JVASP-27890_TiBrO
JARVIS-ID:JVASP-27890 Functional:optB88-vdW Primitive cell Primitive cell Conventional cell Conventional cell
Chemical formula:TiBrO Formation energy/atom (eV):-2.231 a 3.378 Å α:90.0 ° a 3.378 Å α:90.0 °
Space-group :Pmmn, 59 Relaxed energy/atom (eV):-4.9611 b 4.043 Å β:90.0 ° b 4.043 Å β:90.0 °
Calculation type:1L SCF bandgap (eV):0.011 c 25.238 Å γ:90.0 ° c 25.238 Å γ:90.0 °
Crystal system:orthorhombic Point group:mmm Density (gcm-3):1.39 Volume (3):344.62 nAtoms_prim:6 nAtoms_conv:6
Download input files

Convergence [Reference]

Calculations are done using VASP software [Source-code]. Convergence on KPOINTS [Source-code] and ENCUT [Source-code] is done with respect to total energy of the system within 0.001 eV tolerance. Please note convergence on KPOINTS and ENCUT is generally done for target properties, but here we assume energy-convergence with 0.001 eV should be sufficient for other properties also. The points on the curves are obtained with single-point calculation (number of ionic steps, NSW=1 ). However, for very accurate calculations, NSW>1 might be needed.


Structural analysis [Reference]

The following shows the X-ray diffraction (XRD)[Source-code] pattern and the Radial distribution function (RDF) plots [Source-code]. XRD peaks should be comparable to experiments for bulk structures. Relative intensities may differ. For mono- and multi-layer structures , we take the z-dimension during DFT calculation for XRD calculations, which may differ from the experimental set-up.


Electrostatic potential [Reference]

The following plot shows the plane averaged electrostatic potential (ionic+Hartree) along x, y and z-directions. The red line shows the Fermi-energy while the green line shows the maximum value of the electrostatic potential. For slab structures (with vacuum along z-direction), the difference in these two values can be used to calculate work-function of the material.


Exfoliation energy [Reference]

Exfoliation energy (meV/atom) is: 43.11


Spin-orbit coupling based spillage [Reference]

Below we show results from spin-orbit coupling (SOC) based spillage calculations using wavefunctions of spin-orbit and non-spin-orbit bandstructure calculations. a) non-SOC band structure and b) SOC band structure, c) non-SOC projected band structure and d) SOC projected band structure, projecting onto highest energy orbital of most electronegative atom in the system (assuming the orbital forms the valence band-maximum). e) Spillage, as a function of momentum, k. f) Table of bandgaps and spillage information. Generally, spillage values greater than 0.5 and indirect gap close to zero indicate topological materials.

Spin-orbit spillage is: 1.004


Optoelectronic properties Semi-local [Reference]

Incident photon energy dependence of optical is shown below [Source-code]. Only interband optical transitions are taken into account.Please note the underestimatation of band-gap problem with DFT will reflect in the spectra as well. For very accurate optical properties GW/BSE calculation would be needed, which is yet to be done because of their very high computational cost. Optical properties for mono-/multi-layer materials were rescaled with the actual thickness to simulation z-box ratio. Absorption coeffiecient is in cm-1 unit. Also, ionic contributions were neglected.

Dense k-mesh based bandgap is : 0.0117 eV

Static real-parts of dielectric function in x,y,z: 6.44,5.24,3.01


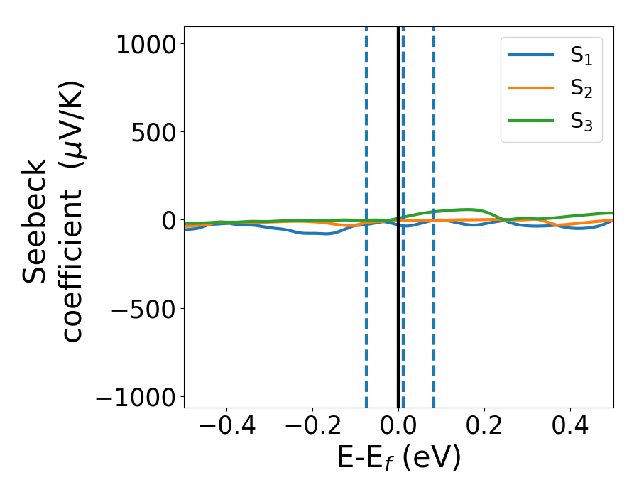
Thermoelectric properties [Reference]

Thermoelectric properties are calculated using BoltzTrap code [Source-code]. Electron and hole mass tensors (useful for semiconductors and insulators mainly)are given at 300 K [Source-code]. Following plots show the Seebeck coefficient and ZT factor (eigenvalues of the tensor shown) at 300 K along three different crystallographic directions. Seebeck coefficient and ZT plots can be compared for three different temperatures available through the buttons given below. Generally very high Kpoints are needed for obtaining thermoelectric properties. We assume the Kpoints obtained from above convergence were sufficient [Source-code].

WARNING: Constant relaxation time approximation (10-14 s) and only electronic contribution to thermal conductivity were utilized for calculating ZT.

Electron mass tensor (me unit)

0.0 -0.0 0.0
-0.0 0.0 0.0
0.0 0.0 0.01

Hole mass tensor (me unit)

0.0 -0.0 0.0
-0.0 0.0 0.0
0.0 0.0 0.01

n-& p-type Seebeck coeff. (µV/K), power-factor (µW/(mK2)), conductivity (1/(*m)), zT (assuming lattice part of thermal conductivity as 1 W/(mK)) at 600K and 1020 cm-3 doping. For mono/multi-layer materials consider Seebeck-coeff only.)

Property xx yy zz
n-Seebeck -42.3 -6.62 19.37
n-PowerFactor 0.98 50.28 86.29
n-Conductivity 549.23 230001.01 1146790.9
n-ZT 0.0 0.0 0.02
p-Seebeck -44.16 -6.66 10.87
p-PowerFactor 1.02 27.71 50.5
p-Conductivity 522.33 234637.52 1137738.2
p-ZT 0.0 0.0 0.01

Magnetic moment [Reference]

The orbital magnetic moment was obtained after SCF run. This is not a DFT+U calculation, hence the data could be used to predict zero or non-zero magnetic moment nature of the material only.

Total magnetic moment: -0.0004 μB

Magnetic moment per atom: -6.66666666667e-05 μB

Magnetization
Elementsspdtot
Ti0.00.00.00.0
Ti0.00.00.00.0
Br0.0-0.00.0-0.0
Br0.0-0.00.0-0.0
O0.00.00.00.0
O0.00.00.00.0

See also

Links to other databases or papers are provided below


NA

ICSD-ID: None

mp-23002-1L

NIST Disclaimer