000 | -0.000 | -0.000 | 102.410 | -0.000 | 
| 0.102 | 0.102 | 0.014 | -0.000 | -0.000 | 43.553 | 
| 224.221 | 55.821 | 93.946 | 0.000 | 0.000 | -0.000 | 
| 55.821 | 224.221 | 93.946 | 0.000 | 0.000 | -0.000 | 
| 95.138 | 95.138 | 253.875 | 0.000 | 0.000 | -0.000 | 
| -0.011 | -0.011 | -0.001 | 71.903 | 0.000 | -0.000 | 
| -0.026 | -0.026 | -0.007 | 0.000 | 66.033 | -0.000 | 
| -0.010 | -0.010 | -0.001 | 0.000 | 0.000 | 43.554 | 
| 183.512 | 6.418 | 81.337 | -0.000 | -0.000 | 0.000 | 
| 6.418 | 183.512 | 81.337 | -0.000 | -0.000 | 0.000 | 
| 95.169 | 95.169 | 253.872 | -0.000 | -0.000 | 0.000 | 
| 0.011 | 0.011 | 0.001 | 71.903 | -0.000 | 0.000 | 
| 0.026 | 0.026 | 0.007 | -0.000 | 66.033 | -0.000 | 
| -0.000 | 0.000 | -0.000 | -0.000 | -0.000 | 59.072 | 
| 202.998 | 19.721 | 69.928 | 0.038 | -0.009 | 0.003 | 
| 19.721 | 202.998 | 69.928 | 0.038 | -0.009 | 0.003 | 
| 88.604 | 88.604 | 210.245 | 0.041 | -0.008 | 0.003 | 
| 0.825 | 0.825 | -23.135 | 56.073 | -0.013 | 0.002 | 
| 0.825 | 0.825 | -23.136 | 0.023 | 56.028 | 0.002 | 
| 0.000 | 0.000 | 0.000 | -0.000 | 0.000 | 59.978 | 
| 107.744 | -50.298 | 108.394 | -0.050 | 0.006 | -0.003 | 
| -50.298 | 107.745 | 108.394 | -0.050 | 0.006 | -0.003 | 
| 102.194 | 102.194 | 288.405 | -0.045 | 0.015 | -0.004 | 
| -0.825 | -0.825 | 23.139 | 56.005 | 0.013 | -0.002 | 
| -0.825 | -0.825 | 23.139 | -0.023 | 56.049 | -0.002 | 
| -0.000 | -0.000 | -0.000 | 0.000 | -0.000 | 59.978 | 
| 234.199 | 60.949 | 99.596 | 0.010 | -0.003 | 0.001 | 
| 60.949 | 234.199 | 99.596 | 0.010 | -0.003 | 0.001 | 
| 103.641 | 103.641 | 321.699 | -0.000 | -0.000 | -0.000 | 
| -0.015 | -0.015 | -0.728 | 71.993 | -0.001 | 0.000 | 
| -0.015 | -0.014 | -0.728 | 0.004 | 71.990 | 0.000 | 
| -0.014 | -0.014 | -0.684 | 0.004 | -0.001 | 43.639 | 
| 339.520 | 56.548 | 104.813 | 0.000 | 0.000 | 0.000 | 
| 56.548 | 339.520 | 104.813 | 0.000 | -0.000 | 0.000 | 
| 103.641 | 103.641 | 321.699 | 0.000 | -0.000 | 0.000 | 
| 0.014 | 0.014 | 0.728 | 71.989 | 0.001 | -0.000 | 
| 0.015 | 0.014 | 0.728 | -0.004 | 71.992 | -0.000 | 
| 0.014 | 0.014 | 0.684 | -0.004 | 0.001 | 43.638 | 
| 89.305 | 42.425 | 120.191 | 0.003 | 0.001 | -0.000 | 
| 40.888 | 89.639 | 119.694 | -0.001 | -0.001 | 0.000 | 
| 117.556 | 117.556 | 243.733 | -0.000 | -0.000 | 0.000 | 
| 0.004 | 0.004 | -0.159 | 65.521 | -0.000 | 0.000 | 
| 0.004 | 0.004 | -0.159 | 0.000 | 65.520 | 0.000 | 
| 0.000 | -0.000 | 0.000 | -0.000 | -0.000 | 59.978 | 
| 91.457 | 32.979 | 114.458 | -0.003 | 0.000 | -0.000 | 
| 32.979 | 91.457 | 114.458 | -0.003 | 0.000 | -0.000 | 
| 101.399 | 101.399 | 264.172 | -0.001 | 0.000 | -0.000 | 
| -0.004 | -0.004 | 0.159 | 65.520 | 0.000 | -0.000 | 
| -0.004 | -0.004 | 0.159 | -0.000 | 65.521 | -0.000 | 
| -0.000 | 0.000 | -0.000 | 0.000 | -0.000 | 59.978 | 
| 323.071 | 184.186 | 117.734 | 0.000 | -0.000 | 0.000 | 
| 86.305 | 366.641 | 129.042 | 0.000 | -0.000 | 0.000 | 
| 86.188 | 127.738 | 413.163 | 0.000 | -0.000 | 0.000 | 
| 6.715 | 43.514 | -15.319 | 47.531 | 0.000 | 0.000 | 
| 0.000 | 0.000 | 0.000 | 0.000 | 91.529 | -0.000 | 
| 0.000 | 0.000 | 0.000 | 0.000 | -0.000 | 93.050 | 
| 424.485 | 86.506 | 87.693 | -0.000 | 0.000 | 0.000 | 
| 123.552 | 180.224 | 159.386 | -0.000 | 0.000 | -0.000 | 
| 123.751 | 89.873 | 293.468 | -0.000 | 0.000 | -0.000 | 
| -6.715 | -43.514 | 15.319 | 47.531 | 0.000 | -0.000 | 
| -0.000 | -0.000 | -0.000 | -0.000 | 91.529 | -0.000 | 
| -0.000 | -0.000 | 0.000 | -0.000 | -0.000 | 93.050 | 
| 351.569 | 113.722 | 104.874 | 0.000 | -0.000 | -0.000 | 
| 86.306 | 366.642 | 129.042 | 0.000 | 0.000 | -0.000 | 
| 86.189 | 127.738 | 413.163 | 0.000 | 0.000 | -0.000 | 
| 0.301 | 1.954 | -0.688 | 94.154 | -0.000 | 0.000 | 
| 0.000 | 0.000 | 0.000 | 0.000 | 91.529 | -0.000 | 
| 0.458 | 2.969 | -1.045 | 0.000 | 0.000 | 70.670 | 
| 424.484 | 86.506 | 87.693 | -0.000 | 0.000 | 0.000 | 
| 86.305 | 366.641 | 129.042 | -0.000 | 0.000 | -0.000 | 
| 86.188 | 127.738 | 413.162 | -0.000 | -0.000 | -0.000 | 
| -0.301 | -1.954 | 0.688 | 94.154 | 0.000 | 0.000 | 
| -0.000 | -0.000 | -0.000 | -0.000 | 91.529 | -0.000 | 
| -0.458 | -2.969 | 1.045 | -0.000 | -0.000 | 70.670 | 
| 424.487 | 86.506 | 87.693 | 0.000 | -0.000 | -0.000 | 
| 111.975 | 291.439 | 135.595 | 0.000 | 0.000 | 0.000 | 
| 112.008 | 134.255 | 334.825 | 0.000 | -0.000 | 0.000 | 
| 0.029 | 0.191 | -0.067 | 95.087 | 0.000 | 0.000 | 
| 0.042 | 0.272 | -0.096 | 0.000 | 70.905 | 0.000 | 
| 0.044 | 0.282 | -0.099 | 0.000 | 0.000 | 71.761 | 
| 350.139 | 104.742 | 103.216 | -0.000 | -0.000 | 0.000 | 
| 112.145 | 290.063 | 135.873 | -0.000 | -0.000 | -0.000 | 
| 115.622 | 119.107 | 316.158 | -0.000 | 0.000 | -0.000 | 
| -0.029 | -0.191 | 0.067 | 95.087 | -0.000 | -0.000 | 
| -0.042 | -0.272 | 0.096 | -0.000 | 70.905 | -0.000 | 
| -0.044 | -0.282 | 0.099 | -0.000 | 0.000 | 71.761 | 
| 440.575 | -212.383 | 837.906 | 0.000 | 0.000 | -0.000 | 
| 78.411 | 295.215 | 106.639 | -0.000 | 0.000 | -0.000 | 
| 4664.281 | 809.684 | 5907.758 | 0.000 | -0.000 | 0.000 | 
| -0.000 | -0.000 | 0.000 | 109.448 | 0.000 | -0.000 | 
| 206.065 | -297.325 | 766.410 | 0.000 | 36.998 | -0.000 | 
| -0.000 | -0.000 | 0.000 | -0.000 | -0.000 | 82.344 | 
| 325.197 | 78.413 | 72.333 | 0.000 | -0.000 | 0.000 | 
| 78.411 | 295.215 | 106.639 | -0.000 | 0.000 | -0.000 | 
| -1006.824 | -1235.180 | -1847.309 | 0.000 | -0.000 | 0.000 | 
| 0.000 | 0.000 | -0.000 | 109.448 | -0.000 | 0.000 | 
| -206.065 | 297.325 | -766.410 | -0.000 | 36.998 | -0.000 | 
| 0.000 | 0.000 | -0.000 | 0.000 | 0.000 | 82.345 | 
| 258.051 | 55.009 | 148.137 | -0.000 | 0.000 | 0.000 | 
| 78.411 | 295.215 | 106.639 | -0.000 | 0.000 | -0.000 | 
| 293.477 | 229.834 | 576.021 | -0.000 | 0.000 | -0.000 | 
| 0.000 | 0.000 | 0.000 | 109.448 | -0.000 | -0.000 | 
| 0.000 | 0.000 | 0.000 | -0.000 | 74.987 | -0.000 | 
| 20.334 | -29.339 | 75.628 | -0.000 | 0.000 | 48.157 | 
| 210.341 | 114.866 | -5.000 | -0.000 | -0.000 | 0.000 | 
| 78.411 | 295.215 | 106.639 | 0.000 | -0.000 | -0.000 | 
| 71.994 | 106.302 | 297.783 | 0.000 | -0.000 | 0.000 | 
| -0.000 | -0.000 | -0.000 | 109.448 | -0.000 | 0.000 | 
| -0.000 | -0.000 | -0.000 | -0.000 | 74.987 | 0.000 | 
| -20.334 | 29.339 | -75.628 | 0.000 | -0.000 | 48.157 | 
| 241.056 | 80.780 | 81.547 | 0.000 | -0.000 | -0.000 | 
| 84.150 | 225.118 | 118.446 | 0.000 | 0.000 | -0.000 | 
| 34.711 | 49.408 | 163.521 | 0.000 | 0.000 | -0.000 | 
| 41.218 | -4.451 | 52.810 | 7.181 | -0.000 | -0.000 | 
| 21.010 | 15.552 | 34.581 | -0.000 | 34.536 | -0.000 | 
| 1.510 | -2.178 | 5.615 | 0.000 | 0.000 | 56.961 | 
| 166.274 | 42.757 | 26.249 | 0.000 | 0.000 | -0.000 | 
| 81.772 | 210.172 | 106.771 | 0.000 | -0.000 | 0.000 | 
| -15.274 | 43.849 | 59.660 | -0.000 | -0.000 | 0.000 | 
| -41.218 | 4.451 | -52.810 | 7.181 | 0.000 | 0.000 | 
| -21.010 | -15.552 | -34.581 | -0.000 | 34.536 | 0.000 | 
| -1.510 | 2.178 | -5.615 | -0.000 | 0.000 | 56.961 | 
| 310.904 | 74.851 | 69.618 | 0.000 | 0.000 | 0.000 | 
| 74.851 | 283.344 | 100.924 | 0.000 | -0.000 | -0.000 | 
| 69.618 | 100.924 | 287.075 | 0.000 | 0.000 | 0.000 | 
| 0.001 | -0.001 | 0.000 | 71.837 | -0.000 | 0.000 | 
| 0.000 | -0.001 | 0.000 | 0.000 | 50.898 | 0.000 | 
| -0.000 | -0.000 | -0.000 | 0.000 | -0.000 | 80.327 | 
| 310.904 | 74.851 | 69.618 | -0.000 | -0.000 | -0.000 | 
| 56.844 | 181.294 | 68.927 | -0.000 | -0.000 | -0.000 | 
| 71.339 | 106.274 | 216.204 | -0.000 | -0.000 | -0.000 | 
| -0.001 | 0.001 | -0.000 | 71.837 | -0.000 | 0.000 | 
| -0.000 | 0.001 | -0.000 | -0.000 | 50.898 | -0.000 | 
| -0.000 | 0.000 | 0.000 | -0.000 | -0.000 | 80.327 | 
| 223.336 | 79.800 | 71.697 | 0.000 | -0.000 | 0.000 | 
| 74.851 | 283.344 | 100.924 | 0.000 | -0.000 | 0.000 | 
| 71.340 | 106.273 | 216.203 | 0.000 | 0.000 | 0.000 | 
| 0.000 | -0.000 | 0.000 | 59.867 | 0.000 | 0.000 | 
| 0.000 | 0.000 | 0.000 | 0.000 | 74.586 | 0.000 | 
| 0.000 | -0.000 | 0.000 | 0.000 | -0.000 | 54.135 | 
| 180.853 | 53.147 | 45.967 | 0.000 | -0.000 | -0.000 | 
| 74.851 | 283.343 | 100.924 | 0.000 | 0.000 | -0.000 | 
| 71.340 | 106.273 | 216.205 | -0.000 | -0.000 | -0.000 | 
| -0.000 | 0.000 | -0.000 | 59.867 | 0.000 | -0.000 | 
| -0.000 | -0.000 | -0.000 | -0.000 | 74.586 | -0.000 | 
| -0.000 | 0.000 | -0.000 | -0.000 | -0.000 | 54.135 | 
| 139.857 | 41.532 | 19.922 | 0.000 | 0.000 | 0.000 | 
| 40.977 | 170.289 | 59.329 | 0.000 | 0.000 | 0.000 | 
| 69.618 | 100.924 | 287.077 | 0.000 | 0.000 | -0.000 | 
| 0.000 | 0.000 | 0.000 | 106.103 | -0.000 | 0.000 | 
| 0.000 | -0.000 | -0.000 | 0.000 | 45.565 | 0.000 | 
| -0.000 | -0.000 | 0.000 | 0.000 | 0.000 | 58.916 | 
| 180.869 | 53.148 | 45.967 | -0.000 | 0.000 | -0.000 | 
| 56.845 | 181.309 | 68.928 | 0.000 | 0.000 | -0.000 | 
| 49.012 | 68.269 | 182.098 | -0.000 | 0.000 | -0.000 | 
| -0.000 | 0.000 | 0.000 | 71.837 | -0.000 | -0.000 | 
| -0.000 | 0.000 | 0.000 | -0.000 | 45.565 | -0.000 | 
| -0.000 | -0.000 | -0.000 | -0.000 | 0.000 | 80.327 | 
| 1285.660 | 1127.223 | 1127.223 | 0.000 | -0.000 | -0.000 | 
| 1127.223 | 1285.660 | 1127.223 | 0.000 | -0.000 | -0.000 | 
| 1127.223 | 1127.223 | 1285.660 | 0.000 | -0.000 | -0.000 | 
| 1032.514 | 1032.514 | 1032.514 | 56.159 | 0.000 | -0.000 | 
| 1032.514 | 1032.514 | 1032.514 | -0.000 | 56.159 | -0.000 | 
| 1032.514 | 1032.514 | 1032.514 | 0.000 | -0.000 | 56.159 | 
| 319.067 | 93.368 | 93.368 | 0.000 | 0.000 | 0.000 | 
| 93.368 | 319.067 | 93.368 | -0.000 | 0.000 | 0.000 | 
| 93.368 | 93.368 | 319.067 | 0.000 | -0.000 | 0.000 | 
| -1032.514 | -1032.514 | -1032.514 | 56.159 | 0.000 | 0.000 | 
| -1032.514 | -1032.514 | -1032.514 | -0.000 | 56.159 | 0.000 | 
| -1032.514 | -1032.514 | -1032.514 | -0.000 | 0.000 | 56.159 | 
| 407.546 | 297.567 | 297.567 | 0.000 | -0.000 | -0.000 | 
| 297.567 | 407.546 | 297.567 | 0.000 | 0.000 | 0.000 | 
| 297.567 | 297.567 | 407.546 | 0.000 | -0.000 | -0.000 | 
| 0.000 | 0.000 | 0.000 | 95.679 | -0.000 | -0.000 | 
| 0.000 | 0.000 | 0.000 | 0.000 | 95.679 | -0.000 | 
| 0.000 | 0.000 | 0.000 | 0.000 | -0.000 | 95.679 | 
| 319.067 | 93.368 | 93.368 | -0.000 | 0.000 | 0.000 | 
| 93.368 | 319.067 | 93.368 | -0.000 | 0.000 | 0.000 | 
| 93.368 | 93.368 | 319.067 | -0.000 | 0.000 | 0.000 | 
| -0.000 | -0.000 | -0.000 | 95.679 | 0.000 | 0.000 | 
| -0.000 | -0.000 | -0.000 | -0.000 | 95.679 | 0.000 | 
| -0.000 | -0.000 | -0.000 | -0.000 | 0.000 | 95.679 | 
| 264.652 | 113.332 | 113.332 | 0.000 | 0.000 | -0.000 | 
| 113.332 | 264.652 | 113.332 | -0.000 | -0.000 | -0.000 | 
| 113.332 | 113.332 | 264.652 | 0.000 | -0.000 | -0.000 | 
| 16.231 | 16.231 | 16.231 | 62.062 | 0.000 | 0.000 | 
| 16.231 | 16.231 | 16.231 | 0.000 | 62.062 | -0.000 | 
| 16.231 | 16.231 | 16.231 | 0.000 | -0.000 | 62.062 | 
| 201.427 | 75.705 | 75.705 | -0.000 | -0.000 | 0.000 | 
| 75.705 | 201.427 | 75.705 | -0.000 | 0.000 | 0.000 | 
| 75.705 | 75.705 | 201.427 | -0.000 | -0.000 | 0.000 | 
| -16.231 | -16.231 | -16.231 | 62.062 | -0.000 | 0.000 | 
| -16.231 | -16.231 | -16.231 | -0.000 | 62.062 | 0.000 | 
| -16.231 | -16.231 | -16.231 | -0.000 | -0.000 | 62.062 | 
| 261.455 | 93.818 | 93.818 | -0.000 | -0.000 | 0.000 | 
| 93.818 | 261.455 | 93.818 | -0.000 | -0.000 | 0.000 | 
| 93.818 | 93.818 | 261.455 | -0.000 | 0.000 | -0.000 | 
| -0.000 | -0.000 | 0.000 | 92.140 | -0.000 | 0.000 | 
| -0.000 | -0.000 | 0.000 | -0.000 | 92.140 | 0.000 | 
| -0.000 | 0.000 | 0.000 | 0.000 | -0.000 | 92.140 | 
| 263.225 | 90.519 | 90.518 | 0.000 | 0.000 | 0.000 | 
| 90.519 | 263.226 | 90.518 | 0.000 | 0.000 | 0.000 | 
| 90.519 | 90.519 | 263.225 | 0.000 | -0.000 | -0.000 | 
| 0.000 | -0.000 | -0.000 | 92.140 | 0.000 | -0.000 | 
| 0.000 | 0.000 | -0.000 | 0.000 | 92.140 | 0.000 | 
| 0.000 | -0.000 | -0.000 | 0.000 | 0.000 | 92.140 | 
| 235.795 | 95.478 | 95.478 | 0.000 | -0.000 | 0.000 | 
| 95.478 | 235.795 | 95.478 | -0.000 | 0.000 | -0.000 | 
| 95.478 | 95.478 | 235.795 | -0.000 | 0.000 | -0.000 | 
| 0.000 | 0.000 | 0.000 | 92.140 | -0.000 | -0.000 | 
| 0.000 | 0.000 | 0.000 | 0.000 | 92.140 | -0.000 | 
| 0.000 | 0.000 | 0.000 | -0.000 | -0.000 | 92.140 | 
| 237.673 | 94.763 | 94.763 | 0.000 | 0.000 | 0.000 | 
| 94.763 | 237.673 | 94.763 | 0.000 | -0.000 | 0.000 | 
| 94.763 | 94.763 | 237.673 | -0.000 | 0.000 | 0.000 | 
| -0.000 | -0.000 | -0.000 | 92.140 | 0.000 | 0.000 | 
| 0.000 | -0.000 | -0.000 | 0.000 | 92.140 | 0.000 | 
| -0.000 | -0.000 | -0.000 | -0.000 | 0.000 | 92.140 | 
| 305.263 | 87.009 | 87.009 | -0.000 | -0.000 | 0.000 | 
| 87.009 | 305.263 | 87.009 | -0.000 | -0.000 | -0.000 | 
| 87.009 | 87.009 | 305.263 | -0.000 | -0.000 | 0.000 | 
| 0.012 | 0.012 | 0.012 | 68.918 | -0.000 | -0.000 | 
| 0.012 | 0.012 | 0.012 | -0.000 | 68.918 | 0.000 | 
| 0.012 | 0.012 | 0.012 | -0.000 | -0.000 | 68.918 | 
| 212.422 | 90.587 | 90.587 | 0.000 | -0.000 | -0.000 | 
| 90.587 | 212.422 | 90.587 | 0.000 | 0.000 | -0.000 | 
| 90.587 | 90.587 | 212.422 | 0.000 | -0.000 | -0.000 | 
| -0.012 | -0.012 | -0.012 | 68.918 | 0.000 | 0.000 | 
| -0.012 | -0.012 | -0.012 | 0.000 | 68.918 | -0.000 | 
| -0.012 | -0.012 | -0.012 | 0.000 | 0.000 | 68.918 | 
| 328.455 | 3028.059 | 942.040 | 0.000 | 0.000 | 0.000 | 
| 209.370 | 3166.813 | 943.820 | 0.000 | 0.000 | 0.000 | 
| -1053.937 | 3016.045 | -643.656 | 0.000 | 0.000 | -0.000 | 
| -1178.702 | 2925.178 | -846.181 | 53.142 | 0.000 | -0.000 | 
| 0.000 | 0.000 | -0.000 | -0.000 | 132.242 | -0.000 | 
| -0.000 | 0.000 | -0.000 | 0.000 | 0.000 | 105.426 | 
| -6.857 | -4732.739 | -3932.388 | 0.000 | -0.000 | -0.000 | 
| -140.185 | -4677.564 | -2990.793 | -0.000 | -0.000 | 0.000 | 
| -58.786 | -4714.772 | -3871.706 | -0.000 | -0.000 | 0.000 | 
| 1178.702 | -2925.178 | 846.181 | 53.142 | -0.000 | 0.000 | 
| 0.000 | -0.000 | -0.000 | -0.000 | 132.242 | 0.000 | 
| 0.000 | -0.000 | -0.000 | -0.000 | -0.000 | 105.426 | 
| 152.175 | 496.027 | 337.580 | -0.000 | 0.000 | -0.000 | 
| 101.273 | 334.436 | 100.424 | -0.000 | 0.000 | -0.000 | 
| 61.809 | 504.238 | 501.037 | -0.000 | 0.000 | -0.000 | 
| 11.397 | 474.528 | 397.901 | 37.740 | 0.000 | 0.000 | 
| 10.832 | 475.110 | 397.397 | 0.000 | 63.592 | 0.000 | 
| 15.846 | 482.546 | 301.492 | -0.000 | 0.000 | 48.361 | 
| 311.708 | -204.732 | 207.284 | -0.000 | -0.000 | -0.000 | 
| 213.145 | -73.857 | 184.616 | -0.000 | -0.000 | -0.000 | 
| 128.918 | 99.783 | 303.181 | -0.000 | -0.000 | -0.000 | 
| -11.397 | -474.528 | -397.901 | 37.740 | -0.000 | -0.000 | 
| -10.832 | -475.110 | -397.397 | -0.000 | 63.592 | -0.000 | 
| -15.846 | -482.546 | -301.492 | -0.000 | -0.000 | 48.361 | 
| 151.589 | 74.951 | 77.150 | 0.000 | 0.000 | 0.000 | 
| 27.386 | 178.867 | 52.516 | 0.000 | 0.000 | -0.000 | 
| 81.699 | 92.074 | 194.738 | -0.000 | 0.000 | -0.000 | 
| -1.669 | 31.458 | 5.071 | 61.048 | -0.000 | -0.000 | 
| -1.019 | 30.012 | 5.577 | 0.000 | 80.479 | 0.000 | 
| 2.103 | 48.593 | 30.134 | 0.000 | 0.000 | 48.489 | 
| 178.940 | 16.862 | 65.633 | 0.000 | -0.000 | -0.000 | 
| 108.551 | 204.843 | 108.961 | -0.000 | 0.000 | 0.000 | 
| 128.918 | 99.783 | 303.180 | 0.000 | -0.000 | 0.000 | 
| 1.669 | -31.458 | -5.071 | 61.048 | 0.000 | -0.000 | 
| 1.019 | -30.012 | -5.577 | 0.000 | 80.479 | -0.000 | 
| -2.103 | -48.593 | -30.134 | -0.000 | -0.000 | 48.489 | 
| 284.846 | 89.534 | 119.186 | -0.000 | 0.000 | -0.000 | 
| 88.541 | 215.631 | 93.480 | 0.000 | -0.000 | -0.000 | 
| 119.186 | 93.000 | 280.446 | -0.000 | 0.000 | 0.000 | 
| -0.000 | 0.000 | -0.000 | 98.895 | 0.000 | 0.000 | 
| 0.000 | -0.000 | 0.000 | -0.000 | 125.250 | 0.000 | 
| 0.001 | -0.002 | -0.006 | 0.000 | -0.000 | 53.722 | 
| 284.846 | 89.534 | 119.186 | 0.000 | -0.000 | -0.000 | 
| 88.535 | 215.634 | 93.489 | 0.000 | 0.000 | 0.000 | 
| 109.881 | 93.508 | 206.239 | -0.000 | 0.000 | 0.000 | 
| 0.000 | -0.000 | 0.000 | 98.895 | -0.000 | 0.000 | 
| -0.000 | -0.000 | -0.000 | -0.000 | 125.250 | -0.000 | 
| -0.001 | 0.002 | 0.006 | -0.000 | 0.000 | 53.722 | 
| 208.595 | 88.510 | 110.050 | 0.000 | -0.000 | -0.000 | 
| 48.974 | 172.106 | 55.202 | 0.000 | -0.000 | -0.000 | 
| 119.186 | 93.000 | 280.446 | -0.000 | -0.000 | 0.000 | 
| 0.000 | -0.000 | -0.000 | 69.791 | -0.000 | -0.000 | 
| 0.000 | -0.000 | -0.000 | -0.000 | 89.916 | -0.000 | 
| 0.000 | -0.000 | -0.000 | 0.000 | -0.000 | 63.430 | 
| 284.846 | 89.534 | 119.186 | 0.000 | 0.000 | -0.000 | 
| 89.534 | 309.276 | 93.000 | -0.000 | -0.000 | 0.000 | 
| 119.186 | 93.000 | 280.446 | -0.000 | -0.000 | -0.000 | 
| -0.000 | 0.000 | 0.000 | 69.791 | 0.000 | 0.000 | 
| -0.000 | -0.000 | -0.000 | 0.000 | 125.250 | -0.000 | 
| -0.000 | 0.000 | 0.000 | -0.000 | 0.000 | 63.430 | 
| 173.310 | 50.150 | 71.292 | -0.000 | -0.000 | -0.000 | 
| 88.539 | 215.701 | 93.485 | -0.000 | -0.000 | -0.000 | 
| 71.991 | 57.048 | 172.173 | 0.000 | -0.000 | -0.000 | 
| 0.000 | 0.000 | 0.000 | 98.895 | -0.000 | 0.000 | 
| -0.000 | 0.000 | -0.000 | 0.000 | 89.916 | -0.000 | 
| 0.000 | 0.000 | 0.000 | -0.000 | 0.000 | 95.558 | 
| 284.845 | 89.534 | 119.185 | 0.000 | 0.000 | 0.000 | 
| 48.970 | 172.117 | 55.199 | -0.000 | 0.000 | 0.000 | 
| 61.632 | 44.463 | 160.738 | 0.000 | 0.000 | -0.000 | 
| -0.000 | -0.000 | -0.000 | 98.895 | 0.000 | -0.000 | 
| 0.000 | -0.000 | 0.000 | 0.000 | 89.916 | 0.000 | 
| -0.000 | -0.000 | -0.000 | 0.000 | 0.000 | 95.558 | 
| 506.918 | -34.196 | 82.698 | -0.000 | 0.000 | -0.001 | 
| 170.731 | 386.845 | 89.493 | -0.000 | -0.000 | -0.000 | 
| 124.589 | 91.158 | 447.495 | -0.000 | 0.000 | -0.000 | 
| 128.827 | -188.566 | -45.998 | 38.879 | 0.000 | -0.001 | 
| 128.954 | -188.753 | -46.044 | 0.000 | 91.938 | -0.001 | 
| 128.999 | -188.819 | -46.060 | 0.000 | -0.000 | 117.204 | 
| -551.958 | -1314.532 | 103.936 | -0.000 | 0.000 | -0.000 | 
| 20.283 | 497.294 | 135.048 | -0.000 | -0.000 | 0.001 | 
| 0.716 | 277.661 | 404.801 | -0.000 | 0.000 | 0.001 | 
| -128.827 | 188.566 | 45.998 | 38.879 | -0.000 | 0.001 | 
| -0.000 | -0.000 | -0.000 | 0.000 | 126.616 | -0.000 | 
| -128.999 | 188.819 | 46.060 | 0.000 | -0.000 | 117.207 | 
| 334.837 | 129.431 | 107.345 | -0.000 | 0.000 | -0.000 | 
| 81.829 | 122.917 | -16.312 | -0.000 | -0.000 | -0.000 | 
| 144.474 | 67.887 | 342.636 | -0.000 | -0.000 | -0.000 | 
| 149.685 | 123.014 | 38.868 | 33.987 | 0.000 | -0.000 | 
| 13.261 | -19.410 | -4.735 | -0.000 | 90.956 | -0.000 | 
| 0.000 | 0.000 | 0.000 | -0.000 | 0.000 | 171.408 | 
| 132.019 | -99.802 | 70.112 | 0.000 | 0.000 | 0.000 | 
| 170.731 | 386.845 | 89.493 | 0.000 | -0.000 | 0.000 | 
| 90.312 | -10.465 | 251.786 | 0.000 | -0.000 | 0.000 | 
| -149.685 | -123.014 | -38.868 | 33.987 | 0.000 | 0.000 | 
| -13.261 | 19.410 | 4.735 | 0.000 | 90.956 | 0.000 | 
| -0.000 | -0.000 | -0.000 | 0.000 | -0.000 | 171.408 | 
| 289.936 | 48.440 | 86.142 | -0.000 | 0.000 | -0.000 | 
| 65.035 | 134.092 | 11.370 | -0.000 | 0.000 | -0.000 | 
| 110.618 | 68.488 | 245.519 | 0.000 | 0.000 | -0.000 | 
| 13.320 | 9.448 | 0.552 | 45.260 | 0.000 | -0.000 | 
| 1.463 | 2.630 | -1.093 | -0.000 | 76.709 | -0.000 | 
| 6.261 | 4.935 | 0.632 | -0.000 | 0.000 | 81.588 | 
| 269.886 | 26.846 | 74.071 | 0.000 | 0.000 | 0.000 | 
| 27.245 | 88.635 | 48.982 | 0.000 | 0.000 | 0.000 | 
| 83.413 | 60.765 | 231.081 | 0.000 | -0.000 | 0.000 | 
| -13.320 | -9.448 | -0.552 | 45.260 | -0.000 | 0.000 | 
| -1.463 | -2.630 | 1.093 | 0.000 | 76.709 | 0.000 | 
| -6.261 | -4.935 | -0.632 | 0.000 | 0.000 | 81.589 | 
| 417.400 | -43.723 | -44.960 | -0.000 | -0.000 | 0.000 | 
| 97.001 | 291.737 | 112.625 | -0.000 | 0.000 | 0.000 | 
| 62.989 | 112.786 | 347.672 | 0.000 | -0.000 | 0.000 | 
| 0.000 | 0.000 | 0.000 | 115.387 | 0.000 | -0.000 | 
| 223.966 | -146.589 | -118.958 | -0.000 | 29.448 | -0.000 | 
| 0.000 | -0.000 | 0.000 | 0.000 | -0.000 | 100.157 | 
| 333.410 | 97.554 | 63.381 | 0.000 | 0.000 | 0.000 | 
| 159.806 | 135.627 | 307.105 | 0.000 | -0.000 | -0.000 | 
| 129.874 | 29.708 | 456.604 | -0.000 | 0.000 | -0.000 | 
| -0.000 | -0.000 | -0.000 | 115.387 | 0.000 | 0.000 | 
| -223.966 | 146.589 | 118.958 | 0.000 | 29.448 | -0.000 | 
| -0.000 | 0.000 | -0.000 | -0.000 | -0.000 | 100.157 | 
| 333.410 | 97.554 | 63.381 | -0.000 | -0.000 | -0.000 | 
| 97.001 | 291.737 | 112.625 | -0.000 | -0.000 | 0.000 | 
| 98.805 | 103.125 | 251.813 | -0.000 | -0.000 | -0.000 | 
| 20.858 | -13.652 | -11.079 | 58.707 | 0.000 | 0.000 | 
| 0.000 | 0.000 | 0.000 | 0.000 | 65.930 | -0.000 | 
| 0.000 | 0.000 | 0.000 | -0.000 | 0.000 | 100.157 | 
| 333.410 | 97.554 | 63.381 | -0.000 | -0.000 | 0.000 | 
| 54.026 | 230.577 | 114.463 | -0.000 | 0.000 | -0.000 | 
| 62.989 | 112.785 | 347.672 | -0.000 | 0.000 | -0.000 | 
| -20.859 | 13.652 | 11.079 | 58.706 | 0.000 | -0.000 | 
| -0.000 | -0.000 | -0.000 | -0.000 | 65.930 | -0.000 | 
| -0.000 | -0.000 | -0.000 | 0.000 | -0.000 | 100.157 | 
| 250.894 | 102.615 | 71.064 | -0.000 | -0.000 | 0.000 | 
| 74.599 | 211.168 | 104.145 | -0.000 | -0.000 | 0.000 | 
| 62.989 | 112.786 | 347.673 | -0.000 | -0.000 | 0.000 | 
| -0.961 | 0.785 | -1.802 | 63.876 | -0.000 | 0.000 | 
| 1.094 | -0.716 | -0.581 | -0.000 | 48.116 | 0.000 | 
| 0.000 | 0.000 | 0.000 | 0.000 | 0.000 | 100.157 | 
| 211.546 | 66.536 | 60.261 | 0.000 | 0.000 | 0.000 | 
| 61.844 | 201.454 | 84.529 | 0.000 | 0.000 | -0.000 | 
| 62.988 | 112.785 | 347.670 | 0.000 | 0.000 | 0.000 | 
| 0.961 | -0.785 | 1.802 | 63.876 | 0.000 | -0.000 | 
| -1.094 | 0.716 | 0.581 | 0.000 | 48.116 | 0.000 | 
| -0.000 | -0.000 | -0.000 | -0.000 | 0.000 | 100.157 | 
| 1020.216 | 1076.683 | 1076.683 | -0.000 | -0.000 | -0.000 | 
| 1076.683 | 1020.216 | 1076.683 | 0.000 | 0.000 | -0.000 | 
| 1076.683 | 1076.683 | 1020.216 | -0.000 | 0.000 | -0.000 | 
| 0.000 | 0.000 | -0.000 | 92.532 | 0.000 | -0.000 | 
| 0.000 | 0.000 | 0.000 | 0.000 | 92.532 | -0.000 | 
| 0.000 | 0.000 | 0.000 | -0.000 | 0.000 | 92.532 | 
| -895.373 | -836.234 | -836.234 | -0.000 | 0.000 | 0.000 | 
| -836.234 | -895.372 | -836.234 | -0.000 | -0.000 | 0.000 | 
| -836.234 | -836.234 | -895.372 | 0.000 | -0.000 | 0.000 | 
| -0.000 | -0.000 | -0.000 | 92.532 | 0.000 | 0.000 | 
| -0.000 | 0.000 | -0.000 | 0.000 | 92.532 | 0.000 | 
| -0.000 | -0.000 | -0.000 | 0.000 | -0.000 | 92.532 | 
| 317.280 | 202.554 | 202.554 | -0.000 | -0.000 | -0.000 | 
| 202.554 | 317.280 | 202.554 | 0.000 | 0.000 | -0.000 | 
| 202.554 | 202.554 | 317.280 | 0.000 | -0.000 | -0.000 | 
| 87.583 | 87.583 | 87.583 | -34.087 | 0.000 | -0.000 | 
| 87.583 | 87.583 | 87.583 | -0.000 | -34.087 | -0.000 | 
| 87.583 | 87.583 | 87.583 | -0.000 | -0.000 | -34.087 | 
| 4.714 | 32.923 | 32.923 | 0.000 | -0.000 | 0.000 | 
| 32.923 | 4.714 | 32.923 | -0.000 | -0.000 | 0.000 | 
| 32.923 | 32.923 | 4.714 | 0.000 | -0.000 | 0.000 | 
| -87.583 | -87.583 | -87.583 | -34.087 | 0.000 | 0.000 | 
| -87.583 | -87.583 | -87.583 | 0.000 | -34.087 | 0.000 | 
| -87.583 | -87.583 | -87.583 | 0.000 | -0.000 | -34.087 | 
| 296.460 | 104.543 | 104.543 | 0.000 | 0.000 | -0.000 | 
| 104.543 | 296.460 | 104.543 | 0.000 | 0.000 | -0.000 | 
| 104.543 | 104.543 | 296.460 | 0.000 | 0.000 | -0.000 | 
| 2.534 | 2.534 | 2.534 | 55.894 | 0.000 | -0.000 | 
| 2.534 | 2.534 | 2.534 | 0.000 | 55.894 | -0.000 | 
| 2.534 | 2.534 | 2.534 | -0.000 | 0.000 | 55.894 | 
| 230.787 | 57.258 | 57.258 | 0.000 | 0.000 | 0.000 | 
| 57.258 | 230.787 | 57.258 | 0.000 | 0.000 | 0.000 | 
| 57.258 | 57.258 | 230.787 | 0.000 | 0.000 | 0.000 | 
| -2.534 | -2.534 | -2.534 | 55.894 | -0.000 | 0.000 | 
| -2.534 | -2.534 | -2.534 | 0.000 | 55.894 | 0.000 | 
| -2.534 | -2.534 | -2.534 | -0.000 | 0.000 | 55.894 | 
| 379.744 | 82.492 | 82.492 | -0.000 | -0.000 | 0.000 | 
| 82.492 | 379.744 | 82.492 | 0.000 | -0.000 | 0.000 | 
| 82.492 | 82.492 | 379.744 | 0.000 | -0.000 | 0.000 | 
| -0.000 | -0.000 | 0.000 | 88.621 | -0.000 | 0.000 | 
| -0.000 | -0.000 | 0.000 | 0.000 | 88.621 | 0.000 | 
| 0.000 | 0.000 | 0.000 | 0.000 | -0.000 | 88.621 | 
| 379.744 | 82.492 | 82.492 | -0.000 | -0.000 | -0.000 | 
| 82.492 | 379.744 | 82.492 | -0.000 | 0.000 | -0.000 | 
| 82.492 | 82.492 | 379.744 | 0.000 | 0.000 | -0.000 | 
| 0.000 | 0.000 | -0.000 | 88.621 | 0.000 | -0.000 | 
| 0.000 | 0.000 | -0.000 | 0.000 | 88.621 | -0.000 | 
| -0.000 | 0.000 | -0.000 | -0.000 | 0.000 | 88.621 | 
| 282.792 | 90.120 | 90.120 | -0.000 | -0.000 | 0.000 | 
| 90.120 | 282.792 | 90.120 | 0.000 | -0.000 | -0.000 | 
| 90.120 | 90.120 | 282.792 | 0.000 | -0.000 | 0.000 | 
| 0.006 | 0.006 | 0.006 | 63.863 | 0.000 | 0.000 | 
| 0.006 | 0.006 | 0.006 | -0.000 | 63.863 | 0.000 | 
| 0.006 | 0.006 | 0.006 | 0.000 | -0.000 | 63.863 | 
| 282.691 | 90.107 | 90.107 | -0.000 | -0.000 | -0.000 | 
| 82.492 | 379.744 | 82.492 | -0.000 | 0.000 | 0.000 | 
| 90.107 | 90.107 | 282.691 | 0.000 | 0.000 | -0.000 | 
| -0.006 | -0.006 | -0.006 | 63.863 | 0.000 | 0.000 | 
| -0.006 | -0.006 | -0.006 | 0.000 | 63.863 | -0.000 | 
| -0.006 | -0.006 | -0.006 | 0.000 | 0.000 | 63.863 | 
| 242.006 | 49.789 | 49.789 | 0.000 | -0.000 | -0.000 | 
| 49.789 | 242.006 | 49.789 | 0.000 | 0.000 | -0.000 | 
| 49.789 | 49.789 | 242.006 | -0.000 | -0.000 | -0.000 | 
| 0.001 | 0.001 | 0.001 | 63.867 | -0.000 | 0.000 | 
| 0.001 | 0.001 | 0.001 | 0.000 | 63.867 | 0.000 | 
| 0.001 | 0.001 | 0.001 | -0.000 | -0.000 | 63.867 | 
| 379.742 | 82.491 | 82.491 | -0.000 | -0.000 | 0.000 | 
| 82.491 | 379.742 | 82.491 | -0.000 | 0.000 | -0.000 | 
| 82.491 | 82.491 | 379.742 | -0.000 | 0.000 | 0.000 | 
| -0.001 | -0.001 | -0.001 | 63.867 | -0.000 | -0.000 | 
| -0.001 | -0.001 | -0.001 | -0.000 | 63.867 | -0.000 | 
| -0.001 | -0.001 | -0.001 | -0.000 | 0.000 | 63.867 | 
| 406.670 | 92.486 | 112.531 | -0.000 | 0.000 | 0.000 | 
| 92.780 | 380.408 | 108.439 | 0.000 | 0.000 | -0.000 | 
| 920.402 | -1326.603 | 362.037 | -0.000 | 0.000 | 0.000 | 
| 210.279 | -510.554 | 319.247 | 79.973 | 0.000 | 0.000 | 
| -0.000 | 0.000 | -0.000 | -0.000 | 118.919 | 0.000 | 
| 210.291 | -510.583 | 319.265 | 0.000 | 0.000 | 79.314 | 
| 153.123 | 623.681 | -195.963 | 0.000 | 0.000 | -0.000 | 
| 92.780 | 380.407 | 108.439 | 0.000 | -0.000 | -0.000 | 
| 113.439 | 109.054 | 344.403 | -0.000 | -0.000 | 0.000 | 
| -210.279 | 510.554 | -319.247 | 79.973 | -0.000 | 0.000 | 
| 0.000 | 0.000 | 0.000 | -0.000 | 118.919 | 0.000 | 
| -210.291 | 510.583 | -319.265 | 0.000 | -0.000 | 79.314 | 
| 406.670 | 92.486 | 112.531 | 0.000 | -0.000 | 0.000 | 
| 92.780 | 380.408 | 108.440 | -0.000 | -0.000 | 0.000 | 
| 113.439 | 109.054 | 344.403 | -0.000 | 0.000 | 0.000 | 
| 75.311 | -140.643 | 22.343 | 22.296 | 0.000 | 0.000 | 
| 0.000 | 0.000 | 0.000 | -0.000 | 118.919 | -0.000 | 
| 21.067 | -51.150 | 31.984 | 0.000 | -0.000 | 79.281 | 
| 406.670 | 92.486 | 112.531 | -0.000 | -0.000 | -0.000 | 
| 92.780 | 380.407 | 108.439 | -0.000 | -0.000 | -0.000 | 
| 113.439 | 109.054 | 344.403 | 0.000 | -0.000 | -0.000 | 
| -75.311 | 140.643 | -22.343 | 22.296 | -0.000 | 0.000 | 
| -0.000 | -0.000 | -0.000 | -0.000 | 118.919 | -0.000 | 
| -21.067 | 51.150 | -31.984 | -0.000 | 0.000 | 79.281 | 
| 277.857 | 114.213 | 153.887 | 0.000 | -0.000 | 0.000 | 
| 101.828 | 298.708 | 104.267 | 0.000 | 0.000 | 0.000 | 
| 113.439 | 109.054 | 344.405 | 0.000 | 0.000 | 0.000 | 
| 0.000 | 0.000 | 0.000 | 114.551 | -0.000 | 0.000 | 
| 0.000 | 0.000 | 0.000 | -0.000 | 118.919 | 0.000 | 
| 0.000 | 0.000 | 0.000 | 0.000 | -0.000 | 97.839 | 
| 317.508 | 103.640 | 99.030 | -0.000 | 0.000 | -0.000 | 
| 118.656 | 302.080 | 110.143 | 0.000 | -0.000 | -0.000 | 
| 122.588 | 125.785 | 297.009 | -0.000 | -0.000 | -0.000 | 
| -0.000 | -0.000 | -0.000 | 114.551 | 0.000 | -0.000 | 
| -0.000 | -0.000 | -0.000 | 0.000 | 118.919 | -0.000 | 
| -0.000 | -0.000 | -0.000 | -0.000 | 0.000 | 97.839 | 
| 98.904 | -2953.252 | -1515.228 | -0.000 | 0.000 | -0.000 | 
| -4321.814 | -3888.821 | -3117.393 | -0.000 | 0.000 | -0.000 | 
| 195.641 | -949.476 | -577.749 | -0.000 | 0.000 | -0.000 | 
| 0.000 | 0.000 | -0.000 | 106.874 | 0.000 | -0.000 | 
| -175.296 | -3026.303 | -1606.718 | -0.000 | 45.682 | -0.000 | 
| 85.007 | -1068.644 | -889.185 | -0.000 | 0.000 | 60.522 | 
| 452.057 | 3099.838 | 1698.381 | -0.000 | -0.000 | 0.000 | 
| 94.826 | 427.759 | 105.822 | 0.000 | -0.000 | 0.000 | 
| 25.744 | 1185.946 | 1199.302 | 0.000 | -0.000 | 0.000 | 
| -0.000 | -0.000 | 0.000 | 106.874 | -0.000 | 0.000 | 
| 175.297 | 3026.303 | 1606.718 | 0.000 | 45.682 | 0.000 | 
| -85.007 | 1068.644 | 889.185 | 0.000 | -0.000 | 60.522 | 
| 246.487 | -227.812 | -68.155 | 0.000 | 0.000 | -0.000 | 
| 120.639 | 196.855 | 26.136 | -0.000 | 0.000 | -0.000 | 
| 119.370 | 11.454 | 220.573 | -0.000 | 0.000 | -0.000 | 
| -17.513 | -302.092 | -160.353 | 63.454 | 0.000 | -0.000 | 
| -17.487 | -301.169 | -159.804 | -0.000 | 45.995 | -0.000 | 
| 0.000 | 0.000 | 0.000 | -0.000 | 0.000 | 97.193 | 
| 345.387 | 215.964 | 198.979 | -0.000 | -0.000 | 0.000 | 
| 117.931 | 552.632 | 249.875 | 0.000 | -0.000 | 0.000 | 
| 120.793 | 383.785 | 411.191 | -0.000 | -0.000 | 0.000 | 
| 17.513 | 302.092 | 160.354 | 63.454 | -0.000 | -0.000 | 
| 17.487 | 301.169 | 159.804 | 0.000 | 45.995 | 0.000 | 
| -0.000 | -0.000 | -0.000 | 0.000 | -0.000 | 97.193 | 
| 227.170 | -13.991 | 4.399 | -0.000 | 0.000 | -0.000 | 
| 91.600 | 239.419 | 61.955 | -0.000 | 0.000 | -0.000 | 
| 98.715 | 49.564 | 244.157 | -0.000 | 0.000 | -0.000 | 
| 0.754 | -9.482 | -7.890 | 75.781 | 0.000 | -0.000 | 
| -1.440 | -25.087 | -13.349 | -0.000 | 54.516 | -0.000 | 
| -16.994 | -32.768 | -21.629 | -0.000 | 0.000 | 59.036 | 
| 339.757 | 124.662 | 123.092 | 0.000 | -0.000 | 0.000 | 
| 108.074 | 339.532 | 126.508 | 0.000 | -0.000 | 0.000 | 
| 109.904 | 130.359 | 319.561 | 0.000 | 0.000 | 0.000 | 
| -0.754 | 9.482 | 7.890 | 75.781 | -0.000 | 0.000 | 
| 1.440 | 25.087 | 13.349 | -0.000 | 54.516 | 0.000 | 
| 16.994 | 32.768 | 21.629 | -0.000 | -0.000 | 59.036 | 
| 306.996 | 102.673 | 67.840 | 0.000 | -0.000 | -0.000 | 
| 2155.867 | -8257.047 | -10555.939 | -0.000 | -0.000 | -0.000 | 
| 2311.248 | -453.785 | 1206.464 | 0.000 | -0.000 | -0.000 | 
| 1216.612 | 1293.491 | -156.297 | 59.462 | -0.000 | 0.000 | 
| 2211.851 | -569.278 | 1025.564 | -0.000 | 30.731 | 0.000 | 
| -0.000 | 0.000 | -0.000 | -0.000 | -0.000 | 104.650 | 
| -1990.685 | 661.850 | -931.530 | 0.000 | 0.000 | -0.000 | 
| -1114.391 | -1149.985 | 226.784 | 0.000 | 0.000 | 0.000 | 
| -1185.194 | -1223.204 | 339.106 | -0.000 | 0.000 | -0.000 | 
| -1216.612 | -1293.491 | 156.297 | 59.462 | 0.000 | 0.000 | 
| -2211.851 | 569.278 | -1025.564 | -0.000 | 30.731 | -0.000 | 
| 0.000 | -0.000 | 0.000 | -0.000 | 0.000 | 104.650 | 
| 306.996 | 102.673 | 67.840 | -0.000 | -0.000 | 0.000 | 
| 218.646 | 270.227 | 58.567 | -0.000 | -0.000 | -0.000 | 
| 318.788 | 59.506 | 278.202 | 0.000 | -0.000 | 0.000 | 
| 220.377 | -56.720 | 102.182 | 65.910 | -0.000 | 0.000 | 
| 113.242 | -1035.385 | -945.836 | -0.000 | -6.947 | 0.000 | 
| 7.092 | 34.732 | -131.790 | -0.000 | -0.000 | 63.908 | 
| 5.356 | 150.081 | -10.059 | 0.000 | 0.000 | -0.000 | 
| 40.035 | 101.862 | 155.814 | -0.000 | 0.000 | -0.000 | 
| 14.653 | 0.669 | 275.813 | 0.000 | 0.000 | -0.000 | 
| -220.377 | 56.720 | -102.182 | 65.910 | 0.000 | -0.000 | 
| -113.242 | 1035.385 | 945.836 | -0.000 | -6.947 | -0.000 | 
| -7.092 | -34.732 | 131.790 | -0.000 | 0.000 | 63.908 | 
| 232.943 | 91.816 | 94.831 | 0.000 | -0.000 | 0.000 | 
| 96.263 | 161.850 | 78.709 | 0.000 | -0.000 | -0.000 | 
| 99.640 | 112.278 | 210.062 | 0.000 | -0.000 | 0.000 | 
| 18.507 | -4.763 | 8.581 | 73.444 | -0.000 | 0.000 | 
| 25.451 | -87.085 | -86.933 | -0.000 | 11.820 | 0.000 | 
| 4.709 | 4.009 | -9.942 | -0.000 | -0.000 | 60.459 | 
| 219.474 | 102.404 | 73.985 | 0.000 | 0.000 | -0.000 | 
| 63.255 | 165.255 | 73.196 | -0.000 | 0.000 | 0.000 | 
| 50.749 | 82.500 | 192.751 | 0.000 | 0.000 | 0.000 | 
| -18.507 | 4.763 | -8.581 | 73.444 | 0.000 | -0.000 | 
| -25.451 | 87.085 | 86.933 | -0.000 | 11.820 | -0.000 | 
| -4.709 | -4.009 | 9.942 | -0.000 | 0.000 | 60.459 | 
| 224.744 | 89.789 | 75.837 | 0.000 | 0.000 | -0.000 | 
| 94.420 | 242.160 | 101.883 | 0.000 | 0.000 | 0.000 | 
| 65.062 | 101.883 | 274.486 | 0.000 | 0.000 | -0.000 | 
| -0.000 | 0.000 | -0.000 | 106.661 | 0.000 | -0.000 | 
| 0.003 | 0.000 | -0.000 | 0.000 | 50.744 | -0.000 | 
| 0.000 | 0.000 | -0.000 | 0.000 | 0.000 | 99.162 | 
| 224.741 | 89.790 | 75.837 | 0.000 | -0.000 | 0.000 | 
| 71.616 | 155.506 | 65.546 | -0.000 | -0.000 | 0.000 | 
| 65.062 | 101.883 | 274.486 | -0.000 | 0.000 | 0.000 | 
| -0.000 | -0.000 | 0.000 | 106.661 | -0.000 | 0.000 | 
| -0.003 | -0.000 | 0.001 | -0.000 | 50.744 | 0.000 | 
| -0.000 | -0.000 | -0.000 | -0.000 | -0.000 | 99.162 | 
| 224.742 | 89.789 | 75.837 | 0.000 | 0.000 | -0.000 | 
| 74.166 | 161.722 | 74.091 | 0.000 | 0.000 | -0.000 | 
| 65.062 | 101.883 | 274.486 | -0.000 | 0.000 | -0.000 | 
| 0.000 | 0.000 | 0.000 | 65.848 | 0.000 | -0.000 | 
| 0.000 | 0.000 | -0.000 | 0.000 | 50.744 | -0.000 | 
| 0.000 | -0.000 | -0.000 | 0.000 | 0.000 | 69.688 | 
| 290.190 | 94.420 | 65.062 | 0.000 | -0.000 | 0.000 | 
| 90.110 | 189.065 | 104.661 | 0.000 | -0.000 | 0.000 | 
| 65.062 | 101.883 | 274.486 | 0.000 | -0.000 | 0.000 | 
| -0.000 | -0.000 | -0.000 | 65.848 | -0.000 | 0.000 | 
| -0.000 | -0.000 | 0.000 | -0.000 | 50.744 | 0.000 | 
| -0.000 | -0.000 | 0.000 | -0.000 | -0.000 | 69.688 | 
| 199.406 | 74.652 | 58.766 | -0.000 | 0.000 | -0.000 | 
| 74.172 | 161.767 | 74.093 | 0.000 | 0.000 | -0.000 | 
| 50.569 | 66.275 | 180.862 | 0.000 | 0.000 | -0.000 | 
| 0.000 | 0.000 | 0.000 | 106.661 | 0.000 | -0.000 | 
| 0.000 | 0.000 | 0.000 | 0.000 | 69.761 | -0.000 | 
| -0.000 | 0.000 | 0.000 | 0.000 | 0.000 | 69.688 | 
| 290.188 | 94.419 | 65.062 | -0.000 | 0.000 | 0.000 | 
| 90.110 | 189.071 | 104.660 | -0.000 | -0.000 | -0.000 | 
| 50.568 | 66.268 | 180.830 | 0.000 | 0.000 | 0.000 | 
| -0.000 | -0.000 | -0.000 | 106.661 | -0.000 | 0.000 | 
| -0.000 | -0.000 | -0.000 | 0.000 | 69.761 | -0.000 | 
| 0.000 | -0.000 | -0.000 | 0.000 | -0.000 | 69.688 | 
| 704.364 | 691.290 | 691.290 | -0.000 | 0.000 | -0.000 | 
| 691.291 | 704.363 | 691.290 | -0.000 | 0.000 | -0.000 | 
| 691.291 | 691.290 | 704.363 | -0.000 | 0.000 | -0.000 | 
| 0.000 | 0.000 | 0.000 | 123.039 | 0.000 | -0.000 | 
| 0.000 | 0.000 | 0.000 | -0.000 | 123.039 | -0.000 | 
| 0.000 | 0.000 | -0.000 | -0.000 | 0.000 | 123.039 | 
| -352.868 | -365.159 | -365.159 | 0.000 | -0.000 | 0.000 | 
| -365.159 | -352.868 | -365.159 | 0.000 | -0.000 | 0.000 | 
| -365.159 | -365.159 | -352.868 | 0.000 | -0.000 | 0.000 | 
| -0.000 | -0.000 | 0.000 | 123.039 | -0.000 | 0.000 | 
| -0.000 | -0.000 | 0.000 | -0.000 | 123.039 | 0.000 | 
| -0.000 | -0.000 | 0.000 | 0.000 | -0.000 | 123.039 | 
| 293.907 | 154.486 | 154.486 | 0.000 | 0.000 | -0.000 | 
| 154.486 | 293.907 | 154.486 | -0.000 | 0.000 | -0.000 | 
| 154.486 | 154.486 | 293.907 | 0.000 | 0.000 | 0.000 | 
| 37.081 | 37.081 | 37.081 | 72.533 | 0.000 | -0.000 | 
| 37.081 | 37.081 | 37.081 | 0.000 | 72.533 | -0.000 | 
| 37.081 | 37.081 | 37.081 | 0.000 | 0.000 | 72.533 | 
| 329.547 | 119.857 | 119.857 | 0.000 | -0.000 | 0.000 | 
| 119.857 | 329.547 | 119.857 | 0.000 | -0.000 | 0.000 | 
| 119.857 | 119.857 | 329.547 | -0.000 | -0.000 | 0.000 | 
| -37.081 | -37.081 | -37.081 | 72.533 | -0.000 | 0.000 | 
| -37.081 | -37.081 | -37.081 | 0.000 | 72.533 | 0.000 | 
| -37.081 | -37.081 | -37.081 | 0.000 | -0.000 | 72.533 | 
| 283.982 | 135.165 | 135.165 | 0.000 | 0.000 | 0.000 | 
| 135.165 | 283.982 | 135.165 | 0.000 | 0.000 | -0.000 | 
| 135.165 | 135.165 | 283.982 | 0.000 | 0.000 | -0.000 | 
| -6.819 | -6.834 | -6.831 | 56.533 | 0.000 | -0.000 | 
| 8.476 | 8.475 | 8.476 | -0.000 | 79.139 | -0.000 | 
| 8.476 | 8.476 | 8.475 | -0.000 | 0.000 | 79.139 | 
| 275.908 | 133.084 | 133.084 | 0.000 | -0.000 | 0.000 | 
| 133.084 | 275.908 | 133.084 | -0.000 | -0.000 | 0.000 | 
| 133.084 | 133.084 | 275.908 | -0.000 | -0.000 | 0.000 | 
| -8.475 | -8.476 | -8.476 | 79.139 | -0.000 | 0.000 | 
| -8.476 | -8.475 | -8.476 | 0.000 | 79.139 | 0.000 | 
| -8.476 | -8.476 | -8.475 | 0.000 | -0.000 | 79.139 | 
| 297.740 | 103.224 | 103.224 | 0.000 | 0.000 | -0.000 | 
| 103.224 | 297.740 | 103.224 | -0.000 | 0.000 | -0.000 | 
| 103.224 | 103.224 | 297.741 | -0.000 | 0.000 | -0.000 | 
| -0.000 | 0.000 | 0.000 | 108.143 | 0.000 | -0.000 | 
| 0.000 | -0.000 | 0.000 | -0.000 | 108.143 | -0.000 | 
| -0.000 | 0.000 | 0.000 | -0.000 | -0.000 | 108.143 | 
| 297.740 | 103.224 | 103.224 | -0.000 | -0.000 | 0.000 | 
| 103.224 | 297.740 | 103.224 | 0.000 | -0.000 | 0.000 | 
| 103.224 | 103.224 | 297.740 | 0.000 | 0.000 | 0.000 | 
| 0.000 | -0.000 | -0.000 | 108.143 | -0.000 | 0.000 | 
| 0.000 | 0.000 | -0.000 | 0.000 | 108.143 | 0.000 | 
| 0.000 | -0.000 | -0.000 | 0.000 | -0.000 | 108.143 | 
| 297.741 | 103.224 | 103.224 | -0.000 | 0.000 | -0.000 | 
| 103.224 | 297.741 | 103.224 | -0.000 | 0.000 | -0.000 | 
| 103.224 | 103.224 | 297.741 | -0.000 | -0.000 | -0.000 | 
| 0.000 | 0.000 | 0.000 | 108.143 | -0.000 | -0.000 | 
| 0.000 | 0.000 | 0.000 | -0.000 | 108.143 | -0.000 | 
| 0.000 | 0.000 | 0.000 | -0.000 | 0.000 | 108.143 | 
| 63.532 | -51.082 | -51.082 | 0.000 | 0.000 | 0.000 | 
| -51.082 | 63.532 | -51.082 | 0.000 | 0.000 | 0.000 | 
| -51.082 | -51.082 | 63.532 | 0.000 | -0.000 | 0.000 | 
| -0.000 | -0.000 | -0.000 | 108.143 | -0.000 | 0.000 | 
| -0.000 | -0.000 | -0.000 | 0.000 | 108.143 | 0.000 | 
| -0.000 | -0.000 | -0.000 | -0.000 | -0.000 | 108.143 | 
| 241.192 | 124.094 | 124.094 | -0.000 | -0.000 | -0.000 | 
| 124.094 | 241.192 | 124.094 | -0.000 | 0.000 | -0.000 | 
| 124.094 | 124.094 | 241.192 | -0.000 | -0.000 | -0.000 | 
| 0.000 | 0.000 | 0.000 | 108.143 | -0.000 | 0.000 | 
| 0.000 | 0.000 | 0.000 | -0.000 | 108.143 | -0.000 | 
| 0.000 | 0.000 | 0.000 | -0.000 | -0.000 | 108.143 | 
| 297.739 | 103.224 | 103.224 | 0.000 | 0.000 | 0.000 | 
| 103.224 | 297.739 | 103.224 | 0.000 | -0.000 | 0.000 | 
| 103.224 | 103.224 | 297.739 | 0.000 | 0.000 | 0.000 | 
| -0.000 | -0.000 | -0.000 | 108.143 | 0.000 | 0.000 | 
| -0.000 | -0.000 | -0.000 | 0.000 | 108.143 | 0.000 | 
| -0.000 | -0.000 | -0.000 | 0.000 | 0.000 | 108.143 | 
| 376.942 | 75.500 | 121.913 | -0.000 | 0.000 | -0.000 | 
| 1218.111 | 2299.812 | 2648.079 | 0.000 | 0.000 | -0.000 | 
| 122.078 | 109.990 | 306.551 | -0.000 | 0.000 | -0.000 | 
| 2115.144 | 5602.625 | 2823.507 | 39.250 | 0.000 | -0.000 | 
| 1109.035 | 2096.026 | 2576.214 | 0.000 | 55.745 | -0.000 | 
| 1109.005 | 2095.960 | 2576.132 | 0.000 | -0.000 | 51.514 | 
| -168.820 | -746.913 | -893.448 | -0.000 | -0.000 | 0.000 | 
| -395.172 | -570.431 | -912.469 | -0.000 | -0.000 | 0.000 | 
| -1827.836 | -4516.388 | -3330.304 | 0.000 | 0.000 | 0.000 | 
| -2115.144 | -5602.625 | -2823.507 | 39.250 | -0.000 | 0.000 | 
| -1109.035 | -2096.026 | -2576.214 | -0.000 | 55.745 | 0.000 | 
| -1109.005 | -2095.960 | -2576.132 | -0.000 | -0.000 | 51.514 | 
| 376.427 | 184.475 | 233.038 | 0.000 | 0.000 | -0.000 | 
| 76.102 | 354.531 | 110.427 | -0.000 | 0.000 | -0.000 | 
| 178.981 | 195.042 | 354.229 | 0.000 | 0.000 | -0.000 | 
| 49.112 | 83.976 | 101.551 | 65.290 | -0.000 | -0.000 | 
| 109.824 | 207.554 | 255.102 | 0.000 | 56.406 | -0.000 | 
| 0.000 | 0.000 | 0.000 | -0.000 | -0.000 | 78.774 | 
| 276.167 | 15.214 | 27.945 | -0.000 | 0.000 | 0.000 | 
| 76.102 | 354.530 | 110.427 | 0.000 | -0.000 | 0.000 | 
| 80.901 | 26.480 | 146.534 | -0.000 | -0.000 | 0.000 | 
| -49.112 | -83.976 | -101.551 | 65.290 | -0.000 | 0.000 | 
| -109.824 | -207.554 | -255.102 | -0.000 | 56.406 | 0.000 | 
| -0.000 | -0.000 | -0.000 | 0.000 | -0.000 | 78.774 | 
| 376.944 | 75.500 | 121.914 | -0.000 | -0.000 | -0.000 | 
| 104.944 | 289.862 | 123.735 | 0.000 | 0.000 | -0.000 | 
| 114.500 | 93.455 | 193.154 | 0.000 | 0.000 | -0.000 | 
| 8.825 | 16.451 | 20.177 | 66.342 | 0.000 | -0.000 | 
| 15.273 | 36.340 | 26.369 | -0.000 | 65.132 | -0.000 | 
| 16.811 | 39.725 | 29.295 | -0.000 | 0.000 | 54.146 | 
| 376.941 | 75.500 | 121.913 | 0.000 | -0.000 | 0.000 | 
| 67.070 | 168.660 | 43.833 | -0.000 | -0.000 | 0.000 | 
| 123.805 | 70.599 | 213.313 | -0.000 | 0.000 | 0.000 | 
| -8.825 | -16.451 | -20.177 | 66.342 | -0.000 | 0.000 | 
| -15.273 | -36.340 | -26.369 | 0.000 | 65.132 | 0.000 | 
| -16.811 | -39.725 | -29.295 | 0.000 | -0.000 | 54.146 | 
| 1696.924 | -606.426 | -992.905 | 0.012 | 0.000 | 0.000 | 
| 1510.350 | -422.341 | -990.572 | 0.012 | 0.000 | 0.000 | 
| 107.383 | 106.553 | 325.669 | -0.000 | 0.000 | 0.000 | 
| 1324.882 | -849.835 | -1255.361 | 59.976 | 0.000 | -0.000 | 
| 1324.885 | -849.848 | -1255.369 | 0.088 | 59.966 | 0.000 | 
| 1351.139 | -299.003 | -1012.341 | 0.088 | 0.000 | 59.939 | 
| -1173.963 | 751.779 | 1166.914 | -0.012 | -0.000 | 0.000 | 
| -1360.537 | 935.396 | 1168.913 | -0.012 | -0.000 | 0.000 | 
| -1122.580 | -148.683 | 2184.848 | -0.044 | -0.000 | -0.000 | 
| -1514.232 | -798.215 | 1556.235 | -84.623 | -0.000 | -0.000 | 
| -1324.885 | 849.848 | 1255.369 | -0.088 | 59.966 | -0.000 | 
| -1392.978 | 1002.426 | 1642.300 | -0.032 | -0.000 | 35.272 | 
| 366.182 | 68.784 | 107.271 | -0.000 | 0.000 | 0.000 | 
| 68.810 | 365.322 | 106.468 | -0.000 | 0.000 | -0.000 | 
| 107.383 | 106.553 | 325.670 | -0.000 | 0.000 | 0.000 | 
| 140.796 | -101.615 | -165.499 | 55.156 | 0.000 | -0.000 | 
| 151.462 | 29.253 | -137.159 | -0.008 | -119.561 | 0.000 | 
| 143.721 | -68.345 | -108.093 | 0.001 | 0.000 | 52.117 | 
| 366.182 | 68.783 | 107.271 | 0.000 | -0.000 | 0.000 | 
| 68.810 | 365.322 | 106.468 | 0.000 | -0.000 | -0.000 | 
| 107.383 | 106.553 | 325.669 | 0.000 | -0.000 | 0.000 | 
| -0.000 | -0.000 | -0.000 | 106.334 | -0.000 | -0.000 | 
| -151.462 | -29.253 | 137.159 | 0.008 | -119.561 | -0.000 | 
| -124.330 | 69.677 | 74.725 | -0.001 | -0.000 | -9.611 | 
| 262.302 | 68.221 | 81.285 | 0.001 | 0.000 | 0.000 | 
| 89.910 | 246.858 | 73.482 | 0.000 | 0.000 | 0.000 | 
| 95.955 | 73.935 | 188.757 | -0.000 | 0.000 | -0.000 | 
| 11.831 | -1.680 | -15.918 | 4.231 | 0.000 | -0.000 | 
| 11.379 | -6.127 | -15.277 | 0.000 | 8.301 | 0.000 | 
| 12.606 | -3.793 | -10.777 | -0.000 | -0.000 | 11.747 | 
| 237.737 | 83.885 | 97.759 | -0.000 | -0.000 | 0.000 | 
| 63.619 | 262.557 | 102.083 | -0.000 | -0.000 | -0.000 | 
| 72.088 | 94.061 | 220.679 | -0.000 | -0.000 | 0.000 | 
| -11.823 | 5.858 | 15.746 | 5.115 | 0.000 | -0.000 | 
| -13.684 | -5.384 | 11.409 | -0.001 | 15.669 | 0.000 | 
| -12.606 | 3.793 | 10.777 | 0.000 | 0.000 | 11.747 | 
| 440.364 | 131.380 | 103.785 | -0.000 | 0.000 | -0.000 | 
| 129.101 | 399.743 | 77.034 | -0.000 | -0.000 | -0.000 | 
| 1106.061 | 757.242 | 615.784 | -0.000 | 0.000 | -0.000 | 
| 0.000 | 0.000 | -0.000 | 81.107 | -0.000 | -0.000 | 
| 843.953 | 1890.108 | 642.458 | -0.000 | 67.612 | 0.000 | 
| 844.458 | 1889.766 | 642.351 | -0.000 | 0.000 | 94.279 | 
| -523.512 | -1795.681 | -487.898 | 0.000 | -0.000 | -0.000 | 
| 129.101 | 399.742 | 77.034 | 0.000 | -0.000 | -0.000 | 
| -692.393 | -1802.217 | -321.514 | 0.000 | -0.000 | 0.000 | 
| -0.000 | -0.000 | 0.000 | 81.107 | -0.000 | -0.000 | 
| -843.953 | -1890.108 | -642.458 | 0.000 | 67.612 | 0.000 | 
| -844.458 | -1889.766 | -642.351 | -0.000 | -0.000 | 94.279 | 
| 462.309 | 177.057 | 158.177 | -0.000 | 0.000 | -0.000 | 
| 159.042 | 380.329 | 142.184 | -0.000 | -0.000 | 0.000 | 
| 232.197 | 269.337 | 387.517 | -0.000 | 0.000 | -0.000 | 
| 0.000 | 0.000 | 0.000 | 81.107 | 0.000 | -0.000 | 
| 97.571 | 66.152 | 23.453 | -0.000 | 81.553 | -0.000 | 
| 87.892 | 184.158 | 62.677 | -0.000 | 0.000 | 90.319 | 
| 272.025 | 45.168 | 107.849 | 0.000 | -0.000 | 0.000 | 
| -4.244 | 239.482 | 69.460 | 0.000 | -0.000 | 0.000 | 
| 67.628 | -95.721 | 262.065 | 0.000 | -0.000 | -0.000 | 
| -0.000 | -0.000 | -0.000 | 81.107 | -0.000 | 0.000 | 
| -97.571 | -66.152 | -23.453 | 0.000 | 81.553 | 0.000 | 
| -87.892 | -184.158 | -62.677 | 0.000 | -0.000 | 90.319 | 
| 440.366 | 131.380 | 103.785 | -0.000 | 0.000 | -0.000 | 
| 81.325 | 171.787 | 45.187 | -0.000 | -0.000 | -0.000 | 
| 149.455 | 108.287 | 373.277 | -0.000 | 0.000 | -0.000 | 
| 0.000 | 0.000 | 0.000 | 81.107 | 0.000 | -0.000 | 
| 9.904 | 6.715 | 2.381 | -0.000 | 81.160 | -0.000 | 
| 9.929 | 14.975 | 5.136 | -0.000 | -0.000 | 73.589 | 
| 440.362 | 131.379 | 103.784 | -0.000 | -0.000 | -0.000 | 
| 59.785 | 137.778 | 70.417 | 0.000 | -0.000 | 0.000 | 
| 127.860 | 93.485 | 362.837 | -0.000 | -0.000 | -0.000 | 
| 1.781 | -38.061 | -8.880 | 45.982 | -0.000 | -0.000 | 
| -9.904 | -6.715 | -2.381 | 0.000 | 81.160 | 0.000 | 
| -9.929 | -14.975 | -5.136 | 0.000 | -0.000 | 73.589 | 
| 3951.134 | -209.208 | -6543.785 | -0.000 | -0.000 | 0.011 | 
| 90.840 | 361.313 | 132.138 | 0.000 | 0.000 | 0.000 | 
| 241.838 | 1206.770 | 166.186 | 0.000 | -0.000 | 0.003 | 
| 0.000 | -0.000 | 0.000 | 136.183 | -0.000 | 0.000 | 
| 0.000 | 0.000 | 0.000 | 0.000 | 94.387 | -0.000 | 
| 142.506 | 1111.900 | -128.437 | 0.000 | -0.000 | 101.426 | 
| 1301.285 | -2366.509 | 128.808 | -0.000 | 0.000 | 0.004 | 
| -3628.457 | 294.941 | 6681.767 | 0.000 | 0.000 | -0.012 | 
| 90.159 | 132.266 | 372.383 | -0.000 | 0.000 | -0.000 | 
| 0.000 | -0.000 | 0.000 | 136.183 | -0.000 | -0.000 | 
| -0.000 | -0.000 | -0.000 | -0.000 | 94.387 | 0.000 | 
| -2100.717 | 771.711 | 8518.478 | -0.000 | -0.000 | -17.180 | 
| 295.225 | 207.443 | 82.499 | -0.000 | 0.000 | 0.000 | 
| 106.880 | 367.626 | 85.949 | -0.000 | -0.000 | 0.000 | 
| 418.808 | 133.683 | -497.925 | -0.000 | -0.000 | 0.001 | 
| -100.320 | 242.549 | -0.616 | 33.207 | 0.000 | -0.000 | 
| 3.134 | 125.260 | -11.775 | -0.000 | 90.424 | 0.000 | 
| 144.444 | 33.555 | -130.799 | 0.000 | 0.000 | -12.295 | 
| 396.875 | 91.281 | 90.470 | -0.000 | -0.000 | -0.000 | 
| 83.778 | 143.355 | 116.415 | -0.000 | 0.000 | -0.000 | 
| 223.594 | -123.613 | 271.856 | -0.000 | -0.000 | 0.000 | 
| 100.337 | -242.590 | 0.616 | 33.190 | 0.000 | 0.000 | 
| -3.134 | -125.260 | 11.775 | 0.000 | 90.424 | -0.000 | 
| 101.817 | -246.168 | 0.625 | -0.000 | -0.000 | 47.574 | 
| 286.754 | 113.987 | 103.866 | 0.000 | -0.000 | -0.000 | 
| 109.022 | 282.435 | 122.497 | -0.000 | -0.000 | -0.000 | 
| 132.845 | 142.155 | 108.054 | -0.000 | 0.000 | 0.000 | 
| 4.625 | 9.975 | -4.475 | 81.966 | 0.000 | -0.000 | 
| 0.000 | 0.000 | 0.000 | -0.000 | 94.387 | 0.000 | 
| -6.113 | 20.221 | -0.521 | 0.000 | -0.000 | 66.453 | 
| 283.222 | 64.632 | 86.732 | -0.000 | 0.000 | 0.000 | 
| 41.195 | 184.050 | 171.157 | 0.000 | 0.000 | 0.000 | 
| 103.817 | 94.380 | 289.266 | -0.000 | -0.000 | -0.000 | 
| -0.000 | -0.000 | -0.000 | 136.183 | 0.000 | -0.000 | 
| -0.000 | -0.000 | -0.000 | -0.000 | 94.387 | 0.000 | 
| 6.113 | -20.221 | 0.521 | 0.000 | 0.000 | 66.453 | 
| 387.763 | 64.928 | 103.679 | 0.000 | -0.000 | 0.000 | 
| 106.680 | 750.496 | -745.961 | -3.533 | 0.376 | -0.243 | 
| -804.916 | 146.220 | -914.965 | -1.994 | 0.187 | -0.128 | 
| -922.254 | 45.533 | -1246.127 | 68.266 | 0.185 | -0.127 | 
| -922.461 | 45.371 | -1246.090 | -1.979 | 69.119 | -0.127 | 
| -0.000 | -0.000 | 0.000 | 0.000 | -0.000 | 67.025 | 
| 254.919 | -398.920 | 973.173 | 3.496 | -0.372 | 0.240 | 
| 198.313 | -330.158 | 1296.193 | -2.259 | 0.227 | -0.151 | 
| 1038.962 | 53.958 | 1579.043 | 1.971 | -0.184 | 0.126 | 
| 922.316 | -45.494 | 1246.122 | 72.183 | -0.186 | 0.127 | 
| 0.000 | -0.000 | -0.000 | -0.000 | 105.735 | 0.000 | 
| -0.000 | 0.000 | -0.000 | -0.000 | 0.000 | 67.025 | 
| 387.763 | 64.928 | 103.680 | 0.000 | 0.000 | -0.000 | 
| 65.839 | 378.264 | 112.119 | 0.000 | -0.000 | -0.000 | 
| 104.262 | 111.790 | 386.995 | 0.000 | -0.000 | -0.000 | 
| 2.286 | 41.829 | -74.500 | 42.326 | 0.033 | -0.021 | 
| -90.726 | 5.700 | -124.918 | -0.184 | 69.673 | -0.012 | 
| 0.000 | 0.000 | 0.000 | 0.000 | -0.000 | 67.025 | 
| 250.673 | -1.830 | 207.106 | 0.186 | -0.018 | 0.012 | 
| 77.104 | 226.057 | 196.825 | 0.338 | -0.036 | 0.023 | 
| 137.442 | 49.043 | 401.562 | -0.234 | 0.023 | -0.016 | 
| -0.000 | -0.000 | -0.000 | 114.019 | 0.000 | -0.000 | 
| 90.717 | -5.669 | 124.848 | 0.184 | 69.658 | 0.012 | 
| -0.000 | -0.000 | -0.000 | -0.000 | 0.000 | 67.025 | 
| 197.294 | 26.924 | 101.209 | 0.069 | -0.007 | 0.005 | 
| -8.410 | 104.130 | 116.978 | 0.012 | 0.000 | 0.000 | 
| 108.710 | 108.530 | 297.044 | -0.039 | 0.004 | -0.003 | 
| -0.386 | 4.413 | -8.731 | 71.364 | 0.001 | -0.001 | 
| -0.323 | 4.076 | -8.019 | -0.011 | 71.753 | -0.001 | 
| 0.000 | 0.000 | 0.000 | 0.000 | -0.000 | 67.025 | 
| 274.731 | 74.964 | 131.599 | 0.037 | -0.004 | 0.003 | 
| 58.230 | 127.357 | 137.773 | 0.019 | -0.003 | 0.002 | 
| 104.262 | 111.790 | 386.993 | -0.000 | 0.000 | -0.000 | 
| 0.386 | -4.413 | 8.732 | 71.392 | -0.001 | 0.001 | 
| 0.323 | -4.076 | 8.019 | 0.011 | 71.750 | 0.001 | 
| -0.000 | -0.000 | -0.000 | -0.000 | 0.000 | 67.025 | 
| 373.951 | 58.787 | 102.833 | -0.000 | 0.000 | -0.000 | 
| 58.787 | 343.235 | 97.043 | 0.000 | 0.000 | 0.000 | 
| 137.672 | 136.608 | 262.303 | -0.000 | 0.000 | -0.000 | 
| 24.752 | 34.554 | -27.285 | 68.724 | 0.000 | -0.000 | 
| 0.000 | 0.000 | 0.000 | -0.000 | 108.671 | 0.000 | 
| 11.404 | 15.721 | -17.127 | 0.000 | 0.000 | 42.769 | 
| 254.517 | 39.748 | 143.456 | 0.000 | -0.000 | -0.000 | 
| -2.208 | 154.932 | 112.792 | 0.000 | -0.000 | -0.000 | 
| 102.833 | 97.043 | 353.193 | -0.000 | 0.000 | -0.000 | 
| -24.752 | -34.554 | 27.285 | 68.724 | 0.000 | 0.000 | 
| -0.000 | -0.000 | -0.000 | -0.000 | 108.671 | 0.000 | 
| -11.404 | -15.721 | 17.127 | 0.000 | -0.000 | 42.769 | 
| 280.838 | 71.947 | 107.819 | -0.000 | -0.000 | -0.000 | 
| 33.471 | 204.389 | 88.136 | -0.000 | 0.000 | -0.000 | 
| 109.812 | 102.356 | 292.953 | 0.000 | 0.000 | -0.000 | 
| 3.330 | 4.609 | -2.501 | 67.534 | -0.000 | -0.000 | 
| 1.014 | 1.397 | -1.522 | 0.000 | 81.854 | -0.000 | 
| 0.886 | 1.221 | -1.330 | 0.000 | 0.000 | 47.521 | 
| 274.740 | 66.336 | 114.313 | 0.000 | -0.000 | -0.000 | 
| 24.120 | 194.091 | 91.686 | 0.000 | -0.000 | 0.000 | 
| 106.975 | 98.426 | 296.999 | -0.000 | -0.000 | 0.000 | 
| -3.330 | -4.609 | 2.501 | 67.534 | -0.000 | 0.000 | 
| -1.014 | -1.397 | 1.522 | 0.000 | 81.854 | 0.000 | 
| -0.886 | -1.221 | 1.330 | 0.000 | -0.000 | 47.521 | 
| 278.212 | 69.440 | 110.703 | 0.000 | 0.000 | -0.000 | 
| 23.626 | 173.883 | 95.378 | 0.000 | 0.000 | -0.000 | 
| 108.534 | 100.589 | 294.819 | -0.000 | 0.000 | -0.000 | 
| 0.089 | 0.123 | -0.134 | 74.008 | -0.000 | -0.000 | 
| 0.214 | 0.298 | -0.244 | 0.000 | 76.107 | -0.000 | 
| 0.088 | 0.122 | -0.132 | 0.000 | 0.000 | 47.588 | 
| 238.319 | 27.662 | 106.083 | 0.000 | 0.000 | 0.000 | 
| 68.990 | 240.378 | 102.317 | -0.000 | -0.000 | -0.000 | 
| 107.053 | 93.238 | 286.477 | 0.000 | -0.000 | -0.000 | 
| -0.215 | -0.300 | 0.245 | 69.563 | -0.000 | 0.000 | 
| -0.214 | -0.298 | 0.244 | 0.000 | 76.107 | 0.000 | 
| -0.088 | -0.122 | 0.132 | 0.000 | -0.000 | 47.588 | 
| 322.961 | 158.721 | 127.681 | 0.000 | -0.000 | -0.000 | 
| 530.288 | 1500.026 | -88.126 | 0.000 | -0.000 | -0.000 | 
| 128.818 | 133.764 | 351.840 | 0.000 | -0.000 | -0.000 | 
| 0.000 | 0.000 | 0.000 | 133.852 | -0.000 | -0.000 | 
| 438.807 | 1296.307 | -172.262 | -0.000 | 69.651 | -0.000 | 
| -312.078 | 604.428 | 278.162 | -0.000 | -0.000 | 93.486 | 
| -268.542 | -1216.663 | 235.002 | -0.000 | -0.000 | 0.000 | 
| -1698.506 | -1917.490 | -828.724 | 0.000 | 0.000 | 0.000 | 
| -389.163 | -1219.284 | 377.700 | 0.000 | -0.000 | 0.000 | 
| -0.000 | -0.000 | -0.000 | 133.852 | 0.000 | -0.000 | 
| -438.807 | -1296.307 | 172.262 | 0.000 | 69.651 | 0.000 | 
| 312.078 | -604.428 | -278.162 | -0.000 | -0.000 | 93.486 | 
| 231.671 | 202.947 | 148.305 | 0.000 | -0.000 | -0.000 | 
| 133.558 | 329.775 | 67.988 | 0.000 | -0.000 | -0.000 | 
| 128.818 | 133.764 | 351.840 | 0.000 | -0.000 | -0.000 | 
| 0.000 | 0.000 | 0.000 | 133.852 | -0.000 | -0.000 | 
| -31.203 | 60.434 | 27.812 | 0.000 | 91.496 | -0.000 | 
| 389.287 | 254.663 | 163.349 | 0.000 | -0.000 | 55.621 | 
| 322.960 | 158.721 | 127.680 | 0.000 | 0.000 | -0.000 | 
| 50.537 | 79.104 | 102.225 | -0.000 | 0.000 | 0.000 | 
| 128.817 | 133.764 | 351.840 | -0.000 | -0.000 | 0.000 | 
| -0.000 | -0.000 | -0.000 | 133.852 | 0.000 | 0.000 | 
| 31.203 | -60.434 | -27.812 | 0.000 | 91.496 | 0.000 | 
| -0.000 | -0.000 | -0.000 | 0.000 | 0.000 | 155.405 | 
| 322.962 | 158.722 | 127.681 | 0.000 | -0.000 | -0.000 | 
| 106.620 | 224.640 | 94.459 | 0.000 | -0.000 | -0.000 | 
| 116.114 | 138.387 | 266.311 | 0.000 | -0.000 | -0.000 | 
| 0.000 | 0.000 | 0.000 | 133.852 | 0.000 | -0.000 | 
| 0.864 | 9.974 | 0.418 | -0.000 | 78.454 | -0.000 | 
| 20.750 | 17.709 | 9.442 | -0.000 | -0.000 | 71.790 | 
| 322.959 | 158.721 | 127.680 | 0.000 | -0.000 | 0.000 | 
| 142.556 | 241.648 | 123.614 | 0.000 | 0.000 | 0.000 | 
| 125.068 | 123.960 | 272.471 | 0.000 | 0.000 | 0.000 | 
| -0.000 | -0.000 | -0.000 | 133.852 | -0.000 | 0.000 | 
| -0.864 | -9.974 | -0.418 | -0.000 | 78.454 | 0.000 | 
| -20.750 | -17.709 | -9.442 | 0.000 | -0.000 | 71.790 | 
| 1676.880 | -1706.830 | 3807.960 | -0.000 | -0.000 | -0.000 | 
| 133.615 | 351.978 | 94.501 | -0.000 | -0.000 | -0.000 | 
| 1887.981 | -2101.468 | 2579.977 | 0.000 | -0.000 | -0.000 | 
| -0.000 | 0.000 | -0.000 | 103.369 | 0.000 | -0.000 | 
| 2506.646 | 2116.653 | 9387.178 | -0.000 | 54.049 | -0.000 | 
| 1456.008 | -1799.218 | 3755.882 | -0.000 | -0.000 | 59.207 | 
| -1232.473 | 1888.481 | -3704.255 | 0.000 | 0.000 | 0.000 | 
| -1887.559 | -1679.043 | -7823.602 | 0.000 | -0.000 | 0.000 | 
| -1751.730 | 2230.467 | -2187.800 | 0.000 | -0.000 | -0.000 | 
| 0.000 | -0.000 | -0.000 | 103.369 | -0.000 | -0.000 | 
| -2506.646 | -2116.653 | -9387.178 | 0.000 | 54.049 | 0.000 | 
| -1456.008 | 1799.218 | -3755.882 | 0.000 | -0.000 | 59.206 | 
| 367.900 | -87.476 | 426.008 | -0.000 | -0.000 | 0.000 | 
| 291.757 | 33.538 | 291.554 | -0.000 | 0.000 | -0.000 | 
| 194.061 | 230.880 | 968.139 | -0.000 | 0.000 | 0.000 | 
| 146.088 | -180.486 | 375.775 | 59.534 | 0.000 | -0.000 | 
| 180.534 | -214.879 | 236.478 | -0.000 | 28.115 | -0.000 | 
| 145.587 | -179.886 | 375.046 | -0.000 | -0.000 | 59.241 | 
| 343.744 | 133.556 | 105.982 | 0.000 | -0.000 | 0.000 | 
| -74.064 | 461.046 | -188.242 | 0.000 | -0.000 | 0.000 | 
| -115.149 | 281.273 | -45.163 | -0.000 | -0.000 | 0.000 | 
| -146.088 | 180.486 | -375.775 | 59.534 | 0.000 | 0.000 | 
| -180.534 | 214.879 | -236.478 | 0.000 | 28.115 | 0.000 | 
| -145.587 | 179.886 | -375.046 | 0.000 | -0.000 | 59.241 | 
| 251.267 | 75.025 | 89.683 | 0.000 | -0.000 | -0.000 | 
| 99.488 | 173.482 | 74.633 | -0.000 | -0.000 | 0.000 | 
| 60.272 | 13.989 | 162.415 | -0.000 | -0.000 | -0.000 | 
| 23.394 | 31.639 | 93.226 | 28.746 | 0.000 | -0.000 | 
| 13.061 | -15.546 | 17.109 | -0.000 | 51.503 | 0.000 | 
| 14.860 | -18.242 | 34.947 | -0.000 | -0.000 | 59.481 | 
| 211.564 | 76.730 | -30.923 | -0.000 | 0.000 | -0.000 | 
| 52.775 | 176.516 | -88.926 | 0.000 | 0.000 | 0.000 | 
| 19.116 | -17.133 | -34.029 | 0.000 | 0.000 | 0.000 | 
| -23.394 | -31.639 | -93.226 | 28.746 | -0.000 | -0.000 | 
| -0.000 | -0.000 | -0.000 | 0.000 | 112.697 | -0.000 | 
| -20.203 | -12.563 | -74.741 | 0.000 | -0.000 | 55.075 | 
| 220.717 | 97.152 | 65.848 | 0.000 | -0.000 | -0.000 | 
| 92.512 | 224.658 | 48.894 | 0.000 | -0.000 | -0.000 | 
| 92.124 | 83.374 | 284.889 | 0.000 | -0.000 | -0.000 | 
| 0.007 | 0.000 | 0.004 | 47.397 | -0.000 | 0.000 | 
| -0.000 | 0.000 | 0.000 | 0.000 | 100.450 | 0.000 | 
| 0.006 | -0.000 | 0.003 | 0.000 | -0.000 | 73.675 | 
| 220.710 | 97.153 | 65.845 | -0.000 | 0.000 | 0.000 | 
| 92.497 | 224.658 | 48.887 | -0.000 | 0.000 | 0.000 | 
| 34.227 | 12.165 | 87.535 | -0.000 | 0.000 | 0.000 | 
| -0.004 | 0.000 | -0.002 | 58.810 | 0.000 | 0.000 | 
| 0.000 | 0.000 | -0.000 | -0.000 | 100.450 | 0.000 | 
| -0.006 | 0.000 | -0.002 | -0.000 | -0.000 | 73.675 | 
| 220.713 | 97.152 | 65.846 | 0.000 | -0.000 | -0.000 | 
| 111.956 | 312.218 | 83.374 | 0.000 | -0.000 | -0.000 | 
| 92.124 | 83.374 | 284.889 | 0.000 | -0.000 | -0.000 | 
| 0.000 | 0.000 | 0.000 | 93.434 | 0.000 | -0.000 | 
| 0.000 | 0.000 | 0.000 | 0.000 | 100.450 | 0.000 | 
| 0.000 | 0.000 | 0.000 | 0.000 | -0.000 | 118.777 | 
| 294.732 | 111.956 | 92.124 | -0.000 | -0.000 | 0.000 | 
| 92.503 | 224.656 | 48.890 | -0.000 | 0.000 | 0.000 | 
| 34.211 | 12.143 | 87.469 | -0.000 | -0.000 | -0.000 | 
| -0.000 | -0.000 | -0.000 | 93.434 | 0.000 | 0.000 | 
| -0.000 | -0.000 | -0.000 | -0.000 | 100.450 | 0.000 | 
| -0.000 | -0.000 | -0.000 | -0.000 | 0.000 | 118.777 | 
| 220.708 | 97.152 | 65.845 | 0.000 | 0.000 | 0.000 | 
| 65.930 | 164.725 | -15.226 | 0.000 | -0.000 | -0.000 | 
| 48.243 | 39.550 | 139.828 | 0.000 | -0.000 | 0.000 | 
| 0.000 | -0.000 | 0.000 | 58.810 | -0.000 | 0.000 | 
| 0.000 | 0.000 | 0.000 | 0.000 | 100.450 | -0.000 | 
| 0.000 | -0.000 | -0.000 | 0.000 | 0.000 | 61.298 | 
| 205.251 | 80.820 | 46.810 | -0.000 | 0.000 | -0.000 | 
| 92.435 | 224.348 | 48.768 | -0.000 | 0.000 | 0.000 | 
| 25.604 | 2.910 | 63.152 | 0.000 | 0.000 | -0.000 | 
| -0.000 | 0.000 | -0.000 | 58.810 | 0.000 | -0.000 | 
| -0.000 | -0.000 | -0.000 | -0.000 | 100.450 | 0.000 | 
| -0.000 | 0.000 | 0.000 | -0.000 | -0.000 | 61.298 | 
| 403.054 | 80.619 | 91.514 | 0.000 | 0.000 | -0.000 | 
| -2499.092 | 14.958 | -1827.702 | -0.001 | -0.003 | 0.006 | 
| 92.056 | 121.379 | 393.702 | 0.000 | 0.000 | -0.000 | 
| 0.000 | 0.000 | 0.000 | 123.225 | -0.000 | -0.000 | 
| -10553.045 | 17156.977 | -2227.573 | 0.000 | 26.296 | 0.003 | 
| -15570.190 | 22748.484 | 2404.767 | 0.002 | 0.003 | 136.717 | 
| 2774.231 | 241.133 | 2077.170 | 0.001 | 0.003 | -0.006 | 
| 81.442 | 370.625 | 121.659 | 0.000 | -0.000 | 0.000 | 
| 92.056 | 121.379 | 393.702 | -0.000 | -0.000 | 0.000 | 
| 0.000 | -0.000 | -0.000 | 123.225 | -0.000 | 0.000 | 
| 11586.670 | -11200.105 | 2372.891 | 0.002 | 42.303 | -0.008 | 
| 15570.190 | -22748.485 | -2404.766 | -0.002 | -0.003 | 136.718 | 
| 403.054 | 80.619 | 91.514 | 0.000 | 0.000 | -0.000 | 
| 81.442 | 370.625 | 121.659 | 0.000 | 0.000 | -0.000 | 
| -1089.805 | 1199.030 | 40.158 | -0.000 | -0.001 | 0.001 | 
| 0.000 | 0.000 | 0.000 | 123.225 | 0.000 | -0.000 | 
| -251.050 | -15.844 | -191.284 | -0.000 | 12.450 | 0.001 | 
| 0.000 | 0.000 | 0.000 | -0.000 | 0.000 | 82.778 | 
| 403.053 | 80.619 | 91.514 | -0.000 | -0.000 | 0.000 | 
| 335.441 | 195.860 | 331.849 | 0.000 | 0.000 | -0.001 | 
| 977.078 | 26.890 | 501.342 | -0.000 | 0.000 | -0.000 | 
| -0.000 | -0.000 | -0.000 | 123.225 | -0.000 | 0.000 | 
| 251.072 | 15.846 | 191.301 | 0.000 | 12.444 | -0.001 | 
| -0.000 | -0.000 | -0.000 | -0.000 | -0.000 | 82.778 | 
| 403.056 | 80.620 | 91.514 | 0.000 | 0.000 | -0.000 | 
| 23.838 | 238.285 | 81.078 | -0.000 | -0.000 | 0.000 | 
| -8.797 | 102.283 | 221.848 | -0.000 | -0.000 | 0.000 | 
| -108.995 | 168.225 | 6.212 | 35.534 | 0.000 | -0.000 | 
| -113.390 | 67.954 | -40.320 | -0.000 | 46.501 | 0.000 | 
| -96.859 | 22.603 | -51.039 | -0.000 | -0.000 | 44.764 | 
| 241.952 | 56.899 | 100.768 | 0.000 | 0.000 | -0.000 | 
| 40.999 | 78.926 | 114.844 | -0.000 | -0.000 | 0.000 | 
| 156.862 | -99.744 | 189.347 | 0.000 | 0.000 | -0.000 | 
| -0.000 | -0.000 | -0.000 | 123.225 | -0.000 | 0.000 | 
| 11.427 | 0.721 | 8.707 | 0.000 | 55.867 | -0.000 | 
| 96.859 | -22.603 | 51.039 | 0.000 | 0.000 | 44.764 | 
| 416.921 | 121.905 | 90.536 | -0.000 | 0.000 | -0.000 | 
| 122.069 | 390.352 | 107.527 | -0.000 | -0.000 | -0.000 | 
| -1401.964 | 2107.672 | -88.176 | -0.000 | 0.000 | 0.000 | 
| -1521.682 | 1992.062 | -398.343 | 39.001 | -0.000 | -0.000 | 
| 448.880 | 2041.448 | 73.902 | 0.000 | 67.760 | -0.000 | 
| 1263.675 | 3161.568 | -345.719 | -0.000 | -0.000 | 42.676 | 
| 1807.660 | -1884.211 | 528.385 | 0.000 | -0.000 | 0.000 | 
| -385.084 | -1914.336 | -91.460 | -0.000 | -0.000 | 0.000 | 
| 164.605 | -1639.260 | 1329.851 | 0.000 | 0.000 | 0.000 | 
| 1521.682 | -1992.062 | 398.343 | 39.001 | -0.000 | 0.000 | 
| -448.880 | -2041.448 | -73.902 | -0.000 | 67.760 | 0.000 | 
| -448.630 | -2041.647 | -74.009 | 0.000 | -0.000 | 51.829 | 
| 416.921 | 121.905 | 90.536 | 0.000 | 0.000 | -0.000 | 
| 122.069 | 390.352 | 107.527 | -0.000 | -0.000 | -0.000 | 
| 90.694 | 107.520 | 437.353 | -0.000 | 0.000 | 0.000 | 
| 122.256 | 316.830 | -32.995 | 70.023 | 0.000 | -0.000 | 
| -7.164 | 168.645 | -109.000 | -0.000 | 52.650 | -0.000 | 
| -6.844 | 168.701 | -109.236 | 0.000 | 0.000 | 66.002 | 
| 414.819 | -85.482 | 173.581 | -0.000 | -0.000 | 0.000 | 
| 122.069 | 390.351 | 107.527 | -0.000 | 0.000 | 0.000 | 
| 90.694 | 107.520 | 437.353 | 0.000 | -0.000 | 0.000 | 
| -122.256 | -316.830 | 32.995 | 70.023 | -0.000 | 0.000 | 
| 7.164 | -168.645 | 109.000 | 0.000 | 52.650 | 0.000 | 
| 6.844 | -168.701 | 109.236 | 0.000 | 0.000 | 66.002 | 
| 316.683 | 145.077 | 107.281 | 0.000 | 0.000 | -0.000 | 
| 125.155 | 287.365 | 107.362 | 0.000 | -0.000 | 0.000 | 
| 106.004 | 128.815 | 320.470 | -0.000 | 0.000 | -0.000 | 
| 1.166 | 14.788 | -5.398 | 60.104 | -0.000 | -0.000 | 
| -3.237 | 14.193 | -7.543 | 0.000 | 61.591 | -0.000 | 
| -2.107 | 14.990 | -8.779 | -0.000 | 0.000 | 74.802 | 
| 416.918 | 121.904 | 90.536 | -0.000 | -0.000 | 0.000 | 
| 56.606 | 143.145 | 7.490 | -0.000 | 0.000 | 0.000 | 
| 130.413 | 94.004 | 335.205 | 0.000 | -0.000 | 0.000 | 
| -1.166 | -14.788 | 5.398 | 60.104 | -0.000 | 0.000 | 
| 3.237 | -14.193 | 7.543 | -0.000 | 61.591 | 0.000 | 
| 2.107 | -14.990 | 8.779 | -0.000 | -0.000 | 74.802 | 
| 1948.605 | -848.777 | -1346.287 | 0.000 | -0.000 | -0.000 | 
| 823.828 | -313.258 | -685.124 | 0.000 | -0.000 | 0.000 | 
| 89.987 | 102.757 | 329.114 | -0.000 | -0.000 | -0.000 | 
| -0.000 | -0.000 | 0.000 | 107.141 | -0.000 | -0.000 | 
| 723.912 | -568.418 | -795.653 | 0.000 | 75.207 | -0.000 | 
| 723.917 | -568.423 | -795.660 | 0.000 | -0.000 | 76.419 | 
| -1398.902 | 1031.467 | 1520.378 | -0.000 | 0.000 | -0.000 | 
| -1583.528 | 1154.481 | 1521.471 | -0.000 | 0.000 | -0.000 | 
| -1602.702 | 1033.383 | 1669.730 | 0.000 | 0.000 | -0.000 | 
| 0.000 | 0.000 | -0.000 | 107.141 | 0.000 | -0.000 | 
| -723.912 | 568.418 | 795.653 | 0.000 | 75.207 | -0.000 | 
| -1674.688 | 940.440 | 1433.755 | 0.000 | 0.000 | 49.072 | 
| 436.585 | -2.927 | -56.771 | 0.000 | -0.000 | 0.000 | 
| 91.392 | 312.691 | 103.579 | 0.000 | -0.000 | 0.000 | 
| 194.371 | 16.599 | 255.519 | 0.000 | -0.000 | -0.000 | 
| 172.183 | -41.884 | -40.725 | 60.201 | -0.000 | 0.000 | 
| 72.579 | -56.989 | -79.771 | -0.000 | 75.160 | 0.000 | 
| 166.611 | -93.611 | -142.694 | -0.000 | -0.000 | 49.313 | 
| 112.772 | 185.164 | 230.320 | 0.000 | 0.000 | 0.000 | 
| 27.333 | 312.161 | 190.304 | 0.000 | 0.000 | -0.000 | 
| -113.615 | 111.495 | 252.101 | -0.000 | 0.000 | 0.000 | 
| -172.183 | 41.884 | 40.725 | 60.201 | 0.000 | 0.000 | 
| -72.579 | 56.989 | 79.771 | -0.000 | 75.160 | 0.000 | 
| -166.611 | 93.611 | 142.694 | 0.000 | 0.000 | 49.313 | 
| 288.063 | 86.795 | 81.020 | 0.000 | -0.000 | -0.000 | 
| 110.305 | 221.606 | 78.619 | 0.000 | -0.000 | -0.000 | 
| 77.753 | 67.029 | 224.189 | 0.000 | -0.000 | 0.000 | 
| 14.994 | -4.669 | 4.060 | 63.237 | -0.000 | 0.000 | 
| 13.477 | -7.680 | -11.660 | -0.000 | 60.076 | 0.000 | 
| 15.978 | -5.031 | -4.114 | -0.000 | -0.000 | 40.847 | 
| 268.466 | 100.608 | 103.223 | -0.000 | 0.000 | 0.000 | 
| 82.881 | 227.490 | 102.533 | -0.000 | 0.000 | 0.000 | 
| 79.063 | 92.711 | 241.804 | -0.000 | 0.000 | -0.000 | 
| -14.994 | 4.669 | -4.060 | 63.237 | 0.000 | -0.000 | 
| -13.477 | 7.680 | 11.660 | 0.000 | 60.076 | -0.000 | 
| -15.978 | 5.031 | 4.114 | -0.000 | 0.000 | 40.847 | 
| 307.792 | 58.762 | 88.555 | -0.000 | 0.000 | 0.000 | 
| 58.762 | 307.792 | 88.555 | -0.000 | 0.000 | -0.000 | 
| 88.555 | 88.555 | 304.940 | -0.000 | 0.000 | 0.000 | 
| 0.118 | 0.118 | -0.158 | 68.397 | 0.000 | 0.000 | 
| 0.118 | 0.118 | -0.158 | 0.000 | 68.397 | 0.000 | 
| -0.000 | -0.000 | -0.000 | -0.000 | 0.000 | 63.662 | 
| 307.792 | 58.762 | 88.555 | 0.000 | 0.000 | -0.000 | 
| 58.762 | 307.792 | 88.555 | 0.000 | -0.000 | 0.000 | 
| 88.555 | 88.555 | 304.940 | 0.000 | -0.000 | 0.000 | 
| -0.118 | -0.118 | 0.158 | 68.397 | -0.000 | -0.000 | 
| -0.118 | -0.118 | 0.158 | -0.000 | 68.397 | 0.000 | 
| 0.000 | 0.000 | 0.000 | 0.000 | -0.000 | 63.662 | 
| 307.793 | 58.762 | 88.555 | -0.000 | 0.000 | -0.000 | 
| 58.762 | 307.793 | 88.555 | -0.000 | -0.000 | -0.000 | 
| 88.555 | 88.555 | 304.940 | -0.000 | 0.000 | 0.000 | 
| 0.016 | 0.016 | -0.013 | 63.445 | 0.000 | -0.000 | 
| 0.000 | 0.000 | 0.000 | -0.000 | 93.431 | 0.000 | 
| 0.011 | 0.011 | -0.014 | 0.000 | 0.000 | 47.107 | 
| 229.608 | 71.294 | 94.528 | -0.000 | 0.000 | -0.000 | 
| 71.294 | 229.608 | 94.528 | -0.000 | 0.000 | 0.000 | 
| 93.788 | 93.788 | 241.067 | -0.000 | -0.000 | 0.000 | 
| -0.000 | -0.000 | -0.000 | 93.431 | -0.000 | 0.000 | 
| -0.000 | -0.000 | -0.000 | 0.000 | 93.431 | 0.000 | 
| -0.011 | -0.011 | 0.014 | -0.000 | -0.000 | 47.107 | 
| 229.606 | 71.317 | 94.505 | 0.000 | 0.000 | 0.000 | 
| 71.317 | 229.606 | 94.505 | 0.000 | 0.000 | -0.000 | 
| 56.222 | 56.222 | 174.426 | -0.000 | 0.000 | 0.000 | 
| 0.000 | 0.000 | 0.000 | 93.431 | 0.000 | -0.000 | 
| 0.000 | 0.000 | 0.000 | -0.000 | 93.431 | 0.000 | 
| 0.001 | 0.001 | -0.001 | -0.000 | -0.000 | 47.107 | 
| 160.621 | 33.573 | 63.413 | -0.000 | -0.000 | 0.000 | 
| 33.573 | 160.621 | 63.413 | -0.000 | 0.000 | -0.000 | 
| 78.795 | 78.795 | 212.118 | 0.000 | -0.000 | -0.000 | 
| -0.000 | -0.000 | -0.000 | 93.431 | -0.000 | 0.000 | 
| -0.000 | -0.000 | -0.000 | 0.000 | 93.431 | 0.000 | 
| -0.001 | -0.001 | 0.001 | -0.000 | -0.000 | 47.107 | 
| -4614.862 | -4589.649 | -20651.317 | 0.000 | -0.000 | -0.000 | 
| -3960.185 | -3822.302 | -19368.203 | -0.000 | 0.000 | 0.000 | 
| -829.654 | -829.654 | -105.339 | -0.000 | 0.000 | 0.000 | 
| -5307.304 | -5307.304 | -21540.589 | 24.803 | 0.000 | 0.000 | 
| -5307.304 | -5307.304 | -21540.589 | -0.000 | 24.803 | 0.000 | 
| -0.000 | 0.000 | 0.000 | 0.000 | -0.000 | 67.030 | 
| 1183.915 | 997.041 | 459.023 | 0.000 | 0.000 | -0.000 | 
| 997.041 | 1183.915 | 459.023 | 0.000 | -0.000 | -0.000 | 
| 1020.604 | 1020.604 | 615.430 | 0.000 | 0.000 | -0.000 | 
| 5307.304 | 5307.304 | 21540.588 | 24.803 | -0.000 | -0.000 | 
| 5307.304 | 5307.304 | 21540.589 | 0.000 | 24.803 | -0.000 | 
| 0.000 | -0.000 | -0.000 | -0.000 | -0.000 | 67.030 | 
| 167.291 | -19.574 | 63.192 | -0.000 | 0.000 | 0.000 | 
| -294.451 | -186.620 | -1835.281 | -0.000 | 0.000 | 0.000 | 
| 4.161 | 4.161 | 218.488 | -0.000 | 0.000 | 0.000 | 
| -1600.172 | -1600.172 | -2671.961 | 34.326 | -0.000 | -0.000 | 
| -1600.172 | -1600.172 | -2671.961 | 0.000 | 34.326 | 0.000 | 
| -308.941 | -308.941 | -1859.454 | 0.000 | -0.000 | -4.891 | 
| 1674.613 | 1541.645 | 2714.466 | -0.000 | 0.000 | 0.000 | 
| 1541.645 | 1674.613 | 2714.466 | -0.000 | 0.000 | 0.000 | 
| 272.969 | 272.969 | 1511.644 | -0.000 | 0.000 | -0.000 | 
| 1600.172 | 1600.172 | 2671.961 | 34.326 | 0.000 | -0.000 | 
| 1600.172 | 1600.172 | 2671.961 | -0.000 | 34.326 | -0.000 | 
| 308.941 | 308.941 | 1859.454 | -0.000 | 0.000 | -4.891 | 
| 246.229 | 63.629 | 95.681 | 0.000 | -0.000 | 0.000 | 
| 63.629 | 246.229 | 95.681 | -0.000 | 0.000 | 0.000 | 
| 61.524 | 61.524 | -103.298 | 0.000 | -0.000 | -0.000 | 
| 0.000 | 0.000 | 0.000 | 95.313 | -0.000 | -0.000 | 
| 0.000 | 0.000 | 0.000 | 0.000 | 95.313 | -0.000 | 
| -38.629 | -38.629 | -192.344 | -0.000 | 0.000 | 16.081 | 
| 31.653 | 20.811 | 122.182 | -0.000 | 0.000 | -0.000 | 
| 20.811 | 31.653 | 122.182 | -0.000 | 0.000 | -0.000 | 
| 106.728 | 106.728 | 262.107 | 0.000 | -0.000 | -0.000 | 
| -0.000 | -0.000 | -0.000 | 95.313 | 0.000 | 0.000 | 
| -0.000 | -0.000 | -0.000 | 0.000 | 95.313 | 0.000 | 
| 38.629 | 38.629 | 192.344 | 0.000 | -0.000 | 16.081 | 
| -2744.038 | -9258.588 | -12206.406 | 0.000 | -0.001 | -0.000 | 
| 669.832 | -1405.231 | -1238.125 | 0.000 | -0.002 | -0.000 | 
| -2918.169 | -4930.343 | -4815.197 | 0.000 | -0.000 | -0.000 | 
| -329.528 | -3562.066 | -2130.838 | 59.343 | -0.002 | -0.000 | 
| -329.518 | -3562.044 | -2130.828 | 0.000 | 54.294 | -0.000 | 
| -4844.965 | -5662.023 | -7127.446 | 0.000 | -0.002 | 54.324 | 
| -275.795 | 1809.911 | 1435.409 | -0.000 | 0.002 | 0.000 | 
| 422.690 | 3814.140 | 2224.561 | -0.000 | 0.002 | 0.000 | 
| -466.661 | 1812.344 | 1636.281 | -0.000 | 0.002 | 0.000 | 
| 329.528 | 3562.066 | 2130.838 | 59.343 | 0.002 | 0.000 | 
| 329.518 | 3562.044 | 2130.828 | -0.000 | 54.297 | 0.000 | 
| 4844.965 | 5662.023 | 7127.446 | -0.000 | 0.002 | 54.324 | 
| -347.967 | -514.161 | -701.748 | 0.000 | -0.000 | -0.000 | 
| 162.625 | 131.600 | -30.772 | 0.000 | -0.000 | -0.000 | 
| -269.081 | -450.587 | -344.656 | 0.000 | -0.000 | -0.000 | 
| 56.326 | -170.711 | -134.054 | 64.743 | -0.000 | -0.000 | 
| -32.955 | -356.116 | -213.025 | 0.000 | 54.306 | -0.000 | 
| -32.920 | -356.047 | -212.996 | 0.000 | -0.000 | 61.329 | 
| 262.380 | 444.063 | 287.125 | -0.000 | 0.000 | 0.000 | 
| 96.932 | 375.311 | 100.290 | -0.000 | -0.000 | -0.000 | 
| 166.095 | 1017.024 | 1021.642 | 0.000 | -0.000 | -0.000 | 
| 483.936 | 565.924 | 712.013 | 45.106 | 0.000 | 0.000 | 
| 32.955 | 356.116 | 213.025 | -0.000 | 54.306 | 0.000 | 
| 32.920 | 356.047 | 212.996 | -0.000 | 0.000 | 61.329 | 
| 280.056 | 87.431 | 83.519 | 0.000 | -0.000 | -0.000 | 
| 113.063 | 276.692 | 90.087 | 0.000 | -0.000 | -0.000 | 
| 104.235 | 86.055 | 272.168 | 0.000 | -0.000 | -0.000 | 
| 0.000 | 0.000 | 0.000 | 103.128 | -0.000 | -0.000 | 
| 5.449 | -16.514 | -12.968 | 0.000 | 60.315 | -0.000 | 
| -3.021 | -34.331 | -20.606 | 0.000 | -0.000 | 62.469 | 
| 51.202 | 96.668 | 48.909 | 0.000 | -0.000 | -0.000 | 
| 99.987 | 321.888 | 118.047 | -0.000 | 0.000 | 0.000 | 
| 78.672 | 126.872 | 251.755 | -0.000 | 0.000 | 0.000 | 
| 3.071 | 34.585 | 20.746 | 60.306 | 0.000 | 0.000 | 
| -5.449 | 16.514 | 12.968 | -0.000 | 60.315 | 0.000 | 
| 3.021 | 34.331 | 20.606 | -0.000 | 0.000 | 62.469 | 
| -3564.173 | -3590.832 | -2163.723 | 0.095 | -0.000 | 0.000 | 
| 81.535 | 365.130 | 112.685 | 0.000 | 0.000 | -0.000 | 
| 119.936 | 112.178 | 323.428 | -0.000 | 0.000 | 0.000 | 
| -0.000 | 0.000 | 0.000 | 114.796 | 0.000 | 0.000 | 
| 0.000 | -0.000 | 0.000 | 0.000 | 123.201 | 0.000 | 
| -3776.877 | -416.541 | -2113.589 | -0.507 | -0.000 | 22.669 | 
| 332.004 | 81.941 | 120.849 | 0.000 | -0.000 | -0.000 | 
| 3821.420 | 3880.454 | 2332.283 | -0.095 | 0.000 | -0.000 | 
| 3839.558 | 3729.954 | 2471.449 | -0.094 | 0.000 | -0.000 | 
| 3989.610 | 2627.345 | 2468.480 | 76.305 | 0.000 | -0.000 | 
| -0.000 | -0.000 | -0.000 | -0.000 | 123.200 | 0.000 | 
| 3776.877 | 416.541 | 2113.589 | 0.507 | 0.000 | 22.669 | 
| -183.541 | -308.213 | -141.878 | 0.009 | -0.000 | 0.000 | 
| -365.182 | -43.040 | -168.096 | 0.046 | -0.000 | 0.000 | 
| -292.617 | -282.726 | 0.075 | 0.010 | -0.000 | 0.000 | 
| -375.456 | -364.625 | -224.606 | 66.904 | 0.000 | 0.000 | 
| -375.423 | -364.559 | -224.433 | 0.009 | 61.009 | 0.000 | 
| -342.162 | 102.748 | -216.126 | 0.096 | -0.000 | 32.147 | 
| 581.862 | 288.771 | 310.498 | -0.048 | 0.000 | -0.000 | 
| 292.410 | 459.504 | 321.597 | -0.063 | 0.000 | -0.000 | 
| 119.936 | 112.178 | 323.428 | 0.000 | -0.000 | -0.000 | 
| -0.000 | -0.000 | -0.000 | 114.796 | 0.000 | 0.000 | 
| 375.423 | 364.559 | 224.433 | -0.009 | 61.009 | -0.000 | 
| 375.702 | 364.833 | 224.615 | -0.009 | 0.000 | 47.783 | 
| 129.553 | -7.905 | 31.117 | 0.008 | -0.000 | 0.000 | 
| 19.249 | 200.504 | 60.147 | 0.000 | 0.000 | 0.000 | 
| -16.050 | 63.833 | 157.542 | 0.009 | -0.000 | -0.000 | 
| -15.621 | -16.693 | -16.097 | 64.539 | -0.000 | 0.000 | 
| 0.000 | 0.000 | 0.000 | -0.000 | 123.200 | 0.000 | 
| 0.000 | 0.000 | 0.000 | 0.000 | -0.000 | 84.874 | 
| 219.644 | 90.073 | 98.952 | -0.000 | 0.000 | -0.000 | 
| 92.189 | 238.184 | 94.182 | 0.000 | 0.000 | -0.000 | 
| 126.367 | 129.879 | 258.352 | -0.005 | 0.000 | -0.000 | 
| 15.614 | 16.685 | 16.090 | 64.553 | 0.000 | 0.000 | 
| -0.000 | -0.000 | -0.000 | 0.000 | 123.200 | 0.000 | 
| -0.000 | -0.000 | -0.000 | -0.000 | -0.000 | 84.874 | 
| 217.529 | 81.651 | 99.084 | -0.000 | 0.000 | -0.000 | 
| 80.451 | 256.331 | 102.994 | -0.000 | 0.000 | -0.000 | 
| 112.752 | 104.185 | 302.541 | -0.000 | 0.000 | -0.000 | 
| -0.000 | -0.000 | 0.000 | 110.147 | 0.000 | 0.000 | 
| 0.000 | -0.001 | 0.000 | -0.000 | 79.419 | -0.000 | 
| -0.000 | -0.000 | 0.000 | -0.000 | 0.000 | 47.599 | 
| 217.531 | 81.653 | 99.083 | 0.000 | -0.000 | 0.000 | 
| 80.450 | 256.330 | 102.993 | 0.000 | -0.000 | 0.000 | 
| 103.144 | 103.102 | 243.727 | 0.000 | -0.000 | 0.000 | 
| 0.000 | 0.000 | -0.000 | 110.147 | -0.000 | 0.000 | 
| -0.000 | 0.001 | -0.000 | 0.000 | 79.419 | 0.000 | 
| 0.000 | 0.000 | -0.000 | 0.000 | -0.000 | 47.599 | 
| 311.073 | 76.352 | 112.752 | -0.000 | 0.000 | -0.000 | 
| 80.451 | 256.330 | 102.993 | -0.000 | 0.000 | 0.000 | 
| 112.752 | 104.186 | 302.541 | -0.000 | 0.000 | -0.000 | 
| 0.000 | 0.000 | 0.000 | 110.147 | 0.000 | -0.000 | 
| 0.000 | 0.000 | 0.000 | -0.000 | 119.020 | -0.000 | 
| 0.000 | 0.000 | 0.000 | -0.000 | 0.000 | 82.079 | 
| 311.073 | 76.352 | 112.752 | 0.000 | -0.000 | 0.000 | 
| 76.352 | 344.927 | 104.185 | 0.000 | -0.000 | 0.000 | 
| 112.752 | 104.185 | 302.541 | 0.000 | -0.000 | 0.000 | 
| -0.000 | -0.000 | -0.000 | 110.147 | -0.000 | 0.000 | 
| -0.000 | -0.000 | -0.000 | 0.000 | 119.020 | 0.000 | 
| -0.000 | -0.000 | -0.000 | 0.000 | -0.000 | 82.079 | 
| 217.521 | 81.653 | 99.083 | -0.000 | 0.000 | -0.000 | 
| 43.751 | 209.011 | 68.676 | -0.000 | 0.000 | -0.000 | 
| 55.909 | 65.134 | 213.731 | -0.000 | 0.000 | -0.000 | 
| 0.000 | 0.000 | 0.000 | 110.147 | 0.000 | -0.000 | 
| 0.000 | 0.000 | 0.000 | -0.000 | 119.020 | -0.000 | 
| -0.000 | 0.000 | -0.000 | -0.000 | 0.000 | 47.599 | 
| 145.615 | 11.053 | 50.245 | -0.000 | -0.000 | -0.000 | 
| 43.743 | 209.030 | 68.670 | 0.000 | -0.000 | 0.000 | 
| 112.752 | 104.185 | 302.540 | 0.000 | -0.000 | 0.000 | 
| -0.000 | -0.000 | -0.000 | 110.147 | -0.000 | 0.000 | 
| -0.000 | -0.000 | -0.000 | 0.000 | 119.020 | 0.000 | 
| 0.000 | -0.000 | 0.000 | 0.000 | -0.000 | 47.599 | 
| -341.148 | -486.536 | -521.594 | -0.000 | -0.000 | 0.938 | 
| -486.541 | -341.156 | -521.594 | 0.000 | -0.000 | -0.937 | 
| -1106.269 | -1106.270 | -188.996 | 0.000 | -0.000 | 0.000 | 
| -252.744 | -252.744 | -24.182 | 71.098 | -0.000 | 0.000 | 
| -557.847 | -557.847 | -590.864 | 0.000 | 56.595 | 0.000 | 
| -556.927 | -558.800 | -590.869 | -0.000 | -0.000 | 72.418 | 
| 776.011 | 629.570 | 660.505 | -0.000 | 0.000 | 0.936 | 
| 629.570 | 776.011 | 660.505 | 0.000 | 0.000 | -0.936 | 
| 379.505 | 379.505 | 310.261 | 0.000 | 0.000 | -0.000 | 
| 557.847 | 557.847 | 590.864 | 56.595 | 0.000 | -0.000 | 
| 557.847 | 557.847 | 590.864 | 0.000 | 56.595 | -0.000 | 
| 558.804 | 556.930 | 590.876 | -0.000 | 0.000 | 72.417 | 
| 46.248 | -16.279 | -45.122 | -0.000 | -0.000 | -20.393 | 
| -16.288 | 46.240 | -45.133 | -0.000 | 0.000 | 20.393 | 
| 101.595 | 101.595 | 269.950 | 0.000 | 0.000 | 0.000 | 
| -54.298 | -54.298 | -56.936 | 57.909 | 0.000 | 0.000 | 
| -309.651 | -309.650 | -386.096 | -0.001 | 33.434 | -0.000 | 
| 1.463 | -1.463 | 0.000 | 0.000 | 0.000 | 131.327 | 
| 405.361 | 127.593 | 125.141 | 0.000 | 0.000 | 1.463 | 
| 127.593 | 405.361 | 125.141 | -0.000 | 0.000 | -1.463 | 
| 152.302 | 152.302 | 231.048 | 0.000 | 0.000 | -0.000 | 
| 54.298 | 54.298 | 56.936 | 57.909 | 0.000 | -0.000 | 
| 309.658 | 309.658 | 386.103 | -0.001 | 33.427 | 0.000 | 
| 222.594 | 219.533 | 281.893 | -0.000 | 0.000 | 37.097 | 
| 203.742 | 47.634 | 27.591 | -0.000 | -0.000 | -0.957 | 
| 47.634 | 203.742 | 27.591 | 0.000 | -0.000 | 0.957 | 
| -4.863 | -4.863 | 90.653 | -0.000 | -0.000 | 0.000 | 
| -12.934 | -12.934 | -15.185 | 52.932 | 0.000 | 0.000 | 
| -12.934 | -12.934 | -15.185 | -0.000 | 52.932 | -0.000 | 
| -13.495 | -9.716 | -16.295 | 0.000 | -0.000 | 54.517 | 
| 218.824 | 62.461 | 42.356 | -0.000 | 0.000 | -0.874 | 
| 62.461 | 218.824 | 42.356 | -0.000 | 0.000 | 0.874 | 
| 28.586 | 28.586 | 131.582 | -0.000 | -0.000 | -0.000 | 
| 12.934 | 12.934 | 15.185 | 52.932 | 0.000 | -0.000 | 
| 50.487 | 50.488 | 60.193 | -0.000 | 13.758 | 0.001 | 
| 9.716 | 13.495 | 16.295 | -0.000 | 0.000 | 54.517 | 
| 279.884 | 120.169 | 118.371 | 0.000 | -0.000 | -4.701 | 
| 120.169 | 279.884 | 118.371 | 0.000 | -0.000 | 4.701 | 
| 118.977 | 118.977 | 270.164 | 0.000 | -0.000 | 0.000 | 
| 0.004 | 0.004 | -0.004 | 82.603 | -0.000 | 0.000 | 
| 0.004 | 0.004 | -0.004 | 0.000 | 82.603 | 0.000 | 
| -2.628 | 2.629 | 0.000 | 0.000 | -0.000 | 126.357 | 
| 231.963 | 76.772 | 78.569 | -0.000 | 0.000 | -0.805 | 
| 76.771 | 231.963 | 78.569 | 0.000 | 0.000 | 0.804 | 
| 114.932 | 114.932 | 380.912 | -0.000 | 0.000 | -0.000 | 
| -0.004 | -0.004 | 0.004 | 82.603 | 0.000 | 0.000 | 
| -0.004 | -0.004 | 0.004 | -0.000 | 82.602 | 0.000 | 
| -2.629 | 2.628 | -0.000 | -0.000 | 0.000 | 126.357 | 
| 279.917 | 120.164 | 118.373 | 0.000 | -0.000 | -4.700 | 
| 120.164 | 279.917 | 118.373 | -0.000 | 0.000 | 4.700 | 
| 71.029 | 71.029 | 206.174 | 0.000 | 0.000 | 0.000 | 
| 0.000 | 0.000 | 0.000 | 121.623 | -0.000 | 0.000 | 
| 0.000 | 0.000 | 0.000 | 0.000 | 121.623 | 0.000 | 
| -4.254 | 4.255 | -0.000 | 0.000 | -0.000 | 90.943 | 
| 231.905 | 76.779 | 78.567 | -0.000 | 0.000 | -0.806 | 
| 76.779 | 231.905 | 78.567 | 0.000 | 0.000 | 0.806 | 
| 118.971 | 118.971 | 270.161 | -0.000 | 0.000 | 0.000 | 
| -0.000 | -0.000 | -0.000 | 121.623 | -0.000 | -0.000 | 
| -0.000 | -0.000 | -0.000 | 0.000 | 121.623 | -0.000 | 
| -2.629 | 2.628 | -0.000 | 0.000 | 0.000 | 126.357 | 
| 279.861 | 120.165 | 118.377 | 0.000 | -0.000 | -4.701 | 
| 120.165 | 279.861 | 118.377 | 0.000 | -0.000 | 4.701 | 
| 71.022 | 71.022 | 206.140 | 0.000 | -0.000 | 0.000 | 
| 0.000 | 0.000 | -0.000 | 74.635 | 0.000 | -0.000 | 
| 0.000 | 0.000 | -0.000 | -0.000 | 74.635 | 0.000 | 
| -2.628 | 2.629 | 0.000 | -0.000 | -0.000 | 126.357 | 
| 279.890 | 120.163 | 118.374 | 0.000 | 0.000 | -4.700 | 
| 120.163 | 279.890 | 118.374 | -0.000 | 0.000 | 4.700 | 
| 118.970 | 118.970 | 270.176 | -0.000 | 0.000 | 0.000 | 
| -0.000 | -0.000 | 0.000 | 74.635 | 0.000 | 0.000 | 
| -0.000 | -0.000 | 0.000 | -0.000 | 74.635 | -0.000 | 
| -2.629 | 2.628 | -0.000 | 0.000 | 0.000 | 126.357 | 
| 2151.186 | 1213.012 | 1643.184 | 0.000 | -0.000 | 0.000 | 
| 1071.816 | 321.906 | 1340.717 | 0.000 | -0.000 | 0.000 | 
| 2041.017 | 1221.595 | 1730.083 | -0.000 | -0.000 | 0.000 | 
| 978.619 | 75.078 | 1228.542 | 58.206 | -0.000 | 0.000 | 
| 978.636 | 75.079 | 1228.563 | 0.000 | 63.647 | 0.000 | 
| 978.643 | 75.080 | 1228.571 | 0.000 | -0.000 | 40.323 | 
| -1775.683 | -1076.348 | -1482.834 | -0.000 | 0.000 | -0.000 | 
| -840.711 | -1226.545 | -1527.552 | -0.000 | 0.000 | -0.000 | 
| -844.729 | -1383.110 | -1432.901 | -0.000 | 0.000 | 0.000 | 
| -978.619 | -75.078 | -1228.542 | 58.206 | 0.000 | 0.000 | 
| -978.636 | -75.079 | -1228.563 | 0.000 | 63.647 | 0.000 | 
| -978.643 | -75.080 | -1228.571 | -0.000 | 0.000 | 40.323 | 
| 346.720 | 90.315 | 127.365 | -0.000 | -0.000 | 0.000 | 
| 105.905 | 324.785 | 199.293 | 0.000 | -0.000 | 0.000 | 
| 218.437 | 126.158 | 348.156 | 0.000 | -0.000 | 0.000 | 
| 96.296 | 7.388 | 120.888 | 59.458 | -0.000 | 0.000 | 
| 96.384 | 7.394 | 120.999 | 0.000 | 64.680 | -0.000 | 
| 96.511 | 7.404 | 121.158 | -0.000 | -0.000 | 41.065 | 
| 136.306 | 204.885 | -28.084 | 0.000 | 0.000 | -0.000 | 
| 91.099 | 335.569 | 131.733 | 0.000 | 0.000 | -0.000 | 
| 128.506 | 132.090 | 292.499 | 0.000 | -0.000 | -0.000 | 
| -96.296 | -7.388 | -120.888 | 59.458 | 0.000 | 0.000 | 
| -96.384 | -7.394 | -120.999 | -0.000 | 64.680 | -0.000 | 
| -96.511 | -7.404 | -121.158 | -0.000 | 0.000 | 41.065 | 
| 216.468 | 72.886 | 87.056 | 0.000 | -0.000 | 0.000 | 
| 82.723 | 214.482 | 92.423 | 0.000 | -0.000 | 0.000 | 
| 42.901 | 56.894 | 152.773 | 0.000 | -0.000 | 0.000 | 
| 6.683 | 0.513 | 8.390 | 83.025 | -0.000 | 0.000 | 
| 6.709 | 0.515 | 8.422 | 0.000 | 85.134 | 0.000 | 
| 6.463 | 0.496 | 8.114 | -0.000 | -0.000 | 58.553 | 
| 207.882 | 54.984 | 70.314 | -0.000 | 0.000 | -0.000 | 
| 88.581 | 245.713 | 106.191 | -0.000 | 0.000 | -0.000 | 
| 36.500 | 38.225 | 117.886 | -0.000 | 0.000 | -0.000 | 
| -6.683 | -0.513 | -8.390 | 83.025 | 0.000 | -0.000 | 
| -6.709 | -0.515 | -8.422 | 0.000 | 85.134 | -0.000 | 
| -6.463 | -0.496 | -8.114 | -0.000 | 0.000 | 58.553 | 
| 327.039 | 85.542 | 115.901 | 0.000 | -0.000 | 0.000 | 
| 85.542 | 319.597 | 122.216 | 0.000 | -0.000 | -0.000 | 
| 115.901 | 122.216 | 282.550 | 0.000 | -0.000 | -0.000 | 
| -0.300 | 0.153 | -0.174 | 86.913 | -0.000 | 0.000 | 
| -0.000 | -0.000 | 0.000 | 0.000 | 121.471 | -0.000 | 
| -0.275 | 0.140 | -0.159 | 0.000 | -0.000 | 64.365 | 
| 327.039 | 85.542 | 115.901 | -0.000 | 0.000 | 0.000 | 
| 85.542 | 319.597 | 122.216 | -0.000 | 0.000 | 0.000 | 
| 110.485 | 115.927 | 228.949 | -0.000 | 0.000 | 0.000 | 
| 0.300 | -0.153 | 0.174 | 86.913 | 0.000 | 0.000 | 
| 0.000 | 0.000 | -0.000 | -0.000 | 121.471 | 0.000 | 
| 0.275 | -0.140 | 0.159 | -0.000 | 0.000 | 64.365 | 
| 254.986 | 91.975 | 110.069 | 0.000 | -0.000 | -0.000 | 
| 69.577 | 216.712 | 87.207 | 0.000 | -0.000 | -0.000 | 
| 115.901 | 122.216 | 282.550 | 0.000 | -0.000 | -0.000 | 
| -0.030 | 0.015 | -0.017 | 86.934 | -0.000 | 0.000 | 
| -0.030 | 0.015 | -0.017 | 0.000 | 85.854 | -0.000 | 
| -0.027 | 0.014 | -0.016 | 0.000 | -0.000 | 64.399 | 
| 327.039 | 85.542 | 115.901 | -0.000 | 0.000 | 0.000 | 
| 37.433 | 182.591 | 61.196 | -0.000 | 0.000 | 0.000 | 
| 81.801 | 84.972 | 190.384 | -0.000 | 0.000 | 0.000 | 
| 0.030 | -0.015 | 0.017 | 86.934 | 0.000 | 0.000 | 
| 0.030 | -0.015 | 0.017 | -0.000 | 85.854 | 0.000 | 
| 0.027 | -0.014 | 0.016 | -0.000 | 0.000 | 64.399 | 
| 223.598 | 67.339 | 82.719 | 0.000 | -0.000 | -0.000 | 
| 69.632 | 216.809 | 87.303 | 0.000 | -0.000 | -0.000 | 
| 115.901 | 122.216 | 282.550 | 0.000 | -0.000 | -0.000 | 
| -0.003 | 0.001 | -0.002 | 86.934 | -0.000 | -0.000 | 
| 0.000 | 0.000 | 0.000 | -0.000 | 121.471 | -0.000 | 
| 0.000 | 0.000 | 0.000 | -0.000 | -0.000 | 91.037 | 
| 223.536 | 67.306 | 82.703 | -0.000 | 0.000 | 0.000 | 
| 91.879 | 252.074 | 116.238 | -0.000 | 0.000 | 0.000 | 
| 43.875 | 38.749 | 122.181 | -0.000 | 0.000 | 0.000 | 
| 0.003 | -0.001 | 0.002 | 86.934 | 0.000 | 0.000 | 
| -0.000 | -0.000 | -0.000 | -0.000 | 121.471 | 0.000 | 
| -0.000 | -0.000 | -0.000 | -0.000 | 0.000 | 91.037 | 
| -2879.808 | -2278.452 | -4322.194 | 0.000 | 0.000 | -0.000 | 
| -1685.176 | -144.345 | -707.347 | -0.000 | -0.000 | 0.000 | 
| -1659.732 | -340.598 | -530.581 | -0.000 | 0.000 | 0.000 | 
| -1658.117 | -2266.620 | -2190.604 | 66.851 | 0.000 | 0.000 | 
| -1771.194 | -455.922 | -820.623 | 0.000 | 76.825 | 0.000 | 
| -1658.128 | -2266.661 | -2190.639 | 0.000 | 0.000 | 55.422 | 
| 2067.738 | 549.951 | 936.779 | -0.000 | -0.000 | -0.000 | 
| 78.468 | 384.606 | 113.952 | 0.000 | 0.000 | 0.000 | 
| 113.222 | 113.666 | 349.497 | 0.000 | -0.000 | 0.000 | 
| 1658.117 | 2266.620 | 2190.604 | 66.851 | -0.000 | 0.000 | 
| 1771.194 | 455.922 | 820.623 | -0.000 | 76.825 | -0.000 | 
| 1658.128 | 2266.661 | 2190.639 | -0.000 | -0.000 | 55.422 | 
| -60.846 | -205.691 | -99.298 | 0.000 | 0.000 | -0.000 | 
| -90.847 | 263.322 | 31.180 | -0.000 | -0.000 | 0.000 | 
| -67.227 | 69.382 | 205.735 | -0.000 | 0.000 | 0.000 | 
| -165.677 | -226.220 | -218.683 | 66.905 | -0.000 | -0.000 | 
| 0.000 | 0.000 | 0.000 | 0.000 | 115.375 | -0.000 | 
| 0.000 | 0.000 | 0.000 | 0.000 | -0.000 | 81.057 | 
| 389.227 | 310.722 | 320.228 | -0.000 | 0.000 | -0.000 | 
| 247.977 | 483.191 | 331.937 | -0.000 | 0.000 | -0.000 | 
| 262.092 | 335.863 | 455.780 | 0.000 | -0.000 | -0.000 | 
| 165.677 | 226.220 | 218.683 | 66.905 | -0.000 | 0.000 | 
| -0.000 | -0.000 | -0.000 | 0.000 | 115.375 | 0.000 | 
| -0.000 | -0.000 | -0.000 | -0.000 | 0.000 | 81.057 | 
| 146.620 | 32.815 | 36.786 | 0.000 | 0.000 | -0.000 | 
| 74.019 | 283.637 | 106.333 | 0.000 | 0.000 | 0.000 | 
| 92.371 | 111.017 | 264.311 | -0.000 | 0.000 | 0.000 | 
| -16.814 | -4.328 | -7.790 | 77.329 | 0.000 | 0.000 | 
| -16.883 | -4.346 | -7.822 | 0.000 | 78.629 | 0.000 | 
| -16.141 | -4.155 | -7.478 | 0.000 | -0.000 | 56.426 | 
| 220.877 | 97.637 | 114.618 | -0.000 | 0.000 | -0.000 | 
| -10.115 | 128.981 | 73.450 | 0.000 | -0.000 | -0.000 | 
| 63.714 | 98.600 | 204.548 | -0.000 | 0.000 | 0.000 | 
| 16.814 | 4.328 | 7.790 | 77.329 | -0.000 | 0.000 | 
| 16.883 | 4.346 | 7.822 | -0.000 | 78.629 | 0.000 | 
| 16.141 | 4.155 | 7.478 | -0.000 | 0.000 | 56.426 | 
| 1394.795 | -926.905 | 2526.059 | -0.000 | 0.000 | 0.000 | 
| 2780.478 | -187.814 | 3166.050 | 0.000 | 0.000 | -0.000 | 
| 1273.152 | -959.519 | 2703.140 | -0.000 | 0.000 | -0.000 | 
| 9757.352 | 391.229 | 4797.859 | 29.826 | 0.000 | -0.000 | 
| 1150.944 | -1041.144 | 2407.423 | -0.000 | 72.394 | -0.000 | 
| 1150.946 | -1041.146 | 2407.428 | 0.000 | 0.000 | 75.011 | 
| -907.305 | 1155.383 | -2288.703 | 0.000 | -0.000 | 0.000 | 
| -8701.771 | -1490.613 | -6665.226 | 0.000 | -0.000 | 0.000 | 
| -5294.758 | -3279.964 | -3611.426 | 0.000 | 0.000 | 0.000 | 
| -9757.353 | -391.233 | -4797.857 | 29.827 | -0.000 | -0.000 | 
| -1150.944 | 1041.144 | -2407.423 | 0.000 | 72.393 | 0.000 | 
| -1150.946 | 1041.146 | -2407.428 | -0.000 | -0.000 | 75.011 | 
| 506.418 | 36.682 | 405.912 | -0.000 | 0.000 | 0.000 | 
| 225.908 | 180.488 | 319.893 | -0.000 | 0.000 | -0.000 | 
| 638.015 | 358.905 | 654.555 | -0.000 | 0.000 | -0.000 | 
| 270.615 | -42.229 | 308.911 | 51.686 | 0.000 | -0.000 | 
| 0.000 | 0.000 | 0.000 | 0.000 | 110.846 | 0.000 | 
| 115.023 | -104.050 | 240.593 | -0.000 | 0.000 | 75.033 | 
| -34.214 | 120.105 | -213.688 | -0.000 | -0.000 | 0.000 | 
| 107.079 | 347.394 | 68.229 | -0.000 | -0.000 | 0.000 | 
| -437.911 | -294.847 | -117.113 | -0.000 | -0.000 | 0.000 | 
| -270.615 | 42.229 | -308.911 | 51.686 | -0.000 | 0.000 | 
| -0.000 | -0.000 | -0.000 | 0.000 | 110.846 | 0.000 | 
| -115.023 | 104.050 | -240.593 | 0.000 | -0.000 | 75.033 | 
| 267.053 | 103.042 | 140.241 | -0.000 | 0.000 | 0.000 | 
| 107.080 | 347.396 | 68.229 | 0.000 | 0.000 | -0.000 | 
| 124.071 | 76.495 | 310.305 | -0.000 | 0.000 | -0.000 | 
| 90.001 | 0.147 | 41.976 | 32.147 | -0.000 | 0.000 | 
| 24.784 | -5.176 | 29.951 | -0.000 | 70.644 | 0.000 | 
| 60.936 | 33.734 | 36.660 | -0.000 | 0.000 | 38.382 | 
| 206.714 | 86.613 | 66.339 | 0.000 | -0.000 | 0.000 | 
| 36.703 | 215.744 | 47.325 | 0.000 | 0.000 | -0.000 | 
| 78.294 | 86.147 | 255.341 | 0.000 | -0.000 | 0.000 | 
| -26.018 | 4.882 | -30.743 | 51.484 | -0.000 | 0.000 | 
| -24.784 | 5.176 | -29.951 | -0.000 | 70.644 | 0.000 | 
| -50.318 | -27.724 | -37.397 | 0.000 | -0.000 | 46.665 | 
| 2842.227 | 408.204 | 2724.767 | -0.000 | 0.000 | 0.000 | 
| 2765.254 | -1068.590 | -265.642 | -0.000 | 0.000 | 0.000 | 
| 132.399 | 105.647 | 389.903 | -0.000 | 0.000 | -0.000 | 
| 2624.831 | -1419.184 | -377.686 | 73.235 | -0.000 | -0.000 | 
| 2625.234 | -1419.402 | -377.744 | -0.000 | 97.801 | -0.000 | 
| 0.000 | 0.000 | 0.000 | -0.000 | 0.000 | 136.223 | 
| -2527.479 | -264.802 | -2699.823 | 0.000 | -0.000 | 0.000 | 
| -2636.831 | -129.258 | -2707.810 | 0.000 | -0.000 | -0.000 | 
| -2500.140 | 1539.241 | 703.393 | 0.000 | -0.000 | -0.000 | 
| -2624.831 | 1419.184 | 377.686 | 73.235 | -0.000 | 0.000 | 
| -2625.234 | 1419.402 | 377.744 | 0.000 | 97.801 | 0.000 | 
| -0.000 | -0.000 | -0.000 | 0.000 | -0.000 | 136.223 | 
| 601.691 | -11.212 | 96.325 | -0.000 | -0.000 | 0.000 | 
| 344.135 | 149.612 | 234.243 | -0.000 | -0.000 | -0.000 | 
| 132.399 | 105.647 | 389.903 | -0.000 | 0.000 | -0.000 | 
| 263.367 | -142.396 | -37.896 | 73.123 | -0.000 | -0.000 | 
| 267.210 | 33.234 | 268.657 | -0.000 | 22.928 | -0.000 | 
| 262.057 | -141.688 | -37.707 | -0.000 | -0.000 | 84.485 | 
| -91.981 | 44.142 | -239.536 | 0.000 | 0.000 | 0.000 | 
| -138.729 | 428.510 | -100.981 | 0.000 | -0.000 | 0.000 | 
| 132.399 | 105.647 | 389.903 | 0.000 | 0.000 | -0.000 | 
| -263.367 | 142.396 | 37.896 | 73.123 | -0.000 | -0.000 | 
| -267.208 | -33.236 | -268.647 | 0.000 | 22.931 | 0.000 | 
| -262.057 | 141.688 | 37.707 | 0.000 | -0.000 | 84.485 | 
| 291.022 | 94.108 | 101.712 | -0.000 | 0.000 | 0.000 | 
| 140.167 | 305.758 | 109.932 | -0.000 | -0.000 | 0.000 | 
| 161.858 | 100.163 | 319.084 | -0.000 | 0.000 | 0.000 | 
| 26.025 | -14.071 | -3.745 | 73.519 | 0.000 | -0.000 | 
| 23.035 | -14.148 | 11.305 | -0.000 | 72.933 | 0.000 | 
| 24.550 | -13.273 | -3.532 | -0.000 | 0.000 | 87.755 | 
| 220.948 | 81.417 | 48.129 | 0.000 | -0.000 | 0.000 | 
| 97.123 | 351.469 | 121.519 | -0.000 | -0.000 | 0.000 | 
| 31.887 | 45.440 | 198.101 | 0.000 | -0.000 | -0.000 | 
| -21.719 | -0.244 | -19.921 | 45.109 | -0.000 | 0.000 | 
| -23.035 | 14.148 | -11.305 | 0.000 | 72.933 | -0.000 | 
| -24.550 | 13.273 | 3.532 | 0.000 | -0.000 | 87.755 | 
| 307.611 | 51.781 | 95.748 | -0.000 | -0.000 | -0.000 | 
| 51.781 | 307.611 | 95.748 | -0.000 | -0.000 | 0.000 | 
| 458.535 | 460.814 | 1239.374 | 0.809 | 1.527 | 0.000 | 
| 0.000 | 0.000 | 0.000 | 97.754 | -0.000 | 0.000 | 
| -0.000 | 0.000 | 0.000 | 0.000 | 97.755 | 0.000 | 
| 0.000 | 0.000 | 0.000 | -0.000 | -0.000 | 51.328 | 
| -2215.625 | -2360.380 | -1564.875 | -1.238 | -2.402 | -0.000 | 
| -2356.712 | -2219.324 | -1564.848 | -1.238 | -2.401 | -0.000 | 
| 96.830 | 96.830 | 283.469 | -0.000 | 0.000 | -0.000 | 
| -0.000 | -0.000 | -0.000 | 97.754 | 0.000 | -0.000 | 
| -0.000 | 0.000 | -0.000 | 0.000 | 97.755 | 0.000 | 
| 0.000 | -0.000 | 0.000 | 0.000 | 0.000 | 51.328 | 
| 307.611 | 51.781 | 95.748 | -0.000 | -0.000 | -0.000 | 
| 51.781 | 307.611 | 95.748 | 0.000 | -0.000 | -0.000 | 
| 96.830 | 96.830 | 283.469 | 0.000 | -0.000 | 0.000 | 
| 325.303 | 325.263 | 150.922 | 40.854 | -0.016 | -0.000 | 
| 325.376 | 325.336 | 150.981 | -0.005 | 40.830 | -0.000 | 
| 318.477 | 318.651 | 66.702 | 0.048 | 0.097 | 23.507 | 
| -75.900 | -219.554 | -126.643 | -0.118 | -0.229 | -0.000 | 
| 51.781 | 307.611 | 95.748 | 0.000 | 0.000 | -0.000 | 
| 96.830 | 96.830 | 283.469 | 0.000 | 0.000 | 0.000 | 
| -325.355 | -325.316 | -151.003 | 40.838 | 0.016 | 0.000 | 
| -325.357 | -325.318 | -151.010 | 0.005 | 40.843 | -0.000 | 
| -318.477 | -318.651 | -66.702 | -0.048 | -0.097 | 23.507 | 
| 232.217 | 68.578 | 98.223 | 0.007 | 0.013 | 0.000 | 
| 34.142 | 157.124 | 48.461 | -0.000 | -0.001 | 0.000 | 
| 93.025 | 93.048 | 214.427 | 0.008 | 0.016 | 0.000 | 
| 2.641 | 2.658 | 7.395 | 60.309 | 0.011 | 0.000 | 
| 26.807 | 26.810 | 16.250 | 0.002 | 41.861 | 0.000 | 
| 2.826 | 2.844 | 7.912 | 0.006 | 0.012 | 35.098 | 
| 168.997 | 26.112 | 45.378 | 0.001 | 0.001 | -0.000 | 
| 26.153 | 168.998 | 45.403 | 0.001 | 0.001 | -0.000 | 
| 35.001 | 34.978 | 139.511 | -0.008 | -0.015 | -0.000 | 
| -26.803 | -26.806 | -16.252 | 41.846 | -0.003 | -0.000 | 
| -27.091 | -27.109 | -7.293 | -0.005 | 30.627 | -0.000 | 
| -2.826 | -2.844 | -7.912 | -0.006 | -0.012 | 35.098 | 
| 175.280 | 33.562 | 53.600 | -0.000 | -0.000 | -0.000 | 
| 33.562 | 175.280 | 53.600 | 0.000 | 0.000 | -0.000 | 
| 41.448 | 41.448 | 138.273 | -0.000 | -0.000 | 0.000 | 
| -0.000 | -0.000 | 0.000 | 61.302 | -0.000 | -0.000 | 
| -0.000 | -0.000 | 0.000 | -0.000 | 61.302 | -0.000 | 
| 0.000 | -0.000 | -0.000 | 0.000 | -0.000 | 49.694 | 
| 207.605 | 55.277 | 78.245 | 0.000 | 0.000 | 0.000 | 
| 55.277 | 207.605 | 78.245 | 0.000 | 0.000 | 0.000 | 
| 52.133 | 52.133 | 155.213 | 0.000 | -0.000 | 0.000 | 
| 0.000 | 0.000 | -0.000 | 61.302 | -0.000 | 0.000 | 
| 0.000 | 0.000 | -0.000 | -0.000 | 61.302 | 0.000 | 
| -0.000 | 0.000 | -0.000 | 0.000 | 0.000 | 49.694 | 
| 279.728 | 44.973 | 84.514 | -0.000 | -0.000 | -0.000 | 
| 44.973 | 279.728 | 84.514 | -0.000 | -0.000 | -0.000 | 
| 41.453 | 41.453 | 138.285 | 0.000 | -0.000 | -0.000 | 
| 0.000 | 0.000 | 0.000 | 89.424 | -0.000 | -0.000 | 
| 0.000 | 0.000 | 0.000 | -0.000 | 89.424 | -0.000 | 
| -0.000 | -0.000 | 0.000 | 0.000 | -0.000 | 38.551 | 
| 207.583 | 55.280 | 78.243 | 0.000 | -0.000 | -0.000 | 
| 55.280 | 207.583 | 78.243 | 0.000 | 0.000 | 0.000 | 
| 84.514 | 84.514 | 260.345 | 0.000 | 0.000 | 0.000 | 
| -0.000 | -0.000 | -0.000 | 89.424 | 0.000 | 0.000 | 
| -0.000 | 0.000 | -0.000 | -0.000 | 89.424 | 0.000 | 
| 0.000 | 0.000 | -0.000 | 0.000 | 0.000 | 38.551 | 
| 279.729 | 44.973 | 84.514 | -0.000 | 0.000 | -0.000 | 
| 44.973 | 279.729 | 84.514 | -0.000 | -0.000 | -0.000 | 
| 52.159 | 52.159 | 155.502 | -0.000 | -0.000 | -0.000 | 
| 0.000 | 0.000 | 0.000 | 89.424 | -0.000 | -0.000 | 
| 0.000 | 0.000 | 0.000 | -0.000 | 89.424 | -0.000 | 
| 0.000 | 0.000 | 0.000 | -0.000 | -0.000 | 49.694 | 
| 139.853 | 29.096 | 43.489 | -0.000 | 0.000 | 0.000 | 
| 29.097 | 139.854 | 43.489 | 0.000 | -0.000 | 0.000 | 
| 77.991 | 77.991 | 191.412 | 0.000 | -0.000 | -0.000 | 
| -0.000 | -0.000 | -0.000 | 89.424 | 0.000 | 0.000 | 
| -0.000 | -0.000 | -0.000 | 0.000 | 89.424 | 0.000 | 
| -0.000 | -0.000 | -0.000 | 0.000 | 0.000 | 49.694 | 
| 215.825 | 44.921 | 65.521 | -0.000 | 0.000 | 0.000 | 
| 39.932 | 151.849 | 26.311 | -0.000 | 0.000 | 0.000 | 
| 81.698 | 65.771 | 236.045 | -0.000 | -0.000 | 0.000 | 
| 0.107 | 0.048 | 0.055 | 43.106 | -0.000 | 0.000 | 
| 0.043 | -0.004 | 0.020 | -0.000 | 62.153 | 0.000 | 
| -0.000 | 0.000 | 0.000 | -0.000 | 0.000 | 91.963 | 
| 232.503 | 77.602 | 83.719 | -0.000 | -0.000 | 0.000 | 
| 77.462 | 189.055 | 66.918 | -0.000 | 0.000 | -0.000 | 
| 103.085 | 79.013 | 321.234 | 0.000 | -0.000 | -0.000 | 
| -0.107 | -0.048 | -0.055 | 43.106 | 0.000 | -0.000 | 
| -0.043 | 0.004 | -0.020 | 0.000 | 62.153 | -0.000 | 
| 0.000 | -0.000 | -0.000 | 0.000 | -0.000 | 91.963 | 
| 311.125 | 83.650 | 103.084 | -0.000 | 0.000 | -0.000 | 
| 83.649 | 316.808 | 79.013 | -0.000 | 0.000 | 0.000 | 
| 103.084 | 79.013 | 321.234 | 0.000 | -0.000 | 0.000 | 
| -0.000 | 0.000 | 0.000 | 87.516 | 0.000 | -0.000 | 
| 0.000 | 0.000 | 0.000 | 0.000 | 108.240 | -0.000 | 
| 0.004 | -0.000 | 0.002 | -0.000 | 0.000 | 66.746 | 
| 311.125 | 83.649 | 103.084 | 0.000 | 0.000 | 0.000 | 
| 83.649 | 316.808 | 79.013 | 0.000 | -0.000 | 0.000 | 
| 81.623 | 65.780 | 236.015 | -0.000 | -0.000 | 0.000 | 
| -0.005 | 0.000 | -0.002 | 54.655 | 0.000 | -0.000 | 
| -0.000 | -0.000 | -0.000 | 0.000 | 108.240 | 0.000 | 
| -0.004 | 0.000 | -0.002 | -0.000 | 0.000 | 66.746 | 
| 232.557 | 77.595 | 83.747 | -0.000 | 0.000 | 0.000 | 
| 77.528 | 189.073 | 66.951 | 0.000 | -0.000 | 0.000 | 
| 95.927 | -7.330 | 153.420 | -0.000 | -0.000 | 0.000 | 
| 0.001 | 0.000 | 0.001 | 43.106 | -0.000 | -0.000 | 
| 0.001 | 0.000 | 0.000 | -0.000 | 52.280 | 0.000 | 
| 0.000 | 0.000 | 0.000 | -0.000 | 0.000 | 66.746 | 
| 219.984 | 45.834 | 79.897 | -0.000 | 0.000 | -0.000 | 
| 77.528 | 189.137 | 66.955 | 0.000 | -0.000 | -0.000 | 
| 77.599 | 21.039 | 213.125 | 0.000 | -0.000 | -0.000 | 
| -0.001 | -0.000 | -0.001 | 43.106 | -0.000 | -0.000 | 
| -0.001 | -0.000 | -0.000 | -0.000 | 52.280 | 0.000 | 
| -0.000 | -0.000 | -0.000 | -0.000 | -0.000 | 66.746 | 
| 2633.240 | -1058.432 | 522.838 | 0.007 | 0.125 | -0.000 | 
| 2707.305 | 827.425 | -668.197 | 0.010 | 0.230 | -0.000 | 
| 2494.610 | -1071.078 | 698.130 | 0.007 | 0.125 | -0.000 | 
| 0.000 | 0.000 | 0.000 | 95.373 | 0.000 | 0.000 | 
| 0.000 | 0.000 | 0.000 | 0.000 | 121.372 | 0.000 | 
| 2364.868 | -1134.515 | 419.497 | 0.007 | 0.124 | 53.153 | 
| -2097.135 | 1212.082 | -316.201 | -0.007 | -0.123 | 0.000 | 
| 94.752 | 357.526 | 90.880 | 0.000 | -0.000 | -0.000 | 
| -2236.700 | 1199.270 | -138.771 | -0.007 | -0.122 | 0.000 | 
| -0.000 | -0.000 | -0.000 | 95.373 | -0.000 | -0.000 | 
| -0.000 | -0.000 | -0.000 | 0.000 | 121.372 | -0.000 | 
| -2364.868 | 1134.515 | -419.497 | -0.007 | -0.124 | 53.153 | 
| 514.853 | 129.718 | -46.246 | -0.000 | -0.004 | 0.000 | 
| 351.749 | 162.389 | -120.296 | 0.000 | -0.001 | -0.000 | 
| 366.351 | -52.972 | 308.378 | 0.001 | 0.014 | -0.000 | 
| 269.133 | 75.823 | -66.412 | 30.161 | 0.023 | -0.000 | 
| 0.000 | 0.000 | 0.000 | 0.000 | 121.372 | 0.000 | 
| 269.256 | 79.002 | -68.106 | 0.001 | 0.023 | 59.607 | 
| 31.832 | 194.295 | 61.655 | -0.001 | -0.011 | 0.000 | 
| -226.678 | 294.868 | 18.884 | -0.001 | -0.017 | 0.000 | 
| -111.688 | 181.765 | 246.366 | -0.001 | -0.011 | 0.000 | 
| -269.133 | -75.825 | 66.413 | 30.159 | -0.023 | 0.000 | 
| -0.000 | -0.000 | -0.000 | 0.000 | 121.372 | -0.000 | 
| -269.256 | -79.002 | 68.106 | -0.001 | -0.023 | 59.607 | 
| 265.404 | 77.463 | 102.812 | 0.000 | 0.001 | -0.000 | 
| 67.972 | 164.138 | 25.192 | 0.000 | 0.000 | -0.000 | 
| 121.106 | 90.357 | 373.149 | 0.000 | -0.000 | 0.000 | 
| 32.754 | 7.994 | -6.803 | 40.889 | 0.000 | -0.000 | 
| 0.000 | 0.000 | 0.000 | -0.000 | 121.372 | 0.000 | 
| 16.193 | -7.768 | 2.872 | 0.000 | 0.001 | 67.510 | 
| 208.274 | 37.937 | 72.105 | -0.000 | -0.001 | 0.000 | 
| 27.158 | 60.812 | 33.515 | 0.001 | 0.018 | -0.000 | 
| 121.105 | 90.356 | 373.145 | 0.000 | 0.000 | -0.000 | 
| -32.754 | -7.994 | 6.803 | 40.889 | -0.000 | 0.000 | 
| -0.000 | -0.000 | -0.000 | 0.000 | 121.372 | -0.000 | 
| -16.193 | 7.768 | -2.872 | -0.000 | -0.001 | 67.510 | 
| -1518.803 | -1139.483 | -398.530 | 3.995 | 0.037 | 0.000 | 
| 96.473 | 383.834 | 117.997 | -0.000 | 0.000 | -0.000 | 
| -1497.381 | 427.200 | -18.923 | -0.188 | -0.002 | -0.000 | 
| 0.000 | 0.000 | 0.000 | 120.616 | 0.000 | 0.000 | 
| 0.000 | 0.000 | 0.000 | -0.000 | 123.125 | -0.000 | 
| -1579.571 | 343.189 | -224.346 | -0.260 | -0.003 | 60.255 | 
| 896.359 | -280.442 | 544.592 | -2.602 | -0.024 | 0.000 | 
| 765.103 | -108.734 | 533.233 | -2.628 | -0.024 | 0.000 | 
| 121.696 | 117.758 | 339.780 | -0.000 | -0.000 | -0.000 | 
| -0.000 | 0.000 | -0.000 | 120.616 | 0.000 | -0.000 | 
| -0.000 | -0.000 | -0.000 | -0.000 | 123.125 | 0.000 | 
| 664.161 | -390.466 | 421.422 | -2.643 | -0.024 | 54.075 | 
| 7.437 | -73.675 | -31.364 | 0.440 | 0.004 | 0.000 | 
| 96.473 | 383.834 | 117.997 | 0.000 | 0.000 | 0.000 | 
| 69.205 | 149.758 | 207.209 | 0.240 | 0.002 | -0.000 | 
| 0.000 | 0.000 | 0.000 | 120.616 | -0.000 | 0.000 | 
| -157.242 | 34.142 | -22.304 | -0.026 | 62.738 | -0.000 | 
| 0.000 | 0.000 | 0.000 | 0.000 | -0.000 | 98.646 | 
| 366.741 | 95.784 | 121.246 | -0.000 | 0.000 | -0.000 | 
| 167.548 | 246.852 | 154.462 | -0.252 | -0.002 | 0.000 | 
| 202.167 | 71.794 | 273.679 | -0.283 | -0.003 | 0.000 | 
| -0.000 | -0.000 | -0.000 | 120.616 | 0.000 | -0.000 | 
| 169.339 | 114.191 | 14.960 | 0.290 | 7.937 | 0.000 | 
| -0.000 | -0.000 | -0.000 | -0.000 | 0.000 | 98.646 | 
| 170.809 | 32.044 | 44.442 | 0.031 | 0.000 | -0.000 | 
| 6.389 | 170.540 | 31.429 | -0.014 | -0.000 | -0.000 | 
| 123.358 | 117.828 | 249.754 | 0.022 | 0.000 | -0.000 | 
| -4.892 | 2.876 | -3.104 | 75.089 | 0.000 | -0.000 | 
| -14.932 | 3.225 | -2.095 | -0.003 | 65.887 | -0.000 | 
| 0.000 | 0.000 | 0.000 | 0.000 | -0.000 | 98.646 | 
| 275.666 | 99.115 | 131.037 | -0.020 | -0.000 | 0.000 | 
| 42.362 | 198.599 | 48.200 | -0.034 | -0.000 | 0.000 | 
| 135.289 | 110.883 | 251.172 | -0.024 | -0.000 | 0.000 | 
| -0.000 | -0.000 | -0.000 | 120.616 | 0.000 | -0.000 | 
| 14.932 | -3.225 | 2.095 | 0.003 | 65.887 | 0.000 | 
| -0.000 | -0.000 | -0.000 | -0.000 | 0.000 | 98.646 | 
| 207.864 | 63.218 | 65.975 | 0.000 | -0.000 | 0.000 | 
| 87.880 | 354.002 | 110.544 | 0.000 | -0.000 | 0.000 | 
| 109.009 | 110.544 | 317.088 | 0.000 | -0.000 | 0.000 | 
| 0.001 | -0.005 | -0.011 | 58.057 | -0.000 | -0.000 | 
| 0.009 | -0.004 | -0.009 | 0.000 | 79.349 | -0.000 | 
| -0.000 | -0.000 | 0.000 | 0.000 | -0.000 | 93.927 | 
| 251.784 | 92.329 | 115.012 | -0.000 | 0.000 | 0.000 | 
| 87.880 | 354.002 | 110.544 | -0.000 | -0.000 | 0.000 | 
| 109.009 | 110.544 | 317.088 | 0.000 | 0.000 | 0.000 | 
| -0.001 | 0.005 | 0.011 | 58.057 | 0.000 | -0.000 | 
| -0.009 | 0.004 | 0.009 | 0.000 | 79.349 | -0.000 | 
| 0.000 | 0.000 | -0.000 | 0.000 | 0.000 | 93.927 | 
| 251.783 | 92.326 | 115.005 | 0.000 | -0.000 | -0.000 | 
| 87.880 | 354.003 | 110.544 | 0.000 | -0.000 | -0.000 | 
| 109.009 | 110.544 | 317.088 | -0.000 | -0.000 | 0.000 | 
| 0.001 | -0.000 | -0.001 | 78.752 | 0.000 | 0.000 | 
| 0.001 | -0.000 | -0.001 | 0.000 | 79.349 | -0.000 | 
| 0.000 | 0.000 | 0.000 | 0.000 | -0.000 | 93.927 | 
| 207.800 | 63.228 | 65.994 | -0.000 | 0.000 | 0.000 | 
| 87.880 | 354.002 | 110.544 | -0.000 | 0.000 | -0.000 | 
| 47.773 | 55.614 | 185.913 | -0.000 | 0.000 | 0.000 | 
| -0.001 | 0.000 | 0.001 | 78.752 | 0.000 | 0.000 | 
| -0.001 | 0.000 | 0.001 | -0.000 | 79.349 | -0.000 | 
| -0.000 | -0.000 | -0.000 | -0.000 | 0.000 | 93.927 | 
| 170.057 | 27.735 | 38.990 | 0.000 | -0.000 | 0.000 | 
| 93.216 | 268.938 | 105.790 | 0.000 | -0.000 | -0.000 | 
| 70.593 | 81.857 | 205.254 | 0.000 | -0.000 | -0.000 | 
| 0.000 | -0.000 | -0.000 | 58.057 | 0.000 | 0.000 | 
| -0.000 | 0.000 | -0.000 | 0.000 | 79.349 | -0.000 | 
| 0.000 | 0.000 | 0.000 | 0.000 | -0.000 | 93.927 | 
| 181.846 | 34.381 | 45.420 | -0.000 | 0.000 | -0.000 | 
| 59.412 | 229.052 | 77.269 | 0.000 | 0.000 | 0.000 | 
| 70.625 | 81.838 | 204.881 | 0.000 | 0.000 | -0.000 | 
| -0.000 | 0.000 | 0.000 | 58.057 | 0.000 | -0.000 | 
| 0.000 | -0.000 | 0.000 | -0.000 | 79.349 | 0.000 | 
| -0.000 | -0.000 | -0.000 | -0.000 | 0.000 | 93.927 | 
| -1314.894 | -523.810 | -614.961 | -0.000 | -0.000 | 0.000 | 
| 92.094 | 373.010 | 115.505 | -0.001 | -0.000 | -0.000 | 
| 76.711 | 115.138 | 364.044 | -0.000 | -0.000 | 0.000 | 
| 0.000 | 0.000 | -0.000 | 117.680 | -0.000 | -0.000 | 
| 304.383 | -577.804 | 22.837 | -0.000 | 48.836 | 0.000 | 
| -0.000 | 0.000 | -0.000 | -0.000 | -0.000 | 94.213 | 
| 422.397 | 526.851 | 437.139 | 0.000 | 0.001 | -0.000 | 
| 92.094 | 373.010 | 115.505 | 0.000 | 0.000 | -0.000 | 
| -227.316 | 695.413 | 279.658 | -0.000 | 0.003 | 0.000 | 
| -0.000 | -0.000 | 0.000 | 117.681 | 0.000 | -0.000 | 
| -304.614 | 578.241 | -22.854 | 0.000 | 48.818 | -0.000 | 
| -0.000 | -0.000 | 0.000 | 0.000 | 0.000 | 94.213 | 
| 391.637 | 92.049 | 77.033 | 0.000 | -0.000 | 0.000 | 
| 129.067 | 248.531 | 122.494 | -0.000 | -0.000 | 0.000 | 
| 108.142 | 58.836 | 300.634 | -0.000 | -0.000 | 0.000 | 
| 30.371 | -57.652 | 2.279 | 77.072 | -0.000 | -0.000 | 
| 30.329 | -57.573 | 2.275 | 0.000 | 48.947 | -0.000 | 
| 30.427 | -57.760 | 2.283 | -0.000 | -0.000 | 66.636 | 
| 391.636 | 92.049 | 77.032 | 0.000 | 0.000 | 0.000 | 
| 92.094 | 373.010 | 115.505 | -0.000 | 0.000 | 0.000 | 
| 76.711 | 115.138 | 364.044 | -0.000 | 0.000 | -0.000 | 
| 143.678 | 58.299 | 62.054 | 50.647 | 0.000 | 0.000 | 
| -30.329 | 57.573 | -2.275 | 0.000 | 48.947 | 0.000 | 
| -30.427 | 57.760 | -2.283 | 0.000 | 0.000 | 66.636 | 
| 259.264 | 95.631 | 75.480 | -0.000 | -0.000 | 0.000 | 
| 61.383 | 246.070 | 89.219 | 0.000 | -0.000 | -0.000 | 
| 32.903 | 86.916 | 153.195 | -0.000 | 0.000 | -0.000 | 
| 0.000 | 0.000 | 0.000 | 117.681 | 0.000 | 0.000 | 
| 0.000 | 0.000 | 0.000 | -0.000 | 79.153 | -0.000 | 
| 0.000 | 0.000 | 0.000 | -0.000 | -0.000 | 94.213 | 
| 238.923 | 87.238 | 64.796 | 0.000 | 0.000 | 0.000 | 
| 97.508 | 292.280 | 121.380 | 0.000 | 0.000 | -0.000 | 
| 71.695 | 128.689 | 284.835 | 0.000 | 0.000 | -0.000 | 
| -0.000 | -0.000 | -0.000 | 117.681 | -0.000 | -0.000 | 
| -0.000 | -0.000 | -0.000 | -0.000 | 79.153 | -0.000 | 
| -0.000 | -0.000 | -0.000 | 0.000 | 0.000 | 94.213 | 
| 137.894 | 51.118 | 41.308 | -0.000 | 0.000 | -0.000 | 
| 87.686 | 346.621 | 105.487 | -0.000 | -0.000 | 0.000 | 
| 71.121 | 111.694 | 262.570 | -0.000 | -0.000 | -0.000 | 
| 0.000 | 0.000 | 0.001 | 70.426 | -0.000 | 0.000 | 
| -0.000 | 0.000 | 0.000 | -0.001 | 77.956 | -0.000 | 
| 0.000 | -0.000 | 0.000 | -0.001 | -0.000 | 67.583 | 
| 219.059 | 69.185 | 49.141 | 0.000 | 0.000 | -0.000 | 
| 87.686 | 346.621 | 105.487 | 0.000 | 0.000 | 0.000 | 
| 72.045 | 105.487 | 344.204 | 0.000 | 0.000 | 0.000 | 
| -0.000 | -0.000 | -0.001 | 70.426 | -0.000 | 0.000 | 
| 0.000 | 0.000 | 0.000 | 0.000 | 77.956 | 0.000 | 
| -0.001 | -0.001 | -0.001 | -0.000 | -0.000 | 57.149 | 
| 368.589 | 87.686 | 72.045 | -0.000 | -0.000 | 0.000 | 
| 87.686 | 346.621 | 105.487 | -0.000 | 0.000 | 0.000 | 
| 72.045 | 105.487 | 344.204 | -0.000 | -0.000 | 0.000 | 
| 0.000 | -0.000 | 0.000 | 77.596 | -0.000 | -0.000 | 
| 0.000 | 0.000 | 0.000 | -0.000 | 52.590 | -0.000 | 
| 0.000 | 0.000 | -0.000 | -0.000 | -0.000 | 93.064 | 
| 368.588 | 87.686 | 72.045 | 0.000 | 0.000 | 0.000 | 
| 87.686 | 346.621 | 105.487 | 0.000 | 0.000 | 0.000 | 
| 72.045 | 105.487 | 344.203 | 0.000 | -0.000 | 0.000 | 
| -0.000 | 0.000 | -0.000 | 77.596 | 0.000 | 0.000 | 
| -0.000 | -0.000 | -0.000 | 0.000 | 52.590 | 0.000 | 
| -0.000 | -0.000 | 0.000 | 0.000 | 0.000 | 93.064 | 
| 219.045 | 69.187 | 49.142 | -0.000 | -0.000 | 0.000 | 
| 93.741 | 273.815 | 110.612 | -0.000 | -0.000 | -0.000 | 
| 53.872 | 86.987 | 233.189 | -0.000 | -0.000 | -0.000 | 
| 0.000 | 0.000 | 0.000 | 111.279 | -0.000 | -0.000 | 
| -0.000 | 0.000 | -0.000 | -0.000 | 55.449 | -0.000 | 
| 0.000 | 0.000 | 0.000 | -0.000 | 0.000 | 93.064 | 
| 368.586 | 87.685 | 72.045 | 0.000 | 0.000 | 0.000 | 
| 87.685 | 346.619 | 105.486 | 0.000 | 0.000 | 0.000 | 
| 19.707 | 83.753 | 206.973 | 0.000 | -0.000 | 0.000 | 
| -0.000 | -0.000 | -0.000 | 111.279 | -0.000 | -0.000 | 
| 0.000 | -0.000 | 0.000 | 0.000 | 55.449 | 0.000 | 
| -0.000 | -0.000 | -0.000 | 0.000 | -0.000 | 93.064 | 
| 295.519 | 96.116 | 89.601 | -0.000 | 0.000 | 0.000 | 
| 96.116 | 295.519 | 89.601 | -0.000 | 0.000 | -0.000 | 
| 89.473 | 89.473 | 309.652 | -0.000 | 0.000 | 0.000 | 
| -2950.255 | -2950.255 | -3767.343 | 0.369 | -0.115 | 16.003 | 
| -2950.872 | -2950.872 | -3763.253 | -0.247 | 0.506 | 15.994 | 
| 0.000 | 0.000 | -0.000 | 0.000 | 0.000 | 97.158 | 
| 295.519 | 96.116 | 89.601 | 0.000 | -0.000 | -0.000 | 
| 96.116 | 295.519 | 89.601 | 0.000 | 0.000 | 0.000 | 
| 89.473 | 89.473 | 309.652 | 0.000 | -0.000 | -0.000 | 
| -0.000 | 0.000 | -0.000 | 90.720 | -0.000 | -0.000 | 
| 2950.873 | 2950.872 | 3763.253 | 0.247 | 0.735 | -15.994 | 
| -0.000 | -0.000 | 0.000 | -0.000 | -0.000 | 97.158 | 
| -192.258 | -284.922 | -379.922 | -0.029 | -0.014 | 1.217 | 
| -284.918 | -192.267 | -379.878 | -0.029 | -0.014 | 1.217 | 
| 89.473 | 89.473 | 309.652 | 0.000 | -0.000 | 0.000 | 
| -61.607 | -61.607 | 105.921 | 63.410 | -0.019 | 2.230 | 
| -340.902 | -340.902 | -449.539 | -0.029 | 0.097 | 1.239 | 
| -61.690 | -61.690 | 106.064 | -0.042 | -0.019 | 70.826 | 
| 290.228 | 163.779 | -6.239 | 0.041 | 0.019 | -2.196 | 
| 163.779 | 290.228 | -6.239 | 0.041 | 0.019 | -2.196 | 
| 418.309 | 418.309 | 621.194 | 0.030 | 0.014 | -1.209 | 
| 61.609 | 61.609 | -105.925 | 63.492 | 0.019 | -2.231 | 
| 61.609 | 61.609 | -105.924 | 0.042 | 63.470 | -2.231 | 
| 61.565 | 61.565 | -105.849 | 0.042 | 0.019 | 66.422 | 
| 97.918 | 28.611 | 34.213 | -0.003 | -0.001 | 0.108 | 
| 28.611 | 97.918 | 34.213 | -0.003 | -0.001 | 0.108 | 
| 56.415 | 56.415 | 145.197 | -0.003 | -0.002 | 0.208 | 
| -30.394 | -30.394 | -35.159 | 9.267 | -0.001 | 0.111 | 
| -30.394 | -30.394 | -35.159 | -0.003 | 9.268 | 0.111 | 
| -12.369 | -12.369 | -3.072 | -0.003 | -0.002 | 34.628 | 
| 204.801 | 91.734 | 57.191 | 0.002 | 0.001 | -0.084 | 
| 91.734 | 204.801 | 57.191 | 0.002 | 0.001 | -0.084 | 
| 89.682 | 89.682 | 202.292 | 0.001 | 0.001 | -0.065 | 
| 30.394 | 30.394 | 35.159 | 9.272 | 0.001 | -0.111 | 
| 30.394 | 30.394 | 35.159 | 0.003 | 9.271 | -0.111 | 
| 12.388 | 12.388 | 2.999 | 0.003 | 0.002 | 34.385 | 
| 275.745 | 85.934 | 81.000 | 0.000 | -0.000 | -0.000 | 
| 85.934 | 275.745 | 81.000 | 0.000 | 0.000 | -0.000 | 
| 68.259 | 68.259 | 194.240 | 0.000 | -0.000 | 0.000 | 
| -0.000 | 0.000 | -0.000 | 85.822 | -0.000 | 0.000 | 
| 0.000 | 0.000 | -0.000 | 0.000 | 85.822 | -0.000 | 
| 0.000 | 0.000 | -0.000 | 0.000 | -0.000 | 90.553 | 
| 213.697 | 91.533 | 87.209 | 0.000 | 0.000 | -0.000 | 
| 91.533 | 213.697 | 87.209 | -0.000 | 0.000 | -0.000 | 
| 87.183 | 87.183 | 215.881 | -0.000 | 0.000 | -0.000 | 
| -0.000 | -0.000 | -0.000 | 85.822 | -0.000 | 0.000 | 
| -0.000 | -0.000 | 0.000 | -0.000 | 85.822 | 0.000 | 
| -0.000 | -0.000 | 0.000 | -0.000 | 0.000 | 90.553 | 
| 275.745 | 85.934 | 81.000 | 0.000 | -0.000 | 0.000 | 
| 85.934 | 275.745 | 81.000 | -0.000 | -0.000 | -0.000 | 
| 87.182 | 87.182 | 215.880 | 0.000 | -0.000 | -0.000 | 
| 0.000 | 0.000 | 0.000 | 85.822 | -0.000 | -0.000 | 
| 0.000 | 0.000 | 0.000 | 0.000 | 85.822 | -0.000 | 
| 0.000 | 0.000 | 0.000 | -0.000 | -0.000 | 90.553 | 
| 275.745 | 85.933 | 81.000 | -0.000 | -0.000 | -0.000 | 
| 85.933 | 275.745 | 81.000 | -0.000 | 0.000 | -0.000 | 
| 81.000 | 81.000 | 281.228 | -0.000 | 0.000 | 0.000 | 
| -0.000 | -0.000 | -0.000 | 85.822 | -0.000 | 0.000 | 
| -0.000 | -0.000 | -0.000 | -0.000 | 85.822 | -0.000 | 
| -0.000 | -0.000 | -0.000 | -0.000 | 0.000 | 90.553 | 
| 177.252 | 58.059 | 56.509 | 0.000 | -0.000 | -0.000 | 
| 58.059 | 177.252 | 56.509 | 0.000 | -0.000 | -0.000 | 
| 58.267 | 58.267 | 186.656 | 0.000 | 0.000 | 0.000 | 
| -0.000 | -0.000 | -0.000 | 53.432 | -0.000 | 0.000 | 
| -0.000 | -0.000 | -0.000 | 0.000 | 53.432 | 0.000 | 
| -0.000 | -0.000 | 0.000 | 0.000 | -0.000 | 65.492 | 
| 181.798 | 58.954 | 56.997 | -0.000 | 0.000 | 0.000 | 
| 58.954 | 181.798 | 56.997 | -0.000 | 0.000 | -0.000 | 
| 68.282 | 68.282 | 193.838 | 0.000 | 0.000 | 0.000 | 
| 0.000 | 0.000 | 0.000 | 53.432 | 0.000 | 0.000 | 
| 0.000 | 0.000 | 0.000 | -0.000 | 53.432 | 0.000 | 
| 0.000 | 0.000 | -0.000 | -0.000 | 0.000 | 65.492 | 
| -2098.839 | -2203.177 | -6963.181 | 0.000 | 0.000 | 0.000 | 
| -2203.177 | -2098.839 | -6963.181 | -0.000 | 0.000 | -0.000 | 
| -2202.361 | -2202.361 | -6727.291 | 0.000 | 0.000 | -0.000 | 
| -7792.707 | -7792.707 | 2100.379 | 83.932 | 0.000 | -0.000 | 
| -7792.707 | -7792.707 | 2100.379 | 0.000 | 83.932 | 0.000 | 
| -2329.552 | -2329.552 | -7081.193 | 0.000 | 0.000 | 54.856 | 
| 2559.996 | 2455.588 | 7198.132 | 0.000 | -0.000 | 0.000 | 
| 2455.589 | 2559.996 | 7198.132 | -0.000 | -0.000 | 0.000 | 
| 6629.075 | 6629.075 | 2631.337 | -0.000 | -0.000 | -0.000 | 
| 7792.707 | 7792.707 | -2100.379 | 83.932 | -0.000 | -0.000 | 
| 7792.707 | 7792.707 | -2100.379 | 0.000 | 83.932 | -0.000 | 
| 2329.552 | 2329.552 | 7081.193 | -0.000 | -0.000 | 54.856 | 
| -707.806 | -837.129 | 265.278 | 0.000 | -0.000 | 0.000 | 
| -837.129 | -707.806 | 265.278 | 0.000 | 0.000 | 0.000 | 
| -106.017 | -106.017 | -351.415 | 0.000 | 0.000 | 0.000 | 
| -1030.768 | -1030.768 | 525.054 | 67.684 | 0.000 | -0.000 | 
| -1030.768 | -1030.768 | 525.054 | 0.000 | 67.684 | 0.000 | 
| -480.811 | -480.811 | -843.445 | -0.000 | 0.000 | 79.275 | 
| 463.608 | 358.580 | 823.427 | 0.000 | 0.000 | -0.000 | 
| 358.580 | 463.608 | 823.427 | 0.000 | -0.000 | -0.000 | 
| 360.756 | 360.756 | 1058.696 | 0.000 | -0.000 | -0.000 | 
| 1030.768 | 1030.768 | -525.054 | 67.684 | 0.000 | -0.000 | 
| 1030.768 | 1030.768 | -525.054 | 0.000 | 67.684 | -0.000 | 
| 480.811 | 480.811 | 843.445 | 0.000 | 0.000 | 79.275 | 
| 29.166 | -82.858 | 27.220 | 0.000 | 0.000 | -0.000 | 
| -82.858 | 29.166 | 27.220 | 0.000 | 0.000 | -0.000 | 
| 99.620 | 99.620 | 286.819 | -0.000 | 0.000 | -0.000 | 
| -16.778 | -16.778 | -51.000 | 64.532 | 0.000 | 0.000 | 
| -16.778 | -16.778 | -51.000 | -0.000 | 64.532 | -0.000 | 
| -17.816 | -17.816 | -54.157 | 0.000 | -0.000 | 78.238 | 
| 199.572 | 71.611 | 177.160 | -0.000 | 0.000 | 0.000 | 
| 71.611 | 199.572 | 177.160 | 0.000 | -0.000 | 0.000 | 
| 122.471 | 122.471 | 207.801 | -0.000 | -0.000 | -0.000 | 
| 16.778 | 16.778 | 51.000 | 64.532 | -0.000 | -0.000 | 
| 16.778 | 16.778 | 51.000 | -0.000 | 64.532 | 0.000 | 
| 17.816 | 17.816 | 54.157 | -0.000 | -0.000 | 78.238 | 
| 225.836 | 114.516 | 98.105 | -0.000 | 0.000 | 0.000 | 
| 17.910 | 135.703 | 57.031 | -0.000 | -0.000 | -0.000 | 
| 98.217 | 98.216 | 290.466 | 0.000 | -0.000 | -0.000 | 
| 0.000 | 0.000 | -0.000 | 115.310 | 0.000 | -0.000 | 
| 0.000 | 0.000 | -0.000 | -0.000 | 115.310 | -0.000 | 
| -0.000 | -0.000 | 0.000 | -0.000 | -0.000 | 91.563 | 
| 225.837 | 114.517 | 98.105 | -0.000 | 0.000 | -0.000 | 
| 114.517 | 225.837 | 98.105 | -0.000 | 0.000 | 0.000 | 
| 98.218 | 98.218 | 290.465 | -0.000 | 0.000 | 0.000 | 
| -0.000 | -0.000 | 0.000 | 115.310 | -0.000 | 0.000 | 
| -0.000 | -0.000 | 0.000 | 0.000 | 115.310 | 0.000 | 
| 0.000 | 0.000 | 0.000 | -0.000 | -0.000 | 91.563 | 
| 163.101 | 37.915 | 74.320 | -0.000 | 0.000 | -0.000 | 
| 37.915 | 163.101 | 74.320 | -0.000 | -0.000 | 0.000 | 
| 98.217 | 98.217 | 290.465 | -0.000 | -0.000 | -0.000 | 
| -0.000 | -0.000 | 0.000 | 74.418 | 0.000 | -0.000 | 
| -0.000 | -0.000 | 0.000 | -0.000 | 74.418 | -0.000 | 
| -0.000 | -0.000 | 0.000 | -0.000 | -0.000 | 91.563 | 
| 319.926 | 134.600 | 108.221 | 0.000 | 0.000 | 0.000 | 
| 134.600 | 319.926 | 108.221 | -0.000 | 0.000 | 0.000 | 
| 108.221 | 108.221 | 381.056 | 0.000 | 0.000 | 0.000 | 
| 0.000 | 0.000 | -0.000 | 74.418 | -0.000 | -0.000 | 
| 0.000 | 0.000 | -0.000 | 0.000 | 74.418 | 0.000 | 
| 0.000 | 0.000 | -0.000 | 0.000 | 0.000 | 91.563 | 
| 135.708 | 17.908 | 57.030 | 0.000 | -0.000 | -0.000 | 
| 17.908 | 135.708 | 57.030 | 0.000 | 0.000 | -0.000 | 
| 98.217 | 98.217 | 290.459 | -0.000 | 0.000 | -0.000 | 
| -0.000 | -0.000 | -0.000 | 74.418 | -0.000 | -0.000 | 
| -0.000 | -0.000 | -0.000 | -0.000 | 74.418 | -0.000 | 
| 0.000 | 0.000 | 0.000 | -0.000 | -0.000 | 141.746 | 
| 225.629 | 114.472 | 98.082 | 0.000 | 0.000 | -0.000 | 
| 114.472 | 225.629 | 98.082 | 0.000 | 0.000 | 0.000 | 
| 74.312 | 74.312 | 259.692 | 0.000 | 0.000 | -0.000 | 
| 0.000 | 0.000 | 0.000 | 74.418 | 0.000 | -0.000 | 
| 0.000 | 0.000 | 0.000 | -0.000 | 74.418 | 0.000 | 
| -0.000 | -0.000 | -0.000 | 0.000 | 0.000 | 141.746 | 
| 361.928 | 108.899 | 90.230 | -0.000 | 0.000 | 0.000 | 
| 108.899 | 361.928 | 90.230 | 0.000 | 0.000 | -0.000 | 
| 19.636 | 19.636 | 3246.184 | 0.000 | -0.000 | 0.000 | 
| -78.247 | -78.247 | 2985.379 | 53.671 | -0.000 | 0.000 | 
| -78.247 | -78.247 | 2985.379 | -0.000 | 53.671 | 0.000 | 
| -499.727 | -499.727 | -5328.421 | -0.000 | 0.000 | 59.600 | 
| -1625.213 | -1736.760 | -1589.897 | -0.000 | 0.000 | -0.000 | 
| -1736.760 | -1625.213 | -1589.897 | 0.000 | 0.000 | -0.000 | 
| -1744.871 | -1744.871 | -1509.825 | 0.000 | 0.000 | -0.000 | 
| 78.247 | 78.247 | -2985.379 | 53.671 | -0.000 | -0.000 | 
| 78.247 | 78.247 | -2985.379 | -0.000 | 53.671 | -0.000 | 
| 499.727 | 499.727 | 5328.421 | 0.000 | -0.000 | 59.600 | 
| 356.158 | 244.881 | 212.130 | -0.000 | -0.000 | 0.000 | 
| 244.881 | 356.158 | 212.130 | -0.000 | 0.000 | 0.000 | 
| 237.096 | 237.096 | 281.039 | 0.000 | 0.000 | 0.000 | 
| 0.900 | 0.900 | -412.253 | 59.135 | 0.000 | 0.000 | 
| 0.900 | 0.900 | -412.253 | 0.000 | 59.135 | 0.000 | 
| 0.000 | 0.000 | 0.000 | 0.000 | -0.000 | 109.558 | 
| 1.808 | -110.342 | -113.508 | 0.000 | 0.000 | 0.000 | 
| -110.342 | 1.808 | -113.508 | 0.000 | -0.000 | -0.000 | 
| 90.540 | 90.540 | 362.439 | -0.000 | -0.000 | -0.000 | 
| -0.900 | -0.900 | 412.253 | 59.135 | 0.000 | -0.000 | 
| -0.900 | -0.900 | 412.253 | 0.000 | 59.135 | -0.000 | 
| -0.000 | -0.000 | -0.000 | 0.000 | 0.000 | 109.558 | 
| 255.699 | 132.398 | 120.888 | -0.000 | -0.000 | 0.000 | 
| 132.398 | 255.699 | 120.888 | -0.000 | 0.000 | 0.000 | 
| 71.387 | 71.387 | 143.232 | -0.000 | -0.000 | -0.000 | 
| 16.936 | 16.936 | 16.112 | 53.880 | -0.000 | 0.000 | 
| 16.936 | 16.936 | 16.112 | -0.000 | 53.880 | 0.000 | 
| 0.000 | 0.000 | 0.000 | -0.000 | -0.000 | 109.558 | 
| 198.913 | 76.547 | 49.597 | 0.000 | -0.000 | -0.000 | 
| 76.547 | 198.913 | 49.597 | -0.000 | 0.000 | -0.000 | 
| 37.726 | 37.726 | 233.216 | 0.000 | 0.000 | -0.000 | 
| 5.022 | 5.023 | 52.070 | 59.813 | 0.000 | -0.000 | 
| -16.936 | -16.936 | -16.112 | -0.000 | 53.880 | -0.000 | 
| -0.000 | -0.000 | -0.000 | 0.000 | -0.000 | 109.558 | 
| 321.866 | 94.744 | 79.523 | -0.000 | -0.000 | 0.000 | 
| 94.744 | 321.866 | 79.523 | -0.000 | -0.000 | 0.000 | 
| 80.392 | 80.392 | 315.480 | -0.000 | -0.000 | 0.000 | 
| 0.000 | 0.000 | 0.000 | 82.503 | -0.000 | 0.000 | 
| 0.000 | 0.000 | 0.000 | -0.000 | 82.503 | 0.000 | 
| 0.000 | 0.000 | 0.000 | -0.000 | -0.000 | 95.992 | 
| 321.866 | 94.744 | 79.523 | 0.000 | 0.000 | -0.000 | 
| 94.744 | 321.866 | 79.523 | 0.000 | 0.000 | -0.000 | 
| 80.392 | 80.392 | 315.480 | 0.000 | 0.000 | -0.000 | 
| -0.000 | -0.000 | -0.000 | 82.503 | 0.000 | -0.000 | 
| -0.000 | -0.000 | 0.000 | 0.000 | 82.503 | -0.000 | 
| -0.000 | -0.000 | -0.000 | 0.000 | 0.000 | 95.992 | 
| 244.799 | 110.746 | 76.488 | 0.091 | 0.112 | -0.063 | 
| 110.755 | 244.796 | 76.489 | 0.091 | 0.112 | -0.063 | 
| 80.392 | 80.392 | 315.480 | -0.000 | -0.000 | -0.000 | 
| 0.000 | 0.000 | 0.000 | 82.503 | -0.000 | 0.000 | 
| 0.000 | 0.000 | 0.000 | -0.000 | 82.503 | 0.000 | 
| 0.000 | 0.000 | 0.000 | -0.000 | -0.000 | 95.992 | 
| 233.126 | 91.047 | 101.099 | -0.084 | -0.102 | 0.057 | 
| 91.036 | 233.129 | 101.101 | -0.084 | -0.102 | 0.057 | 
| -0.031 | -0.043 | 111.143 | 0.077 | 0.100 | -0.024 | 
| -0.000 | -0.000 | -0.000 | 82.503 | 0.000 | -0.000 | 
| -0.000 | -0.000 | -0.000 | 0.000 | 82.503 | -0.000 | 
| -0.000 | -0.000 | -0.000 | 0.000 | 0.000 | 95.992 | 
| 212.420 | 89.292 | 72.660 | 0.006 | 0.007 | -0.003 | 
| 89.292 | 212.420 | 72.660 | 0.006 | 0.007 | -0.003 | 
| 91.158 | 91.157 | 231.191 | 0.009 | 0.011 | -0.006 | 
| 0.598 | 0.598 | -0.795 | 59.249 | 0.007 | -0.004 | 
| 0.000 | 0.000 | 0.000 | -0.000 | 82.503 | 0.000 | 
| 0.648 | 0.648 | -1.025 | 0.006 | 0.008 | 63.151 | 
| 183.566 | 72.577 | 58.157 | -0.001 | -0.001 | 0.002 | 
| 72.577 | 183.567 | 58.157 | -0.001 | -0.001 | 0.002 | 
| 55.137 | 55.137 | 162.355 | -0.000 | -0.000 | 0.002 | 
| -1.458 | -1.458 | 1.842 | 51.112 | -0.003 | 0.002 | 
| -0.000 | -0.000 | -0.000 | 0.000 | 82.503 | -0.000 | 
| -0.610 | -0.610 | 0.811 | -0.006 | -0.007 | 68.764 | 
| -912.958 | 622.563 | 1281.345 | 0.000 | -0.000 | 0.000 | 
| -1724.381 | 1029.103 | 1079.963 | -0.000 | 0.000 | 0.000 | 
| -1730.569 | 880.654 | 1228.624 | -0.000 | 0.000 | 0.000 | 
| -1205.229 | 519.069 | 1192.392 | 71.865 | 0.000 | 0.000 | 
| 0.000 | -0.000 | -0.000 | -0.000 | 83.603 | -0.000 | 
| -4160.458 | -1096.291 | 1353.974 | 0.000 | -0.000 | 35.495 | 
| 1497.804 | -415.698 | -1103.720 | -0.000 | 0.000 | -0.000 | 
| 1305.415 | -265.736 | -1074.976 | 0.000 | 0.000 | -0.000 | 
| 1292.710 | -404.063 | -924.085 | 0.000 | 0.000 | -0.000 | 
| 1205.229 | -519.069 | -1192.392 | 71.865 | -0.000 | -0.000 | 
| -0.000 | 0.000 | -0.000 | 0.000 | 83.603 | 0.000 | 
| 4160.458 | 1096.291 | -1353.974 | -0.000 | -0.000 | 35.495 | 
| 171.656 | 155.399 | 208.161 | 0.000 | 0.000 | 0.000 | 
| -17.424 | 303.901 | 233.788 | 0.000 | -0.000 | 0.000 | 
| -106.856 | 159.958 | 328.004 | -0.000 | -0.000 | 0.000 | 
| -120.440 | 51.871 | 119.157 | 71.892 | -0.000 | 0.000 | 
| -120.502 | 51.898 | 119.219 | -0.000 | 58.615 | 0.000 | 
| -120.506 | 51.900 | 119.223 | -0.000 | -0.000 | 66.373 | 
| 356.548 | 95.189 | 81.364 | 0.000 | -0.000 | -0.000 | 
| 344.975 | 324.620 | 33.546 | 0.000 | -0.000 | -0.000 | 
| 254.096 | -0.091 | 129.363 | 0.000 | 0.000 | -0.000 | 
| 120.440 | -51.871 | -119.157 | 71.892 | 0.000 | -0.000 | 
| 120.502 | -51.898 | -119.219 | -0.000 | 58.615 | -0.000 | 
| 120.506 | -51.900 | -119.223 | 0.000 | 0.000 | 66.373 | 
| 181.438 | 73.044 | 80.599 | -0.000 | 0.000 | -0.000 | 
| 60.256 | 225.733 | 85.612 | -0.000 | -0.000 | 0.000 | 
| 15.284 | 44.354 | 171.500 | -0.000 | -0.000 | 0.000 | 
| -11.395 | 4.908 | 11.274 | 74.041 | -0.000 | 0.000 | 
| -11.785 | 5.076 | 11.660 | -0.000 | 59.164 | 0.000 | 
| -39.340 | -9.400 | 13.319 | 0.000 | -0.000 | 37.665 | 
| 252.182 | 68.219 | 26.435 | -0.000 | 0.000 | -0.000 | 
| 114.824 | 247.584 | 102.834 | 0.000 | 0.000 | -0.000 | 
| 80.982 | 109.362 | 343.966 | 0.000 | 0.000 | 0.000 | 
| 11.395 | -4.908 | -11.274 | 74.041 | 0.000 | -0.000 | 
| 11.785 | -5.076 | -11.660 | -0.000 | 59.164 | -0.000 | 
| 25.742 | 2.170 | 4.542 | 0.000 | 0.000 | 53.081 | 
| 581.499 | 7.516 | 906.275 | 0.000 | -0.000 | 0.000 | 
| 509.265 | -429.021 | 807.688 | 0.000 | -0.000 | -0.000 | 
| 476.169 | 25.529 | 1049.419 | 0.000 | -0.000 | 0.000 | 
| 0.000 | -0.000 | 0.000 | 102.858 | -0.000 | 0.000 | 
| 396.990 | -718.480 | 706.814 | -0.000 | 61.083 | -0.000 | 
| 387.858 | -42.261 | 819.791 | 0.000 | -0.000 | 72.592 | 
| 399.180 | 119.136 | 91.417 | 0.000 | 0.000 | -0.000 | 
| -285.539 | 1007.868 | -607.188 | 0.000 | 0.000 | 0.000 | 
| -911.624 | 689.343 | -586.865 | 0.000 | 0.000 | 0.000 | 
| -0.000 | -0.000 | -0.000 | 102.858 | 0.000 | 0.000 | 
| -396.990 | 718.480 | -706.814 | 0.000 | 61.084 | 0.000 | 
| -387.858 | 42.261 | -819.791 | 0.000 | 0.000 | 72.592 | 
| 231.939 | 42.384 | 165.375 | 0.000 | -0.000 | -0.000 | 
| 120.132 | 384.147 | 99.769 | -0.000 | -0.000 | -0.000 | 
| 126.181 | 63.348 | 312.115 | 0.000 | -0.000 | -0.000 | 
| 39.348 | -71.213 | 70.057 | 53.024 | -0.000 | 0.000 | 
| 0.000 | 0.000 | 0.000 | -0.000 | 94.662 | -0.000 | 
| 0.000 | 0.000 | 0.000 | 0.000 | -0.000 | 123.989 | 
| 163.349 | 59.596 | 8.400 | -0.000 | 0.000 | 0.000 | 
| -69.419 | 193.729 | -90.000 | -0.000 | 0.000 | 0.000 | 
| 71.893 | 175.545 | 275.566 | 0.000 | 0.000 | 0.000 | 
| -39.348 | 71.213 | -70.057 | 53.024 | 0.000 | 0.000 | 
| -0.000 | -0.000 | -0.000 | 0.000 | 94.662 | 0.000 | 
| -0.000 | -0.000 | -0.000 | -0.000 | 0.000 | 123.989 | 
| 291.746 | 106.146 | 118.765 | 0.000 | -0.000 | -0.000 | 
| 59.118 | 186.966 | 80.300 | 0.000 | -0.000 | -0.000 | 
| 88.447 | 72.703 | 288.563 | 0.000 | -0.000 | -0.000 | 
| 3.184 | -5.762 | 5.668 | 62.536 | -0.000 | -0.000 | 
| 0.000 | 0.000 | 0.000 | -0.000 | 94.662 | -0.000 | 
| 0.000 | 0.000 | 0.000 | -0.000 | -0.000 | 123.989 | 
| 399.178 | 119.136 | 91.417 | 0.000 | 0.000 | 0.000 | 
| 107.383 | 258.701 | 97.656 | -0.000 | 0.000 | 0.000 | 
| 87.524 | 77.042 | 276.088 | -0.000 | 0.000 | 0.000 | 
| -3.184 | 5.762 | -5.668 | 62.536 | -0.000 | 0.000 | 
| -0.000 | -0.000 | -0.000 | -0.000 | 94.662 | -0.000 | 
| -0.000 | -0.000 | -0.000 | 0.000 | 0.000 | 123.989 | 
| 371.143 | 62.751 | 118.474 | 0.000 | -0.000 | -0.000 | 
| -2368.063 | 5395.146 | 2953.198 | -0.000 | 0.013 | 0.000 | 
| -2348.952 | 5285.001 | 3066.561 | -0.000 | 0.013 | 0.000 | 
| -241.569 | 1525.174 | -446.166 | 86.717 | 0.010 | 0.000 | 
| 3440.980 | 6085.111 | 3992.652 | -0.000 | 74.024 | 0.000 | 
| 3441.104 | 6085.057 | 3992.624 | -0.000 | 0.009 | 43.918 | 
| 554.241 | -1449.767 | 570.642 | 0.000 | -0.010 | -0.000 | 
| -2009.641 | -4665.485 | -4376.274 | -0.000 | -0.000 | -0.000 | 
| -930.221 | -6620.966 | -4210.217 | 0.000 | -0.015 | -0.000 | 
| 241.569 | -1525.174 | 446.166 | 86.717 | -0.010 | -0.000 | 
| -3440.980 | -6085.111 | -3992.652 | 0.000 | 74.007 | -0.000 | 
| -3441.104 | -6085.057 | -3992.625 | 0.000 | -0.009 | 43.918 | 
| 287.455 | 231.427 | 78.922 | -0.000 | 0.001 | 0.000 | 
| 53.701 | 455.950 | 77.058 | -0.000 | 0.001 | 0.000 | 
| 343.830 | 621.133 | 565.958 | -0.000 | -0.000 | 0.000 | 
| -24.210 | 152.853 | -44.715 | 86.642 | 0.001 | 0.000 | 
| 344.019 | 606.954 | 397.520 | -0.000 | 74.082 | 0.000 | 
| 343.914 | 608.526 | 399.289 | -0.000 | 0.001 | 43.918 | 
| 336.879 | -74.229 | 168.163 | 0.000 | -0.001 | -0.000 | 
| 315.353 | -299.988 | -187.577 | 0.000 | -0.001 | -0.000 | 
| 149.191 | -33.835 | 313.427 | 0.000 | -0.001 | -0.000 | 
| 24.210 | -152.853 | 44.715 | 86.642 | -0.001 | -0.000 | 
| -344.019 | -606.954 | -397.520 | 0.000 | 74.080 | -0.000 | 
| -343.914 | -608.526 | -399.289 | 0.000 | -0.001 | 43.918 | 
| 301.730 | 96.507 | 119.611 | -0.000 | 0.000 | 0.000 | 
| 103.881 | 248.762 | 137.154 | -0.000 | 0.000 | 0.000 | 
| 121.845 | 135.093 | 268.722 | -0.000 | 0.000 | 0.000 | 
| 31.604 | 51.010 | 46.309 | 64.455 | 0.000 | 0.000 | 
| 35.425 | 66.550 | 61.698 | -0.000 | 58.099 | 0.000 | 
| -2.395 | 15.124 | -4.424 | -0.000 | 0.000 | 54.227 | 
| 315.045 | 61.964 | 128.366 | 0.000 | -0.000 | -0.000 | 
| 82.708 | 277.926 | 127.071 | 0.000 | -0.000 | -0.000 | 
| 47.085 | 10.098 | 161.563 | 0.000 | -0.000 | -0.000 | 
| -31.604 | -51.010 | -46.309 | 64.455 | -0.000 | -0.000 | 
| -13.430 | -64.195 | -41.962 | 0.000 | 50.729 | -0.000 | 
| 2.395 | -15.124 | 4.424 | 0.000 | -0.000 | 54.227 | 
| 227.948 | 179.381 | 178.364 | 0.393 | 1.194 | 1.101 | 
| -1774.317 | -1838.585 | -1769.135 | 0.526 | 1.442 | 1.335 | 
| 173.838 | 179.409 | 232.523 | 0.394 | 1.195 | 1.101 | 
| 0.000 | -0.000 | -0.000 | 69.883 | 0.000 | 0.000 | 
| 85.450 | 91.222 | 90.293 | 0.303 | 26.928 | 1.265 | 
| 133.379 | 138.880 | 137.875 | 0.389 | 1.179 | 37.741 | 
| 1853.166 | 1879.420 | 1879.844 | -0.156 | -0.894 | -0.819 | 
| 1882.570 | 1849.476 | 1879.563 | -0.156 | -0.893 | -0.818 | 
| 1815.621 | 1812.747 | 1764.424 | -0.183 | -0.624 | -0.578 | 
| 1747.918 | 1741.362 | 1742.617 | -76.400 | -1.466 | -1.356 | 
| -133.366 | -138.866 | -137.861 | -0.388 | 35.478 | -1.087 | 
| -133.366 | -138.867 | -137.862 | -0.388 | -1.179 | 35.570 | 
| 101.916 | 51.182 | 51.067 | 0.045 | 0.135 | 0.125 | 
| 50.494 | 102.398 | 51.012 | 0.045 | 0.136 | 0.125 | 
| 50.506 | 51.139 | 102.314 | 0.045 | 0.136 | 0.125 | 
| -173.140 | -172.921 | -172.954 | -22.975 | 0.042 | 0.039 | 
| -187.359 | -187.002 | -187.044 | 0.023 | -5.586 | 0.089 | 
| -173.152 | -172.933 | -172.967 | 0.012 | 0.042 | -22.915 | 
| 140.292 | 65.142 | 65.142 | -0.000 | -0.000 | 0.000 | 
| 14.685 | 53.973 | 14.477 | -0.020 | -0.080 | -0.074 | 
| 28.034 | 27.516 | 83.219 | -0.037 | -0.111 | -0.102 | 
| -8.519 | -9.084 | -8.993 | 26.707 | -0.135 | -0.124 | 
| 150.703 | 150.087 | 150.207 | -0.040 | -51.669 | -0.123 | 
| -8.518 | -9.083 | -8.992 | -0.030 | -0.135 | 26.618 | 
| -2.083 | -19.445 | -19.449 | 0.002 | 0.005 | 0.005 | 
| -19.471 | -2.048 | -19.443 | 0.002 | 0.005 | 0.005 | 
| -17.327 | -17.290 | -2.135 | 0.007 | 0.014 | 0.013 | 
| -7.036 | -6.994 | -7.001 | 13.095 | 0.009 | 0.008 | 
| -11.186 | -11.156 | -11.160 | 0.002 | 11.319 | 0.008 | 
| -15.885 | -15.849 | -15.854 | 0.002 | 0.009 | 10.955 | 
| 39.796 | 20.409 | 20.415 | -0.002 | -0.008 | -0.008 | 
| 21.610 | 41.215 | 21.581 | 0.001 | -0.008 | -0.007 | 
| 21.292 | 21.266 | 55.336 | -0.002 | -0.008 | -0.008 | 
| 11.186 | 11.156 | 11.160 | 11.307 | -0.009 | -0.008 | 
| 15.888 | 15.852 | 15.857 | -0.002 | 10.936 | -0.008 | 
| 11.188 | 11.158 | 11.161 | -0.002 | -0.010 | 11.517 | 
| 133.311 | 51.496 | 51.496 | 0.000 | -0.000 | -0.000 | 
| 51.496 | 133.311 | 51.496 | 0.000 | -0.000 | -0.000 | 
| 51.496 | 51.496 | 133.311 | 0.000 | -0.000 | -0.000 | 
| -0.001 | -0.001 | -0.001 | 30.675 | -0.000 | 0.000 | 
| -0.001 | -0.001 | -0.001 | 0.000 | 30.675 | -0.000 | 
| -0.001 | -0.001 | -0.001 | 0.000 | -0.000 | 30.675 | 
| 85.894 | 32.655 | 32.655 | -0.000 | -0.000 | 0.000 | 
| 32.655 | 85.894 | 32.655 | -0.000 | 0.000 | -0.000 | 
| 32.655 | 32.655 | 85.894 | -0.000 | 0.000 | 0.000 | 
| 0.001 | 0.001 | 0.001 | 30.675 | 0.000 | 0.000 | 
| 0.001 | 0.001 | 0.001 | -0.000 | 30.675 | -0.000 | 
| 0.001 | 0.001 | 0.001 | -0.000 | 0.000 | 30.675 | 
| 133.311 | 51.496 | 51.496 | 0.000 | -0.000 | -0.000 | 
| 51.496 | 133.311 | 51.496 | 0.000 | 0.000 | -0.000 | 
| 51.496 | 51.496 | 133.311 | 0.000 | -0.000 | -0.000 | 
| -0.000 | -0.000 | -0.000 | 30.675 | -0.000 | -0.000 | 
| 0.000 | 0.000 | 0.000 | -0.000 | 56.820 | -0.000 | 
| -0.000 | -0.000 | -0.000 | 0.000 | -0.000 | 30.675 | 
| 72.792 | 22.747 | 22.747 | -0.000 | 0.000 | 0.000 | 
| 32.647 | 85.873 | 32.647 | 0.000 | 0.000 | 0.000 | 
| 32.647 | 32.647 | 85.873 | -0.000 | 0.000 | 0.000 | 
| 0.000 | 0.000 | 0.000 | 30.675 | 0.000 | 0.000 | 
| 0.000 | 0.000 | 0.000 | 0.000 | 30.675 | 0.000 | 
| 0.000 | 0.000 | 0.000 | 0.000 | 0.000 | 30.675 | 
| 41.218 | 18.283 | 18.283 | -0.000 | -0.000 | -0.000 | 
| 24.078 | 52.953 | 24.078 | 0.000 | -0.000 | 0.000 | 
| 24.078 | 24.078 | 52.953 | 0.000 | -0.000 | -0.000 | 
| 0.000 | 0.000 | 0.000 | 56.820 | -0.000 | -0.000 | 
| 0.000 | 0.000 | 0.000 | 0.000 | 56.820 | -0.000 | 
| 0.000 | 0.000 | 0.000 | 0.000 | -0.000 | 56.820 | 
| 72.824 | 22.759 | 22.759 | -0.000 | 0.000 | 0.000 | 
| 22.759 | 72.824 | 22.759 | -0.000 | 0.000 | 0.000 | 
| 22.759 | 22.759 | 72.824 | -0.000 | 0.000 | 0.000 | 
| -0.000 | -0.000 | -0.000 | 56.820 | 0.000 | 0.000 | 
| -0.000 | -0.000 | -0.000 | -0.000 | 56.820 | 0.000 | 
| -0.000 | -0.000 | -0.000 | -0.000 | 0.000 | 56.820 | 
| 151.465 | 31.781 | 55.571 | -0.000 | 0.000 | 0.000 | 
| 75.167 | 244.857 | 116.396 | -0.000 | -0.000 | -0.000 | 
| 72.196 | 116.321 | 249.576 | 0.000 | -0.000 | -0.000 | 
| 0.000 | -0.000 | 0.000 | 107.811 | -0.000 | 0.000 | 
| 0.000 | -0.000 | 0.000 | 0.000 | 77.136 | -0.000 | 
| -0.001 | 0.003 | -0.000 | -0.000 | -0.000 | 57.549 | 
| 183.598 | 47.553 | 38.972 | -0.000 | 0.000 | 0.000 | 
| 76.882 | 308.887 | 102.659 | 0.000 | 0.000 | -0.000 | 
| 71.966 | 102.660 | 315.610 | 0.000 | 0.000 | 0.000 | 
| 0.000 | 0.000 | -0.000 | 107.811 | 0.000 | 0.000 | 
| -0.000 | 0.000 | -0.000 | -0.000 | 77.136 | -0.000 | 
| 0.001 | -0.003 | 0.000 | 0.000 | 0.000 | 57.549 | 
| 183.594 | 47.549 | 38.977 | 0.000 | -0.000 | -0.000 | 
| 76.882 | 308.887 | 102.659 | -0.000 | -0.000 | -0.000 | 
| 71.966 | 102.659 | 315.610 | -0.000 | -0.000 | 0.000 | 
| 0.000 | 0.000 | 0.000 | 107.811 | 0.000 | -0.000 | 
| 0.000 | -0.000 | 0.000 | -0.000 | 77.136 | -0.000 | 
| -0.000 | 0.000 | -0.000 | -0.000 | -0.000 | 57.549 | 
| 183.597 | 47.550 | 38.976 | 0.000 | 0.000 | -0.000 | 
| 76.882 | 308.887 | 102.659 | -0.000 | 0.000 | 0.000 | 
| 72.197 | 116.317 | 249.574 | 0.000 | 0.000 | -0.000 | 
| -0.000 | -0.000 | -0.000 | 107.811 | 0.000 | 0.000 | 
| 0.000 | -0.000 | 0.000 | 0.000 | 55.411 | 0.000 | 
| 0.000 | -0.000 | 0.000 | -0.000 | 0.000 | 57.549 | 
| 221.836 | 73.603 | 72.411 | -0.000 | -0.000 | -0.000 | 
| 48.896 | 213.354 | 85.912 | -0.000 | 0.000 | -0.000 | 
| 71.966 | 102.660 | 315.611 | 0.000 | -0.000 | 0.000 | 
| 0.000 | -0.000 | 0.000 | 76.534 | -0.000 | -0.000 | 
| -0.000 | 0.000 | -0.000 | 0.000 | 55.411 | -0.000 | 
| -0.000 | -0.000 | 0.000 | -0.000 | -0.000 | 46.236 | 
| 183.609 | 47.550 | 38.977 | -0.000 | 0.000 | 0.000 | 
| 48.898 | 213.439 | 85.903 | 0.000 | -0.000 | 0.000 | 
| 61.720 | 90.558 | 227.205 | 0.000 | 0.000 | 0.000 | 
| -0.000 | 0.000 | -0.000 | 76.534 | 0.000 | -0.000 | 
| 0.000 | -0.000 | 0.000 | 0.000 | 55.411 | -0.000 | 
| 0.000 | 0.000 | -0.000 | 0.000 | 0.000 | 46.236 | 
| -1414.835 | 306.622 | 808.174 | -0.000 | -0.001 | 0.000 | 
| -702.508 | 247.185 | 905.187 | -0.000 | -0.002 | 0.001 | 
| 74.240 | 111.095 | 328.491 | -0.000 | -0.000 | -0.000 | 
| 0.000 | 0.000 | -0.000 | 114.271 | -0.000 | -0.000 | 
| -0.000 | -0.000 | -0.000 | -0.000 | 78.140 | 0.000 | 
| -782.780 | 7.710 | 778.474 | -0.000 | -0.002 | 38.297 | 
| 1042.253 | 70.771 | -701.974 | 0.000 | 0.002 | -0.001 | 
| 863.073 | 231.175 | -651.674 | 0.000 | 0.002 | -0.001 | 
| 74.240 | 111.095 | 328.491 | 0.000 | 0.000 | 0.000 | 
| 0.000 | 0.000 | -0.000 | 114.271 | 0.000 | 0.000 | 
| -0.000 | 0.000 | -0.000 | 0.000 | 78.140 | 0.000 | 
| 782.779 | -7.710 | -778.474 | 0.000 | 0.002 | 38.296 | 
| 178.633 | 79.241 | 155.819 | -0.000 | -0.000 | 0.000 | 
| 3.203 | 244.177 | 202.623 | -0.000 | -0.000 | 0.000 | 
| -76.891 | 103.618 | 297.329 | -0.000 | -0.000 | 0.000 | 
| -130.695 | 44.062 | 63.933 | 60.234 | -0.000 | 0.000 | 
| -76.954 | 0.758 | 76.531 | -0.000 | 40.733 | 0.000 | 
| 0.000 | 0.000 | 0.000 | -0.000 | -0.000 | 83.095 | 
| 337.656 | 77.682 | -2.122 | 0.000 | 0.000 | -0.000 | 
| 190.333 | 191.421 | -7.233 | 0.000 | 0.000 | -0.000 | 
| 178.360 | 40.712 | 84.375 | 0.000 | 0.000 | -0.000 | 
| 130.695 | -44.062 | -63.933 | 60.234 | 0.000 | -0.000 | 
| 76.954 | -0.758 | -76.531 | 0.000 | 40.734 | -0.000 | 
| -0.000 | -0.000 | -0.000 | 0.000 | 0.000 | 83.095 | 
| 330.430 | 80.085 | 74.801 | -0.000 | -0.000 | -0.000 | 
| 72.133 | 260.600 | 130.888 | -0.000 | -0.000 | 0.000 | 
| 69.464 | 125.984 | 260.519 | -0.000 | -0.000 | 0.000 | 
| -11.316 | 3.577 | 5.903 | 67.278 | -0.000 | 0.000 | 
| -5.300 | 0.052 | 5.271 | -0.000 | 52.378 | 0.000 | 
| -5.225 | 0.051 | 5.197 | -0.000 | -0.000 | 53.190 | 
| 206.251 | 54.199 | 47.711 | 0.000 | -0.000 | 0.000 | 
| 53.185 | 206.372 | 74.667 | 0.000 | 0.000 | -0.000 | 
| 74.239 | 111.094 | 328.489 | 0.000 | 0.000 | 0.000 | 
| 11.316 | -3.577 | -5.903 | 67.278 | 0.000 | -0.000 | 
| 5.300 | -0.052 | -5.271 | 0.000 | 52.378 | -0.000 | 
| 5.225 | -0.051 | -5.197 | 0.000 | 0.000 | 53.190 | 
| 1208.126 | 1077.797 | 1721.035 | 0.000 | 0.000 | -0.000 | 
| 1077.797 | 1208.126 | 1721.035 | 0.000 | 0.000 | -0.000 | 
| 112.056 | 112.056 | 348.716 | 0.000 | -0.000 | -0.000 | 
| 10625.069 | 10625.069 | 11956.269 | 24.256 | 0.000 | -0.000 | 
| 10625.069 | 10625.069 | 11956.269 | 0.000 | 24.256 | -0.000 | 
| 787.182 | 787.182 | -1201.033 | 0.000 | -0.000 | 62.724 | 
| -15926.058 | -15975.721 | -18360.410 | -0.000 | -0.000 | 0.000 | 
| -15975.721 | -15926.058 | -18360.410 | -0.000 | -0.000 | 0.000 | 
| -731.510 | -731.510 | 1363.349 | -0.000 | -0.000 | 0.000 | 
| -16024.023 | -16024.023 | -18354.377 | 34.266 | -0.000 | 0.000 | 
| -10625.069 | -10625.069 | -11956.269 | -0.000 | 24.256 | 0.000 | 
| -787.183 | -787.182 | 1201.033 | -0.000 | 0.000 | 62.724 | 
| 285.696 | 154.565 | 197.937 | 0.000 | 0.000 | -0.000 | 
| 154.565 | 285.696 | 197.937 | 0.000 | 0.000 | -0.000 | 
| 120.100 | 120.100 | 191.800 | 0.000 | 0.000 | -0.000 | 
| 5.872 | 5.872 | -52.032 | 74.291 | 0.000 | -0.000 | 
| 5.872 | 5.872 | -52.032 | 0.000 | 74.291 | -0.000 | 
| 78.379 | 78.379 | -119.663 | -0.000 | -0.000 | 62.923 | 
| 243.884 | 117.085 | 166.925 | -0.000 | -0.000 | 0.000 | 
| 117.085 | 243.884 | 166.925 | -0.000 | -0.000 | 0.000 | 
| 108.356 | 108.356 | 296.244 | -0.000 | -0.000 | 0.000 | 
| -5.872 | -5.872 | 52.032 | 74.291 | -0.000 | 0.000 | 
| -5.872 | -5.872 | 52.032 | -0.000 | 74.291 | 0.000 | 
| -102.858 | -102.858 | -168.036 | -0.000 | -0.000 | 46.132 | 
| 231.349 | 153.790 | 148.636 | 0.000 | 0.000 | -0.000 | 
| 153.790 | 231.349 | 148.636 | 0.000 | 0.000 | -0.000 | 
| 114.792 | 114.792 | 239.346 | 0.000 | 0.000 | -0.000 | 
| 10.149 | 10.149 | 13.452 | 59.355 | 0.000 | -0.000 | 
| 10.149 | 10.149 | 13.452 | 0.000 | 59.355 | -0.000 | 
| 0.000 | 0.000 | 0.000 | -0.000 | -0.000 | 132.313 | 
| -58.679 | -88.854 | -147.426 | -0.000 | -0.000 | 0.000 | 
| -88.854 | -58.679 | -147.426 | -0.000 | -0.000 | 0.000 | 
| 113.592 | 113.592 | 251.568 | -0.000 | -0.000 | 0.000 | 
| -10.149 | -10.149 | -13.452 | 59.355 | -0.000 | 0.000 | 
| -10.149 | -10.149 | -13.452 | -0.000 | 59.355 | 0.000 | 
| -0.000 | -0.000 | -0.000 | 0.000 | -0.000 | 132.313 | 
| 366.206 | 96.132 | 91.986 | 0.000 | -0.000 | 0.000 | 
| 285.914 | -22.794 | -364.649 | 0.000 | -0.000 | 0.000 | 
| -112.141 | -2776.980 | -302.043 | 0.000 | -0.000 | 0.000 | 
| -1775.635 | -8603.523 | -3835.327 | 38.608 | -0.000 | 0.000 | 
| -1484.951 | -5817.357 | -2108.426 | 0.000 | 31.977 | -0.000 | 
| -206.790 | -2833.352 | -501.426 | 0.000 | -0.000 | 48.691 | 
| 145.004 | 390.783 | 568.183 | -0.000 | 0.000 | -0.000 | 
| -72.318 | 546.227 | 572.219 | -0.000 | 0.000 | -0.000 | 
| -78.874 | 388.758 | 730.934 | -0.000 | 0.000 | 0.000 | 
| 1775.635 | 8603.523 | 3835.327 | 38.607 | 0.000 | -0.000 | 
| 1484.951 | 5817.357 | 2108.426 | -0.000 | 31.977 | -0.000 | 
| 206.790 | 2833.352 | 501.426 | -0.000 | 0.000 | 48.691 | 
| 119.579 | -844.128 | -330.899 | 0.000 | -0.000 | -0.000 | 
| 96.274 | 329.939 | 97.877 | 0.000 | -0.000 | 0.000 | 
| 92.255 | 98.005 | 326.659 | 0.000 | -0.000 | 0.000 | 
| 17.899 | -28.424 | -46.814 | 64.788 | -0.000 | -0.000 | 
| -201.852 | -973.462 | -84.597 | 0.000 | 39.321 | -0.000 | 
| -20.634 | -282.845 | -50.076 | 0.000 | -0.000 | 48.769 | 
| 306.235 | 134.814 | 146.622 | -0.000 | 0.000 | 0.000 | 
| 124.353 | 472.288 | 107.886 | -0.000 | 0.000 | -0.000 | 
| 82.223 | 132.937 | 309.562 | -0.000 | 0.000 | 0.000 | 
| -17.899 | 28.424 | 46.814 | 64.788 | 0.000 | 0.000 | 
| 201.852 | 973.462 | 84.597 | -0.000 | 39.321 | 0.000 | 
| 171.201 | 885.921 | 185.993 | -0.000 | 0.000 | 55.535 | 
| 242.414 | -13.754 | 25.572 | 0.000 | -0.000 | -0.000 | 
| 101.545 | 169.752 | 46.404 | 0.000 | 0.000 | 0.000 | 
| 44.406 | -11.863 | 131.081 | 0.000 | -0.000 | 0.000 | 
| -14.123 | -56.721 | -19.477 | 44.627 | -0.000 | 0.000 | 
| -15.634 | -83.047 | -17.313 | 0.000 | 42.075 | 0.000 | 
| -14.377 | -55.344 | -20.630 | 0.000 | -0.000 | 48.867 | 
| 260.731 | 119.348 | 74.092 | -0.000 | 0.000 | 0.000 | 
| 104.412 | 267.753 | 108.563 | -0.000 | -0.000 | 0.000 | 
| 49.088 | 98.594 | 168.094 | -0.000 | 0.000 | -0.000 | 
| 14.123 | 56.721 | 19.477 | 44.627 | 0.000 | 0.000 | 
| 15.634 | 83.047 | 17.313 | -0.000 | 42.075 | -0.000 | 
| 14.377 | 55.344 | 20.630 | -0.000 | 0.000 | 48.867 | 
| 269.312 | 417.832 | -1626.498 | 0.006 | 0.010 | 0.000 | 
| 403.875 | 295.230 | -1644.518 | 0.010 | 0.021 | -0.004 | 
| 90.958 | 90.958 | 312.256 | -0.000 | 0.000 | -0.000 | 
| 531.779 | 531.779 | -1434.412 | -18.643 | 0.005 | 0.003 | 
| -245.697 | -245.698 | -168.153 | 0.001 | 35.887 | 0.002 | 
| 0.000 | 0.000 | 0.000 | -0.000 | 0.000 | 75.560 | 
| 375.778 | 306.878 | 215.799 | -0.001 | -0.003 | -0.002 | 
| 306.878 | 375.778 | 215.799 | -0.001 | -0.003 | -0.002 | 
| 787.037 | 787.037 | 113.257 | -0.002 | -0.003 | -0.001 | 
| 245.697 | 245.698 | 168.153 | 35.882 | -0.003 | -0.002 | 
| 245.697 | 245.697 | 168.153 | -0.001 | 35.881 | -0.002 | 
| -0.000 | -0.000 | -0.000 | 0.000 | -0.000 | 75.560 | 
| 64.370 | -46.920 | 11.278 | 0.000 | 0.000 | 0.000 | 
| -9.993 | 34.611 | 89.019 | 0.000 | 0.000 | 0.000 | 
| -29.795 | -29.795 | 145.095 | 0.000 | 0.000 | 0.000 | 
| -83.217 | -83.217 | 11.377 | 47.366 | 0.000 | 0.000 | 
| -83.217 | -83.217 | 11.377 | 0.000 | 47.366 | 0.000 | 
| -22.837 | -22.837 | -15.629 | 0.000 | 0.000 | 45.853 | 
| 200.389 | 87.814 | 74.302 | -0.000 | -0.000 | -0.000 | 
| -88.121 | -151.539 | -33.488 | -0.000 | -0.000 | -0.000 | 
| 86.039 | 86.039 | 135.159 | -0.000 | -0.000 | -0.000 | 
| 83.217 | 83.217 | -11.377 | 47.365 | -0.000 | -0.000 | 
| 83.228 | 83.228 | -11.375 | -0.000 | 47.353 | -0.000 | 
| 22.837 | 22.837 | 15.629 | -0.000 | -0.000 | 45.853 | 
| 12.003 | -11.235 | -12.131 | 0.000 | 0.000 | 0.000 | 
| -11.236 | 12.001 | -12.133 | 0.000 | 0.000 | 0.000 | 
| 66.329 | 66.329 | 188.441 | 0.000 | 0.000 | 0.000 | 
| -5.432 | -5.432 | 0.328 | 34.419 | 0.000 | 0.000 | 
| -5.432 | -5.432 | 0.328 | 0.000 | 34.419 | 0.000 | 
| -11.467 | -11.467 | 1.807 | 0.000 | 0.000 | 30.170 | 
| 11.487 | -6.943 | -7.457 | -0.000 | -0.000 | -0.000 | 
| -6.943 | 11.487 | -7.457 | -0.000 | -0.000 | -0.000 | 
| 4.354 | 4.354 | 58.931 | 0.000 | 0.000 | -0.000 | 
| 5.432 | 5.432 | -0.328 | 34.419 | -0.000 | -0.000 | 
| 9.882 | 9.882 | -3.125 | -0.000 | 40.361 | -0.000 | 
| 11.467 | 11.467 | -1.807 | -0.000 | -0.000 | 30.170 | 
| 712.408 | -9.871 | 388.339 | 0.000 | -42.874 | -0.000 | 
| 573.462 | 224.505 | 369.617 | -0.000 | -52.093 | -0.000 | 
| 556.636 | -48.978 | 591.211 | -0.000 | -62.426 | -0.000 | 
| 8295.435 | 3638.750 | 6548.310 | 49.659 | 4365.342 | 35.952 | 
| 4854.789 | 2005.361 | 5202.506 | 0.000 | 5707.133 | -0.000 | 
| 4207.786 | 1050.723 | 3682.418 | 13.100 | 5573.232 | 62.941 | 
| -3952.580 | 57.942 | -2903.052 | 0.000 | -1061.993 | 0.000 | 
| -290.510 | 537.028 | -158.171 | 0.000 | 77.883 | 0.000 | 
| -306.856 | 263.421 | 63.443 | 0.000 | 67.514 | 0.000 | 
| -4007.900 | -91.053 | -2920.038 | 23.048 | -1088.148 | -16.621 | 
| -8320.313 | -3624.350 | -6543.945 | -0.000 | -4327.842 | 0.000 | 
| -6875.968 | -2344.016 | -7110.616 | 6.984 | -1482.560 | 28.516 | 
| 508.065 | 157.868 | 364.934 | -0.000 | 569.220 | -0.000 | 
| 499.341 | 197.016 | 368.993 | -0.000 | 103.811 | -0.000 | 
| 433.846 | 106.426 | 419.313 | -0.000 | 585.610 | -0.000 | 
| 484.787 | 197.809 | 517.896 | 35.154 | 564.845 | 26.589 | 
| 407.471 | 115.533 | 391.883 | 0.000 | 600.332 | -0.000 | 
| 43.262 | -15.649 | 26.428 | 12.576 | -6.508 | 102.405 | 
| -546.688 | -127.965 | -666.366 | 0.000 | -99.921 | 0.000 | 
| 97.906 | 396.056 | 79.189 | 0.000 | 19.420 | 0.000 | 
| -288.829 | 56.126 | -96.652 | -0.000 | -617.286 | 0.000 | 
| -394.635 | -8.803 | -287.469 | 23.987 | -106.965 | -16.118 | 
| -52.853 | 28.355 | -24.139 | 0.000 | 93.485 | 0.000 | 
| -43.262 | 15.649 | -26.428 | 12.576 | 6.508 | 102.405 | 
| 347.638 | 140.730 | 116.051 | -0.000 | 39.449 | -0.000 | 
| 153.593 | 334.539 | 112.166 | -0.000 | 16.321 | -0.000 | 
| 41.184 | 36.871 | 159.763 | 0.000 | 32.049 | -0.000 | 
| 0.000 | 0.000 | 0.000 | 95.684 | 0.000 | 16.663 | 
| -3.612 | 16.781 | -6.528 | 0.000 | 121.873 | -0.000 | 
| 14.587 | -0.290 | 10.437 | 4.544 | 3.279 | 76.019 | 
| 168.597 | 145.494 | 51.303 | 0.000 | 23.218 | 0.000 | 
| 137.779 | 368.209 | 105.890 | 0.000 | 12.556 | 0.000 | 
| -2.646 | 30.012 | 146.944 | 0.000 | -8.741 | 0.000 | 
| -0.000 | -0.000 | -0.000 | 95.684 | -0.000 | 16.663 | 
| -13.774 | 14.097 | -0.022 | 0.000 | 86.905 | 0.000 | 
| -14.587 | 0.290 | -10.437 | 4.544 | -3.279 | 76.019 | 
| -45406723.035 | -49381393.847 | -7186443.682 | 4512588.804 | 4944402.832 | -7480493.518 | 
| -45331350.854 | -49248387.429 | -7169499.569 | 4482893.167 | 4929315.131 | -7391489.065 | 
| -45087891.382 | -48791911.231 | -6958096.826 | 4451173.471 | 4959979.550 | -7238215.936 | 
| -45392523.471 | -49396877.000 | -7234379.012 | 4521757.233 | 4934187.988 | -7453693.730 | 
| -45236548.006 | -49279504.094 | -7255839.703 | 4481125.616 | 4963284.017 | -7308791.647 | 
| -45136171.275 | -48819520.707 | -6980233.559 | 4419423.116 | 4954371.044 | -7226614.382 | 
| 45069753.202 | 48748999.623 | 6961670.420 | -4448214.590 | -4947504.374 | 7230595.963 | 
| 44999922.840 | 48643923.219 | 6918994.203 | -4493319.038 | -4953862.221 | 7225451.976 | 
| 45178950.959 | 48904298.267 | 7018335.564 | -4433636.313 | -4941354.122 | 7276577.384 | 
| 44998669.534 | 48678714.051 | 6898026.351 | -4519650.839 | -4989613.736 | 7201961.516 | 
| 45411913.808 | 49377155.107 | 7217254.411 | -4505097.186 | -4929699.486 | 7479708.053 | 
| 45180579.186 | 48926024.961 | 7039659.355 | -4445033.414 | -4948672.208 | 7265927.165 | 
| -4502607.310 | -4871980.486 | -690913.773 | 448071.320 | 497115.707 | -724299.285 | 
| -4508548.910 | -4885464.049 | -692951.950 | 445909.491 | 497275.349 | -725143.108 | 
| -4527653.709 | -4930185.601 | -721298.459 | 448283.164 | 491607.517 | -736521.068 | 
| -4518909.275 | -4891367.559 | -702054.819 | 442470.225 | 494716.492 | -726536.104 | 
| -4531640.847 | -4932282.485 | -721590.935 | 450527.985 | 489094.074 | -736903.664 | 
| -4507405.613 | -4876315.760 | -697656.349 | 444312.497 | 495533.139 | -723033.158 | 
| 4513363.022 | 4889039.681 | 701788.104 | -445912.000 | -494590.474 | 727810.165 | 
| 4531854.020 | 4916108.351 | 711793.231 | -445257.367 | -494524.658 | 734441.343 | 
| 4522906.344 | 4897056.610 | 704040.170 | -443283.309 | -492864.622 | 725222.636 | 
| 4527836.078 | 4911527.108 | 712001.299 | -445790.977 | -494009.680 | 733185.846 | 
| 4539518.452 | 4938254.069 | 721376.271 | -451864.873 | -492067.384 | 744841.865 | 
| 4531063.399 | 4913632.553 | 712515.455 | -445142.778 | -493218.463 | 733789.744 | 
| -449776.137 | -486346.858 | -68716.305 | 45106.324 | 49891.453 | -71953.168 | 
| -451143.864 | -488128.379 | -69912.230 | 44393.831 | 49387.445 | -72496.714 | 
| -453014.460 | -491638.884 | -71196.398 | 44599.967 | 49279.633 | -73776.546 | 
| -451961.637 | -489480.479 | -70339.605 | 44417.542 | 49459.509 | -72891.002 | 
| -452740.143 | -493063.395 | -72445.448 | 44852.909 | 49390.539 | -73278.706 | 
| -450081.177 | -486643.548 | -68996.869 | 45111.860 | 49931.639 | -71970.411 | 
| 451380.182 | 488515.473 | 69826.729 | -44444.068 | -49455.729 | 72536.679 | 
| 453778.043 | 492566.199 | 71523.363 | -44552.680 | -49458.067 | 74116.420 | 
| 452535.122 | 490286.368 | 71021.669 | -44501.979 | -49258.135 | 73086.876 | 
| 452189.329 | 489803.919 | 70393.837 | -44260.086 | -49476.563 | 73096.249 | 
| 449808.300 | 486473.668 | 68975.129 | -45189.167 | -49737.231 | 72092.843 | 
| 450894.296 | 487755.092 | 69634.874 | -44404.215 | -49527.844 | 72494.246 | 
| 605.642 | 290.413 | 109.944 | -0.000 | -0.000 | -0.000 | 
| 290.413 | 605.642 | 109.944 | -0.000 | 0.000 | -0.000 | 
| 306.172 | 306.172 | 387.305 | -0.000 | 0.000 | -0.000 | 
| 80.422 | 80.421 | 21.074 | 26.480 | 0.000 | -0.000 | 
| 80.422 | 80.422 | 21.074 | -0.000 | 26.480 | -0.000 | 
| 0.000 | 0.000 | 0.000 | -0.000 | -0.000 | 203.017 | 
| 56.262 | -106.084 | -21.352 | 0.000 | -0.000 | 0.000 | 
| -106.295 | 55.918 | -21.424 | 0.000 | 0.000 | 0.000 | 
| 8.360 | 8.360 | 306.582 | 0.000 | 0.000 | 0.000 | 
| -80.421 | -80.421 | -21.074 | 26.480 | -0.000 | 0.000 | 
| -80.421 | -80.421 | -21.074 | 0.000 | 26.480 | -0.000 | 
| -0.000 | -0.000 | -0.000 | 0.000 | 0.000 | 203.017 | 
| 331.890 | 144.871 | 47.089 | -0.000 | -0.000 | -0.000 | 
| 144.854 | 331.833 | 47.078 | -0.000 | -0.000 | -0.000 | 
| 106.064 | 106.064 | 333.027 | -0.000 | 0.000 | -0.000 | 
| 0.000 | 0.000 | 0.000 | 64.247 | -0.000 | -0.000 | 
| 0.000 | 0.000 | 0.000 | -0.000 | 64.247 | -0.000 | 
| 10.041 | 10.041 | 2.631 | -0.000 | -0.000 | 92.415 | 
| 607.292 | 241.520 | 103.441 | 0.000 | 0.000 | 0.000 | 
| 241.520 | 607.292 | 103.441 | 0.000 | 0.000 | 0.000 | 
| 106.064 | 106.064 | 333.027 | -0.000 | 0.000 | 0.000 | 
| -0.000 | -0.000 | -0.000 | 64.247 | 0.000 | 0.000 | 
| -0.000 | -0.000 | -0.000 | 0.000 | 64.247 | 0.000 | 
| -17.682 | -17.682 | -5.073 | 0.000 | -0.000 | 79.864 | 
| 296.363 | 106.550 | 34.957 | -0.000 | 0.000 | -0.000 | 
| 580.771 | -186.920 | 30.744 | -0.000 | -0.000 | 0.000 | 
| 34.415 | 34.415 | 308.345 | -0.000 | -0.000 | -0.000 | 
| 2.604 | 2.604 | 0.847 | -11.721 | 0.000 | -0.000 | 
| 2.604 | 2.604 | 0.847 | -0.000 | -11.721 | -0.000 | 
| 2.310 | 2.311 | 0.722 | -0.000 | -0.000 | 80.393 | 
| -194.850 | 583.115 | 29.798 | 0.000 | 0.000 | 0.000 | 
| 583.115 | -194.850 | 29.798 | 0.000 | 0.000 | 0.000 | 
| 106.063 | 106.063 | 333.026 | 0.000 | 0.000 | 0.000 | 
| -2.604 | -2.604 | -0.847 | -11.721 | -0.000 | 0.000 | 
| -2.604 | -2.604 | -0.847 | 0.000 | -11.721 | 0.000 | 
| -2.310 | -2.311 | -0.722 | 0.000 | 0.000 | 80.393 | 
| -4606.352 | -4497.388 | -4497.388 | 0.000 | 0.000 | -0.001 | 
| -4497.388 | -4606.352 | -4497.388 | 0.000 | 0.000 | -0.001 | 
| -4497.388 | -4497.388 | -4606.352 | 0.000 | 0.000 | -0.000 | 
| 0.000 | 0.000 | 0.000 | 161.623 | -0.000 | -0.000 | 
| 0.000 | 0.000 | 0.000 | 0.000 | 161.623 | -0.000 | 
| 0.000 | 0.000 | -0.000 | 0.000 | 0.000 | 161.622 | 
| 4615.444 | 4723.386 | 4723.386 | -0.000 | -0.000 | 0.000 | 
| 4723.386 | 4615.444 | 4723.386 | -0.000 | -0.000 | 0.000 | 
| 211.924 | 211.924 | 333.112 | 0.000 | -0.000 | 0.000 | 
| -0.000 | -0.000 | 0.000 | 161.622 | 0.000 | 0.000 | 
| -0.000 | -0.000 | -0.000 | -0.000 | 161.622 | 0.000 | 
| -0.000 | -0.000 | 0.000 | -0.000 | -0.000 | 161.623 | 
| -473.253 | -337.455 | -337.455 | 0.000 | 0.000 | -0.000 | 
| -337.877 | -473.851 | -337.877 | 0.000 | 0.000 | -0.000 | 
| -337.877 | -337.877 | -473.851 | 0.000 | 0.000 | -0.000 | 
| -489.192 | -489.192 | -489.192 | -41.335 | 0.000 | -0.000 | 
| -489.192 | -489.192 | -489.192 | 0.000 | -41.335 | -0.000 | 
| -489.192 | -489.192 | -489.192 | 0.000 | 0.000 | -41.335 | 
| 497.890 | 645.049 | 645.049 | -0.000 | -0.000 | 0.000 | 
| 645.049 | 497.890 | 645.049 | -0.000 | -0.000 | 0.000 | 
| 645.049 | 645.049 | 497.890 | -0.000 | -0.000 | 0.000 | 
| 489.192 | 489.192 | 489.192 | -41.335 | -0.000 | 0.000 | 
| 489.192 | 489.192 | 489.192 | -0.000 | -41.335 | 0.000 | 
| 489.192 | 489.192 | 489.192 | -0.000 | -0.000 | -41.335 | 
| -104.920 | 70.002 | 70.002 | 0.000 | 0.000 | -0.000 | 
| 70.002 | -104.920 | 70.002 | 0.000 | 0.000 | -0.000 | 
| 70.002 | 70.002 | -104.920 | 0.000 | 0.000 | -0.000 | 
| -9024700.340 | -13596219.314 | -13580636.811 | 5495250.218 | 62996.944 | -94795.813 | 
| -13672857.513 | -9088526.828 | -13642608.682 | -29662.611 | 5413172.494 | 59886.279 | 
| -13757871.560 | -13794764.444 | -9318026.289 | 33267.407 | 15252.565 | 5129055.687 | 
| 15759384.616 | 14858799.451 | 14972971.315 | -47967.389 | 159353.192 | -65807.618 | 
| 14681094.079 | 15693184.230 | 15149851.492 | -68387.114 | -43027.341 | 4254.617 | 
| 14787468.245 | 14808634.405 | 15673803.976 | 102330.412 | -9644.542 | -16872.758 | 
| 8963081.032 | 13694903.758 | 13634125.200 | 5429501.515 | 115974.743 | -74692.032 | 
| 13688218.593 | 8861920.553 | 13665455.149 | -60446.624 | 5405403.422 | 130241.544 | 
| 13719801.204 | 13774173.264 | 9101520.244 | 105266.223 | -77792.642 | 5240584.994 | 
| 1703.995 | 128.650 | -429.196 | 0.000 | -0.000 | 0.000 | 
| 1591.139 | 268.138 | 67.251 | -0.000 | -0.000 | 0.000 | 
| 154.935 | 133.149 | 311.710 | 0.000 | -0.000 | -0.000 | 
| 1606.677 | -176.060 | -166.712 | 94.879 | -0.000 | 0.000 | 
| 1362.748 | 43.718 | -586.628 | -0.000 | 101.701 | 0.000 | 
| -0.000 | 0.000 | -0.000 | 0.000 | -0.000 | 62.413 | 
| -1265.344 | 255.191 | 316.779 | -0.000 | -0.000 | 0.000 | 
| 58.324 | 384.055 | 133.713 | -0.000 | 0.000 | -0.000 | 
| 154.935 | 133.149 | 311.710 | -0.000 | 0.000 | 0.000 | 
| -1606.615 | 176.005 | 166.818 | 94.874 | -0.000 | -0.000 | 
| -1606.259 | 176.078 | 166.522 | 0.000 | 95.477 | -0.000 | 
| 0.000 | 0.000 | 0.000 | -0.000 | 0.000 | 62.413 | 
| 485.925 | 61.600 | 133.129 | 0.000 | -0.000 | -0.000 | 
| 58.324 | 384.055 | 133.713 | -0.000 | 0.000 | -0.000 | 
| 307.863 | 103.945 | 242.372 | 0.000 | -0.000 | 0.000 | 
| 0.000 | 0.000 | 0.000 | 136.674 | -0.000 | 0.000 | 
| 135.538 | 4.348 | -58.346 | 0.000 | 102.010 | 0.000 | 
| 160.742 | -17.739 | -16.391 | -0.000 | -0.000 | 50.980 | 
| 412.575 | 57.417 | 154.591 | -0.000 | 0.000 | -0.000 | 
| -37.375 | 295.052 | 192.833 | 0.000 | -0.000 | -0.000 | 
| -18.213 | 138.380 | 302.907 | -0.000 | 0.000 | -0.000 | 
| -0.000 | -0.000 | -0.000 | 136.674 | 0.000 | -0.000 | 
| -159.083 | 17.783 | 15.699 | -0.000 | 96.145 | -0.000 | 
| -160.742 | 17.739 | 16.391 | -0.000 | -0.000 | 50.980 | 
| 352.047 | 64.688 | 150.968 | 0.000 | -0.000 | 0.000 | 
| 98.304 | 275.936 | 108.764 | 0.000 | 0.000 | 0.000 | 
| 169.365 | 115.290 | 256.098 | -0.000 | -0.000 | -0.000 | 
| 0.000 | 0.000 | 0.000 | 136.674 | -0.000 | 0.000 | 
| 12.858 | 0.413 | -5.535 | 0.000 | 104.921 | 0.000 | 
| 17.332 | -2.104 | -1.326 | 0.000 | -0.000 | 51.211 | 
| 332.049 | 84.027 | 161.960 | 0.000 | 0.000 | -0.000 | 
| 63.666 | 270.448 | 112.122 | -0.000 | 0.000 | -0.000 | 
| 131.719 | 114.534 | 253.088 | 0.000 | 0.000 | 0.000 | 
| -0.000 | -0.000 | -0.000 | 136.674 | 0.000 | 0.000 | 
| -12.858 | -0.413 | 5.535 | 0.000 | 104.921 | -0.000 | 
| -17.332 | 2.104 | 1.326 | -0.000 | 0.000 | 51.211 | 
| 225.669 | 87.500 | 100.958 | -0.097 | -0.058 | 0.000 | 
| 85.060 | 287.129 | 85.060 | -0.000 | -0.000 | 0.000 | 
| 85.060 | 85.060 | 287.129 | 0.000 | 0.000 | 0.000 | 
| 0.000 | -0.000 | 0.000 | 88.037 | 0.000 | 0.000 | 
| 0.000 | -0.000 | 0.000 | 0.000 | 88.037 | 0.000 | 
| 0.000 | 0.000 | -0.000 | -0.000 | 0.000 | 88.037 | 
| 287.129 | 85.060 | 85.060 | 0.000 | 0.000 | -0.000 | 
| 85.060 | 287.129 | 85.060 | 0.000 | -0.000 | -0.000 | 
| 85.060 | 85.060 | 287.129 | -0.000 | -0.000 | -0.000 | 
| 0.000 | 0.000 | 0.000 | 88.037 | 0.000 | -0.000 | 
| -0.000 | -0.000 | 0.000 | 0.000 | 88.037 | -0.000 | 
| -0.000 | 0.000 | -0.000 | -0.000 | 0.000 | 88.037 | 
| 220.888 | 90.996 | 92.183 | -0.009 | -0.005 | 0.000 | 
| 85.060 | 287.129 | 85.060 | -0.000 | -0.000 | 0.000 | 
| 85.060 | 85.060 | 287.129 | -0.000 | -0.000 | 0.000 | 
| 0.000 | 0.000 | 0.000 | 88.037 | -0.000 | 0.000 | 
| 0.000 | 0.000 | 0.000 | -0.000 | 88.037 | 0.000 | 
| 0.000 | 0.000 | 0.000 | 0.000 | -0.000 | 88.037 | 
| 287.129 | 85.060 | 85.060 | 0.000 | -0.000 | -0.000 | 
| 85.060 | 287.129 | 85.060 | 0.000 | -0.000 | -0.000 | 
| 85.060 | 85.060 | 287.129 | 0.000 | -0.000 | -0.000 | 
| -0.000 | -0.000 | -0.000 | 88.037 | -0.000 | -0.000 | 
| -0.000 | -0.000 | -0.000 | 0.000 | 88.037 | -0.000 | 
| -0.000 | -0.000 | -0.000 | 0.000 | 0.000 | 88.037 | 
| 151.632 | 48.763 | 48.810 | -0.001 | -0.000 | 0.000 | 
| 46.115 | 98.641 | 46.085 | -0.000 | -0.000 | 0.000 | 
| 46.116 | 46.021 | 98.706 | -0.000 | -0.000 | 0.000 | 
| 0.000 | 0.000 | 0.000 | 88.037 | 0.000 | 0.000 | 
| 0.000 | 0.000 | 0.000 | 0.000 | 88.037 | 0.000 | 
| 0.000 | 0.000 | 0.000 | -0.000 | -0.000 | 88.037 | 
| 188.585 | 71.990 | 71.959 | 0.000 | 0.000 | -0.000 | 
| 52.008 | 157.986 | 52.026 | 0.001 | 0.000 | -0.000 | 
| 71.911 | 71.950 | 188.612 | 0.000 | 0.000 | -0.000 | 
| -0.000 | -0.000 | -0.000 | 88.037 | 0.000 | -0.000 | 
| -0.000 | -0.000 | -0.000 | -0.000 | 88.037 | -0.000 | 
| -0.000 | -0.000 | -0.000 | -0.000 | 0.000 | 88.037 | 
| 214.830 | 87.195 | 87.195 | -0.000 | 0.000 | 0.000 | 
| 87.195 | 214.830 | 87.195 | -0.000 | -0.000 | 0.000 | 
| 87.195 | 87.195 | 214.830 | -0.000 | 0.000 | 0.000 | 
| -0.000 | -0.000 | -0.000 | 86.590 | 0.000 | 0.000 | 
| -0.000 | 0.000 | -0.000 | 0.000 | 86.590 | 0.000 | 
| -0.000 | -0.000 | -0.000 | -0.000 | 0.000 | 86.590 | 
| 275.647 | 82.083 | 82.083 | 0.000 | -0.000 | -0.000 | 
| 82.083 | 275.647 | 82.083 | 0.000 | 0.000 | -0.000 | 
| 82.083 | 82.083 | 275.647 | 0.000 | -0.000 | -0.000 | 
| 0.000 | 0.000 | -0.000 | 86.590 | -0.000 | -0.000 | 
| 0.000 | -0.000 | -0.000 | -0.000 | 86.590 | -0.000 | 
| 0.000 | 0.000 | -0.000 | 0.000 | -0.000 | 86.590 | 
| 214.830 | 87.194 | 87.194 | 0.000 | 0.000 | 0.000 | 
| 87.194 | 214.830 | 87.194 | -0.000 | -0.000 | 0.000 | 
| 87.194 | 87.194 | 214.830 | 0.000 | 0.000 | 0.000 | 
| 0.000 | 0.000 | 0.000 | 63.234 | 0.000 | 0.000 | 
| 0.000 | 0.000 | 0.000 | -0.000 | 63.234 | 0.000 | 
| 0.000 | 0.000 | 0.000 | -0.000 | 0.000 | 63.234 | 
| 184.649 | 69.481 | 69.481 | 0.000 | -0.000 | -0.000 | 
| 69.481 | 184.649 | 69.481 | 0.000 | -0.000 | -0.000 | 
| 69.481 | 69.481 | 184.649 | 0.000 | 0.000 | -0.000 | 
| -0.000 | -0.000 | -0.000 | 63.234 | -0.000 | -0.000 | 
| -0.000 | -0.000 | -0.000 | 0.000 | 63.234 | -0.000 | 
| -0.000 | -0.000 | -0.000 | 0.000 | -0.000 | 63.234 | 
| 275.649 | 82.083 | 82.083 | 0.000 | 0.000 | 0.000 | 
| 82.083 | 275.649 | 82.083 | -0.000 | -0.000 | -0.000 | 
| 82.083 | 82.083 | 275.649 | -0.000 | -0.000 | 0.000 | 
| 0.000 | -0.000 | 0.000 | 63.234 | 0.000 | 0.000 | 
| -0.000 | 0.000 | 0.000 | -0.000 | 63.234 | 0.000 | 
| -0.000 | 0.000 | 0.000 | -0.000 | -0.000 | 63.234 | 
| 184.662 | 69.482 | 69.482 | 0.000 | -0.000 | -0.000 | 
| 69.482 | 184.662 | 69.482 | 0.000 | -0.000 | -0.000 | 
| 69.482 | 69.482 | 184.662 | -0.000 | -0.000 | -0.000 | 
| -0.000 | 0.000 | -0.000 | 63.234 | -0.000 | -0.000 | 
| 0.000 | -0.000 | -0.000 | 0.000 | 63.234 | -0.000 | 
| 0.000 | -0.000 | -0.000 | 0.000 | 0.000 | 63.234 | 
| -6229.094 | -6727.600 | 9147.295 | 0.000 | -0.000 | -0.000 | 
| -6727.600 | -6229.094 | 9147.295 | -0.000 | 0.000 | -0.000 | 
| -1000.168 | -1000.168 | -147.604 | -0.000 | -0.000 | 0.000 | 
| 0.000 | 0.000 | 0.000 | 94.433 | 0.000 | 0.000 | 
| 0.000 | 0.000 | -0.000 | -0.000 | 94.433 | 0.000 | 
| 0.000 | 0.000 | -0.000 | 0.000 | 0.000 | 109.822 | 
| 5511.161 | 5656.740 | -9710.602 | -0.000 | -0.000 | -0.000 | 
| 5656.740 | 5511.161 | -9710.602 | 0.000 | -0.000 | -0.000 | 
| 1184.038 | 1184.038 | 335.452 | -0.000 | 0.000 | -0.000 | 
| -0.000 | -0.000 | 0.000 | 94.433 | -0.000 | -0.000 | 
| -0.000 | -0.000 | -0.000 | 0.000 | 94.433 | -0.000 | 
| -0.000 | -0.000 | 0.000 | -0.000 | -0.000 | 109.822 | 
| -407.661 | -615.965 | 852.383 | 0.000 | -0.000 | 0.000 | 
| -615.965 | -407.661 | 852.383 | 0.000 | -0.000 | 0.000 | 
| 4.194 | 4.194 | 101.724 | 0.000 | -0.000 | 0.000 | 
| -627.795 | -627.795 | 807.668 | -6.229 | 0.000 | -0.000 | 
| -627.795 | -627.795 | 807.668 | 0.000 | -6.229 | 0.000 | 
| -101.457 | -101.457 | -22.163 | -0.000 | -0.000 | 34.914 | 
| 361.179 | 109.041 | 91.392 | -0.000 | -0.000 | -0.000 | 
| 109.041 | 361.179 | 91.392 | -0.000 | -0.000 | -0.000 | 
| 184.481 | 184.481 | 178.074 | -0.000 | 0.000 | 0.000 | 
| 627.795 | 627.795 | -807.668 | -6.229 | -0.000 | -0.000 | 
| 627.795 | 627.795 | -807.668 | 0.000 | -6.229 | -0.000 | 
| 101.457 | 101.457 | 22.163 | -0.000 | 0.000 | 34.914 | 
| 220.777 | 90.937 | 69.628 | -0.000 | 0.000 | 0.000 | 
| 94.624 | 204.326 | 43.670 | -0.000 | 0.000 | 0.000 | 
| 50.787 | 50.787 | 211.450 | -0.000 | 0.000 | 0.000 | 
| -3.094 | -3.094 | -0.676 | 65.873 | 0.000 | 0.000 | 
| -3.094 | -3.094 | -0.676 | 0.000 | 65.873 | 0.000 | 
| 0.000 | 0.000 | 0.000 | 0.000 | 0.000 | 109.822 | 
| 267.578 | 134.819 | 95.850 | 0.000 | -0.000 | -0.000 | 
| 134.819 | 267.578 | 95.850 | -0.000 | -0.000 | -0.000 | 
| 69.827 | 69.827 | 209.324 | -0.000 | -0.000 | 0.000 | 
| 3.094 | 3.094 | 0.676 | 65.873 | 0.000 | 0.000 | 
| 3.094 | 3.094 | 0.676 | 0.000 | 65.873 | 0.000 | 
| -0.000 | -0.000 | -0.000 | -0.000 | 0.000 | 109.822 | 
| 227.708 | 171.506 | 91.597 | 0.150 | -0.010 | 0.117 | 
| 81.399 | 350.758 | 84.704 | 0.165 | -0.011 | 0.129 | 
| 89.163 | 175.968 | 208.198 | 0.155 | -0.010 | 0.121 | 
| -36.061 | 51.529 | -34.802 | 77.875 | -0.010 | 0.117 | 
| 0.000 | 0.000 | 0.000 | -0.000 | 128.901 | 0.000 | 
| -0.000 | 0.000 | 0.000 | -0.000 | 0.000 | 112.116 | 
| 349.978 | 107.783 | 124.010 | 0.000 | 0.000 | 0.000 | 
| 153.171 | 258.241 | 155.398 | -0.142 | 0.010 | -0.111 | 
| 123.888 | 120.461 | 331.444 | 0.000 | -0.000 | 0.000 | 
| 36.044 | -51.506 | 34.786 | 77.595 | 0.010 | -0.117 | 
| -0.000 | -0.000 | 0.000 | -0.000 | 128.901 | 0.000 | 
| -0.000 | -0.000 | -0.000 | 0.000 | -0.000 | 112.116 | 
| 349.978 | 107.783 | 124.010 | -0.000 | -0.000 | 0.000 | 
| 107.433 | 386.793 | 120.232 | -0.000 | -0.000 | 0.000 | 
| 123.888 | 120.461 | 331.444 | -0.000 | 0.000 | 0.000 | 
| 0.000 | 0.000 | 0.000 | 125.078 | -0.000 | -0.000 | 
| 0.000 | 0.000 | 0.000 | -0.000 | 128.901 | -0.000 | 
| -3.364 | 4.807 | -3.246 | 0.014 | -0.001 | 76.915 | 
| 272.611 | 114.465 | 129.440 | -0.014 | 0.001 | -0.011 | 
| 107.432 | 386.793 | 120.232 | 0.000 | 0.000 | 0.000 | 
| 129.409 | 117.887 | 255.744 | -0.014 | 0.001 | -0.011 | 
| -0.000 | -0.000 | -0.000 | 125.078 | 0.000 | 0.000 | 
| -0.000 | -0.000 | -0.000 | 0.000 | 128.901 | 0.000 | 
| 3.361 | -4.803 | 3.244 | -0.014 | 0.001 | 76.923 | 
| 269.767 | 119.634 | 125.845 | 0.001 | -0.000 | 0.001 | 
| 119.721 | 300.496 | 122.327 | 0.002 | -0.000 | 0.001 | 
| 55.151 | 75.997 | 159.789 | 0.003 | -0.000 | 0.003 | 
| 0.000 | 0.000 | 0.000 | 125.078 | -0.000 | 0.000 | 
| -0.291 | 0.415 | -0.280 | 0.001 | 92.980 | 0.001 | 
| -0.384 | 0.143 | -0.555 | 0.000 | -0.000 | 72.539 | 
| 270.032 | 118.735 | 126.499 | -0.001 | 0.000 | -0.001 | 
| 78.584 | 261.092 | 75.472 | -0.002 | 0.000 | -0.002 | 
| 51.122 | 76.486 | 139.413 | 0.006 | 0.000 | 0.011 | 
| -0.000 | -0.000 | -0.000 | 125.078 | 0.000 | -0.000 | 
| 0.291 | -0.415 | 0.280 | -0.001 | 92.980 | -0.001 | 
| 1.435 | 0.940 | -0.360 | -0.000 | 0.000 | 62.168 | 
| 330.705 | 109.917 | 79.987 | -0.000 | 0.000 | -0.000 | 
| -771.055 | -703.819 | -3967.881 | 0.741 | 0.744 | -0.063 | 
| -156.421 | -156.957 | 92.020 | -0.453 | -0.362 | 0.327 | 
| -231.029 | -231.557 | -161.598 | 36.086 | -0.357 | 0.322 | 
| -231.031 | -231.559 | -161.600 | -0.446 | 36.175 | 0.322 | 
| 0.000 | -0.000 | -0.000 | 0.000 | -0.000 | 111.536 | 
| 330.705 | 109.917 | 79.987 | 0.000 | -0.000 | 0.000 | 
| 994.308 | 1068.871 | 4012.897 | 0.163 | 0.107 | -0.188 | 
| 306.964 | 307.486 | 418.124 | 0.442 | 0.353 | -0.318 | 
| 231.060 | 231.588 | 161.620 | 36.973 | 0.357 | -0.322 | 
| 231.057 | 231.585 | 161.618 | 0.446 | 36.884 | -0.322 | 
| 649.933 | 649.665 | 3298.519 | 1.248 | 1.160 | -64.260 | 
| -24.694 | -55.703 | -312.435 | -0.090 | -0.084 | 0.029 | 
| -55.688 | -24.699 | -312.393 | -0.090 | -0.084 | 0.029 | 
| -76.819 | -76.818 | -181.567 | -0.114 | -0.104 | 0.043 | 
| -20.330 | -20.376 | -14.220 | 42.099 | -0.031 | 0.028 | 
| -20.331 | -20.377 | -14.221 | -0.039 | 42.104 | 0.028 | 
| -21.689 | -21.738 | -15.171 | -0.042 | -0.033 | 70.646 | 
| 330.705 | 109.917 | 79.987 | -0.000 | -0.000 | 0.000 | 
| 109.917 | 330.705 | 79.987 | 0.000 | -0.000 | 0.000 | 
| 100.923 | 100.974 | 274.852 | 0.044 | 0.035 | -0.031 | 
| 20.347 | 20.393 | 14.232 | 42.142 | 0.031 | -0.028 | 
| 20.346 | 20.392 | 14.231 | 0.039 | 42.137 | -0.028 | 
| 21.677 | 21.726 | 15.162 | 0.042 | 0.033 | 70.609 | 
| 249.679 | 123.262 | 76.930 | -0.003 | -0.003 | 0.002 | 
| 123.266 | 249.678 | 76.930 | -0.003 | -0.003 | 0.002 | 
| 52.367 | 52.371 | 56.471 | -0.013 | -0.012 | 0.004 | 
| -2.856 | -2.858 | -7.834 | 45.559 | -0.003 | 0.002 | 
| -2.856 | -2.858 | -7.834 | -0.004 | 45.559 | 0.002 | 
| -2.807 | -2.810 | -3.314 | -0.000 | 0.000 | 66.717 | 
| 223.178 | 90.675 | 66.411 | 0.001 | 0.000 | -0.001 | 
| 90.672 | 223.180 | 66.411 | 0.001 | 0.000 | -0.001 | 
| 68.405 | 68.401 | 119.233 | 0.012 | 0.011 | -0.004 | 
| 3.181 | 3.185 | 12.157 | 43.380 | 0.000 | -0.001 | 
| 3.181 | 3.185 | 12.157 | 0.001 | 43.380 | -0.001 | 
| 1.725 | 1.729 | 1.206 | 0.003 | 0.003 | 78.992 | 
| 320.997 | 99.894 | 74.023 | -0.000 | -0.000 | -0.000 | 
| 99.894 | 320.997 | 74.023 | -0.000 | -0.000 | 0.000 | 
| 74.023 | 74.023 | 319.746 | 0.000 | -0.000 | -0.000 | 
| -0.000 | -0.000 | 0.000 | 79.274 | -0.000 | -0.000 | 
| -0.000 | -0.000 | 0.000 | -0.000 | 79.274 | -0.000 | 
| -0.001 | -0.001 | 0.000 | 0.000 | -0.000 | 28.095 | 
| 252.670 | 114.841 | 72.095 | 0.000 | -0.000 | 0.000 | 
| 114.841 | 252.670 | 72.095 | -0.000 | 0.000 | 0.000 | 
| 41.286 | 41.286 | 183.990 | 0.000 | 0.000 | 0.000 | 
| 0.000 | 0.000 | -0.000 | 79.274 | 0.000 | -0.000 | 
| 0.000 | 0.000 | -0.000 | -0.000 | 79.274 | 0.000 | 
| 0.001 | 0.001 | -0.000 | 0.000 | 0.000 | 28.095 | 
| 320.997 | 99.894 | 74.023 | 0.000 | -0.000 | -0.000 | 
| 99.894 | 320.997 | 74.023 | -0.000 | 0.000 | -0.000 | 
| 74.023 | 74.023 | 319.747 | -0.000 | -0.000 | 0.000 | 
| -0.000 | -0.000 | -0.000 | 55.035 | -0.000 | -0.000 | 
| -0.000 | -0.000 | -0.000 | -0.000 | 55.035 | -0.000 | 
| 0.000 | 0.000 | 0.000 | 0.000 | 0.000 | 105.101 | 
| 320.997 | 99.894 | 74.023 | -0.000 | 0.000 | 0.000 | 
| 99.894 | 320.997 | 74.023 | 0.000 | 0.000 | 0.000 | 
| 74.023 | 74.023 | 319.746 | 0.000 | -0.000 | 0.000 | 
| 0.000 | 0.000 | 0.000 | 55.035 | 0.000 | 0.000 | 
| 0.000 | 0.000 | 0.000 | 0.000 | 55.035 | 0.000 | 
| -0.000 | -0.000 | -0.000 | 0.000 | 0.000 | 105.101 | 
| 219.541 | 84.850 | 42.434 | -0.000 | -0.000 | -0.000 | 
| 84.850 | 219.541 | 42.434 | 0.000 | -0.000 | 0.000 | 
| 41.286 | 41.286 | 183.977 | -0.000 | -0.000 | -0.000 | 
| 0.000 | 0.000 | 0.000 | 79.274 | -0.000 | -0.000 | 
| 0.000 | 0.000 | 0.000 | 0.000 | 79.274 | -0.000 | 
| 0.000 | 0.000 | 0.000 | -0.000 | -0.000 | 105.101 | 
| 320.995 | 99.893 | 74.023 | -0.000 | 0.000 | 0.000 | 
| 99.893 | 320.995 | 74.023 | 0.000 | 0.000 | 0.000 | 
| 41.287 | 41.287 | 184.002 | -0.000 | 0.000 | -0.000 | 
| -0.000 | -0.000 | -0.000 | 79.274 | 0.000 | -0.000 | 
| -0.000 | -0.000 | -0.000 | 0.000 | 79.274 | 0.000 | 
| -0.000 | -0.000 | -0.000 | 0.000 | 0.000 | 105.101 | 
| 326.097 | 126.917 | 126.917 | 0.000 | 0.000 | -0.000 | 
| 126.917 | 326.096 | 126.917 | 0.000 | -0.000 | -0.000 | 
| 126.917 | 126.917 | 326.096 | 0.000 | -0.000 | -0.000 | 
| -3608.963 | -3608.963 | -3608.963 | 69.395 | 0.000 | 0.000 | 
| -3608.963 | -3608.963 | -3608.963 | -0.000 | 69.395 | -0.000 | 
| -3608.963 | -3608.963 | -3608.963 | -0.000 | -0.000 | 69.395 | 
| 326.096 | 126.917 | 126.917 | 0.000 | 0.000 | 0.000 | 
| 126.917 | 326.096 | 126.917 | -0.000 | 0.000 | 0.000 | 
| 126.917 | 126.917 | 326.096 | -0.000 | 0.000 | 0.000 | 
| 3608.963 | 3608.963 | 3608.963 | 69.395 | 0.000 | -0.000 | 
| 3608.963 | 3608.963 | 3608.963 | -0.000 | 69.395 | 0.000 | 
| 3608.963 | 3608.963 | 3608.963 | -0.000 | 0.000 | 69.395 | 
| 326.097 | 126.917 | 126.917 | 0.000 | -0.000 | -0.000 | 
| -281.005 | -147.997 | -281.005 | -0.000 | 0.000 | -0.000 | 
| -281.005 | -281.005 | -147.997 | 0.000 | -0.000 | -0.000 | 
| 0.000 | 0.000 | 0.000 | 132.784 | -0.000 | -0.000 | 
| 0.000 | 0.000 | 0.000 | 0.000 | 132.784 | -0.000 | 
| 0.000 | 0.000 | 0.000 | 0.000 | -0.000 | 132.784 | 
| 575.943 | 444.564 | 444.564 | 0.000 | 0.000 | 0.000 | 
| 444.564 | 575.943 | 444.564 | -0.000 | -0.000 | 0.000 | 
| 444.564 | 444.564 | 575.943 | 0.000 | 0.000 | 0.000 | 
| -0.000 | -0.000 | -0.000 | 132.784 | 0.000 | -0.000 | 
| -0.000 | -0.000 | -0.000 | -0.000 | 132.784 | 0.000 | 
| -0.000 | -0.000 | -0.000 | 0.000 | 0.000 | 132.784 | 
| 188.521 | 102.807 | 102.807 | -0.000 | -0.000 | -0.000 | 
| 102.807 | 188.521 | 102.807 | 0.000 | -0.000 | -0.000 | 
| 102.807 | 102.807 | 188.521 | 0.000 | 0.000 | -0.000 | 
| 0.000 | 0.000 | 0.000 | 132.784 | -0.000 | -0.000 | 
| 0.000 | 0.000 | 0.000 | 0.000 | 132.784 | -0.000 | 
| 0.000 | 0.000 | 0.000 | 0.000 | 0.000 | 132.784 | 
| 326.095 | 126.916 | 126.916 | 0.000 | 0.000 | 0.000 | 
| 126.916 | 326.095 | 126.916 | -0.000 | -0.000 | 0.000 | 
| 126.916 | 126.916 | 326.095 | -0.000 | 0.000 | -0.000 | 
| -0.000 | -0.000 | -0.000 | 132.784 | -0.000 | 0.000 | 
| -0.000 | -0.000 | -0.000 | -0.000 | 132.784 | 0.000 | 
| -0.000 | -0.000 | -0.000 | -0.000 | 0.000 | 132.784 | 
| 317.941 | 121.504 | 121.504 | 0.000 | -0.000 | 0.000 | 
| 121.504 | 317.941 | 121.504 | -0.000 | -0.000 | 0.000 | 
| -878.554 | -878.554 | -738.413 | -0.000 | -0.000 | 0.000 | 
| -108.385 | -108.385 | -108.385 | 79.947 | 0.000 | 0.000 | 
| -108.385 | -108.385 | -108.385 | 0.000 | 79.947 | 0.000 | 
| -108.385 | -108.385 | -108.385 | -0.000 | -0.000 | 79.947 | 
| 317.941 | 121.504 | 121.504 | -0.000 | 0.000 | -0.000 | 
| 121.504 | 317.941 | 121.504 | -0.000 | 0.000 | -0.000 | 
| 121.504 | 121.504 | 317.941 | 0.000 | -0.000 | -0.000 | 
| 108.385 | 108.385 | 108.385 | 79.947 | -0.000 | -0.000 | 
| 108.385 | 108.385 | 108.385 | 0.000 | 79.947 | -0.000 | 
| 108.385 | 108.385 | 108.385 | 0.000 | 0.000 | 79.947 | 
| 317.941 | 121.504 | 121.504 | 0.000 | -0.000 | 0.000 | 
| 121.504 | 317.941 | 121.504 | -0.000 | 0.000 | 0.000 | 
| 121.504 | 121.504 | 317.941 | -0.000 | -0.000 | 0.000 | 
| -10.702 | -10.702 | -10.702 | 80.569 | 0.000 | 0.000 | 
| -10.702 | -10.702 | -10.702 | -0.000 | 80.569 | 0.000 | 
| -10.702 | -10.702 | -10.702 | -0.000 | -0.000 | 80.569 | 
| 283.499 | 140.092 | 140.092 | 0.000 | -0.000 | -0.000 | 
| 140.092 | 283.499 | 140.092 | 0.000 | -0.000 | -0.000 | 
| 140.092 | 140.092 | 283.499 | 0.000 | -0.000 | -0.000 | 
| 10.702 | 10.702 | 10.702 | 80.569 | -0.000 | -0.000 | 
| 10.702 | 10.702 | 10.702 | 0.000 | 80.569 | -0.000 | 
| 10.702 | 10.702 | 10.702 | -0.000 | -0.000 | 80.569 | 
| 212.238 | 94.944 | 94.944 | 0.000 | 0.000 | 0.000 | 
| 94.944 | 212.238 | 94.944 | -0.000 | 0.000 | 0.000 | 
| 94.944 | 94.944 | 212.238 | -0.000 | 0.000 | 0.000 | 
| -16.751 | -16.751 | -16.751 | 70.904 | 0.000 | 0.000 | 
| -16.751 | -16.751 | -16.751 | 0.000 | 70.904 | 0.000 | 
| -16.751 | -16.751 | -16.751 | 0.000 | 0.000 | 70.904 | 
| 256.542 | 119.530 | 119.530 | 0.000 | -0.000 | -0.000 | 
| 119.530 | 256.542 | 119.530 | 0.000 | -0.000 | -0.000 | 
| 119.530 | 119.530 | 256.542 | -0.000 | -0.000 | -0.000 | 
| 16.751 | 16.751 | 16.751 | 70.904 | 0.000 | -0.000 | 
| 16.751 | 16.751 | 16.751 | 0.000 | 70.904 | -0.000 | 
| 16.751 | 16.751 | 16.751 | 0.000 | -0.000 | 70.904 | 
| 1034.404 | 963.573 | 4712.081 | 0.000 | 0.000 | 0.000 | 
| -2201.024 | -925.952 | 3057.166 | -0.001 | -0.001 | -0.001 | 
| 939.741 | 4312.406 | 3339.025 | -0.001 | -0.001 | -0.001 | 
| -159.284 | -2381.817 | 3654.827 | 52.865 | -0.001 | -0.000 | 
| 0.000 | -0.000 | 0.000 | -0.000 | 73.930 | 0.000 | 
| 1451.447 | 2870.789 | 3558.399 | -0.000 | -0.000 | 21.546 | 
| 347.176 | 96.445 | 70.823 | 0.000 | 0.000 | -0.000 | 
| 207.055 | 2531.254 | -3608.566 | 0.000 | 0.001 | 0.000 | 
| 2381.015 | 1248.791 | -2705.726 | 0.001 | 0.001 | 0.001 | 
| 159.284 | 2381.817 | -3654.827 | 52.866 | 0.001 | 0.000 | 
| -0.000 | 0.000 | 0.000 | 0.000 | 73.930 | -0.000 | 
| -924.318 | -1013.543 | -4719.958 | -0.000 | -0.000 | 47.494 | 
| 272.675 | 343.794 | 317.349 | -0.000 | -0.000 | -0.000 | 
| 148.100 | 274.102 | 367.041 | -0.000 | -0.000 | -0.000 | 
| 55.404 | -174.831 | 512.359 | -0.000 | -0.000 | -0.000 | 
| -228.680 | -114.521 | 293.774 | 52.924 | -0.000 | -0.000 | 
| 173.854 | 308.729 | 269.427 | -0.000 | 34.714 | -0.000 | 
| -17.853 | -237.654 | 365.720 | -0.000 | -0.000 | 57.399 | 
| 347.176 | 96.445 | 70.823 | -0.000 | 0.000 | 0.000 | 
| 328.899 | 341.022 | -192.900 | 0.000 | 0.000 | 0.000 | 
| 311.012 | 212.429 | -43.283 | 0.000 | 0.000 | 0.000 | 
| 228.680 | 114.521 | -293.774 | 52.924 | 0.000 | 0.000 | 
| -173.854 | -308.729 | -269.427 | 0.000 | 34.714 | 0.000 | 
| 17.853 | 237.654 | -365.720 | 0.000 | 0.000 | 57.399 | 
| 247.307 | 89.246 | 106.723 | -0.000 | -0.000 | -0.000 | 
| 60.533 | 175.747 | 112.445 | -0.000 | -0.000 | -0.000 | 
| 72.500 | 99.023 | 332.502 | 0.000 | -0.000 | -0.000 | 
| -5.436 | -18.951 | 31.306 | 58.038 | -0.000 | -0.000 | 
| -18.252 | -9.141 | 23.448 | -0.000 | 47.744 | -0.000 | 
| 7.399 | 26.447 | 40.370 | -0.000 | -0.000 | 41.146 | 
| 234.951 | 111.815 | 60.535 | 0.000 | 0.000 | 0.000 | 
| 23.775 | 91.612 | 3.544 | 0.000 | 0.000 | 0.000 | 
| 31.672 | 28.561 | 86.717 | -0.000 | -0.000 | -0.000 | 
| 5.436 | 18.951 | -31.306 | 58.038 | 0.000 | 0.000 | 
| 18.252 | 9.141 | -23.448 | 0.000 | 47.744 | 0.000 | 
| -12.996 | -29.102 | -31.133 | 0.000 | 0.000 | 29.835 | 
| -575.439 | -617.217 | 2568.267 | -0.000 | -0.000 | -0.000 | 
| -621.848 | -580.821 | 2581.239 | -0.000 | -0.000 | -0.000 | 
| -798.568 | -798.568 | 2569.367 | -0.000 | -0.000 | -0.000 | 
| -890.304 | -890.304 | 2318.120 | 64.485 | -0.000 | -0.000 | 
| -890.304 | -890.304 | 2318.120 | -0.000 | 64.485 | -0.000 | 
| -889.903 | -889.903 | 2317.076 | -0.000 | -0.000 | 83.661 | 
| 345.018 | 112.064 | 95.149 | 0.000 | 0.000 | 0.000 | 
| 112.064 | 345.018 | 95.149 | 0.000 | 0.000 | 0.000 | 
| 95.317 | 95.317 | 347.600 | 0.000 | 0.000 | 0.000 | 
| 890.304 | 890.304 | -2318.120 | 64.485 | 0.000 | 0.000 | 
| 890.304 | 890.304 | -2318.120 | 0.000 | 64.485 | 0.000 | 
| 889.903 | 889.903 | -2317.076 | 0.000 | 0.000 | 83.661 | 
| 156.565 | 47.157 | 317.789 | -0.000 | -0.000 | -0.000 | 
| 47.157 | 156.565 | 317.789 | -0.000 | -0.000 | -0.000 | 
| 6.899 | 6.899 | 433.678 | -0.000 | -0.000 | -0.000 | 
| -88.396 | -88.396 | 230.159 | 64.733 | -0.000 | -0.000 | 
| -88.396 | -88.396 | 230.159 | -0.000 | 64.733 | -0.000 | 
| -62.529 | -62.529 | 233.621 | -0.000 | -0.000 | 73.890 | 
| 298.191 | 167.958 | -166.979 | 0.000 | 0.000 | 0.000 | 
| 167.958 | 298.191 | -166.979 | 0.000 | 0.000 | 0.000 | 
| 184.148 | 184.148 | 12.697 | 0.000 | 0.000 | 0.000 | 
| 88.396 | 88.396 | -230.159 | 64.733 | 0.000 | 0.000 | 
| 88.396 | 88.396 | -230.159 | 0.000 | 64.733 | 0.000 | 
| 62.529 | 62.529 | -233.621 | 0.000 | 0.000 | 73.890 | 
| 207.129 | 95.399 | 93.616 | -0.000 | -0.000 | -0.000 | 
| 95.399 | 207.129 | 93.616 | -0.000 | -0.000 | -0.000 | 
| 54.702 | 54.702 | 220.007 | -0.000 | -0.000 | -0.000 | 
| -7.633 | -7.634 | 19.876 | 69.457 | -0.000 | -0.000 | 
| -7.634 | -7.633 | 19.876 | -0.000 | 69.457 | -0.000 | 
| -10.163 | -10.163 | 26.462 | -0.000 | -0.000 | 79.641 | 
| 219.282 | 113.796 | 39.364 | 0.000 | 0.000 | 0.000 | 
| 113.796 | 219.282 | 39.364 | 0.000 | 0.000 | 0.000 | 
| 105.896 | 105.896 | 208.848 | 0.000 | 0.000 | 0.000 | 
| 7.633 | 7.634 | -19.876 | 69.457 | 0.000 | 0.000 | 
| 7.634 | 7.633 | -19.876 | 0.000 | 69.457 | 0.000 | 
| 10.163 | 10.163 | -26.462 | 0.000 | 0.000 | 79.641 | 
| 320.187 | 99.614 | 85.851 | 0.000 | 0.000 | 0.000 | 
| 99.614 | 320.187 | 85.851 | -0.000 | 0.000 | -0.000 | 
| 85.851 | 85.851 | 324.281 | 0.000 | 0.000 | 0.000 | 
| 4.371 | 4.371 | 3.328 | 68.729 | 0.000 | -0.000 | 
| 4.372 | 4.371 | 3.328 | -0.000 | 68.729 | 0.000 | 
| 22.219 | 22.220 | 24.237 | -0.000 | -0.000 | 67.996 | 
| 185.372 | 77.477 | 50.593 | 0.000 | -0.000 | 0.000 | 
| 77.477 | 185.372 | 50.593 | 0.000 | -0.000 | -0.000 | 
| 85.851 | 85.851 | 324.281 | -0.000 | -0.000 | -0.000 | 
| -4.372 | -4.372 | -3.328 | 68.729 | -0.000 | -0.000 | 
| -4.372 | -4.371 | -3.328 | 0.000 | 68.729 | 0.000 | 
| -22.219 | -22.220 | -24.237 | -0.000 | 0.000 | 67.996 | 
| 201.689 | 93.633 | 59.102 | 0.000 | 0.000 | -0.000 | 
| 93.633 | 201.689 | 59.102 | -0.000 | 0.000 | 0.000 | 
| 58.219 | 58.219 | 191.443 | -0.000 | 0.000 | 0.000 | 
| 0.000 | 0.000 | 0.000 | 94.158 | 0.000 | 0.000 | 
| 0.000 | 0.000 | 0.000 | 0.000 | 94.158 | -0.000 | 
| 0.632 | 0.632 | 0.481 | -0.000 | 0.000 | 75.167 | 
| 228.068 | 115.351 | 83.938 | -0.000 | -0.000 | 0.000 | 
| 115.351 | 228.068 | 83.938 | -0.000 | -0.000 | -0.000 | 
| 83.398 | 83.398 | 211.083 | 0.000 | -0.000 | -0.000 | 
| -0.000 | -0.000 | -0.000 | 94.158 | -0.000 | 0.000 | 
| -0.000 | -0.000 | -0.000 | 0.000 | 94.158 | -0.000 | 
| -0.632 | -0.632 | -0.481 | 0.000 | -0.000 | 75.167 | 
| 201.399 | 92.560 | 58.282 | 0.000 | 0.000 | 0.000 | 
| 92.560 | 201.399 | 58.282 | -0.000 | 0.000 | -0.000 | 
| 61.715 | 61.715 | 179.008 | -0.000 | 0.000 | -0.000 | 
| 0.115 | 0.115 | 0.100 | 64.508 | 0.000 | -0.000 | 
| 0.115 | 0.115 | 0.100 | -0.000 | 64.508 | 0.000 | 
| 0.063 | 0.063 | 0.048 | -0.000 | 0.000 | 75.172 | 
| 197.433 | 94.074 | 52.193 | 0.000 | -0.000 | -0.000 | 
| 94.074 | 197.433 | 52.193 | -0.000 | -0.000 | -0.000 | 
| 85.851 | 85.851 | 324.280 | -0.000 | -0.000 | -0.000 | 
| -0.115 | -0.115 | -0.100 | 64.508 | -0.000 | -0.000 | 
| -0.115 | -0.115 | -0.100 | -0.000 | 64.508 | -0.000 | 
| -0.063 | -0.063 | -0.048 | -0.000 | -0.000 | 75.172 | 
| 361.141 | 78.472 | 107.972 | 0.000 | -0.000 | -0.000 | 
| 78.779 | 361.228 | 102.457 | 0.000 | -0.000 | 0.000 | 
| 108.313 | 102.491 | 351.224 | 0.000 | -0.000 | 0.000 | 
| -179.603 | 42.425 | 417.204 | 72.031 | 0.000 | -0.000 | 
| -179.378 | 42.372 | 416.681 | 0.000 | 52.062 | -0.000 | 
| -179.454 | 42.390 | 416.858 | -0.000 | 0.000 | 42.434 | 
| 455.487 | 43.020 | -307.235 | 0.000 | -0.000 | -0.000 | 
| 270.346 | 195.275 | -293.915 | 0.000 | -0.000 | 0.000 | 
| 108.313 | 102.491 | 351.224 | -0.000 | 0.000 | -0.000 | 
| 179.579 | -42.420 | -417.149 | 72.035 | -0.000 | -0.000 | 
| 179.378 | -42.372 | -416.681 | -0.000 | 52.062 | 0.000 | 
| 179.454 | -42.390 | -416.858 | 0.000 | -0.000 | 42.434 | 
| 258.362 | 89.700 | 152.384 | 0.000 | 0.000 | -0.000 | 
| 78.779 | 361.228 | 102.457 | 0.000 | -0.000 | -0.000 | 
| 108.313 | 102.491 | 351.224 | 0.000 | -0.000 | 0.000 | 
| -17.841 | 4.214 | 41.444 | 72.248 | 0.000 | 0.000 | 
| 0.000 | 0.000 | 0.000 | 0.000 | 109.953 | -0.000 | 
| -16.640 | 3.931 | 38.655 | -0.000 | 0.000 | 45.197 | 
| 291.658 | 81.368 | 68.102 | -0.000 | -0.000 | -0.000 | 
| 81.015 | 210.767 | 46.841 | -0.000 | -0.000 | -0.000 | 
| 108.313 | 102.490 | 351.223 | -0.000 | 0.000 | -0.000 | 
| 17.841 | -4.214 | -41.444 | 72.248 | -0.000 | -0.000 | 
| 23.096 | -51.726 | -17.373 | -0.000 | 67.855 | -0.000 | 
| 16.640 | -3.931 | -38.655 | 0.000 | -0.000 | 45.197 | 
| 271.260 | 86.177 | 115.335 | 0.000 | 0.000 | 0.000 | 
| 70.369 | 253.733 | 92.451 | 0.000 | 0.000 | -0.000 | 
| 94.321 | 90.720 | 246.918 | 0.000 | 0.000 | 0.000 | 
| -1.699 | 0.401 | 3.946 | 73.808 | 0.000 | 0.000 | 
| 0.000 | 0.000 | 0.000 | 0.000 | 109.953 | 0.000 | 
| -1.897 | 2.958 | 2.439 | 0.000 | 0.000 | 52.386 | 
| 242.808 | 61.378 | 91.859 | -0.000 | -0.000 | 0.000 | 
| 74.205 | 248.779 | 86.807 | -0.000 | -0.000 | 0.000 | 
| 111.441 | 122.526 | 271.474 | -0.000 | -0.000 | 0.000 | 
| 1.699 | -0.401 | -3.946 | 73.808 | -0.000 | 0.000 | 
| -0.000 | -0.000 | -0.000 | -0.000 | 109.953 | -0.000 | 
| 1.897 | -2.958 | -2.439 | -0.000 | -0.000 | 52.386 | 
| -2301.983 | -2662.453 | -3041.036 | 0.000 | 0.000 | -0.000 | 
| -2662.643 | -2302.205 | -3041.358 | 0.000 | 0.000 | -0.000 | 
| 105.035 | 105.034 | 321.386 | 0.000 | -0.000 | -0.000 | 
| -2177.468 | -2177.468 | -3583.392 | 33.780 | -0.000 | -0.000 | 
| -2177.468 | -2177.468 | -3583.392 | -0.000 | 33.780 | -0.000 | 
| 0.000 | -0.000 | -0.000 | 0.000 | 0.000 | 65.690 | 
| 356.477 | 64.468 | 105.078 | -0.000 | 0.000 | 0.000 | 
| 64.468 | 356.477 | 105.078 | 0.000 | 0.000 | 0.000 | 
| 2341.706 | 2341.706 | 3728.301 | -0.000 | -0.000 | 0.000 | 
| 2177.468 | 2177.468 | 3583.392 | 33.780 | -0.000 | 0.000 | 
| 2177.468 | 2177.468 | 3583.392 | -0.000 | 33.780 | 0.000 | 
| -0.000 | 0.000 | 0.000 | 0.000 | 0.000 | 65.690 | 
| 19.309 | -195.206 | -256.797 | -0.000 | -0.000 | -0.000 | 
| -55.911 | -63.089 | -179.284 | 0.000 | 0.000 | -0.000 | 
| -174.142 | -174.142 | -129.526 | 0.000 | 0.000 | -0.000 | 
| 0.000 | 0.000 | 0.000 | 106.059 | 0.000 | 0.000 | 
| 0.000 | -0.000 | 0.000 | 0.000 | 106.059 | -0.000 | 
| 0.000 | -0.000 | 0.000 | -0.000 | -0.000 | 65.690 | 
| 316.839 | 286.965 | 395.658 | -0.000 | 0.000 | 0.000 | 
| 286.965 | 316.839 | 395.658 | -0.000 | -0.000 | 0.000 | 
| 105.034 | 105.034 | 321.386 | -0.000 | -0.000 | 0.000 | 
| -0.000 | -0.000 | -0.000 | 106.059 | 0.000 | -0.000 | 
| -0.000 | -0.000 | -0.000 | -0.000 | 106.059 | 0.000 | 
| -0.000 | 0.000 | -0.000 | -0.000 | 0.000 | 65.690 | 
| 226.749 | 51.185 | 48.076 | 0.000 | -0.000 | -0.000 | 
| 48.248 | 225.877 | 53.342 | 0.000 | 0.000 | -0.000 | 
| 61.899 | 61.899 | 174.302 | 0.000 | 0.000 | -0.000 | 
| -11.631 | -11.631 | -19.140 | 67.452 | 0.000 | -0.000 | 
| -11.631 | -11.631 | -19.140 | 0.000 | 67.452 | -0.000 | 
| 0.000 | 0.000 | 0.000 | -0.000 | -0.000 | 65.690 | 
| 281.264 | 94.561 | 124.241 | -0.000 | -0.000 | 0.000 | 
| 94.561 | 281.264 | 124.241 | -0.000 | -0.000 | 0.000 | 
| 105.776 | 105.776 | 240.412 | -0.000 | -0.000 | 0.000 | 
| 11.631 | 11.631 | 19.140 | 67.452 | 0.000 | 0.000 | 
| 11.631 | 11.631 | 19.140 | -0.000 | 67.452 | 0.000 | 
| -0.000 | -0.000 | -0.000 | -0.000 | 0.000 | 65.690 | 
| 320.360 | 77.273 | 69.616 | 0.000 | 0.000 | 0.000 | 
| 77.273 | 308.716 | 101.023 | 0.000 | -0.000 | 0.000 | 
| 70.202 | 115.009 | 253.061 | -0.000 | 0.000 | 0.000 | 
| -0.002 | -0.005 | -0.001 | 66.517 | -0.000 | 0.000 | 
| -0.001 | -0.004 | 0.002 | 0.000 | 53.764 | 0.000 | 
| 0.000 | 0.000 | 0.000 | -0.000 | -0.000 | 82.531 | 
| 219.760 | 71.744 | 70.752 | -0.000 | -0.000 | -0.000 | 
| 77.273 | 308.716 | 101.023 | -0.000 | -0.000 | -0.000 | 
| 69.616 | 101.023 | 321.070 | -0.000 | 0.000 | -0.000 | 
| 0.002 | 0.005 | 0.001 | 66.517 | 0.000 | -0.000 | 
| 0.001 | 0.004 | -0.002 | -0.000 | 53.764 | -0.000 | 
| -0.000 | 0.000 | -0.000 | 0.000 | 0.000 | 82.531 | 
| 219.758 | 71.733 | 70.757 | -0.000 | 0.000 | 0.000 | 
| 74.363 | 243.772 | 115.298 | 0.000 | 0.000 | 0.000 | 
| 70.203 | 115.014 | 253.062 | 0.000 | 0.000 | 0.000 | 
| -0.000 | -0.001 | -0.000 | 29.677 | -0.000 | -0.000 | 
| -0.000 | -0.000 | 0.000 | -0.000 | 53.764 | 0.000 | 
| -0.000 | -0.001 | 0.000 | -0.000 | -0.000 | 51.568 | 
| 160.965 | 28.172 | 48.804 | 0.000 | 0.000 | -0.000 | 
| 77.273 | 308.716 | 101.023 | -0.000 | -0.000 | 0.000 | 
| 44.817 | 84.667 | 212.746 | -0.000 | 0.000 | -0.000 | 
| 0.000 | 0.001 | 0.000 | 29.677 | 0.000 | -0.000 | 
| 0.000 | 0.000 | -0.000 | -0.000 | 53.764 | -0.000 | 
| 0.000 | 0.001 | -0.000 | 0.000 | 0.000 | 51.568 | 
| 219.919 | 71.743 | 70.755 | -0.000 | 0.000 | 0.000 | 
| 74.363 | 243.767 | 115.300 | 0.000 | -0.000 | 0.000 | 
| 59.118 | 89.697 | 231.001 | 0.000 | -0.000 | 0.000 | 
| 0.000 | 0.000 | 0.000 | 106.190 | -0.000 | 0.000 | 
| -0.000 | -0.000 | -0.000 | 0.000 | 53.764 | 0.000 | 
| 0.000 | 0.000 | 0.000 | 0.000 | -0.000 | 82.531 | 
| 219.767 | 71.734 | 70.756 | -0.000 | 0.000 | -0.000 | 
| 74.363 | 243.779 | 115.296 | -0.000 | -0.000 | -0.000 | 
| 69.616 | 101.023 | 321.069 | -0.000 | 0.000 | -0.000 | 
| -0.000 | -0.000 | -0.000 | 106.190 | 0.000 | -0.000 | 
| 0.000 | 0.000 | 0.000 | 0.000 | 53.764 | -0.000 | 
| -0.000 | -0.000 | -0.000 | -0.000 | -0.000 | 82.531 | 
| 1199.637 | 1175.484 | 419.452 | -0.000 | 0.000 | 0.000 | 
| 1071.251 | 1275.822 | 485.710 | -0.000 | 0.000 | 0.000 | 
| 72.568 | 110.978 | 328.891 | 0.000 | 0.000 | 0.000 | 
| 0.000 | -0.000 | -0.000 | 113.503 | 0.000 | 0.000 | 
| 1001.293 | 1110.137 | 344.372 | -0.000 | 13.482 | 0.000 | 
| 1845.829 | 1725.821 | -113.080 | 0.000 | -0.000 | 77.427 | 
| 331.094 | 82.775 | 73.081 | -0.000 | 0.000 | -0.000 | 
| 81.893 | 333.706 | 110.611 | -0.000 | 0.000 | -0.000 | 
| -910.333 | -952.403 | -178.986 | 0.000 | -0.000 | -0.000 | 
| -0.000 | -0.000 | -0.000 | 113.503 | -0.000 | -0.000 | 
| -1001.293 | -1110.137 | -344.372 | 0.000 | 13.482 | -0.000 | 
| -1845.718 | -1725.698 | 113.118 | -0.000 | -0.000 | 77.436 | 
| 309.485 | 174.852 | 108.267 | -0.000 | 0.000 | 0.000 | 
| 159.040 | 290.280 | 166.164 | -0.000 | 0.000 | 0.000 | 
| 234.634 | 197.857 | 255.124 | 0.000 | -0.000 | -0.000 | 
| 181.774 | 170.832 | -9.093 | 66.655 | -0.000 | 0.000 | 
| 92.541 | 102.601 | 31.827 | -0.000 | 18.212 | 0.000 | 
| 90.146 | 99.945 | 31.004 | -0.000 | 0.000 | 8.428 | 
| 331.094 | 82.774 | 73.081 | -0.000 | -0.000 | -0.000 | 
| -16.614 | 81.562 | 108.895 | 0.000 | -0.000 | -0.000 | 
| -671.720 | 91.189 | 160.440 | -0.000 | 0.000 | 0.000 | 
| -181.774 | -170.832 | 9.093 | 66.655 | 0.000 | -0.000 | 
| -92.541 | -102.601 | -31.827 | 0.000 | 18.212 | -0.000 | 
| -90.146 | -99.945 | -31.004 | 0.000 | -0.000 | 8.428 | 
| 225.799 | 78.499 | 52.239 | 0.000 | 0.000 | 0.000 | 
| 83.131 | 269.545 | 125.784 | -0.000 | 0.000 | 0.000 | 
| 73.733 | 103.848 | 227.085 | -0.000 | 0.000 | 0.000 | 
| 59.861 | 9.583 | -2.200 | 29.367 | 0.000 | 0.000 | 
| 13.361 | 13.163 | 0.746 | -0.000 | 48.772 | 0.000 | 
| 0.000 | 0.000 | 0.000 | 0.000 | -0.000 | 84.952 | 
| 209.216 | 66.307 | 74.745 | 0.000 | -0.000 | -0.000 | 
| 56.159 | 224.336 | 90.181 | 0.000 | -0.000 | -0.000 | 
| 70.447 | 120.599 | 251.039 | 0.000 | -0.000 | -0.000 | 
| -59.861 | -9.583 | 2.200 | 29.367 | -0.000 | -0.000 | 
| -13.361 | -13.163 | -0.746 | 0.000 | 48.772 | -0.000 | 
| -0.000 | -0.000 | -0.000 | -0.000 | 0.000 | 84.952 | 
| 2361.500 | 1220.281 | -606.818 | 0.000 | -0.000 | 0.000 | 
| -11870.298 | -11408.646 | -14479.021 | 0.000 | 0.000 | -0.000 | 
| -11180.330 | -12986.807 | -13914.694 | -0.000 | 0.000 | 0.000 | 
| 2076.465 | 1100.836 | -713.649 | 85.425 | 0.000 | -0.000 | 
| -0.000 | 0.000 | -0.000 | 0.000 | 105.324 | -0.000 | 
| 2081.348 | 1103.425 | -715.327 | -0.000 | 0.000 | 77.430 | 
| 364.633 | 117.104 | 101.101 | 0.000 | -0.000 | -0.000 | 
| 11746.461 | 12479.928 | 13463.182 | -0.000 | -0.000 | -0.000 | 
| 10412.747 | 11209.886 | 14082.298 | 0.000 | -0.000 | -0.000 | 
| -2076.465 | -1100.836 | 713.649 | 85.425 | -0.000 | 0.000 | 
| -0.000 | -0.000 | -0.000 | 0.000 | 105.324 | 0.000 | 
| -2081.348 | -1103.425 | 715.327 | -0.000 | -0.000 | 77.430 | 
| -932.604 | -1162.323 | -1251.157 | -0.000 | 0.000 | 0.000 | 
| 529.440 | 219.037 | 201.653 | -0.000 | -0.000 | 0.000 | 
| -1067.285 | -1142.173 | -1183.532 | 0.000 | 0.000 | -0.000 | 
| 436.495 | 42.990 | 144.502 | 57.729 | 0.000 | 0.000 | 
| -1071.625 | -1239.100 | -1363.124 | -0.000 | 50.664 | 0.000 | 
| -1041.820 | -1123.947 | -1411.346 | -0.000 | 0.000 | -21.304 | 
| 1133.698 | 1113.658 | 1440.921 | 0.000 | -0.000 | 0.000 | 
| 925.433 | 1107.772 | 1322.540 | 0.000 | -0.000 | -0.000 | 
| -346.638 | 12.178 | 52.785 | 0.000 | 0.000 | -0.000 | 
| -436.495 | -42.990 | -144.502 | 57.729 | -0.000 | -0.000 | 
| 1071.625 | 1239.100 | 1363.124 | 0.000 | 50.664 | -0.000 | 
| 1041.820 | 1123.947 | 1411.346 | -0.000 | -0.000 | -21.304 | 
| 20.396 | -59.504 | -67.077 | -0.000 | 0.000 | 0.000 | 
| 117.683 | 335.172 | 117.858 | 0.000 | 0.000 | -0.000 | 
| -32.272 | -61.949 | -16.755 | -0.000 | 0.000 | -0.000 | 
| -73.686 | -79.687 | -104.163 | -40.095 | -0.000 | -0.000 | 
| 21.949 | 8.776 | 5.859 | -0.000 | 45.743 | -0.000 | 
| 23.179 | 9.187 | 5.542 | -0.000 | 0.000 | 54.579 | 
| 196.945 | 145.967 | 178.118 | 0.000 | -0.000 | 0.000 | 
| 65.179 | 207.166 | 67.980 | -0.000 | -0.000 | -0.000 | 
| 130.545 | 122.749 | 208.544 | 0.000 | -0.000 | -0.000 | 
| 73.686 | 79.687 | 104.163 | -40.095 | -0.000 | -0.000 | 
| -21.949 | -8.776 | -5.859 | 0.000 | 45.743 | 0.000 | 
| -23.179 | -9.187 | -5.542 | 0.000 | -0.000 | 54.579 | 
| 346.755 | 108.493 | 94.659 | 0.000 | 0.000 | -0.000 | 
| 94.954 | 226.969 | 75.266 | -0.000 | 0.000 | -0.000 | 
| 94.659 | 110.410 | 330.031 | 0.000 | -0.000 | 0.000 | 
| -0.001 | -0.001 | -0.001 | 84.889 | 0.000 | -0.000 | 
| -0.000 | -0.000 | 0.000 | 0.000 | 100.884 | -0.000 | 
| -0.000 | -0.000 | 0.000 | 0.000 | -0.000 | 114.413 | 
| 346.755 | 108.493 | 94.659 | -0.000 | -0.000 | 0.000 | 
| 108.140 | 253.287 | 113.369 | -0.000 | 0.000 | 0.000 | 
| 100.519 | 113.197 | 248.219 | 0.000 | 0.000 | 0.000 | 
| 0.001 | 0.001 | 0.001 | 84.889 | -0.000 | 0.000 | 
| 0.000 | 0.000 | 0.000 | -0.000 | 100.884 | 0.000 | 
| 0.000 | -0.000 | 0.000 | 0.000 | -0.000 | 114.413 | 
| 346.755 | 108.493 | 94.660 | -0.000 | 0.000 | -0.000 | 
| 108.493 | 321.892 | 110.410 | 0.000 | -0.000 | 0.000 | 
| 100.517 | 113.196 | 248.226 | 0.000 | -0.000 | -0.000 | 
| -0.000 | -0.000 | -0.000 | 84.889 | -0.000 | 0.000 | 
| -0.000 | -0.000 | -0.000 | 0.000 | 62.528 | -0.000 | 
| -0.000 | -0.000 | -0.000 | 0.000 | -0.000 | 79.794 | 
| 266.768 | 108.095 | 101.639 | -0.000 | 0.000 | -0.000 | 
| 108.139 | 253.286 | 113.369 | -0.000 | -0.000 | 0.000 | 
| 55.699 | 55.051 | 192.724 | -0.000 | 0.000 | 0.000 | 
| 0.000 | 0.000 | 0.000 | 84.889 | -0.000 | -0.000 | 
| 0.000 | 0.000 | 0.000 | -0.000 | 62.528 | 0.000 | 
| 0.000 | 0.000 | 0.000 | 0.000 | 0.000 | 79.794 | 
| 236.051 | 92.475 | 75.422 | 0.000 | 0.000 | -0.000 | 
| 108.139 | 253.277 | 113.370 | 0.000 | 0.000 | -0.000 | 
| 53.651 | 43.702 | 155.525 | -0.000 | -0.000 | 0.000 | 
| 0.000 | 0.000 | 0.000 | 116.438 | 0.000 | 0.000 | 
| -0.000 | -0.000 | 0.000 | 0.000 | 62.528 | -0.000 | 
| -0.000 | -0.000 | 0.000 | -0.000 | -0.000 | 79.794 | 
| 235.467 | 92.453 | 75.439 | -0.000 | -0.000 | 0.000 | 
| 94.941 | 226.616 | 75.243 | -0.000 | -0.000 | -0.000 | 
| 79.900 | 74.703 | 211.860 | 0.000 | 0.000 | -0.000 | 
| -0.000 | -0.000 | -0.000 | 116.438 | -0.000 | 0.000 | 
| -0.000 | -0.000 | -0.000 | -0.000 | 100.884 | 0.000 | 
| 0.000 | 0.000 | -0.000 | 0.000 | 0.000 | 79.794 | 
| 338.189 | 124.694 | 104.643 | 0.000 | 0.000 | 0.000 | 
| 124.694 | 338.189 | 104.643 | 0.000 | -0.000 | 0.000 | 
| 8339.518 | 8339.501 | 6149.082 | 0.000 | -0.000 | -0.000 | 
| 770.504 | 770.505 | -1029.041 | 86.244 | 0.000 | 0.000 | 
| 770.504 | 770.505 | -1029.041 | 0.000 | 86.244 | -0.000 | 
| 2326.279 | 2326.281 | -2060.334 | 0.000 | -0.000 | 58.395 | 
| -7876.865 | -7834.254 | -6246.551 | 0.000 | -0.000 | -0.000 | 
| -7752.590 | -7628.117 | -5831.825 | 0.000 | -0.000 | -0.000 | 
| -2227.005 | -2227.006 | 2381.850 | -0.000 | 0.000 | 0.000 | 
| -770.504 | -770.505 | 1029.041 | 86.244 | -0.000 | 0.000 | 
| -770.504 | -770.505 | 1029.041 | -0.000 | 86.244 | 0.000 | 
| -2326.279 | -2326.281 | 2060.334 | 0.000 | -0.000 | 58.395 | 
| 338.190 | 124.694 | 104.643 | 0.000 | -0.000 | 0.000 | 
| 124.694 | 338.190 | 104.643 | 0.000 | 0.000 | -0.000 | 
| 196.293 | 196.293 | 257.454 | 0.000 | -0.000 | -0.000 | 
| 77.174 | 77.174 | -103.069 | 86.210 | 0.000 | -0.000 | 
| 77.174 | 77.174 | -103.069 | 0.000 | 86.210 | 0.000 | 
| 231.525 | 231.525 | -205.138 | 0.000 | -0.000 | 58.682 | 
| -642.050 | -636.698 | -523.161 | -0.000 | -0.000 | 0.000 | 
| -636.697 | -642.050 | -523.161 | 0.000 | -0.000 | 0.000 | 
| 41.359 | 41.358 | 464.766 | 0.000 | -0.000 | 0.000 | 
| -77.174 | -77.174 | 103.069 | 86.210 | 0.000 | -0.000 | 
| -77.174 | -77.174 | 103.069 | -0.000 | 86.210 | -0.000 | 
| -231.525 | -231.525 | 205.138 | 0.000 | 0.000 | 58.682 | 
| 254.418 | 119.024 | 105.948 | 0.000 | -0.000 | 0.000 | 
| 119.024 | 254.418 | 105.948 | -0.000 | 0.000 | -0.000 | 
| 135.613 | 135.613 | 320.849 | -0.000 | -0.000 | -0.000 | 
| 19.349 | 19.349 | -17.316 | 66.919 | 0.000 | -0.000 | 
| 19.349 | 19.349 | -17.316 | 0.000 | 66.919 | -0.000 | 
| 18.783 | 18.783 | -16.923 | -0.000 | 0.000 | 70.249 | 
| 177.246 | 36.847 | 86.552 | 0.000 | -0.000 | 0.000 | 
| 36.847 | 177.246 | 86.552 | -0.000 | -0.000 | 0.000 | 
| 111.922 | 111.922 | 364.313 | -0.000 | -0.000 | 0.000 | 
| -19.349 | -19.349 | 17.316 | 66.919 | -0.000 | 0.000 | 
| -19.349 | -19.349 | 17.316 | -0.000 | 66.919 | 0.000 | 
| -18.783 | -18.783 | 16.923 | 0.000 | 0.000 | 70.249 | 
| 108.829 | 44.999 | 3784.210 | 0.000 | 0.000 | -0.000 | 
| 44.999 | 108.828 | 3784.210 | 0.000 | 0.000 | -0.000 | 
| 3687.807 | 3687.807 | 2889.390 | -0.000 | 0.000 | -0.000 | 
| -0.000 | -0.000 | 0.000 | 103.407 | 0.000 | -0.000 | 
| 0.000 | 0.000 | 0.000 | 0.000 | 103.407 | -0.000 | 
| 3609.789 | 3609.789 | 2593.726 | -0.000 | 0.000 | 134.368 | 
| -4083.447 | -4098.538 | -2571.533 | -0.000 | -0.000 | -0.000 | 
| -4098.538 | -4083.447 | -2571.533 | -0.000 | -0.000 | -0.000 | 
| -3541.609 | -3541.609 | -2293.101 | 0.000 | -0.000 | 0.000 | 
| -0.000 | 0.000 | -0.000 | 103.406 | -0.000 | 0.000 | 
| 0.000 | -0.000 | -0.000 | -0.000 | 103.406 | 0.000 | 
| -3609.789 | -3609.789 | -2593.726 | 0.000 | -0.000 | 134.368 | 
| 196.224 | 123.302 | 461.283 | 0.000 | 0.000 | -0.000 | 
| 117.302 | 317.328 | 97.630 | 0.000 | 0.000 | -0.000 | 
| 97.630 | 97.630 | 383.791 | 0.000 | -0.000 | -0.000 | 
| -8.774 | -8.774 | 367.397 | 64.245 | 0.000 | -0.000 | 
| -8.774 | -8.774 | 367.397 | -0.000 | 64.245 | -0.000 | 
| -8.713 | -8.713 | 364.875 | 0.000 | 0.000 | 53.722 | 
| 199.583 | 142.393 | -262.070 | -0.000 | -0.000 | 0.000 | 
| 142.393 | 199.583 | -262.070 | -0.000 | -0.000 | 0.000 | 
| 128.231 | 128.231 | -37.345 | -0.000 | -0.000 | 0.000 | 
| 8.774 | 8.774 | -367.397 | 64.245 | -0.000 | -0.000 | 
| 8.774 | 8.774 | -367.397 | -0.000 | 64.245 | 0.000 | 
| 8.713 | 8.713 | -364.875 | -0.000 | -0.000 | 53.722 | 
| 239.998 | 105.107 | 123.100 | -0.000 | 0.000 | -0.000 | 
| 103.429 | 245.235 | 140.127 | 0.000 | 0.000 | -0.000 | 
| 97.631 | 97.631 | 383.793 | -0.000 | 0.000 | 0.000 | 
| 40.757 | 40.757 | 27.505 | 66.395 | 0.000 | 0.000 | 
| 40.757 | 40.757 | 27.505 | -0.000 | 66.395 | -0.000 | 
| -0.599 | -0.599 | 25.093 | 0.000 | 0.000 | 75.194 | 
| 194.556 | 61.118 | 70.652 | -0.000 | -0.000 | 0.000 | 
| 61.118 | 194.556 | 70.652 | 0.000 | -0.000 | 0.000 | 
| 42.601 | 42.601 | 268.165 | -0.000 | -0.000 | 0.000 | 
| -40.757 | -40.757 | -27.505 | 66.395 | -0.000 | 0.000 | 
| -40.757 | -40.757 | -27.505 | -0.000 | 66.395 | 0.000 | 
| 0.599 | 0.599 | -25.093 | -0.000 | -0.000 | 75.194 | 
| 220.056 | 93.431 | 86.078 | -0.336 | -0.646 | 0.441 | 
| 65.257 | 247.648 | 86.163 | -0.340 | -0.653 | 0.445 | 
| 65.294 | 93.551 | 240.356 | -0.339 | -0.652 | 0.444 | 
| -0.000 | 0.000 | 0.000 | 79.348 | -0.000 | -0.000 | 
| -0.000 | 0.000 | 0.000 | 0.000 | 79.348 | -0.000 | 
| -0.000 | 0.000 | 0.000 | 0.000 | -0.000 | 79.348 | 
| 288.499 | 78.299 | 78.299 | -0.000 | 0.000 | 0.000 | 
| 78.299 | 288.499 | 78.299 | -0.000 | 0.000 | -0.000 | 
| 78.299 | 78.299 | 288.499 | -0.000 | 0.000 | 0.000 | 
| 0.000 | -0.000 | -0.000 | 79.348 | 0.000 | 0.000 | 
| 0.000 | -0.000 | -0.000 | -0.000 | 79.348 | -0.000 | 
| 0.000 | -0.000 | -0.000 | -0.000 | 0.000 | 79.348 | 
| 186.742 | 62.268 | 61.931 | -0.017 | -0.032 | 0.022 | 
| 60.638 | 188.283 | 61.503 | -0.016 | -0.029 | 0.020 | 
| 60.744 | 61.949 | 187.889 | -0.016 | -0.030 | 0.021 | 
| 0.000 | 0.000 | 0.000 | 79.348 | -0.000 | -0.000 | 
| 0.000 | 0.000 | 0.000 | 0.000 | 79.348 | -0.000 | 
| 0.000 | 0.000 | 0.000 | 0.000 | 0.000 | 79.348 | 
| 222.188 | 75.714 | 76.603 | 0.041 | 0.078 | -0.053 | 
| 79.058 | 222.586 | 76.695 | 0.038 | 0.074 | -0.050 | 
| 79.068 | 75.821 | 222.531 | 0.039 | 0.075 | -0.051 | 
| -0.000 | -0.000 | -0.000 | 79.348 | 0.000 | 0.000 | 
| -0.000 | -0.000 | -0.000 | -0.000 | 79.348 | 0.000 | 
| -0.000 | -0.000 | -0.000 | -0.000 | 0.000 | 79.348 | 
| 179.088 | 50.196 | 50.143 | -0.002 | -0.004 | 0.003 | 
| 77.435 | 218.602 | 77.693 | -0.004 | -0.008 | 0.006 | 
| 77.437 | 77.786 | 218.689 | -0.004 | -0.008 | 0.005 | 
| -0.097 | 0.123 | 0.065 | 52.100 | -0.005 | 0.003 | 
| -0.097 | 0.123 | 0.065 | -0.003 | 52.099 | 0.003 | 
| -0.097 | 0.123 | 0.066 | -0.003 | -0.005 | 52.103 | 
| 176.102 | 47.986 | 48.040 | 0.002 | 0.005 | -0.003 | 
| 77.744 | 218.473 | 77.487 | 0.004 | 0.008 | -0.005 | 
| 77.743 | 77.393 | 218.387 | 0.004 | 0.008 | -0.005 | 
| 0.097 | -0.123 | -0.065 | 52.103 | 0.005 | -0.003 | 
| 0.097 | -0.123 | -0.065 | 0.003 | 52.104 | -0.003 | 
| 0.097 | -0.123 | -0.066 | 0.003 | 0.005 | 52.100 | 
| 265.507 | 71.125 | 71.125 | -0.000 | -0.000 | 0.000 | 
| 71.125 | 265.507 | 71.125 | 0.000 | 0.000 | -0.000 | 
| 71.125 | 71.125 | 265.507 | 0.000 | -0.000 | -0.000 | 
| -0.002 | -0.002 | -0.002 | 51.832 | -0.000 | -0.000 | 
| -0.002 | -0.002 | -0.002 | 0.000 | 51.831 | -0.000 | 
| -0.002 | -0.002 | -0.002 | 0.000 | -0.000 | 51.832 | 
| 265.507 | 71.125 | 71.125 | -0.000 | -0.000 | -0.000 | 
| 71.125 | 265.507 | 71.125 | -0.000 | 0.000 | 0.000 | 
| 71.125 | 71.125 | 265.507 | -0.000 | 0.000 | 0.000 | 
| 0.002 | 0.002 | 0.002 | 51.831 | 0.000 | -0.000 | 
| 0.002 | 0.002 | 0.002 | -0.000 | 51.832 | 0.000 | 
| 0.002 | 0.002 | 0.002 | -0.000 | 0.000 | 51.832 | 
| 202.665 | 68.467 | 68.467 | 0.000 | -0.000 | -0.000 | 
| 68.467 | 202.665 | 68.467 | -0.000 | 0.000 | -0.000 | 
| 68.467 | 68.467 | 202.665 | 0.000 | -0.000 | -0.000 | 
| -0.000 | -0.000 | -0.000 | 47.144 | -0.000 | -0.000 | 
| 0.000 | 0.000 | 0.000 | 0.000 | 75.758 | -0.000 | 
| -0.000 | -0.000 | -0.000 | -0.000 | -0.000 | 47.144 | 
| 265.506 | 71.125 | 71.125 | -0.000 | 0.000 | 0.000 | 
| 71.125 | 265.506 | 71.125 | 0.000 | -0.000 | 0.000 | 
| 71.125 | 71.125 | 265.506 | -0.000 | 0.000 | 0.000 | 
| 0.000 | 0.000 | 0.000 | 47.144 | 0.000 | 0.000 | 
| 0.000 | 0.000 | 0.000 | -0.000 | 47.144 | 0.000 | 
| -0.000 | -0.000 | -0.000 | -0.000 | 0.000 | 75.758 | 
| 180.244 | 51.779 | 51.779 | 0.000 | -0.000 | -0.000 | 
| 77.231 | 122.494 | 77.231 | 0.000 | -0.000 | -0.000 | 
| 77.231 | 77.231 | 122.494 | 0.000 | 0.000 | -0.000 | 
| -0.000 | -0.000 | -0.000 | 47.144 | -0.000 | -0.000 | 
| -0.000 | -0.000 | -0.000 | -0.000 | 47.144 | -0.000 | 
| -0.000 | -0.000 | -0.000 | 0.000 | -0.000 | 47.144 | 
| 265.505 | 71.124 | 71.124 | 0.000 | -0.000 | 0.000 | 
| 71.124 | 265.505 | 71.124 | 0.000 | -0.000 | 0.000 | 
| 71.124 | 71.124 | 265.505 | -0.000 | 0.000 | 0.000 | 
| 0.000 | 0.000 | 0.000 | 47.144 | 0.000 | 0.000 | 
| 0.000 | 0.000 | 0.000 | 0.000 | 47.144 | 0.000 | 
| 0.000 | 0.000 | 0.000 | -0.000 | -0.000 | 47.144 | 
| -1527.246 | -2588.630 | -482.276 | -0.000 | -0.000 | -0.000 | 
| 117.485 | 286.663 | 81.944 | -0.000 | 0.000 | -0.000 | 
| -1179.229 | -2122.619 | -2747.259 | -0.000 | -0.000 | -0.000 | 
| 0.000 | 0.000 | 0.000 | 84.028 | 0.000 | -0.000 | 
| -1551.766 | -2457.549 | -129.398 | -0.000 | 48.927 | -0.000 | 
| 0.000 | 0.000 | 0.000 | -0.000 | 0.000 | 119.848 | 
| 249.489 | 117.841 | 110.268 | 0.000 | -0.000 | 0.000 | 
| 1672.368 | 2621.321 | 228.623 | 0.000 | 0.000 | 0.000 | 
| 1640.939 | 2626.485 | 667.558 | 0.000 | 0.000 | 0.000 | 
| -0.000 | -0.000 | -0.000 | 84.028 | -0.000 | 0.000 | 
| 1551.766 | 2457.549 | 129.398 | 0.000 | 48.927 | 0.000 | 
| 0.000 | -0.000 | -0.000 | 0.000 | -0.000 | 119.848 | 
| 249.489 | 117.841 | 110.268 | -0.000 | 0.000 | -0.000 | 
| -33.478 | -68.670 | 84.835 | -0.000 | -0.000 | -0.000 | 
| 109.106 | 81.139 | 301.032 | -0.000 | 0.000 | -0.000 | 
| -674.352 | -512.233 | -358.469 | -6.100 | 0.000 | -0.000 | 
| -207.228 | -232.811 | -6.068 | -0.000 | 37.547 | -0.000 | 
| -154.341 | -244.431 | -12.870 | -0.000 | -0.000 | 62.819 | 
| 303.202 | 366.158 | 107.990 | 0.000 | 0.000 | 0.000 | 
| 168.050 | 372.738 | 318.917 | 0.000 | -0.000 | 0.000 | 
| 234.197 | 314.986 | 166.582 | 0.000 | 0.000 | 0.000 | 
| 674.319 | 512.218 | 358.428 | -6.097 | -0.000 | 0.000 | 
| 207.228 | 232.811 | 6.068 | 0.000 | 37.547 | 0.000 | 
| 122.736 | 216.507 | 286.252 | -0.000 | -0.000 | 50.476 | 
| 121.626 | 48.056 | 27.977 | -0.000 | -0.000 | -0.000 | 
| 30.480 | 88.643 | 43.123 | -0.000 | -0.000 | -0.000 | 
| 49.216 | 26.758 | 159.451 | -0.000 | -0.000 | -0.000 | 
| -11.588 | -20.366 | -26.087 | 40.457 | -0.000 | -0.000 | 
| -10.610 | -16.802 | -0.885 | 0.000 | 68.937 | -0.000 | 
| -10.509 | -18.379 | -22.544 | -0.000 | -0.000 | 62.163 | 
| 175.229 | 130.504 | 98.683 | 0.000 | 0.000 | 0.000 | 
| 80.818 | 183.648 | 59.282 | 0.000 | 0.000 | 0.000 | 
| 109.348 | 105.172 | 205.180 | 0.000 | 0.000 | 0.000 | 
| 11.588 | 20.366 | 26.087 | 40.457 | 0.000 | 0.000 | 
| 10.610 | 16.802 | 0.885 | 0.000 | 68.937 | 0.000 | 
| 10.509 | 18.379 | 22.544 | 0.000 | -0.000 | 62.163 | 
| 229.873 | 108.726 | 99.785 | -0.000 | 0.000 | -0.000 | 
| 58.836 | 156.032 | 40.257 | -0.000 | 0.000 | 0.000 | 
| 88.240 | 79.112 | 183.887 | -0.000 | 0.000 | -0.000 | 
| -0.003 | 0.003 | 0.001 | 53.837 | -0.000 | -0.000 | 
| -0.005 | -0.000 | 0.002 | -0.000 | 58.840 | 0.000 | 
| -0.003 | 0.003 | 0.001 | 0.000 | -0.000 | 78.067 | 
| 166.201 | 98.668 | 86.969 | 0.000 | 0.000 | -0.000 | 
| 108.726 | 264.182 | 71.260 | 0.000 | 0.000 | -0.000 | 
| 99.785 | 71.260 | 273.365 | 0.000 | -0.000 | 0.000 | 
| 0.003 | -0.003 | -0.001 | 53.837 | 0.000 | 0.000 | 
| 0.005 | 0.000 | -0.003 | 0.000 | 58.840 | -0.000 | 
| 0.003 | -0.003 | -0.001 | 0.000 | 0.000 | 78.067 | 
| 166.228 | 98.677 | 86.977 | -0.000 | -0.000 | 0.000 | 
| 72.426 | 166.228 | 45.631 | -0.000 | -0.000 | 0.000 | 
| 54.557 | 46.849 | 158.102 | -0.000 | 0.000 | 0.000 | 
| 0.000 | 0.000 | 0.000 | 78.116 | 0.000 | 0.000 | 
| -0.000 | 0.000 | 0.000 | -0.000 | 74.702 | -0.000 | 
| 0.000 | 0.000 | 0.000 | -0.000 | 0.000 | 114.126 | 
| 229.873 | 108.726 | 99.785 | 0.000 | -0.000 | 0.000 | 
| 72.425 | 166.230 | 45.628 | 0.000 | -0.000 | -0.000 | 
| 99.785 | 71.260 | 273.365 | 0.000 | -0.000 | -0.000 | 
| -0.000 | -0.000 | -0.000 | 78.116 | -0.000 | 0.000 | 
| 0.000 | -0.000 | -0.000 | 0.000 | 74.702 | 0.000 | 
| -0.000 | -0.000 | -0.000 | 0.000 | -0.000 | 114.126 | 
| 166.216 | 98.675 | 86.975 | -0.000 | 0.000 | -0.000 | 
| 100.342 | 191.762 | 78.527 | -0.000 | -0.000 | -0.000 | 
| 88.315 | 79.060 | 184.446 | -0.000 | -0.000 | 0.000 | 
| 0.000 | 0.000 | 0.000 | 78.116 | -0.000 | -0.000 | 
| -0.000 | 0.000 | -0.000 | -0.000 | 74.702 | 0.000 | 
| 0.000 | 0.000 | 0.000 | -0.000 | 0.000 | 114.126 | 
| 136.423 | 67.277 | 50.592 | 0.000 | 0.000 | -0.000 | 
| 72.429 | 166.250 | 45.630 | 0.000 | 0.000 | 0.000 | 
| 54.554 | 46.850 | 158.079 | 0.000 | -0.000 | -0.000 | 
| -0.000 | -0.000 | -0.000 | 78.116 | -0.000 | -0.000 | 
| 0.000 | -0.000 | 0.000 | 0.000 | 74.702 | -0.000 | 
| -0.000 | -0.000 | -0.000 | 0.000 | 0.000 | 114.126 | 
| 456.428 | 118.989 | 161.079 | 0.000 | 18.542 | -0.000 | 
| 139.918 | 344.564 | 141.186 | 0.000 | 7.126 | -0.000 | 
| 157.972 | 121.005 | 428.990 | 0.000 | 10.794 | -0.000 | 
| 0.000 | 0.000 | -0.001 | 86.181 | -0.000 | 2.771 | 
| -31.048 | 7.475 | 10.799 | 0.000 | 112.667 | -0.000 | 
| 0.000 | -0.000 | 0.000 | 11.266 | 0.000 | 123.886 | 
| 456.428 | 118.989 | 161.079 | -0.000 | 18.542 | 0.000 | 
| 32.797 | 215.150 | 13.010 | -0.000 | -3.454 | 0.000 | 
| 90.296 | 73.128 | 199.934 | -0.000 | -4.613 | 0.000 | 
| -0.000 | 0.000 | 0.000 | 76.178 | 0.000 | -0.055 | 
| -31.048 | 7.474 | 10.800 | -0.000 | 112.668 | 0.000 | 
| -0.000 | 0.000 | -0.000 | 11.266 | -0.000 | 123.887 | 
| 270.384 | 97.208 | 97.059 | 0.000 | 6.076 | 0.000 | 
| 139.919 | 344.561 | 141.186 | 0.000 | 7.126 | -0.000 | 
| 157.972 | 121.005 | 428.990 | 0.000 | 10.794 | -0.000 | 
| 0.000 | 0.000 | -0.000 | 93.507 | -0.000 | 4.963 | 
| -29.071 | 11.200 | 10.794 | 0.000 | 165.432 | 0.000 | 
| -0.000 | 0.000 | -0.000 | 4.828 | -0.000 | 94.567 | 
| 230.359 | 30.976 | 29.880 | -0.000 | -5.305 | 0.000 | 
| 115.766 | 488.796 | 121.005 | -0.000 | 11.200 | 0.000 | 
| 90.297 | 73.128 | 199.936 | -0.000 | -4.613 | 0.000 | 
| -0.000 | -0.000 | 0.000 | 93.507 | 0.000 | 4.963 | 
| -31.048 | 7.474 | 10.799 | -0.000 | 112.668 | 0.000 | 
| 0.000 | -0.000 | 0.000 | 4.828 | 0.000 | 94.567 | 
| 341.979 | 142.461 | 160.777 | 0.000 | -0.628 | -0.000 | 
| 33.026 | 212.500 | 13.074 | 0.000 | -3.578 | -0.000 | 
| 157.973 | 121.006 | 428.992 | 0.000 | 10.794 | -0.000 | 
| 0.000 | 0.000 | 0.000 | 129.142 | 0.000 | 11.266 | 
| -23.612 | 1.506 | 3.078 | 0.000 | 102.830 | 0.000 | 
| -0.000 | -0.000 | 0.000 | 4.828 | -0.000 | 94.567 | 
| 270.175 | 97.254 | 97.062 | -0.000 | 6.040 | 0.000 | 
| 96.009 | 268.241 | 77.968 | -0.000 | -3.844 | 0.000 | 
| 157.972 | 121.005 | 428.988 | -0.000 | 10.794 | 0.000 | 
| -0.000 | -0.000 | -0.000 | 129.142 | -0.000 | 11.266 | 
| -29.071 | 11.200 | 10.794 | -0.000 | 165.432 | 0.000 | 
| 0.000 | 0.000 | -0.000 | 4.828 | 0.000 | 94.567 | 
| 667.693 | 166.660 | 263.757 | -0.000 | 42.421 | -0.000 | 
| 4.072 | 541.508 | 280.280 | -0.000 | 145.671 | -0.000 | 
| 19.857 | 362.860 | 425.328 | -0.000 | 150.028 | -0.000 | 
| 3609.727 | -2058.370 | 2862.913 | 80.767 | -1559.925 | -0.760 | 
| -29.211 | 11.577 | 13.168 | -0.000 | 160.767 | 0.000 | 
| -132.743 | 223.158 | 140.857 | 4.073 | 138.355 | 86.211 | 
| 454.532 | -84.739 | 14.283 | 0.000 | -141.646 | 0.000 | 
| -331.800 | 165.550 | -127.092 | 0.000 | -38.497 | -0.000 | 
| -2719.782 | 865.076 | -2305.662 | 0.000 | 424.410 | 0.000 | 
| -3609.931 | 2058.459 | -2863.071 | 80.765 | 1559.981 | -0.761 | 
| -3626.806 | 2051.201 | -2844.282 | 0.000 | 1643.443 | 0.000 | 
| 132.743 | -223.158 | -140.857 | 4.073 | -138.355 | 86.211 | 
| 313.259 | 159.676 | 169.178 | -0.000 | 11.282 | -0.000 | 
| 119.127 | 261.411 | 75.477 | -0.000 | -3.156 | -0.000 | 
| 152.112 | 117.759 | 415.406 | -0.000 | 13.168 | -0.000 | 
| 360.796 | -205.384 | 286.233 | 80.371 | -155.222 | -0.870 | 
| 205.630 | -120.013 | 191.234 | -0.000 | 28.033 | -0.000 | 
| 252.363 | -103.925 | 218.074 | -7.051 | -45.210 | 54.632 | 
| -118.127 | -71.638 | -308.280 | 0.000 | 1.117 | 0.000 | 
| 110.463 | 475.752 | 117.302 | 0.000 | 11.693 | 0.000 | 
| 165.852 | 117.314 | 271.032 | 0.000 | -2.135 | 0.000 | 
| -360.796 | 205.384 | -286.233 | 80.371 | 155.222 | -0.870 | 
| -29.211 | 11.577 | 13.168 | 0.000 | 160.767 | -0.000 | 
| 13.232 | -22.244 | -14.040 | 4.097 | -13.791 | 86.318 | 
| 203.703 | 3.825 | 11.163 | -0.000 | -10.644 | -0.000 | 
| 30.472 | 151.501 | 10.587 | -0.000 | -16.445 | -0.000 | 
| 40.953 | 19.097 | 158.044 | -0.000 | -1.375 | -0.000 | 
| 43.264 | -17.675 | 30.348 | 73.453 | -13.377 | -0.707 | 
| -2.531 | -28.891 | 21.910 | -0.000 | 66.063 | 0.000 | 
| 7.887 | -1.404 | 6.616 | 0.721 | -1.738 | 72.690 | 
| 104.386 | 33.432 | -38.822 | 0.000 | 15.104 | 0.000 | 
| 20.503 | 205.315 | 2.747 | 0.000 | -1.907 | 0.000 | 
| -34.121 | 6.756 | 83.669 | 0.000 | 10.477 | 0.000 | 
| -29.433 | 14.602 | -22.804 | 68.522 | 8.328 | -4.048 | 
| -39.326 | -3.683 | -10.245 | 0.000 | 87.296 | -0.000 | 
| -28.896 | 14.218 | -23.219 | -4.665 | 7.968 | 64.972 | 
| 850.544 | 631.126 | 421.159 | -0.000 | 0.000 | 0.000 | 
| 631.125 | 850.544 | 421.159 | -0.000 | 0.000 | 0.000 | 
| 663.996 | 663.996 | 587.392 | 0.000 | 0.000 | 0.000 | 
| 10452.585 | 10452.585 | 1794.957 | -28.691 | -0.000 | 0.000 | 
| 10452.585 | 10452.585 | 1794.957 | -0.000 | -28.691 | 0.000 | 
| 538.168 | 538.168 | 294.934 | -0.000 | 0.000 | 53.124 | 
| -681.485 | -872.973 | -288.152 | -0.000 | -0.000 | 0.000 | 
| -872.973 | -681.485 | -288.152 | 0.000 | -0.000 | -0.000 | 
| -412.441 | -412.441 | -2.547 | 0.000 | -0.000 | -0.000 | 
| -10452.585 | -10452.585 | -1794.957 | -28.691 | 0.000 | -0.000 | 
| -10452.585 | -10452.585 | -1794.957 | 0.000 | -28.691 | -0.000 | 
| -538.168 | -538.168 | -294.934 | 0.000 | -0.000 | 53.124 | 
| 366.218 | 147.117 | 155.911 | 0.000 | -0.000 | 0.000 | 
| 147.117 | 366.218 | 155.911 | 0.000 | 0.000 | 0.000 | 
| 195.841 | 195.841 | 302.063 | -0.000 | 0.000 | 0.000 | 
| 1027.945 | 1027.945 | 183.220 | -70.181 | 0.000 | -0.000 | 
| 1027.945 | 1027.945 | 183.220 | 0.000 | -70.181 | 0.000 | 
| 928.230 | 928.230 | 26.733 | 0.000 | 0.000 | -87.132 | 
| 258.120 | 39.111 | 96.722 | -0.000 | -0.000 | -0.000 | 
| 39.111 | 258.120 | 96.722 | -0.000 | 0.000 | -0.000 | 
| 116.881 | 116.881 | 371.689 | -0.000 | -0.000 | -0.000 | 
| -1028.025 | -1028.024 | -183.274 | -70.206 | -0.000 | -0.000 | 
| -1027.945 | -1027.945 | -183.220 | -0.000 | -70.181 | -0.000 | 
| -928.230 | -928.230 | -26.733 | -0.000 | -0.000 | -87.132 | 
| 312.193 | 99.864 | 130.133 | 0.000 | -0.000 | 0.000 | 
| 99.864 | 312.193 | 130.133 | 0.000 | -0.000 | 0.000 | 
| 131.452 | 131.452 | 294.109 | 0.000 | 0.000 | -0.000 | 
| 5.319 | 5.318 | 2.915 | 79.516 | 0.000 | 0.000 | 
| 5.318 | 5.319 | 2.915 | 0.000 | 79.516 | 0.000 | 
| 5.121 | 5.121 | 2.807 | 0.000 | 0.000 | 54.433 | 
| 133.756 | -20.024 | 45.830 | 0.000 | -0.000 | -0.000 | 
| -20.024 | 133.756 | 45.830 | -0.000 | 0.000 | -0.000 | 
| -1.006 | -1.006 | 121.211 | 0.000 | -0.000 | -0.000 | 
| -5.319 | -5.318 | -2.915 | 79.516 | -0.000 | -0.000 | 
| -5.318 | -5.319 | -2.915 | -0.000 | 79.516 | -0.000 | 
| -5.121 | -5.121 | -2.807 | 0.000 | -0.000 | 54.433 | 
| 382.336 | 95.673 | 88.650 | 0.000 | 7.551 | -0.000 | 
| 70.109 | 208.563 | 57.642 | 0.000 | -1.669 | -0.000 | 
| 102.022 | 99.487 | 251.497 | 0.000 | 0.907 | -0.000 | 
| 0.001 | 0.000 | -0.001 | 77.644 | 0.000 | -3.736 | 
| 6.071 | -4.205 | 1.135 | 0.000 | 94.668 | -0.000 | 
| 0.005 | 0.003 | 0.001 | -3.037 | 0.000 | 64.286 | 
| 278.227 | 109.646 | 100.970 | -0.000 | 1.243 | 0.000 | 
| 70.100 | 208.554 | 57.638 | -0.000 | -1.669 | 0.000 | 
| 88.632 | 106.564 | 345.246 | -0.000 | 1.134 | 0.000 | 
| -0.001 | -0.000 | 0.001 | 77.644 | -0.000 | -3.736 | 
| 6.071 | -4.205 | 1.135 | -0.000 | 94.668 | 0.000 | 
| -0.005 | -0.003 | -0.002 | -3.037 | -0.000 | 64.286 | 
| 278.234 | 109.646 | 100.969 | 0.000 | 1.243 | -0.000 | 
| 109.677 | 255.895 | 100.039 | 0.000 | -0.610 | -0.000 | 
| 102.021 | 99.486 | 251.494 | 0.000 | 0.907 | -0.000 | 
| 0.000 | 0.000 | -0.000 | 77.644 | 0.000 | -3.736 | 
| 0.332 | -0.720 | 0.931 | 0.000 | 70.067 | -0.000 | 
| 0.000 | 0.000 | 0.000 | -2.369 | 0.000 | 69.997 | 
| 382.336 | 95.673 | 88.650 | -0.000 | 7.551 | 0.000 | 
| 95.739 | 349.164 | 106.564 | -0.000 | -4.205 | 0.000 | 
| 102.024 | 99.483 | 251.466 | -0.000 | 0.907 | 0.000 | 
| -0.000 | -0.000 | -0.000 | 113.153 | 0.000 | -4.101 | 
| 0.332 | -0.721 | 0.931 | -0.000 | 70.067 | 0.000 | 
| -0.000 | -0.000 | -0.000 | -2.369 | -0.000 | 69.997 | 
| 226.593 | 69.067 | 64.247 | 0.000 | 1.321 | -0.000 | 
| 109.625 | 256.243 | 100.064 | 0.000 | -0.624 | -0.000 | 
| 64.531 | 55.730 | 196.133 | 0.000 | -1.475 | -0.000 | 
| -0.000 | -0.000 | 0.000 | 68.380 | -0.000 | -2.220 | 
| 6.071 | -4.205 | 1.135 | 0.000 | 94.668 | -0.000 | 
| -0.000 | 0.000 | -0.000 | -2.369 | -0.000 | 69.997 | 
| 226.595 | 68.997 | 64.184 | -0.000 | 1.326 | 0.000 | 
| 95.739 | 349.162 | 106.563 | 0.000 | -4.205 | 0.000 | 
| 64.595 | 55.699 | 195.692 | -0.000 | -1.476 | 0.000 | 
| 0.000 | 0.000 | -0.000 | 68.380 | 0.000 | -2.220 | 
| 0.332 | -0.721 | 0.931 | -0.000 | 70.067 | 0.000 | 
| 0.000 | -0.000 | -0.000 | -3.714 | 0.000 | 62.191 | 
| 802.178 | 335.984 | -985.467 | 0.000 | 751.845 | -0.000 | 
| 666.175 | 319.267 | -1400.648 | 0.000 | 918.412 | 0.000 | 
| 85.351 | 103.764 | 337.817 | -0.000 | 0.503 | 0.000 | 
| 0.000 | -0.000 | -0.000 | 110.766 | -0.000 | -3.657 | 
| 5.719 | -3.724 | 0.504 | -0.000 | 92.394 | -0.000 | 
| 515.841 | 230.701 | -1081.078 | -3.325 | 749.517 | 76.748 | 
| 371.602 | 93.515 | 86.149 | -0.000 | 7.196 | 0.000 | 
| -5925.002 | -2337.055 | 1008.912 | 0.000 | -1709.227 | -0.000 | 
| -420.855 | -132.519 | 1344.974 | 0.000 | -749.936 | 0.000 | 
| -0.000 | -0.000 | 0.000 | 110.766 | 0.000 | -3.657 | 
| -1934.827 | -1801.682 | 1894.039 | -0.000 | -1153.320 | -0.000 | 
| -515.841 | -230.701 | 1081.078 | -3.325 | -749.517 | 76.748 | 
| 337.268 | 128.544 | -12.769 | -0.000 | 77.484 | 0.000 | 
| 156.567 | 285.007 | -10.412 | -0.000 | 74.889 | 0.000 | 
| 85.351 | 103.764 | 337.817 | -0.000 | 0.503 | -0.000 | 
| 51.477 | 23.022 | -107.882 | 70.964 | 74.795 | -3.339 | 
| 52.732 | 22.639 | -108.771 | 0.000 | 146.003 | 0.000 | 
| 51.617 | 23.085 | -108.176 | -3.325 | 74.999 | 76.734 | 
| 99.686 | 34.111 | 192.623 | 0.000 | -95.162 | 0.000 | 
| 92.931 | 342.300 | 103.911 | 0.000 | -3.711 | 0.000 | 
| -794.392 | -407.634 | -18.564 | 0.000 | -244.703 | 0.000 | 
| -51.477 | -23.022 | 107.882 | 70.964 | -74.795 | -3.339 | 
| 5.719 | -3.724 | 0.503 | 0.000 | 92.394 | 0.000 | 
| -51.617 | -23.085 | 108.176 | -3.325 | -74.999 | 76.734 | 
| 233.728 | 73.336 | 54.063 | 0.000 | 8.680 | -0.000 | 
| 46.724 | 180.064 | 15.872 | -0.000 | 5.621 | 0.000 | 
| 33.113 | 40.573 | 145.551 | -0.000 | 7.553 | -0.000 | 
| 5.775 | 1.799 | -13.096 | 63.197 | 8.582 | -1.204 | 
| 5.851 | 2.352 | -11.889 | 0.000 | 76.013 | -0.000 | 
| 5.354 | 2.394 | -11.220 | -3.313 | 7.779 | 75.855 | 
| 273.795 | 103.531 | 108.808 | 0.000 | -6.691 | 0.000 | 
| 92.930 | 342.299 | 103.911 | -0.000 | -3.711 | 0.000 | 
| 85.351 | 103.764 | 337.815 | -0.000 | 0.503 | 0.000 | 
| -5.775 | -1.799 | 13.096 | 63.197 | -8.582 | -1.204 | 
| -5.497 | -2.829 | 10.314 | 0.000 | 46.425 | 0.000 | 
| -5.354 | -2.394 | 11.220 | -3.313 | -7.779 | 75.855 | 
| 350.585 | 452.187 | -233.416 | 410.448 | 25.356 | -68.286 | 
| 180.059 | 588.635 | -208.312 | 459.224 | 18.549 | -86.313 | 
| 77.803 | 119.793 | 392.294 | 5.337 | 0.003 | -0.004 | 
| -15.684 | 7.382 | 5.337 | 126.362 | 0.000 | 0.000 | 
| 52.913 | 322.261 | -327.873 | 427.653 | 80.200 | -98.415 | 
| -0.004 | -0.003 | 0.001 | 0.001 | 2.009 | 126.875 | 
| -358.668 | 120.446 | 496.694 | -285.935 | 47.126 | -30.800 | 
| -464.677 | 201.414 | 474.204 | -262.392 | 41.106 | -42.878 | 
| 1576.322 | 633.986 | -170.628 | 610.578 | 855.215 | 864.116 | 
| 410.155 | 114.881 | 66.138 | 254.445 | 143.658 | 253.446 | 
| -526.979 | 56.226 | 429.807 | -275.982 | 82.432 | -40.877 | 
| -52.923 | -322.354 | 327.972 | -427.775 | -17.655 | 180.432 | 
| 205.358 | 53.261 | 22.928 | 17.704 | 2.025 | 15.180 | 
| -78.875 | 28.905 | -52.579 | -10.433 | -13.886 | -24.153 | 
| 119.506 | 40.284 | 147.738 | 30.942 | -3.899 | 3.941 | 
| -11.222 | 44.967 | -29.129 | 130.953 | 1.879 | -8.735 | 
| -173.774 | -70.702 | 12.054 | -64.549 | -64.915 | -91.919 | 
| -196.094 | -23.314 | 3.611 | -52.223 | -101.242 | -44.377 | 
| 394.296 | 14.801 | 71.875 | 22.313 | 131.288 | 98.592 | 
| 119.301 | 343.864 | 122.159 | 34.084 | 0.001 | -0.004 | 
| -6.500 | -33.712 | 120.586 | 10.481 | 14.031 | 24.507 | 
| -21.791 | -19.670 | 36.538 | 46.345 | -1.827 | 8.512 | 
| -51.870 | 5.131 | 42.656 | -27.653 | 45.923 | -2.621 | 
| -5.318 | -32.416 | 32.982 | -43.016 | -1.006 | 102.736 | 
| 207.982 | 76.599 | 67.839 | -9.146 | 6.805 | 13.616 | 
| 129.838 | 248.597 | 115.445 | 35.337 | 0.238 | -1.097 | 
| -39.858 | 4.778 | 130.638 | -3.173 | -2.990 | -3.785 | 
| -20.243 | -2.791 | -8.080 | 28.077 | -4.204 | -5.308 | 
| -2.895 | -0.731 | -1.463 | -0.946 | 44.696 | -11.315 | 
| 3.307 | 0.472 | -3.398 | 2.734 | 6.634 | 74.237 | 
| 174.761 | 24.430 | 10.086 | -18.931 | 6.639 | 15.600 | 
| -4.607 | 94.206 | 16.591 | 15.766 | 4.783 | 5.003 | 
| 9.769 | 12.490 | 185.840 | -3.236 | 0.839 | 1.356 | 
| -17.053 | 8.942 | 7.338 | 85.378 | -0.177 | 0.831 | 
| -3.523 | -0.359 | 3.514 | -2.739 | 51.737 | -3.781 | 
| -0.569 | -3.497 | 3.559 | -4.639 | 0.565 | 92.418 | 
| -2081.969 | -16.684 | -272.612 | 0.000 | 0.000 | -0.000 | 
| 109.257 | 312.176 | 106.450 | -0.000 | 0.000 | -0.000 | 
| -1108.833 | 235.593 | 306.643 | 0.000 | -0.000 | -0.000 | 
| 0.000 | 0.000 | 0.000 | 113.662 | -0.000 | -0.000 | 
| 0.000 | 0.000 | 0.000 | 0.000 | 92.257 | -0.000 | 
| -1207.191 | 120.612 | 22.572 | 0.000 | 0.000 | 77.891 | 
| 349.092 | 109.594 | 84.538 | 0.000 | -0.000 | -0.000 | 
| 1625.923 | 480.904 | 23.047 | 0.000 | 0.000 | 0.000 | 
| 1896.683 | 302.775 | -425.693 | -0.000 | -0.000 | 0.000 | 
| 0.000 | -0.000 | -0.000 | 113.662 | -0.000 | 0.000 | 
| 0.000 | -0.000 | -0.000 | -0.000 | 92.257 | 0.000 | 
| 1207.191 | -120.612 | -22.572 | -0.000 | -0.000 | 77.891 | 
| 349.092 | 109.594 | 84.538 | 0.000 | -0.000 | -0.000 | 
| -10.250 | 268.777 | 115.637 | 0.000 | 0.000 | -0.000 | 
| -23.001 | 127.149 | 286.045 | -0.000 | 0.000 | -0.000 | 
| 0.000 | 0.000 | 0.000 | 113.662 | 0.000 | 0.000 | 
| -120.615 | 12.051 | 2.255 | 0.000 | 68.547 | -0.000 | 
| 0.000 | 0.000 | 0.000 | 0.000 | 0.000 | 113.731 | 
| 155.969 | -56.800 | -42.621 | 0.000 | 0.000 | 0.000 | 
| 248.155 | 238.800 | 84.306 | 0.000 | 0.000 | -0.000 | 
| 220.057 | 102.885 | 281.355 | 0.000 | -0.000 | 0.000 | 
| -0.000 | -0.000 | -0.000 | 113.662 | 0.000 | 0.000 | 
| 120.615 | -12.051 | -2.255 | 0.000 | 68.547 | 0.000 | 
| -0.000 | -0.000 | -0.000 | 0.000 | -0.000 | 113.731 | 
| 209.805 | 60.226 | 63.363 | 0.000 | -0.000 | -0.000 | 
| 45.027 | 154.091 | 41.651 | 0.000 | 0.000 | -0.000 | 
| 86.269 | 118.055 | 271.308 | -0.000 | 0.000 | -0.000 | 
| -13.221 | 2.081 | -1.147 | 44.933 | 0.000 | -0.000 | 
| 0.000 | 0.000 | 0.000 | 0.000 | 92.257 | -0.000 | 
| -11.663 | 1.165 | 0.218 | -0.000 | 0.000 | 79.104 | 
| 240.996 | 63.368 | 63.690 | -0.000 | 0.000 | 0.000 | 
| 109.256 | 312.174 | 106.450 | -0.000 | 0.000 | 0.000 | 
| 85.996 | 108.246 | 339.788 | -0.000 | 0.000 | 0.000 | 
| 13.967 | 1.490 | -0.527 | 73.683 | -0.000 | 0.000 | 
| -0.000 | -0.000 | -0.000 | -0.000 | 92.257 | 0.000 | 
| 11.663 | -1.165 | -0.218 | 0.000 | -0.000 | 79.104 | 
| -320.006 | 88.925 | 1043.614 | 0.000 | 321.245 | 0.000 | 
| 80.873 | 385.608 | 91.200 | 0.000 | 4.443 | -0.000 | 
| 1008.405 | 1657.448 | 2349.407 | 0.000 | -925.779 | 0.000 | 
| -618.016 | -5.722 | 927.862 | 60.880 | 296.514 | 2.870 | 
| -452.367 | 1435.336 | 957.446 | 0.000 | -426.574 | -0.000 | 
| -0.000 | -0.000 | 0.000 | 4.863 | -0.000 | 87.696 | 
| 359.526 | 80.572 | 120.878 | -0.000 | 33.979 | 0.000 | 
| 80.873 | 385.608 | 91.200 | -0.000 | 4.444 | -0.000 | 
| 510.794 | -1374.222 | -832.507 | -0.000 | 476.560 | -0.000 | 
| -840.250 | -2620.226 | -1824.189 | 28.448 | 912.046 | 10.158 | 
| -2.056 | 4.851 | -1.036 | -0.000 | 127.919 | 0.000 | 
| 0.000 | 0.000 | -0.000 | 4.863 | 0.000 | 87.696 | 
| 359.526 | 80.572 | 120.878 | 0.000 | 33.979 | 0.000 | 
| 42.751 | 323.516 | 156.486 | 0.000 | -45.716 | -0.000 | 
| 121.871 | 90.196 | 339.528 | 0.000 | -1.036 | 0.000 | 
| -61.759 | -0.572 | 92.722 | 60.905 | 29.631 | 2.872 | 
| -2.056 | 4.850 | -1.036 | 0.000 | 127.919 | 0.000 | 
| -45.076 | 142.268 | 95.312 | -0.344 | -47.309 | 37.902 | 
| 359.526 | 80.572 | 120.878 | -0.000 | 33.979 | 0.000 | 
| -234.792 | -357.408 | -345.187 | -0.000 | 199.653 | 0.000 | 
| 180.233 | 93.538 | 181.953 | -0.000 | -33.452 | 0.000 | 
| 61.759 | 0.572 | -92.722 | 60.905 | -29.631 | 2.872 | 
| 60.560 | 5.563 | -95.455 | -0.000 | 62.486 | 0.000 | 
| 45.076 | -142.268 | -95.312 | -0.344 | 47.309 | 37.902 | 
| 285.129 | 95.787 | 126.706 | 0.000 | 27.578 | -0.000 | 
| -10.891 | 155.966 | -29.097 | 0.000 | -14.877 | -0.000 | 
| 121.871 | 90.196 | 339.530 | 0.000 | -1.036 | 0.000 | 
| -3.990 | 9.783 | 7.892 | 47.103 | -2.830 | 1.342 | 
| -6.920 | 4.953 | 5.813 | 0.000 | 91.201 | -0.000 | 
| -3.981 | 9.448 | 7.813 | 1.020 | -2.672 | 51.307 | 
| 234.693 | 75.166 | 66.981 | -0.000 | 22.849 | 0.000 | 
| -6.215 | 143.130 | -46.648 | -0.000 | 3.655 | 0.000 | 
| 78.156 | 57.349 | 169.550 | -0.000 | 2.391 | 0.000 | 
| 5.954 | 0.055 | -8.939 | 62.220 | -2.857 | 2.958 | 
| 3.800 | -10.714 | -12.054 | -0.000 | 65.212 | 0.000 | 
| 3.981 | -9.448 | -7.813 | 1.020 | 2.672 | 51.307 | 
| 896.074 | -50.047 | -518.325 | 150.641 | 178.966 | -284.574 | 
| 82.310 | 330.473 | 98.737 | -20.819 | 0.000 | -0.026 | 
| 959.142 | 317.997 | -82.749 | -68.724 | 14.856 | -400.180 | 
| 352.534 | -270.305 | -253.567 | 86.211 | 5.479 | -136.419 | 
| 949.757 | 294.641 | -234.290 | -57.735 | 69.627 | -408.330 | 
| -0.012 | -0.034 | -0.027 | -0.039 | -29.038 | 86.121 | 
| 371.833 | 78.033 | 82.343 | -11.279 | -17.068 | -20.726 | 
| 82.310 | 330.473 | 98.737 | -20.819 | 0.000 | -0.026 | 
| 84.539 | 99.555 | 328.480 | 3.438 | -0.017 | 0.011 | 
| -11.515 | -0.623 | 3.438 | 106.091 | -0.036 | -0.080 | 
| -0.011 | -0.041 | -0.017 | -0.036 | 88.482 | -11.835 | 
| -0.012 | -0.034 | -0.027 | -0.039 | -29.038 | 86.121 | 
| 319.608 | 58.947 | 63.016 | -5.437 | -10.174 | -26.719 | 
| 102.279 | 173.726 | 2.847 | -28.634 | 1.753 | -40.267 | 
| 84.539 | 99.555 | 328.480 | 3.438 | -0.017 | 0.011 | 
| 28.127 | -29.041 | -24.487 | 69.965 | 0.489 | -13.616 | 
| 35.564 | -26.524 | -25.232 | 1.758 | 53.193 | -18.229 | 
| -0.012 | -0.034 | -0.027 | -0.039 | -29.038 | 86.121 | 
| 62.003 | -26.450 | 31.920 | -10.360 | -12.034 | 26.945 | 
| 82.310 | 330.472 | 98.737 | -20.819 | 0.000 | -0.026 | 
| 54.768 | 127.056 | 274.903 | -1.123 | -0.627 | 13.632 | 
| -83.660 | 7.546 | 53.649 | 44.147 | -18.876 | 26.798 | 
| -0.011 | -0.041 | -0.017 | -0.036 | 88.482 | -11.835 | 
| -35.833 | 26.506 | 25.253 | -1.876 | -15.471 | 65.048 | 
| 210.492 | 58.400 | 58.974 | -12.047 | -10.756 | -17.676 | 
| 71.657 | 188.822 | 57.156 | -13.957 | 1.805 | -2.540 | 
| 62.660 | 2.581 | 78.865 | -36.536 | 1.827 | -1.056 | 
| -5.077 | -4.497 | -1.050 | 73.677 | -0.010 | -1.254 | 
| 2.924 | -2.245 | -2.168 | 0.095 | 58.562 | -7.031 | 
| 3.038 | -2.390 | -2.194 | 0.110 | -16.772 | 54.990 | 
| 156.566 | 10.241 | 20.840 | -14.759 | -10.763 | -8.999 | 
| -1.514 | 139.639 | 43.803 | -16.401 | -3.385 | 3.180 | 
| 87.344 | 103.286 | 245.497 | 0.280 | -0.139 | 1.501 | 
| -11.195 | 0.088 | 3.273 | 72.112 | -0.107 | 1.111 | 
| -6.085 | 1.135 | 4.761 | -1.337 | 51.383 | 0.088 | 
| -13.858 | 5.040 | 7.924 | 6.398 | -21.348 | 44.669 | 
| 1977.644 | 741.497 | 30.008 | -0.000 | -0.000 | 0.000 | 
| 1860.068 | 903.411 | 48.296 | -0.000 | -0.000 | 0.000 | 
| 259.991 | 1490.959 | 481.754 | -0.000 | -0.000 | 0.000 | 
| 1792.600 | 667.817 | -26.318 | 57.906 | -0.000 | -0.000 | 
| 159.850 | 1382.389 | 172.330 | 0.000 | 43.035 | 0.000 | 
| 159.691 | 1381.010 | 172.158 | -0.000 | -0.000 | 67.795 | 
| 93.873 | -1267.198 | -71.807 | 0.000 | 0.000 | 0.000 | 
| -38.668 | -1102.601 | -64.559 | 0.000 | 0.000 | -0.000 | 
| -1735.134 | -596.267 | 267.263 | 0.000 | 0.000 | -0.000 | 
| -1792.600 | -667.817 | 26.318 | 57.906 | 0.000 | -0.000 | 
| -159.850 | -1382.389 | -172.330 | -0.000 | 43.036 | 0.000 | 
| -159.691 | -1381.010 | -172.158 | -0.000 | 0.000 | 67.795 | 
| 275.375 | 253.975 | 117.369 | -0.000 | 0.000 | 0.000 | 
| 136.896 | 411.237 | 125.543 | 0.000 | -0.000 | 0.000 | 
| 243.216 | -110.745 | -141.373 | 0.000 | -0.000 | 0.000 | 
| 365.514 | 38.138 | -109.708 | 59.658 | -0.000 | 0.000 | 
| 0.000 | 0.000 | 0.000 | -0.000 | 95.629 | 0.000 | 
| 176.679 | 69.096 | -2.161 | 0.000 | -0.000 | 83.308 | 
| 232.817 | -23.204 | 83.667 | 0.000 | 0.000 | 0.000 | 
| 105.125 | 144.325 | 89.823 | -0.000 | -0.000 | -0.000 | 
| -262.983 | -71.123 | 151.144 | 0.000 | 0.000 | -0.000 | 
| -201.527 | -50.229 | 16.289 | 48.526 | 0.000 | -0.000 | 
| -0.000 | -0.000 | -0.000 | 0.000 | 95.629 | -0.000 | 
| -176.679 | -69.096 | 2.161 | 0.000 | 0.000 | 83.308 | 
| 198.489 | 78.475 | 63.076 | -0.000 | -0.000 | 0.000 | 
| 122.741 | 382.123 | 92.811 | -0.000 | -0.000 | 0.000 | 
| -26.333 | -20.985 | 118.245 | -0.000 | -0.000 | 0.000 | 
| 1.304 | 11.277 | 1.406 | 58.622 | 0.000 | 0.000 | 
| 1.201 | 10.391 | 1.295 | -0.000 | 56.097 | 0.000 | 
| 12.672 | 10.020 | 0.514 | -0.000 | -0.000 | 74.417 | 
| 103.901 | 24.890 | -8.067 | -0.000 | 0.000 | 0.000 | 
| 122.740 | 382.119 | 92.811 | 0.000 | 0.000 | -0.000 | 
| -29.006 | 15.467 | 199.710 | 0.000 | -0.000 | -0.000 | 
| -1.304 | -11.277 | -1.406 | 58.622 | 0.000 | 0.000 | 
| -1.201 | -10.391 | -1.295 | -0.000 | 56.097 | -0.000 | 
| -12.672 | -10.020 | -0.514 | 0.000 | 0.000 | 74.417 | 
| 2786.043 | -535.397 | -1051.725 | -0.000 | 0.001 | 0.062 | 
| 2588.469 | -380.582 | -1044.907 | -0.000 | 0.001 | 0.062 | 
| 2599.640 | -518.890 | -897.956 | -0.000 | 0.001 | 0.062 | 
| 3750.021 | 70.028 | -2162.856 | 131.826 | -0.001 | -0.065 | 
| 7440.730 | -1736.041 | -14914.647 | 0.002 | 16.955 | -0.549 | 
| 2491.930 | -633.170 | -1159.228 | -0.000 | 0.001 | 42.948 | 
| -3738.376 | -604.153 | 5161.186 | -0.000 | -0.000 | 0.037 | 
| -3714.349 | 130.703 | 2177.401 | -0.000 | 0.001 | 0.065 | 
| -3722.494 | -53.301 | 2428.105 | -0.000 | 0.001 | 0.065 | 
| -3750.021 | -70.028 | 2162.856 | 131.825 | 0.001 | 0.065 | 
| -8881.004 | 818.310 | 14013.026 | -0.000 | 10.949 | 0.026 | 
| -2491.930 | 633.170 | 1159.228 | 0.000 | -0.001 | 42.825 | 
| 543.194 | 34.472 | -8.384 | -0.000 | 0.000 | 0.006 | 
| 345.651 | 189.651 | -1.561 | -0.000 | 0.000 | 0.006 | 
| 356.944 | 50.953 | 145.323 | -0.000 | 0.000 | 0.006 | 
| 602.604 | -126.926 | -1554.426 | 33.902 | 0.001 | 0.072 | 
| 287.265 | 65.381 | -300.831 | -0.000 | -4.443 | 0.016 | 
| 651.557 | 211.361 | -838.435 | 0.000 | -0.000 | 54.554 | 
| -183.228 | -87.026 | 374.593 | 0.000 | -0.000 | -0.022 | 
| -152.677 | 315.479 | 230.251 | 0.000 | -0.000 | -0.006 | 
| -341.162 | 16.896 | 478.231 | -0.000 | 0.000 | 0.006 | 
| -0.000 | -0.000 | -0.000 | 123.272 | 0.000 | 0.000 | 
| -287.265 | -65.381 | 300.831 | 0.000 | -4.443 | -0.016 | 
| -650.552 | 72.593 | 1581.612 | -0.000 | 0.001 | 54.705 | 
| 118.295 | 36.746 | -138.405 | -0.000 | 0.000 | 0.002 | 
| 56.354 | 55.781 | -64.580 | -0.000 | 0.000 | 0.001 | 
| 105.806 | 62.822 | 231.333 | -0.000 | 0.000 | 0.000 | 
| 0.000 | 0.000 | 0.000 | 123.272 | -0.000 | -0.000 | 
| 0.000 | 0.000 | 0.000 | -0.000 | 92.314 | -0.000 | 
| 21.420 | -5.443 | -9.965 | -0.000 | 0.000 | 50.353 | 
| 224.590 | 66.393 | 80.840 | -0.000 | -0.000 | 0.000 | 
| 30.740 | 213.629 | 81.007 | 0.000 | -0.000 | -0.000 | 
| 4.947 | 40.226 | 226.010 | 0.000 | -0.000 | -0.000 | 
| -0.000 | -0.000 | -0.000 | 123.272 | 0.000 | -0.000 | 
| -0.000 | -0.000 | -0.000 | 0.000 | 92.314 | 0.000 | 
| -33.169 | -6.729 | 43.021 | 0.000 | -0.000 | 47.209 | 
| 391.016 | 88.951 | 85.487 | -0.000 | -0.000 | 0.000 | 
| 35.563 | 175.674 | 54.600 | -0.000 | -0.000 | -0.000 | 
| 101.936 | 112.808 | 272.101 | 0.000 | -0.000 | -0.000 | 
| -0.001 | -0.003 | -0.003 | 67.250 | -0.000 | -0.000 | 
| -0.000 | -0.001 | -0.001 | -0.000 | 62.966 | 0.000 | 
| 0.000 | 0.001 | -0.002 | -0.000 | -0.000 | 64.339 | 
| 391.016 | 88.951 | 85.487 | 0.000 | 0.000 | 0.000 | 
| 88.951 | 343.148 | 115.266 | -0.000 | 0.000 | 0.000 | 
| 101.936 | 112.805 | 272.098 | -0.000 | 0.000 | 0.000 | 
| 0.001 | 0.003 | 0.003 | 67.251 | -0.000 | -0.000 | 
| 0.000 | 0.001 | 0.001 | 0.000 | 62.966 | -0.000 | 
| -0.000 | -0.001 | 0.002 | -0.000 | 0.000 | 64.339 | 
| 290.501 | 95.859 | 105.674 | 0.000 | -0.000 | -0.000 | 
| 73.325 | 204.298 | 72.422 | 0.000 | -0.000 | -0.000 | 
| 101.936 | 112.806 | 272.098 | -0.000 | 0.000 | 0.000 | 
| -0.000 | -0.000 | -0.000 | 75.914 | -0.000 | 0.000 | 
| -0.000 | 0.000 | 0.000 | -0.000 | 91.474 | -0.000 | 
| 0.000 | 0.000 | 0.000 | -0.000 | 0.000 | 94.500 | 
| 391.016 | 88.951 | 85.487 | -0.000 | 0.000 | -0.000 | 
| 73.326 | 204.301 | 72.424 | 0.000 | -0.000 | 0.000 | 
| 44.274 | 50.907 | 206.356 | -0.000 | 0.000 | 0.000 | 
| 0.000 | 0.000 | 0.000 | 75.914 | -0.000 | 0.000 | 
| 0.000 | -0.000 | -0.000 | -0.000 | 91.474 | -0.000 | 
| -0.000 | -0.000 | -0.000 | 0.000 | -0.000 | 94.500 | 
| 290.494 | 95.860 | 105.676 | 0.000 | -0.000 | -0.000 | 
| 35.570 | 175.706 | 54.616 | -0.000 | -0.000 | 0.000 | 
| 81.282 | 78.086 | 236.318 | -0.000 | -0.000 | -0.000 | 
| 0.000 | 0.000 | 0.000 | 121.361 | -0.000 | -0.000 | 
| 0.000 | 0.000 | 0.000 | 0.000 | 91.474 | -0.000 | 
| -0.000 | -0.000 | 0.000 | 0.000 | -0.000 | 64.339 | 
| 249.774 | 72.763 | 76.526 | -0.000 | 0.000 | 0.000 | 
| 35.565 | 175.673 | 54.604 | 0.000 | 0.000 | -0.000 | 
| 81.275 | 78.089 | 236.357 | -0.000 | 0.000 | 0.000 | 
| -0.000 | -0.000 | -0.000 | 121.361 | 0.000 | 0.000 | 
| -0.000 | -0.000 | -0.000 | -0.000 | 91.474 | 0.000 | 
| 0.000 | 0.000 | -0.000 | 0.000 | 0.000 | 64.339 | 
| 893.559 | 1163.410 | -5509.515 | -0.000 | -0.000 | -0.000 | 
| 3040.570 | 1740.144 | -4238.595 | -0.000 | 0.000 | -0.000 | 
| 230.159 | 1408.971 | -3746.575 | -0.001 | -0.000 | -0.000 | 
| 6824.563 | -2267.994 | -3009.725 | 65.806 | 0.000 | -0.000 | 
| 6824.547 | -2267.989 | -3009.718 | -0.000 | 52.763 | -0.000 | 
| 3034.394 | 1670.169 | -4254.508 | -0.000 | -0.000 | 36.103 | 
| -6602.618 | 2326.652 | 3075.501 | 0.000 | 0.000 | 0.000 | 
| -332.506 | -1382.944 | 3908.742 | 0.001 | 0.000 | 0.000 | 
| -3023.439 | -1649.881 | 4420.741 | 0.000 | 0.000 | 0.000 | 
| -6824.563 | 2267.994 | 3009.725 | 65.807 | 0.000 | 0.000 | 
| -6824.547 | 2267.989 | 3009.718 | 0.000 | 52.763 | 0.000 | 
| -3034.394 | -1670.169 | 4254.508 | 0.000 | 0.000 | 36.103 | 
| 204.686 | 96.576 | -462.699 | -0.000 | -0.000 | -0.000 | 
| 384.260 | 184.062 | -5.893 | -0.000 | -0.000 | -0.000 | 
| 755.864 | -170.053 | -95.984 | -0.000 | -0.000 | -0.000 | 
| 78.086 | 119.602 | -545.939 | 18.792 | -0.000 | -0.000 | 
| 284.255 | -104.337 | -118.083 | -0.000 | 60.722 | -0.000 | 
| 681.951 | -226.651 | -300.735 | -0.000 | -0.000 | 58.427 | 
| 31.892 | 203.018 | 226.940 | 0.000 | 0.000 | 0.000 | 
| 95.263 | 368.836 | 106.877 | 0.000 | 0.000 | 0.000 | 
| -88.023 | -180.090 | 575.685 | 0.000 | 0.000 | 0.000 | 
| -78.086 | -119.602 | 545.939 | 18.792 | 0.000 | 0.000 | 
| -284.255 | 104.337 | 118.083 | 0.000 | 60.722 | 0.000 | 
| -681.951 | 226.651 | 300.735 | 0.000 | 0.000 | 58.427 | 
| 345.803 | 87.498 | 96.313 | -0.000 | -0.000 | -0.000 | 
| 130.557 | 271.447 | 100.030 | -0.000 | -0.000 | -0.000 | 
| 138.702 | 101.078 | 274.822 | -0.000 | -0.000 | -0.000 | 
| 0.000 | 0.000 | 0.000 | 111.521 | -0.000 | -0.000 | 
| 63.471 | -21.198 | -27.914 | -0.000 | 53.962 | -0.000 | 
| 27.071 | -9.937 | -11.246 | -0.000 | -0.000 | 59.467 | 
| 160.538 | 2.012 | 70.417 | 0.000 | 0.000 | 0.000 | 
| 20.056 | 101.672 | 125.904 | 0.000 | 0.000 | 0.000 | 
| 80.772 | 121.901 | 302.210 | 0.000 | 0.000 | 0.000 | 
| -0.000 | -0.000 | -0.000 | 111.521 | -0.000 | 0.000 | 
| -63.471 | 21.198 | 27.914 | 0.000 | 53.962 | 0.000 | 
| -27.071 | 9.937 | 11.246 | 0.000 | 0.000 | 59.467 | 
| 257.420 | 73.499 | 83.527 | -0.000 | 0.000 | -0.000 | 
| 95.529 | 258.562 | 110.588 | -0.000 | -0.000 | -0.000 | 
| 85.914 | 73.675 | 241.229 | -0.000 | -0.000 | 0.000 | 
| 0.000 | 0.000 | 0.000 | 109.909 | -0.000 | -0.000 | 
| -0.000 | -0.000 | 0.000 | -0.000 | 95.051 | -0.000 | 
| 0.001 | -0.001 | 0.000 | -0.000 | 0.000 | 59.422 | 
| 294.742 | 95.072 | 107.549 | -0.000 | -0.000 | 0.000 | 
| 31.694 | 162.840 | 46.195 | 0.000 | -0.000 | 0.000 | 
| 88.895 | 103.970 | 371.211 | 0.000 | -0.000 | 0.000 | 
| -0.000 | 0.000 | -0.000 | 109.909 | 0.000 | 0.000 | 
| 0.000 | -0.000 | -0.000 | -0.000 | 95.051 | 0.000 | 
| -0.001 | 0.001 | -0.000 | -0.000 | 0.000 | 59.422 | 
| 294.738 | 95.072 | 107.549 | -0.000 | 0.000 | -0.000 | 
| 69.912 | 194.781 | 64.512 | -0.000 | 0.000 | -0.000 | 
| 85.913 | 73.674 | 241.227 | -0.000 | -0.000 | -0.000 | 
| 0.000 | 0.000 | 0.000 | 109.909 | 0.000 | -0.000 | 
| 0.000 | -0.000 | -0.000 | 0.000 | 67.000 | -0.000 | 
| 0.000 | 0.000 | 0.000 | -0.000 | -0.000 | 95.624 | 
| 294.740 | 95.072 | 107.548 | 0.000 | 0.000 | 0.000 | 
| 69.912 | 194.785 | 64.511 | 0.000 | 0.000 | 0.000 | 
| 88.895 | 103.970 | 371.210 | 0.000 | -0.000 | 0.000 | 
| -0.000 | -0.000 | -0.000 | 109.909 | 0.000 | 0.000 | 
| -0.000 | 0.000 | 0.000 | 0.000 | 67.000 | 0.000 | 
| -0.000 | -0.000 | -0.000 | 0.000 | 0.000 | 95.624 | 
| 393.295 | 89.829 | 88.896 | -0.000 | 0.000 | -0.000 | 
| 95.528 | 258.551 | 110.590 | -0.000 | 0.000 | 0.000 | 
| 26.900 | 44.466 | 198.543 | -0.000 | 0.000 | -0.000 | 
| 0.000 | 0.000 | 0.000 | 109.909 | 0.000 | -0.000 | 
| -0.000 | -0.000 | -0.000 | -0.000 | 67.000 | -0.000 | 
| -0.000 | -0.000 | -0.000 | 0.000 | -0.000 | 59.422 | 
| 257.173 | 73.514 | 83.573 | 0.000 | 0.000 | 0.000 | 
| 95.529 | 258.502 | 110.592 | 0.000 | 0.000 | 0.000 | 
| 51.407 | 44.363 | 210.858 | -0.000 | -0.000 | 0.000 | 
| -0.000 | -0.000 | -0.000 | 109.909 | 0.000 | 0.000 | 
| 0.000 | 0.000 | 0.000 | 0.000 | 67.000 | 0.000 | 
| 0.000 | 0.000 | 0.000 | -0.000 | 0.000 | 59.422 | 
| 30840.724 | 1540.571 | -6567.767 | 0.000 | 0.000 | 0.003 | 
| 100.081 | 368.995 | 106.830 | 0.000 | 0.000 | -0.000 | 
| 7156.339 | 3637.064 | 162.753 | 0.000 | 0.000 | 0.001 | 
| -0.000 | -0.000 | -0.000 | 110.035 | 0.000 | -0.000 | 
| 1050.663 | 467.685 | 51.388 | 0.000 | 58.821 | 0.002 | 
| -0.000 | 0.000 | 0.000 | 0.000 | -0.000 | 104.377 | 
| -733.172 | -369.838 | 49.928 | -0.000 | -0.000 | -0.002 | 
| -7187.413 | -3578.659 | 42.012 | -0.000 | -0.000 | -0.001 | 
| -948.334 | -356.654 | 246.377 | -0.000 | -0.000 | -0.002 | 
| 0.000 | -0.000 | 0.000 | 110.035 | 0.000 | -0.000 | 
| -1050.663 | -467.685 | -51.388 | -0.000 | 58.821 | -0.002 | 
| -0.000 | -0.000 | 0.000 | 0.000 | 0.000 | 104.377 | 
| 477.748 | 200.575 | 126.792 | 0.000 | -0.000 | 0.000 | 
| 303.824 | 342.009 | 122.253 | 0.000 | 0.000 | 0.000 | 
| 207.730 | 157.949 | 302.896 | 0.000 | 0.000 | 0.000 | 
| 230.800 | 132.097 | 42.225 | 72.656 | 0.000 | 0.000 | 
| 0.000 | 0.000 | 0.000 | 0.000 | 89.533 | -0.000 | 
| 708.051 | 358.628 | -2.301 | 0.000 | 0.000 | 34.464 | 
| 416.052 | 96.411 | 86.494 | 0.000 | 0.000 | -0.000 | 
| -159.662 | 75.430 | 36.831 | -0.000 | 0.000 | -0.000 | 
| -3306.516 | -956.057 | 128.059 | 0.000 | 0.000 | 0.000 | 
| -230.800 | -132.097 | -42.225 | 72.656 | -0.000 | -0.000 | 
| -0.000 | -0.000 | -0.000 | 0.000 | 89.533 | 0.000 | 
| -708.051 | -358.628 | 2.301 | -0.000 | 0.000 | 34.464 | 
| 202.137 | -17.401 | -6.944 | 0.000 | 0.000 | 0.000 | 
| 114.290 | 279.673 | 114.619 | 0.000 | 0.000 | 0.000 | 
| 113.255 | 115.896 | 297.800 | 0.000 | 0.000 | 0.000 | 
| 22.634 | 12.873 | 4.055 | 72.239 | 0.000 | 0.000 | 
| 0.000 | 0.000 | 0.000 | -0.000 | 89.533 | 0.000 | 
| 22.205 | 12.542 | 3.886 | 0.000 | 0.000 | 63.554 | 
| 416.050 | 96.410 | 86.494 | 0.000 | 0.000 | -0.000 | 
| 40.226 | 173.285 | 67.412 | -0.000 | -0.000 | -0.000 | 
| 87.663 | 104.328 | 385.945 | 0.000 | 0.000 | 0.000 | 
| -22.634 | -12.873 | -4.055 | 72.239 | -0.000 | -0.000 | 
| -0.000 | -0.000 | -0.000 | 0.000 | 89.533 | 0.000 | 
| -22.205 | -12.542 | -3.886 | -0.000 | -0.000 | 63.554 | 
| -283.123 | 1991.051 | -571.200 | -0.000 | 363.972 | 0.000 | 
| 101.299 | 2783.015 | -1078.802 | 0.000 | 256.291 | -0.000 | 
| -444.627 | 1999.840 | -402.094 | -0.000 | 321.610 | 0.000 | 
| 0.000 | 0.000 | 0.000 | 90.180 | -0.000 | 3.273 | 
| 3.418 | 3.101 | -3.454 | 0.000 | 103.543 | 0.000 | 
| -544.388 | 1901.049 | -672.449 | 2.666 | 321.586 | 50.291 | 
| 805.171 | -1810.364 | 773.488 | -0.000 | -279.155 | -0.000 | 
| 376.887 | -2780.963 | 111.624 | 0.000 | -59.252 | -0.000 | 
| -180.294 | -2762.685 | 1454.644 | 0.000 | 444.787 | -0.000 | 
| 0.000 | -0.000 | 0.000 | 90.180 | -0.000 | 3.273 | 
| -144.213 | -2684.442 | 1372.307 | 0.000 | 481.999 | -0.000 | 
| 544.388 | -1901.049 | 672.449 | 2.666 | -321.585 | 50.291 | 
| 346.675 | 87.850 | 92.603 | -0.000 | 63.355 | -0.000 | 
| 83.995 | 383.150 | 81.167 | -0.000 | 2.982 | -0.000 | 
| 45.274 | 289.293 | 202.466 | -0.000 | 32.255 | 0.000 | 
| -54.319 | 189.687 | -67.097 | 59.284 | 32.088 | 2.787 | 
| 5.519 | 259.080 | -116.019 | 0.000 | 99.165 | -0.000 | 
| 2.840 | 252.867 | -115.659 | 1.699 | 25.268 | 63.749 | 
| 126.434 | -303.672 | 37.555 | 0.000 | 25.369 | -0.000 | 
| 64.011 | 1.741 | 196.410 | -0.000 | -20.329 | -0.000 | 
| 154.032 | -91.019 | 338.132 | -0.000 | -32.092 | 0.000 | 
| 54.319 | -189.687 | 67.097 | 59.284 | -32.088 | 2.787 | 
| 40.950 | -281.787 | 14.219 | 0.000 | 50.976 | 0.000 | 
| -2.840 | -252.867 | 115.659 | 1.699 | -25.268 | 63.749 | 
| 130.097 | 43.866 | 37.186 | -0.000 | 39.873 | 0.000 | 
| 83.995 | 383.152 | 81.168 | 0.000 | 2.982 | -0.000 | 
| 94.633 | 117.710 | 261.450 | -0.000 | 3.249 | -0.000 | 
| -4.814 | 16.811 | -5.946 | 62.799 | 2.844 | 2.842 | 
| -0.580 | 18.512 | -6.511 | 0.000 | 73.702 | -0.000 | 
| 0.000 | 0.000 | 0.000 | 3.153 | 0.000 | 90.776 | 
| 252.847 | 72.443 | 108.951 | -0.000 | 36.034 | -0.000 | 
| 96.980 | 264.777 | 103.910 | 0.000 | -2.277 | -0.000 | 
| 94.573 | 83.183 | 349.914 | 0.000 | -3.454 | -0.000 | 
| 4.814 | -16.811 | 5.946 | 62.799 | -2.844 | 2.842 | 
| 3.119 | -20.411 | 11.339 | 0.000 | 68.770 | 0.000 | 
| -0.000 | -0.000 | -0.000 | 3.153 | -0.000 | 90.776 | 
| -334.696 | -518.715 | 441.134 | 1.044 | -1.103 | 2.103 | 
| -521.787 | -331.651 | 441.141 | 1.044 | -1.103 | 4.152 | 
| -488.944 | -485.877 | 575.568 | 1.047 | -1.106 | 3.135 | 
| -2286.181 | -2285.820 | -2193.868 | 44.805 | -0.086 | 0.370 | 
| -2286.179 | -2285.818 | -2193.867 | 0.082 | 44.636 | 0.370 | 
| -612.086 | -606.978 | 318.535 | 1.044 | -1.103 | 45.688 | 
| 383.047 | 76.877 | 114.843 | -0.000 | -0.000 | -0.318 | 
| 76.877 | 383.047 | 114.843 | 0.000 | 0.000 | 0.318 | 
| 733.123 | 730.072 | -60.976 | -1.042 | 1.100 | -3.119 | 
| 2286.179 | 2285.818 | 2193.867 | 44.641 | 0.086 | -0.370 | 
| 2286.182 | 2285.820 | 2193.868 | -0.082 | 44.809 | -0.370 | 
| 610.011 | 609.001 | -318.521 | -1.044 | 1.103 | 39.435 | 
| 113.093 | -44.618 | 63.631 | -0.026 | 0.028 | -1.307 | 
| -44.562 | 113.015 | 63.585 | -0.026 | 0.028 | 1.154 | 
| 61.502 | 61.814 | 286.977 | 0.106 | -0.112 | 0.319 | 
| -101.960 | -102.031 | -17.975 | 63.869 | 0.026 | -0.072 | 
| -354.172 | -354.025 | -310.409 | 0.029 | 1.555 | 0.150 | 
| -61.782 | -59.436 | 31.674 | 0.104 | -0.110 | 43.076 | 
| 383.047 | 76.877 | 114.843 | -0.000 | -0.000 | -0.318 | 
| 76.877 | 383.047 | 114.843 | -0.000 | -0.000 | 0.318 | 
| 182.718 | 182.421 | 228.572 | -0.101 | 0.107 | -0.304 | 
| 313.907 | 313.758 | 275.611 | 44.085 | 0.060 | -0.152 | 
| -0.000 | -0.000 | -0.000 | -0.000 | 119.395 | 0.000 | 
| 59.715 | 61.452 | -31.660 | -0.104 | 0.110 | 42.470 | 
| 181.175 | 2.902 | 43.867 | 0.011 | -0.011 | -0.235 | 
| -19.928 | 123.458 | 10.279 | 0.010 | -0.010 | -0.148 | 
| 13.339 | 13.361 | 134.042 | 0.008 | -0.008 | 0.023 | 
| -4.953 | -4.928 | 2.582 | 78.670 | -0.009 | 0.025 | 
| -4.951 | -4.926 | 2.581 | 0.008 | 78.671 | 0.025 | 
| -0.318 | 0.318 | 0.000 | 0.000 | 0.000 | 78.865 | 
| 242.216 | 70.591 | 89.269 | 0.001 | -0.001 | -1.139 | 
| 94.189 | 288.820 | 119.137 | -0.010 | 0.010 | 0.950 | 
| 60.090 | 60.090 | 189.724 | 0.000 | -0.000 | 0.000 | 
| 4.951 | 4.926 | -2.581 | 78.671 | 0.009 | -0.025 | 
| 4.953 | 4.928 | -2.582 | -0.008 | 78.670 | -0.025 | 
| -0.318 | 0.318 | -0.000 | -0.000 | -0.000 | 78.865 | 
| 271.512 | 81.700 | 113.712 | 0.000 | 0.000 | 2.098 | 
| 81.701 | 271.512 | 113.712 | 0.000 | 0.000 | -2.098 | 
| 112.662 | 112.662 | 262.381 | 0.000 | 0.000 | -0.000 | 
| -0.001 | -0.001 | -0.000 | 74.169 | 0.000 | -0.000 | 
| -0.001 | -0.001 | -0.000 | 0.000 | 74.169 | -0.000 | 
| 0.455 | -0.455 | -0.000 | -0.000 | 0.000 | 75.216 | 
| 357.831 | 69.717 | 106.861 | -0.000 | -0.000 | 0.455 | 
| 69.717 | 357.831 | 106.861 | -0.000 | 0.000 | -0.455 | 
| 112.663 | 112.663 | 262.382 | -0.000 | -0.000 | 0.000 | 
| 0.001 | 0.001 | 0.000 | 74.169 | -0.000 | -0.000 | 
| 0.001 | 0.001 | 0.000 | -0.000 | 74.169 | -0.000 | 
| 0.455 | -0.455 | 0.000 | -0.000 | -0.000 | 75.216 | 
| 357.831 | 69.717 | 106.861 | 0.000 | -0.000 | 0.455 | 
| 69.717 | 357.831 | 106.861 | 0.000 | -0.000 | -0.455 | 
| 106.861 | 106.861 | 332.029 | 0.000 | 0.000 | 0.000 | 
| 0.000 | 0.000 | 0.000 | 112.520 | 0.000 | -0.000 | 
| 0.000 | -0.000 | 0.000 | 0.000 | 112.520 | -0.000 | 
| 0.455 | -0.455 | 0.000 | 0.000 | -0.000 | 75.216 | 
| 271.514 | 81.701 | 113.712 | 0.000 | 0.000 | 2.098 | 
| 81.701 | 271.514 | 113.712 | -0.000 | 0.000 | -2.098 | 
| 106.860 | 106.860 | 332.029 | -0.000 | -0.000 | 0.000 | 
| -0.000 | -0.000 | -0.000 | 112.520 | 0.000 | 0.000 | 
| -0.000 | -0.000 | -0.000 | -0.000 | 112.520 | -0.000 | 
| 0.455 | -0.455 | -0.000 | -0.000 | -0.000 | 75.216 | 
| 271.503 | 81.703 | 113.713 | -0.000 | 0.000 | 2.098 | 
| 81.703 | 271.503 | 113.713 | 0.000 | 0.000 | -2.098 | 
| 106.861 | 106.861 | 332.031 | 0.000 | 0.000 | -0.000 | 
| -0.000 | -0.000 | 0.000 | 74.169 | 0.000 | 0.000 | 
| -0.000 | -0.000 | 0.000 | 0.000 | 74.169 | -0.000 | 
| 2.049 | -2.049 | -0.000 | 0.000 | -0.000 | 53.012 | 
| 357.829 | 69.717 | 106.860 | 0.000 | -0.000 | 0.455 | 
| 61.028 | 231.617 | 87.167 | -0.000 | -0.000 | -2.055 | 
| 106.860 | 106.860 | 332.028 | -0.000 | 0.000 | 0.000 | 
| 0.000 | 0.000 | -0.000 | 74.169 | 0.000 | -0.000 | 
| 0.000 | 0.000 | -0.000 | -0.000 | 74.169 | 0.000 | 
| 0.455 | -0.455 | -0.000 | 0.000 | 0.000 | 75.216 | 
| -183.341 | 1289.993 | 155.716 | -0.000 | 793.838 | -0.000 | 
| -91.326 | 765.545 | -447.236 | 0.000 | 957.824 | -0.000 | 
| -768.441 | 567.412 | -424.264 | 0.000 | 707.040 | -0.000 | 
| 375.940 | 1036.547 | -111.969 | 21.842 | -362.902 | 18.220 | 
| -478.570 | 1182.101 | 32.031 | 0.000 | 908.660 | -0.000 | 
| -431.051 | 1180.530 | 40.931 | 23.564 | 837.008 | 72.628 | 
| 316.953 | 105.841 | 107.752 | -0.000 | -48.529 | 0.000 | 
| 527.012 | -323.353 | 846.141 | 0.000 | -374.657 | 0.000 | 
| 547.178 | -1097.564 | 74.172 | 0.000 | -841.476 | 0.000 | 
| -375.940 | -1036.547 | 111.969 | 21.842 | 362.902 | 18.220 | 
| 381.214 | -1172.666 | -49.647 | -0.000 | -760.823 | 0.000 | 
| 431.051 | -1180.530 | -40.931 | 23.564 | -837.008 | 72.628 | 
| 316.953 | 105.841 | 107.752 | -0.000 | -48.529 | -0.000 | 
| 68.438 | 244.362 | 74.304 | 0.000 | 98.592 | -0.000 | 
| -15.724 | 52.819 | -31.914 | 0.000 | 88.821 | -0.000 | 
| -43.857 | 120.112 | 4.164 | 60.048 | 85.160 | 23.720 | 
| -92.543 | 126.103 | -3.865 | -0.000 | 158.452 | 0.000 | 
| 45.070 | 118.774 | 21.719 | -23.233 | -16.302 | -26.844 | 
| 87.680 | -81.790 | 8.900 | -0.000 | -49.329 | 0.000 | 
| 104.287 | 14.174 | 96.532 | 0.000 | -35.565 | 0.000 | 
| -32.195 | -129.149 | -10.739 | 0.000 | -48.358 | 0.000 | 
| 43.857 | -120.112 | -4.164 | 60.048 | -85.160 | 23.720 | 
| -4.569 | -115.738 | -12.782 | -0.000 | -11.908 | 0.000 | 
| 25.045 | -66.501 | 22.350 | -16.838 | -20.934 | 16.388 | 
| 139.943 | 29.739 | 10.161 | 0.000 | -11.205 | -0.000 | 
| 22.834 | 37.963 | -1.617 | 0.000 | 10.880 | -0.000 | 
| 1.577 | 12.908 | -11.778 | 0.000 | 8.482 | -0.000 | 
| -5.708 | 7.107 | -1.420 | 16.025 | 5.976 | 0.632 | 
| -47.151 | 18.273 | 2.093 | 0.000 | 61.812 | -0.000 | 
| -1.821 | 7.854 | -3.248 | 6.704 | 8.721 | 54.384 | 
| 138.784 | 11.940 | 6.192 | 0.000 | -18.192 | 0.000 | 
| 24.131 | 19.113 | -2.547 | -0.000 | 10.147 | 0.000 | 
| 4.320 | -12.956 | 2.809 | 0.000 | 5.660 | 0.000 | 
| 5.708 | -7.107 | 1.420 | 16.025 | -5.976 | 0.632 | 
| -3.359 | 15.125 | 11.321 | -0.000 | 13.319 | 0.000 | 
| 1.821 | -7.854 | 3.248 | 6.704 | -8.721 | 54.384 | 
| 386.983 | 107.653 | 121.372 | -1.305 | 6.062 | 0.721 | 
| -413.801 | -124.307 | -116.913 | -734.310 | 759.317 | -20.674 | 
| -1864.737 | -2045.825 | -1021.097 | -727.664 | 1772.788 | -177.628 | 
| -172.053 | 94.126 | 18.050 | -472.937 | 604.706 | 182.540 | 
| 4.725 | -2.443 | -0.539 | -17.883 | 127.841 | -2.262 | 
| -1099.457 | -1126.386 | -689.078 | -682.506 | 759.906 | -228.784 | 
| 1773.939 | 1538.032 | 869.251 | 705.430 | -902.536 | 831.463 | 
| 583.801 | 637.416 | 307.179 | 673.078 | -749.838 | 42.703 | 
| 598.589 | 477.433 | 464.852 | 706.915 | -752.624 | 18.982 | 
| 1639.165 | 1528.727 | 863.847 | 746.427 | -927.787 | 845.469 | 
| 4.725 | -2.443 | -0.539 | -17.883 | 127.841 | -2.262 | 
| 1.283 | 24.053 | -17.723 | 3.191 | -41.460 | 117.026 | 
| 226.457 | 47.346 | 78.661 | -68.137 | 81.330 | -3.343 | 
| -218.308 | -23.626 | -129.803 | -74.990 | 118.608 | -68.589 | 
| 106.777 | 148.472 | 273.892 | -54.823 | 63.324 | 8.347 | 
| -46.344 | -38.275 | -16.860 | 24.993 | 65.968 | -6.170 | 
| -46.817 | -37.975 | -19.964 | -79.605 | 159.736 | -4.087 | 
| 1.283 | 24.053 | -17.723 | 3.191 | -41.460 | 117.026 | 
| 329.378 | 124.782 | 122.036 | 73.057 | -70.257 | 3.077 | 
| 109.053 | 357.716 | 136.418 | -48.410 | 3.723 | 24.216 | 
| 141.130 | 129.577 | 273.225 | 57.796 | -60.028 | -28.425 | 
| 52.811 | 36.694 | 24.895 | 164.792 | -84.961 | -0.509 | 
| 4.725 | -2.443 | -0.539 | -17.883 | 127.841 | -2.262 | 
| 19.205 | 6.416 | -12.836 | 59.031 | -85.260 | 57.523 | 
| 301.753 | 120.259 | 125.001 | -4.762 | 5.404 | 2.785 | 
| 31.017 | 180.362 | 50.403 | -28.097 | 19.335 | 5.561 | 
| 95.094 | 92.500 | 234.436 | -4.980 | 10.308 | -11.395 | 
| -9.039 | -9.237 | -4.737 | 68.446 | -8.704 | -6.438 | 
| -2.338 | 0.828 | 0.585 | -18.222 | 96.039 | 1.922 | 
| -13.996 | -3.185 | -20.738 | -3.909 | -17.035 | 65.234 | 
| 310.651 | 117.641 | 124.464 | 6.101 | -6.208 | -0.806 | 
| 44.564 | 187.814 | 56.926 | -15.545 | 2.817 | 10.055 | 
| 125.566 | 137.910 | 278.923 | 7.845 | -5.151 | -12.531 | 
| 6.896 | 2.123 | 5.025 | 97.443 | -16.877 | -2.829 | 
| 13.895 | 15.250 | 9.135 | -7.240 | 68.687 | 1.452 | 
| 4.686 | 14.426 | -11.532 | 8.102 | -33.054 | 77.317 | 
| 428.054 | 314.688 | 354.506 | -0.009 | 0.005 | -0.010 | 
| 314.135 | 428.607 | 354.506 | -0.009 | 0.005 | -0.010 | 
| 301.668 | 302.222 | 514.682 | -0.009 | 0.005 | -0.010 | 
| -4724.757 | -4730.764 | -5713.812 | 154.875 | -0.052 | 0.134 | 
| 242.462 | 243.016 | 294.631 | -0.009 | 39.456 | -0.010 | 
| -375.280 | -374.494 | -3688.655 | -0.012 | 0.007 | 36.040 | 
| -56.866 | -171.345 | -234.757 | 0.009 | -0.005 | 0.010 | 
| 419.933 | 491.313 | 3734.517 | 0.012 | -0.007 | 0.012 | 
| -183.804 | -184.358 | -75.207 | 0.009 | -0.005 | 0.010 | 
| 8262.108 | 8261.759 | 500.038 | 361.596 | -0.018 | -0.017 | 
| -242.462 | -243.016 | -294.631 | 0.009 | 39.446 | 0.010 | 
| 375.280 | 374.494 | 3688.655 | 0.012 | -0.008 | 36.065 | 
| 78.373 | 6.916 | -322.744 | -0.001 | 0.001 | -0.001 | 
| 6.777 | 78.364 | -323.021 | -0.001 | 0.001 | -0.001 | 
| 83.194 | 83.250 | 249.047 | -0.001 | 0.001 | -0.001 | 
| -894.911 | -895.071 | -59.985 | 26.479 | -0.001 | 0.006 | 
| -487.779 | -488.322 | -581.501 | 0.008 | 143.557 | 0.012 | 
| -37.514 | -37.436 | -368.760 | -0.001 | 0.001 | 36.059 | 
| 161.361 | 47.361 | 30.401 | 0.001 | -0.001 | 0.001 | 
| 47.416 | 161.305 | 30.401 | 0.001 | -0.001 | 0.001 | 
| 531.612 | 532.233 | 545.706 | -0.010 | 0.005 | -0.014 | 
| 894.902 | 895.062 | 59.986 | 26.489 | 0.001 | -0.006 | 
| 487.782 | 488.325 | 581.504 | -0.008 | 143.564 | -0.012 | 
| 37.514 | 37.436 | 368.760 | 0.001 | -0.001 | 36.061 | 
| 41.540 | -24.993 | -19.312 | -0.000 | 0.000 | -0.000 | 
| -33.613 | -45.145 | 32.198 | -0.000 | 0.000 | -0.000 | 
| 59.661 | 59.661 | 254.653 | -0.000 | 0.000 | -0.000 | 
| 2.429 | 2.434 | 2.951 | 39.416 | 0.000 | -0.000 | 
| 2.429 | 2.434 | 2.951 | -0.000 | 39.416 | -0.000 | 
| 2.449 | 2.455 | 2.976 | -0.000 | 0.000 | 56.790 | 
| 129.073 | 51.426 | 84.321 | 0.000 | -0.000 | 0.000 | 
| 69.151 | 182.220 | 56.803 | 0.000 | -0.000 | 0.000 | 
| 56.409 | 56.403 | 217.034 | 0.000 | -0.000 | 0.000 | 
| -2.429 | -2.434 | -2.951 | 39.416 | -0.000 | 0.000 | 
| -2.429 | -2.434 | -2.951 | 0.000 | 39.416 | 0.000 | 
| -2.449 | -2.455 | -2.976 | 0.000 | -0.000 | 56.791 | 
| -1789.816 | 394.991 | -2.046 | -220.382 | 384.502 | 598.181 | 
| -1435.738 | 2606.719 | 1431.716 | -656.563 | 575.591 | 414.390 | 
| -2179.466 | 421.325 | 172.659 | -224.232 | 392.440 | 606.869 | 
| -2350.781 | 1275.762 | 942.601 | -353.921 | 866.871 | 1265.365 | 
| -891.265 | 8262.728 | 6729.980 | -14621.807 | 675.793 | 1146.010 | 
| -1567.051 | 2634.500 | 1292.119 | -659.487 | 573.666 | 446.905 | 
| 2486.797 | 145.074 | -510.896 | -591.788 | -265.213 | -422.797 | 
| 2355.090 | -1276.712 | -911.410 | 372.488 | -865.422 | -1262.505 | 
| 618.606 | -7984.427 | -5877.960 | 13664.067 | -1825.153 | -1162.595 | 
| 2178.483 | -411.428 | -23.949 | 282.041 | -392.707 | -608.645 | 
| -2.276 | -0.718 | -0.453 | -0.382 | 110.741 | 1.346 | 
| 3717.565 | -3656.737 | -905.782 | 3542.468 | -2861.158 | -1199.542 | 
| 170.055 | 27.341 | -14.729 | -22.051 | 30.273 | 50.226 | 
| -136.393 | -7.592 | 33.406 | 4.162 | 66.088 | 97.046 | 
| -223.669 | 50.612 | 161.367 | -25.729 | 38.537 | 59.209 | 
| -209.984 | -10.401 | 57.010 | 129.455 | 26.272 | 42.002 | 
| -205.010 | -8.837 | 55.779 | 58.211 | 62.228 | 41.872 | 
| -3.367 | -0.613 | -0.352 | -0.732 | 1.306 | 113.848 | 
| 645.692 | 67.841 | -1.628 | -60.298 | -33.292 | -50.961 | 
| 28.762 | -9.736 | -92.923 | 0.938 | -69.242 | -100.345 | 
| 23.765 | -17.384 | -29.849 | -10.531 | -67.252 | -97.417 | 
| 196.914 | 6.150 | -55.984 | 15.839 | -25.028 | -40.305 | 
| 233.701 | -334.323 | -67.383 | 99.845 | 23.297 | -40.778 | 
| 214.377 | -40.336 | -2.518 | 21.569 | -39.151 | -14.553 | 
| 394.166 | 44.362 | 28.139 | -13.745 | -1.093 | -5.864 | 
| -11.337 | 94.468 | 27.379 | 4.602 | 5.679 | 8.518 | 
| 9.860 | 75.331 | 69.019 | -15.538 | 6.942 | 7.845 | 
| -14.003 | 22.285 | -5.320 | 2.739 | 6.521 | 4.696 | 
| -24.167 | 3.668 | 0.300 | -1.832 | 48.947 | 6.396 | 
| -31.513 | 37.146 | 8.466 | -7.246 | 5.895 | 47.472 | 
| 447.091 | 8.331 | 23.422 | 7.507 | -15.535 | -16.764 | 
| 59.286 | -18.629 | -45.908 | 4.744 | -11.977 | -1.148 | 
| 48.118 | 51.677 | 48.401 | -8.702 | -5.551 | -7.483 | 
| 28.389 | -18.002 | -18.063 | 21.130 | -3.694 | -2.671 | 
| 34.844 | -28.236 | -6.593 | 27.366 | -9.799 | -8.877 | 
| 11.624 | -0.128 | -4.606 | -5.206 | -0.999 | 49.913 | 
| -39373896.806 | -44353149.690 | -45730128.350 | 961812.620 | 3845896.353 | -64882.687 | 
| -39374488.656 | -44353165.611 | -45731307.691 | 961715.119 | 3845977.323 | -64659.033 | 
| -39374852.799 | -44353224.825 | -45732067.660 | 961631.488 | 3846026.633 | -64491.498 | 
| -39374179.421 | -44353196.511 | -45730614.610 | 961797.934 | 3845929.085 | -64799.602 | 
| -39374922.925 | -44353264.926 | -45732212.618 | 961635.027 | 3846056.512 | -64477.652 | 
| -39375167.502 | -44353287.200 | -45732726.470 | 961590.868 | 3846074.214 | -64349.111 | 
| 39374907.871 | 44353292.421 | 45732066.080 | -961655.910 | -3846028.154 | 64517.756 | 
| 39375256.101 | 44353358.909 | 45732886.797 | -961586.360 | -3846084.514 | 64341.329 | 
| 39374754.374 | 44353285.977 | 45731840.725 | -961691.901 | -3846008.793 | 64571.145 | 
| 39374957.427 | 44353276.322 | 45732287.221 | -961610.265 | -3846042.185 | 64462.447 | 
| 39374147.476 | 44353201.532 | 45730546.248 | -961785.657 | -3845904.859 | 64813.341 | 
| 39374610.887 | 44353240.129 | 45731543.517 | -961703.022 | -3845991.441 | 64636.632 | 
| -3937417.767 | -4435293.448 | -4573172.151 | 96161.552 | 384598.423 | -6448.104 | 
| -3937316.983 | -4435248.009 | -4572871.586 | 96189.214 | 384583.485 | -6508.178 | 
| -3937686.461 | -4435320.070 | -4573606.989 | 96123.923 | 384647.450 | -6347.244 | 
| -3937440.028 | -4435316.726 | -4573104.490 | 96193.644 | 384596.400 | -6469.595 | 
| -3937965.405 | -4435410.166 | -4574134.100 | 96114.137 | 384730.134 | -6244.231 | 
| -3937739.308 | -4435359.344 | -4573707.480 | 96129.644 | 384651.989 | -6321.543 | 
| 3937699.611 | 4435375.536 | 4573543.931 | -96147.601 | -384633.252 | 6388.647 | 
| 3937933.313 | 4435461.777 | 4574050.947 | -96120.864 | -384693.857 | 6269.258 | 
| 3937511.402 | 4435362.418 | 4573263.439 | -96176.217 | -384601.963 | 6453.221 | 
| 3937663.300 | 4435354.091 | 4573578.654 | -96119.364 | -384634.911 | 6372.839 | 
| 3937734.655 | 4435363.104 | 4573708.895 | -96131.807 | -384631.132 | 6339.902 | 
| 3937477.783 | 4435326.247 | 4573199.571 | -96168.859 | -384601.924 | 6471.218 | 
| -393737.077 | -443511.558 | -457393.846 | 9607.501 | 38469.321 | -618.452 | 
| -393676.179 | -443465.228 | -457198.116 | 9622.069 | 38455.566 | -660.662 | 
| -393733.736 | -443496.904 | -457281.580 | 9605.862 | 38463.376 | -637.711 | 
| -393761.185 | -443528.956 | -457346.206 | 9633.238 | 38462.503 | -637.606 | 
| -393734.812 | -443528.669 | -457291.823 | 9618.469 | 38478.548 | -651.550 | 
| -393739.930 | -443530.554 | -457288.154 | 9617.513 | 38459.050 | -632.421 | 
| 393870.179 | 443575.226 | 457457.476 | -9614.981 | -38476.644 | 624.612 | 
| 393793.386 | 443599.701 | 457377.233 | -9617.649 | -38463.737 | 639.133 | 
| 393885.210 | 443597.852 | 457579.962 | -9616.887 | -38486.860 | 602.854 | 
| 393792.671 | 443545.279 | 457410.349 | -9592.502 | -38469.949 | 626.861 | 
| 393796.016 | 443543.920 | 457411.414 | -9611.998 | -38450.608 | 624.210 | 
| 393747.529 | 443533.656 | 457331.184 | -9617.490 | -38460.146 | 661.855 | 
| 430.835 | 160.356 | 160.356 | -0.000 | 0.000 | 0.000 | 
| 160.356 | 430.835 | 160.356 | 0.000 | 0.000 | 0.000 | 
| 160.356 | 160.356 | 430.835 | 0.000 | 0.000 | 0.000 | 
| 0.000 | 0.000 | 0.000 | 138.453 | -0.000 | 0.000 | 
| 0.000 | 0.000 | 0.000 | 0.000 | 138.453 | 0.000 | 
| 0.000 | 0.000 | 0.000 | -0.000 | -0.000 | 138.453 | 
| 430.835 | 160.356 | 160.356 | -0.000 | -0.000 | -0.000 | 
| 160.356 | 430.835 | 160.356 | -0.000 | -0.000 | -0.000 | 
| 160.356 | 160.356 | 430.835 | -0.000 | -0.000 | -0.000 | 
| -0.000 | -0.000 | -0.000 | 138.453 | -0.000 | -0.000 | 
| -0.000 | -0.000 | -0.000 | -0.000 | 138.453 | -0.000 | 
| -0.000 | -0.000 | -0.000 | 0.000 | -0.000 | 138.453 | 
| 430.836 | 160.356 | 160.356 | -0.000 | 0.000 | 0.000 | 
| 160.356 | 430.836 | 160.356 | -0.000 | 0.000 | 0.000 | 
| 160.356 | 160.356 | 430.836 | 0.000 | 0.000 | 0.000 | 
| 895.884 | 895.890 | 895.892 | 23.039 | 0.001 | -0.000 | 
| 894.292 | 894.316 | 894.323 | 0.001 | 13.505 | -0.000 | 
| 713.564 | 713.572 | 713.575 | 0.000 | 0.001 | -99.737 | 
| 430.835 | 160.356 | 160.356 | -0.000 | -0.000 | -0.000 | 
| 160.356 | 430.835 | 160.356 | -0.000 | -0.000 | -0.000 | 
| 160.356 | 160.356 | 430.835 | 0.000 | 0.000 | 0.000 | 
| -894.292 | -894.316 | -894.323 | 13.506 | -0.001 | 0.000 | 
| -894.292 | -894.316 | -894.323 | -0.001 | 13.506 | 0.000 | 
| -0.000 | -0.000 | -0.000 | -0.000 | -0.000 | 138.453 | 
| 168.703 | 86.070 | 86.070 | 0.000 | 0.000 | -0.000 | 
| 87.464 | 143.980 | 87.465 | 0.000 | 0.000 | -0.000 | 
| 86.069 | 86.070 | 168.704 | 0.000 | 0.000 | -0.000 | 
| 78.355 | 78.351 | 78.351 | 2.484 | 0.000 | -0.000 | 
| 78.351 | 78.355 | 78.351 | 0.000 | 2.484 | -0.000 | 
| 78.351 | 78.351 | 78.355 | 0.000 | 0.000 | 2.484 | 
| -9.570 | -17.849 | -17.849 | -0.000 | -0.000 | 0.000 | 
| -5.767 | 43.234 | -5.769 | -0.000 | -0.000 | 0.000 | 
| 121.578 | 121.577 | 234.284 | -0.000 | -0.000 | 0.000 | 
| -78.355 | -78.351 | -78.351 | 2.484 | -0.000 | 0.000 | 
| -78.351 | -78.355 | -78.351 | -0.000 | 2.484 | 0.000 | 
| -78.351 | -78.351 | -78.355 | -0.000 | -0.000 | 2.484 | 
| 505.895 | -169.809 | 185.663 | -0.250 | 0.000 | 0.000 | 
| 87.224 | 364.787 | 95.743 | -0.000 | 0.000 | 0.000 | 
| 86.212 | 95.667 | 367.813 | -0.000 | 0.000 | -0.000 | 
| 244.138 | -242.591 | 109.991 | 65.851 | 0.000 | -0.000 | 
| 244.125 | -242.578 | 109.985 | -0.248 | 59.145 | 0.000 | 
| 235.953 | 187.225 | -83.566 | -0.021 | 0.000 | 19.325 | 
| -124.930 | -158.940 | 104.239 | 0.022 | -0.000 | -0.000 | 
| 87.224 | 364.787 | 95.743 | 0.000 | -0.000 | -0.000 | 
| 86.212 | 95.667 | 367.813 | 0.000 | -0.000 | -0.000 | 
| -244.145 | 242.598 | -109.994 | 66.346 | -0.000 | -0.000 | 
| -244.125 | 242.578 | -109.985 | 0.248 | 59.145 | 0.000 | 
| 0.000 | -0.000 | 0.000 | 0.000 | -0.000 | 89.141 | 
| 274.054 | 44.550 | 85.547 | -0.029 | 0.000 | -0.000 | 
| 53.704 | 138.102 | 54.057 | -0.003 | 0.000 | 0.000 | 
| 99.395 | 75.099 | 241.837 | -0.027 | 0.000 | 0.000 | 
| 0.000 | 0.000 | 0.000 | 98.461 | 0.000 | -0.000 | 
| 24.610 | -24.454 | 11.088 | -0.025 | 58.911 | -0.000 | 
| 24.612 | -24.456 | 11.088 | -0.025 | 0.000 | 59.369 | 
| 348.908 | 88.242 | 87.306 | 0.000 | -0.000 | 0.000 | 
| 40.647 | 240.346 | 89.150 | 0.031 | -0.000 | 0.000 | 
| 86.212 | 95.667 | 367.812 | 0.000 | -0.000 | -0.000 | 
| -0.000 | -0.000 | -0.000 | 98.461 | -0.000 | -0.000 | 
| -24.610 | 24.454 | -11.088 | 0.025 | 58.911 | -0.000 | 
| -24.612 | 24.456 | -11.088 | 0.025 | -0.000 | 59.369 | 
| 226.271 | 66.025 | 71.061 | -0.004 | 0.000 | 0.000 | 
| 50.273 | 191.225 | 69.650 | -0.000 | 0.000 | 0.000 | 
| 74.835 | 99.345 | 227.978 | -0.003 | 0.000 | 0.000 | 
| 0.206 | 4.091 | -1.841 | 45.310 | 0.000 | 0.000 | 
| 2.653 | -2.636 | 1.195 | -0.003 | 56.639 | -0.000 | 
| 0.899 | 2.496 | -1.121 | 0.001 | 0.000 | 45.093 | 
| 164.637 | 30.347 | 38.797 | 0.002 | -0.000 | 0.000 | 
| 44.069 | 187.521 | 64.901 | -0.000 | -0.000 | 0.000 | 
| 70.091 | 104.408 | 232.029 | 0.003 | -0.000 | -0.000 | 
| -0.196 | -4.113 | 1.852 | 45.284 | -0.000 | 0.000 | 
| -2.653 | 2.636 | -1.195 | 0.003 | 56.639 | -0.000 | 
| -0.899 | -2.496 | 1.121 | -0.001 | -0.000 | 45.093 | 
| -10305117.866 | -41296337.680 | 48559595.123 | 7059893.269 | 28364550.234 | -17433781.670 | 
| -10305252.261 | -41296236.570 | 48559639.211 | 7059885.656 | 28364586.783 | -17433752.062 | 
| -10305268.769 | -41296414.806 | 48559690.284 | 7059885.674 | 28364569.854 | -17433749.338 | 
| -10305365.343 | -41296465.129 | 48559561.786 | 7059886.266 | 28364652.212 | -17433734.683 | 
| -10305300.592 | -41296456.881 | 48559715.590 | 7059944.349 | 28364682.807 | -17433790.752 | 
| -10305354.373 | -41296455.781 | 48559599.022 | 7059872.921 | 28364607.210 | -17433677.442 | 
| 10305546.709 | 41296573.316 | -48559630.720 | -7059889.130 | -28364701.771 | 17433708.992 | 
| 10305414.209 | 41296672.073 | -48559580.289 | -7059895.225 | -28364662.380 | 17433736.304 | 
| 10305396.488 | 41296494.210 | -48559531.052 | -7059895.683 | -28364679.922 | 17433739.879 | 
| 10305298.702 | 41296445.492 | -48559663.798 | -7059896.106 | -28364599.501 | 17433756.081 | 
| 10305363.965 | 41296453.033 | -48559508.339 | -7059837.695 | -28364568.053 | 17433699.419 | 
| 10305310.759 | 41296453.895 | -48559623.709 | -7059908.756 | -28364643.308 | 17433812.229 | 
| -1030325.336 | -4129521.675 | 4855925.980 | 705987.116 | 2836378.586 | -1743404.166 | 
| -1030447.660 | -4129427.204 | 4855993.871 | 705985.463 | 2836424.807 | -1743384.867 | 
| -1030456.930 | -4129611.457 | 4856063.349 | 705989.801 | 2836415.921 | -1743389.215 | 
| -1030561.963 | -4129657.618 | 4855918.667 | 705986.456 | 2836492.019 | -1743367.684 | 
| -1030490.120 | -4129652.145 | 4856084.365 | 706047.284 | 2836527.632 | -1743429.216 | 
| -1030560.242 | -4129644.286 | 4855940.170 | 705968.955 | 2836441.376 | -1743302.978 | 
| 1030729.508 | 4129770.937 | -4856013.347 | -705995.671 | -2836548.984 | 1743352.878 | 
| 1030610.834 | 4129865.266 | -4855938.965 | -705995.730 | -2836503.080 | 1743369.581 | 
| 1030601.025 | 4129683.089 | -4855874.033 | -705992.103 | -2836514.741 | 1743366.250 | 
| 1030496.593 | 4129634.700 | -4856013.048 | -705994.588 | -2836435.482 | 1743386.794 | 
| 1030554.237 | 4129648.058 | -4855877.323 | -705941.366 | -2836411.278 | 1743337.595 | 
| 1030509.704 | 4129645.363 | -4855976.882 | -706007.947 | -2836481.706 | 1743443.337 | 
| -102862.902 | -412837.026 | 485538.223 | 70590.303 | 283554.813 | -174356.247 | 
| -102964.296 | -412748.565 | 485635.218 | 70596.487 | 283612.181 | -174350.274 | 
| -102965.144 | -412936.593 | 485719.503 | 70604.783 | 283608.449 | -174360.699 | 
| -103078.478 | -412976.972 | 485558.296 | 70597.880 | 283676.104 | -174332.949 | 
| -102896.576 | -413001.646 | 485887.895 | 70698.544 | 283781.568 | -174476.888 | 
| -103070.602 | -412966.319 | 485589.048 | 70582.447 | 283630.027 | -174272.857 | 
| 103202.563 | 413090.148 | -485698.569 | -70621.561 | -283737.527 | 174347.217 | 
| 103097.050 | 413192.733 | -485623.474 | -70617.809 | -283703.793 | 174356.567 | 
| 103080.673 | 413011.831 | -485568.558 | -70615.498 | -283720.857 | 174357.278 | 
| 102978.844 | 412971.147 | -485716.727 | -70622.582 | -283643.992 | 174381.055 | 
| 103081.098 | 412962.574 | -485498.739 | -70546.711 | -283591.850 | 174294.020 | 
| 103022.219 | 412966.131 | -485621.311 | -70619.903 | -283669.799 | 174411.357 | 
| 480.070 | 159.565 | 228.047 | 0.000 | 0.000 | -0.000 | 
| 159.565 | 480.070 | 228.047 | 0.000 | 0.000 | 0.000 | 
| 229.208 | 229.208 | 370.353 | -0.000 | -0.000 | 0.000 | 
| -6.199 | -6.200 | -4.515 | 114.198 | -0.000 | -0.000 | 
| 0.000 | 0.000 | 0.000 | -0.000 | 231.717 | 0.000 | 
| 0.000 | -0.000 | 0.000 | -0.000 | -0.000 | 160.253 | 
| 480.070 | 159.565 | 228.047 | -0.000 | 0.000 | -0.000 | 
| 159.565 | 480.070 | 228.047 | -0.000 | -0.000 | 0.000 | 
| 188.470 | 188.472 | 340.683 | 0.000 | 0.001 | 0.001 | 
| -0.000 | 0.000 | -0.000 | 231.717 | 0.000 | -0.000 | 
| -0.000 | 0.000 | -0.000 | -0.000 | 231.717 | -0.000 | 
| -0.000 | 0.000 | -0.000 | -0.000 | 0.000 | 160.253 | 
| 409.950 | 186.923 | 212.474 | -0.000 | -0.000 | -0.000 | 
| 159.565 | 480.071 | 228.047 | 0.000 | -0.000 | 0.000 | 
| 187.077 | 187.077 | 339.668 | -0.000 | -0.000 | -0.000 | 
| -0.050 | -0.051 | -0.037 | 158.805 | -0.000 | -0.000 | 
| 0.000 | 0.000 | 0.000 | -0.000 | 231.717 | 0.000 | 
| 0.000 | 0.000 | 0.000 | 0.000 | -0.000 | 160.253 | 
| 480.070 | 159.565 | 228.047 | 0.000 | 0.000 | -0.000 | 
| 159.565 | 480.070 | 228.047 | -0.000 | -0.000 | -0.000 | 
| 187.330 | 187.330 | 339.852 | 0.000 | 0.000 | 0.000 | 
| 0.050 | 0.051 | 0.037 | 158.805 | 0.000 | 0.000 | 
| -0.000 | -0.000 | -0.000 | 0.000 | 231.717 | -0.000 | 
| -0.000 | -0.000 | -0.000 | -0.000 | -0.000 | 160.253 | 
| 410.032 | 186.951 | 212.514 | -0.000 | -0.000 | -0.000 | 
| 148.984 | 371.014 | 184.479 | -0.000 | -0.000 | -0.000 | 
| 229.209 | 229.209 | 370.354 | 0.000 | 0.000 | 0.000 | 
| -0.005 | -0.005 | -0.004 | 158.805 | -0.000 | -0.000 | 
| 0.000 | 0.000 | 0.001 | -0.000 | 231.717 | 0.000 | 
| -0.004 | -0.004 | -0.003 | -0.000 | -0.000 | 122.086 | 
| 410.064 | 186.949 | 212.525 | 0.000 | 0.000 | 0.000 | 
| 149.022 | 371.004 | 184.489 | 0.000 | 0.000 | 0.000 | 
| 187.216 | 187.216 | 339.768 | 0.000 | 0.000 | 0.000 | 
| 0.005 | 0.005 | 0.004 | 158.805 | 0.000 | 0.000 | 
| -0.000 | -0.000 | -0.001 | 0.000 | 231.717 | -0.000 | 
| 0.004 | 0.004 | 0.003 | 0.000 | 0.000 | 122.086 | 
| -20.450 | -0.188 | -358.235 | -17.499 | -0.001 | 0.001 | 
| -0.189 | -20.450 | -358.236 | 17.500 | -0.001 | 0.001 | 
| -230.907 | -230.907 | -249.596 | 0.000 | -0.000 | 0.000 | 
| -16.319 | 16.319 | -0.000 | 229.067 | 0.000 | -0.000 | 
| 0.000 | -0.000 | 0.000 | 0.000 | 229.067 | -16.319 | 
| 0.000 | 0.000 | -0.000 | 0.000 | -16.319 | 165.707 | 
| 401.995 | 326.395 | 604.245 | -17.178 | 0.000 | -0.001 | 
| 161.754 | 493.167 | 221.899 | 16.319 | -0.000 | 0.000 | 
| 439.016 | 439.016 | 876.604 | -0.000 | 0.001 | -0.001 | 
| 156.701 | 191.455 | 495.747 | 38.358 | 0.001 | -0.001 | 
| 0.000 | 0.000 | -0.000 | 0.000 | 229.067 | -16.319 | 
| -0.000 | -0.000 | 0.000 | -0.000 | -16.319 | 165.707 | 
| 493.168 | 161.754 | 221.899 | -16.319 | 0.000 | -0.000 | 
| 161.754 | 493.168 | 221.899 | 16.319 | -0.000 | -0.000 | 
| 204.391 | 204.391 | 333.989 | 0.000 | -0.000 | 0.000 | 
| -23.763 | 9.729 | -19.984 | 152.191 | -0.000 | 0.000 | 
| -7.019 | -7.019 | -19.988 | 0.000 | 152.174 | -16.746 | 
| 0.000 | 0.000 | 0.000 | -0.000 | -16.319 | 165.707 | 
| 493.167 | 161.754 | 221.898 | -16.319 | 0.000 | 0.000 | 
| 177.882 | 399.402 | 230.658 | 16.688 | 0.000 | -0.000 | 
| 223.591 | 223.591 | 447.403 | -0.000 | -0.000 | 0.000 | 
| 9.650 | 32.636 | 35.186 | 142.446 | 0.000 | 0.000 | 
| 7.019 | 7.019 | 19.988 | -0.000 | 152.174 | -16.746 | 
| -0.000 | -0.000 | -0.000 | -0.000 | -16.319 | 165.707 | 
| 383.400 | 172.088 | 210.703 | -16.723 | 0.000 | 0.000 | 
| 172.088 | 383.395 | 210.703 | 16.723 | -0.000 | 0.000 | 
| 125.967 | 125.967 | 306.499 | 0.000 | -0.000 | 0.000 | 
| -14.712 | 11.433 | -2.931 | 150.145 | -0.000 | 0.000 | 
| 0.000 | 0.000 | 0.001 | -0.000 | 229.067 | -16.319 | 
| -0.497 | -0.496 | -1.414 | -0.000 | -16.621 | 120.748 | 
| 493.166 | 161.754 | 221.897 | -16.319 | 0.000 | 0.000 | 
| 107.775 | 317.530 | 148.943 | 10.717 | 0.000 | -0.000 | 
| 134.036 | 134.036 | 318.290 | -0.000 | 0.000 | -0.000 | 
| -11.432 | 14.712 | 2.931 | 150.152 | 0.000 | -0.000 | 
| -0.000 | -0.000 | -0.001 | 0.000 | 229.067 | -16.319 | 
| 0.497 | 0.496 | 1.414 | 0.000 | -16.621 | 120.748 | 
| 552.790 | 684.749 | 165.593 | 0.002 | 0.007 | -0.017 | 
| 684.753 | 552.785 | 165.593 | 0.002 | 0.007 | -0.017 | 
| -757.280 | -757.295 | -505.152 | 0.006 | 0.025 | -0.069 | 
| -0.000 | -0.000 | 0.000 | 166.798 | -0.000 | 0.000 | 
| -716.981 | -716.983 | -666.714 | 0.001 | 110.915 | -0.010 | 
| -622.864 | -622.858 | -612.391 | -0.002 | -0.008 | 79.867 | 
| 468.949 | 63.839 | 152.771 | 0.000 | 0.000 | -0.000 | 
| 63.838 | 468.949 | 152.771 | 0.000 | 0.000 | -0.000 | 
| 758.326 | 758.342 | 664.230 | -0.006 | -0.025 | 0.069 | 
| 716.981 | 716.983 | 666.714 | 110.913 | -0.003 | 0.010 | 
| 716.982 | 716.983 | 666.715 | -0.001 | 110.912 | 0.010 | 
| -146.005 | -146.002 | -405.920 | -0.001 | -0.004 | 57.805 | 
| 267.016 | 96.968 | 81.261 | 0.000 | 0.000 | -0.001 | 
| 96.968 | 267.016 | 81.261 | 0.000 | 0.000 | -0.001 | 
| 153.100 | 153.100 | 358.904 | -0.000 | 0.000 | 0.000 | 
| -36.762 | -36.762 | -42.814 | 117.500 | 0.000 | -0.001 | 
| 0.000 | 0.000 | 0.000 | -0.000 | 166.798 | 0.000 | 
| 47.451 | 47.451 | -1.230 | 0.000 | 0.001 | 53.562 | 
| 239.184 | 94.231 | 165.991 | -0.000 | -0.000 | 0.001 | 
| 94.231 | 239.184 | 165.991 | -0.000 | -0.000 | 0.001 | 
| 69.534 | 69.534 | 132.074 | 0.000 | 0.000 | -0.000 | 
| -0.000 | -0.000 | -0.000 | 166.798 | 0.000 | -0.000 | 
| -0.000 | -0.000 | -0.000 | 0.000 | 166.798 | -0.000 | 
| -47.450 | -47.450 | 1.230 | -0.000 | -0.001 | 53.565 | 
| 178.147 | -31.140 | -9.583 | 0.000 | 0.000 | -0.000 | 
| -31.140 | 178.147 | -9.583 | 0.000 | 0.000 | -0.000 | 
| 61.934 | 61.934 | 122.248 | 0.000 | 0.000 | -0.000 | 
| 1.214 | 1.214 | 1.871 | 113.500 | 0.000 | -0.000 | 
| 1.214 | 1.214 | 1.871 | 0.000 | 113.500 | -0.000 | 
| -0.899 | -0.899 | 7.633 | 0.000 | 0.000 | 59.160 | 
| 180.279 | -8.772 | -6.099 | 0.000 | 0.000 | -0.000 | 
| -16.702 | 192.496 | 2.541 | -0.000 | -0.000 | 0.000 | 
| 7.835 | 7.835 | 85.942 | -0.000 | -0.000 | 0.001 | 
| -1.214 | -1.214 | -1.871 | 113.500 | -0.000 | 0.000 | 
| -1.214 | -1.214 | -1.871 | -0.000 | 113.500 | 0.000 | 
| 0.899 | 0.899 | -7.633 | -0.000 | -0.000 | 59.160 | 
| 61.773 | -375.248 | 686.121 | 0.000 | -0.000 | -1.720 | 
| -375.248 | 61.773 | 686.121 | -0.000 | -0.000 | -1.720 | 
| 112.693 | 112.693 | 604.270 | -0.000 | -0.000 | -0.000 | 
| 4447434778.017 | 4789237329.142 | 3379108291.182 | -79406940.757 | -35409859.673 | 17081486.053 | 
| 4782314665.588 | 4475620388.855 | 3372034145.611 | -73043784.304 | -86639149.501 | -10562077.523 | 
| 0.057 | 0.057 | -0.075 | -0.000 | -0.000 | -9.987 | 
| 61.082 | -375.942 | 687.037 | -0.000 | 0.000 | 1.720 | 
| -375.942 | 61.082 | 687.037 | 0.000 | 0.000 | 1.720 | 
| 679.448 | 679.448 | -145.864 | 0.000 | -0.000 | 1.690 | 
| -4623151438.900 | -4767298297.782 | -3335865583.650 | -18317607.642 | 64504479.792 | 48681010.110 | 
| -4734824046.280 | -4680030709.962 | -3319162804.377 | 54798833.067 | -53025877.715 | 72024113.850 | 
| -0.057 | -0.057 | 0.075 | -0.000 | 0.000 | -9.441 | 
| 452129174.608 | 452322723.741 | 325550756.788 | -584257.980 | 6427955.409 | 15171916.790 | 
| 463837077.162 | 467680033.927 | 325233963.722 | 1864917.277 | -55664.643 | 9694507.948 | 
| 679.835 | 679.835 | -146.374 | 0.000 | -0.000 | -0.169 | 
| 449942057.503 | 466169862.610 | 338051564.175 | -2866645.593 | -1544453.970 | 3237404.268 | 
| 466938839.330 | 449221465.475 | 337700090.886 | -1418349.742 | -2704456.337 | 4074328.970 | 
| 0.006 | 0.006 | -0.008 | 0.000 | 0.000 | -9.739 | 
| -448440361.359 | -462142009.178 | -323814069.395 | 4695053.097 | 8161154.035 | -16691512.107 | 
| -466494028.363 | -446455360.983 | -331160527.503 | -7632476.652 | -3783991.225 | -11639986.658 | 
| 679.804 | 679.804 | -146.335 | 0.000 | -0.000 | 0.169 | 
| -453199478.803 | -474872856.574 | -332901072.102 | -11226856.059 | -9543309.281 | 4809528.514 | 
| -479582746.708 | -456165979.698 | -331456779.218 | -9850445.656 | -7202729.380 | 484895.557 | 
| -0.006 | -0.006 | 0.008 | 0.000 | 0.000 | -9.684 | 
| 45230291.694 | 46405864.357 | 32770347.737 | 28738.266 | 1047234.826 | 1551955.975 | 
| 45681181.726 | 46307730.093 | 31976101.482 | 13209.649 | 292275.751 | 1015937.501 | 
| 679.624 | 679.624 | -146.086 | -0.000 | 0.000 | -0.017 | 
| 44858331.535 | 45862299.888 | 33851155.997 | -274177.081 | -506645.106 | -423840.629 | 
| 45880737.184 | 44820083.540 | 33817195.781 | -478395.341 | -244651.761 | -381900.596 | 
| 0.001 | 0.000 | -0.000 | -0.000 | -0.000 | -9.714 | 
| -45321116.273 | -46033120.783 | -32189318.202 | 362397.845 | -202097.561 | -996164.521 | 
| -45646225.886 | -46461125.264 | -32622505.051 | 487840.480 | 288111.587 | -1886503.461 | 
| 680.015 | 680.015 | -146.624 | 0.000 | 0.000 | 0.017 | 
| -45491564.465 | -46333776.350 | -34007083.163 | -53005.493 | -826877.023 | 80199.120 | 
| -46569878.096 | -45472511.281 | -34042006.790 | -689907.079 | -149588.232 | -355845.225 | 
| -0.001 | -0.000 | 0.000 | 0.000 | 0.000 | -9.709 | 
| 491.918 | 161.189 | 221.353 | 16.171 | -0.000 | 0.000 | 
| 5666.340 | 5720.075 | 6382.713 | -17.096 | 0.000 | -0.000 | 
| 5743.120 | 5743.121 | 6524.983 | -0.000 | 0.000 | -0.000 | 
| 5517.086 | 5482.888 | 6206.207 | 60.327 | 0.000 | 0.000 | 
| 5986.572 | 5986.572 | 5667.067 | -0.000 | 131.922 | 11.147 | 
| 0.000 | 0.000 | -0.000 | -0.000 | 16.171 | 165.365 | 
| 491.918 | 161.189 | 221.353 | 16.171 | 0.000 | -0.000 | 
| 161.188 | 491.918 | 221.353 | -16.171 | 0.000 | -0.000 | 
| 223.039 | 223.039 | 445.921 | 0.000 | 0.000 | -0.000 | 
| 16.171 | -16.171 | 0.000 | 228.733 | 0.000 | 0.000 | 
| -5986.572 | -5986.572 | -5667.067 | 0.000 | 131.922 | 11.147 | 
| 0.000 | -0.000 | 0.000 | 0.000 | 16.171 | 165.365 | 
| 807.840 | 624.281 | 613.599 | -7.450 | -0.000 | -0.000 | 
| 681.229 | 760.799 | 762.220 | -17.010 | 0.000 | -0.000 | 
| 223.039 | 223.039 | 445.921 | -0.000 | -0.000 | -0.000 | 
| 608.723 | 586.782 | 562.532 | 134.706 | 0.000 | 0.000 | 
| 529.690 | 529.690 | 597.704 | -0.000 | 66.545 | 17.065 | 
| 524.995 | 524.995 | 592.407 | -0.000 | 17.057 | 32.671 | 
| -246.656 | -466.421 | -403.150 | 3.764 | 0.000 | -0.000 | 
| -353.737 | -296.049 | -409.642 | -17.083 | -0.000 | 0.000 | 
| 223.039 | 223.039 | 445.921 | 0.000 | 0.000 | -0.000 | 
| 16.171 | -16.171 | -0.000 | 228.733 | 0.000 | 0.000 | 
| -529.690 | -529.690 | -597.704 | 0.000 | 66.545 | 17.065 | 
| -524.995 | -524.995 | -592.407 | 0.000 | 17.057 | 32.671 | 
| 302.436 | 134.470 | 140.730 | -9.403 | -0.000 | -0.000 | 
| 161.189 | 491.920 | 221.354 | -16.171 | -0.000 | 0.000 | 
| 151.881 | 151.881 | 313.813 | -0.000 | 0.000 | 0.000 | 
| 43.546 | 10.295 | 30.377 | 146.304 | -0.000 | -0.000 | 
| 26.918 | 26.919 | 30.375 | -0.000 | 146.310 | 16.625 | 
| 58.945 | 58.945 | 56.847 | 0.000 | 11.805 | 107.491 | 
| 267.434 | 52.357 | 95.047 | 11.455 | -0.000 | 0.000 | 
| 144.574 | 317.809 | 173.792 | -16.697 | -0.000 | -0.000 | 
| 223.038 | 223.038 | 445.920 | 0.000 | 0.000 | -0.000 | 
| -60.091 | -72.990 | -63.566 | 149.288 | 0.000 | -0.000 | 
| -26.918 | -26.919 | -30.375 | 0.000 | 146.310 | 16.625 | 
| -58.945 | -58.945 | -56.847 | -0.000 | 11.805 | 107.491 | 
| 303.825 | 134.663 | 317.460 | -0.004 | -0.017 | -0.005 | 
| 134.656 | 303.833 | 317.459 | -0.004 | -0.017 | -0.005 | 
| 135.589 | 135.597 | 355.847 | -0.004 | -0.019 | -0.005 | 
| 0.000 | 0.000 | 0.000 | 166.845 | 0.000 | 0.000 | 
| 0.000 | 0.000 | 0.000 | 0.000 | 166.845 | 0.000 | 
| 70.868 | 70.875 | 245.470 | -0.004 | -0.018 | 57.445 | 
| -378.235 | -298.233 | 449.205 | 0.006 | 0.028 | 0.008 | 
| -298.222 | -378.246 | 449.205 | 0.006 | 0.028 | 0.008 | 
| 5.774 | 5.767 | -132.546 | 0.003 | 0.017 | 0.005 | 
| -0.000 | -0.000 | -0.000 | 166.845 | -0.000 | 0.000 | 
| -0.000 | -0.000 | -0.000 | 0.000 | 166.845 | -0.000 | 
| -70.868 | -70.876 | -245.469 | 0.004 | 0.018 | 57.456 | 
| 257.881 | 85.456 | 63.723 | -0.000 | -0.002 | -0.001 | 
| 85.456 | 257.881 | 63.723 | -0.000 | -0.002 | -0.001 | 
| 54.613 | 54.614 | 120.317 | -0.000 | -0.002 | -0.001 | 
| 0.000 | 0.000 | 0.000 | 166.845 | 0.000 | 0.000 | 
| 3.499 | 3.500 | 27.347 | -0.000 | 92.198 | -0.000 | 
| 0.000 | -0.000 | 0.000 | 0.000 | 0.000 | 77.108 | 
| 236.863 | 94.231 | 180.327 | 0.000 | 0.001 | 0.000 | 
| 82.179 | 255.654 | 49.085 | 0.000 | 0.002 | 0.000 | 
| 136.058 | 136.057 | 80.266 | 0.000 | 0.002 | 0.001 | 
| -3.500 | -3.501 | -27.346 | 92.196 | 0.002 | 0.000 | 
| -3.497 | -3.498 | -27.348 | 0.000 | 92.207 | 0.000 | 
| -0.000 | 0.000 | -0.000 | 0.000 | -0.000 | 77.108 | 
| 204.319 | -29.967 | -26.353 | -0.000 | -0.000 | -0.000 | 
| -29.967 | 204.319 | -26.353 | -0.000 | -0.000 | -0.000 | 
| -8.686 | -8.685 | 70.519 | -0.000 | -0.001 | -0.000 | 
| 0.815 | 0.815 | 0.894 | 113.217 | -0.000 | -0.000 | 
| -0.570 | -0.570 | 0.667 | -0.000 | 111.284 | -0.000 | 
| -0.000 | -0.000 | 0.000 | 0.000 | 0.000 | 77.108 | 
| 342.904 | 95.803 | 161.387 | 0.000 | 0.000 | 0.000 | 
| 95.803 | 342.904 | 161.387 | 0.000 | 0.000 | 0.000 | 
| 10.126 | 10.126 | 88.108 | 0.000 | 0.001 | 0.000 | 
| 0.570 | 0.570 | -0.667 | 111.285 | 0.000 | 0.000 | 
| 0.570 | 0.570 | -0.667 | 0.000 | 111.285 | 0.000 | 
| 0.000 | 0.000 | -0.000 | 0.000 | -0.000 | 77.108 | 
| 426.840 | 138.697 | 92.451 | 0.000 | -0.000 | 0.000 | 
| 158.469 | 377.928 | 122.741 | -0.000 | -0.000 | 0.000 | 
| 124.216 | 124.216 | 363.462 | -0.000 | -0.000 | -0.000 | 
| -0.000 | 0.000 | -0.000 | 101.043 | -0.000 | -0.000 | 
| -0.017 | -0.017 | 0.034 | -0.000 | 87.180 | -0.000 | 
| -0.000 | -0.000 | -0.000 | 0.000 | 0.000 | 144.071 | 
| 426.840 | 138.697 | 92.452 | 0.000 | -0.000 | -0.000 | 
| 138.697 | 426.840 | 92.452 | 0.000 | -0.000 | -0.000 | 
| 94.030 | 94.030 | 426.219 | 0.000 | -0.000 | 0.000 | 
| 0.000 | -0.000 | 0.000 | 101.043 | 0.000 | 0.000 | 
| 0.017 | 0.017 | -0.034 | 0.000 | 87.180 | 0.000 | 
| 0.000 | -0.000 | 0.000 | 0.000 | 0.000 | 144.071 | 
| 426.840 | 138.697 | 92.451 | -0.000 | 0.000 | 0.000 | 
| 158.485 | 377.944 | 122.709 | 0.000 | 0.000 | -0.000 | 
| 124.232 | 124.232 | 363.429 | 0.000 | -0.000 | -0.000 | 
| -0.000 | 0.000 | 0.000 | 101.043 | -0.000 | -0.000 | 
| -0.000 | 0.000 | 0.000 | -0.000 | 101.043 | 0.000 | 
| 0.000 | 0.000 | 0.000 | -0.000 | -0.000 | 144.071 | 
| 365.855 | 170.629 | 122.651 | 0.000 | 0.000 | 0.000 | 
| 158.488 | 377.947 | 122.701 | -0.000 | -0.000 | 0.000 | 
| 124.235 | 124.235 | 363.423 | 0.000 | 0.000 | 0.000 | 
| -0.000 | -0.000 | 0.000 | 101.043 | 0.000 | -0.000 | 
| -0.000 | -0.000 | 0.000 | 0.000 | 101.043 | -0.000 | 
| -0.000 | -0.000 | -0.000 | 0.000 | 0.000 | 144.071 | 
| 366.959 | 163.122 | 129.310 | 0.000 | -0.000 | -0.000 | 
| 158.489 | 377.943 | 122.708 | -0.000 | -0.000 | 0.000 | 
| 124.237 | 124.237 | 363.421 | 0.000 | -0.000 | -0.000 | 
| 0.000 | 0.000 | 0.000 | 101.043 | 0.000 | 0.000 | 
| 0.000 | 0.000 | 0.000 | 0.000 | 101.043 | 0.000 | 
| 0.000 | 0.000 | 0.000 | -0.000 | -0.000 | 144.071 | 
| 377.944 | 158.486 | 122.705 | -0.000 | -0.000 | -0.000 | 
| 158.485 | 377.948 | 122.702 | 0.000 | 0.000 | 0.000 | 
| 124.230 | 124.230 | 363.432 | -0.000 | 0.000 | -0.000 | 
| -0.000 | -0.000 | -0.000 | 101.043 | -0.000 | 0.000 | 
| -0.000 | -0.000 | -0.000 | -0.000 | 101.043 | -0.000 | 
| -0.000 | -0.000 | -0.000 | 0.000 | -0.000 | 144.071 | 
| 22.096 | 299.111 | -2049.922 | -532.707 | -896.647 | 1661.795 | 
| 134.888 | 460.956 | 101.971 | 18.171 | 0.081 | -0.177 | 
| 118.965 | 103.291 | 483.354 | -7.833 | -0.759 | -1.228 | 
| 37.759 | -43.877 | -4.457 | -67.229 | -86.645 | 194.675 | 
| 175.982 | -272.407 | 97.519 | -19.438 | 48.090 | 99.621 | 
| 329.051 | 821.330 | -2204.257 | -721.963 | -980.922 | 2050.453 | 
| 450.019 | 134.791 | 117.143 | 6.139 | 5.909 | 80.428 | 
| 134.888 | 460.956 | 101.971 | 18.171 | 0.081 | -0.177 | 
| 118.965 | 103.291 | 483.354 | -7.833 | -0.759 | -1.228 | 
| 5.887 | 14.512 | -7.833 | 110.325 | -1.595 | 0.039 | 
| -58.799 | -1030.695 | 1991.994 | 1007.022 | 1318.117 | -2009.267 | 
| -178.471 | 270.735 | -99.107 | 17.750 | 25.869 | -15.014 | 
| 450.019 | 134.791 | 117.143 | 6.139 | 5.909 | 80.428 | 
| 92.905 | 221.673 | -200.422 | -93.418 | -132.136 | 204.111 | 
| 94.916 | 181.752 | -221.968 | -45.698 | -82.531 | 183.496 | 
| -7.835 | -17.889 | 8.326 | 63.295 | -10.465 | 4.405 | 
| 15.850 | -26.699 | 8.744 | -2.469 | 73.401 | 7.717 | 
| -1.203 | -0.176 | -1.583 | 0.053 | 9.821 | 141.719 | 
| 450.019 | 134.791 | 117.143 | 6.139 | 5.909 | 80.428 | 
| 80.171 | 35.420 | 281.486 | 114.697 | 116.980 | -200.088 | 
| 118.965 | 103.291 | 483.354 | -7.833 | -0.759 | -1.228 | 
| -11.527 | 26.200 | -15.098 | 73.623 | 1.922 | -10.962 | 
| -18.085 | -109.167 | 196.278 | 92.642 | 146.492 | -167.850 | 
| -1.203 | -0.176 | -1.583 | 0.053 | 9.821 | 141.719 | 
| 164.962 | 3.330 | 10.189 | -7.853 | 1.055 | 47.101 | 
| 20.102 | 170.411 | 21.509 | -3.113 | -2.128 | 2.019 | 
| 21.810 | 33.759 | 124.014 | 4.801 | -3.540 | 12.069 | 
| 7.168 | 0.747 | -5.248 | 79.910 | -1.045 | 0.006 | 
| 0.208 | -2.826 | -0.395 | -1.108 | 67.800 | 3.633 | 
| 0.264 | -1.038 | 1.084 | -1.604 | 3.379 | 78.814 | 
| 148.003 | -4.678 | 23.466 | -11.149 | 1.725 | 42.491 | 
| -2.963 | 149.699 | 20.384 | -2.057 | -0.235 | -1.809 | 
| 20.936 | 30.241 | 150.134 | 7.097 | 5.609 | -1.036 | 
| -1.116 | 1.828 | -7.283 | 75.057 | -0.575 | -1.199 | 
| -2.341 | -3.304 | 14.354 | -0.142 | 57.694 | -5.861 | 
| -1.073 | 2.158 | 0.876 | 0.441 | 4.816 | 72.907 | 
| 262.711 | 104.731 | 141.576 | -0.000 | -0.035 | 0.000 | 
| 117.090 | 417.095 | 99.343 | -0.000 | -0.000 | 0.000 | 
| -190.717 | -277.813 | 186.419 | -0.000 | -0.035 | 0.000 | 
| -0.000 | 0.000 | 0.000 | 105.895 | -0.000 | 0.000 | 
| -25.353 | -33.462 | 9.667 | -0.000 | 82.083 | 0.000 | 
| -26.417 | -34.866 | 10.072 | -0.000 | -0.034 | 93.528 | 
| 339.994 | 164.642 | 116.063 | 0.000 | 0.028 | 0.000 | 
| 117.090 | 417.095 | 99.343 | 0.000 | 0.000 | -0.000 | 
| 310.856 | 571.524 | -43.576 | 0.002 | 0.025 | 0.000 | 
| -0.000 | 0.000 | -0.000 | 105.895 | 0.000 | -0.000 | 
| 25.355 | 33.465 | -9.667 | -0.000 | 82.146 | -0.000 | 
| 26.417 | 34.866 | -10.072 | 0.000 | 0.034 | 93.528 | 
| 309.576 | 134.058 | 126.762 | -0.000 | -0.003 | -0.000 | 
| 141.002 | 329.978 | 116.569 | -0.000 | -0.004 | 0.000 | 
| 126.264 | 107.759 | 348.841 | -0.000 | -0.004 | 0.000 | 
| -2.109 | -2.784 | 0.804 | 75.894 | -0.003 | 0.000 | 
| -1.877 | -2.478 | 0.716 | -0.000 | 88.396 | 0.000 | 
| -6.024 | -5.739 | 1.238 | -0.000 | -0.003 | 88.979 | 
| 421.085 | 116.031 | 99.761 | -0.000 | 0.000 | -0.000 | 
| 117.090 | 417.095 | 99.343 | 0.000 | -0.000 | -0.000 | 
| 94.971 | 116.958 | 322.209 | 0.000 | 0.003 | -0.000 | 
| 2.109 | 2.784 | -0.804 | 75.894 | 0.003 | 0.000 | 
| 1.877 | 2.478 | -0.716 | -0.000 | 88.402 | -0.000 | 
| 6.024 | 5.739 | -1.238 | 0.000 | 0.003 | 88.979 | 
| 144.054 | -17.194 | 27.421 | 0.000 | -0.002 | -0.000 | 
| -14.427 | 141.860 | 75.941 | -0.000 | -0.002 | 0.000 | 
| 21.700 | 65.999 | 188.293 | 0.000 | -0.000 | 0.000 | 
| -0.431 | -0.462 | 0.113 | 71.746 | -0.000 | 0.000 | 
| -0.183 | -0.242 | 0.070 | -0.000 | 88.838 | 0.000 | 
| -0.258 | -0.340 | 0.098 | 0.000 | -0.000 | 94.440 | 
| 316.238 | 136.606 | 124.808 | 0.000 | 0.000 | 0.000 | 
| -10.686 | 151.712 | 71.307 | -0.000 | 0.002 | 0.000 | 
| 26.417 | 75.405 | 183.144 | -0.000 | 0.000 | 0.000 | 
| 0.431 | 0.462 | -0.113 | 71.746 | 0.000 | -0.000 | 
| 0.183 | 0.242 | -0.070 | 0.000 | 88.839 | -0.000 | 
| 0.258 | 0.340 | -0.098 | 0.000 | 0.000 | 94.440 | 
| 297.298 | 203.166 | 56.605 | -0.000 | 0.000 | -0.000 | 
| 197.126 | 255.798 | 75.738 | 0.000 | -0.000 | -0.000 | 
| 58.698 | 83.870 | 667.698 | -0.000 | 0.000 | 0.000 | 
| -0.000 | -0.000 | 0.000 | 83.364 | 0.000 | 0.000 | 
| -0.000 | -0.000 | -0.000 | -0.000 | 68.315 | 0.000 | 
| -0.000 | -0.000 | -0.000 | -0.000 | 0.000 | 184.870 | 
| 46.099 | 44.060 | 22.420 | 0.000 | -0.000 | 0.000 | 
| 197.126 | 255.798 | 75.738 | 0.000 | 0.000 | 0.000 | 
| 58.698 | 83.870 | 667.698 | -0.000 | -0.000 | 0.000 | 
| 0.000 | -0.000 | 0.000 | 83.364 | -0.000 | -0.000 | 
| 1.131 | 0.295 | 0.030 | -0.000 | 27.605 | -0.000 | 
| 0.000 | 0.000 | 0.000 | 0.000 | -0.000 | 184.870 | 
| 44.141 | 44.390 | 22.615 | -0.000 | 0.000 | 0.000 | 
| 38.144 | 109.108 | 40.589 | -0.000 | 0.000 | 0.000 | 
| 58.698 | 83.870 | 667.698 | -0.000 | 0.000 | -0.000 | 
| 0.000 | -0.000 | 0.000 | 83.364 | -0.000 | 0.000 | 
| -0.113 | -0.030 | -0.003 | -0.000 | 27.616 | 0.000 | 
| 0.000 | 0.000 | 0.000 | -0.000 | 0.000 | 184.870 | 
| 297.298 | 203.166 | 56.605 | 0.000 | -0.000 | -0.000 | 
| 38.504 | 109.051 | 40.554 | -0.000 | -0.000 | 0.000 | 
| 58.698 | 83.870 | 667.698 | -0.000 | 0.000 | -0.000 | 
| -0.000 | -0.000 | -0.000 | 83.364 | -0.000 | -0.000 | 
| 0.113 | 0.030 | 0.003 | 0.000 | 27.616 | 0.000 | 
| -0.000 | -0.000 | -0.000 | 0.000 | 0.000 | 184.870 | 
| 44.259 | 44.329 | 22.591 | 0.000 | 0.000 | 0.000 | 
| 38.307 | 109.083 | 40.573 | 0.000 | -0.000 | -0.000 | 
| 18.860 | 49.814 | 659.686 | -0.000 | -0.000 | 0.000 | 
| 0.025 | 0.037 | 0.009 | 46.283 | 0.000 | -0.000 | 
| -0.013 | -0.004 | -0.001 | 0.000 | 27.616 | -0.000 | 
| -0.023 | 0.005 | 0.002 | -0.000 | 0.000 | 36.486 | 
| 86.584 | 30.227 | 16.331 | 0.000 | 0.000 | 0.000 | 
| 27.005 | 111.564 | 41.867 | -0.000 | 0.000 | 0.000 | 
| 24.652 | 48.652 | 659.051 | 0.000 | -0.000 | 0.000 | 
| -0.025 | -0.037 | -0.009 | 46.283 | -0.000 | -0.000 | 
| -0.000 | -0.000 | -0.000 | 0.000 | 68.315 | 0.000 | 
| 0.023 | -0.005 | -0.002 | 0.000 | -0.000 | 36.486 | 
| 201.404 | 54.425 | 54.425 | 0.000 | -0.000 | 0.000 | 
| 176.289 | 379.138 | 176.289 | 0.000 | -0.000 | -0.000 | 
| 54.425 | 54.425 | 201.404 | 0.000 | -0.000 | 0.000 | 
| -0.000 | 0.000 | 0.000 | 184.532 | -0.000 | 0.000 | 
| 0.000 | -0.000 | 0.000 | 0.000 | 184.532 | -0.000 | 
| -0.000 | 0.000 | 0.000 | 0.000 | -0.000 | 184.532 | 
| 443.227 | 295.660 | 295.660 | -0.000 | 0.000 | 0.000 | 
| 295.660 | 443.227 | 295.660 | -0.000 | 0.000 | 0.000 | 
| 295.660 | 295.660 | 443.227 | -0.000 | 0.000 | -0.000 | 
| 0.000 | -0.000 | -0.000 | 184.532 | 0.000 | 0.000 | 
| 0.000 | -0.000 | -0.000 | -0.000 | 184.532 | 0.000 | 
| 0.000 | -0.000 | -0.000 | -0.000 | 0.000 | 184.532 | 
| 186.150 | 55.212 | 55.212 | 0.000 | -0.000 | 0.000 | 
| 55.212 | 186.150 | 55.212 | 0.000 | -0.000 | -0.000 | 
| 55.212 | 55.212 | 186.150 | 0.000 | -0.000 | 0.000 | 
| 0.000 | 0.000 | 0.000 | 184.532 | -0.000 | -0.000 | 
| 0.000 | 0.000 | 0.000 | 0.000 | 184.532 | -0.000 | 
| 0.000 | 0.000 | 0.000 | 0.000 | -0.000 | 184.532 | 
| 334.670 | 187.831 | 187.831 | -0.000 | 0.000 | 0.000 | 
| 187.831 | 334.670 | 187.831 | -0.000 | 0.000 | -0.000 | 
| 187.831 | 187.831 | 334.670 | -0.000 | 0.000 | -0.000 | 
| -0.000 | -0.000 | -0.000 | 184.532 | 0.000 | -0.000 | 
| -0.000 | -0.000 | -0.000 | -0.000 | 184.532 | -0.000 | 
| -0.000 | -0.000 | -0.000 | -0.000 | 0.000 | 184.532 | 
| 182.618 | 61.550 | 61.550 | 0.000 | -0.000 | -0.000 | 
| 34.597 | 144.117 | 34.597 | 0.000 | -0.000 | 0.000 | 
| 34.597 | 34.597 | 144.117 | 0.000 | -0.000 | 0.000 | 
| -5.543 | -5.543 | -5.543 | 115.218 | -0.000 | -0.000 | 
| -5.543 | -5.543 | -5.543 | 0.000 | 115.218 | 0.000 | 
| -5.543 | -5.543 | -5.543 | 0.000 | -0.000 | 115.218 | 
| 151.764 | 46.387 | 46.386 | -0.000 | 0.000 | -0.000 | 
| 46.386 | 151.764 | 46.387 | -0.000 | 0.000 | -0.000 | 
| 46.387 | 46.386 | 151.764 | -0.000 | 0.000 | 0.000 | 
| 5.543 | 5.543 | 5.543 | 115.218 | 0.000 | -0.000 | 
| 5.543 | 5.543 | 5.543 | -0.000 | 115.218 | -0.000 | 
| 5.543 | 5.543 | 5.543 | -0.000 | 0.000 | 115.218 | 
| -77.326 | -201.809 | -201.809 | 0.000 | -0.000 | -0.000 | 
| -201.809 | -77.326 | -201.809 | 0.000 | -0.000 | -0.000 | 
| -201.809 | -201.809 | -77.326 | -0.000 | 0.000 | -0.000 | 
| -847.819 | -847.819 | -847.819 | 120.914 | -0.000 | 0.000 | 
| -847.819 | -847.819 | -847.819 | 0.000 | 120.914 | -0.000 | 
| -847.819 | -847.819 | -847.819 | 0.000 | -0.000 | 120.914 | 
| 1244.227 | 1112.859 | 1112.859 | 0.000 | -0.000 | -0.000 | 
| 1112.859 | 1244.227 | 1112.859 | -0.000 | -0.000 | -0.000 | 
| 1112.859 | 1112.859 | 1244.227 | 0.000 | 0.000 | 0.000 | 
| 847.819 | 847.819 | 847.819 | 120.914 | 0.000 | -0.000 | 
| 1040.453 | 1040.453 | 1040.453 | 0.000 | 113.694 | 0.000 | 
| 847.819 | 847.819 | 847.819 | -0.000 | 0.000 | 120.914 | 
| 344.145 | 163.067 | 163.067 | 0.000 | 0.000 | 0.000 | 
| 163.067 | 344.145 | 163.067 | 0.000 | -0.000 | 0.000 | 
| 163.067 | 163.067 | 344.145 | 0.000 | -0.000 | 0.000 | 
| -36.321 | -36.321 | -36.321 | 129.528 | 0.000 | -0.000 | 
| -103.842 | -103.842 | -103.842 | -0.000 | 113.893 | 0.000 | 
| -103.842 | -103.842 | -103.842 | -0.000 | 0.000 | 113.893 | 
| 322.542 | 196.881 | 196.882 | 0.000 | 0.000 | -0.000 | 
| 196.882 | 322.542 | 196.881 | 0.000 | 0.000 | -0.000 | 
| 196.881 | 196.882 | 322.542 | -0.000 | 0.000 | -0.000 | 
| 36.321 | 36.321 | 36.321 | 129.528 | 0.000 | -0.000 | 
| 36.321 | 36.321 | 36.321 | 0.000 | 129.528 | -0.000 | 
| 36.321 | 36.321 | 36.321 | -0.000 | -0.000 | 129.528 | 
| 176.200 | 54.965 | 54.965 | -0.000 | 0.000 | 0.000 | 
| 157.127 | 276.032 | 157.127 | 0.000 | 0.000 | -0.000 | 
| 54.965 | 54.965 | 176.200 | 0.000 | -0.000 | 0.000 | 
| -6.153 | -6.153 | -6.153 | 116.738 | 0.000 | 0.000 | 
| -6.153 | -6.153 | -6.153 | -0.000 | 116.738 | 0.000 | 
| -6.153 | -6.153 | -6.153 | -0.000 | 0.000 | 116.738 | 
| 157.604 | 48.292 | 48.292 | -0.000 | -0.000 | -0.000 | 
| 48.292 | 157.604 | 48.292 | -0.000 | -0.000 | -0.000 | 
| 48.292 | 48.292 | 157.604 | 0.000 | -0.000 | -0.000 | 
| 6.153 | 6.153 | 6.153 | 116.738 | -0.000 | 0.000 | 
| 6.153 | 6.153 | 6.153 | 0.000 | 116.738 | -0.000 | 
| 6.153 | 6.153 | 6.153 | -0.000 | -0.000 | 116.738 | 
| 296.862 | 173.844 | 173.844 | -0.000 | -0.000 | 0.000 | 
| 173.844 | 296.862 | 173.844 | 0.000 | -0.000 | 0.000 | 
| 173.844 | 173.844 | 296.862 | -0.000 | -0.000 | 0.000 | 
| -0.000 | 0.000 | 0.000 | 180.147 | -0.000 | 0.000 | 
| -0.000 | 0.000 | -0.000 | 0.000 | 180.147 | 0.000 | 
| -0.000 | 0.000 | -0.000 | -0.000 | -0.000 | 180.148 | 
| 296.862 | 173.844 | 173.844 | -0.000 | 0.000 | -0.000 | 
| 173.844 | 296.862 | 173.844 | -0.000 | 0.000 | -0.000 | 
| 173.844 | 173.844 | 296.862 | -0.000 | 0.000 | -0.000 | 
| 0.000 | -0.000 | 0.000 | 180.148 | 0.000 | 0.000 | 
| 0.000 | -0.000 | 0.000 | 0.000 | 180.148 | -0.000 | 
| 0.000 | -0.000 | 0.000 | -0.000 | 0.000 | 180.147 | 
| 296.862 | 173.844 | 173.844 | -0.000 | -0.000 | 0.000 | 
| 173.844 | 296.862 | 173.844 | 0.000 | -0.000 | 0.000 | 
| 173.844 | 173.844 | 296.862 | -0.000 | -0.000 | -0.000 | 
| 0.000 | 0.000 | 0.000 | 180.148 | -0.000 | 0.000 | 
| 0.000 | 0.000 | 0.000 | -0.000 | 180.147 | 0.000 | 
| 0.000 | 0.000 | 0.000 | 0.000 | -0.000 | 180.148 | 
| 296.862 | 173.844 | 173.844 | -0.000 | 0.000 | -0.000 | 
| 173.844 | 296.862 | 173.844 | 0.000 | 0.000 | -0.000 | 
| 173.844 | 173.844 | 296.862 | 0.000 | 0.000 | -0.000 | 
| -0.000 | -0.000 | -0.000 | 180.148 | 0.000 | -0.000 | 
| -0.000 | -0.000 | -0.000 | 0.000 | 180.148 | -0.000 | 
| -0.000 | -0.000 | -0.000 | 0.000 | 0.000 | 180.148 | 
| 296.862 | 173.845 | 173.845 | 0.000 | -0.000 | 0.000 | 
| 173.845 | 296.862 | 173.845 | -0.000 | -0.000 | 0.000 | 
| 173.845 | 173.845 | 296.862 | 0.000 | -0.000 | 0.000 | 
| -0.000 | -0.000 | 0.000 | 138.996 | -0.000 | 0.000 | 
| -0.000 | -0.000 | 0.000 | 0.000 | 138.996 | 0.000 | 
| -0.000 | 0.000 | -0.000 | 0.000 | -0.000 | 138.996 | 
| 296.861 | 173.844 | 173.844 | 0.000 | 0.000 | -0.000 | 
| 173.844 | 296.861 | 173.844 | 0.000 | 0.000 | -0.000 | 
| 173.844 | 173.844 | 296.861 | 0.000 | -0.000 | -0.000 | 
| 0.000 | 0.000 | -0.000 | 138.996 | 0.000 | -0.000 | 
| 0.000 | 0.000 | -0.000 | 0.000 | 138.996 | -0.000 | 
| 0.000 | -0.000 | 0.000 | -0.000 | 0.000 | 138.996 | 
| 2997.665 | 2838.413 | -17582.817 | 0.000 | 0.000 | 0.000 | 
| 2838.413 | 2997.665 | -17582.817 | 0.000 | 0.000 | 0.000 | 
| -1871.851 | -1871.851 | -9530.945 | 0.000 | 0.000 | 0.000 | 
| 2547.432 | 2547.432 | -14750.178 | 63.626 | 0.000 | 0.000 | 
| 2721.507 | 2721.507 | -17702.316 | 0.000 | 76.228 | 0.000 | 
| 2721.502 | 2721.502 | -17702.310 | 0.000 | 0.000 | 79.647 | 
| -2440.306 | -2599.569 | 17818.042 | -0.000 | -0.000 | 0.000 | 
| 935.700 | 1087.556 | 5727.063 | -0.000 | -0.000 | -0.000 | 
| 931.855 | 931.855 | 5899.433 | -0.000 | -0.000 | -0.000 | 
| -2547.432 | -2547.432 | 14750.178 | 63.626 | -0.000 | -0.000 | 
| -2721.507 | -2721.507 | 17702.316 | -0.000 | 76.227 | -0.000 | 
| 806.369 | 806.369 | 5602.596 | -0.000 | -0.000 | 75.922 | 
| 56.433 | -64.099 | -843.380 | 0.000 | 0.000 | 0.000 | 
| -64.098 | 56.433 | -843.380 | 0.000 | 0.000 | 0.000 | 
| 104.291 | 104.291 | 354.766 | 0.000 | 0.000 | 0.000 | 
| 308.377 | 308.377 | -1716.914 | 70.544 | 0.000 | 0.000 | 
| 308.906 | 308.906 | -1718.098 | 0.000 | 70.556 | 0.000 | 
| 308.809 | 308.809 | -1717.952 | 0.000 | 0.000 | 74.850 | 
| 455.407 | 336.362 | 1115.161 | -0.000 | -0.000 | -0.000 | 
| 110.269 | 340.114 | 104.000 | -0.000 | 0.000 | -0.000 | 
| 328.797 | 328.797 | 1241.098 | -0.000 | -0.000 | -0.000 | 
| -308.377 | -308.377 | 1716.914 | 70.544 | -0.000 | -0.000 | 
| -308.906 | -308.906 | 1718.098 | -0.000 | 70.556 | -0.000 | 
| -308.809 | -308.809 | 1717.952 | -0.000 | -0.000 | 74.850 | 
| 296.695 | 152.086 | -50.182 | 0.000 | 0.000 | 0.000 | 
| 145.145 | 299.710 | -55.281 | 0.000 | 0.000 | 0.000 | 
| 117.670 | 117.670 | 240.673 | 0.000 | 0.000 | 0.000 | 
| -19.775 | -19.775 | -96.637 | 58.302 | 0.000 | 0.000 | 
| -7.969 | -7.969 | -55.369 | 0.000 | 70.808 | 0.000 | 
| -19.754 | -19.754 | -96.517 | 0.000 | 0.000 | 60.748 | 
| 340.113 | 110.268 | 103.999 | -0.000 | -0.000 | -0.000 | 
| 156.991 | 271.711 | 233.190 | -0.000 | -0.000 | -0.000 | 
| 104.291 | 104.291 | 354.764 | -0.000 | -0.000 | -0.000 | 
| 19.775 | 19.775 | 96.637 | 58.302 | -0.000 | -0.000 | 
| 7.969 | 7.969 | 55.369 | -0.000 | 70.808 | -0.000 | 
| 19.754 | 19.754 | 96.517 | -0.000 | -0.000 | 60.748 | 
| 4444516028.408 | 9032019161.614 | 4443045078.101 | -144373002.487 | -12443096.723 | 13142636.564 | 
| 4812653733.471 | 4451552880.836 | 8645437709.167 | -17430253.400 | -134316468.832 | -19683774.477 | 
| 8797491517.314 | 4663246842.225 | 4525062985.536 | 4493323.914 | -12317901.204 | -20702044.717 | 
| -0.007 | -0.007 | -0.006 | -162.867 | 0.000 | -0.000 | 
| -0.007 | -0.007 | -0.006 | 0.000 | -162.866 | -0.000 | 
| -0.007 | -0.007 | -0.006 | 0.000 | 0.000 | -162.866 | 
| -6428590310.471 | -5114635033.378 | -4910715298.948 | -38068722.383 | 42275577.223 | 3627020.865 | 
| -4809270807.753 | -6828065829.079 | -5089501395.053 | 30528899.050 | 4240544.288 | -30637451.833 | 
| -4943088599.244 | -4950486646.146 | -6852463249.680 | -33748446.450 | -69597563.601 | 5507203.380 | 
| 0.007 | 0.007 | 0.006 | -162.866 | -0.000 | 0.000 | 
| 0.007 | 0.007 | 0.006 | -0.000 | -162.867 | 0.000 | 
| 0.007 | 0.007 | 0.006 | -0.000 | -0.000 | -162.867 | 
| 439836393.754 | 864530353.886 | 492778749.670 | -25805930.460 | -3144704.200 | 1087378.759 | 
| 485617547.163 | 447478802.934 | 872788707.673 | -5293688.160 | -10098505.427 | -2605155.473 | 
| 890327513.682 | 463708627.691 | 450752015.646 | -2106579.726 | 285958.551 | 6448307.318 | 
| 496758395.974 | 632643904.940 | 605395255.116 | -90588213.394 | -1444978.487 | -3550750.847 | 
| 610052058.621 | 500731943.504 | 661940580.215 | -1743745.334 | -92114365.062 | 2318271.834 | 
| 648050660.538 | 605550104.805 | 499080512.169 | 1763717.745 | -1069301.907 | -97387082.622 | 
| -615498359.409 | -509299325.884 | -503711512.210 | -4349031.089 | 4719573.031 | 831629.293 | 
| -481570661.478 | -644018144.324 | -505889397.034 | 4161361.695 | -195385.885 | -4825800.857 | 
| -495309804.763 | -521571766.696 | -634700401.207 | 34386.215 | -3876656.023 | 217899.377 | 
| -493615973.879 | -630602779.756 | -604809919.498 | -92974387.603 | -3872558.689 | -5677281.343 | 
| -607497023.739 | -492117896.771 | -662327927.312 | -165295.351 | -88606459.556 | 750055.086 | 
| -654144121.534 | -606171044.836 | -490650141.442 | 176393.977 | -784538.989 | -98924023.674 | 
| 43834002.901 | 86923223.643 | 49300537.133 | -2472435.577 | -609440.300 | 123863.515 | 
| 47155849.081 | 44413642.138 | 87768601.734 | -400946.776 | -938249.014 | -242850.175 | 
| 90337954.405 | 45727091.174 | 45147718.810 | -98096.921 | -211177.915 | -167416.710 | 
| 50058423.824 | 64108015.803 | 60717402.240 | -9543075.950 | 333857.945 | -456659.699 | 
| 61673926.271 | 50473782.585 | 66605243.881 | -57616.736 | -9079943.007 | 6308.667 | 
| 66026233.702 | 61560295.934 | 50231223.241 | -140573.272 | -185471.127 | -10105908.074 | 
| -59317485.560 | -50689964.376 | -52802654.535 | -463552.269 | -42777.137 | -115581.991 | 
| -48642266.459 | -61859132.600 | -50154496.309 | -196333.448 | 134154.929 | -124995.680 | 
| -48714287.206 | -53984772.108 | -60289235.573 | 163433.419 | -229955.520 | 141411.729 | 
| -50321225.213 | -64069068.110 | -61188524.482 | -9185153.674 | -445777.405 | -531560.796 | 
| -61299703.032 | -50315020.611 | -66790386.931 | 2492.553 | -8788248.093 | 259938.058 | 
| -65620454.180 | -61478541.506 | -50911054.241 | -56446.884 | 246063.846 | -9763675.577 | 
| 11.340 | 4.153 | -49.440 | -0.004 | -110.824 | 0.042 | 
| 21.486 | 271.775 | 40.724 | -0.001 | -2.232 | 0.019 | 
| -91.265 | 76.955 | 123.033 | 0.006 | -171.476 | -0.026 | 
| -22.037 | -5.090 | -16.464 | 62.004 | -8.583 | 2.391 | 
| 3.619 | 10.925 | -6.184 | -0.001 | 80.127 | 0.009 | 
| 0.000 | 0.000 | 0.000 | -1.635 | -0.000 | 167.292 | 
| 187.499 | -53.710 | 51.973 | 0.026 | 150.285 | -0.127 | 
| 71.875 | 146.741 | 106.895 | 0.066 | 117.040 | -0.309 | 
| -0.449 | -0.657 | 173.234 | 0.003 | 4.249 | -0.012 | 
| 22.036 | 5.091 | 16.464 | 62.008 | 8.581 | 2.371 | 
| 80.873 | 10.213 | 28.683 | 0.006 | 177.322 | -0.037 | 
| -14.486 | -23.731 | -7.232 | 15.065 | 21.540 | 22.676 | 
| 132.295 | -2.238 | -4.049 | -0.000 | 48.236 | 0.001 | 
| 151.905 | 372.749 | 150.623 | -0.000 | -2.496 | 0.003 | 
| -2.859 | 34.211 | 180.057 | -0.002 | -16.109 | 0.008 | 
| -6.363 | 3.988 | -4.023 | 63.980 | -13.630 | 6.739 | 
| 17.280 | 0.360 | 3.372 | -0.000 | 109.223 | 0.002 | 
| -1.365 | -0.091 | -1.033 | 2.458 | -0.848 | 59.061 | 
| 179.455 | -4.533 | 17.197 | -0.000 | 54.851 | -0.002 | 
| -12.101 | 191.101 | 49.245 | -0.000 | 23.468 | -0.000 | 
| 5.869 | 33.885 | 185.924 | 0.001 | -7.574 | -0.003 | 
| 0.815 | -1.413 | 0.208 | 68.321 | 2.098 | 4.301 | 
| 19.077 | -0.704 | -10.359 | -0.000 | 189.938 | 0.000 | 
| 2.055 | -0.264 | 0.393 | -4.862 | 1.154 | 82.201 | 
| 108.349 | -1.725 | -16.474 | -0.000 | 7.844 | 0.000 | 
| -15.558 | 194.851 | 45.878 | -0.000 | 15.826 | 0.000 | 
| -3.367 | 50.129 | 176.572 | -0.000 | -27.080 | 0.000 | 
| -0.309 | 0.293 | -0.186 | 65.055 | -0.691 | 8.889 | 
| -6.763 | 19.428 | -26.180 | -0.000 | 34.702 | 0.000 | 
| -0.172 | 0.232 | -0.095 | 5.334 | -0.467 | 33.102 | 
| 110.139 | -2.243 | -15.387 | 0.000 | 10.737 | -0.000 | 
| -13.431 | 194.313 | 46.486 | -0.001 | 18.848 | 0.005 | 
| 6.037 | 38.755 | 185.385 | -0.000 | -10.464 | 0.000 | 
| 0.647 | -0.237 | 0.399 | 64.123 | 1.052 | 7.071 | 
| -5.208 | 18.771 | -25.143 | -0.005 | 37.539 | 0.025 | 
| 0.172 | -0.232 | 0.095 | 5.334 | 0.467 | 33.101 | 
| 241.859 | 92.181 | 82.969 | 0.000 | 57.945 | -0.000 | 
| 132.182 | 486.668 | 95.192 | 0.000 | -2.241 | -0.000 | 
| 161.177 | 95.192 | 435.144 | 0.000 | -12.042 | -0.000 | 
| 0.650 | 0.175 | 0.044 | 79.360 | 0.080 | -6.201 | 
| 8.183 | -2.241 | -12.042 | 0.000 | 168.838 | -0.000 | 
| 0.000 | 0.000 | 0.000 | -2.787 | -0.000 | 139.740 | 
| 242.360 | 92.652 | 82.932 | -0.000 | 58.232 | -0.000 | 
| -39.658 | 223.437 | 2.432 | -0.000 | 1.050 | 0.000 | 
| 95.836 | 91.268 | 256.720 | -0.000 | -9.181 | 0.000 | 
| -0.650 | -0.175 | -0.044 | 79.360 | -0.080 | -6.201 | 
| 5.131 | 0.395 | -4.168 | -0.000 | 95.963 | 0.000 | 
| -0.000 | -0.000 | -0.000 | -2.787 | 0.000 | 139.740 | 
| 242.120 | 92.407 | 82.966 | -0.000 | 58.078 | 0.000 | 
| 132.182 | 486.668 | 95.192 | 0.000 | -2.241 | -0.000 | 
| 19.251 | 24.260 | 190.241 | 0.000 | -4.454 | -0.000 | 
| 0.000 | 0.000 | 0.000 | 102.616 | 0.000 | -2.787 | 
| 5.875 | 0.616 | -4.114 | 0.000 | 95.996 | -0.000 | 
| 0.000 | 0.000 | 0.000 | -2.787 | 0.000 | 139.740 | 
| 242.172 | 92.454 | 82.962 | -0.000 | 58.108 | -0.000 | 
| 131.898 | 372.053 | 131.870 | -0.000 | -5.581 | 0.000 | 
| 141.980 | 130.603 | 318.291 | -0.000 | 4.066 | 0.000 | 
| -0.000 | -0.000 | -0.000 | 102.616 | 0.000 | -2.787 | 
| 6.490 | -4.536 | -0.555 | -0.000 | 108.069 | 0.000 | 
| -0.000 | -0.000 | -0.000 | -2.787 | -0.000 | 139.740 | 
| 135.524 | -4.558 | -9.472 | 0.000 | 41.045 | -0.000 | 
| 28.361 | 288.045 | 42.276 | 0.000 | -0.201 | -0.000 | 
| 19.266 | 24.226 | 190.150 | 0.000 | -4.449 | -0.000 | 
| 0.000 | 0.000 | 0.000 | 102.616 | 0.000 | -2.787 | 
| 2.509 | 0.800 | -4.411 | 0.000 | 85.722 | -0.000 | 
| 0.006 | 0.005 | 0.015 | -4.356 | -0.001 | 72.563 | 
| 145.058 | -12.863 | 0.726 | 0.000 | 39.218 | -0.000 | 
| -27.442 | 239.313 | 5.237 | -0.000 | 0.193 | 0.000 | 
| 1.271 | 23.897 | 161.508 | -0.000 | -7.436 | 0.000 | 
| -0.006 | -0.011 | -0.019 | 73.158 | 0.000 | -4.861 | 
| 5.801 | 0.593 | -4.119 | -0.000 | 95.994 | 0.000 | 
| -0.006 | -0.005 | -0.015 | -4.356 | 0.001 | 72.563 | 
| 477.344 | 120.469 | 108.284 | 0.000 | -0.000 | 0.000 | 
| 375.550 | -253.347 | 721.747 | -0.002 | 0.026 | -0.171 | 
| 107.430 | 103.124 | 425.378 | -0.000 | -0.000 | 0.000 | 
| 0.000 | 0.000 | 0.000 | 106.103 | 0.000 | -0.000 | 
| -508.047 | 32.148 | 682.171 | -0.003 | 80.416 | -0.107 | 
| 0.000 | 0.000 | 0.000 | -0.000 | -0.000 | 124.119 | 
| 865.572 | 114.383 | -576.574 | 0.003 | -0.040 | 0.111 | 
| 644.013 | 338.222 | -573.801 | 0.003 | -0.038 | 0.105 | 
| 107.430 | 103.124 | 425.378 | 0.000 | 0.000 | 0.000 | 
| 0.000 | 0.000 | -0.000 | 106.103 | -0.000 | -0.000 | 
| 508.046 | -32.148 | -682.169 | 0.003 | 80.339 | 0.107 | 
| 0.000 | 0.000 | 0.000 | -0.000 | -0.000 | 124.119 | 
| 319.823 | 145.558 | 185.949 | -0.000 | 0.003 | -0.009 | 
| 118.933 | 467.736 | 102.442 | -0.000 | 0.000 | 0.000 | 
| 66.214 | 98.983 | 376.148 | -0.000 | 0.006 | -0.016 | 
| -47.953 | 3.034 | 64.388 | 56.995 | 0.004 | -0.010 | 
| 0.000 | 0.000 | 0.000 | 0.000 | 112.951 | -0.000 | 
| -50.976 | 3.226 | 68.447 | -0.000 | 0.004 | 97.930 | 
| 477.344 | 120.469 | 108.284 | 0.000 | -0.000 | 0.000 | 
| 118.933 | 467.736 | 102.442 | -0.000 | -0.000 | 0.000 | 
| 180.996 | 93.957 | 256.704 | 0.000 | -0.004 | 0.011 | 
| 47.953 | -3.034 | -64.388 | 56.995 | -0.004 | 0.010 | 
| -0.000 | -0.000 | -0.000 | -0.000 | 112.951 | 0.000 | 
| 50.953 | -3.224 | -68.417 | 0.000 | -0.004 | 97.963 | 
| 177.513 | 43.862 | 16.451 | -0.000 | 0.000 | -0.001 | 
| 90.482 | 279.182 | 76.666 | -0.000 | 0.000 | -0.001 | 
| 16.371 | 98.408 | 27.672 | 0.000 | -0.000 | -0.009 | 
| 0.416 | -3.746 | 7.229 | 57.737 | 0.000 | -0.002 | 
| -4.892 | 0.310 | 6.569 | -0.000 | 81.584 | -0.001 | 
| -5.246 | 0.332 | 7.044 | -0.000 | 0.000 | 97.178 | 
| 171.301 | 38.294 | -10.816 | -0.000 | 0.001 | -0.002 | 
| 98.449 | 267.438 | 69.583 | 0.000 | -0.000 | 0.002 | 
| 15.487 | 54.902 | 9.516 | 0.008 | -0.128 | -0.068 | 
| -0.416 | 3.746 | -7.229 | 57.737 | -0.000 | 0.002 | 
| 4.892 | -0.310 | -6.569 | 0.000 | 81.584 | 0.001 | 
| 5.246 | -0.332 | -7.044 | 0.000 | -0.000 | 97.180 | 
| 180.615 | 46.687 | 9.944 | -0.000 | 0.000 | -0.000 | 
| 147.652 | 330.574 | 94.727 | 0.000 | -0.000 | -0.000 | 
| 106.761 | 101.670 | 450.097 | 0.000 | -0.000 | 0.000 | 
| -0.000 | 0.000 | 0.000 | 107.938 | -0.000 | 0.000 | 
| -0.860 | -0.884 | -0.814 | -0.000 | 79.656 | 0.000 | 
| 0.232 | -0.774 | -0.720 | -0.000 | -0.000 | 98.179 | 
| 328.355 | 140.502 | 126.298 | 0.000 | -0.000 | 0.000 | 
| 115.945 | 455.788 | 101.670 | 0.000 | 0.000 | -0.000 | 
| 24.391 | -2.028 | 197.400 | 0.000 | 0.000 | 0.000 | 
| 0.000 | -0.000 | -0.000 | 107.938 | 0.000 | -0.000 | 
| 0.860 | 0.884 | 0.814 | 0.000 | 79.656 | -0.000 | 
| -0.232 | 0.774 | 0.720 | 0.000 | -0.000 | 98.179 | 
| 326.231 | 140.085 | 125.850 | -0.000 | -0.000 | -0.000 | 
| 63.858 | 248.984 | 8.703 | -0.000 | -0.000 | -0.000 | 
| 106.761 | 101.670 | 450.097 | -0.000 | -0.000 | -0.000 | 
| 0.016 | -0.054 | -0.050 | 73.981 | -0.000 | -0.000 | 
| 0.021 | -0.071 | -0.066 | 0.000 | 83.423 | -0.000 | 
| 0.023 | -0.077 | -0.072 | -0.000 | -0.000 | 98.187 | 
| 252.952 | 102.047 | 79.306 | 0.000 | 0.000 | -0.000 | 
| 115.945 | 455.788 | 101.670 | 0.000 | -0.000 | -0.000 | 
| 106.761 | 101.670 | 450.096 | 0.000 | 0.000 | -0.000 | 
| -0.016 | 0.054 | 0.050 | 73.981 | 0.000 | -0.000 | 
| -0.021 | 0.071 | 0.066 | 0.000 | 83.423 | -0.000 | 
| -0.023 | 0.077 | 0.072 | 0.000 | 0.000 | 98.187 | 
| 184.921 | 49.429 | 12.575 | -0.000 | -0.000 | 0.000 | 
| 147.504 | 330.978 | 95.636 | 0.000 | -0.000 | -0.000 | 
| -32.984 | 27.727 | 159.773 | -0.000 | -0.000 | -0.000 | 
| 0.000 | 0.000 | 0.000 | 107.938 | 0.000 | 0.000 | 
| 0.002 | -0.007 | -0.007 | -0.000 | 83.424 | 0.000 | 
| -0.011 | -0.009 | -0.009 | -0.000 | -0.000 | 93.533 | 
| 184.484 | 49.413 | 12.518 | -0.000 | -0.000 | -0.000 | 
| 18.220 | 224.326 | 15.845 | 0.000 | 0.000 | -0.000 | 
| 134.630 | 94.954 | 316.700 | -0.000 | 0.000 | 0.000 | 
| -0.000 | -0.000 | -0.000 | 107.938 | 0.000 | -0.000 | 
| -0.002 | 0.007 | 0.007 | 0.000 | 83.424 | 0.000 | 
| 0.011 | 0.009 | 0.009 | 0.000 | 0.000 | 93.533 | 
| 1275.440 | 536.714 | -1612.993 | 0.000 | 250.983 | -0.000 | 
| 10444.073 | 5055.863 | -6168.391 | 0.000 | 5907.832 | 0.000 | 
| 1126.984 | 521.757 | -1439.772 | 0.000 | 212.523 | 0.000 | 
| 7406.707 | 4067.846 | -5364.737 | 261.368 | 4588.314 | 115.309 | 
| 908.857 | -1550.810 | -1140.966 | -0.000 | 133.508 | -0.000 | 
| 4507.823 | 1229.917 | -2865.855 | 32.729 | 2197.001 | 58.607 | 
| -9361.740 | -3067.148 | 4124.762 | -0.000 | -4304.863 | 0.000 | 
| 112.543 | 370.517 | 89.534 | -0.000 | 8.939 | 0.000 | 
| 104.601 | 89.691 | 361.312 | -0.000 | -20.995 | 0.000 | 
| -7406.707 | -4067.846 | 5364.737 | 261.368 | -4588.314 | 115.309 | 
| -896.411 | 1547.301 | 1124.907 | -0.000 | -53.593 | -0.000 | 
| -4507.823 | -1229.917 | 2865.855 | 32.729 | -2197.001 | 58.607 | 
| 159.308 | -81.372 | -315.744 | 0.000 | 47.266 | -0.000 | 
| 112.543 | 370.517 | 89.534 | -0.000 | 8.939 | -0.000 | 
| 215.853 | 144.103 | 112.989 | -0.000 | 9.424 | -0.000 | 
| 205.744 | 41.287 | -315.821 | 90.295 | 203.710 | 2.620 | 
| 99.969 | 47.019 | -185.503 | -0.000 | 99.296 | 0.000 | 
| 434.127 | 105.665 | -294.034 | 4.869 | 196.407 | 7.207 | 
| -103.490 | -146.103 | 254.170 | -0.000 | -151.533 | -0.000 | 
| 13.641 | 261.050 | 273.156 | -0.000 | -17.534 | 0.000 | 
| -43.171 | 221.391 | 254.871 | -0.000 | -16.862 | 0.000 | 
| -205.744 | -41.287 | 315.821 | 90.295 | -203.710 | 2.620 | 
| -83.929 | 151.421 | 105.636 | -0.000 | 29.976 | 0.000 | 
| -434.127 | -105.665 | 294.034 | 4.869 | -196.407 | 7.207 | 
| 203.692 | 74.855 | 60.500 | 0.000 | 24.085 | -0.000 | 
| 126.175 | 293.030 | 84.709 | 0.000 | 6.593 | -0.000 | 
| 47.279 | 34.582 | 133.830 | 0.000 | -3.483 | -0.000 | 
| 33.673 | 9.566 | -28.156 | 38.228 | 20.304 | -8.419 | 
| 8.718 | 9.184 | -30.047 | 0.000 | 78.714 | -0.000 | 
| 8.128 | -9.146 | -11.212 | -0.813 | 1.110 | 52.990 | 
| 251.333 | 112.631 | 130.461 | 0.000 | 22.779 | 0.000 | 
| 103.453 | 295.975 | 120.675 | 0.000 | 2.330 | 0.000 | 
| 104.601 | 89.690 | 361.311 | 0.000 | -20.994 | 0.000 | 
| -8.895 | 9.029 | 12.477 | 53.073 | -1.270 | -1.056 | 
| -11.322 | 0.964 | 4.021 | -0.000 | 75.153 | 0.000 | 
| -8.128 | 9.146 | 11.212 | -0.813 | -1.110 | 52.990 | 
| 112.862 | 33.230 | 33.230 | -0.000 | -0.000 | -0.000 | 
| 33.230 | 112.862 | 33.230 | 0.000 | -0.000 | -0.000 | 
| 33.230 | 33.230 | 112.862 | -0.000 | 0.000 | 0.000 | 
| 0.000 | -0.000 | -0.000 | 26.935 | 0.000 | 0.000 | 
| 0.000 | -0.000 | 0.000 | 0.000 | 26.935 | 0.000 | 
| -0.000 | -0.000 | 0.000 | 0.000 | -0.000 | 26.935 | 
| 112.862 | 33.230 | 33.230 | 0.000 | 0.000 | 0.000 | 
| 33.230 | 112.862 | 33.230 | 0.000 | 0.000 | 0.000 | 
| 33.230 | 33.230 | 112.862 | -0.000 | 0.000 | -0.000 | 
| -0.000 | 0.000 | -0.000 | 26.935 | 0.000 | -0.000 | 
| 0.000 | 0.000 | -0.000 | -0.000 | 26.935 | -0.000 | 
| 0.000 | 0.000 | -0.000 | 0.000 | 0.000 | 26.935 | 
| 112.862 | 33.230 | 33.230 | -0.000 | -0.000 | 0.000 | 
| 33.230 | 112.862 | 33.230 | 0.000 | -0.000 | 0.000 | 
| 33.230 | 33.230 | 112.862 | -0.000 | -0.000 | 0.000 | 
| 79575102.772 | 86161085.451 | 86618742.592 | -4273166.864 | 130480.999 | -51360.704 | 
| 86595603.952 | 79995357.497 | 86118796.905 | -243537.937 | -3669058.601 | -113766.768 | 
| 86622180.306 | 86070600.400 | 80229744.884 | -233584.849 | 102982.013 | -3908560.978 | 
| 112.862 | 33.230 | 33.230 | -0.000 | 0.000 | -0.000 | 
| 33.230 | 112.862 | 33.230 | 0.000 | 0.000 | 0.000 | 
| 33.230 | 33.230 | 112.862 | 0.000 | 0.000 | -0.000 | 
| -81513911.408 | -98279892.744 | -96606034.551 | 652854.992 | -384179.628 | -816365.797 | 
| -98648238.588 | -84289462.813 | -97258519.971 | 180262.521 | 406230.968 | 196588.508 | 
| -97604937.160 | -97243656.938 | -82815344.865 | 90365.502 | 162018.690 | -179943.253 | 
| 112.862 | 33.230 | 33.230 | 0.000 | -0.000 | 0.000 | 
| 33.230 | 112.862 | 33.230 | -0.000 | -0.000 | 0.000 | 
| 33.230 | 33.230 | 112.862 | -0.000 | -0.000 | 0.000 | 
| 7928254.720 | 8722249.524 | 8648741.189 | -347011.542 | 15225.383 | -26043.303 | 
| 8636195.998 | 8036718.153 | 8688227.077 | -13220.625 | -413035.796 | 950.366 | 
| 8693940.998 | 8647225.146 | 7855289.798 | -12545.382 | -46408.175 | -341236.019 | 
| 112.861 | 33.230 | 33.230 | 0.000 | 0.000 | -0.000 | 
| 33.230 | 112.861 | 33.230 | -0.000 | 0.000 | 0.000 | 
| 33.230 | 33.230 | 112.861 | 0.000 | 0.000 | -0.000 | 
| -8193706.521 | -9852675.584 | -9925481.645 | -36986.533 | -39408.981 | -38709.190 | 
| -9907586.866 | -8226514.530 | -10027046.611 | 26258.535 | 26089.589 | -9721.327 | 
| -9880892.821 | -10027059.347 | -8341148.042 | -31755.737 | -61178.013 | 23214.997 | 
| 0.595 | 0.000 | 0.000 | 0.000 | 0.000 | 0.000 | 
| 0.000 | 0.595 | 0.000 | 0.000 | 0.000 | 0.000 | 
| 0.000 | 0.000 | 0.595 | 0.000 | 0.000 | 0.000 | 
| 0.000 | 0.000 | 0.000 | 0.000 | 0.000 | 0.000 | 
| 0.000 | 0.000 | 0.000 | 0.000 | 0.000 | 0.000 | 
| 0.000 | 0.000 | 0.000 | 0.000 | 0.000 | 0.000 | 
| -0.000 | -0.000 | -0.000 | -0.000 | -0.000 | -0.000 | 
| -0.000 | -0.000 | -0.000 | -0.000 | -0.000 | -0.000 | 
| -0.000 | -0.000 | -0.000 | -0.000 | -0.000 | -0.000 | 
| -0.000 | -0.000 | -0.000 | -0.000 | -0.000 | -0.000 | 
| -0.000 | -0.000 | -0.000 | -0.000 | -0.000 | -0.000 | 
| -0.000 | -0.000 | -0.000 | -0.000 | -0.000 | -0.000 | 
| 0.853 | 0.000 | 0.000 | 0.000 | 0.000 | 0.000 | 
| 0.000 | 0.853 | 0.000 | 0.000 | 0.000 | -0.000 | 
| 0.000 | 0.000 | 0.853 | -0.000 | 0.000 | 0.000 | 
| 0.000 | 0.000 | 0.000 | 0.000 | 0.000 | 0.000 | 
| 0.000 | 0.000 | 0.000 | 0.000 | 0.000 | 0.000 | 
| 0.000 | 0.000 | 0.000 | 0.000 | 0.000 | 0.000 | 
| -0.000 | -0.000 | -0.000 | -0.000 | -0.000 | -0.000 | 
| -0.000 | -0.000 | -0.000 | -0.000 | -0.000 | -0.000 | 
| -0.000 | -0.000 | -0.000 | -0.000 | -0.000 | -0.000 | 
| -0.000 | -0.000 | -0.000 | -0.000 | -0.000 | -0.000 | 
| -0.000 | -0.000 | -0.000 | -0.000 | -0.000 | -0.000 | 
| -0.000 | -0.000 | -0.000 | -0.000 | -0.000 | -0.000 | 
| 0.878 | 0.000 | 0.000 | 0.000 | 0.000 | 0.000 | 
| 0.000 | 0.878 | 0.000 | 0.000 | 0.000 | -0.000 | 
| 0.000 | 0.000 | 0.878 | 0.000 | -0.000 | 0.000 | 
| 0.000 | 0.000 | 0.000 | 0.000 | 0.000 | 0.000 | 
| 0.000 | 0.000 | 0.000 | 0.000 | 0.000 | 0.000 | 
| 0.000 | 0.000 | 0.000 | 0.000 | 0.000 | 0.000 | 
| -0.000 | -0.000 | -0.000 | -0.000 | -0.000 | -0.000 | 
| -0.000 | -0.000 | -0.000 | -0.000 | -0.000 | -0.000 | 
| -0.000 | -0.000 | -0.000 | -0.000 | -0.000 | -0.000 | 
| -0.000 | -0.000 | -0.000 | -0.000 | -0.000 | -0.000 | 
| -0.000 | -0.000 | -0.000 | -0.000 | -0.000 | -0.000 | 
| -0.000 | -0.000 | -0.000 | -0.000 | -0.000 | -0.000 | 
| 57.945 | 42.517 | 42.517 | -0.000 | 0.000 | 0.000 | 
| 42.517 | 57.945 | 42.517 | 0.000 | 0.000 | 0.000 | 
| 42.517 | 42.517 | 57.945 | 0.000 | 0.000 | 0.000 | 
| 0.000 | 0.000 | 0.000 | 42.517 | 0.000 | 0.000 | 
| 0.000 | 0.000 | 0.000 | 0.000 | 42.517 | 0.000 | 
| 0.000 | 0.000 | -0.000 | 0.000 | 0.000 | 42.517 | 
| 57.945 | 42.517 | 42.517 | -0.000 | -0.000 | -0.000 | 
| 42.517 | 57.945 | 42.517 | -0.000 | -0.000 | -0.000 | 
| 42.517 | 42.517 | 57.945 | -0.000 | -0.000 | -0.000 | 
| -0.000 | -0.000 | -0.000 | 42.517 | -0.000 | -0.000 | 
| -0.000 | -0.000 | -0.000 | -0.000 | 42.517 | -0.000 | 
| -0.000 | -0.000 | 0.000 | 0.000 | -0.000 | 42.517 | 
| 57.945 | 42.517 | 42.517 | -0.000 | 0.000 | 0.000 | 
| 42.517 | 57.945 | 42.517 | -0.000 | 0.000 | 0.000 | 
| 42.517 | 42.517 | 57.945 | 0.000 | 0.000 | 0.000 | 
| 0.000 | -0.000 | -0.000 | -204.306 | 0.000 | 0.000 | 
| -0.000 | 0.000 | -0.000 | 0.000 | -204.306 | 0.000 | 
| -0.000 | -0.000 | 0.000 | 0.000 | 0.000 | -204.306 | 
| 57.945 | 42.517 | 42.517 | -0.000 | -0.000 | -0.000 | 
| 42.517 | 57.945 | 42.517 | -0.000 | -0.000 | -0.000 | 
| 42.517 | 42.517 | 57.945 | -0.000 | -0.000 | -0.000 | 
| -0.000 | 0.000 | 0.000 | -204.306 | -0.000 | -0.000 | 
| 0.000 | -0.000 | 0.000 | -0.000 | -204.306 | -0.000 | 
| 0.000 | 0.000 | -0.000 | -0.000 | -0.000 | -204.306 | 
| 57.946 | 42.517 | 42.517 | 0.000 | 0.000 | 0.000 | 
| 42.517 | 57.946 | 42.517 | 0.000 | 0.000 | 0.000 | 
| 42.517 | 42.517 | 57.946 | 0.000 | 0.000 | 0.000 | 
| 0.001 | -0.000 | -0.001 | -204.306 | 0.000 | 0.000 | 
| -0.000 | 0.001 | -0.001 | 0.000 | -204.306 | 0.000 | 
| -0.000 | -0.001 | 0.001 | 0.000 | 0.000 | -204.306 | 
| 57.945 | 42.517 | 42.517 | -0.000 | -0.000 | -0.000 | 
| 42.517 | 57.945 | 42.517 | -0.000 | -0.000 | -0.000 | 
| 42.517 | 42.517 | 57.945 | -0.000 | -0.000 | -0.000 | 
| -0.001 | 0.000 | 0.001 | -204.306 | -0.000 | -0.000 | 
| 0.000 | -0.001 | 0.001 | -0.000 | -204.306 | -0.000 | 
| 0.000 | 0.001 | -0.001 | -0.000 | -0.000 | -204.306 | 
| 95.509 | -8.659 | -8.659 | 0.000 | -0.000 | 0.000 | 
| -8.659 | 95.509 | -8.659 | 0.000 | 0.000 | -0.000 | 
| -8.659 | -8.659 | 95.509 | 0.000 | -0.000 | -0.000 | 
| -0.000 | -0.000 | -0.000 | -8.659 | 0.000 | -0.000 | 
| -0.000 | 0.000 | -0.000 | 0.000 | -8.659 | 0.000 | 
| -0.000 | -0.000 | -0.000 | -0.000 | -0.000 | -8.659 | 
| 95.509 | -8.659 | -8.659 | 0.000 | 0.000 | -0.000 | 
| -8.659 | 95.509 | -8.659 | 0.000 | 0.000 | 0.000 | 
| -8.659 | -8.659 | 95.509 | 0.000 | 0.000 | 0.000 | 
| 0.000 | 0.000 | 0.000 | -8.659 | -0.000 | 0.000 | 
| 0.000 | -0.000 | 0.000 | 0.000 | -8.659 | -0.000 | 
| 0.000 | 0.000 | 0.000 | 0.000 | 0.000 | -8.659 | 
| 95.509 | -8.659 | -8.659 | 0.000 | -0.000 | -0.000 | 
| -8.659 | 95.509 | -8.659 | 0.000 | 0.000 | -0.000 | 
| -8.659 | -8.659 | 95.509 | 0.000 | -0.000 | -0.000 | 
| -0.000 | 0.000 | -0.000 | -8.659 | -0.000 | -0.000 | 
| 0.000 | 0.000 | 0.000 | 0.000 | -8.659 | -0.000 | 
| 0.000 | 0.000 | -0.000 | -0.000 | -0.000 | -8.659 | 
| 95.509 | -8.659 | -8.659 | 0.000 | 0.000 | -0.000 | 
| -8.659 | 95.509 | -8.659 | 0.000 | 0.000 | 0.000 | 
| -8.659 | -8.659 | 95.509 | -0.000 | 0.000 | 0.000 | 
| 0.000 | -0.000 | 0.000 | -8.659 | -0.000 | 0.000 | 
| -0.000 | 0.000 | 0.000 | -0.000 | -8.659 | 0.000 | 
| -0.000 | -0.000 | 0.000 | 0.000 | 0.000 | -8.659 | 
| 95.509 | -8.659 | -8.659 | -0.000 | -0.000 | -0.000 | 
| -8.659 | 95.509 | -8.659 | -0.000 | 0.000 | -0.000 | 
| -8.659 | -8.659 | 95.509 | -0.000 | -0.000 | -0.000 | 
| -0.000 | 0.000 | 0.000 | -8.659 | 0.000 | -0.000 | 
| 0.000 | -0.000 | 0.000 | -0.000 | -8.659 | -0.000 | 
| 0.000 | 0.000 | -0.000 | -0.000 | -0.000 | -8.659 | 
| 95.509 | -8.659 | -8.659 | 0.000 | 0.000 | 0.000 | 
| -8.659 | 95.509 | -8.659 | 0.000 | 0.000 | -0.000 | 
| -8.659 | -8.659 | 95.509 | 0.000 | 0.000 | 0.000 | 
| 0.000 | -0.000 | -0.000 | -8.659 | 0.000 | 0.000 | 
| -0.000 | 0.000 | -0.000 | 0.000 | -8.659 | 0.000 | 
| -0.000 | -0.000 | 0.000 | 0.000 | 0.000 | -8.659 | 
| 1843.276 | -451.261 | -1052.382 | -0.019 | -1194.423 | 0.006 | 
| 1743.859 | -329.032 | -1057.446 | -0.019 | -1254.475 | 0.006 | 
| 1051.393 | -1281.473 | -465.139 | -0.076 | -1742.253 | 0.025 | 
| 1665.476 | -542.274 | -2571.042 | -71.337 | -1461.289 | 16.327 | 
| 1029.272 | 319.654 | -2000.794 | -0.142 | -754.897 | 0.041 | 
| 0.000 | 0.000 | 0.000 | 11.273 | -0.000 | 118.125 | 
| 342.638 | 128.183 | 106.954 | -0.000 | 132.258 | 0.000 | 
| -1994.804 | 121.319 | 2196.209 | 0.171 | 1512.277 | -0.053 | 
| -1465.167 | 703.911 | 1400.080 | 0.019 | 1232.525 | -0.006 | 
| -1665.476 | 542.278 | 2571.049 | -70.995 | 1461.295 | 16.221 | 
| -1595.324 | 594.560 | 1138.700 | 0.019 | 1327.616 | -0.006 | 
| -0.000 | -0.000 | 0.000 | 11.273 | 0.000 | 118.125 | 
| 342.639 | 128.184 | 106.954 | 0.000 | 132.258 | -0.000 | 
| 118.157 | 388.416 | 104.065 | -0.000 | 11.658 | -0.000 | 
| 313.317 | 58.703 | 109.144 | -0.002 | -158.658 | 0.001 | 
| 160.377 | -58.155 | -116.626 | 29.169 | -125.424 | 16.819 | 
| 104.359 | -100.160 | -34.602 | -0.006 | -157.650 | 0.002 | 
| 162.055 | -58.764 | -117.846 | 16.089 | -126.736 | 46.853 | 
| 64.482 | 194.119 | 241.854 | 0.002 | 198.273 | -0.001 | 
| -41.471 | 98.469 | 80.589 | 0.008 | 195.811 | -0.003 | 
| -101.343 | 165.810 | 84.616 | 0.007 | 194.834 | -0.002 | 
| -160.376 | 58.155 | 116.625 | 29.173 | 125.423 | 16.817 | 
| -145.723 | 68.910 | 84.724 | 0.002 | 193.057 | -0.001 | 
| -106.614 | -21.515 | 209.155 | -13.692 | 81.262 | 16.651 | 
| 142.091 | 75.229 | 24.925 | -0.001 | 10.311 | 0.000 | 
| 25.142 | 47.860 | -29.007 | -0.001 | 7.674 | 0.000 | 
| 26.362 | -13.129 | 47.331 | -0.000 | -18.154 | 0.000 | 
| 16.602 | -3.349 | -6.890 | -1.963 | -5.996 | 7.297 | 
| 36.249 | 2.901 | -46.157 | -0.000 | 43.154 | 0.000 | 
| 12.959 | -8.252 | -8.291 | -6.258 | -13.726 | 28.077 | 
| 120.787 | 107.420 | 57.935 | 0.001 | 30.754 | -0.000 | 
| -15.555 | 49.647 | -0.333 | 0.000 | 15.138 | -0.000 | 
| 0.663 | -0.398 | 62.719 | 0.000 | 7.054 | -0.000 | 
| -14.239 | 8.758 | 9.208 | 27.672 | 14.768 | -5.347 | 
| -0.888 | 16.340 | -17.500 | 0.000 | 63.558 | -0.000 | 
| -12.959 | 8.252 | 8.291 | -6.257 | 13.726 | 28.077 | 
| 290.215 | 99.275 | 127.961 | 0.000 | 82.602 | -0.000 | 
| 106.048 | 155.981 | 114.268 | 0.000 | 9.318 | -0.000 | 
| 35.301 | 73.274 | 79.980 | 0.000 | -12.691 | -0.000 | 
| 0.001 | -0.000 | 0.002 | 20.216 | 0.000 | -0.179 | 
| -39.673 | 11.727 | 7.229 | 0.000 | 125.257 | 0.000 | 
| 0.000 | 0.000 | -0.000 | 10.810 | 0.000 | 91.903 | 
| 83.989 | 72.216 | 28.478 | -0.000 | 22.275 | 0.000 | 
| 11.928 | 71.722 | 34.443 | 0.000 | 14.931 | 0.000 | 
| 120.904 | 100.982 | 290.447 | -0.000 | 7.229 | 0.000 | 
| -0.001 | 0.000 | -0.002 | 20.216 | -0.000 | -0.179 | 
| -30.404 | 9.989 | 9.760 | -0.000 | 48.043 | 0.000 | 
| -0.000 | -0.000 | 0.000 | 10.810 | -0.000 | 91.903 | 
| 165.105 | 109.671 | 141.383 | 0.000 | 22.585 | -0.000 | 
| 87.827 | 341.388 | 100.982 | -0.000 | 11.727 | -0.000 | 
| 120.904 | 100.982 | 290.447 | -0.000 | 7.229 | 0.000 | 
| 0.000 | -0.000 | 0.000 | 25.043 | 0.000 | -2.692 | 
| -30.401 | 9.988 | 9.759 | 0.000 | 48.043 | -0.000 | 
| 0.000 | -0.000 | -0.000 | 14.188 | 0.000 | 33.354 | 
| 165.113 | 109.671 | 141.383 | -0.000 | 22.589 | 0.000 | 
| 87.827 | 341.388 | 100.982 | -0.000 | 11.727 | -0.000 | 
| 35.296 | 73.275 | 79.984 | -0.000 | -12.691 | 0.000 | 
| -0.000 | 0.000 | -0.000 | 25.043 | -0.000 | -2.692 | 
| -30.401 | 9.988 | 9.759 | -0.000 | 48.043 | 0.000 | 
| -0.000 | 0.000 | 0.000 | 14.188 | -0.000 | 33.354 | 
| 84.084 | 72.291 | 28.699 | 0.000 | 22.246 | -0.000 | 
| -6.817 | 40.628 | -2.519 | 0.000 | 8.438 | -0.000 | 
| 120.905 | 100.983 | 290.448 | -0.000 | 7.229 | 0.000 | 
| 0.000 | 0.000 | 0.000 | 103.992 | 0.000 | 10.810 | 
| -39.673 | 11.727 | 7.230 | 0.000 | 125.257 | -0.000 | 
| 0.000 | 0.000 | 0.000 | 10.810 | -0.000 | 91.903 | 
| 84.055 | 72.212 | 28.480 | -0.000 | 22.303 | 0.000 | 
| 11.977 | 71.296 | 34.484 | 0.000 | 14.924 | -0.000 | 
| 3.611 | 3.623 | 49.805 | -0.000 | 7.706 | 0.000 | 
| -0.000 | -0.000 | -0.000 | 103.992 | -0.000 | 10.810 | 
| -30.401 | 9.988 | 9.759 | -0.000 | 48.043 | 0.000 | 
| -0.000 | -0.000 | -0.000 | 10.810 | 0.000 | 91.903 | 
| -468.409 | -297.974 | 707.915 | 0.804 | 0.100 | -0.074 | 
| -586.048 | -191.293 | 734.123 | 0.751 | 0.094 | -0.069 | 
| -618.594 | -188.141 | 972.021 | 0.862 | 0.108 | -0.079 | 
| -668.817 | -317.749 | 676.042 | 87.859 | 0.105 | -0.077 | 
| -494.164 | 666.459 | 791.855 | 0.564 | 46.649 | -0.126 | 
| -591.980 | 707.750 | 614.547 | 0.185 | 0.159 | 18.414 | 
| 857.381 | 325.655 | -647.183 | -0.887 | -0.111 | 0.081 | 
| 524.436 | -573.647 | -689.102 | -0.507 | -0.178 | 0.127 | 
| 600.395 | -604.538 | -397.909 | -0.230 | -0.159 | 0.108 | 
| 668.725 | 317.705 | -675.950 | 86.179 | -0.105 | 0.077 | 
| 494.161 | -666.451 | -791.849 | -0.564 | 46.297 | 0.126 | 
| 591.980 | -707.752 | -614.550 | -0.185 | -0.159 | 18.629 | 
| 150.639 | 8.696 | 112.353 | 0.064 | 0.008 | -0.006 | 
| 134.145 | 285.260 | 128.099 | -0.000 | -0.000 | 0.000 | 
| -3.751 | 311.942 | -315.705 | 0.104 | 0.041 | -0.028 | 
| -46.537 | 100.940 | 52.103 | 87.506 | 0.011 | -0.007 | 
| -58.927 | 74.672 | 61.823 | 0.017 | 40.615 | -0.011 | 
| -56.175 | 79.082 | 59.889 | 0.013 | 0.016 | 28.898 | 
| 214.222 | 13.471 | -12.980 | -0.098 | -0.012 | 0.009 | 
| 55.398 | 83.442 | 58.517 | -0.092 | -0.011 | 0.008 | 
| 47.927 | -5.601 | 161.358 | -0.054 | -0.013 | 0.009 | 
| 46.512 | -100.993 | -52.057 | 87.386 | -0.011 | 0.007 | 
| 51.102 | -65.436 | -80.757 | -0.059 | 46.096 | 0.013 | 
| 56.176 | -79.084 | -59.892 | -0.013 | -0.016 | 28.919 | 
| 40.945 | 11.408 | -3.125 | 0.001 | 0.002 | -0.001 | 
| 7.400 | 111.000 | 66.999 | 0.005 | 0.001 | -0.001 | 
| 12.976 | 140.506 | 0.244 | 0.005 | 0.001 | -0.001 | 
| -4.396 | 4.084 | 6.446 | 87.239 | 0.001 | -0.001 | 
| -3.967 | -1.885 | 4.010 | 0.005 | 47.270 | -0.000 | 
| -3.315 | -1.575 | 3.351 | 0.004 | 0.001 | 51.509 | 
| 47.643 | 7.528 | -1.746 | -0.005 | -0.001 | 0.001 | 
| 12.371 | 95.831 | 51.202 | -0.004 | -0.001 | 0.000 | 
| 29.447 | 98.352 | 70.991 | 0.002 | -0.017 | 0.016 | 
| 4.396 | -4.084 | -6.445 | 87.230 | -0.001 | 0.001 | 
| 3.968 | 1.885 | -4.010 | -0.005 | 47.267 | 0.000 | 
| 3.315 | 1.575 | -3.351 | -0.004 | -0.001 | 51.511 | 
| 627903.914 | 13930178.527 | -5225977.798 | -2842207.175 | 5564382.574 | 792903.713 | 
| 627840.942 | 13930163.755 | -5226007.951 | -2842209.136 | 5564378.134 | 792903.627 | 
| 627863.645 | 13930174.539 | -5225935.998 | -2842207.411 | 5564380.054 | 792904.060 | 
| 627840.104 | 13930175.918 | -5226003.100 | -2842208.054 | 5564376.334 | 792903.243 | 
| 627836.202 | 13930176.138 | -5226000.468 | -2842206.972 | 5564401.747 | 792903.639 | 
| 627841.106 | 13930175.589 | -5226003.556 | -2842207.329 | 5564376.769 | 792907.069 | 
| -627777.051 | -13930173.242 | 5226029.700 | 2842208.658 | -5564370.847 | -792903.991 | 
| -627840.019 | -13930188.008 | 5225999.549 | 2842206.695 | -5564375.287 | -792904.076 | 
| -627817.338 | -13930177.250 | 5226071.492 | 2842208.427 | -5564373.366 | -792903.644 | 
| -627840.861 | -13930175.850 | 5226004.398 | 2842207.779 | -5564377.086 | -792904.460 | 
| -627844.759 | -13930175.624 | 5226007.032 | 2842208.859 | -5564351.673 | -792904.064 | 
| -627839.854 | -13930176.174 | 5226003.944 | 2842208.503 | -5564376.652 | -792900.634 | 
| 62847.510 | 1393020.268 | -522574.409 | -284220.058 | 556443.533 | 79290.246 | 
| 62784.519 | 1393005.472 | -522604.571 | -284222.014 | 556439.094 | 79290.161 | 
| 62807.235 | 1393016.274 | -522532.608 | -284220.292 | 556441.013 | 79290.595 | 
| 62783.697 | 1393017.655 | -522599.713 | -284220.938 | 556437.294 | 79289.778 | 
| 62779.773 | 1393017.849 | -522597.091 | -284219.849 | 556462.708 | 79290.173 | 
| 62784.678 | 1393017.300 | -522600.179 | -284220.206 | 556437.729 | 79293.603 | 
| -62720.646 | -1393014.980 | 522626.311 | 284221.541 | -556431.806 | -79290.525 | 
| -62783.597 | -1393029.727 | 522596.169 | 284219.574 | -556436.247 | -79290.610 | 
| -62760.992 | -1393019.063 | 522668.074 | 284221.329 | -556434.323 | -79290.180 | 
| -62784.452 | -1393017.585 | 522601.013 | 284220.662 | -556438.046 | -79290.994 | 
| -62788.325 | -1393017.329 | 522603.658 | 284221.735 | -556412.634 | -79290.598 | 
| -62783.425 | -1393017.884 | 522600.568 | 284221.380 | -556437.612 | -79287.168 | 
| 6341.998 | 139304.590 | -52233.991 | -28421.364 | 55649.622 | 7928.899 | 
| 6278.944 | 139289.721 | -52264.199 | -28423.319 | 55645.189 | 7928.818 | 
| 6301.459 | 139300.288 | -52192.287 | -28421.523 | 55647.105 | 7929.252 | 
| 6278.127 | 139301.915 | -52259.340 | -28422.250 | 55643.387 | 7928.435 | 
| 6274.134 | 139302.024 | -52256.749 | -28421.138 | 55668.801 | 7928.826 | 
| 6279.002 | 139301.430 | -52259.852 | -28421.484 | 55643.825 | 7932.256 | 
| -6215.192 | -139299.378 | 52285.878 | 28422.875 | -55637.895 | -7929.180 | 
| -6277.967 | -139313.907 | 52255.821 | 28420.861 | -55642.344 | -7929.266 | 
| -6255.741 | -139303.711 | 52327.534 | 28422.726 | -55640.403 | -7928.849 | 
| -6278.776 | -139301.716 | 52260.686 | 28421.941 | -55644.142 | -7929.650 | 
| -6282.687 | -139301.505 | 52263.315 | 28423.024 | -55618.728 | -7929.251 | 
| -6277.796 | -139302.071 | 52260.221 | 28422.673 | -55643.706 | -7925.822 | 
| 583.881 | -3.865 | 470.942 | 242.389 | -37.340 | -582.888 | 
| 234.457 | -68.042 | 519.338 | 302.302 | 225.695 | -868.667 | 
| 435.038 | 33.792 | 929.100 | 226.981 | -197.806 | -117.393 | 
| 473.955 | 297.123 | 1164.042 | 338.275 | -289.558 | -431.238 | 
| 0.836 | 0.193 | 0.819 | -0.603 | 43.729 | -0.848 | 
| 206.759 | 199.362 | 1310.073 | 378.214 | -51.697 | -83.877 | 
| 130.403 | 32.797 | 41.863 | -1.826 | 11.490 | 2.761 | 
| -436.010 | -2.739 | -885.488 | -185.239 | 203.202 | 116.984 | 
| -285.195 | -313.065 | -988.159 | -1066.233 | -419.119 | 719.998 | 
| -270.484 | -329.697 | -1001.601 | -1052.296 | -424.745 | 720.878 | 
| -270.166 | -294.603 | -966.730 | -1029.766 | -439.443 | 732.265 | 
| -98.838 | 92.889 | -825.342 | -157.200 | 350.489 | 182.395 | 
| 53.956 | -23.212 | 108.503 | 58.881 | 38.697 | -48.555 | 
| 42.474 | 25.460 | 102.586 | 43.075 | -18.683 | -12.025 | 
| 7.752 | 51.793 | 140.280 | 47.703 | 40.938 | -84.267 | 
| 48.634 | 18.914 | 68.831 | 37.009 | -32.605 | -33.724 | 
| 0.836 | 0.193 | 0.819 | -0.603 | 43.729 | -0.848 | 
| 8.851 | -9.369 | 78.149 | 14.888 | -20.262 | 13.433 | 
| 89.691 | 34.654 | -56.434 | -17.425 | 44.400 | 18.800 | 
| -56.695 | -78.102 | -149.359 | -51.595 | 6.197 | 32.310 | 
| -39.106 | -22.389 | -88.811 | -36.453 | 11.152 | 9.014 | 
| -10.114 | 35.754 | -54.490 | 17.165 | 32.949 | 15.227 | 
| -44.551 | -2.533 | -89.652 | -21.866 | 46.176 | 16.494 | 
| -0.776 | -1.023 | -0.274 | -0.068 | 16.655 | 34.081 | 
| 71.068 | -2.761 | 7.483 | 1.003 | 5.869 | -1.360 | 
| -6.793 | 3.595 | 20.524 | 9.938 | 0.346 | -8.513 | 
| -6.923 | 2.378 | 15.094 | 2.639 | 3.280 | -4.734 | 
| -0.310 | -5.127 | 3.236 | 4.127 | -0.753 | -3.860 | 
| 3.334 | 3.335 | 11.294 | 7.238 | -2.155 | 4.030 | 
| 0.747 | -2.386 | 5.299 | 3.744 | -4.047 | -8.774 | 
| 76.028 | 0.362 | -5.107 | -9.497 | 8.578 | 4.009 | 
| -11.947 | 2.298 | -10.109 | -5.329 | -1.068 | 2.362 | 
| -7.262 | 2.938 | -1.594 | -4.667 | 0.808 | 3.273 | 
| -7.921 | -4.842 | -9.233 | -0.222 | 0.601 | 2.681 | 
| -0.912 | 1.743 | -10.155 | -2.593 | 32.986 | 0.971 | 
| -3.660 | -4.733 | -10.796 | -8.819 | 1.775 | 3.988 | 
| 662.996 | 497.569 | 400.357 | 4.071 | -3.198 | -5.759 | 
| 36.482 | -67.162 | 68.668 | -3.268 | 0.385 | 0.475 | 
| 203.120 | 151.156 | -57.115 | -2.540 | -4.030 | -4.116 | 
| 294.556 | 373.199 | 922.273 | 40.053 | -2.380 | -0.556 | 
| 33.239 | 0.473 | 1.512 | -0.645 | 39.847 | -0.802 | 
| 62.347 | 260.594 | 549.645 | 4.956 | -1.861 | 118.246 | 
| -187.941 | -398.504 | -935.935 | -1.135 | 1.781 | 2.154 | 
| -181.997 | -89.171 | 21.006 | 2.711 | 4.009 | 4.247 | 
| -37.741 | 89.908 | -223.255 | 4.028 | 0.443 | 2.743 | 
| -167.812 | -34.488 | -229.830 | -75.119 | 4.396 | 1.074 | 
| -212.864 | -99.143 | -288.658 | 1.889 | -55.264 | -1.422 | 
| -152.338 | -271.253 | -501.583 | 0.747 | 6.575 | 440.377 | 
| 274.358 | 93.242 | 51.331 | -0.000 | 0.000 | 0.000 | 
| -0.505 | 17.964 | 30.548 | -0.225 | 0.034 | -0.228 | 
| 37.141 | 41.597 | 10.319 | -0.193 | -0.061 | -0.236 | 
| 2.845 | 0.040 | 0.129 | 38.785 | 0.018 | -0.069 | 
| 5.497 | -0.164 | 2.577 | -0.120 | 27.604 | -0.286 | 
| 5.818 | 0.523 | 6.914 | -0.266 | 0.003 | -1.320 | 
| 48.223 | 12.814 | -39.262 | 0.265 | 0.259 | 0.130 | 
| -24.021 | -3.754 | 37.014 | 0.190 | 0.090 | 0.400 | 
| -50.346 | -28.157 | -30.832 | 0.191 | 0.421 | 0.368 | 
| -2.840 | -0.040 | -0.129 | 39.002 | -0.018 | 0.069 | 
| -3.341 | -0.048 | -0.152 | 0.065 | 39.563 | 0.081 | 
| -18.218 | -35.388 | -69.223 | -0.438 | 0.510 | 0.396 | 
| 104.186 | 12.840 | 5.342 | -0.022 | -0.007 | -0.018 | 
| 11.793 | 21.251 | 15.690 | -0.022 | -0.013 | -0.017 | 
| 0.333 | 7.501 | 18.477 | -0.021 | -0.015 | -0.005 | 
| 1.065 | 0.873 | 2.206 | 4.665 | -0.020 | -0.022 | 
| 0.632 | -0.087 | 0.750 | -0.029 | 21.685 | -0.008 | 
| 0.955 | 0.285 | 1.111 | -0.017 | -0.010 | 19.945 | 
| 102.100 | 12.512 | 2.516 | 0.022 | 0.007 | 0.018 | 
| 10.647 | 28.143 | 12.580 | 0.022 | -0.004 | 0.007 | 
| -2.106 | 11.137 | 15.653 | 0.033 | 0.015 | 0.021 | 
| -1.122 | -0.687 | -1.911 | 5.411 | 0.019 | 0.031 | 
| -0.631 | 0.086 | -0.746 | 0.029 | 21.718 | 0.008 | 
| -1.177 | -0.402 | -1.340 | 0.029 | 0.010 | 18.826 | 
| 88.201 | 65.366 | 66.150 | -0.000 | 0.467 | 0.164 | 
| 39.196 | 66.538 | 46.790 | -0.000 | 0.470 | 0.165 | 
| 9.889 | 23.009 | 48.985 | -0.000 | 0.374 | 0.132 | 
| -6.204 | 17.130 | 46.399 | 4.619 | 0.418 | 0.147 | 
| -0.000 | -0.000 | 0.000 | 0.000 | 22.564 | -0.000 | 
| -0.000 | -0.000 | -0.000 | -0.000 | -0.000 | 54.508 | 
| 140.010 | 52.249 | 20.172 | -0.000 | 0.000 | 0.000 | 
| 52.249 | 112.117 | 58.645 | -0.000 | 0.000 | -0.000 | 
| -15.532 | -54.587 | -112.055 | 0.000 | -0.012 | -0.215 | 
| 6.204 | -17.130 | -46.399 | 4.619 | -0.418 | -0.147 | 
| -0.000 | -0.000 | 0.000 | -0.000 | 22.564 | -0.000 | 
| 0.000 | -0.000 | 0.000 | -0.000 | 0.000 | 54.508 | 
| 140.010 | 52.249 | 20.172 | -0.000 | -0.000 | 0.000 | 
| 52.249 | 112.117 | 58.645 | 0.000 | -0.000 | -0.000 | 
| 20.172 | 58.645 | 153.567 | 0.000 | -0.000 | -0.000 | 
| 0.000 | 0.000 | 0.000 | 61.065 | -0.000 | -0.000 | 
| -0.465 | 1.284 | 3.477 | -0.000 | 16.068 | 0.011 | 
| 0.000 | 0.000 | 0.000 | 0.000 | -0.000 | 54.508 | 
| 97.961 | 44.679 | 9.612 | 0.000 | -0.044 | -0.016 | 
| 3.477 | 25.707 | -7.409 | 0.000 | -0.039 | -0.008 | 
| -4.228 | -3.349 | 9.273 | 0.000 | -0.011 | -0.016 | 
| 0.368 | -1.016 | -2.753 | 27.575 | -0.025 | -0.009 | 
| 0.461 | -1.273 | -3.447 | 0.000 | 16.061 | -0.011 | 
| -0.000 | -0.000 | -0.000 | -0.000 | 0.000 | 54.508 | 
| 53.979 | -4.137 | 1.345 | -0.000 | -0.001 | 0.001 | 
| -5.024 | 19.943 | 6.539 | -0.000 | 0.004 | 0.002 | 
| -7.390 | -0.026 | 6.952 | -0.000 | 0.001 | 0.001 | 
| -0.345 | 0.035 | 0.825 | 6.422 | 0.004 | 0.001 | 
| -0.354 | -0.057 | 0.533 | -0.000 | 4.080 | -0.000 | 
| -0.382 | 0.028 | 0.921 | -0.000 | 0.005 | 12.936 | 
| 53.870 | -3.792 | 0.724 | 0.000 | -0.004 | -0.001 | 
| -2.476 | 4.641 | -0.791 | 0.000 | -0.010 | 0.001 | 
| -3.309 | 0.287 | 17.556 | 0.000 | -0.001 | -0.002 | 
| 0.345 | -0.035 | -0.825 | 6.422 | -0.004 | -0.001 | 
| 0.073 | -0.380 | -0.755 | -0.000 | 3.171 | -0.003 | 
| 0.382 | -0.027 | -0.921 | 0.000 | -0.005 | 12.932 | 
| -1641.085 | 2435.957 | -832.420 | -3333.808 | 1045.665 | -93.068 | 
| 999.583 | -380.845 | -237.632 | 933.398 | -1449.433 | -108.736 | 
| 702.248 | -694.408 | 361.213 | 631.692 | -1380.710 | 354.734 | 
| 567.632 | -885.763 | 175.394 | 674.088 | -1378.069 | 375.903 | 
| 540.035 | -846.501 | 179.652 | 628.233 | -1329.324 | 392.942 | 
| 1062.195 | -537.396 | -155.484 | 950.404 | -1368.289 | 252.101 | 
| -695.414 | 702.388 | 448.542 | -947.129 | 1452.574 | 51.141 | 
| 2630.258 | -3070.523 | 1267.866 | 1042.495 | -868.549 | -157.967 | 
| 157.115 | 153.641 | 310.024 | 13.669 | 23.673 | 2.272 | 
| -1366.168 | -2692.149 | 151.132 | 1593.213 | -238.486 | -414.501 | 
| -908.053 | 608.757 | 347.700 | -938.125 | 1530.863 | 83.439 | 
| -532.951 | 832.870 | -197.598 | -622.274 | 1386.300 | -330.549 | 
| 343.182 | 162.258 | 148.011 | 10.571 | -3.371 | -69.524 | 
| 215.015 | 126.230 | 188.741 | 37.275 | -110.397 | 6.368 | 
| 217.988 | 88.389 | 201.131 | 64.259 | -136.474 | 16.922 | 
| 100.360 | 163.442 | -64.857 | -231.744 | -14.723 | 25.760 | 
| 98.651 | -69.357 | -27.242 | 79.151 | -68.704 | -10.463 | 
| 56.886 | -118.929 | -5.737 | 67.794 | -127.724 | 77.930 | 
| -3.446 | 118.335 | 63.950 | -82.476 | 108.548 | -22.920 | 
| 111.066 | 286.419 | 155.779 | -86.144 | 159.533 | -65.779 | 
| 21.884 | 180.113 | 225.388 | -96.820 | 147.014 | 2.506 | 
| -22.111 | 66.887 | -16.771 | -14.975 | 136.719 | -34.693 | 
| 345.595 | -104.463 | 111.752 | 277.768 | 12.508 | -18.856 | 
| -94.334 | 38.968 | 35.184 | -93.986 | 150.871 | 21.171 | 
| 111.941 | 37.501 | 41.933 | 2.079 | -30.626 | -9.913 | 
| 42.690 | 90.376 | 26.770 | -15.242 | -14.658 | -0.643 | 
| 45.503 | 23.818 | 78.717 | -7.963 | -18.495 | 16.536 | 
| 5.563 | -18.197 | -11.899 | 51.919 | -25.897 | 0.540 | 
| -7.018 | -14.303 | -3.703 | 9.265 | 25.378 | 8.228 | 
| -21.794 | -0.514 | -0.308 | -17.591 | -19.989 | 11.909 | 
| 89.471 | 43.605 | 33.521 | -1.638 | -5.946 | -15.950 | 
| 27.362 | 101.851 | 25.941 | -19.265 | 5.785 | -15.825 | 
| 53.016 | -1.196 | 49.761 | 9.921 | -11.998 | 32.009 | 
| -3.770 | 10.248 | -2.033 | 56.578 | 9.676 | 1.186 | 
| -34.546 | -9.536 | -12.135 | -9.966 | 17.402 | -5.751 | 
| -7.925 | -30.326 | -17.861 | 2.539 | 13.964 | 71.731 | 
| -579344.515 | -240971.457 | 64.177 | -85904.784 | -10340.400 | 159894.418 | 
| -290136.593 | -106257.730 | -49039.836 | -58682.762 | 1367.877 | 51455.443 | 
| -306729.909 | -122801.944 | -63721.772 | -71515.025 | -1413.914 | 50677.066 | 
| -290042.581 | -106408.057 | -49079.675 | -58607.280 | 1302.975 | 51525.813 | 
| -289932.697 | -106541.511 | -49219.042 | -58395.217 | 1020.300 | 51657.448 | 
| -491061.827 | -264197.523 | -60174.876 | -104440.207 | -23250.048 | 126052.080 | 
| 290185.822 | 106496.570 | 49211.108 | 58599.088 | -1271.914 | -51513.167 | 
| 306825.406 | 123144.211 | 63613.677 | 71480.436 | 1422.911 | -50784.442 | 
| 290083.212 | 106467.554 | 49205.709 | 58604.391 | -1289.389 | -51515.427 | 
| 290018.879 | 106227.855 | 49144.001 | 58606.700 | -1283.612 | -51407.137 | 
| 290052.381 | 106405.410 | 49071.967 | 58618.958 | -1311.712 | -51515.627 | 
| 290068.161 | 106470.243 | 49083.596 | 58581.941 | -1281.875 | -51518.530 | 
| -30515.418 | -12269.384 | -6356.645 | -7141.922 | -150.061 | 5072.187 | 
| -30689.090 | -12141.812 | -6346.663 | -7150.208 | -136.031 | 5081.377 | 
| -30656.915 | -12279.586 | -6293.626 | -7150.997 | -144.251 | 5076.638 | 
| -49663.501 | -21232.754 | -2021.756 | -9132.143 | -621.121 | 15262.911 | 
| -61703.620 | -35571.351 | 2273.639 | -7290.770 | -416.043 | 11199.497 | 
| -28995.687 | -10652.507 | -4920.244 | -5847.279 | 108.694 | 5206.317 | 
| 29136.418 | 10661.316 | 4941.816 | 5851.642 | -116.128 | -5156.232 | 
| 30687.356 | 12435.897 | 6393.064 | 7149.178 | 145.616 | -5062.734 | 
| 29027.296 | 10689.424 | 4982.936 | 5844.218 | -104.975 | -5161.710 | 
| 29008.063 | 10638.634 | 4907.410 | 5870.192 | -132.166 | -5149.889 | 
| 29017.086 | 10673.479 | 4908.228 | 5846.515 | -107.792 | -5159.833 | 
| 56938.832 | 25538.378 | 987.495 | 9563.785 | 1821.050 | -16583.519 | 
| -2767.626 | -1054.583 | -468.566 | -585.736 | 12.713 | 515.820 | 
| -2890.241 | -929.723 | -467.472 | -586.384 | 13.087 | 514.914 | 
| -2875.492 | -1039.976 | -427.399 | -585.678 | 12.755 | 514.827 | 
| -4921.625 | -2640.755 | -602.926 | -1035.947 | -231.350 | 1266.209 | 
| -3066.662 | -1230.661 | -637.270 | -714.861 | -7.693 | 506.128 | 
| -2900.230 | -1063.784 | -491.072 | -586.191 | 13.241 | 563.945 | 
| 3201.722 | 1239.264 | 660.621 | 715.388 | 15.066 | -506.972 | 
| 2910.781 | 1199.324 | 514.188 | 585.645 | -12.054 | -515.906 | 
| 3092.990 | 1252.054 | 698.578 | 711.258 | 14.115 | -509.202 | 
| 3070.730 | 1226.720 | 631.489 | 716.933 | 14.164 | -510.914 | 
| 2901.058 | 1065.740 | 491.137 | 585.385 | -5.217 | -515.848 | 
| 2900.237 | 1064.014 | 492.079 | 585.801 | -12.480 | -465.915 | 
| 113.736 | 568.039 | 568.039 | -0.000 | -0.000 | 0.000 | 
| 568.038 | 113.736 | 568.039 | 0.000 | -0.000 | 0.000 | 
| 568.038 | 568.039 | 113.736 | 0.000 | -0.000 | 0.000 | 
| -0.000 | 0.000 | 0.000 | 154.681 | -0.000 | 0.000 | 
| 0.000 | 0.000 | 0.000 | -0.000 | 154.680 | 0.000 | 
| -0.000 | 0.000 | -0.000 | -0.000 | -0.000 | 154.681 | 
| 113.736 | 568.038 | 568.038 | 0.000 | 0.000 | -0.000 | 
| 568.039 | 113.736 | 568.038 | 0.000 | 0.000 | -0.000 | 
| 568.039 | 568.038 | 113.736 | -0.000 | 0.000 | -0.000 | 
| 0.000 | -0.000 | -0.000 | 154.680 | 0.000 | -0.000 | 
| 0.000 | -0.000 | -0.000 | 0.000 | 154.681 | -0.000 | 
| -0.000 | -0.000 | -0.000 | 0.000 | 0.000 | 154.680 | 
| 113.736 | 568.039 | 568.039 | 0.000 | -0.000 | 0.000 | 
| 568.039 | 113.736 | 568.039 | 0.000 | -0.000 | 0.000 | 
| 568.039 | 568.039 | 113.736 | 0.000 | -0.000 | 0.000 | 
| -0.000 | -0.000 | 0.000 | 154.681 | -0.000 | 0.000 | 
| -0.000 | -0.000 | 0.000 | -0.000 | 154.680 | 0.000 | 
| -0.000 | 0.000 | -0.000 | -0.000 | -0.000 | 154.681 | 
| 113.736 | 568.038 | 568.038 | 0.000 | 0.000 | -0.000 | 
| 568.038 | 113.736 | 568.038 | -0.000 | 0.000 | -0.000 | 
| 568.038 | 568.038 | 113.736 | -0.000 | 0.000 | -0.000 | 
| 0.000 | 0.000 | -0.000 | 154.680 | 0.000 | -0.000 | 
| 0.000 | 0.000 | -0.000 | 0.000 | 154.681 | -0.000 | 
| 0.000 | -0.000 | 0.000 | 0.000 | 0.000 | 154.680 | 
| 113.733 | 568.040 | 568.040 | -0.000 | -0.000 | 0.000 | 
| 568.040 | 113.733 | 568.040 | 0.000 | -0.000 | 0.000 | 
| 568.040 | 568.040 | 113.733 | 0.000 | -0.000 | 0.000 | 
| -0.000 | -0.000 | 0.000 | 154.681 | -0.000 | 0.000 | 
| -0.000 | -0.000 | 0.000 | -0.000 | 154.680 | 0.000 | 
| -0.000 | 0.000 | -0.000 | 0.000 | -0.000 | 154.681 | 
| 113.739 | 568.037 | 568.037 | -0.000 | 0.000 | -0.000 | 
| 568.037 | 113.739 | 568.037 | -0.000 | 0.000 | -0.000 | 
| 568.037 | 568.037 | 113.739 | -0.000 | 0.000 | -0.000 | 
| 0.000 | 0.000 | -0.000 | 154.680 | 0.000 | -0.000 | 
| 0.000 | 0.000 | -0.000 | 0.000 | 154.681 | -0.000 | 
| 0.000 | -0.000 | 0.000 | 0.000 | 0.000 | 154.680 | 
| 895.372 | 267.056 | 267.056 | 0.000 | 0.000 | 0.000 | 
| 267.056 | 895.372 | 267.056 | -0.000 | 0.000 | 0.000 | 
| 267.056 | 267.056 | 895.372 | 0.000 | 0.000 | 0.000 | 
| 0.000 | -0.000 | 0.000 | -107.669 | 0.000 | 0.000 | 
| -0.000 | 0.000 | 0.000 | 0.000 | -107.668 | 0.000 | 
| 0.000 | -0.000 | 0.000 | 0.000 | 0.000 | -107.669 | 
| 895.372 | 267.056 | 267.056 | -0.000 | -0.000 | -0.000 | 
| 267.056 | 895.372 | 267.056 | -0.000 | -0.000 | -0.000 | 
| 267.056 | 267.056 | 895.371 | -0.000 | -0.000 | -0.000 | 
| -0.000 | -0.000 | -0.000 | -107.669 | -0.000 | -0.000 | 
| 0.000 | -0.000 | -0.000 | -0.000 | -107.669 | -0.000 | 
| 0.000 | 0.000 | -0.000 | -0.000 | -0.000 | -107.669 | 
| 895.372 | 267.056 | 267.056 | -0.000 | 0.000 | 0.000 | 
| 267.056 | 895.372 | 267.056 | 0.000 | 0.000 | 0.000 | 
| 267.056 | 267.056 | 895.372 | 0.000 | 0.000 | 0.000 | 
| -0.000 | 0.000 | -0.000 | -107.669 | 0.000 | 0.000 | 
| 0.000 | -0.000 | -0.000 | 0.000 | -107.669 | 0.000 | 
| 0.000 | -0.000 | 0.000 | 0.000 | 0.000 | -107.669 | 
| 895.371 | 267.056 | 267.056 | -0.000 | -0.000 | -0.000 | 
| 267.056 | 895.371 | 267.056 | -0.000 | -0.000 | -0.000 | 
| 267.056 | 267.056 | 895.371 | -0.000 | -0.000 | -0.000 | 
| 0.000 | -0.000 | 0.000 | -107.669 | -0.000 | -0.000 | 
| -0.000 | 0.000 | 0.000 | -0.000 | -107.669 | -0.000 | 
| -0.000 | 0.000 | -0.000 | -0.000 | -0.000 | -107.669 | 
| 895.376 | 267.059 | 267.059 | 0.000 | 0.000 | 0.000 | 
| 267.059 | 895.376 | 267.059 | -0.000 | 0.000 | 0.000 | 
| 267.059 | 267.059 | 895.376 | 0.000 | 0.000 | 0.000 | 
| -0.000 | 0.000 | -0.000 | -107.669 | 0.000 | 0.000 | 
| 0.000 | -0.000 | -0.000 | 0.000 | -107.669 | 0.000 | 
| 0.000 | -0.000 | -0.000 | -0.000 | 0.000 | -107.669 | 
| 895.368 | 267.053 | 267.053 | -0.000 | -0.000 | -0.000 | 
| 267.053 | 895.368 | 267.053 | -0.000 | -0.000 | -0.000 | 
| 267.053 | 267.053 | 895.368 | -0.000 | -0.000 | -0.000 | 
| 0.000 | -0.000 | 0.000 | -107.669 | -0.000 | -0.000 | 
| -0.000 | 0.000 | 0.000 | 0.000 | -107.669 | -0.000 | 
| -0.000 | 0.000 | 0.000 | -0.000 | -0.000 | -107.669 | 
| 277.787 | 53.998 | 53.998 | -0.002 | -0.003 | -0.002 | 
| 53.998 | 277.788 | 53.998 | -0.002 | -0.002 | -0.002 | 
| 53.998 | 53.998 | 277.788 | -0.003 | -0.003 | -0.002 | 
| 2872638593.562 | 1997623112.014 | 2130788835.592 | -1869316964.940 | 33529123.853 | 8896688.411 | 
| 2042984247.881 | 2892118110.681 | 2083832357.963 | 248922558.013 | -1917505710.820 | 149021780.564 | 
| 2129281615.782 | 2166591086.580 | 2913103566.198 | 130726925.758 | 30594151.586 | -1744753706.747 | 
| 277.788 | 53.998 | 53.998 | 0.002 | 0.003 | 0.002 | 
| 53.998 | 277.788 | 53.998 | 0.002 | 0.002 | 0.002 | 
| 53.998 | 53.998 | 277.787 | 0.002 | 0.003 | 0.002 | 
| -2958663274.548 | -2536021047.088 | -2686147418.572 | -928364128.114 | 871994245.820 | 748872869.893 | 
| -2431581726.631 | -3186684707.450 | -2454422031.829 | 759768673.771 | -1390257349.577 | 552620620.582 | 
| -2540465922.228 | -2468968171.239 | -3116895019.012 | 838857830.534 | 646862921.246 | -1135626643.458 | 
| 277.788 | 53.998 | 53.998 | -0.000 | -0.000 | -0.000 | 
| 53.998 | 277.788 | 53.998 | -0.000 | -0.000 | -0.000 | 
| 53.998 | 53.998 | 277.788 | -0.000 | -0.000 | -0.000 | 
| 306851842.513 | 224253630.223 | 215271079.455 | -181362984.457 | 18617834.825 | 20024702.969 | 
| 190138086.143 | 270797261.363 | 185731160.790 | 27971057.327 | -216598311.296 | -839554.481 | 
| 150408967.861 | 150029891.929 | 254864578.894 | -1697948.804 | -29840797.331 | -256758779.181 | 
| 277.788 | 53.998 | 53.998 | -0.000 | 0.000 | -0.000 | 
| 53.998 | 277.788 | 53.998 | -0.000 | -0.000 | -0.000 | 
| 53.998 | 53.998 | 277.788 | 0.000 | 0.000 | 0.000 | 
| -279312066.689 | -235257037.137 | -253796304.252 | -100409552.203 | 80965627.726 | 102112517.335 | 
| -228465744.490 | -269181110.776 | -230213406.351 | 94961348.470 | -107281641.469 | 103796735.354 | 
| -224820805.782 | -237792774.934 | -268290664.857 | 88026671.189 | 110203688.842 | -112126677.101 | 
| 277.788 | 53.998 | 53.998 | -0.000 | -0.000 | -0.000 | 
| 53.998 | 277.788 | 53.998 | -0.000 | -0.000 | -0.000 | 
| 53.998 | 53.998 | 277.788 | -0.000 | -0.000 | -0.000 | 
| 31502916.835 | 20928031.698 | 22346427.538 | -18449650.648 | 1256759.635 | -1222102.112 | 
| 21310058.594 | 31573949.363 | 22065277.167 | 1715693.129 | -18161159.505 | -888266.069 | 
| 20265837.911 | 20353458.101 | 31126261.873 | 2061941.408 | -1129028.799 | -19355025.776 | 
| 277.787 | 53.998 | 53.998 | -0.000 | 0.000 | -0.000 | 
| 53.998 | 277.787 | 53.998 | -0.000 | 0.000 | -0.000 | 
| 53.998 | 53.998 | 277.787 | -0.000 | 0.000 | -0.000 | 
| -28279958.594 | -22691300.730 | -25239101.896 | -12781631.565 | 7878795.436 | 9896025.446 | 
| -21981044.787 | -27394197.574 | -25398623.827 | 8143359.962 | -12585598.813 | 10484047.454 | 
| -24247425.892 | -24358608.708 | -28143905.150 | 10042185.746 | 7613871.514 | -12193608.456 | 
| 1137.829 | 1178.326 | 687.081 | 0.003 | -0.005 | 0.016 | 
| 283.264 | 688.421 | 279.179 | -0.000 | -0.000 | 0.000 | 
| 289.184 | 289.184 | 191.285 | -0.000 | -0.000 | 0.000 | 
| 990.804 | 990.855 | 605.664 | -72.553 | -0.013 | 0.019 | 
| 0.000 | 0.000 | 0.000 | -0.000 | 214.689 | 0.000 | 
| 0.000 | -0.000 | 0.000 | -0.000 | -0.000 | 202.579 | 
| -943.841 | -538.666 | -476.230 | -0.093 | 0.075 | -0.043 | 
| -538.489 | -943.838 | -476.175 | -0.093 | 0.075 | -0.043 | 
| 289.184 | 289.184 | 191.285 | 0.000 | 0.000 | -0.000 | 
| -990.784 | -990.836 | -605.653 | -72.667 | 0.013 | -0.019 | 
| -0.000 | -0.000 | 0.000 | 0.000 | 214.689 | -0.000 | 
| -0.000 | -0.000 | -0.000 | -0.000 | 0.000 | 202.579 | 
| 347.267 | 381.297 | 203.505 | 0.005 | -0.004 | 0.002 | 
| 380.920 | 348.563 | 203.791 | 0.005 | -0.004 | 0.002 | 
| 289.184 | 289.184 | 191.285 | -0.000 | -0.000 | -0.000 | 
| 0.000 | 0.000 | 0.000 | 214.689 | -0.000 | -0.000 | 
| 66.933 | 66.938 | 40.967 | 0.003 | -27.246 | 0.002 | 
| 42.664 | 42.669 | 26.200 | 0.004 | -0.003 | 12.922 | 
| 688.421 | 283.263 | 279.179 | 0.000 | 0.000 | -0.000 | 
| 282.304 | 137.604 | 108.479 | -0.006 | 0.005 | -0.003 | 
| 289.184 | 289.184 | 191.285 | 0.000 | 0.000 | -0.000 | 
| -0.000 | -0.000 | -0.000 | 214.689 | -0.000 | -0.000 | 
| -66.996 | -67.001 | -41.005 | -0.003 | -27.624 | -0.002 | 
| -42.663 | -42.669 | -26.199 | -0.004 | 0.003 | 12.920 | 
| 122.169 | 164.583 | 67.208 | 0.000 | -0.000 | 0.000 | 
| 167.820 | 120.462 | 72.498 | 0.003 | -0.003 | 0.000 | 
| 76.555 | 76.556 | 53.632 | 0.001 | -0.001 | 0.000 | 
| 56.981 | 56.983 | 34.286 | -38.409 | -0.000 | -0.000 | 
| 6.274 | 6.275 | 3.841 | 0.000 | -21.066 | 0.000 | 
| 10.347 | 10.346 | 6.321 | 0.000 | -0.000 | -22.747 | 
| 115.288 | 136.518 | 58.181 | -0.001 | 0.001 | -0.000 | 
| 144.249 | 102.494 | 54.990 | -0.000 | 0.000 | -0.000 | 
| 57.285 | 57.284 | 41.844 | -0.001 | 0.001 | -0.000 | 
| -56.981 | -56.983 | -34.286 | -38.409 | 0.000 | 0.000 | 
| -6.274 | -6.275 | -3.841 | -0.000 | -21.065 | -0.000 | 
| -10.347 | -10.346 | -6.321 | -0.000 | 0.000 | -22.747 | 
| 100.079 | -3.016 | -3.017 | -0.000 | 0.000 | -0.000 | 
| -3.017 | 100.079 | -3.017 | -0.000 | -0.000 | 0.000 | 
| -3.017 | -3.016 | 100.079 | -0.000 | -0.000 | -0.000 | 
| 0.000 | 0.000 | 0.000 | -35.694 | 0.000 | -0.000 | 
| -0.000 | -0.000 | -0.000 | -0.000 | -35.694 | -0.000 | 
| 0.000 | -0.000 | 0.000 | -0.000 | 0.000 | -35.694 | 
| 100.079 | -3.017 | -3.017 | 0.000 | -0.000 | 0.000 | 
| -3.017 | 100.079 | -3.017 | 0.000 | -0.000 | 0.000 | 
| -3.017 | -3.016 | 100.079 | 0.000 | -0.000 | 0.000 | 
| -0.000 | 0.000 | -0.000 | -35.694 | -0.000 | 0.000 | 
| 0.000 | 0.000 | -0.000 | 0.000 | -35.694 | 0.000 | 
| -0.000 | 0.000 | -0.000 | 0.000 | -0.000 | -35.694 | 
| 100.079 | -3.017 | -3.017 | 0.000 | 0.000 | -0.000 | 
| -3.017 | 100.079 | -3.017 | -0.000 | -0.000 | -0.000 | 
| -3.017 | -3.017 | 100.079 | -0.000 | -0.000 | -0.000 | 
| 0.000 | -0.000 | -0.000 | -35.694 | -0.000 | -0.000 | 
| -0.000 | 0.000 | -0.000 | -0.000 | -35.694 | -0.000 | 
| -0.000 | -0.000 | 0.000 | -0.000 | 0.000 | -35.694 | 
| 100.079 | -3.017 | -3.017 | -0.000 | -0.000 | 0.000 | 
| -3.017 | 100.079 | -3.017 | 0.000 | -0.000 | 0.000 | 
| -3.017 | -3.017 | 100.079 | 0.000 | -0.000 | 0.000 | 
| -0.000 | 0.000 | 0.000 | -35.694 | 0.000 | 0.000 | 
| 0.000 | -0.000 | 0.000 | 0.000 | -35.694 | 0.000 | 
| 0.000 | 0.000 | -0.000 | 0.000 | -0.000 | -35.694 | 
| 100.079 | -3.017 | -3.017 | -0.000 | 0.000 | -0.000 | 
| -3.017 | 100.079 | -3.017 | -0.000 | 0.000 | -0.000 | 
| -3.017 | -3.017 | 100.079 | -0.000 | 0.000 | -0.000 | 
| 0.000 | -0.000 | -0.000 | -35.694 | -0.000 | -0.000 | 
| -0.000 | 0.000 | -0.000 | -0.000 | -35.694 | -0.000 | 
| -0.000 | -0.000 | 0.000 | -0.000 | 0.000 | -35.694 | 
| 100.079 | -3.017 | -3.017 | 0.000 | -0.000 | 0.000 | 
| -3.017 | 100.079 | -3.017 | -0.000 | -0.000 | 0.000 | 
| -3.017 | -3.017 | 100.079 | 0.000 | -0.000 | -0.000 | 
| -0.000 | 0.000 | 0.000 | -35.694 | 0.000 | -0.000 | 
| 0.000 | -0.000 | 0.000 | 0.000 | -35.694 | 0.000 | 
| 0.000 | 0.000 | -0.000 | 0.000 | -0.000 | -35.694 | 
| 67.525 | 10.742 | 10.742 | -0.000 | 0.000 | 0.000 | 
| 10.742 | 67.525 | 10.742 | 0.000 | -0.000 | -0.000 | 
| 10.742 | 10.742 | 67.525 | 0.000 | 0.000 | 0.000 | 
| 0.000 | 0.000 | 0.000 | 12.978 | -0.000 | 0.000 | 
| 0.000 | 0.000 | -0.000 | 0.000 | 12.978 | 0.000 | 
| 0.000 | 0.000 | 0.000 | 0.000 | 0.000 | 12.978 | 
| 67.525 | 10.742 | 10.742 | -0.000 | 0.000 | -0.000 | 
| 10.742 | 67.525 | 10.742 | -0.000 | 0.000 | -0.000 | 
| 10.742 | 10.742 | 67.525 | -0.000 | -0.000 | -0.000 | 
| 0.000 | 0.000 | -0.000 | 12.978 | 0.000 | -0.000 | 
| -0.000 | -0.000 | -0.000 | -0.000 | 12.978 | -0.000 | 
| -0.000 | -0.000 | -0.000 | -0.000 | -0.000 | 12.978 | 
| 67.525 | 10.742 | 10.742 | 0.000 | 0.000 | 0.000 | 
| 10.742 | 67.525 | 10.742 | 0.000 | 0.000 | 0.000 | 
| 10.742 | 10.742 | 67.525 | 0.000 | 0.000 | 0.000 | 
| 127255179.510 | 113901041.515 | 114175068.253 | -11568759.103 | -25920.804 | 198971.685 | 
| 113440544.213 | 127901625.215 | 113323225.502 | -53674.628 | -13139830.349 | 18122.777 | 
| 114510195.771 | 114710637.428 | 127316053.699 | 1878.511 | 100743.918 | -11081579.914 | 
| 67.525 | 10.742 | 10.742 | -0.000 | -0.000 | -0.000 | 
| 10.742 | 67.525 | 10.742 | -0.000 | -0.000 | -0.000 | 
| 10.742 | 10.742 | 67.525 | -0.000 | -0.000 | -0.000 | 
| -127536523.069 | -117051596.079 | -116648612.154 | -8162916.332 | 204655.654 | -75256.300 | 
| -116661618.128 | -127283402.344 | -116386470.222 | 273891.332 | -8401542.326 | -40541.242 | 
| -116636397.665 | -116791831.598 | -127132039.633 | -52363.299 | -121865.020 | -7867402.532 | 
| 67.525 | 10.742 | 10.742 | 0.000 | 0.000 | -0.000 | 
| 10.742 | 67.525 | 10.742 | -0.000 | -0.000 | 0.000 | 
| 10.742 | 10.742 | 67.525 | -0.000 | -0.000 | -0.000 | 
| 12727679.443 | 11426048.440 | 11429475.800 | -1102168.789 | 19080.716 | 35348.072 | 
| 11380085.151 | 12773584.219 | 11372345.463 | 33543.359 | -1212847.563 | 18335.362 | 
| 11502242.714 | 11506223.841 | 12756159.906 | 27707.316 | -2107.025 | -1082350.465 | 
| 67.525 | 10.742 | 10.742 | -0.000 | -0.000 | -0.000 | 
| 10.742 | 67.525 | 10.742 | 0.000 | 0.000 | -0.000 | 
| 10.742 | 10.742 | 67.525 | 0.000 | -0.000 | -0.000 | 
| -12680251.621 | -11629124.628 | -11602647.692 | -856313.734 | 10494.890 | 48858.347 | 
| -11690582.171 | -12708340.032 | -11668885.484 | 4955.323 | -796100.913 | 34165.227 | 
| -11638264.228 | -11636444.848 | -12691793.837 | -213.801 | 1345.090 | -854584.142 | 
| 26.775 | 7.181 | 7.181 | -0.000 | -0.000 | -0.000 | 
| 7.181 | 26.775 | 7.181 | -0.000 | -0.000 | -0.000 | 
| 7.181 | 7.181 | 26.775 | -0.000 | -0.000 | -0.000 | 
| 462466031.438 | 494934589.663 | 493373677.469 | 30150501.628 | -942904.481 | -644252.785 | 
| 495358915.267 | 460497819.071 | 495078703.188 | 596956.537 | 29632807.543 | -16245.205 | 
| 495559342.105 | 495828220.038 | 464983167.177 | 1003271.408 | -2045839.867 | 31759877.920 | 
| 26.775 | 7.181 | 7.181 | 0.000 | 0.000 | 0.000 | 
| 7.181 | 26.775 | 7.181 | 0.000 | 0.000 | 0.000 | 
| 7.181 | 7.181 | 26.775 | 0.000 | 0.000 | 0.000 | 
| -472461212.751 | -504930672.193 | -505017464.044 | 23078964.544 | 1150341.050 | 1131015.681 | 
| -505242680.557 | -474526212.566 | -505325301.057 | 1275998.475 | 23242940.174 | 1329170.094 | 
| -502218122.215 | -503607346.178 | -472844396.088 | 2818418.230 | 2071749.112 | 24338755.603 | 
| 26.775 | 7.181 | 7.181 | -0.000 | -0.000 | -0.000 | 
| 7.181 | 26.775 | 7.181 | -0.000 | -0.000 | -0.000 | 
| 7.181 | 7.181 | 26.775 | -0.000 | -0.000 | -0.000 | 
| 46286801.568 | 49147723.634 | 49345304.630 | 3034804.927 | -166028.745 | 60466.657 | 
| 49158452.058 | 45944254.255 | 49137597.535 | -117475.969 | 2987771.108 | -77457.722 | 
| 49006281.964 | 49052267.381 | 46107475.349 | -140841.251 | 79290.774 | 2989340.384 | 
| 26.775 | 7.181 | 7.181 | 0.000 | 0.000 | 0.000 | 
| 7.181 | 26.775 | 7.181 | 0.000 | 0.000 | 0.000 | 
| 7.181 | 7.181 | 26.775 | 0.000 | 0.000 | 0.000 | 
| -46804492.569 | -50110717.885 | -50523661.047 | 2934618.490 | -22540.031 | 11013.005 | 
| -50266878.090 | -46887973.814 | -50407534.735 | 20981.411 | 2887770.668 | -131357.711 | 
| -50311219.977 | -50482655.689 | -46975244.932 | 88691.930 | -77046.877 | 2712807.468 | 
| 26.775 | 7.181 | 7.181 | -0.000 | -0.000 | -0.000 | 
| 7.181 | 26.775 | 7.181 | -0.000 | -0.000 | -0.000 | 
| 7.181 | 7.181 | 26.775 | -0.000 | -0.000 | -0.000 | 
| 4631308.208 | 4951017.591 | 4954594.192 | 339168.423 | 34396.642 | 26465.673 | 
| 4957537.302 | 4631180.422 | 4960029.949 | 22911.391 | 335136.583 | 29970.083 | 
| 4964552.163 | 4944960.916 | 4644860.297 | 21465.000 | 31520.569 | 344059.046 | 
| 26.775 | 7.181 | 7.181 | 0.000 | 0.000 | 0.000 | 
| 7.181 | 26.775 | 7.181 | 0.000 | 0.000 | 0.000 | 
| 7.181 | 7.181 | 26.775 | 0.000 | 0.000 | 0.000 | 
| -4597763.638 | -4980335.946 | -4989884.160 | 284723.980 | -1860.170 | 24399.569 | 
| -4986315.316 | -4616633.410 | -4985288.755 | 7060.060 | 281633.664 | 16209.894 | 
| -4985048.803 | -4999945.229 | -4612349.822 | 15360.921 | 14226.909 | 295021.869 | 
| 3.008 | 0.000 | 0.000 | 0.000 | 0.000 | 0.000 | 
| 0.000 | 3.008 | 0.000 | 0.000 | 0.000 | -0.000 | 
| 0.000 | 0.000 | 3.008 | -0.000 | -0.000 | 0.000 | 
| 0.000 | 0.000 | 0.000 | 0.000 | 0.000 | 0.000 | 
| 0.000 | 0.000 | 0.000 | 0.000 | 0.000 | 0.000 | 
| 0.000 | 0.000 | 0.000 | 0.000 | 0.000 | 0.000 | 
| -0.000 | -0.000 | -0.000 | -0.000 | -0.000 | -0.000 | 
| -0.000 | -0.000 | -0.000 | -0.000 | -0.000 | -0.000 | 
| -0.000 | -0.000 | -0.000 | -0.000 | -0.000 | -0.000 | 
| -0.000 | -0.000 | -0.000 | -0.000 | -0.000 | -0.000 | 
| -0.000 | -0.000 | -0.000 | -0.000 | -0.000 | -0.000 | 
| -0.000 | -0.000 | -0.000 | -0.000 | -0.000 | -0.000 | 
| 3.360 | 0.000 | 0.000 | 0.000 | 0.000 | 0.000 | 
| 0.000 | 3.360 | 0.000 | 0.000 | 0.000 | -0.000 | 
| 0.000 | 0.000 | 3.360 | -0.000 | 0.000 | 0.000 | 
| 0.000 | 0.000 | 0.000 | 0.000 | 0.000 | 0.000 | 
| 0.000 | 0.000 | 0.000 | 0.000 | 0.000 | 0.000 | 
| 0.000 | 0.000 | 0.000 | 0.000 | 0.000 | 0.000 | 
| -0.000 | -0.000 | -0.000 | -0.000 | -0.000 | -0.000 | 
| -0.000 | -0.000 | -0.000 | -0.000 | -0.000 | -0.000 | 
| -0.000 | -0.000 | -0.000 | -0.000 | -0.000 | -0.000 | 
| -0.000 | -0.000 | -0.000 | -0.000 | -0.000 | -0.000 | 
| -0.000 | -0.000 | -0.000 | -0.000 | -0.000 | -0.000 | 
| -0.000 | -0.000 | -0.000 | -0.000 | -0.000 | -0.000 | 
| 1.887 | 1.887 | 1.887 | 0.000 | 0.000 | 0.000 | 
| 1.887 | 1.887 | 1.887 | 0.000 | 0.000 | 0.000 | 
| 1.887 | 1.887 | 1.887 | 0.000 | 0.000 | 0.000 | 
| 0.943 | 0.943 | 0.943 | 0.943 | 0.000 | 0.000 | 
| 0.943 | 0.943 | 0.943 | 0.000 | 0.943 | 0.000 | 
| 0.943 | 0.943 | 0.943 | 0.000 | 0.000 | 0.943 | 
| -0.000 | -0.000 | -0.000 | -0.000 | -0.000 | -0.000 | 
| -0.000 | -0.000 | -0.000 | -0.000 | -0.000 | -0.000 | 
| -0.000 | -0.000 | -0.000 | -0.000 | -0.000 | -0.000 | 
| -0.943 | -0.943 | -0.943 | 0.943 | -0.000 | -0.000 | 
| -0.943 | -0.943 | -0.943 | -0.000 | 0.943 | -0.000 | 
| -0.943 | -0.943 | -0.943 | -0.000 | -0.000 | 0.943 | 
| 1.887 | 1.887 | 1.887 | 0.000 | 0.000 | 0.000 | 
| 1.887 | 1.887 | 1.887 | 0.000 | 0.000 | 0.000 | 
| 1.887 | 1.887 | 1.887 | 0.000 | 0.000 | 0.000 | 
| -0.502 | -0.502 | -0.502 | -6.892 | -0.000 | -0.000 | 
| -0.502 | -0.502 | -0.502 | -0.000 | -6.892 | -0.000 | 
| -0.502 | -0.502 | -0.502 | -0.000 | -0.000 | -6.892 | 
| -0.000 | -0.000 | -0.000 | -0.000 | -0.000 | -0.000 | 
| -0.000 | -0.000 | -0.000 | -0.000 | -0.000 | -0.000 | 
| -0.000 | -0.000 | -0.000 | -0.000 | -0.000 | -0.000 | 
| 0.502 | 0.502 | 0.502 | -6.892 | -0.000 | -0.000 | 
| 0.502 | 0.502 | 0.502 | -0.000 | -6.892 | -0.000 | 
| 0.502 | 0.502 | 0.502 | 0.000 | -0.000 | -6.892 | 
| 1.887 | 1.887 | 1.887 | 0.000 | 0.000 | 0.000 | 
| 1.887 | 1.887 | 1.887 | 0.000 | 0.000 | 0.000 | 
| 1.887 | 1.887 | 1.887 | 0.000 | 0.000 | 0.000 | 
| 127218.699 | 199583.055 | 202734.068 | -119079.930 | 398.468 | 582.692 | 
| 200500.956 | 129122.400 | 203537.431 | -275.766 | -118623.703 | -149.677 | 
| 198430.914 | 202278.955 | 129662.579 | 431.330 | -1135.104 | -120334.414 | 
| -0.000 | -0.000 | -0.000 | -0.000 | -0.000 | -0.000 | 
| -0.000 | -0.000 | -0.000 | -0.000 | -0.000 | -0.000 | 
| -0.000 | -0.000 | -0.000 | -0.000 | -0.000 | -0.000 | 
| -136544.074 | -197096.110 | -198685.443 | -110683.850 | 651.740 | -416.748 | 
| -197654.193 | -136474.662 | -200671.865 | 178.456 | -111166.252 | -756.179 | 
| -196467.993 | -198716.909 | -130808.823 | -1173.429 | -748.039 | -111765.319 | 
| 4.621 | 2.311 | 2.311 | -0.000 | 0.000 | 0.000 | 
| 2.311 | 4.621 | 2.311 | 0.000 | -0.000 | 0.000 | 
| 2.311 | 2.311 | 4.621 | 0.000 | 0.000 | -0.000 | 
| -0.000 | 1.155 | 1.155 | 1.155 | -0.000 | 0.000 | 
| 1.155 | -0.000 | 1.155 | -0.000 | 1.155 | 0.000 | 
| 1.155 | 1.155 | -0.000 | -0.000 | 0.000 | 1.155 | 
| 0.000 | 0.000 | 0.000 | -0.000 | -0.000 | -0.000 | 
| 0.000 | 0.000 | 0.000 | -0.000 | -0.000 | -0.000 | 
| 0.000 | 0.000 | 0.000 | -0.000 | -0.000 | -0.000 | 
| 0.000 | -1.155 | -1.155 | 1.155 | 0.000 | -0.000 | 
| -1.155 | 0.000 | -1.155 | 0.000 | 1.155 | -0.000 | 
| -1.155 | -1.155 | 0.000 | 0.000 | -0.000 | 1.155 | 
| 4.621 | 2.311 | 2.311 | 0.000 | 0.000 | 0.000 | 
| 2.311 | 4.621 | 2.311 | 0.000 | -0.000 | 0.000 | 
| 2.311 | 2.311 | 4.621 | 0.000 | 0.000 | 0.000 | 
| -0.000 | 1.155 | 1.155 | 1.155 | -0.000 | -0.000 | 
| 1.155 | -0.000 | 1.155 | -0.000 | 1.155 | -0.000 | 
| 1.155 | 1.155 | -0.000 | -0.000 | -0.000 | 1.155 | 
| 0.000 | 0.000 | 0.000 | -0.000 | -0.000 | -0.000 | 
| 0.000 | 0.000 | 0.000 | -0.000 | -0.000 | -0.000 | 
| 0.000 | 0.000 | 0.000 | -0.000 | -0.000 | -0.000 | 
| 0.000 | -1.155 | -1.155 | 1.155 | -0.000 | 0.000 | 
| -1.155 | 0.000 | -1.155 | -0.000 | 1.155 | 0.000 | 
| -1.155 | -1.155 | 0.000 | -0.000 | 0.000 | 1.155 | 
| 4.621 | 2.311 | 2.311 | -0.000 | 0.000 | 0.000 | 
| 2.311 | 4.621 | 2.311 | 0.000 | -0.000 | 0.000 | 
| 2.311 | 2.311 | 4.621 | 0.000 | 0.000 | -0.000 | 
| -0.000 | 1.155 | 1.155 | 1.155 | 0.000 | -0.000 | 
| 1.155 | -0.000 | 1.155 | 0.000 | 1.155 | -0.000 | 
| 1.155 | 1.155 | -0.000 | 0.000 | -0.000 | 1.155 | 
| 0.000 | 0.000 | 0.000 | -0.000 | -0.000 | -0.000 | 
| 0.000 | 0.000 | 0.000 | -0.000 | -0.000 | -0.000 | 
| 0.000 | 0.000 | 0.000 | -0.000 | -0.000 | -0.000 | 
| 0.000 | -1.155 | -1.155 | 1.155 | -0.000 | 0.000 | 
| -1.155 | 0.000 | -1.155 | -0.000 | 1.155 | 0.000 | 
| -1.155 | -1.155 | 0.000 | -0.000 | 0.000 | 1.155 | 
| 16.780 | 8.390 | 8.390 | 0.000 | -0.000 | 0.000 | 
| 8.390 | 16.780 | 8.390 | 0.000 | 0.000 | -0.000 | 
| 8.390 | 8.390 | 16.780 | -0.000 | 0.000 | -0.000 | 
| 0.000 | 4.195 | 4.195 | 4.195 | 0.000 | 0.000 | 
| 4.195 | 0.000 | 4.195 | 0.000 | 4.195 | 0.000 | 
| 4.195 | 4.195 | 0.000 | 0.000 | 0.000 | 4.195 | 
| -0.000 | -0.000 | -0.000 | -0.000 | -0.000 | -0.000 | 
| -0.000 | -0.000 | -0.000 | -0.000 | -0.000 | -0.000 | 
| -0.000 | -0.000 | -0.000 | -0.000 | -0.000 | -0.000 | 
| -0.000 | -4.195 | -4.195 | 4.195 | -0.000 | 0.000 | 
| -4.195 | -0.000 | -4.195 | 0.000 | 4.195 | -0.000 | 
| -4.195 | -4.195 | -0.000 | -0.000 | -0.000 | 4.195 | 
| 3.008 | 0.000 | 0.000 | 0.000 | 0.000 | 0.000 | 
| 0.000 | 3.008 | 0.000 | 0.000 | 0.000 | -0.000 | 
| 0.000 | 0.000 | 3.008 | -0.000 | -0.000 | 0.000 | 
| 0.000 | 0.000 | 0.000 | 0.000 | 0.000 | 0.000 | 
| 0.000 | 0.000 | 0.000 | 0.000 | 0.000 | 0.000 | 
| 0.000 | 0.000 | 0.000 | 0.000 | 0.000 | 0.000 | 
| -0.000 | -0.000 | -0.000 | -0.000 | -0.000 | -0.000 | 
| -0.000 | -0.000 | -0.000 | -0.000 | -0.000 | -0.000 | 
| -0.000 | -0.000 | -0.000 | -0.000 | -0.000 | -0.000 | 
| -0.000 | -0.000 | -0.000 | -0.000 | -0.000 | -0.000 | 
| -0.000 | -0.000 | -0.000 | -0.000 | -0.000 | -0.000 | 
| -0.000 | -0.000 | -0.000 | -0.000 | -0.000 | -0.000 | 
| 3.360 | 0.000 | 0.000 | 0.000 | 0.000 | 0.000 | 
| 0.000 | 3.360 | 0.000 | 0.000 | 0.000 | -0.000 | 
| 0.000 | 0.000 | 3.360 | -0.000 | 0.000 | 0.000 | 
| 0.000 | 0.000 | 0.000 | 0.000 | 0.000 | 0.000 | 
| 0.000 | 0.000 | 0.000 | 0.000 | 0.000 | 0.000 | 
| 0.000 | 0.000 | 0.000 | 0.000 | 0.000 | 0.000 | 
| -0.000 | -0.000 | -0.000 | -0.000 | -0.000 | -0.000 | 
| -0.000 | -0.000 | -0.000 | -0.000 | -0.000 | -0.000 | 
| -0.000 | -0.000 | -0.000 | -0.000 | -0.000 | -0.000 | 
| -0.000 | -0.000 | -0.000 | -0.000 | -0.000 | -0.000 | 
| -0.000 | -0.000 | -0.000 | -0.000 | -0.000 | -0.000 | 
| -0.000 | -0.000 | -0.000 | -0.000 | -0.000 | -0.000 | 
| 6.866 | 6.866 | 6.866 | -0.000 | -0.000 | -0.000 | 
| 6.866 | 6.866 | 6.866 | -0.000 | -0.000 | -0.000 | 
| 6.866 | 6.866 | 6.866 | -0.000 | -0.000 | -0.000 | 
| 3.433 | 3.433 | 3.433 | 3.433 | 0.000 | 0.000 | 
| 3.433 | 3.433 | 3.433 | 0.000 | 3.433 | 0.000 | 
| 3.433 | 3.433 | 3.433 | 0.000 | 0.000 | 3.433 | 
| -0.000 | -0.000 | -0.000 | -0.000 | -0.000 | -0.000 | 
| -0.000 | -0.000 | -0.000 | -0.000 | -0.000 | -0.000 | 
| -0.000 | -0.000 | -0.000 | -0.000 | -0.000 | -0.000 | 
| -3.433 | -3.433 | -3.433 | 3.433 | 0.000 | -0.000 | 
| -3.433 | -3.433 | -3.433 | 0.000 | 3.433 | -0.000 | 
| -3.433 | -3.433 | -3.433 | 0.000 | -0.000 | 3.433 | 
| 9.580 | 0.027 | 0.216 | 0.000 | -0.000 | 0.000 | 
| 2.346 | 7.444 | 0.810 | -0.000 | -0.000 | -0.000 | 
| 4.086 | 4.086 | 16.345 | -0.000 | -0.000 | 0.000 | 
| 0.401 | 0.527 | 1.856 | 0.934 | 0.000 | 0.000 | 
| 0.534 | 0.178 | 1.425 | 0.000 | 0.873 | 0.000 | 
| 0.000 | 0.000 | 0.000 | 0.000 | 0.000 | 0.000 | 
| -0.000 | -0.000 | -0.000 | -0.000 | -0.000 | -0.000 | 
| -0.000 | -0.000 | -0.000 | -0.000 | -0.000 | -0.000 | 
| -0.000 | -0.000 | -0.000 | -0.000 | -0.000 | -0.000 | 
| -0.401 | -0.527 | -1.856 | 0.934 | 0.000 | -0.000 | 
| -0.534 | -0.178 | -1.425 | -0.000 | 0.873 | 0.000 | 
| -0.000 | -0.000 | -0.000 | -0.000 | -0.000 | -0.000 | 
| 21.560 | 7.101 | 5.480 | 0.000 | 0.000 | 0.000 | 
| 8.059 | 21.574 | 5.480 | 0.000 | 0.000 | -0.000 | 
| 6.176 | 6.176 | 24.705 | -0.000 | -0.000 | 0.000 | 
| 1.330 | 1.360 | 5.380 | 1.948 | -0.000 | -0.000 | 
| 1.454 | 1.376 | 5.660 | -0.000 | 2.374 | -0.000 | 
| 1.897 | 5.605 | 0.300 | 0.000 | -0.000 | 3.218 | 
| -0.000 | -0.000 | -0.000 | -0.000 | -0.000 | -0.000 | 
| -0.000 | -0.000 | -0.000 | -0.000 | -0.000 | -0.000 | 
| -0.000 | -0.000 | -0.000 | -0.000 | -0.000 | -0.000 | 
| -1.330 | -1.360 | -5.380 | 1.948 | 0.000 | -0.000 | 
| -1.454 | -1.376 | -5.660 | 0.000 | 2.374 | -0.000 | 
| -1.897 | -5.605 | -0.300 | -0.000 | -0.000 | 3.218 | 
| 0.000 | 0.000 | 0.000 | 0.000 | 0.000 | 0.000 | 
| 0.000 | 0.073 | 0.146 | 0.000 | 0.000 | 0.000 | 
| 3.908 | 3.908 | 15.605 | -0.000 | -0.000 | -0.000 | 
| 0.055 | 0.082 | 0.272 | 0.141 | -0.000 | -0.000 | 
| 0.120 | 0.040 | 0.319 | 0.000 | 0.196 | 0.000 | 
| 0.000 | 0.000 | 0.000 | 0.000 | 0.000 | 0.000 | 
| -0.000 | -0.000 | -0.000 | -0.000 | -0.000 | -0.000 | 
| -0.000 | -0.000 | -0.000 | -0.000 | -0.000 | -0.000 | 
| -0.000 | -0.000 | -0.000 | -0.000 | -0.000 | -0.000 | 
| -0.055 | -0.082 | -0.274 | 0.142 | -0.000 | 0.000 | 
| -0.120 | -0.040 | -0.319 | -0.000 | 0.196 | 0.000 | 
| -0.000 | -0.000 | -0.000 | -0.000 | -0.000 | -0.000 | 
| 9.599 | 0.029 | 0.229 | -0.000 | -0.000 | -0.000 | 
| 2.353 | 7.283 | 0.447 | -0.000 | -0.000 | -0.000 | 
| 4.091 | 4.091 | 16.365 | 0.000 | 0.000 | 0.000 | 
| 0.000 | 0.738 | 1.476 | 1.044 | -0.000 | -0.000 | 
| 0.573 | 0.191 | 1.528 | -0.000 | 0.936 | -0.000 | 
| 0.000 | 0.000 | 0.000 | 0.000 | 0.000 | 0.000 | 
| -0.000 | -0.000 | -0.000 | -0.000 | -0.000 | -0.000 | 
| -0.000 | -0.000 | -0.000 | -0.000 | -0.000 | -0.000 | 
| -0.000 | -0.000 | -0.000 | -0.000 | -0.000 | -0.000 | 
| -0.000 | -0.738 | -1.476 | 1.044 | -0.000 | -0.000 | 
| -0.573 | -0.191 | -1.528 | 0.000 | 0.936 | -0.000 | 
| -0.000 | -0.000 | -0.000 | -0.000 | -0.000 | -0.000 | 
| 21.551 | 7.115 | 5.482 | -0.000 | -0.000 | -0.000 | 
| 8.091 | 21.546 | 5.482 | 0.000 | 0.000 | -0.000 | 
| 6.177 | 6.177 | 24.707 | 0.000 | 0.000 | 0.000 | 
| 1.356 | 1.356 | 5.424 | 1.917 | 0.000 | 0.000 | 
| 1.437 | 1.416 | 5.706 | -0.000 | 2.347 | 0.000 | 
| 1.870 | 5.568 | 0.169 | -0.000 | 0.000 | 3.203 | 
| -0.000 | -0.000 | -0.000 | -0.000 | -0.000 | -0.000 | 
| -0.000 | -0.000 | -0.000 | -0.000 | -0.000 | -0.000 | 
| -0.000 | -0.000 | -0.000 | -0.000 | -0.000 | -0.000 | 
| -1.356 | -1.356 | -5.424 | 1.917 | -0.000 | -0.000 | 
| -1.437 | -1.416 | -5.706 | 0.000 | 2.347 | 0.000 | 
| -1.870 | -5.568 | -0.169 | 0.000 | 0.000 | 3.203 | 
| 14.126 | 0.000 | 0.000 | 0.000 | 0.000 | 0.000 | 
| 4.662 | 13.987 | 0.000 | 0.000 | 0.000 | 0.000 | 
| 0.000 | 0.000 | 0.000 | 0.000 | 0.000 | 0.000 | 
| 0.000 | 0.000 | 0.000 | 0.000 | 0.000 | 0.000 | 
| 0.000 | 0.000 | 0.000 | 0.000 | 0.000 | 0.000 | 
| 0.809 | 2.428 | 0.000 | 0.000 | 0.000 | 1.402 | 
| -0.000 | -0.000 | -0.000 | -0.000 | -0.000 | -0.000 | 
| -0.000 | -0.000 | -0.000 | -0.000 | -0.000 | -0.000 | 
| -0.000 | -0.000 | -0.000 | -0.000 | -0.000 | -0.000 | 
| -0.000 | -0.000 | -0.000 | -0.000 | -0.000 | -0.000 | 
| -0.000 | -0.000 | -0.000 | -0.000 | -0.000 | -0.000 | 
| -0.809 | -2.428 | -0.000 | -0.000 | -0.000 | 1.402 | 
| 1.499 | 1.499 | 1.499 | -0.000 | -0.000 | -0.000 | 
| 1.499 | 1.499 | 1.499 | -0.000 | -0.000 | -0.000 | 
| 1.499 | 1.499 | 1.499 | -0.000 | -0.000 | -0.000 | 
| 0.015 | 0.015 | 0.015 | 0.015 | 0.000 | 0.000 | 
| 0.015 | 0.015 | 0.015 | 0.000 | 0.015 | 0.000 | 
| 0.015 | 0.015 | 0.015 | 0.000 | 0.000 | 0.015 | 
| -0.000 | -0.000 | -0.000 | -0.000 | -0.000 | -0.000 | 
| -0.000 | -0.000 | -0.000 | -0.000 | -0.000 | -0.000 | 
| -0.000 | -0.000 | -0.000 | -0.000 | -0.000 | -0.000 | 
| -0.015 | -0.015 | -0.015 | 0.015 | -0.000 | 0.000 | 
| -0.015 | -0.015 | -0.015 | -0.000 | 0.015 | 0.000 | 
| -0.015 | -0.015 | -0.015 | -0.000 | 0.000 | 0.015 | 
| 1.609 | 0.000 | 0.122 | 0.000 | -0.000 | 0.000 | 
| 0.000 | 1.609 | 0.122 | 0.000 | 0.000 | 0.000 | 
| 0.000 | 0.000 | 0.000 | 0.000 | 0.000 | 0.000 | 
| 0.000 | 0.000 | 0.000 | 0.000 | 0.000 | 0.000 | 
| 0.000 | 0.000 | 0.000 | 0.000 | 0.000 | 0.000 | 
| 0.000 | 0.000 | 0.000 | 0.000 | 0.000 | 0.000 | 
| -0.000 | -0.000 | -0.000 | -0.000 | -0.000 | -0.000 | 
| -0.000 | -0.000 | -0.000 | -0.000 | -0.000 | -0.000 | 
| -0.000 | -0.000 | -0.000 | -0.000 | -0.000 | -0.000 | 
| -0.000 | -0.000 | -0.000 | -0.000 | -0.000 | -0.000 | 
| -0.000 | -0.000 | -0.000 | -0.000 | -0.000 | -0.000 | 
| -0.000 | -0.000 | -0.000 | -0.000 | -0.000 | -0.000 | 
| 5.227 | 5.055 | 0.778 | 0.000 | -0.000 | 0.000 | 
| 5.055 | 5.227 | 0.778 | -0.000 | -0.000 | 0.000 | 
| 0.084 | 0.084 | 0.013 | -0.000 | -0.000 | -0.000 | 
| 0.000 | 0.082 | 0.006 | 0.023 | 0.000 | -0.000 | 
| 0.082 | 0.000 | 0.006 | 0.000 | 0.023 | 0.000 | 
| 0.000 | 0.000 | 0.000 | 0.000 | 0.000 | 0.000 | 
| -0.000 | -0.000 | -0.000 | -0.000 | -0.000 | -0.000 | 
| -0.000 | -0.000 | -0.000 | -0.000 | -0.000 | -0.000 | 
| -0.000 | -0.000 | -0.000 | -0.000 | -0.000 | -0.000 | 
| -0.000 | -0.082 | -0.006 | 0.023 | 0.000 | 0.000 | 
| -0.082 | -0.000 | -0.006 | 0.000 | 0.023 | -0.000 | 
| -0.000 | -0.000 | -0.000 | -0.000 | -0.000 | -0.000 | 
| 1.772 | 0.000 | 0.118 | 0.000 | 0.000 | 0.000 | 
| 0.000 | 1.772 | 0.118 | -0.000 | 0.000 | 0.000 | 
| 0.000 | 0.000 | 0.000 | 0.000 | 0.000 | 0.000 | 
| 0.000 | 0.000 | 0.000 | 0.000 | 0.000 | 0.000 | 
| 0.000 | 0.000 | 0.000 | 0.000 | 0.000 | 0.000 | 
| 0.000 | 0.000 | 0.000 | 0.000 | 0.000 | 0.000 | 
| -0.000 | -0.000 | -0.000 | -0.000 | -0.000 | -0.000 | 
| -0.000 | -0.000 | -0.000 | -0.000 | -0.000 | -0.000 | 
| -0.000 | -0.000 | -0.000 | -0.000 | -0.000 | -0.000 | 
| -0.000 | -0.000 | -0.000 | -0.000 | -0.000 | -0.000 | 
| -0.000 | -0.000 | -0.000 | -0.000 | -0.000 | -0.000 | 
| -0.000 | -0.000 | -0.000 | -0.000 | -0.000 | -0.000 | 
| 5.544 | 5.303 | 0.724 | 0.000 | -0.000 | -0.000 | 
| 5.303 | 5.544 | 0.724 | 0.000 | 0.000 | 0.000 | 
| 0.000 | 0.000 | 0.000 | 0.000 | 0.000 | 0.000 | 
| 0.000 | 0.078 | 0.005 | 0.020 | 0.000 | -0.000 | 
| 0.078 | 0.000 | 0.005 | -0.000 | 0.020 | 0.000 | 
| 0.000 | 0.000 | 0.000 | 0.000 | 0.000 | 0.000 | 
| -0.000 | -0.000 | -0.000 | -0.000 | -0.000 | -0.000 | 
| -0.000 | -0.000 | -0.000 | -0.000 | -0.000 | -0.000 | 
| -0.000 | -0.000 | -0.000 | -0.000 | -0.000 | -0.000 | 
| -0.000 | -0.078 | -0.005 | 0.020 | 0.000 | 0.000 | 
| -0.078 | -0.000 | -0.005 | 0.000 | 0.020 | -0.000 | 
| -0.000 | -0.000 | -0.000 | -0.000 | -0.000 | -0.000 | 
| 1.543 | 0.000 | 0.103 | 0.000 | 0.000 | 0.000 | 
| 0.000 | 1.543 | 0.103 | 0.000 | -0.000 | -0.000 | 
| 0.000 | 0.000 | 0.000 | 0.000 | 0.000 | 0.000 | 
| 0.000 | 0.000 | 0.000 | 0.000 | 0.000 | 0.000 | 
| 0.000 | 0.000 | 0.000 | 0.000 | 0.000 | 0.000 | 
| 0.000 | 0.000 | 0.000 | 0.000 | 0.000 | 0.000 | 
| -0.000 | -0.000 | -0.000 | -0.000 | -0.000 | -0.000 | 
| -0.000 | -0.000 | -0.000 | -0.000 | -0.000 | -0.000 | 
| -0.000 | -0.000 | -0.000 | -0.000 | -0.000 | -0.000 | 
| -0.000 | -0.000 | -0.000 | -0.000 | -0.000 | -0.000 | 
| -0.000 | -0.000 | -0.000 | -0.000 | -0.000 | -0.000 | 
| -0.000 | -0.000 | -0.000 | -0.000 | -0.000 | -0.000 | 
| 5.539 | 5.299 | 0.724 | -0.000 | 0.000 | -0.000 | 
| 5.299 | 5.539 | 0.724 | 0.000 | 0.000 | -0.000 | 
| 0.000 | 0.000 | 0.000 | 0.000 | 0.000 | 0.000 | 
| 0.000 | 0.078 | 0.005 | 0.020 | 0.000 | 0.000 | 
| 0.078 | 0.000 | 0.005 | 0.000 | 0.020 | 0.000 | 
| 0.000 | 0.000 | 0.000 | 0.000 | 0.000 | 0.000 | 
| -0.000 | -0.000 | -0.000 | -0.000 | -0.000 | -0.000 | 
| -0.000 | -0.000 | -0.000 | -0.000 | -0.000 | -0.000 | 
| -0.000 | -0.000 | -0.000 | -0.000 | -0.000 | -0.000 | 
| -0.000 | -0.078 | -0.005 | 0.020 | 0.000 | 0.000 | 
| -0.078 | -0.000 | -0.005 | -0.000 | 0.020 | -0.000 | 
| -0.000 | -0.000 | -0.000 | -0.000 | -0.000 | -0.000 | 
| 2.105 | 0.800 | 0.194 | -0.000 | -0.000 | 0.000 | 
| 0.800 | 2.105 | 0.194 | 0.000 | 0.000 | -0.000 | 
| 0.000 | 0.000 | 10.352 | -0.000 | -0.000 | 0.000 | 
| 0.000 | 0.000 | 0.000 | 0.000 | 0.000 | 0.000 | 
| 0.000 | 0.000 | 0.000 | 0.000 | 0.000 | 0.000 | 
| 0.000 | 0.000 | 0.000 | 0.000 | 0.000 | 0.000 | 
| -0.000 | -0.000 | -0.000 | -0.000 | -0.000 | -0.000 | 
| -0.000 | -0.000 | -0.000 | -0.000 | -0.000 | -0.000 | 
| -0.000 | -0.000 | -0.000 | -0.000 | -0.000 | -0.000 | 
| -0.000 | -0.000 | -0.000 | -0.000 | -0.000 | -0.000 | 
| -0.000 | -0.000 | -0.000 | -0.000 | -0.000 | -0.000 | 
| -0.000 | -0.000 | -0.000 | -0.000 | -0.000 | -0.000 | 
| 6.037 | 5.724 | 0.784 | -0.000 | 0.000 | -0.000 | 
| 5.724 | 6.037 | 0.784 | 0.000 | 0.000 | 0.000 | 
| 0.358 | 0.358 | 14.134 | 0.000 | -0.000 | -0.000 | 
| 0.000 | 0.093 | 0.006 | 0.024 | 0.000 | 0.000 | 
| 0.093 | 0.000 | 0.006 | -0.000 | 0.024 | 0.000 | 
| 0.000 | 0.000 | 0.000 | 0.000 | 0.000 | 0.000 | 
| -0.000 | -0.000 | -0.000 | -0.000 | -0.000 | -0.000 | 
| -0.000 | -0.000 | -0.000 | -0.000 | -0.000 | -0.000 | 
| -0.000 | -0.000 | -0.000 | -0.000 | -0.000 | -0.000 | 
| -0.000 | -0.093 | -0.006 | 0.024 | 0.000 | 0.000 | 
| -0.093 | -0.000 | -0.006 | 0.000 | 0.024 | -0.000 | 
| -0.000 | -0.000 | -0.000 | -0.000 | -0.000 | -0.000 | 
| 15.054 | 0.000 | 0.000 | 0.000 | 0.000 | 0.000 | 
| 0.000 | 15.054 | 0.000 | 0.000 | 0.000 | 0.000 | 
| 0.000 | 0.000 | 0.000 | 0.000 | 0.000 | 0.000 | 
| 0.000 | 0.000 | 0.000 | 0.000 | 0.000 | 0.000 | 
| 0.000 | 0.000 | 0.000 | 0.000 | 0.000 | 0.000 | 
| 0.000 | 0.000 | 0.000 | 0.000 | 0.000 | 0.000 | 
| -0.000 | -0.000 | -0.000 | -0.000 | -0.000 | -0.000 | 
| -0.000 | -0.000 | -0.000 | -0.000 | -0.000 | -0.000 | 
| -0.000 | -0.000 | -0.000 | -0.000 | -0.000 | -0.000 | 
| -0.000 | -0.000 | -0.000 | -0.000 | -0.000 | -0.000 | 
| -0.000 | -0.000 | -0.000 | -0.000 | -0.000 | -0.000 | 
| -0.000 | -0.000 | -0.000 | -0.000 | -0.000 | -0.000 | 
| 17.819 | 0.000 | 0.000 | 0.000 | 0.000 | 0.000 | 
| 0.000 | 17.819 | 0.000 | 0.000 | 0.000 | -0.000 | 
| 0.000 | 0.000 | 0.000 | 0.000 | 0.000 | 0.000 | 
| 0.000 | 0.000 | 0.000 | 0.000 | 0.000 | 0.000 | 
| 0.000 | 0.000 | 0.000 | 0.000 | 0.000 | 0.000 | 
| 0.000 | 0.000 | 0.000 | 0.000 | 0.000 | 0.000 | 
| -0.000 | -0.000 | -0.000 | -0.000 | -0.000 | -0.000 | 
| -0.000 | -0.000 | -0.000 | -0.000 | -0.000 | -0.000 | 
| -0.000 | -0.000 | -0.000 | -0.000 | -0.000 | -0.000 | 
| -0.000 | -0.000 | -0.000 | -0.000 | -0.000 | -0.000 | 
| -0.000 | -0.000 | -0.000 | -0.000 | -0.000 | -0.000 | 
| -0.000 | -0.000 | -0.000 | -0.000 | -0.000 | -0.000 | 
| 7.354 | 7.354 | 5.339 | 0.000 | 0.000 | 0.000 | 
| 7.354 | 7.354 | 5.339 | 0.000 | 0.000 | 0.000 | 
| 4.706 | 4.706 | 3.417 | 0.000 | 0.000 | 0.000 | 
| 2.962 | 2.962 | 2.151 | 2.524 | -0.000 | -0.000 | 
| 2.962 | 2.962 | 2.151 | -0.000 | 2.524 | -0.000 | 
| 3.677 | 3.677 | 2.670 | -0.000 | -0.000 | 3.677 | 
| -0.000 | -0.000 | -0.000 | -0.000 | -0.000 | -0.000 | 
| -0.000 | -0.000 | -0.000 | -0.000 | -0.000 | -0.000 | 
| -0.000 | -0.000 | -0.000 | -0.000 | -0.000 | -0.000 | 
| -2.962 | -2.962 | -2.151 | 2.524 | -0.000 | 0.000 | 
| -2.962 | -2.962 | -2.151 | 0.000 | 2.524 | -0.000 | 
| -3.677 | -3.677 | -2.670 | 0.000 | -0.000 | 3.677 | 
| 0.000 | 0.000 | 0.000 | 0.000 | 0.000 | 0.000 | 
| 0.000 | 0.000 | 0.000 | 0.000 | 0.000 | 0.000 | 
| 0.000 | 0.000 | 5.442 | 0.000 | 0.000 | 0.000 | 
| 0.000 | 0.000 | 0.000 | 0.000 | 0.000 | 0.000 | 
| 0.000 | 0.000 | 0.000 | 0.000 | 0.000 | 0.000 | 
| 0.000 | 0.000 | 0.000 | 0.000 | 0.000 | 0.000 | 
| -0.000 | -0.000 | -0.000 | -0.000 | -0.000 | -0.000 | 
| -0.000 | -0.000 | -0.000 | -0.000 | -0.000 | -0.000 | 
| -0.000 | -0.000 | -0.000 | -0.000 | -0.000 | -0.000 | 
| -0.000 | -0.000 | -0.000 | -0.000 | -0.000 | -0.000 | 
| -0.000 | -0.000 | -0.000 | -0.000 | -0.000 | -0.000 | 
| -0.000 | -0.000 | -0.000 | -0.000 | -0.000 | -0.000 | 
| 8.572 | 8.573 | 5.715 | -0.000 | -0.000 | -0.000 | 
| 8.573 | 8.572 | 5.715 | -0.000 | -0.000 | -0.000 | 
| 5.174 | 5.174 | 20.307 | -0.000 | -0.000 | 0.000 | 
| 3.351 | 3.351 | 2.234 | 2.736 | -0.000 | -0.000 | 
| 3.351 | 3.351 | 2.234 | -0.000 | 2.736 | -0.000 | 
| 4.286 | 4.286 | 2.857 | -0.000 | -0.000 | 4.286 | 
| -0.000 | -0.000 | -0.000 | -0.000 | -0.000 | -0.000 | 
| -0.000 | -0.000 | -0.000 | -0.000 | -0.000 | -0.000 | 
| -0.000 | -0.000 | -0.000 | -0.000 | -0.000 | -0.000 | 
| -3.351 | -3.351 | -2.234 | 2.736 | -0.000 | 0.000 | 
| -3.351 | -3.351 | -2.234 | -0.000 | 2.736 | 0.000 | 
| -4.286 | -4.286 | -2.857 | 0.000 | -0.000 | 4.286 | 
| 0.031 | 0.010 | 0.014 | -0.012 | -0.000 | 0.000 | 
| 0.000 | 0.048 | 0.017 | 0.028 | -0.000 | -0.000 | 
| 0.000 | 0.000 | 0.000 | 0.000 | 0.000 | 0.000 | 
| 0.000 | 0.000 | 0.000 | 0.000 | 0.000 | 0.000 | 
| 0.000 | 0.000 | 0.000 | 0.000 | 0.000 | 0.000 | 
| 0.000 | 0.000 | 0.000 | 0.000 | 0.000 | 0.000 | 
| -0.000 | -0.000 | -0.000 | -0.000 | -0.000 | -0.000 | 
| -0.000 | -0.000 | -0.000 | -0.000 | -0.000 | -0.000 | 
| -0.000 | -0.000 | -0.000 | -0.000 | -0.000 | -0.000 | 
| -0.000 | -0.000 | -0.000 | -0.000 | -0.000 | -0.000 | 
| -0.000 | -0.000 | -0.000 | -0.000 | -0.000 | -0.000 | 
| -0.000 | -0.000 | -0.000 | -0.000 | -0.000 | -0.000 | 
| 9.987 | 0.000 | 0.000 | 0.000 | 0.000 | 0.000 | 
| 0.000 | 9.987 | 0.000 | 0.000 | 0.000 | -0.000 | 
| 0.000 | 0.000 | 9.987 | 0.000 | -0.000 | 0.000 | 
| 0.000 | 0.000 | 0.000 | 0.000 | 0.000 | 0.000 | 
| 0.000 | 0.000 | 0.000 | 0.000 | 0.000 | 0.000 | 
| 0.000 | 0.000 | 0.000 | 0.000 | 0.000 | 0.000 | 
| -0.000 | -0.000 | -0.000 | -0.000 | -0.000 | -0.000 | 
| -0.000 | -0.000 | -0.000 | -0.000 | -0.000 | -0.000 | 
| -0.000 | -0.000 | -0.000 | -0.000 | -0.000 | -0.000 | 
| -0.000 | -0.000 | -0.000 | -0.000 | -0.000 | -0.000 | 
| -0.000 | -0.000 | -0.000 | -0.000 | -0.000 | -0.000 | 
| -0.000 | -0.000 | -0.000 | -0.000 | -0.000 | -0.000 | 
| 13.234 | 0.000 | 0.000 | 0.000 | 0.000 | 0.000 | 
| 0.000 | 13.234 | 0.000 | 0.000 | 0.000 | 0.000 | 
| 0.000 | 0.000 | 13.234 | -0.000 | 0.000 | 0.000 | 
| 0.000 | 0.000 | 0.000 | 0.000 | 0.000 | 0.000 | 
| 0.000 | 0.000 | 0.000 | 0.000 | 0.000 | 0.000 | 
| 0.000 | 0.000 | 0.000 | 0.000 | 0.000 | 0.000 | 
| -0.000 | -0.000 | -0.000 | -0.000 | -0.000 | -0.000 | 
| -0.000 | -0.000 | -0.000 | -0.000 | -0.000 | -0.000 | 
| -0.000 | -0.000 | -0.000 | -0.000 | -0.000 | -0.000 | 
| -0.000 | -0.000 | -0.000 | -0.000 | -0.000 | -0.000 | 
| -0.000 | -0.000 | -0.000 | -0.000 | -0.000 | -0.000 | 
| -0.000 | -0.000 | -0.000 | -0.000 | -0.000 | -0.000 | 
| 4.637 | 0.039 | 1.596 | 0.000 | -0.000 | 0.000 | 
| 0.041 | 4.578 | 1.576 | 0.000 | -0.000 | -0.000 | 
| 3.085 | 1.568 | 1.588 | 0.000 | -0.000 | -0.000 | 
| 0.225 | 1.333 | 0.532 | 0.789 | -0.000 | -0.000 | 
| 2.642 | 0.022 | 0.909 | -0.000 | 1.550 | -0.000 | 
| 0.396 | 0.003 | 0.136 | 0.000 | 0.000 | 0.036 | 
| -0.000 | -0.000 | -0.000 | -0.000 | -0.000 | -0.000 | 
| -0.000 | -0.000 | -0.000 | -0.000 | -0.000 | -0.000 | 
| -0.000 | -0.000 | -0.000 | -0.000 | -0.000 | -0.000 | 
| -0.225 | -1.333 | -0.532 | 0.789 | -0.000 | 0.000 | 
| -2.642 | -0.022 | -0.909 | -0.000 | 1.550 | 0.000 | 
| -0.396 | -0.003 | -0.136 | -0.000 | 0.000 | 0.036 | 
| 0.324 | 0.003 | 0.111 | 0.000 | -0.000 | -0.000 | 
| 0.000 | 0.290 | 0.099 | -0.000 | -0.000 | 0.000 | 
| 0.442 | 0.004 | 0.152 | 0.000 | 0.000 | -0.000 | 
| 0.000 | 0.053 | 0.018 | 0.031 | -0.000 | -0.000 | 
| 0.177 | 0.001 | 0.061 | -0.000 | 0.104 | -0.000 | 
| 0.412 | 0.003 | 0.142 | 0.000 | 0.000 | 0.038 | 
| -0.000 | -0.000 | -0.000 | -0.000 | -0.000 | -0.000 | 
| -0.000 | -0.000 | -0.000 | -0.000 | -0.000 | -0.000 | 
| -0.000 | -0.000 | -0.000 | -0.000 | -0.000 | -0.000 | 
| -0.000 | -0.053 | -0.018 | 0.031 | -0.000 | 0.000 | 
| -0.177 | -0.001 | -0.061 | -0.000 | 0.104 | 0.000 | 
| -0.412 | -0.003 | -0.142 | -0.000 | 0.000 | 0.038 | 
| 0.166 | 0.001 | 0.057 | 0.000 | 0.000 | -0.000 | 
| 0.000 | 0.019 | 0.007 | 0.000 | -0.000 | 0.000 | 
| 0.060 | 0.000 | 0.021 | -0.000 | -0.000 | -0.000 | 
| 0.000 | 0.004 | 0.001 | 0.002 | -0.000 | -0.000 | 
| 0.012 | 0.000 | 0.004 | 0.000 | 0.007 | 0.000 | 
| 0.028 | 0.000 | 0.009 | 0.000 | 0.000 | 0.003 | 
| -0.000 | -0.000 | -0.000 | -0.000 | -0.000 | -0.000 | 
| -0.000 | -0.000 | -0.000 | -0.000 | -0.000 | -0.000 | 
| -0.000 | -0.000 | -0.000 | -0.000 | -0.000 | -0.000 | 
| -0.000 | -0.004 | -0.001 | 0.002 | -0.000 | 0.000 | 
| -0.012 | -0.000 | -0.004 | 0.000 | 0.007 | -0.000 | 
| -0.028 | -0.000 | -0.009 | 0.000 | -0.000 | 0.003 | 
| 1.321 | 1.321 | 1.321 | 0.000 | 0.000 | 0.000 | 
| 1.321 | 1.321 | 1.321 | 0.000 | -0.000 | -0.000 | 
| 1.321 | 1.321 | 1.321 | -0.000 | -0.000 | 0.000 | 
| 0.027 | 0.021 | 0.021 | 0.008 | 0.000 | 0.000 | 
| 0.021 | 0.027 | 0.021 | -0.000 | 0.008 | -0.000 | 
| 0.047 | 0.047 | 0.058 | 0.000 | -0.000 | 0.018 | 
| -0.000 | -0.000 | -0.000 | -0.000 | -0.000 | -0.000 | 
| -0.000 | -0.000 | -0.000 | -0.000 | -0.000 | -0.000 | 
| -0.000 | -0.000 | -0.000 | -0.000 | -0.000 | -0.000 | 
| -0.027 | -0.021 | -0.021 | 0.008 | 0.000 | 0.000 | 
| -0.021 | -0.027 | -0.021 | 0.000 | 0.008 | 0.000 | 
| -0.039 | -0.039 | -0.048 | 0.000 | 0.000 | 0.015 | 
| 0.049 | 0.028 | 0.019 | 0.000 | -0.017 | 0.000 | 
| 0.027 | 0.027 | 0.000 | 0.000 | 0.003 | 0.000 | 
| 0.011 | 0.000 | 0.010 | -0.000 | -0.011 | 0.000 | 
| 0.000 | 0.000 | 0.000 | 0.000 | 0.000 | 0.000 | 
| 0.000 | 0.000 | 0.000 | 0.000 | 0.000 | 0.000 | 
| 0.025 | 0.025 | 0.000 | 0.002 | 0.002 | 0.025 | 
| -0.000 | -0.000 | -0.000 | -0.000 | -0.000 | -0.000 | 
| -0.000 | -0.000 | -0.000 | -0.000 | -0.000 | -0.000 | 
| -0.000 | -0.000 | -0.000 | -0.000 | -0.000 | -0.000 | 
| -0.000 | -0.000 | -0.000 | -0.000 | -0.000 | -0.000 | 
| -0.025 | -0.000 | -0.022 | 0.000 | 0.023 | -0.000 | 
| -0.025 | -0.025 | -0.000 | 0.002 | -0.002 | 0.025 | 
| 0.000 | 0.000 | 0.001 | -0.000 | 0.000 | 0.000 | 
| 0.000 | 9.119 | 0.000 | -0.000 | -0.000 | -0.000 | 
| 0.001 | 0.000 | 9.116 | 0.000 | 0.000 | 0.000 | 
| 0.000 | 0.001 | 0.000 | 0.000 | 0.000 | -0.000 | 
| 0.000 | 0.000 | 0.044 | -0.000 | 0.000 | 0.000 | 
| 0.000 | 0.000 | 0.000 | 0.000 | 0.000 | 0.000 | 
| -0.000 | -0.000 | -0.000 | -0.000 | -0.000 | -0.000 | 
| -0.000 | -0.000 | -0.000 | -0.000 | -0.000 | -0.000 | 
| -0.000 | -0.000 | -0.000 | -0.000 | -0.000 | -0.000 | 
| -0.000 | -0.010 | -0.000 | 0.000 | 0.000 | -0.000 | 
| -0.000 | -0.000 | -0.044 | 0.000 | 0.000 | -0.000 | 
| -0.000 | -0.000 | -0.000 | -0.000 | -0.000 | -0.000 | 
| 0.000 | 0.000 | 0.001 | 0.000 | 0.000 | 0.000 | 
| 0.000 | 9.120 | 0.000 | -0.000 | -0.000 | -0.000 | 
| 0.001 | 0.000 | 9.118 | -0.000 | 0.000 | 0.000 | 
| 0.000 | 0.001 | 0.000 | 0.000 | 0.000 | -0.000 | 
| 0.000 | 0.000 | 0.044 | 0.000 | 0.000 | 0.000 | 
| 0.000 | 0.000 | 0.000 | 0.000 | 0.000 | 0.000 | 
| -0.000 | -0.000 | -0.000 | -0.000 | -0.000 | -0.000 | 
| -0.000 | -0.000 | -0.000 | -0.000 | -0.000 | -0.000 | 
| -0.000 | -0.000 | -0.000 | -0.000 | -0.000 | -0.000 | 
| -0.000 | -0.001 | -0.000 | 0.000 | -0.000 | 0.000 | 
| -0.000 | -0.000 | -0.044 | -0.000 | 0.000 | -0.000 | 
| -0.000 | -0.000 | -0.000 | -0.000 | -0.000 | -0.000 | 
| 0.000 | 0.000 | 0.001 | 0.000 | 0.000 | 0.000 | 
| 0.000 | 9.119 | 0.000 | 0.000 | 0.000 | -0.000 | 
| 0.001 | 0.000 | 6.957 | 0.000 | 0.000 | -0.000 | 
| 0.000 | 0.011 | 0.000 | 0.000 | 0.000 | -0.000 | 
| 0.000 | 0.000 | 0.044 | 0.000 | 0.000 | 0.000 | 
| 0.000 | 0.000 | 0.000 | 0.000 | 0.000 | 0.000 | 
| -0.000 | -0.000 | -0.000 | -0.000 | -0.000 | -0.000 | 
| -0.000 | -0.000 | -0.000 | -0.000 | -0.000 | -0.000 | 
| -0.000 | -0.000 | -0.000 | -0.000 | -0.000 | -0.000 | 
| -0.000 | -0.011 | -0.000 | 0.000 | -0.000 | -0.000 | 
| -0.000 | -0.000 | -0.044 | -0.000 | 0.000 | -0.000 | 
| -0.000 | -0.000 | -0.000 | -0.000 | -0.000 | -0.000 | 
| 1.414 | 0.012 | 0.000 | 0.000 | 0.000 | -0.000 | 
| 0.000 | 1.216 | 1.225 | 0.000 | 0.000 | -0.000 | 
| 0.000 | 0.095 | 0.177 | 0.000 | 0.000 | 0.000 | 
| 0.000 | 0.296 | 0.553 | 0.405 | -0.000 | -0.000 | 
| 0.000 | 0.000 | 0.000 | 0.000 | 0.000 | 0.000 | 
| 0.000 | 0.000 | 0.000 | 0.000 | 0.000 | 0.000 | 
| -0.000 | -0.000 | -0.000 | -0.000 | -0.000 | -0.000 | 
| -0.000 | -0.000 | -0.000 | -0.000 | -0.000 | -0.000 | 
| -0.000 | -0.000 | -0.000 | -0.000 | -0.000 | -0.000 | 
| -0.000 | -0.296 | -0.553 | 0.405 | -0.000 | 0.000 | 
| -0.000 | -0.000 | -0.000 | -0.000 | -0.000 | -0.000 | 
| -0.000 | -0.000 | -0.000 | -0.000 | -0.000 | -0.000 | 
| 6.102 | 0.602 | 0.000 | 0.000 | 0.000 | -0.000 | 
| 0.111 | 0.070 | 0.047 | 0.000 | -0.000 | 0.000 | 
| 0.000 | 0.045 | 0.036 | -0.000 | 0.000 | -0.000 | 
| 0.000 | 0.055 | 0.028 | 0.021 | -0.000 | -0.000 | 
| 0.000 | 0.000 | 0.000 | 0.000 | 0.000 | 0.000 | 
| 0.041 | 0.000 | 0.000 | 0.000 | 0.000 | 0.004 | 
| -0.000 | -0.000 | -0.000 | -0.000 | -0.000 | -0.000 | 
| -0.000 | -0.000 | -0.000 | -0.000 | -0.000 | -0.000 | 
| -0.000 | -0.000 | -0.000 | -0.000 | -0.000 | -0.000 | 
| -0.000 | -0.055 | -0.028 | 0.021 | 0.000 | -0.000 | 
| -0.000 | -0.000 | -0.000 | -0.000 | -0.000 | -0.000 | 
| -0.041 | -0.000 | -0.000 | -0.000 | -0.000 | 0.004 | 
| 10.054 | 0.000 | 0.000 | 0.000 | 0.000 | 0.000 | 
| 2.626 | 7.879 | 0.000 | 0.000 | 0.000 | -0.000 | 
| 0.000 | 0.000 | 0.000 | 0.000 | 0.000 | 0.000 | 
| 0.000 | 0.000 | 0.000 | 0.000 | 0.000 | 0.000 | 
| 0.000 | 0.000 | 0.000 | 0.000 | 0.000 | 0.000 | 
| 0.000 | 0.000 | 0.000 | 0.000 | 0.000 | 0.000 | 
| -0.000 | -0.000 | -0.000 | -0.000 | -0.000 | -0.000 | 
| -0.000 | -0.000 | -0.000 | -0.000 | -0.000 | -0.000 | 
| -0.000 | -0.000 | -0.000 | -0.000 | -0.000 | -0.000 | 
| -0.000 | -0.000 | -0.000 | -0.000 | -0.000 | -0.000 | 
| -0.000 | -0.000 | -0.000 | -0.000 | -0.000 | -0.000 | 
| -0.000 | -0.000 | -0.000 | -0.000 | -0.000 | -0.000 | 
| 20.235 | 5.830 | 0.000 | 0.000 | 0.000 | 0.000 | 
| 6.745 | 20.235 | 0.000 | 0.000 | 0.000 | 0.000 | 
| 0.000 | 0.000 | 0.000 | 0.000 | 0.000 | 0.000 | 
| 0.000 | 0.000 | 0.000 | 0.000 | 0.000 | 0.000 | 
| 0.000 | 0.000 | 0.000 | 0.000 | 0.000 | 0.000 | 
| 1.850 | 5.551 | 0.000 | 0.000 | 0.000 | 3.205 | 
| -0.000 | -0.000 | -0.000 | -0.000 | -0.000 | -0.000 | 
| -0.000 | -0.000 | -0.000 | -0.000 | -0.000 | -0.000 | 
| -0.000 | -0.000 | -0.000 | -0.000 | -0.000 | -0.000 | 
| -0.000 | -0.000 | -0.000 | -0.000 | -0.000 | -0.000 | 
| -0.000 | -0.000 | -0.000 | -0.000 | -0.000 | -0.000 | 
| -1.850 | -5.551 | -0.000 | -0.000 | -0.000 | 3.205 | 
| 21.470 | 7.065 | 0.000 | 0.000 | 0.000 | 0.000 | 
| 7.157 | 21.470 | 0.000 | 0.000 | 0.000 | -0.000 | 
| 0.000 | 0.000 | 0.000 | 0.000 | 0.000 | 0.000 | 
| 0.000 | 0.000 | 0.000 | 0.000 | 0.000 | 0.000 | 
| 0.000 | 0.000 | 0.000 | 0.000 | 0.000 | 0.000 | 
| 2.056 | 6.169 | 0.000 | 0.000 | 0.000 | 3.562 | 
| -0.000 | -0.000 | -0.000 | -0.000 | -0.000 | -0.000 | 
| -0.000 | -0.000 | -0.000 | -0.000 | -0.000 | -0.000 | 
| -0.000 | -0.000 | -0.000 | -0.000 | -0.000 | -0.000 | 
| -0.000 | -0.000 | -0.000 | -0.000 | -0.000 | -0.000 | 
| -0.000 | -0.000 | -0.000 | -0.000 | -0.000 | -0.000 | 
| -2.056 | -6.169 | -0.000 | -0.000 | -0.000 | 3.562 | 
| 5.789 | 5.437 | 0.000 | -0.000 | 0.000 | 0.000 | 
| 5.290 | 4.969 | 0.000 | -0.000 | -0.000 | -0.000 | 
| 0.000 | 0.000 | 0.000 | 0.000 | 0.000 | 0.000 | 
| 0.000 | 0.000 | 0.000 | 0.000 | 0.000 | 0.000 | 
| 0.000 | 0.000 | 0.000 | 0.000 | 0.000 | 0.000 | 
| 2.768 | 2.600 | 0.000 | -0.000 | -0.000 | 2.682 | 
| -0.000 | -0.000 | -0.000 | -0.000 | -0.000 | -0.000 | 
| -0.000 | -0.000 | -0.000 | -0.000 | -0.000 | -0.000 | 
| -0.000 | -0.000 | -0.000 | -0.000 | -0.000 | -0.000 | 
| -0.000 | -0.000 | -0.000 | -0.000 | -0.000 | -0.000 | 
| -0.000 | -0.000 | -0.000 | -0.000 | -0.000 | -0.000 | 
| -2.768 | -2.600 | -0.000 | -0.000 | 0.000 | 2.682 | 
| 7.972 | 7.488 | 0.000 | 0.000 | 0.000 | 0.000 | 
| 7.474 | 7.020 | 0.000 | 0.000 | -0.000 | -0.000 | 
| 0.000 | 0.000 | 0.000 | 0.000 | 0.000 | 0.000 | 
| 0.000 | 0.000 | 0.000 | 0.000 | 0.000 | 0.000 | 
| 0.000 | 0.000 | 0.000 | 0.000 | 0.000 | 0.000 | 
| 3.860 | 3.626 | 0.000 | -0.000 | -0.000 | 3.741 | 
| -0.000 | -0.000 | -0.000 | -0.000 | -0.000 | -0.000 | 
| -0.000 | -0.000 | -0.000 | -0.000 | -0.000 | -0.000 | 
| -0.000 | -0.000 | -0.000 | -0.000 | -0.000 | -0.000 | 
| -0.000 | -0.000 | -0.000 | -0.000 | -0.000 | -0.000 | 
| -0.000 | -0.000 | -0.000 | -0.000 | -0.000 | -0.000 | 
| -3.860 | -3.626 | -0.000 | -0.000 | 0.000 | 3.741 | 
| 0.000 | 0.000 | 0.000 | 0.000 | 0.000 | 0.000 | 
| 0.000 | 0.008 | 0.015 | -0.000 | 0.000 | 0.000 | 
| 0.063 | 0.063 | 0.249 | 0.000 | 0.000 | 0.000 | 
| 0.010 | 0.009 | 0.037 | 0.017 | 0.000 | 0.000 | 
| 0.012 | 0.004 | 0.033 | 0.000 | 0.020 | 0.000 | 
| 0.000 | 0.000 | 0.000 | 0.000 | 0.000 | 0.000 | 
| -0.000 | -0.000 | -0.000 | -0.000 | -0.000 | -0.000 | 
| -0.000 | -0.000 | -0.000 | -0.000 | -0.000 | -0.000 | 
| -0.000 | -0.000 | -0.000 | -0.000 | -0.000 | -0.000 | 
| -0.010 | -0.009 | -0.037 | 0.017 | 0.000 | -0.000 | 
| -0.012 | -0.004 | -0.033 | -0.000 | 0.020 | 0.000 | 
| -0.000 | -0.000 | -0.000 | -0.000 | -0.000 | -0.000 | 
| 2.722 | 1.419 | 2.664 | 0.000 | -0.486 | -0.000 | 
| 1.317 | 4.370 | 1.832 | 0.000 | -0.317 | -0.000 | 
| 2.631 | 1.696 | 4.061 | 0.000 | -0.673 | -0.000 | 
| 0.492 | 0.513 | 0.699 | 0.344 | 0.019 | 0.063 | 
| 0.468 | 0.399 | 0.819 | 0.000 | 0.467 | -0.000 | 
| 0.911 | 1.161 | 0.683 | -0.001 | -0.058 | 0.641 | 
| 0.001 | 0.001 | 0.001 | -0.000 | -0.001 | 0.000 | 
| 0.001 | 0.001 | 0.001 | -0.000 | -0.001 | 0.000 | 
| 0.001 | 0.001 | 0.001 | -0.000 | -0.001 | 0.000 | 
| -0.492 | -0.513 | -0.699 | 0.344 | -0.019 | 0.063 | 
| -1.481 | -0.475 | -2.487 | 0.000 | 1.790 | 0.000 | 
| -0.911 | -1.161 | -0.683 | -0.001 | 0.058 | 0.641 | 
| 1.504 | 1.177 | 1.572 | -0.000 | -0.380 | -0.000 | 
| 1.341 | 1.090 | 1.403 | -0.000 | -0.374 | -0.000 | 
| 1.494 | 1.176 | 1.567 | 0.000 | -0.385 | -0.000 | 
| 0.278 | 0.190 | 0.272 | 0.097 | -0.050 | 0.018 | 
| 0.217 | 0.140 | 0.231 | 0.000 | 0.115 | -0.000 | 
| 0.213 | 0.129 | 0.213 | 0.022 | -0.056 | 0.052 | 
| 0.000 | 0.000 | 0.000 | -0.000 | -0.000 | 0.000 | 
| 0.000 | 0.000 | 0.000 | -0.000 | -0.000 | 0.000 | 
| 0.000 | 0.000 | 0.000 | -0.000 | -0.000 | 0.000 | 
| -0.278 | -0.190 | -0.272 | 0.097 | 0.050 | 0.018 | 
| -0.520 | -0.520 | -0.571 | -0.000 | 0.300 | 0.000 | 
| -0.213 | -0.129 | -0.213 | 0.022 | 0.056 | 0.052 | 
| 0.063 | 0.051 | 0.067 | 0.000 | -0.016 | -0.000 | 
| 0.064 | 0.051 | 0.067 | -0.000 | -0.016 | -0.000 | 
| 0.063 | 0.051 | 0.067 | 0.000 | -0.016 | -0.000 | 
| 0.053 | 0.045 | 0.055 | 0.010 | -0.016 | 0.001 | 
| 0.041 | 0.023 | 0.031 | 0.000 | 0.008 | -0.000 | 
| 0.040 | 0.031 | 0.043 | 0.003 | -0.012 | 0.006 | 
| 0.000 | 0.000 | 0.000 | -0.000 | -0.000 | 0.000 | 
| 0.000 | 0.000 | 0.000 | -0.000 | -0.000 | 0.000 | 
| 0.000 | 0.000 | 0.000 | -0.000 | -0.000 | 0.000 | 
| -0.053 | -0.045 | -0.055 | 0.010 | 0.016 | 0.001 | 
| -0.062 | -0.051 | -0.064 | 0.000 | 0.018 | 0.000 | 
| -0.040 | -0.031 | -0.043 | 0.003 | 0.012 | 0.006 | 
| 0.023 | 0.011 | 0.011 | 0.000 | 0.000 | -0.000 | 
| 0.171 | 0.341 | 0.171 | 0.000 | 0.000 | 0.000 | 
| 0.171 | 0.171 | 0.341 | 0.000 | 0.000 | -0.000 | 
| 0.000 | 0.085 | 0.085 | 0.085 | -0.000 | -0.000 | 
| 0.006 | 0.000 | 0.006 | -0.000 | 0.006 | 0.000 | 
| 0.006 | 0.006 | 0.000 | 0.000 | 0.000 | 0.006 | 
| -0.000 | -0.000 | -0.000 | -0.000 | -0.000 | -0.000 | 
| -0.000 | -0.000 | -0.000 | -0.000 | -0.000 | -0.000 | 
| -0.000 | -0.000 | -0.000 | -0.000 | -0.000 | -0.000 | 
| -0.000 | -0.085 | -0.085 | 0.085 | -0.000 | -0.000 | 
| -0.006 | -0.000 | -0.006 | -0.000 | 0.006 | -0.000 | 
| -0.006 | -0.006 | -0.000 | -0.000 | -0.000 | 0.006 | 
| 0.024 | 0.012 | 0.012 | -0.000 | -0.000 | 0.000 | 
| 0.012 | 0.024 | 0.012 | 0.000 | 0.000 | -0.000 | 
| 0.012 | 0.012 | 0.024 | -0.000 | -0.000 | -0.000 | 
| 0.000 | 0.006 | 0.006 | 0.006 | 0.000 | -0.000 | 
| 0.006 | 0.000 | 0.006 | 0.000 | 0.006 | 0.000 | 
| 0.006 | 0.006 | 0.000 | 0.000 | 0.000 | 0.006 | 
| -0.000 | -0.000 | -0.000 | -0.000 | -0.000 | -0.000 | 
| -0.000 | -0.000 | -0.000 | -0.000 | -0.000 | -0.000 | 
| -0.000 | -0.000 | -0.000 | -0.000 | -0.000 | -0.000 | 
| -0.000 | -0.006 | -0.006 | 0.006 | 0.000 | 0.000 | 
| -0.006 | -0.000 | -0.006 | -0.000 | 0.006 | -0.000 | 
| -0.006 | -0.006 | -0.000 | -0.000 | -0.000 | 0.006 | 
| 0.000 | 0.000 | 0.000 | 0.000 | -0.000 | 0.000 | 
| 0.000 | 0.000 | 0.000 | -0.000 | 0.000 | 0.000 | 
| 0.000 | 0.000 | 0.000 | 0.000 | -0.000 | -0.000 | 
| 0.000 | 0.000 | 0.000 | 0.000 | -0.000 | 0.000 | 
| 0.000 | 0.000 | 0.000 | -0.000 | 0.000 | 0.000 | 
| 0.000 | 0.000 | 0.000 | 0.000 | 0.000 | 0.000 | 
| -0.000 | -0.000 | -0.000 | -0.000 | -0.000 | -0.000 | 
| -0.000 | -0.000 | -0.000 | -0.000 | -0.000 | -0.000 | 
| -0.000 | -0.000 | -0.000 | -0.000 | -0.000 | -0.000 | 
| -0.000 | -0.000 | -0.000 | 0.000 | 0.000 | -0.000 | 
| -0.000 | -0.000 | -0.000 | -0.000 | 0.000 | -0.000 | 
| -0.000 | -0.000 | -0.000 | -0.000 | -0.000 | 0.000 | 
| 2.260 | 2.016 | 2.009 | 0.000 | 0.000 | 0.000 | 
| 2.089 | 2.564 | 2.051 | 0.000 | 0.000 | 0.000 | 
| 2.016 | 2.009 | 2.260 | 0.000 | 0.000 | 0.000 | 
| 0.576 | 1.193 | 0.998 | 1.137 | 0.000 | 0.000 | 
| 0.998 | 0.576 | 1.193 | 0.000 | 1.137 | 0.000 | 
| 1.193 | 0.998 | 0.576 | 0.000 | 0.000 | 1.137 | 
| 0.243 | 0.237 | 0.241 | -0.000 | -0.000 | -0.000 | 
| 0.241 | 0.243 | 0.237 | -0.000 | -0.000 | -0.000 | 
| 0.237 | 0.241 | 0.243 | -0.000 | -0.000 | -0.000 | 
| -0.519 | -0.677 | -0.645 | 0.653 | -0.000 | -0.000 | 
| -0.998 | -0.576 | -1.193 | -0.000 | 1.137 | -0.000 | 
| -0.677 | -0.645 | -0.519 | -0.000 | -0.000 | 0.653 | 
| 1.424 | 1.413 | 1.413 | 0.000 | 0.000 | 0.000 | 
| 1.413 | 1.424 | 1.413 | 0.000 | 0.000 | 0.000 | 
| 1.249 | 1.249 | 1.257 | 0.000 | 0.000 | 0.000 | 
| 0.286 | 0.278 | 0.272 | 0.127 | 0.000 | 0.000 | 
| 0.383 | 0.405 | 0.422 | 0.000 | 0.227 | 0.000 | 
| 0.266 | 0.262 | 0.274 | 0.000 | 0.000 | 0.121 | 
| 0.024 | 0.021 | 0.023 | -0.000 | -0.000 | -0.000 | 
| 0.023 | 0.024 | 0.021 | -0.000 | -0.000 | -0.000 | 
| 0.021 | 0.023 | 0.024 | -0.000 | -0.000 | -0.000 | 
| -0.274 | -0.266 | -0.262 | 0.121 | -0.000 | -0.000 | 
| -0.383 | -0.405 | -0.422 | -0.000 | 0.227 | -0.000 | 
| -0.256 | -0.252 | -0.266 | -0.000 | -0.000 | 0.115 | 
| 0.186 | 0.184 | 0.185 | 0.000 | 0.000 | 0.000 | 
| 0.185 | 0.186 | 0.184 | 0.000 | 0.000 | 0.000 | 
| 0.184 | 0.185 | 0.186 | 0.000 | 0.000 | 0.000 | 
| 0.062 | 0.059 | 0.063 | 0.016 | 0.000 | 0.000 | 
| 0.066 | 0.064 | 0.061 | 0.000 | 0.017 | 0.000 | 
| 0.055 | 0.060 | 0.058 | 0.000 | 0.000 | 0.015 | 
| 0.002 | 0.002 | 0.002 | -0.000 | -0.000 | -0.000 | 
| 0.002 | 0.002 | 0.002 | -0.000 | -0.000 | -0.000 | 
| 0.002 | 0.002 | 0.002 | -0.000 | -0.000 | -0.000 | 
| -0.062 | -0.059 | -0.063 | 0.016 | -0.000 | -0.000 | 
| -0.060 | -0.058 | -0.055 | -0.000 | 0.015 | -0.000 | 
| -0.055 | -0.060 | -0.058 | -0.000 | -0.000 | 0.015 | 
| 0.012 | 0.008 | 0.020 | 0.000 | 0.000 | -0.000 | 
| 0.006 | 0.005 | 0.008 | 0.000 | 0.000 | 0.000 | 
| 0.008 | 0.006 | 0.005 | 0.000 | 0.000 | -0.000 | 
| 0.002 | 0.003 | 0.005 | 0.003 | 0.000 | 0.000 | 
| 0.005 | 0.002 | 0.003 | 0.000 | 0.003 | 0.000 | 
| 0.003 | 0.005 | 0.002 | -0.000 | -0.000 | 0.003 | 
| -0.000 | -0.000 | -0.000 | -0.000 | -0.000 | -0.000 | 
| -0.000 | -0.000 | -0.000 | -0.000 | -0.000 | -0.000 | 
| -0.000 | -0.000 | -0.000 | -0.000 | -0.000 | -0.000 | 
| -0.002 | -0.003 | -0.005 | 0.003 | 0.000 | -0.000 | 
| -0.005 | -0.002 | -0.003 | -0.000 | 0.003 | -0.000 | 
| -0.003 | -0.005 | -0.002 | -0.000 | 0.000 | 0.003 | 
| 0.003 | 0.003 | 0.003 | 0.000 | -0.000 | 0.000 | 
| 0.003 | 0.003 | 0.003 | 0.000 | 0.000 | -0.000 | 
| 0.003 | 0.003 | 0.003 | -0.000 | -0.000 | -0.000 | 
| 0.001 | 0.001 | 0.001 | 0.000 | 0.000 | 0.000 | 
| 0.000 | 0.000 | 0.000 | -0.000 | 0.000 | -0.000 | 
| 0.001 | 0.001 | 0.001 | 0.000 | -0.000 | 0.000 | 
| -0.000 | -0.000 | -0.000 | -0.000 | -0.000 | -0.000 | 
| -0.000 | -0.000 | -0.000 | -0.000 | -0.000 | -0.000 | 
| -0.000 | -0.000 | -0.000 | -0.000 | -0.000 | -0.000 | 
| -0.001 | -0.001 | -0.001 | 0.000 | 0.000 | -0.000 | 
| -0.001 | -0.001 | -0.001 | 0.000 | 0.000 | 0.000 | 
| -0.001 | -0.001 | -0.001 | -0.000 | -0.000 | 0.000 | 
| 1.379 | 0.008 | 0.230 | 0.000 | -0.000 | 0.000 | 
| 0.398 | 1.304 | 0.273 | -0.000 | 0.000 | 0.000 | 
| 0.062 | 0.062 | 0.056 | -0.000 | -0.000 | -0.000 | 
| 0.035 | 0.116 | 0.069 | 0.089 | -0.000 | -0.000 | 
| 0.113 | 0.002 | 0.052 | 0.000 | 0.077 | 0.000 | 
| 0.024 | 0.063 | 0.020 | -0.000 | -0.000 | 0.038 | 
| -0.000 | -0.000 | -0.000 | -0.000 | -0.000 | -0.000 | 
| -0.000 | -0.000 | -0.000 | -0.000 | -0.000 | -0.000 | 
| -0.000 | -0.000 | -0.000 | -0.000 | -0.000 | -0.000 | 
| -0.035 | -0.116 | -0.069 | 0.089 | -0.000 | 0.000 | 
| -0.113 | -0.002 | -0.052 | -0.000 | 0.077 | 0.000 | 
| -0.024 | -0.063 | -0.020 | 0.000 | -0.000 | 0.038 | 
| 1.576 | 0.426 | 0.420 | -0.000 | -0.000 | 0.000 | 
| 1.058 | 2.124 | 0.726 | -0.000 | -0.000 | 0.000 | 
| 1.314 | 1.314 | 1.178 | 0.000 | -0.000 | 0.000 | 
| 0.213 | 0.224 | 0.092 | 0.090 | 0.000 | 0.000 | 
| 0.334 | 0.207 | 0.110 | 0.000 | 0.105 | 0.000 | 
| 0.252 | 0.631 | 0.190 | -0.000 | 0.000 | 0.358 | 
| -0.000 | -0.000 | -0.000 | -0.000 | -0.000 | -0.000 | 
| -0.000 | -0.000 | -0.000 | -0.000 | -0.000 | -0.000 | 
| -0.000 | -0.000 | -0.000 | -0.000 | -0.000 | -0.000 | 
| -0.213 | -0.224 | -0.092 | 0.090 | 0.000 | -0.000 | 
| -0.334 | -0.207 | -0.110 | 0.000 | 0.105 | 0.000 | 
| -0.280 | -0.758 | -0.204 | 0.000 | -0.000 | 0.435 | 
| 0.208 | 0.038 | 0.052 | 0.000 | 0.000 | 0.000 | 
| 0.077 | 0.159 | 0.054 | 0.000 | 0.000 | 0.000 | 
| 0.124 | 0.124 | 0.057 | 0.000 | 0.000 | 0.000 | 
| 0.052 | 0.054 | 0.025 | 0.016 | 0.000 | -0.000 | 
| 0.064 | 0.107 | 0.036 | 0.000 | 0.023 | 0.000 | 
| 0.062 | 0.125 | 0.042 | 0.000 | -0.000 | 0.056 | 
| -0.000 | -0.000 | -0.000 | -0.000 | -0.000 | -0.000 | 
| -0.000 | -0.000 | -0.000 | -0.000 | -0.000 | -0.000 | 
| -0.000 | -0.000 | -0.000 | -0.000 | -0.000 | -0.000 | 
| -0.052 | -0.054 | -0.025 | 0.016 | 0.000 | -0.000 | 
| -0.064 | -0.107 | -0.036 | -0.000 | 0.023 | 0.000 | 
| -0.062 | -0.125 | -0.042 | -0.000 | -0.000 | 0.056 | 
| 0.168 | -0.740 | -0.171 | -0.000 | 0.000 | 0.000 | 
| -0.741 | 0.168 | -0.171 | -0.000 | 0.000 | -0.000 | 
| 0.319 | 0.318 | 0.605 | 0.000 | 0.000 | 0.000 | 
| -0.558 | -0.557 | -0.340 | 0.104 | -0.000 | 0.000 | 
| -0.557 | -0.557 | -0.340 | 0.000 | 0.104 | 0.000 | 
| -0.294 | -0.294 | -0.179 | -0.000 | 0.000 | 0.003 | 
| 1.816 | 0.649 | 0.797 | -0.000 | -0.000 | -0.000 | 
| 0.649 | 1.817 | 0.796 | 0.000 | -0.000 | 0.000 | 
| 0.895 | 0.896 | 0.917 | -0.000 | -0.000 | -0.000 | 
| 0.558 | 0.557 | 0.340 | 0.104 | -0.000 | -0.000 | 
| 0.557 | 0.557 | 0.340 | 0.000 | 0.104 | -0.000 | 
| 0.294 | 0.294 | 0.179 | 0.000 | -0.000 | 0.003 | 
| -0.034 | -0.195 | -0.069 | 0.000 | -0.000 | 0.000 | 
| -0.195 | -0.034 | -0.069 | -0.000 | -0.000 | 0.000 | 
| 0.029 | 0.029 | 0.070 | 0.000 | -0.000 | 0.000 | 
| -0.107 | -0.143 | -0.070 | 0.032 | 0.000 | -0.000 | 
| -0.143 | -0.107 | -0.070 | -0.000 | 0.032 | -0.000 | 
| -0.060 | -0.060 | -0.032 | -0.000 | 0.000 | 0.003 | 
| 0.283 | 0.031 | 0.097 | -0.000 | 0.000 | 0.000 | 
| 0.031 | 0.283 | 0.097 | 0.000 | -0.000 | -0.000 | 
| 0.151 | 0.151 | 0.175 | 0.000 | -0.000 | -0.000 | 
| 0.107 | 0.143 | 0.070 | 0.032 | 0.000 | -0.000 | 
| 0.143 | 0.107 | 0.070 | 0.000 | 0.032 | -0.000 | 
| 0.060 | 0.060 | 0.032 | 0.000 | -0.000 | 0.003 | 
| -0.002 | -0.020 | -0.007 | -0.000 | 0.000 | 0.000 | 
| -0.020 | -0.002 | -0.007 | -0.000 | 0.000 | 0.000 | 
| -0.001 | -0.001 | -0.000 | -0.000 | 0.000 | 0.000 | 
| -0.007 | -0.026 | -0.010 | 0.004 | 0.000 | 0.000 | 
| -0.026 | -0.007 | -0.010 | -0.000 | 0.004 | 0.000 | 
| -0.019 | -0.019 | -0.010 | -0.000 | 0.000 | 0.001 | 
| 0.029 | 0.010 | 0.012 | 0.000 | -0.000 | -0.000 | 
| 0.010 | 0.029 | 0.012 | 0.000 | -0.000 | -0.000 | 
| 0.015 | 0.015 | 0.017 | 0.000 | -0.000 | -0.000 | 
| 0.007 | 0.026 | 0.010 | 0.004 | -0.000 | -0.000 | 
| 0.026 | 0.007 | 0.010 | -0.000 | 0.004 | -0.000 | 
| 0.019 | 0.019 | 0.010 | 0.000 | -0.000 | 0.001 | 
| 0.743 | 0.632 | 0.976 | 0.000 | 0.000 | -0.000 | 
| 0.208 | 2.547 | 0.956 | 0.000 | -0.000 | -0.000 | 
| 0.926 | 1.269 | 2.383 | 0.000 | 0.000 | -0.000 | 
| 0.019 | 0.361 | 0.133 | 0.461 | -0.000 | 0.000 | 
| 0.359 | 0.071 | 0.335 | 0.000 | 0.892 | 0.000 | 
| -0.308 | 0.098 | -0.060 | 0.000 | 0.000 | 0.247 | 
| 0.919 | 0.469 | 0.633 | 0.000 | -0.000 | 0.000 | 
| 0.314 | 0.640 | 0.155 | -0.000 | 0.000 | 0.000 | 
| 0.857 | 0.292 | 0.630 | -0.000 | -0.000 | -0.000 | 
| -0.019 | -0.361 | -0.133 | 0.461 | 0.000 | -0.000 | 
| 0.319 | -0.063 | -0.018 | -0.000 | 0.471 | 0.000 | 
| 0.308 | -0.098 | 0.060 | -0.000 | 0.000 | 0.247 | 
| 0.627 | 0.824 | 1.116 | 0.000 | 0.000 | -0.000 | 
| 0.797 | 2.389 | 1.352 | 0.000 | 0.000 | -0.000 | 
| 0.739 | 1.374 | 1.343 | 0.000 | 0.000 | 0.000 | 
| 0.010 | 0.022 | 0.075 | 0.045 | 0.000 | -0.000 | 
| 0.180 | 0.183 | 0.291 | 0.000 | 0.177 | 0.000 | 
| 0.030 | 0.186 | 0.146 | 0.000 | 0.000 | 0.083 | 
| 0.100 | 0.054 | 0.048 | -0.000 | -0.000 | 0.000 | 
| 0.075 | 0.068 | 0.042 | -0.000 | -0.000 | 0.000 | 
| 0.100 | 0.069 | 0.068 | -0.000 | -0.000 | 0.000 | 
| -0.046 | -0.070 | -0.117 | 0.069 | -0.000 | -0.000 | 
| -0.180 | -0.183 | -0.291 | -0.000 | 0.177 | 0.000 | 
| -0.030 | -0.186 | -0.146 | -0.000 | 0.000 | 0.083 | 
| 0.031 | 0.082 | 0.060 | 0.000 | 0.000 | 0.000 | 
| 0.031 | 0.083 | 0.061 | 0.000 | 0.000 | -0.000 | 
| 0.031 | 0.082 | 0.060 | 0.000 | -0.000 | -0.000 | 
| 0.026 | 0.013 | 0.056 | 0.011 | 0.000 | 0.000 | 
| 0.022 | 0.065 | 0.055 | 0.000 | 0.009 | -0.000 | 
| 0.009 | 0.026 | 0.031 | -0.000 | 0.000 | 0.010 | 
| 0.010 | 0.005 | 0.005 | -0.000 | -0.000 | 0.000 | 
| 0.010 | 0.007 | 0.005 | -0.000 | -0.000 | 0.000 | 
| 0.010 | 0.007 | 0.007 | -0.000 | -0.000 | 0.000 | 
| -0.026 | -0.013 | -0.056 | 0.011 | -0.000 | -0.000 | 
| -0.022 | -0.065 | -0.055 | -0.000 | 0.009 | -0.000 | 
| -0.009 | -0.026 | -0.031 | 0.000 | 0.000 | 0.010 | 
| 2.119 | 0.547 | 0.822 | 0.078 | 0.479 | 0.062 | 
| 0.526 | 1.058 | 0.583 | 0.085 | 0.025 | -0.059 | 
| 0.746 | 0.556 | 1.803 | 0.030 | 0.213 | -0.020 | 
| 0.225 | 0.209 | 0.245 | 0.191 | -0.008 | -0.023 | 
| 0.642 | 0.147 | 0.488 | 0.005 | 0.510 | 0.040 | 
| 0.388 | 0.410 | 0.176 | 0.038 | 0.144 | 0.287 | 
| 0.010 | 0.005 | -0.006 | 0.001 | 0.005 | -0.001 | 
| 0.007 | 0.007 | -0.000 | 0.004 | -0.000 | -0.001 | 
| 0.011 | 0.008 | 0.009 | 0.003 | 0.003 | -0.001 | 
| -0.118 | -0.426 | -0.337 | 0.262 | -0.022 | -0.031 | 
| -0.397 | -0.163 | -0.275 | -0.021 | 0.245 | 0.050 | 
| -0.232 | -0.206 | -0.142 | -0.042 | 0.062 | 0.134 | 
| 0.357 | 0.270 | 0.313 | 0.082 | 0.089 | -0.038 | 
| 0.342 | 0.264 | 0.301 | 0.079 | 0.084 | -0.037 | 
| 0.317 | 0.240 | 0.279 | 0.074 | 0.078 | -0.034 | 
| 0.178 | 0.112 | 0.163 | 0.084 | 0.022 | -0.015 | 
| 0.169 | 0.121 | 0.153 | 0.030 | 0.074 | -0.012 | 
| 0.069 | 0.048 | 0.068 | 0.012 | 0.037 | 0.015 | 
| 0.001 | -0.001 | -0.012 | -0.001 | 0.003 | 0.000 | 
| -0.001 | 0.001 | -0.006 | 0.001 | -0.001 | 0.000 | 
| 0.001 | 0.001 | 0.001 | 0.000 | 0.000 | -0.000 | 
| -0.040 | -0.057 | -0.032 | 0.020 | -0.018 | 0.011 | 
| -0.105 | -0.061 | -0.067 | -0.032 | 0.044 | 0.022 | 
| -0.122 | -0.111 | -0.088 | -0.024 | 0.004 | 0.054 | 
| 0.056 | 0.041 | 0.047 | 0.011 | 0.016 | -0.005 | 
| 0.065 | 0.048 | 0.055 | 0.013 | 0.018 | -0.006 | 
| 0.039 | 0.029 | 0.034 | 0.008 | 0.011 | -0.003 | 
| 0.035 | 0.024 | 0.031 | 0.010 | 0.008 | -0.004 | 
| 0.034 | 0.026 | 0.030 | 0.006 | 0.012 | -0.003 | 
| 0.020 | 0.011 | 0.019 | 0.004 | 0.009 | 0.002 | 
| 0.000 | -0.001 | -0.001 | 0.000 | 0.000 | 0.000 | 
| -0.001 | -0.000 | -0.007 | 0.001 | -0.001 | 0.000 | 
| 0.000 | 0.000 | 0.000 | 0.000 | 0.000 | -0.000 | 
| -0.005 | -0.005 | -0.003 | 0.002 | -0.002 | 0.001 | 
| -0.008 | -0.006 | -0.006 | -0.003 | 0.001 | 0.002 | 
| -0.020 | -0.016 | -0.018 | -0.006 | -0.004 | 0.005 | 
| 0.000 | 0.000 | 0.000 | 0.000 | 0.000 | 0.000 | 
| 0.000 | 0.000 | 0.000 | 0.000 | 0.000 | 0.000 | 
| 0.000 | 0.000 | 4.395 | 0.000 | -0.000 | 0.000 | 
| 0.000 | 0.000 | 0.000 | 0.000 | 0.000 | 0.000 | 
| 0.000 | 0.000 | 0.000 | 0.000 | 0.000 | 0.000 | 
| 0.000 | 0.000 | 0.000 | 0.000 | 0.000 | 0.000 | 
| -0.000 | -0.000 | -0.000 | -0.000 | -0.000 | -0.000 | 
| -0.000 | -0.000 | -0.000 | -0.000 | -0.000 | -0.000 | 
| -0.000 | -0.000 | -0.000 | -0.000 | -0.000 | -0.000 | 
| -0.000 | -0.000 | -0.000 | -0.000 | -0.000 | -0.000 | 
| -0.000 | -0.000 | -0.000 | -0.000 | -0.000 | -0.000 | 
| -0.000 | -0.000 | -0.000 | -0.000 | -0.000 | -0.000 | 
| 0.000 | 0.000 | 0.000 | 0.000 | 0.000 | 0.000 | 
| 0.000 | 0.000 | 0.000 | 0.000 | 0.000 | 0.000 | 
| 0.000 | 0.000 | 12.549 | 0.000 | 0.000 | 0.000 | 
| 0.000 | 0.000 | 0.000 | 0.000 | 0.000 | 0.000 | 
| 0.000 | 0.000 | 0.000 | 0.000 | 0.000 | 0.000 | 
| 0.000 | 0.000 | 0.000 | 0.000 | 0.000 | 0.000 | 
| -0.000 | -0.000 | -0.000 | -0.000 | -0.000 | -0.000 | 
| -0.000 | -0.000 | -0.000 | -0.000 | -0.000 | -0.000 | 
| -0.000 | -0.000 | -0.000 | -0.000 | -0.000 | -0.000 | 
| -0.000 | -0.000 | -0.000 | -0.000 | -0.000 | -0.000 | 
| -0.000 | -0.000 | -0.000 | -0.000 | -0.000 | -0.000 | 
| -0.000 | -0.000 | -0.000 | -0.000 | -0.000 | -0.000 | 
| 0.006 | 0.006 | 0.006 | 0.000 | 0.000 | 0.000 | 
| 0.006 | 0.006 | 0.006 | 0.000 | 0.000 | 0.000 | 
| 0.006 | 0.006 | 0.006 | 0.000 | 0.000 | 0.000 | 
| 0.003 | 0.004 | 0.004 | 0.004 | -0.000 | -0.000 | 
| 0.004 | 0.003 | 0.004 | -0.000 | 0.004 | -0.000 | 
| 0.004 | 0.004 | 0.003 | -0.000 | -0.000 | 0.004 | 
| -0.000 | -0.000 | -0.000 | -0.000 | -0.000 | -0.000 | 
| -0.000 | -0.000 | -0.000 | -0.000 | -0.000 | -0.000 | 
| -0.000 | -0.000 | -0.000 | -0.000 | -0.000 | -0.000 | 
| -0.003 | -0.004 | -0.004 | 0.004 | -0.000 | 0.000 | 
| -0.004 | -0.003 | -0.004 | -0.000 | 0.004 | 0.000 | 
| -0.004 | -0.004 | -0.003 | -0.000 | 0.000 | 0.004 | 
| 0.000 | 0.000 | 0.513 | 0.000 | -0.000 | 0.000 | 
| 0.000 | 0.012 | 0.025 | -0.000 | -0.000 | 0.000 | 
| 1.506 | 1.506 | 4.538 | -0.000 | -0.000 | 0.000 | 
| 0.000 | 0.002 | 0.001 | 0.002 | -0.000 | -0.000 | 
| 0.002 | 0.001 | 0.002 | 0.000 | 0.002 | 0.000 | 
| 0.012 | 0.004 | 0.009 | -0.000 | -0.000 | 0.007 | 
| -0.000 | -0.000 | -0.000 | -0.000 | -0.000 | -0.000 | 
| -0.000 | -0.000 | -0.000 | -0.000 | -0.000 | -0.000 | 
| -0.000 | -0.000 | -0.000 | -0.000 | -0.000 | -0.000 | 
| -0.000 | -0.002 | -0.001 | 0.002 | -0.000 | 0.000 | 
| -0.002 | -0.001 | -0.002 | -0.000 | 0.002 | 0.000 | 
| -0.012 | -0.004 | -0.009 | 0.000 | -0.000 | 0.007 | 
| 0.178 | 0.063 | 0.063 | 0.000 | 0.000 | 0.000 | 
| 0.063 | 0.178 | 0.063 | 0.000 | 0.000 | -0.000 | 
| 0.063 | 0.063 | 0.178 | 0.000 | 0.000 | -0.000 | 
| -3.135 | -3.135 | -3.135 | 0.000 | 0.000 | 0.000 | 
| -3.135 | -3.135 | -3.135 | 0.000 | 0.000 | 0.000 | 
| -3.135 | -3.135 | -3.135 | 0.000 | 0.000 | 0.000 | 
| 3.461 | 3.461 | 3.461 | -0.000 | -0.000 | -0.000 | 
| 3.461 | 3.461 | 3.461 | -0.000 | -0.000 | -0.000 | 
| 3.461 | 3.461 | 3.461 | -0.000 | -0.000 | 0.000 | 
| 3.135 | 3.135 | 3.135 | 0.000 | -0.000 | -0.000 | 
| 3.135 | 3.135 | 3.135 | -0.000 | 0.000 | 0.000 | 
| 3.135 | 3.135 | 3.135 | -0.000 | -0.000 | 0.000 | 
| 0.408 | 0.408 | 0.408 | 0.000 | 0.000 | -0.000 | 
| 0.408 | 0.408 | 0.408 | 0.000 | 0.000 | 0.000 | 
| -0.003 | -0.003 | -0.003 | 0.000 | 0.000 | 0.000 | 
| -0.338 | -0.329 | -0.334 | -0.000 | 0.000 | 0.000 | 
| -0.334 | -0.338 | -0.329 | 0.000 | -0.000 | 0.000 | 
| -0.329 | -0.334 | -0.338 | 0.000 | 0.000 | -0.000 | 
| 1.238 | 1.249 | 1.139 | -0.000 | 0.000 | -0.000 | 
| 1.139 | 1.239 | 1.242 | -0.000 | -0.000 | -0.000 | 
| 1.266 | 1.241 | 1.284 | -0.000 | -0.000 | 0.000 | 
| 0.338 | 0.329 | 0.334 | -0.000 | -0.000 | 0.000 | 
| 0.334 | 0.338 | 0.329 | -0.000 | -0.000 | 0.000 | 
| 0.329 | 0.334 | 0.338 | -0.000 | -0.000 | -0.000 | 
| -0.031 | -0.031 | -0.031 | 0.000 | 0.000 | 0.000 | 
| -0.031 | -0.031 | -0.031 | 0.000 | 0.000 | 0.000 | 
| -0.031 | -0.031 | -0.031 | 0.000 | 0.000 | -0.000 | 
| -0.077 | -0.091 | -0.084 | 0.016 | 0.000 | 0.000 | 
| -0.084 | -0.077 | -0.091 | 0.000 | 0.016 | -0.000 | 
| -0.091 | -0.084 | -0.077 | 0.000 | 0.000 | 0.016 | 
| 0.131 | 0.125 | 0.128 | -0.000 | -0.000 | -0.000 | 
| 0.128 | 0.131 | 0.125 | -0.000 | -0.000 | -0.000 | 
| 0.125 | 0.128 | 0.131 | -0.000 | -0.000 | 0.000 | 
| 0.077 | 0.091 | 0.084 | 0.016 | 0.000 | -0.000 | 
| 0.084 | 0.077 | 0.091 | -0.000 | 0.016 | 0.000 | 
| 0.091 | 0.084 | 0.077 | -0.000 | -0.000 | 0.016 | 
| 0.518 | 0.518 | 0.518 | 0.000 | 0.000 | 0.000 | 
| 0.518 | 0.518 | 0.518 | 0.000 | 0.000 | 0.000 | 
| 0.518 | 0.518 | 0.518 | 0.000 | 0.000 | 0.000 | 
| 0.259 | 0.259 | 0.259 | 0.259 | 0.000 | 0.000 | 
| 0.259 | 0.259 | 0.259 | 0.000 | 0.259 | 0.000 | 
| 0.259 | 0.259 | 0.259 | 0.000 | 0.000 | 0.259 | 
| -0.000 | -0.000 | -0.000 | -0.000 | -0.000 | -0.000 | 
| -0.000 | -0.000 | -0.000 | -0.000 | -0.000 | -0.000 | 
| -0.000 | -0.000 | -0.000 | -0.000 | -0.000 | -0.000 | 
| -0.259 | -0.259 | -0.259 | 0.259 | 0.000 | -0.000 | 
| -0.259 | -0.259 | -0.259 | -0.000 | 0.259 | 0.000 | 
| -0.259 | -0.259 | -0.259 | -0.000 | 0.000 | 0.259 | 
| 0.035 | 0.035 | 0.035 | -0.000 | 0.000 | 0.000 | 
| 0.035 | 0.035 | 0.035 | 0.000 | 0.000 | 0.000 | 
| 0.035 | 0.035 | 0.035 | -0.000 | 0.000 | 0.000 | 
| 0.018 | 0.018 | 0.018 | 0.018 | 0.000 | 0.000 | 
| 0.018 | 0.018 | 0.018 | 0.000 | 0.018 | 0.000 | 
| 0.018 | 0.018 | 0.018 | -0.000 | -0.000 | 0.018 | 
| -0.000 | -0.000 | -0.000 | -0.000 | -0.000 | -0.000 | 
| -0.000 | -0.000 | -0.000 | -0.000 | -0.000 | -0.000 | 
| -0.000 | -0.000 | -0.000 | -0.000 | -0.000 | -0.000 | 
| -0.018 | -0.018 | -0.018 | 0.018 | 0.000 | -0.000 | 
| -0.018 | -0.018 | -0.018 | -0.000 | 0.018 | 0.000 | 
| -0.018 | -0.018 | -0.018 | 0.000 | -0.000 | 0.018 | 
| 0.002 | 0.002 | 0.002 | 0.000 | -0.000 | 0.000 | 
| 0.002 | 0.002 | 0.002 | 0.000 | -0.000 | 0.000 | 
| 0.002 | 0.002 | 0.002 | 0.000 | 0.000 | 0.000 | 
| 0.001 | 0.001 | 0.001 | 0.001 | -0.000 | -0.000 | 
| 0.001 | 0.001 | 0.001 | -0.000 | 0.001 | -0.000 | 
| 0.001 | 0.001 | 0.001 | 0.000 | 0.000 | 0.001 | 
| -0.000 | -0.000 | -0.000 | -0.000 | -0.000 | -0.000 | 
| -0.000 | -0.000 | -0.000 | -0.000 | -0.000 | -0.000 | 
| -0.000 | -0.000 | -0.000 | -0.000 | -0.000 | -0.000 | 
| -0.001 | -0.001 | -0.001 | 0.001 | -0.000 | 0.000 | 
| -0.001 | -0.001 | -0.001 | 0.000 | 0.001 | -0.000 | 
| -0.001 | -0.001 | -0.001 | 0.000 | -0.000 | 0.001 | 
| 0.685 | 0.000 | 0.068 | 0.000 | -0.000 | 0.000 | 
| 0.000 | 0.000 | 0.000 | 0.000 | 0.000 | 0.000 | 
| 0.000 | 0.000 | 0.000 | 0.000 | 0.000 | 0.000 | 
| 0.000 | 0.000 | 0.000 | 0.000 | 0.000 | 0.000 | 
| 0.000 | 0.000 | 0.000 | 0.000 | 0.000 | 0.000 | 
| 0.000 | 0.000 | 0.000 | 0.000 | 0.000 | 0.000 | 
| -0.000 | -0.000 | -0.000 | -0.000 | -0.000 | -0.000 | 
| -0.000 | -0.000 | -0.000 | -0.000 | -0.000 | -0.000 | 
| -0.000 | -0.000 | -0.000 | -0.000 | -0.000 | -0.000 | 
| -0.000 | -0.000 | -0.000 | -0.000 | -0.000 | -0.000 | 
| -0.000 | -0.000 | -0.000 | -0.000 | -0.000 | -0.000 | 
| -0.000 | -0.000 | -0.000 | -0.000 | -0.000 | -0.000 | 
| 2.821 | 4.278 | 0.458 | 0.000 | -0.000 | 0.000 | 
| 4.796 | 7.781 | 0.799 | -0.000 | 0.000 | 0.000 | 
| 0.067 | 0.000 | 0.007 | -0.000 | 0.000 | 0.000 | 
| 0.000 | 0.043 | 0.002 | 0.009 | 0.000 | 0.000 | 
| 0.089 | 0.000 | 0.009 | -0.000 | 0.028 | 0.000 | 
| 0.000 | 0.000 | 0.000 | 0.000 | 0.000 | 0.000 | 
| -0.000 | -0.000 | -0.000 | -0.000 | -0.000 | -0.000 | 
| -0.000 | -0.000 | -0.000 | -0.000 | -0.000 | -0.000 | 
| -0.000 | -0.000 | -0.000 | -0.000 | -0.000 | -0.000 | 
| -0.000 | -0.043 | -0.002 | 0.009 | 0.000 | -0.000 | 
| -0.089 | -0.000 | -0.009 | 0.000 | 0.028 | -0.000 | 
| -0.000 | -0.000 | -0.000 | -0.000 | -0.000 | -0.000 | 
| 2.807 | 1.505 | 0.299 | -0.000 | 0.000 | 0.000 | 
| 1.674 | 4.034 | 0.364 | 0.000 | -0.000 | -0.000 | 
| 0.000 | 0.000 | 11.273 | -0.000 | -0.000 | 0.000 | 
| 0.000 | 0.000 | 0.000 | 0.000 | 0.000 | 0.000 | 
| 0.000 | 0.000 | 0.000 | 0.000 | 0.000 | 0.000 | 
| 0.000 | 0.000 | 0.000 | 0.000 | 0.000 | 0.000 | 
| -0.000 | -0.000 | -0.000 | -0.000 | -0.000 | -0.000 | 
| -0.000 | -0.000 | -0.000 | -0.000 | -0.000 | -0.000 | 
| -0.000 | -0.000 | -0.000 | -0.000 | -0.000 | -0.000 | 
| -0.000 | -0.000 | -0.000 | -0.000 | -0.000 | -0.000 | 
| -0.000 | -0.000 | -0.000 | -0.000 | -0.000 | -0.000 | 
| -0.000 | -0.000 | -0.000 | -0.000 | -0.000 | -0.000 | 
| 5.457 | 5.726 | 0.746 | 0.000 | -0.000 | -0.000 | 
| 5.882 | 6.837 | 0.844 | 0.000 | 0.000 | -0.000 | 
| 0.556 | 0.376 | 14.245 | 0.000 | 0.000 | 0.000 | 
| 0.000 | 0.092 | 0.005 | 0.022 | -0.000 | -0.000 | 
| 0.007 | 0.000 | 0.001 | -0.000 | 0.002 | 0.000 | 
| 0.000 | 0.000 | 0.000 | 0.000 | 0.000 | 0.000 | 
| -0.000 | -0.000 | -0.000 | -0.000 | -0.000 | -0.000 | 
| -0.000 | -0.000 | -0.000 | -0.000 | -0.000 | -0.000 | 
| -0.000 | -0.000 | -0.000 | -0.000 | -0.000 | -0.000 | 
| -0.000 | -0.092 | -0.005 | 0.022 | 0.000 | -0.000 | 
| -0.007 | -0.000 | -0.001 | 0.000 | 0.002 | -0.000 | 
| -0.000 | -0.000 | -0.000 | -0.000 | -0.000 | -0.000 | 
| 0.043 | 0.002 | 0.002 | -0.000 | -0.000 | -0.000 | 
| 0.002 | 0.043 | 0.002 | -0.000 | -0.000 | 0.000 | 
| 0.002 | 0.002 | 0.043 | 0.000 | 0.000 | 0.000 | 
| 0.000 | 0.000 | 0.000 | 0.000 | 0.000 | 0.000 | 
| 0.000 | 0.000 | 0.000 | 0.000 | 0.000 | 0.000 | 
| 0.000 | 0.000 | 0.000 | 0.000 | 0.000 | 0.000 | 
| -0.000 | -0.000 | -0.000 | -0.000 | -0.000 | -0.000 | 
| -0.000 | -0.000 | -0.000 | -0.000 | -0.000 | -0.000 | 
| -0.000 | -0.000 | -0.000 | -0.000 | -0.000 | -0.000 | 
| -0.000 | -0.000 | -0.000 | -0.000 | -0.000 | -0.000 | 
| -0.000 | -0.000 | -0.000 | -0.000 | -0.000 | -0.000 | 
| -0.000 | -0.000 | -0.000 | -0.000 | -0.000 | -0.000 | 
| 0.004 | 0.004 | 0.004 | -0.000 | 0.000 | 0.000 | 
| 0.004 | 0.004 | 0.004 | -0.000 | -0.000 | 0.000 | 
| 0.004 | 0.004 | 0.004 | -0.000 | 0.000 | -0.000 | 
| 0.000 | 0.002 | 0.002 | 0.001 | 0.000 | 0.000 | 
| 0.002 | 0.000 | 0.002 | -0.000 | 0.001 | -0.000 | 
| 0.002 | 0.002 | 0.000 | 0.000 | 0.000 | 0.001 | 
| -0.000 | -0.000 | -0.000 | -0.000 | -0.000 | -0.000 | 
| -0.000 | -0.000 | -0.000 | -0.000 | -0.000 | -0.000 | 
| -0.000 | -0.000 | -0.000 | -0.000 | -0.000 | -0.000 | 
| -0.000 | -0.002 | -0.002 | 0.001 | 0.000 | -0.000 | 
| -0.002 | -0.000 | -0.002 | 0.000 | 0.001 | -0.000 | 
| -0.002 | -0.002 | -0.000 | -0.000 | 0.000 | 0.001 | 
| 0.001 | 0.001 | 0.001 | -0.000 | 0.000 | -0.000 | 
| 0.001 | 0.001 | 0.001 | 0.000 | 0.000 | 0.000 | 
| 0.001 | 0.001 | 0.001 | 0.000 | 0.000 | 0.000 | 
| 0.000 | 0.000 | 0.000 | 0.000 | 0.000 | 0.000 | 
| 0.000 | 0.000 | 0.000 | -0.000 | 0.000 | -0.000 | 
| 0.000 | 0.000 | 0.000 | 0.000 | 0.000 | 0.000 | 
| -0.000 | -0.000 | -0.000 | -0.000 | -0.000 | -0.000 | 
| -0.000 | -0.000 | -0.000 | -0.000 | -0.000 | -0.000 | 
| -0.000 | -0.000 | -0.000 | -0.000 | -0.000 | -0.000 | 
| -0.000 | -0.000 | -0.000 | 0.000 | -0.000 | 0.000 | 
| -0.000 | -0.000 | -0.000 | -0.000 | 0.000 | 0.000 | 
| -0.000 | -0.000 | -0.000 | 0.000 | -0.000 | 0.000 | 
| 1.368 | 1.088 | 2.505 | 0.000 | 0.000 | -0.000 | 
| 1.088 | 1.368 | 2.505 | 0.000 | 0.000 | 0.000 | 
| 1.954 | 1.954 | 2.379 | -0.000 | -0.000 | -0.000 | 
| 0.221 | 0.221 | 0.942 | 0.458 | -0.000 | -0.000 | 
| 0.221 | 0.221 | 0.942 | -0.000 | 0.458 | -0.000 | 
| 0.107 | 0.107 | 0.455 | 0.000 | 0.000 | 0.108 | 
| 0.003 | 0.003 | 0.003 | -0.000 | -0.000 | -0.000 | 
| 0.003 | 0.003 | 0.003 | -0.000 | -0.000 | -0.000 | 
| 0.003 | 0.003 | 0.003 | -0.000 | -0.000 | -0.000 | 
| -0.221 | -0.221 | -0.942 | 0.458 | -0.000 | -0.000 | 
| -0.221 | -0.221 | -0.942 | -0.000 | 0.458 | -0.000 | 
| -0.107 | -0.107 | -0.455 | -0.000 | -0.000 | 0.108 | 
| 1.605 | 1.605 | 1.954 | 0.000 | 0.000 | 0.000 | 
| 1.605 | 1.605 | 1.954 | 0.000 | 0.000 | 0.000 | 
| 1.954 | 1.954 | 2.379 | 0.000 | 0.000 | -0.000 | 
| 0.532 | 0.532 | 0.063 | 0.031 | -0.000 | -0.000 | 
| 0.532 | 0.532 | 0.063 | -0.000 | 0.031 | -0.000 | 
| 0.294 | 0.294 | 0.184 | 0.000 | 0.000 | 0.043 | 
| 0.000 | 0.000 | 0.000 | -0.000 | -0.000 | -0.000 | 
| 0.000 | 0.000 | 0.000 | -0.000 | -0.000 | -0.000 | 
| 0.000 | 0.000 | 0.000 | -0.000 | -0.000 | -0.000 | 
| -0.532 | -0.532 | -0.063 | 0.031 | 0.000 | -0.000 | 
| -0.532 | -0.532 | -0.063 | 0.000 | 0.031 | -0.000 | 
| -0.294 | -0.294 | -0.184 | -0.000 | -0.000 | 0.043 | 
| 1.605 | 1.605 | 1.954 | 0.000 | 0.000 | -0.000 | 
| 1.605 | 1.605 | 1.954 | 0.000 | 0.000 | -0.000 | 
| 1.954 | 1.954 | 2.378 | 0.000 | 0.000 | 0.000 | 
| 0.015 | 0.015 | 0.013 | 0.006 | 0.000 | 0.000 | 
| 0.015 | 0.015 | 0.013 | 0.000 | 0.006 | 0.000 | 
| 0.053 | 0.053 | 0.054 | 0.000 | 0.000 | 0.013 | 
| 0.000 | 0.000 | 0.000 | -0.000 | -0.000 | -0.000 | 
| 0.000 | 0.000 | 0.000 | -0.000 | -0.000 | -0.000 | 
| 0.000 | 0.000 | 0.000 | -0.000 | -0.000 | -0.000 | 
| -0.015 | -0.015 | -0.013 | 0.006 | -0.000 | -0.000 | 
| -0.015 | -0.015 | -0.013 | 0.000 | 0.006 | -0.000 | 
| -0.053 | -0.053 | -0.054 | -0.000 | -0.000 | 0.013 | 
| 0.011 | 0.011 | 0.011 | -0.000 | -0.000 | -0.000 | 
| 0.011 | 0.011 | 0.011 | -0.000 | -0.000 | -0.000 | 
| 0.011 | 0.011 | 0.011 | -0.000 | -0.000 | -0.000 | 
| 0.003 | 0.004 | 0.004 | 0.004 | -0.000 | -0.000 | 
| 0.004 | 0.003 | 0.004 | -0.000 | 0.004 | -0.000 | 
| 0.004 | 0.004 | 0.003 | -0.000 | -0.000 | 0.004 | 
| -0.000 | -0.000 | -0.000 | -0.000 | -0.000 | -0.000 | 
| -0.000 | -0.000 | -0.000 | -0.000 | -0.000 | -0.000 | 
| -0.000 | -0.000 | -0.000 | -0.000 | -0.000 | -0.000 | 
| -0.003 | -0.004 | -0.004 | 0.004 | -0.000 | 0.000 | 
| -0.004 | -0.003 | -0.004 | -0.000 | 0.004 | 0.000 | 
| -0.004 | -0.004 | -0.003 | -0.000 | 0.000 | 0.004 | 
| 3.268 | 1.245 | 1.245 | -0.000 | 0.000 | -0.000 | 
| 1.245 | 3.268 | 1.245 | 0.000 | 0.000 | -0.000 | 
| 1.245 | 1.245 | 3.268 | -0.000 | 0.000 | -0.000 | 
| 0.000 | 0.000 | 0.000 | 1.245 | 0.000 | 0.000 | 
| -0.000 | -0.000 | 0.000 | 0.000 | 1.245 | -0.000 | 
| -0.000 | -0.000 | -0.000 | 0.000 | 0.000 | 1.245 | 
| 3.268 | 1.245 | 1.245 | 0.000 | -0.000 | 0.000 | 
| 1.245 | 3.268 | 1.245 | -0.000 | 0.000 | -0.000 | 
| 1.245 | 1.245 | 3.268 | -0.000 | 0.000 | 0.000 | 
| -0.000 | -0.000 | -0.000 | 1.245 | 0.000 | -0.000 | 
| 0.000 | 0.000 | 0.000 | 0.000 | 1.245 | -0.000 | 
| 0.000 | -0.000 | 0.000 | 0.000 | 0.000 | 1.245 | 
| 4.532 | 1.271 | 1.271 | 0.000 | -0.000 | 0.000 | 
| 1.271 | 4.532 | 1.271 | -0.000 | 0.000 | -0.000 | 
| 1.271 | 1.271 | 4.532 | -0.000 | 0.000 | 0.000 | 
| -0.000 | -0.000 | 0.000 | 1.245 | -0.000 | 0.000 | 
| -0.000 | -0.000 | 0.000 | -0.000 | 1.245 | -0.000 | 
| -0.000 | 0.000 | -0.000 | -0.000 | 0.000 | 1.245 | 
| 3.071 | 1.207 | 1.207 | 0.000 | 0.000 | 0.000 | 
| 1.207 | 3.071 | 1.207 | 0.000 | 0.000 | 0.000 | 
| 1.207 | 1.207 | 3.071 | -0.000 | 0.000 | 0.000 | 
| 0.000 | 0.000 | -0.000 | 1.245 | 0.000 | -0.000 | 
| 0.000 | 0.000 | -0.000 | 0.000 | 1.245 | -0.000 | 
| 0.000 | -0.000 | 0.000 | 0.000 | 0.000 | 1.245 | 
| 4.954 | 2.799 | 2.799 | -0.000 | -0.000 | -0.000 | 
| 2.799 | 4.954 | 2.799 | -0.000 | -0.000 | -0.000 | 
| 2.799 | 2.799 | 4.954 | -0.000 | -0.000 | -0.000 | 
| -0.229 | 0.061 | 0.061 | 0.204 | -0.000 | -0.000 | 
| 0.061 | -0.229 | 0.061 | -0.000 | 0.204 | -0.000 | 
| 0.061 | 0.061 | -0.229 | -0.000 | -0.000 | 0.204 | 
| 0.468 | 0.456 | 0.456 | 0.000 | 0.000 | 0.000 | 
| 0.456 | 0.468 | 0.456 | 0.000 | 0.000 | 0.000 | 
| 0.456 | 0.456 | 0.468 | 0.000 | 0.000 | 0.000 | 
| 0.229 | -0.061 | -0.061 | 0.204 | 0.000 | 0.000 | 
| -0.068 | 0.269 | -0.068 | 0.000 | 0.208 | 0.000 | 
| -0.061 | -0.061 | 0.229 | 0.000 | 0.000 | 0.204 | 
| -6.271 | -6.424 | -6.424 | 0.000 | 0.000 | 0.000 | 
| -6.424 | -6.271 | -6.424 | 0.000 | 0.000 | 0.000 | 
| -6.424 | -6.424 | -6.271 | 0.000 | 0.000 | 0.000 | 
| -5.579 | -5.579 | -5.579 | 0.853 | 0.000 | -0.000 | 
| -5.579 | -5.579 | -5.579 | 0.000 | 0.853 | -0.000 | 
| -5.579 | -5.579 | -5.579 | 0.000 | -0.000 | 0.853 | 
| 6.651 | 6.361 | 6.361 | -0.000 | -0.000 | 0.000 | 
| 6.361 | 6.651 | 6.361 | 0.000 | -0.000 | -0.000 | 
| 6.361 | 6.361 | 6.651 | -0.000 | 0.000 | 0.000 | 
| 5.579 | 5.579 | 5.579 | 0.853 | 0.000 | 0.000 | 
| 5.579 | 5.579 | 5.579 | -0.000 | 0.853 | -0.000 | 
| 5.579 | 5.579 | 5.579 | 0.000 | 0.000 | 0.853 | 
| 1.369 | 0.703 | 0.703 | 0.000 | 0.000 | 0.000 | 
| 0.703 | 1.369 | 0.703 | 0.000 | 0.000 | 0.000 | 
| 0.703 | 0.703 | 1.369 | 0.000 | 0.000 | 0.000 | 
| -0.780 | -0.700 | -0.700 | 0.164 | 0.000 | 0.000 | 
| -0.700 | -0.780 | -0.700 | 0.000 | 0.164 | 0.000 | 
| -0.700 | -0.700 | -0.780 | 0.000 | 0.000 | 0.164 | 
| 0.910 | 0.711 | 0.711 | -0.000 | -0.000 | -0.000 | 
| 0.711 | 0.910 | 0.711 | -0.000 | -0.000 | -0.000 | 
| 0.711 | 0.711 | 0.910 | -0.000 | -0.000 | -0.000 | 
| 0.780 | 0.700 | 0.700 | 0.164 | -0.000 | -0.000 | 
| 0.700 | 0.780 | 0.700 | -0.000 | 0.164 | -0.000 | 
| 0.700 | 0.700 | 0.780 | -0.000 | -0.000 | 0.164 | 
| 4.157 | 4.090 | 4.090 | 0.000 | 0.000 | 0.000 | 
| 4.090 | 4.157 | 4.090 | 0.000 | 0.000 | 0.000 | 
| 4.090 | 4.090 | 4.157 | 0.000 | 0.000 | 0.000 | 
| 0.065 | 0.061 | 0.061 | 0.050 | 0.000 | 0.000 | 
| 0.061 | 0.065 | 0.061 | 0.000 | 0.050 | 0.000 | 
| 0.061 | 0.061 | 0.065 | 0.000 | 0.000 | 0.050 | 
| 0.092 | 0.092 | 0.092 | -0.000 | -0.000 | -0.000 | 
| 0.092 | 0.092 | 0.092 | -0.000 | -0.000 | -0.000 | 
| 0.092 | 0.092 | 0.092 | -0.000 | -0.000 | -0.000 | 
| -0.102 | -0.093 | -0.093 | 0.065 | -0.000 | -0.000 | 
| -0.061 | -0.065 | -0.061 | -0.000 | 0.050 | -0.000 | 
| -0.098 | -0.098 | -0.107 | -0.000 | -0.000 | 0.067 | 
| 4.206 | -0.000 | 0.000 | 0.000 | 0.000 | 0.000 | 
| -0.000 | 4.206 | 0.000 | 0.000 | 0.000 | 0.000 | 
| -0.000 | -0.000 | 0.000 | 0.000 | 0.000 | -0.000 | 
| -0.000 | -0.000 | 0.000 | 0.000 | 0.000 | -0.000 | 
| -0.000 | -0.000 | 0.000 | 0.000 | 0.000 | -0.000 | 
| -0.000 | -0.000 | 0.000 | 0.000 | 0.000 | -0.000 | 
| 1.801 | 0.000 | -0.000 | -0.000 | -0.000 | -0.000 | 
| 0.000 | 1.801 | -0.000 | -0.000 | -0.000 | -0.000 | 
| 0.000 | 0.000 | -0.000 | -0.000 | -0.000 | 0.000 | 
| 0.000 | 0.000 | -0.000 | -0.000 | -0.000 | 0.000 | 
| 0.000 | 0.000 | -0.000 | -0.000 | -0.000 | 0.000 | 
| 0.000 | 0.000 | -0.000 | -0.000 | -0.000 | -0.000 | 
| -0.161 | -0.179 | 0.000 | 0.000 | 0.000 | 0.000 | 
| -0.179 | -0.161 | 0.000 | 0.000 | 0.000 | 0.000 | 
| 0.000 | 0.000 | 0.000 | 0.000 | 0.000 | -0.000 | 
| -0.000 | -0.000 | 0.000 | 0.000 | 0.000 | -0.000 | 
| -0.000 | -0.000 | 0.000 | 0.000 | 0.000 | 0.000 | 
| -0.000 | -0.000 | 0.000 | 0.000 | 0.000 | -0.000 | 
| 0.180 | 0.000 | -0.000 | -0.000 | -0.000 | 0.000 | 
| 0.000 | 0.180 | -0.000 | -0.000 | -0.000 | -0.000 | 
| 0.000 | 0.000 | -0.000 | -0.000 | -0.000 | 0.000 | 
| 0.000 | 0.000 | -0.000 | -0.000 | -0.000 | 0.000 | 
| 0.000 | 0.000 | -0.000 | -0.000 | -0.000 | 0.000 | 
| 0.000 | 0.000 | -0.000 | -0.000 | -0.000 | -0.000 | 
| 0.001 | -0.018 | 0.000 | 0.000 | 0.000 | 0.000 | 
| -0.018 | 0.001 | 0.000 | 0.000 | 0.000 | 0.000 | 
| 0.000 | 0.000 | 0.000 | 0.000 | 0.000 | -0.000 | 
| -0.000 | -0.000 | 0.000 | 0.000 | 0.000 | -0.000 | 
| -0.000 | -0.000 | 0.000 | 0.000 | 0.000 | -0.000 | 
| -0.000 | -0.000 | 0.000 | 0.000 | 0.000 | -0.000 | 
| 0.018 | 0.000 | -0.000 | -0.000 | -0.000 | 0.000 | 
| 0.000 | 0.018 | -0.000 | -0.000 | -0.000 | -0.000 | 
| 0.000 | 0.000 | -0.000 | -0.000 | -0.000 | 0.000 | 
| 0.000 | 0.000 | -0.000 | -0.000 | -0.000 | 0.000 | 
| 0.000 | 0.000 | -0.000 | -0.000 | -0.000 | 0.000 | 
| 0.000 | 0.000 | -0.000 | -0.000 | -0.000 | -0.000 | 
| 0.002 | 0.000 | 0.002 | 0.000 | -0.002 | 0.000 | 
| 0.000 | 0.000 | 0.000 | 0.000 | 0.000 | 0.000 | 
| 0.003 | 0.000 | 0.003 | -0.000 | -0.003 | 0.000 | 
| 0.000 | 0.000 | 0.000 | 0.000 | 0.000 | 0.000 | 
| 0.000 | 0.000 | 0.000 | 0.000 | 0.000 | 0.000 | 
| 0.000 | 0.000 | 0.000 | 0.000 | 0.000 | 0.000 | 
| -0.000 | -0.000 | -0.000 | -0.000 | -0.000 | -0.000 | 
| -0.000 | -0.000 | -0.000 | -0.000 | -0.000 | -0.000 | 
| -0.000 | -0.000 | -0.000 | -0.000 | -0.000 | -0.000 | 
| -0.000 | -0.000 | -0.000 | -0.000 | -0.000 | -0.000 | 
| -0.003 | -0.000 | -0.003 | 0.000 | 0.003 | -0.000 | 
| -0.000 | -0.000 | -0.000 | -0.000 | -0.000 | -0.000 | 
| 0.104 | 0.030 | 0.075 | 0.000 | 0.000 | 0.000 | 
| 0.000 | 0.108 | 0.060 | 0.000 | 0.000 | 0.000 | 
| 1.372 | 1.319 | 4.004 | -0.000 | -0.000 | 0.000 | 
| 0.007 | 0.038 | 0.026 | 0.030 | 0.000 | 0.000 | 
| 0.041 | 0.012 | 0.030 | -0.000 | 0.035 | -0.000 | 
| 0.219 | 0.063 | 0.157 | 0.000 | 0.000 | 0.117 | 
| -0.000 | -0.000 | -0.000 | -0.000 | -0.000 | -0.000 | 
| -0.000 | -0.000 | -0.000 | -0.000 | -0.000 | -0.000 | 
| -0.000 | -0.000 | -0.000 | -0.000 | -0.000 | -0.000 | 
| -0.007 | -0.038 | -0.026 | 0.030 | 0.000 | -0.000 | 
| -0.041 | -0.012 | -0.030 | -0.000 | 0.035 | 0.000 | 
| -0.219 | -0.063 | -0.157 | -0.000 | 0.000 | 0.117 | 
| 0.753 | 0.669 | 2.117 | 0.000 | -0.000 | -0.000 | 
| 0.659 | 0.588 | 1.861 | 0.000 | 0.000 | 0.000 | 
| 2.267 | 2.083 | 6.491 | -0.000 | -0.000 | 0.000 | 
| 0.026 | 0.024 | 0.090 | 0.024 | 0.000 | 0.000 | 
| 0.031 | 0.049 | 0.137 | -0.000 | 0.026 | 0.000 | 
| 0.032 | 0.051 | 0.147 | 0.000 | -0.000 | 0.017 | 
| -0.000 | -0.000 | -0.000 | -0.000 | -0.000 | -0.000 | 
| -0.000 | -0.000 | -0.000 | -0.000 | -0.000 | -0.000 | 
| -0.000 | -0.000 | -0.000 | -0.000 | -0.000 | -0.000 | 
| -0.026 | -0.024 | -0.090 | 0.024 | -0.000 | 0.000 | 
| -0.031 | -0.049 | -0.137 | -0.000 | 0.026 | 0.000 | 
| -0.032 | -0.051 | -0.147 | -0.000 | -0.000 | 0.017 | 
| 0.952 | 0.257 | 2.368 | 0.000 | -0.000 | 0.000 | 
| 0.257 | 0.952 | 2.368 | -0.000 | -0.000 | 0.000 | 
| 2.265 | 2.265 | 6.682 | -0.000 | -0.000 | 0.000 | 
| 0.000 | -0.000 | -0.000 | 1.747 | -0.000 | 0.000 | 
| -0.000 | -0.000 | -0.000 | -0.000 | 1.747 | 0.000 | 
| -0.000 | -0.000 | 0.000 | -0.000 | -0.000 | 0.077 | 
| 0.952 | 0.257 | 2.368 | 0.000 | -0.000 | -0.000 | 
| 0.257 | 0.952 | 2.368 | 0.000 | 0.000 | -0.000 | 
| 2.265 | 2.265 | 6.682 | 0.000 | 0.000 | -0.000 | 
| 0.000 | -0.000 | 0.000 | 1.747 | 0.000 | -0.000 | 
| 0.000 | 0.000 | -0.000 | 0.000 | 0.170 | 0.000 | 
| 0.000 | 0.000 | -0.000 | 0.000 | 0.000 | 0.077 | 
| 0.768 | 0.768 | 2.265 | -0.000 | 0.000 | 0.000 | 
| 0.768 | 0.768 | 2.265 | -0.000 | -0.000 | 0.000 | 
| 2.265 | 2.265 | 6.682 | -0.000 | -0.000 | 0.000 | 
| -0.000 | -0.000 | -0.000 | 0.016 | -0.000 | -0.000 | 
| -0.000 | -0.000 | -0.000 | -0.000 | 0.016 | 0.000 | 
| -0.000 | -0.000 | -0.000 | -0.000 | -0.000 | 0.077 | 
| 0.768 | 0.768 | 2.265 | 0.000 | -0.000 | -0.000 | 
| 0.768 | 0.768 | 2.265 | 0.000 | 0.000 | -0.000 | 
| 2.265 | 2.265 | 6.682 | -0.000 | -0.000 | -0.000 | 
| 0.000 | 0.000 | 0.000 | 0.016 | 0.000 | 0.000 | 
| 0.000 | 0.000 | 0.000 | 0.000 | 0.016 | -0.000 | 
| 0.000 | 0.000 | 0.000 | 0.000 | 0.000 | 0.077 | 
| 0.768 | 0.768 | 2.265 | -0.000 | -0.000 | 0.000 | 
| 0.768 | 0.768 | 2.265 | -0.000 | 0.000 | 0.000 | 
| 2.265 | 2.265 | 6.682 | -0.000 | -0.000 | 0.000 | 
| -0.000 | -0.000 | -0.000 | 0.001 | -0.000 | -0.000 | 
| -0.000 | -0.000 | -0.000 | -0.000 | 0.001 | 0.000 | 
| 0.000 | -0.000 | -0.000 | -0.000 | -0.000 | 0.007 | 
| 0.768 | 0.768 | 2.265 | 0.000 | 0.000 | -0.000 | 
| 0.768 | 0.768 | 2.265 | 0.000 | 0.000 | -0.000 | 
| 2.265 | 2.265 | 6.682 | 0.000 | -0.000 | -0.000 | 
| 0.000 | 0.000 | 0.000 | 0.001 | 0.000 | 0.000 | 
| 0.000 | 0.000 | 0.000 | 0.000 | 0.001 | -0.000 | 
| -0.000 | 0.000 | 0.000 | 0.000 | -0.000 | 0.007 | 
| 0.567 | 0.567 | 3.398 | 0.000 | -0.000 | -0.000 | 
| 0.567 | 0.567 | 3.398 | -0.000 | -0.000 | -0.000 | 
| 3.398 | 3.398 | 20.367 | -0.000 | -0.000 | -0.000 | 
| 0.347 | 0.007 | 1.059 | 1.936 | -0.000 | -0.000 | 
| 0.067 | 0.343 | 1.231 | -0.000 | 1.703 | -0.000 | 
| 0.000 | -0.000 | -0.000 | -0.000 | -0.000 | -0.000 | 
| 0.376 | 0.758 | 3.398 | 0.000 | 0.000 | 0.000 | 
| 0.283 | 0.850 | 3.398 | 0.000 | -0.000 | -0.000 | 
| 0.962 | 0.962 | 5.765 | -0.000 | 0.000 | 0.000 | 
| -0.347 | -0.007 | -1.059 | 1.936 | 0.000 | 0.000 | 
| -0.067 | -0.343 | -1.231 | -0.000 | 1.703 | 0.000 | 
| -0.000 | 0.000 | 0.000 | 0.000 | -0.000 | 0.000 | 
| 0.850 | 0.283 | 3.398 | 0.000 | 0.000 | 0.000 | 
| 0.283 | 0.850 | 3.398 | -0.000 | 0.000 | 0.000 | 
| 3.398 | 3.398 | 20.367 | -0.000 | -0.000 | -0.000 | 
| 0.153 | 0.146 | 0.896 | 0.485 | -0.000 | -0.000 | 
| 0.214 | 0.243 | 1.368 | -0.000 | 0.437 | -0.000 | 
| 0.066 | 0.197 | 0.789 | 0.000 | -0.000 | 0.170 | 
| 0.096 | 0.096 | 0.576 | -0.000 | 0.000 | 0.000 | 
| 0.032 | 0.096 | 0.384 | -0.000 | 0.000 | 0.000 | 
| 0.096 | 0.096 | 0.576 | -0.000 | 0.000 | 0.000 | 
| -0.153 | -0.146 | -0.896 | 0.485 | 0.000 | 0.000 | 
| -0.214 | -0.243 | -1.368 | -0.000 | 0.437 | 0.000 | 
| -0.066 | -0.197 | -0.789 | 0.000 | 0.000 | 0.170 | 
| 0.567 | 0.567 | 3.398 | -0.000 | -0.000 | -0.000 | 
| 0.567 | 0.567 | 3.398 | -0.000 | -0.000 | -0.000 | 
| 3.398 | 3.398 | 20.367 | -0.000 | 0.000 | -0.000 | 
| 0.039 | 0.035 | 0.223 | 0.089 | -0.000 | -0.000 | 
| 0.035 | 0.040 | 0.224 | 0.000 | 0.061 | -0.000 | 
| 0.080 | 0.241 | 0.962 | 0.000 | -0.000 | 0.145 | 
| 0.010 | 0.010 | 0.058 | -0.000 | 0.000 | 0.000 | 
| 0.003 | 0.010 | 0.038 | -0.000 | 0.000 | 0.000 | 
| 0.010 | 0.010 | 0.058 | -0.000 | 0.000 | 0.000 | 
| -0.039 | -0.035 | -0.223 | 0.089 | 0.000 | 0.000 | 
| -0.035 | -0.040 | -0.224 | -0.000 | 0.061 | 0.000 | 
| -0.080 | -0.241 | -0.962 | 0.000 | 0.000 | 0.145 | 
| 0.147 | 0.147 | 0.147 | -0.000 | -0.000 | -0.000 | 
| 0.147 | 0.147 | 0.147 | -0.000 | -0.000 | -0.000 | 
| 0.147 | 0.147 | 0.147 | -0.000 | -0.000 | -0.000 | 
| 0.000 | 0.000 | 0.000 | 0.147 | -0.000 | -0.000 | 
| 0.000 | 0.000 | 0.000 | -0.000 | 0.147 | -0.000 | 
| 0.000 | 0.000 | 0.000 | -0.000 | -0.000 | 0.147 | 
| 0.147 | 0.147 | 0.147 | 0.000 | 0.000 | 0.000 | 
| 0.147 | 0.147 | 0.147 | 0.000 | 0.000 | 0.000 | 
| 0.147 | 0.147 | 0.147 | 0.000 | 0.000 | 0.000 | 
| -0.000 | -0.000 | -0.000 | 0.147 | 0.000 | 0.000 | 
| -0.000 | -0.000 | -0.000 | 0.000 | 0.147 | 0.000 | 
| -0.000 | -0.000 | -0.000 | 0.000 | 0.000 | 0.147 | 
| -0.032 | -0.032 | -0.032 | -0.000 | 0.000 | 0.000 | 
| -0.032 | -0.032 | -0.032 | -0.000 | 0.000 | 0.000 | 
| -0.032 | -0.032 | -0.032 | -0.000 | -0.000 | 0.000 | 
| -0.039 | -0.039 | -0.039 | 0.006 | 0.000 | 0.000 | 
| -0.039 | -0.039 | -0.039 | -0.000 | 0.006 | 0.000 | 
| -0.039 | -0.039 | -0.039 | -0.000 | 0.000 | 0.006 | 
| 0.045 | 0.045 | 0.045 | -0.000 | -0.000 | -0.000 | 
| 0.045 | 0.045 | 0.045 | -0.000 | -0.000 | -0.000 | 
| 0.045 | 0.045 | 0.045 | -0.000 | -0.000 | -0.000 | 
| 0.039 | 0.039 | 0.039 | 0.006 | -0.000 | -0.000 | 
| 0.039 | 0.039 | 0.039 | -0.000 | 0.006 | -0.000 | 
| 0.039 | 0.039 | 0.039 | 0.000 | -0.000 | 0.006 | 
| -0.004 | -0.004 | -0.004 | -0.000 | 0.000 | 0.000 | 
| -0.004 | -0.004 | -0.004 | -0.000 | -0.000 | 0.000 | 
| -0.004 | -0.004 | -0.004 | -0.000 | 0.000 | 0.000 | 
| -0.004 | -0.004 | -0.004 | 0.000 | 0.000 | 0.000 | 
| -0.004 | -0.004 | -0.004 | -0.000 | 0.000 | 0.000 | 
| -0.004 | -0.004 | -0.004 | -0.000 | 0.000 | 0.000 | 
| 0.005 | 0.005 | 0.005 | -0.000 | -0.000 | -0.000 | 
| 0.005 | 0.005 | 0.005 | -0.000 | -0.000 | -0.000 | 
| 0.005 | 0.005 | 0.005 | -0.000 | -0.000 | -0.000 | 
| 0.004 | 0.004 | 0.004 | 0.000 | -0.000 | -0.000 | 
| 0.004 | 0.004 | 0.004 | 0.000 | 0.000 | -0.000 | 
| 0.004 | 0.004 | 0.004 | -0.000 | -0.000 | 0.000 | 
| 2.358 | 3.501 | 0.379 | 0.000 | -0.000 | -0.000 | 
| 4.270 | 7.066 | 0.717 | 0.000 | -0.000 | 0.000 | 
| 0.000 | 0.000 | 12.594 | -0.000 | 0.000 | 0.000 | 
| 0.000 | 0.025 | 0.001 | 0.005 | -0.000 | 0.000 | 
| 0.004 | 0.000 | 0.000 | 0.000 | 0.001 | 0.000 | 
| 0.000 | 0.000 | 0.000 | 0.000 | 0.000 | 0.000 | 
| -0.000 | -0.000 | -0.000 | -0.000 | -0.000 | -0.000 | 
| -0.000 | -0.000 | -0.000 | -0.000 | -0.000 | -0.000 | 
| -0.000 | -0.000 | -0.000 | -0.000 | -0.000 | -0.000 | 
| -0.000 | -0.025 | -0.001 | 0.005 | -0.000 | -0.000 | 
| -0.004 | -0.000 | -0.000 | -0.000 | 0.001 | -0.000 | 
| -0.000 | -0.000 | -0.000 | -0.000 | -0.000 | -0.000 | 
| 0.000 | 0.000 | 0.000 | -0.000 | -0.000 | 0.000 | 
| 0.000 | 9.089 | 0.000 | -0.000 | -0.000 | -0.000 | 
| 0.000 | -0.000 | 9.089 | 0.000 | -0.000 | 0.000 | 
| -0.000 | 0.000 | -0.000 | -0.000 | -0.000 | -0.000 | 
| -0.000 | -0.000 | -0.000 | 0.000 | 0.000 | -0.000 | 
| 0.000 | 0.001 | 0.000 | 0.000 | -0.000 | 0.000 | 
| 0.000 | 0.000 | 0.000 | -0.000 | -0.000 | -0.000 | 
| 0.000 | 0.045 | -0.000 | -0.000 | 0.000 | -0.000 | 
| 0.000 | 0.000 | 0.045 | -0.000 | 0.000 | -0.000 | 
| -0.000 | -0.000 | 0.000 | -0.000 | 0.000 | 0.000 | 
| 0.000 | 0.000 | 0.000 | -0.000 | 0.000 | 0.000 | 
| -0.000 | -0.001 | -0.000 | -0.000 | -0.000 | 0.000 | 
| 0.000 | 0.000 | 0.000 | 0.000 | -0.000 | 0.000 | 
| 0.000 | 9.089 | 0.000 | -0.000 | -0.000 | 0.000 | 
| 0.000 | 0.000 | 9.089 | -0.000 | 0.000 | -0.000 | 
| -0.000 | 0.000 | -0.000 | -0.000 | 0.000 | -0.000 | 
| -0.000 | -0.000 | -0.000 | 0.000 | -0.000 | 0.000 | 
| 0.000 | 0.022 | 0.000 | 0.000 | -0.000 | 0.000 | 
| 0.000 | 0.000 | 0.000 | 0.000 | -0.000 | -0.000 | 
| 0.000 | 0.004 | 0.000 | -0.000 | 0.000 | -0.000 | 
| 0.000 | 0.000 | 0.004 | -0.000 | 0.000 | -0.000 | 
| 0.000 | 0.000 | 0.000 | -0.000 | -0.000 | -0.000 | 
| 0.000 | 0.000 | 0.000 | -0.000 | -0.000 | 0.000 | 
| -0.000 | -0.022 | -0.000 | -0.000 | -0.000 | 0.000 | 
| 0.000 | 0.000 | 0.000 | 0.000 | -0.000 | -0.000 | 
| 0.000 | 9.089 | 0.000 | 0.000 | -0.000 | -0.000 | 
| 0.000 | -0.000 | 9.088 | 0.000 | -0.000 | 0.000 | 
| -0.000 | 0.000 | -0.000 | -0.000 | -0.000 | -0.000 | 
| 0.000 | 0.000 | 0.024 | 0.000 | 0.000 | 0.000 | 
| 0.000 | 0.024 | 0.000 | 0.000 | -0.000 | 0.000 | 
| 0.000 | 0.000 | 0.000 | 0.000 | 0.000 | 0.000 | 
| 0.000 | 0.000 | 0.000 | 0.000 | 0.000 | -0.000 | 
| 0.000 | 0.000 | 0.000 | -0.000 | 0.000 | -0.000 | 
| 0.000 | 0.000 | 0.000 | -0.000 | 0.000 | -0.000 | 
| -0.000 | -0.000 | -0.024 | -0.000 | 0.000 | -0.000 | 
| -0.000 | -0.024 | -0.000 | -0.000 | -0.000 | 0.000 | 
Phonon band structures and crystal properties estimated from quasi-harmonic approximation (QHA) calculations are displayed for select crystals. The calculations were performed using phonopy and LAMMPS. For the phonon calculations, 3x3 supercells of the potential-specific relaxed crystals were used. The QHA calculations were based on 11 strain states ranging from -0.05 to 0.05.
The calculation method used is available as the iprPy phonon calculation method.
Notes and Disclaimers:
Version Information:




































































































































































































































































































































































































































































































































































































Static free surface formation energies are displayed for select crystals. The values displayed here are obtained by taking a perfect periodic bulk crystal, slicing along a crystallographic plane, and using force minimization to statically relax the surfaces. The free surface formation energy is computed by comparing the energy of the defect system to the bulk system and dividing by the total surface area created by the cut.
The calculation method used is available as the iprPy surface_energy_static calculation method.
Notes and Disclaimers:
Version Information:
| Surface | γfs (mJ/m2) | 
|---|---|
| (322) | 0.00 | 
| (211) 2 | 0.00 | 
| (210) | 0.00 | 
| (332) 2 | 0.00 | 
| (321) 1 | 0.00 | 
| (310) | 0.00 | 
| (311) | 0.00 | 
| (110) | 0.00 | 
| (332) 1 | 0.00 | 
| (221) | 0.00 | 
| (111) | 0.00 | 
| (331) | 0.00 | 
| (321) 2 | 0.00 | 
| (211) 1 | 0.00 | 
| (100) | 0.00 | 
| (320) | 0.00 | 
| Surface | γfs (mJ/m2) | 
|---|---|
| (110) | 0.00 | 
| (211) | 0.00 | 
| (201) | 0.00 | 
| (101) | 0.00 | 
| (001) | 0.00 | 
| (112) | 0.00 | 
| (100) | 0.00 | 
| (111) | 0.00 | 
| Surface | γfs (mJ/m2) | 
|---|---|
| (110) | 0.00 | 
| (321) | 0.00 | 
| (221) | 0.00 | 
| (310) | 0.00 | 
| (210) | 0.00 | 
| (332) | 0.00 | 
| (322) | 0.00 | 
| (311) | 0.00 | 
| (111) | 0.00 | 
| (211) | 0.00 | 
| (320) | 0.00 | 
| (331) | 0.00 | 
| (100) | 0.00 | 
| Surface | γfs (mJ/m2) | 
|---|---|
| (311) | 0.00 | 
| (100) | 0.00 | 
| (210) | 0.00 | 
| (332) | 0.00 | 
| (310) | 0.00 | 
| (110) | 0.00 | 
| (320) | 0.00 | 
| (111) | 0.00 | 
| (321) | 0.00 | 
| (221) | 0.00 | 
| (331) | 0.00 | 
| (211) | 0.00 | 
| (322) | 0.00 | 
| Surface | γfs (mJ/m2) | 
|---|---|
| (211) 1 | 0.00 | 
| (111) | 0.00 | 
| (110) | 0.00 | 
| (210) | 0.00 | 
| (321) 1 | 0.00 | 
| (100) | 0.00 | 
| (221) | 0.00 | 
| (322) | 0.00 | 
| (311) | 0.00 | 
| (331) | 0.00 | 
| (321) 2 | 0.00 | 
| (310) | 0.00 | 
| (332) 1 | 0.00 | 
| (211) 2 | 0.00 | 
| (332) 2 | 0.00 | 
| (320) | 0.00 | 
| Surface | γfs (mJ/m2) | 
|---|---|
| (321) | 0.00 | 
| (310) | 0.00 | 
| (211) | 0.00 | 
| (320) | 0.00 | 
| (210) | 0.00 | 
| (322) | 0.00 | 
| (111) | 0.00 | 
| (100) | 0.00 | 
| (332) | 0.00 | 
| (221) | 0.00 | 
| (311) | 0.00 | 
| (110) | 0.00 | 
| (331) | 0.00 | 
| Surface | γfs (mJ/m2) | 
|---|---|
| (0001) | 0.00 | 
| (1012) 1 | 0.00 | 
| (1011) 1 | 0.00 | 
| (2131) 2 | 0.00 | 
| (1121) | 0.00 | 
| (2021) 2 | 0.00 | 
| (2112) | 0.00 | 
| (2021) 1 | 0.00 | 
| (1012) 2 | 0.00 | 
| (1120) | 0.00 | 
| (2131) 1 | 0.00 | 
| (2132) 2 | 0.00 | 
| (2241) | 0.00 | 
| (1011) 2 | 0.00 | 
| (2132) 1 | 0.00 | 
| (1010) | 0.00 | 
| (2130) | 0.00 | 
| Surface | γfs (mJ/m2) | 
|---|---|
| (1012) 1 | 0.00 | 
| (1120) | 0.00 | 
| (2241) | 0.00 | 
| (1010) 1 | 0.00 | 
| (2132) 2 | 0.00 | 
| (2131) 1 | 0.00 | 
| (1010) 2 | 0.00 | 
| (0001) | 0.00 | 
| (2131) 2 | 0.00 | 
| (2132) 1 | 0.00 | 
| (2021) 1 | 0.00 | 
| (1011) 1 | 0.00 | 
| (1012) 2 | 0.00 | 
| (2130) 2 | 0.00 | 
| (2021) 2 | 0.00 | 
| (2112) | 0.00 | 
| (1011) 2 | 0.00 | 
| (1121) | 0.00 | 
| (2130) 1 | 0.00 | 
| Surface | γfs (mJ/m2) | 
|---|---|
| (110) | 0.00 | 
| (331) 1 | 0.00 | 
| (320) | 0.00 | 
| (111) 2 | 0.00 | 
| (332) | 0.00 | 
| (100) | 0.00 | 
| (311) 1 | 0.00 | 
| (321) | 0.00 | 
| (221) | 0.00 | 
| (210) | 0.00 | 
| (211) | 0.00 | 
| (111) 1 | 0.00 | 
| (322) | 0.00 | 
| (310) | 0.00 | 
| (311) 2 | 0.00 | 
| (331) 2 | 0.00 | 
| Surface | γfs (mJ/m2) | 
|---|---|
| (211) 2 | 0.00 | 
| (101) 1 | 0.00 | 
| (101) 2 | 0.00 | 
| (201) | 0.00 | 
| (001) | 0.00 | 
| (112) | 0.00 | 
| (211) 1 | 0.00 | 
| (111) | 0.00 | 
| (110) | 0.00 | 
| (100) | 0.00 | 
| Surface | γfs (mJ/m2) | 
|---|---|
| (211) | 0.00 | 
| (001) | 0.00 | 
| (110) | 0.00 | 
| (201) | 0.00 | 
| (100) | 0.00 | 
| (112) | 0.00 | 
| (101) | 0.00 | 
| (111) | 0.00 | 
| Surface | γfs (mJ/m2) | 
|---|---|
| (1012) 2 | 0.00 | 
| (2021) 2 | 0.00 | 
| (1011) 2 | 0.00 | 
| (2112) 1 | 0.00 | 
| (2132) 1 | 0.00 | 
| (2130) | 0.00 | 
| (2131) 2 | 0.00 | 
| (2241) 2 | 0.00 | 
| (1011) 1 | 0.00 | 
| (2021) 1 | 0.00 | 
| (1120) | 0.00 | 
| (2112) 2 | 0.00 | 
| (1010) | 0.00 | 
| (0001) 2 | 0.00 | 
| (1121) 2 | 0.00 | 
| (2131) 1 | 0.00 | 
| (1012) 1 | 0.00 | 
| (0001) 1 | 0.00 | 
| (2241) 1 | 0.00 | 
| (2132) 2 | 0.00 | 
| (1121) 1 | 0.00 | 
| Surface | γfs (mJ/m2) | 
|---|---|
| (210) | 0.00 | 
| (310) | 0.00 | 
| (111) | 0.00 | 
| (100) | 0.00 | 
| (321) | 0.00 | 
| (110) | 0.00 | 
| (320) | 0.00 | 
| (211) | 0.00 | 
| (331) | 0.00 | 
| (311) | 0.00 | 
| (332) | 0.00 | 
| (221) | 0.00 | 
| (322) | 0.00 | 
Static point defect formation energies, Ef, and elastic dipole tensors, pij, are displayed for select crystals. Relaxed defect configurations are obtained by taking a 12x12x12 supercell of a perfect periodic bulk crystal, inserting the point defect, and using force minimization to statically relax the atomic positions while keeping the system dimensions constant. Ef is computed by comparing the energy of the defect system to the same number of atoms in a perfect bulk crystal. pij is estimated as the difference in the system's global pressure with and without the defect multiplied by the system's volume.
Simple structural comparisons of the unrelaxed and relaxed defect configurations are used to help determine if the defect structure has relaxed to a different configuration. Relaxed structures that are identified as no longer consistent with the ideal defect definition are excluded from the table below. The only exception to this is if the lowest energy interstitial configuration does not coincide with a known ideal defect, its energies and pressure tensor are included under the listing "relaxed interstitial". The full list of calculation results including the transformed structures and the structural comparison values is included in the csv file available from the "Download raw data" link.
The calculation method used is available as the iprPy point_defect_static calculation method.
Notes and Disclaimers:
| Point Defect | Ef (eV) | p11 (eV) | p22 (eV) | p33 (eV) | p12 (eV) | p13 (eV) | p23 (eV) | 
|---|---|---|---|---|---|---|---|
| vacancy | 0.000 | -0.000 | -0.000 | -0.000 | -0.000 | -0.000 | -0.000 | 
| 2nn divacancy | 0.000 | -0.000 | -0.000 | -0.000 | -0.000 | -0.000 | -0.000 | 
| 1nn divacancy | 0.000 | -0.000 | -0.000 | -0.000 | -0.000 | -0.000 | -0.000 | 
| octahedral interstitial | 1.346 | 163.192 | 163.192 | 163.192 | 0.000 | -0.000 | 0.000 | 
| 100 dumbbell | 1.364 | 159.943 | 159.943 | 159.246 | -0.000 | -0.000 | -0.000 | 
| Point Defect | Ef (eV) | p11 (eV) | p22 (eV) | p33 (eV) | p12 (eV) | p13 (eV) | p23 (eV) | 
|---|---|---|---|---|---|---|---|
| 1nn divacancy | 0.000 | -0.000 | -0.000 | -0.000 | -0.000 | -0.000 | -0.000 | 
| vacancy | 0.000 | -0.000 | -0.000 | -0.000 | -0.000 | -0.000 | -0.000 | 
| 2nn divacancy | 0.000 | -0.000 | -0.000 | -0.000 | -0.000 | -0.000 | -0.000 | 
| Point Defect | Ef (eV) | p11 (eV) | p22 (eV) | p33 (eV) | p12 (eV) | p13 (eV) | p23 (eV) | 
|---|---|---|---|---|---|---|---|
| vacancy | 0.000 | -0.000 | -0.000 | -0.000 | -0.000 | -0.000 | -0.000 | 
| relaxed interstitial | 1.483 | 102.164 | 102.848 | 108.843 | 0.592 | -1.281 | 0.740 | 
| Point Defect | Ef (eV) | p11 (eV) | p22 (eV) | p33 (eV) | p12 (eV) | p13 (eV) | p23 (eV) | 
|---|---|---|---|---|---|---|---|
| vacancy | 0.000 | -0.000 | -0.000 | -0.000 | -0.000 | -0.000 | -0.000 | 
| tetragonal interstitial | 0.000 | -0.000 | -0.000 | -0.000 | -0.000 | -0.000 | -0.000 | 
| 1nn divacancy | 0.000 | -0.000 | -0.000 | -0.000 | -0.000 | -0.000 | -0.000 | 
Plots of lattice and elastic constants are shown as a function of temperature. The 0K points were taken from the Crystal Structure Predictions and the Elastic Constants Predictions sections above for the unique crystal structures relaxed with the "dynamic" method. Starting from the 0 K relaxed crystal unit cells, supercell systems are created by replicating all three dimensions by the same multiplier to achieve at least 4000 atoms. The systems are then relaxed at 50 K and zero pressure using 1 million NPT steps. Lattice constants are estimated by averaging the measured box dimensions. Temperatures are iteratively increased by 50 K, with each subsequent relaxation calculation starting from the final atomic configuration at the previous temperature and relaxing for another 1 million steps.
The elastic constants are calculated using the deformation–fluctuation hybrid method. Starting from the final atomic configurations of the dynamic relaxations, the system is allowed to evolve at constant volume with a Langevin thermostat. The Born matrix is computed during this run by evaluating how the atomic forces would vary due to applied linear strain fields. The elastic constants can then be estimated using the averaged Born matrix values and the averaged stresses on the system.
The calculation methods used are available as the iprPy relax_dynamic and elastic_constants_dynamic calculation methods.
Clicking on the image of a plot will open an interactive version of it in a new tab. The underlying data for the plots can be downloaded by clicking on the links above each plot.
Notes and Disclaimers:
Version Information:
Plots of internal energy, Gibbs free energy, entropy, heat capacity and volume are shown here as a function of temperature for various crystal structures and liquid phases. The included crystal structures correspond to those in the Solid Structures vs. Temperature section, and the liquid phases to those in the Liquid Properties section. Internal energy and volume are taken from the associated structure relaxations mentioned in those previous sections. Constant pressure heat capacity is estimated using 3-point numerical derivatives of enthalpy versus temperature. Note that since all simulations done here are at 0 pressure, internal energy and enthalpy are equivalent.
The Gibbs energies of the phases are estimated using thermodynamic integration between the interatomic potential in question and a simpler model with known Gibbs free energy values. For solids, the reference model is an Einstein solid, while for liquids it is the Uhlenbeck-Ford potential. Besides a short run at the start of the solid calculations to estimate Einstein model spring constants, the two calculations proceed similarly. Starting with the final relaxation configurations, the systems are stabilized for 25,000 steps. Then, over the next 50,000 steps the potential is swapped out for the reference potential. The system is then stabilized for another 25,000 steps with the reference model before a reverse swap of 50,000 steps is performed. The simulation ends with one final 25,000 step stabilization period. From the simulation, the irreversible work of transformation is estimated and used to compute the absolute Gibbs free energy of the target phase and potential relative to the reference potential. Entropy is estimated as the difference in enthalpy and Gibbs free energy and divided by temperature.
The calculation methods used are available as the iprPy relax_dynamic, relax_liquid_redo, free_energy, and free_energy_liquid calculation methods.
Clicking on the image of a plot will open an interactive version of it in a new tab. The underlying data for the plots can be downloaded by clicking on the links above each plot.
Notes and Disclaimers:
Version Information:
            
            



