JVASP-23331_Zr(Fe2Si)2
JARVIS-ID:JVASP-23331 Functional:optB88-vdW Primitive cell Primitive cell Conventional cell Conventional cell
Chemical formula:Zr(Fe2Si)2 Formation energy/atom (eV):-0.472 a 6.964 Å α:90.0 ° a 6.964 Å α:90.0 °
Space-group :P4_2/mnm, 136 Relaxed energy/atom (eV):-5.0896 b 6.964 Å β:90.0 ° b 6.964 Å β:90.0 °
Calculation type:Bulk SCF bandgap (eV):0.0 c 3.646 Å γ:90.0 ° c 3.646 Å γ:90.0 °
Crystal system:tetragonal Point group:4/mmm Density (gcm-3):6.96 Volume (3):176.84 nAtoms_prim:14 nAtoms_conv:14
Download input files

Convergence [Reference]

Calculations are done using VASP software [Source-code]. Convergence on KPOINTS [Source-code] and ENCUT [Source-code] is done with respect to total energy of the system within 0.001 eV tolerance. Please note convergence on KPOINTS and ENCUT is generally done for target properties, but here we assume energy-convergence with 0.001 eV should be sufficient for other properties also. The points on the curves are obtained with single-point calculation (number of ionic steps, NSW=1 ). However, for very accurate calculations, NSW>1 might be needed.


Structural analysis [Reference]

The following shows the X-ray diffraction (XRD)[Source-code] pattern and the Radial distribution function (RDF) plots [Source-code]. XRD peaks should be comparable to experiments for bulk structures. Relative intensities may differ. For mono- and multi-layer structures , we take the z-dimension during DFT calculation for XRD calculations, which may differ from the experimental set-up.


Electronic structure [Reference]

The following shows the electronic density of states and bandstructure [Source-code]. DFT is generally predicted to underestimate bandgap of materials. Accurate band-gaps are obtained with higher level methods (with high computational requirement) such as HSE, GW , which are under progress. If available, MBJ data should be comparable to experiments also. Total DOS, Orbital DOS and Element dos [Source-code] buttons are provided for density of states options. Energy is rescaled to make Fermi-energy zero. In the bandstructure plot [Source-code], spin up is shown with blue lines while spin down are shown with red lines. Non-degenerate spin-up and spin-down states (if applicable) would imply a net orbital magnetic moment in the system. Fermi-occupation tolerance for bandgap calculation is chosen as 0.001.

High-symmetry kpoints based bandgap (eV): 0.001I


Electrostatic potential [Reference]

The following plot shows the plane averaged electrostatic potential (ionic+Hartree) along x, y and z-directions. The red line shows the Fermi-energy while the green line shows the maximum value of the electrostatic potential. For slab structures (with vacuum along z-direction), the difference in these two values can be used to calculate work-function of the material.


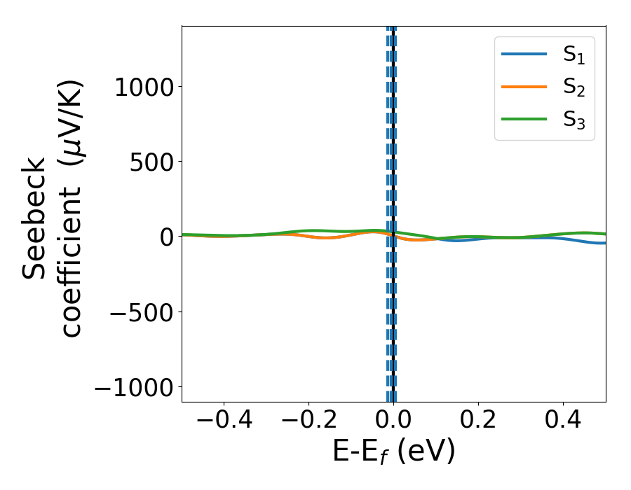
Thermoelectric properties [Reference]

Thermoelectric properties are calculated using BoltzTrap code [Source-code]. Electron and hole mass tensors (useful for semiconductors and insulators mainly)are given at 300 K [Source-code]. Following plots show the Seebeck coefficient and ZT factor (eigenvalues of the tensor shown) at 300 K along three different crystallographic directions. Seebeck coefficient and ZT plots can be compared for three different temperatures available through the buttons given below. Generally very high Kpoints are needed for obtaining thermoelectric properties. We assume the Kpoints obtained from above convergence were sufficient [Source-code].

WARNING: Constant relaxation time approximation (10-14 s) and only electronic contribution to thermal conductivity were utilized for calculating ZT.

Electron mass tensor (me unit)

0.0 -0.0 0.0
-0.0 0.0 -0.0
0.0 -0.0 0.0

Hole mass tensor (me unit)

0.0 -0.0 0.0
-0.0 0.0 -0.0
0.0 -0.0 0.0

n-& p-type Seebeck coeff. (µV/K), power-factor (µW/(mK2)), conductivity (1/(*m)), zT (assuming lattice part of thermal conductivity as 1 W/(mK)) at 600K and 1020 cm-3 doping. For mono/multi-layer materials consider Seebeck-coeff only.)

Property xx yy zz
n-Seebeck -0.3 -0.3 46.0
n-PowerFactor 0.08 0.08 1565.39
n-Conductivity 739938.54 889476.0 889476.0
n-ZT 0.0 0.0 0.06
p-Seebeck 0.3 0.3 46.71
p-PowerFactor 0.08 0.08 1623.84
p-Conductivity 744396.3 889715.77 889715.77
p-ZT 0.0 0.0 0.06

See also

Links to other databases or papers are provided below


mp-19792

ICSD-ID: 87172

AFLOW link

MP link
mp-19792

NIST Disclaimer